Abstract
In this study, a Brönsted–Lewis bifunctional acidic catalyst PW/UiO/CNTs-OH was synthesized via the hydrothermal method. The parameters for the esterification reaction of oleic acid with methanol catalyzed by PW/UiO/CNTs-OH were optimized using central composite design-response surface methodology (CCD-RSM). A biodiesel yield of 92.9% was achieved under the optimized conditions, retaining 82.3% biodiesel yield after four catalytic cycles. The enhanced catalytic performance of PW/UiO/CNTs-OH can be attributed as follows: the [Zr6O4(OH)4]12+ anchored on the surface of multi-walled carbon nanotubes (MWCNTs) can serve as nucleation sites for UiO-66, not only encapsulating H3[P(W3O10)4] (HPW) but also reversing the quadrupole moment of MWCNTs to generate Lewis acid sites. In addition, introduction of HPW during synthesis of UiO-66 decreases the solution pH, inducing the protonation of p-phthalic acid (PTA) to disrupt the coordination with the [Zr6O4(OH)4] cluster, thereby creating an unsaturated Zr4+ site with electron pair-accepting capability, which generates Lewis acid sites. EIS analysis revealed that PW/UiO/CNTs-OH has higher electron migration efficiency than UiO-66 and PW/UiO. Furthermore, NH3-TPD and Py-IR analyses showed that PW/UiO/CNTs-OH possessed high densities of Lewis acidic sites of 83.69 μmol/g and Brönsted acidic sites of 9.98 μmol/g.
1. Introduction
Biodiesel is a fatty acid methyl ester (FAME) generated through the esterification or transesterification of free fatty acids (FFAs) or triglycerides with methanol [1]. The process requires catalysts that simultaneously satisfy technical specifications and economic feasibility in application. The selection of an appropriate catalyst is a significant challenge due to its intricate relationship with the characteristics of the oil feedstock [2,3].
Heterogeneous catalysts demonstrate superior technical advantages over homogeneous catalysts, including minimized corrosion risks, recyclability, and enhanced activity, rendering them ideal for biodiesel synthesis from acidified feedstocks [2]. Keggin-type 12-tungstophosphoric acid (HPW) emerges as a prominent heteropolyacid catalyst due to its structural integrity, synthetic accessibility, environmental compatibility, and strong acidity, delivering consistent catalytic efficiency across reaction systems. Nevertheless, it suffers from limitations such as low specific surface area and poor recyclability [4,5]. To address these challenges, researchers have explored immobilizing HPW on high-surface-area materials, including mesoporous molecular sieves, metal-organic frameworks (MOFs) [1], ion-exchange resins [6], multi-walled carbon nanotubes (MWCNTs) [7], and zeolites [8]. MWCNTs demonstrate exceptional chemical stability and elevated surface area [9], rendering them ideal supports for synthesizing HPW-based solid acid catalysts. However, their inherent chemical inertness results in weak interfacial interactions with HPW, thereby limiting both achievable loading concentrations and thermal stability during catalytic operations. Additionally, the strong van der Waals forces between MWCNT walls induce agglomeration in the composite process, effectively negating their high surface area advantage. Consequently, surface functionalization of MWCNTs becomes imperative for optimal HPW immobilization [10]. Existing functionalization strategies encompass solid-phase mechanochemical treatments and covalent/non-covalent modifications [11]. Our research group previously developed a La-PW-SiO2/SWCNT catalyst, which demonstrated strong catalytic activity and stability in biodiesel synthesis via oleic acid–methanol esterification. The intensified Lewis acidity originates from strong electron-withdrawing interactions between La3+ and SWCNTs [12]. Nevertheless, the microporous architecture of La-PW-SiO2/SWCNTs restricts reactant accessibility, while the sol–gel-based HPW loading procedure proves technologically cumbersome. Therefore, our current investigation focuses on developing a streamlined methodology for immobilizing HPW onto MWCNTs that simultaneously augments Lewis acidic site density and modulates pore architecture.
With the dual objectives of overcoming HPW loading constraints on MWCNTs and increasing Lewis acid site density, the research group attempts to employ UiO-66 as a bridging agent to bind HPW to MWCNTs. The strategic rationale originates from the unique electron configuration of MWCNTs. Specifically, MWCNTs are composed of multiple concentric graphite layers with an abundant π-electron system on their surfaces. These π electrons form a dense cloud of active electrons on the surface of MWCNTs, resulting in significantly uneven charge distribution. In particular, the direction perpendicular to the π plane exhibits a negative quadrupole moment (Qzz < 0) due to the dense distribution of the electron cloud. This unique electron cloud structure not only gives MWCNTs excellent electrical conductivity and mechanical strength, but also gives them unique charge interaction capabilities [13]. UiO-66 is a porous metal-organic frame material (MOF) which comprises [Zr6O4(OH)4] cluster nodes connected by p-phthalic acid (PTA). The structure contains [Zr6O4(OH)4]12+ secondary structural units, which can be naturally attracted by MWCNTs, thereby enhancing the interaction between the two [14]. The unsaturated coordination site of UiO-66 can accept the electron pairs provided by HPW and form stable coordination bonds. This interaction enables HPW to be immobilized either within the framework or on the surface of UiO-66. Such bonding imparts the composite material with dual advantages: HPW’s catalytic activity combined with UiO-66’s high specific surface area and pore structure, which improves the catalytic efficiency.
In fatty acid-rich lipid feedstocks, oleic acid serves as the predominant fatty acid constituent, playing a pivotal role in determining the overall chemical characteristics of the lipid matrix [15]. Consequently, conducting systematic studies on its esterification with methanol provides a precise and comprehensive assessment of catalyst performance in the catalytic conversion of such feedstocks to biodiesel.
This study attempts to synthesize a Brönsted–Lewis bifunctional acidic catalyst PW/UiO/CNTs-OH with high catalytic performance from using HPW, UiO-66, and hydroxylated multi-walled carbon nanotubes (MWCNTs-OH) as raw materials via a one-step hydrothermal method. Furthermore, the structure, morphology, crystal phase, and elemental valence of the obtained catalyst were analyzed by various characterization methods, and their activity and stability during the esterification of oleic acid and methanol were studied.
2. Results and Discussion
2.1. Catalyst Characterization
XRD was performed to characterize the crystalline phases of the synthesized samples. Figure 1 shows the XRD patterns of the different materials and the standard XRD pattern of UiO-66, generated from the original CIF file [16]. The observed diffraction peaks of UiO-66 at 2θ = 7.36°, 8.51°, 25.74°, and 30.78° were well matched with the simulated pattern [17]. After HPW loading, the intensity of the aforementioned diffraction peaks decreased. This reduction originated from HPW incorporation during catalyst preparation inducing solution acidification, which resulted in the easy protonation of PTA. As a result, the coordination of the [Zr6O4(OH)4] cluster was inhibited, leading to a reduction in crystallinity [14]. Furthermore, the XRD patterns of HPW could not be found in the XRD patterns of the PW/UiO-66 and PW/UiO/CNTs-OH samples, indicating an even distribution of HPW [18].
Figure 1.
XRD pattern of HPW, MWCNTs-OH, PW/UiO/CNTs-OH, PW/UiO, UiO-66, and simulate UiO-66.
The morphological features of HPW, MWCNTs-OH, UiO-66, PW/UiO, and PW/UiO/CNTs-OH were characterized by SEM (Figure 2a–e). At the same time, the hydrophilicity of aforementioned materials was determined by optical contact angle measuring instrument (Figure 2f–j). The results indicated that the contact angles of the MWCNTs (Figure 2f) and MWCNTs-OH (Figure 2g) were 140° and 35°, respectively, demonstrating a significant enhancement in the hydrophilicity of MWCNTs-OH, which confirmed successful hydroxylation. This phenomenon stemmed from HPW incorporation impeding the coordination of PTA ligands with a [Zr6O4(OH)4] cluster, which resulted in an irregular shape and easy agglomeration of PW/UiO [14], while enhancing the hydrophilicity of the material (contact angle of 72°). When MWCNTs-OH was incorporated into PW/UiO (Figure 2e), it was encapsulated within the composite, further enhancing the material’s hydrophilicity (contact angle of 54°). However, compared to MWCNTs-OH, the hydrophilicity of PW/UiO/CNTs-OH was slightly diminished, possibly because of interactions between UiO-66 and the hydrophilic groups on MWCNTs-OH [19].
Figure 2.
SEM images of samples: (a) HPW, (b) MWCNTs, (c) UiO-66, (d) PW/UiO, (e) PW/UiO/CNTs-OH, water contact angle measurements for (f) MWCNTs, (g) MWCNTs-OH, (h) UiO-66, (i) PW/UiO, (j) PW/UiO/CNTs-OH.
The FT-IR spectra of the MWCNTs, HPW, UiO-66, PW/UiO, and PW/UiO/CNTs-OH are shown in Figure 3. For UiO-66, the broad bands spanning 2500–3700 cm−1 were characteristic of O-H stretching vibrations originating from surface-bound Zr-OH groups [20], while the absorption peaks at 1584 cm−1 and 1391 cm−1 were attributed to the asymmetric and symmetric O=C-O stretching modes of the carboxylic acid groups in PTA. The band at 1660 cm−1 aroused from asymmetric stretching vibrations of C=O bonds in residual N, N-dimethylformamide (DMF) solvent molecules encapsulated within the framework structure [16]. The absorption band observed at 1505 cm−1 was attributed to the C=C stretching vibration within the benzene ring, whereas the band at 1098 cm−1 corresponded to the Zr-O vibrational mode. The characteristic peaks at 822 cm−1, 743 cm−1, and 550 cm−1 were, respectively, assigned to C-H deformation, C=C stretching, and Zr-(OC) asymmetric stretching vibrations [18,21]. Following the incorporation of HPW, the characteristic bands of the Keggin-structured polyoxometalate anion at 1072 cm−1 (P=O), 955 cm−1 (W=O), 882 cm−1 (W-Oc-W, where Oc represents angularly shared oxygen atoms), and 715 cm−1 (W-Oe-W, where Oe represents edge-shared oxygen atoms) were observed, indicating that HPW was successfully loaded onto UiO-66. Notably, the emergence of a new absorption band at 648 cm−1, attributed to the Zr-O-W stretching vibration, accompanied by blue shifts of the Zr-O band at 1098 cm−1 and the W-Oc-W band at 882 cm−1 confirmed the coordination bonding between the zirconium sites in UiO-66 and the [PW12O40]3− heteropoly anion [22,23]. The carrier, MWCNTs-OH, was further introduced, and it was found that these two bands exhibited additional blue shift. This spectral modification likely stemmed from the dual-surface electron delocalization characteristics of MWCNTs, which created a pronounced uneven charge distribution within the π-plane, characterized by a negative quadrupole moment perpendicular to the plane (Qzz < 0). This phenomenon inherently enabled the MWCNTs to attract and stabilize [Zr6O4(OH)4]12+ [13]. Consequently, the Zr4+ ions exhibited a pronounced strong interaction with the π electrons of the MWCNTs, leading to electron cloud displacement towards Zr. This phenomenon resulted in the weakening of the Zr-O bond and a subsequent reduction in the vibration frequency.
Figure 3.
FT-IR spectra (a) and detail (b) of PW/UiO/CNTs-OH, PW/UiO, UiO-66, HPW, and MWCNTs-OH.
The valence states and chemical bonding configurations of the elements in the MWCNTs-OH, Zr-CNTs-OH, UiO/CNTs-OH, and PW/UiO/CNTs-OH catalysts were investigated by XPS (Figure 4a–d). The C 1s spectra of the samples are shown in Figure 4a. The C 1s spectrum of MWCNTs-OH primarily comprised three distinct peaks. Specifically, the predominant peak at 284.80 eV corresponded to C=C and C-C bonds, while those at 286.90 eV and 291.13 eV corresponded to C-O and π-π* bonds, respectively. In Zr-functionalized derivatives (Zr-CNTs-OH, UiO/CNTs-OH, PW/UiO/CNTs-OH), the C-O binding energy exhibited a 0.40 eV downshift from 286.90 eV to 286.50 eV compared with MWCNTs-OH. Correspondingly, the O 1s spectrum of Zr-CNTs-OH (Figure 4b) displayed a 0.46 eV C-O energy reduction from 532.66 eV to 532.20 eV, arising from Zr covalent bonding at oxygenated defect sites on the MWCNTs-OH. The formation of C-O-Zr interactions weakened the C-O bond strength, thereby leading to a reduction in the binding energy [19,21]. The O 1s spectrum of UiO/CNTs-OH exhibited two distinct peaks. Specifically, the peak at a binding energy of 531.91 eV corresponded to Zr-Oa-C (where Oa represents oxygen in carboxylic acid groups), while the peak at 530.16 eV was attributed to Zr-Ob (where Ob denotes lattice oxygen) [24]. HPW incorporation induced a 0.10 eV binding energy decrease in Zr-Oa-C (531.91 → 531.81 eV) and a 0.18 eV increase in Zr-Ob (530.16 → 530.34 eV), demonstrating an interaction between HPW and UiO-66 [25]. The Zr 3d spectra of samples are presented in Figure 4c. In conjunction with the C 1s spectral peak analysis, it confirmed that Zr clusters had been successfully loaded onto MWCNTs-OH. Notably, after the introduction of HPW, the Zr 3d3/2 peak (185.09 eV) and the Zr 3d5/2 peak (182.71 eV) in PW/UiO/CNTs-OH shifted to higher binding energies, reaching 186.30 eV and 183.91 eV, respectively, compared to UiO/CNTs-OH. The W 4f spectrum of PW/UiO/CNTs-OH, shown in Figure 4d, revealed 0.91 eV (W 4f7/2: 35.8 → 36.71 eV) and 0.88 eV (W 4f5/2: 37.9 → 38.78 eV) increases relative to pristine HPW [26]. Additionally, the peak observed at 42.18 eV corresponded to Zr-O-W [7], confirmed oxygen-bridged coordination between Zr and [PW12O40]3− heteropolyanions, consistent with FT-IR analysis.
Figure 4.
(a) C 1s, (b) O 1s, and (c) Zr 3d spectra of MWCNTs-OH, Zr-CNTs-OH, UiO/CNTs-OH, PW/UiO/CNTs-OH, (d) W 4f spectra of PW/UiO/CNTs-OH.
The W content in PW/CNTs, PW/CNTs-OH, PW/UiO, and PW/UiO/CNTs-OH was systematically analyzed using ICP-OES (Table 1). It was found that the W contents were determined to be 1.49 wt% and 1.67 wt% for PW/CNTs and PW/CNTs-OH, respectively, indicating that MWCNTs exhibited limited HPW loading capacity. In contrast, significantly higher W contents of 4.39 wt% and 14.87 wt% were observed in PW/UiO and PW/UiO/CNTs-OH, respectively. The remarkable increase in W content after MWCNTs-OH incorporation was attributed to the π-π stacking interactions between MWCNTs and PTA. Furthermore, it was demonstrated that MWCNTs-OH could effectively anchor [Zr6O4(OH)4] clusters through C-O-Zr bonding, which provided additional nucleation sites for UiO-66 synthesis and consequently enhanced the encapsulation efficiency of HPW within UiO-66 [27].
Table 1.
The actual content of W element in different catalysts.
N2 adsorption–desorption tests were conducted to evaluate the textural properties of MWCNTs-OH, UiO-66, PW/UiO, and PW/UiO/CNTs-OH catalysts (Figure 5a–d). The adsorption and desorption isotherms of UiO-66 (Figure 5b) exhibited type-I isotherm, characteristic of microporous materials, whereas both PW/UiO (Figure 5c) and PW/UiO/CNTs-OH (Figure 5d) displayed type-IV isotherms with hysteresis loops (P/P0 = 0.45–1.0), indicating mesoporous structures. Upon loading HPW, the specific surface area decreased from 997 m2/g to 700 m2/g (Table 2), while the average pore size increased from 2.197 nm to 3.173 nm (Table 2). Subsequent MWCNTs-OH incorporation enhanced the surface area to 857 m2/g (Table 2), improving the reactant–catalyst contact efficiency.
Figure 5.
The N2 adsorption–desorption isotherms and pore size distribution of MWCNTs-OH (a), UiO-66 (b), PW/UiO (c), and PW/UiO/CNTs-OH (d).
Table 2.
Pore volume, pore diameter, and surface area analysis of the catalysts.
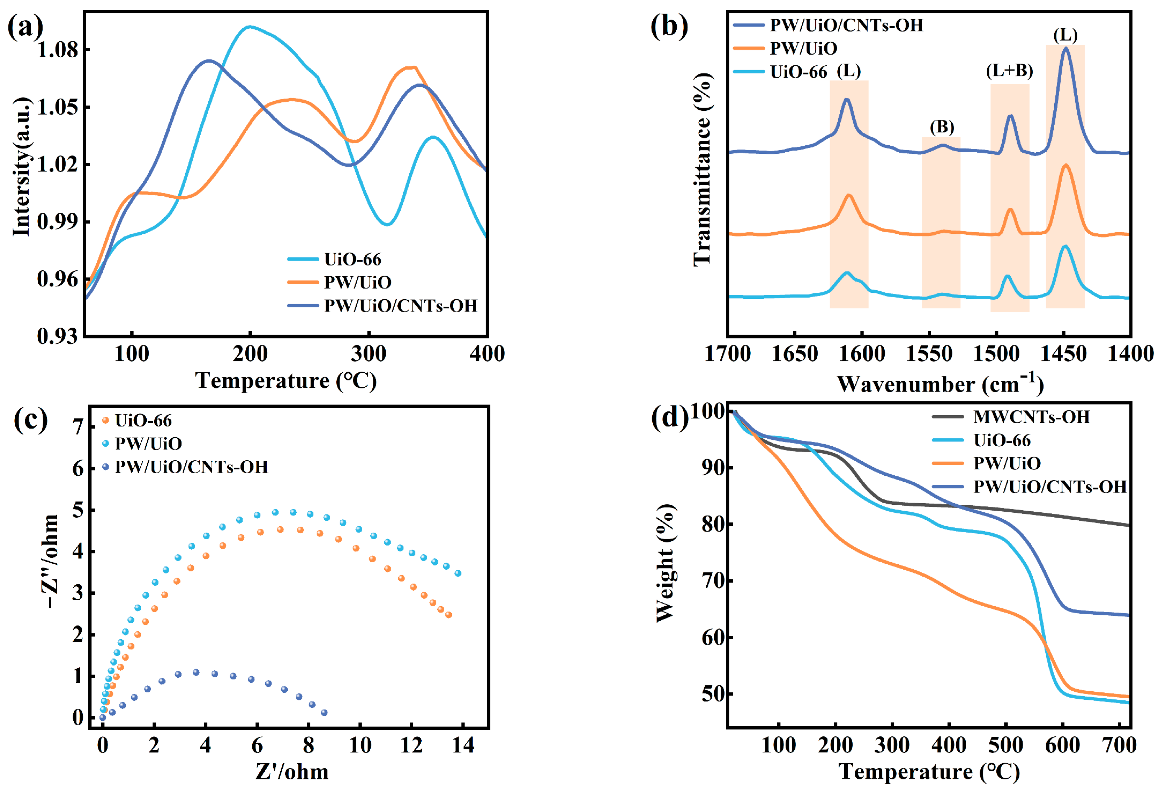
The acidic properties of UiO-66, PW/UiO, and PW/UiO/CNTs-OH were characterized by NH3-TPD and Py-IR. As shown in Table 3 and Figure 6a, the acidic distribution and total acidity were quantified. Three distinct ammonia desorption peaks were observed for UiO-66 in the temperature ranges of 25–120 °C, 120–310 °C, and 310–450 °C. The absorption peak at 25–120 °C corresponded to the weak acid sites, attributed to the weak Brönsted acidic sites originating from the framework μ3-OH [24]. The 120–310 °C desorption peak was assigned to Lewis acid sites created by unsaturated Zr sites formed owing to the lack of organic linkers in UiO-66. The medium-strong acid absorption peak at 310–450 °C was derived from the Brönsted acid sites associated with Zr-OH [28,29,30]. Acid characterization revealed significant modifications in PW/UiO compared to UiO-66. The weak acid density decreased from 4.57 to 3.64 mmol/g, while the medium-strength acid density increased from 1.23 to 2.58 mmol/g. Concurrently, the Lewis acid density rose from 34.72 to 44.54 μmol/g (Figure 6b). This phenomenon was likely attributed to the interaction between the heteropolyacid anion [PW12O40]3− and Zr, which resulted in a decrease in the number of μ3-OH sites and an increase in unsaturated Zr sites, thereby enhancing the Lewis acidity. Concurrently, the inherent Brönsted acidity of HPW was found to augment the corresponding acid sites in PW/UiO [31]. Significant acid enhancement was observed in PW/UiO/CNTs-OH following MWCNTs-OH incorporation, with weak acid density increasing from 3.64 to 4.36 mmol/g and medium-strength acidity rising from 2.58 to 3.05 mmol/g. The Brönsted acid density increased from 3.65 to 9.98 μmol/g, while the Lewis acidity nearly doubled to 83.63 μmol/g (Figure 6b). This improvement was mediated by the strong electron-withdrawing effect of the [Zr6O4(OH)4] cluster on the highly delocalized π electrons present in MWCNTs-OH [13], which intensified the Lewis acidity. Additionally, the carbon atoms in MWCNTs-OH could coordinate with [Zr6O4(OH)4]12+ through oxygen, and a π-π stacking interaction existed between MWCNTs-OH and PTA. These interactions provided additional nucleation sites for the synthesis of UiO-66 [27], enabling greater HPW encapsulation and consequent Brönsted acid enhancement.
Table 3.
Acid content and acidic distribution of the catalysts.
Figure 6.
NH3-TPD profile of (a) UiO-66, PW/UiO, and PW/UiO/CNTs-OH, FT-IR spectra of (b) UiO-66, PW/UiO, and PW/UiO/CNTs-OH, EIS plots of (c) UiO-66, PW/UiO, and PW/UiO/CNTs-OH, and TG curves of (d) MWCNTs, UiO-66, PW/UiO, and PW/UiO/CNTs-OH catalysts.
Electrochemical characterization was conducted to assess charge transfer behavior in UiO-66, PW/UiO, and PW/UiO/CNTs-OH catalysts. As shown in Figure 6c, the electron transfer efficiency followed the sequence: UiO-66 > PW/UiO > PW/UiO/CNTs-OH. Notably, PW/UiO/CNTs-OH exhibited the smallest EIS arc diameter, indicating superior electron migration efficiency, which facilitated the reaction process.
The thermal stability of MWCNTs-OH, UiO-66, PW/UiO, and PW/UiO/CNTs-OH was evaluated by TG. As shown in Figure 6d, all the samples exhibited three distinct steps in the weight loss stages. For UiO-66, three weight-loss stages were observed in the temperature ranges of 26–100 °C, 100–300 °C, and 485–610 °C, which were centered at 55, 222, and 557 °C, respectively. The initial stage (26–100 °C) was attributed to the evaporation of the physically adsorbed H2O and methanol. This was followed by a weight-loss stage (100–300 °C) resulting from DMF solvent removal from the UiO-66 pores and decomposition of residual PTA [24]. Structural collapse and thermal degradation of the framework to ZrO2 were observed in the final stage (485–610 °C) [17]. In addition, no further weight loss was detected above 610 °C. The PW/UiO-66 sample exhibited identical first two stages of decomposition to UiO-66, with its third stage of mass loss (400–610 °C) attributed to the structural collapse of the framework combined with HPW decomposition into WO3 and P2O5 [32]. Collectively, the thermal stability analysis confirmed that all materials maintained structural integrity below 400 °C.
The formation mechanism of the Lewis acid sites in PW/UiO/CNTs-OH and the bridging function of UiO-66 are schematically illustrated in Figure 7. Specifically, the [Zr6O4(OH)4] cluster within UiO-66 coordinates with tungsten atoms in the [PW12O40]− polyoxometalate anion via oxygen linkages, anchoring HPW. Simultaneously, it formed oxygen-mediated coordination bonds with MWCNTs-OH. This dual coordination mechanism effectively bridges HPW and MWCNTs-OH. Simultaneously, the π-electrons of MWCNTs exhibited a strong electron-withdrawing effect on the [Zr6O4(OH)4] cluster, causing electrons to migrate to the surface of MWCNTs and delocalize within their aromatic structures. This enhanced the charge imbalance in the PW/UiO/CNTs-OH catalyst system, leading to an excess positive charge. This enhances the charge imbalance in the PW/UiO/CNTs-OH catalyst system, leading to an excess positive charge. Ultimately, this results in the formation of Lewis acid sites in the region where the MWCNTs adsorb the [Zr6O4(OH)4] cluster, significantly improving the catalytic activity.
Figure 7.
The bridging role of UiO-66 in PW/UiO/CNTs-OH and the formation mechanism of Lewis acid sites.
2.2. Catalytic Activity
The catalytic performance of UiO-66, PW/UiO, and PW/UiO/CNTs-OH in esterification reactions was evaluated under standardized conditions (a methanol-to-oleic-acid molar ratio of 14:1, a catalyst loading of 6 wt%, and a reaction temperature of 70 °C), as illustrated in Figure 8. Notably, PW/UiO/CNTs-OH exhibited superior catalytic activity, with a methyl oleate yield of 92.0%, attributed to its higher concentration of acidic sites and electron migration efficiency compared with UiO-66 and PW/UiO.
Figure 8.
The yield of FAME catalyzed by UiO-66, PW/UiO and PW/UiO/CNTs-OH.
A central composite design was implemented with three independent variables: methanol-to-oleic-acid molar ratio (X1, mol/mol), catalyst loading (X2, wt%), and reaction temperature (X3, °C), while the yield of FAME (Y, %) served as the response variable. The experimental matrix containing 20 experimental runs and corresponding results are systematically presented in Table 4, with the ANOVA analysis for the RSM detailed in Table 5. Through statistical evaluation, the quadratic regression equation was derived as follows:
Table 4.
Results of FAME yield from the experimental design.
Table 5.
ANOVA for response surface quadratic model.
The model adequacy and predictive reliability were statistically validated through ANOVA-derived metrics including the p-value, F-value, and R2 metrics. A correlation coefficient R2 0.9975 was obtained, demonstrating the model’s capability to reliably predict methyl oleate yields. Moreover, the difference between the Pred R2 (0.9808) and the Adj R2 (0.9953) was less than 0.2, demonstrated robust alignment of the regression model with experimental reality. This minimal discrepancy further validated the goodness-of-fit of the formula. Experimental repeatability was verified by a coefficient of variation (C.V. = 1.60%) below the 2% acceptability threshold. However, the lack-of-fit analysis (p < 0.05) indicated the presence of systematic errors in the model. Nevertheless, the model demonstrates high reliability in practical applications. As shown in Table 4, the predicted and experimental values exhibit close agreement. Therefore, the observed lack-of-fit potentially stems from systematic measurement errors, with their impact demonstrating negligible relevance to the primary objectives of this study. To further verify the model’s credibility, residual analysis was supplemented (Figure 9d), revealing no clear patterns in error distribution and no outliers interfering with the conclusions. Thus, the model can be considered credible.
Figure 9.
Combination effect of (a) the molar ratio of methanol to oleic acid and catalyst loading, (b) the molar ratio of methanol to oleic acid and temperature, (c) catalyst loading and temperature on biodiesel yield, and (d) residuals versus std. number of the fitted model.
The effect of catalyst loading, methanol-to-oleic-acid molar ratio, and reaction temperature on biodiesel yield are presented in Figure 9a–c. The interaction between catalyst loading and the molar ratio of methanol to oleic acid under fixed reaction duration at the central point (70 °C) is displayed in Figure 9a. A significant increase in methyl oleate yield was observed as the catalyst loading rose from 2.6 wt% to 6 wt%, with the maximum yield reaching 92.0% at 6 wt% catalyst loading, attributable to optimal utilization of active sites. However, further increasing the catalyst loading to 10 wt% resulted in marginal yield reduction despite continued dosage escalation, due to the reversible nature of the esterification reaction and potential catalyst deactivation [33]. Figure 9b demonstrates the interaction between catalyst loading and methanol-to-oleic-acid molar ratio under fixed reaction duration at the central point (6 wt% catalyst loading). A significant improvement in methyl oleate yield was observed as the molar ratio increased from 10.6:1 to 14:1. However, further elevation of the molar ratio to 17.3:1 resulted in marginal yield reduction, attributable to the reversible nature of the esterification reaction. Increasing reactant ratios thermodynamically favors the forward conversion, where methanol concentration (expressed as methanol-to-oleic-acid molar ratio) dominates in the esterification system. While methyl oleate yield increases with methanol addition, exceeding the critical molar ratio threshold of 14:1 induces methanol accumulation on the catalyst surface. This accumulation reduces the oleic acid–catalyst contact area and may ultimately cause catalyst deactivation through active site blockage [34]. The interaction between catalyst loading and reaction temperature under fixed reaction duration at the central point (70 °C) is displayed in Figure 9c, where methyl oleate yield showed progressive improvement with elevated temperatures due to the endothermic nature of esterification that thermodynamically favors forward reaction kinetics. The parameter significance ranking derived from Figure 9 demonstrated X2 > X1 > X3. The model-predicted optimal parameters (14.3:1 molar ratio of methanol to oleic acid, 6.54 wt% catalyst loading, 68.8 °C reaction temperature) were determined to yield 91.9% methyl oleate through balanced activation energy and mass transfer optimization.
The reusability of PW/UiO/CNTs-OH was evaluated under optimal reaction conditions. The spent catalyst was recovered via centrifugation and subsequently subjected to three methanol washing cycles to eliminate surface-adsorbed methyl oleate and residual oleic acid, followed by vacuum activation at 130 °C for 12 h. The model-predicted methyl oleate yield of 91.9% showed close alignment with the experimental value (92.9%), with a deviation of only 1.0% demonstrating model accuracy. As shown in Figure 10, a yield reduction to 82.3% was observed after the fourth reuse cycle, attributed to potential pore channel blockage that compromised active site accessibility.
Figure 10.
The yield of FAME catalyzed by PW/UiO/CNTs-OH in five reaction cycles.
3. Materials and Methods
3.1. Materials
Reagents and materials were procured as follows: 12-tungstophosphoric acid, multi-walled carbon nanotubes, and zirconium chloride from Sigma-Aldrich (Sigma-Aldrich, Shanghai, China); nitric acid, glacial acetic acid, and N,N-dimethylformamide from Xirong Chemical Engineering Co., Ltd. (Xirong Chemical Engineering Co., Ltd., Shantou, China); oleic acid and p-phthalic acid from Shanghai Macklin Biochemical Co., Ltd. (Shanghai Macklin Biochemical Co., Ltd., Shanghai, China); methanol from Sinopharm Chemical Reagent Co., Ltd. (Sinopharm Chemical Reagent Co., Ltd., Shanghai, China). All chemicals were of analytical pure (AR) grade unless otherwise specified.
3.2. PW/UiO/CNTs-OH Catalyst Preparation
The preparation method of the MWCNTs-OH catalyst is as follows: first, 1 g of multi-walled carbon nanotubes (MWCNTs) was dispersed in 60 mL of HNO3. The mixture was mechanically stirred at 700 rpm for 1 h at 20 °C, followed by ultrasonic treatment for 30 min. Subsequently, the mixture was filtered and washed with deionized water until the filtrate was neutral (detected with pH test paper). Finally, the obtained black powder was dried in a vacuum oven at 60 °C for 12 h to yield hydroxylated multi-walled carbon nanotubes (MWCNTs-OH).
The preparation of UiO-66 catalyst was as follows: initially, 0.50 g of ZrCl4 was dissolved in 64 mL of DMF under continuous stirring (30 min). After adding 8 mL of CH3COOH, the solution was sonicated (30 min). The mixture was then transferred to a Teflon-lined autoclave and heated at 130 °C for 4 h. Subsequently, 0.36 g of PTA (ensuring a molar ratio of ZrCl4:PTA = 1:1) was introduced, and the mixture underwent a second hydrothermal synthesis at 100 °C for 36 h. Finally, the product was collected by centrifugation, washed sequentially with DMF and methanol (three times each), and dried in a vacuum oven at 80 °C for 12 h to obtain UiO-66.
The preparation of PW/UiO-66 catalyst was as follows: following the initial steps identical to those used for UiO-66 synthesis (dissolution of 0.50 g ZrCl4 in 64 mL DMF, addition of 8 mL CH3COOH, and hydrothermal treatment at 130 °C for 4 h), 0.40 g of HPW and 0.30 g of PTA (ensuring a ZrCl4:PTA molar ratio of 1.2:1) were added after cooling. The mixture was then subjected to a hydrothermal reaction at 100 °C for 36 h. Finally, the product was collected by centrifugation, washed sequentially with DMF and methanol (three times each), and dried in a vacuum oven at 80 °C for 12 h to yield PW/UiO.
The preparation of PW/UiO/CNTs-OH catalyst was as follows: the procedure followed the protocol for PW/UiO synthesis with the following modifications: after the initial hydrothermal step (130 °C for 4 h), 0.01 g of MWCNTs-OH was dispersed into the cooled mixture via ultrasonication for 30 min. Subsequently, 0.40 g of HPW and 0.30 g of PTA (ensuring a ZrCl4:PTA molar ratio of 1.2:1) were added to the mixture. The final hydrothermal reaction was conducted at 100 °C for 36 h. The product was then collected by centrifugation, washed sequentially with DMF and methanol (three times each), and dried at 80 °C for 12 h, yielding PW/UiO/CNTs-OH.
3.3. Characterization of the Catalysts
Chemical characterization of the catalyst was performed through multiple analytical techniques. Fourier transform infrared spectra (FT-IR) were recorded on a Nicolet iS50 spectrometer (Thermo Fisher, Waltham, MA, USA) in the 4000–400 cm−1 range using KBr pellets. The samples were prepared at room temperature using the KBr pellet method. X-ray diffraction (XRD) was used to examine the crystalline phases of the catalyst, utilizing Cu Kα radiation at 3 kW and scanning from 5 to 85° (SmartLab SE, Nippon Science, Tokyo, Japan). Under a vacuum condition (p < 10−6 Pa), the surface chemical states of catalysts were analyzed using X-ray photoelectron spectroscopy (XPS) with a monochromatic Al Kα X-ray source (hv = 1486.6 eV) at 100 W power (K-Alpha, Thermo Fisher, Waltham, MA, USA). An inductively coupled plasma optical emission spectrometer (ICP-OES) was used to analyze the W content in the catalyst (Thermo ICAP PRO, Thermo Fisher, Waltham, MA, USA). Scanning electron microscopy (SEM) was employed to examine the surface morphology (MLA650F, FEI company, Hillsboro, OR, USA). The affinity of the catalyst towards deionized water was measured with an optical contact angle measuring instrument (JYC, ShangHai FangRui Instrument Ltd., Shanghai, China). The nitrogen adsorption–desorption isotherm of catalysts was measured by N2 adsorption instrument (ASAP2020, Micromeritics Instrument Ltd., Nokomis, GA, USA) at 77 K to determine the specific surface area, pore volume, and pore size distribution. The analysis of acidic active sites’ content and strength in catalysts was performed using NH3 temperature programmed desorption (NH3-TPD), across a temperature range of 50–750 °C (AutoChem II 2920, Micromeritics Instrument Ltd., Nokomis, GA, USA). Pyridine adsorption IR spectra (Py-IR) were used to measure the Brönsted (B) and Lewis (L) acid sites on the catalyst surfaces (Bruker tensor 27, Bruker, Karlsruhe, Germany). Electrochemical impedance tests (EIS) were carried out with an electrochemical workstation (CHI660D, ShangHai HuaChen Ltd., Shanghai, China). A thermal gravimetric analyzer (TG) was used to measure the weight loss and stability of the samples at various temperatures (STA449F5, Netzsch, Selb, Germany).
3.4. Esterification Process Catalyzed by PW/UiO/CNTs-OH
The esterification process was conducted as follows: oleic acid and methanol were precisely mixed at a predetermined molar ratio. Subsequently, the homogeneous mixture along with a specified amount of catalyst was transferred into a sealed stainless steel autoclave reactor. The reaction system was maintained under isothermal conditions for a predetermined duration.
Upon completion of the reaction, 1 mL of crude product was collected and subjected to solvent evaporation in a drying oven (60 °C, 1 h) to remove residual methanol and aqueous-phase byproducts. The concentrated sample was then diluted to 5 mL with HPLC-grade methanol to ensure homogeneity. The resulting solution was filtered through a 0.45 μm membrane filter to eliminate particulate matter and residual catalyst particles. Finally, the concentration of FAME was determined by gas chromatography and quantified based on the external standard method. The formula for calculating the yield (%) is as follows:
where m0 is the initial mass of oleic acid (g), mi is the mass of FAME after reacting a certain time (g), and mMO are the mass of methyl oleate.
Upon completion and cooling of the reaction, the resulting mixture separated into two distinct layers. The upper layer consisted of FAME and a minor amount of unreacted oleic acid, while the lower layer was a turbid mixture containing the solid catalyst PW/UiO/CNTs-OH, methanol, and water. To recover the catalyst, PW/UiO/CNTs-OH was isolated from the mixture via suction filtration, washed three times with tert-butanol, subsequently reactivated at 130 °C for reuse.
3.5. Gas Chromatographic Conditions
The analytical separation utilized a three-stage temperature gradient: beginning with an isothermal phase at 50 °C, the DB-5 column (30 m × 0.25 mm × 0.25 μm) was heated at 20 °C·min−1 to 180 °C, followed by a slower 2 °C·min−1 ramp to 200 °C, and finally a 10 °C·min−1 increase to 250 °C with 5 min stabilization. All measurements on the Agilent 7820A system employed 1 μL split injections (20:1) under 25 mL·min−1 nitrogen flow.
3.6. Experimental Design
In this study, the esterification reaction parameters were optimized using central composite design-response surface methodology (CCD-RSM). A three-factor, five-level experimental framework was implemented through Design Expert software (version 10.0.7.0, Stat-Ease, Minneapolis, MN, USA) for both design generation and statistical analysis. The central composite design examined the effects of molar ratio of methanol to oleic acid (X1, mol/mol), catalyst loading (X2, wt%), and reaction temperature (X3, °C) on methyl oleate yield (Y, %) were investigated through CCD, employing a second-order polynomial model (equation 2). A total of 20 experiments were designed (20 = 2n + 2n + n0, where n = 3 factors and n0 = 6 center points), including 8 factorial points, 6 axial points, and 6 repeated central points. The model’s adequacy was assessed via analysis of variance (ANOVA) and significance tests. The levels of independent variables and their experimental ranges are summarized in Table 6.
where Y is the expected response value (methyl oleate yield) and α0 and αi are the coefficient constant and linear constant, respectively. αii and αij terms are the quadratic coefficients and interaction coefficients, respectively. The terms Xi and Xj denote independent parameters [35].
Table 6.
Range and levels of each process parameter based on the CCD-RSM methodology.
4. Conclusions
In this study, a Brönsted–Lewis solid acid catalyst PW/UiO/CNTs-OH was synthesized through UiO-66-mediated bridging of HPW and MWCNTs. Under optimal conditions, where the molar ratio of methanol to oleic acid was 14.27:1, the catalyst loading was 6.54 wt%, the reaction temperature was 68.8 °C, and the reaction time was 90 min, the yield of methyl oleate reached 92.9%. Furthermore, after four cycles, the catalyst retained a methyl oleate yield of 82.3%, demonstrating operational stability. The enhanced performance of PW/UiO/CNTs-OH originated from electron-withdrawing interactions between the [Zr6O4(OH)4] clusters in UiO-66 and the π-electrons of MWCNTs, which promoted the formation of numerous strong Lewis acid sites. This work introduced an MOF-based chemical bridging strategy that establishes a groundbreaking paradigm for heterogeneous catalyst design, thereby substantially expanding viable industrial applications.
Author Contributions
Conceptualization, X.X. and Q.S.; Methodology, X.X.; Software, L.Z.; Validation, Q.W. and X.X.; Formal Analysis, Q.W.; Investigation, L.Z.; Resources, Q.S.; Data Curation, Q.W.; Writing—Original Draft Preparation, X.X.; Writing—Review and Editing, Q.S.; Visualization, Q.W.; Supervision, Q.S.; Project Administration, L.Z.; Funding Acquisition, Q.S. All authors have read and agreed to the published version of the manuscript.
Funding
The National Natural Science Foundation of China (21766009).
Data Availability Statement
The raw data supporting the conclusions of this article will be made available by the authors on request.
Conflicts of Interest
The authors declare that they have no known competing financial interests or personal relationships that could have appeared to influence the work reported in this paper.
References
- Ma, X.; Liu, F.; Helian, Y.; Li, C.; Wu, Z.; Li, H.; Chu, H.; Wang, Y.; Wang, Y.; Lu, W.; et al. Current application of MOFs based heterogeneous catalysts in catalyzing transesterification/esterification for biodiesel production: A review. Energy Convers. Manag. 2021, 229, 113760. [Google Scholar] [CrossRef]
- Zabeti, M.; Wan Daud, W.M.A.; Aroua, M.K. Activity of Solid Catalysts for Biodiesel Production: A Review. Fuel Process. Technol. 2009, 90, 770–777. [Google Scholar] [CrossRef]
- Nath, B.; Das, B.; Kalita, P.; Basumatary, S. Waste to Value Addition: Utilization of Waste Brassica nigra Plant Derived Novel Green Heterogeneous Base Catalyst for Effective Synthesis of Biodiesel. J. Clean. Prod. 2019, 239, 118112. [Google Scholar] [CrossRef]
- Frattini, L.; Isaacs, M.A.; Parlett, C.M.A.; Wilson, K.; Kyriakou, G.; Lee, A.F. Support Enhanced α-pinene Isomerization over HPW/SBA-15. Appl. Catal. B Environ. 2017, 200, 10–18. [Google Scholar] [CrossRef]
- You, X.; Yu, L.-l.; Xiao, F.-f.; Wu, S.-c.; Yang, C.; Cheng, J.-h. Synthesis of Phosphotungstic Acid-Supported Bimodal Mesoporous Silica-Based Catalyst for Defluorination of Aqueous Perfluorooctanoic Acid under Vacuum UV Irradiation. Chem. Eng. J. 2018, 335, 812–821. [Google Scholar] [CrossRef]
- Liu, J.; Yang, G.; Liu, Y.; Zhou, Z.; Zhang, Z.; Hu, X. Selective Oxidation of Cyclohexene with H2O2 Catalyzed by Resin Supported Peroxo Phosphotungstic Acid Under Mild Conditions. Catal. Lett. 2021, 151, 147–152. [Google Scholar] [CrossRef]
- Li, M.; Wang, T.; Liu, X.-L.; Bao, Z.-L.; Qian, P.-F.; Liu, K.; Shi, Y.; Ming, X.; Geng, H.-Z. Highly Stable Phosphotungstic Acid/Au Dual Doped Carbon Nanotube Transparent Conductive Films for Transparent Flexible Heaters. Carbon 2023, 207, 219–229. [Google Scholar] [CrossRef]
- Manikandan, K.; Cheralathan, K.K. Heteropoly Acid Supported on Silicalite–1 Possesing Intracrystalline Nanovoids Prepared Using Biomass–an Efficient and Recyclable Catalyst for Esterification of Levulinic Acid. Appl. Catal. A Gen. 2017, 547, 237–247. [Google Scholar] [CrossRef]
- Macawile, M.C.; Quitain, A.T.; Kida, T.; Tan, R.; Auresenia, J. Green Synthesis of Sulfonated Organosilane Functionalized Multiwalled Carbon Nanotubes and its Catalytic Activity for One-Pot Conversion of High Free Fatty Acid Seed Oil to Biodiesel. J. Clean. Prod. 2020, 275, 123146. [Google Scholar] [CrossRef]
- Donaldson, K.; Aitken, R.; Tran, L.; Stone, V.; Duffin, R.; Forrest, G.; Alexander, A. Carbon Nanotubes: A Review of Their Properties in Relation to Pulmonary Toxicology and Workplace Safety. Toxicol. Sci. 2006, 92, 5–22. [Google Scholar] [CrossRef]
- Ma, P.-C.; Siddiqui, N.A.; Marom, G.; Kim, J.-K. Dispersion and Functionalization of Carbon Nanotubes for Polymer-Based Nanocomposites: A Review. Compos. Part A Appl. Sci. Manuf. 2010, 41, 1345–1367. [Google Scholar] [CrossRef]
- Shu, Q.; Liu, X.; Huo, Y.; Tan, Y.; Zhang, C.; Zou, L. Construction of a Brönsted-Lewis solid acid catalyst La-PW-SiO2/SWCNTs based on electron withdrawing effect of La(III) on π bond of SWCNTs for biodiesel synthesis from esterification of oleic acid and methanol. Chin. J. Chem. Eng. 2022, 44, 351–362. [Google Scholar] [CrossRef]
- Bornhof, A.-B.; Bauzá, A.; Aster, A.; Pupier, M.; Frontera, A.; Vauthey, E.; Sakai, N.; Matile, S. Synergistic Anion–(π)n–π Catalysis on π-Stacked Foldamers. J. Am. Chem. Soc. 2018, 140, 4884–4892. [Google Scholar] [CrossRef] [PubMed]
- Ullah, L.; Zhao, G.; Hedin, N.; Ding, X.; Zhang, S.; Yao, X.; Nie, Y.; Zhang, Y. Highly Efficient Adsorption of Benzothiophene from Model Fuel on a Metal-Organic Framework Modified with Dodeca-Tungstophosphoric Acid. Chem. Eng. J. 2019, 362, 30–40. [Google Scholar] [CrossRef]
- Devarajan, Y.; Munuswamy, D.B.; Subbiah, G.; Vellaiyan, S.; Nagappan, B.; Varuvel, E.G.; Thangaraja, J. Inedible oil feedstocks for biodiesel production: A review of production technologies and physicochemical properties. Sustain. Chem. Pharm. 2022, 30, 100840. [Google Scholar] [CrossRef]
- Valenzano, L.; Civalleri, B.; Chavan, S.; Bordiga, S.; Nilsen, M.H.; Jakobsen, S.; Lillerud, K.P.; Lamberti, C. Disclosing the Complex Structure of UiO-66 Metal Organic Framework: A Synergic Combination of Experiment and Theory. Chem. Mater. 2011, 23, 1700–1718. [Google Scholar] [CrossRef]
- Man, Z.; Meng, Y.; Lin, X.; Dai, X.; Wang, L.; Liu, D. Assembling UiO-66@TiO2 Nanocomposites for Efficient Photocatalytic Degradation of Dimethyl Sulfide. Chem. Eng. J. 2022, 431, 133952. [Google Scholar] [CrossRef]
- Ma, Y.; Li, A.; Wang, C.; Ge, X. Preparation of HPW@UiO-66 Catalyst with Defects and its Application in Oxidative Desulfurization. Chem. Eng. J. 2021, 404, 127062. [Google Scholar] [CrossRef]
- Zeng, Z.; Sorescu, D.C.; White, D.L.; Hwang, S.I.; Shao, W.; He, X.; Schulte, Z.M.; Rosi, N.L.; Star, A. Heterogeneous Growth of UiO-66-NH2 on Oxidized Single-Walled Carbon Nanotubes to Form “Beads-on-a-String” Composites. ACS Appl. Mater. Interfaces 2021, 13, 15482–15489. [Google Scholar] [CrossRef]
- Alcañiz-Monge, J.; Bakkali, B.E.; Trautwein, G.; Reinoso, S. Zirconia-supported Tungstophosphoric Heteropolyacid as Heterogeneous Acid Catalyst for Biodiesel Production. Appl. Catal. B Environ. 2018, 224, 194–203. [Google Scholar] [CrossRef]
- Chen, C.; Chen, D.; Xie, S.; Quan, H.; Luo, X.; Guo, L. Adsorption Behaviors of Organic Micropollutants on Zirconium Metal–Organic Framework UiO-66: Analysis of Surface Interactions. ACS Appl. Mater. Interfaces 2017, 9, 41043–41054. [Google Scholar] [CrossRef]
- Rao, K.N.; Sridhar, A.; Lee, A.F.; Tavener, S.J.; Young, N.A.; Wilson, K. Zirconium Phosphate Supported Tungsten Oxide Solid Acid Catalysts for the Esterification of Palmitic Acid. Green Chem. 2006, 8, 790–797. [Google Scholar] [CrossRef]
- Yan, L.; Duan, T.; Huang, T.; Zhao, B.; Fan, Y. Phosphotungstic Acid Immobilized on Mixed-Ligand-Directed UiO-66 for the Esterification of 1-butene with Acetic Acid to Produce High-Octane Gasoline. Fuel 2019, 245, 226–232. [Google Scholar] [CrossRef]
- Kar, A.K.; Sarkar, R.; Manal, A.K.; Kumar, R.; Chakraborty, S.; Ahuja, R.; Srivastava, R. Unveiling and understanding the remarkable enhancement in the catalytic activity by the defect creation in UiO-66 during the catalytic transfer hydrodeoxygenation of vanillin with isopropanol. Appl. Catal. B Environ. 2023, 325, 122385. [Google Scholar] [CrossRef]
- Ma, T.; Liu, D.; Liu, Z.; Xu, J.; Dong, Y.; Chen, G.; Yun, Z. 12-Tungstophosphoric Acid-Encapsulated Metal-Mrganic Framework UiO-66: A Promising Catalyst for the Esterification of Acetic Acid with N-butanol. J. Taiwan Inst. Chem. Eng. 2022, 133, 104277. [Google Scholar] [CrossRef]
- Liao, X.; Huang, Y.; Zhou, Y.; Liu, H.; Cai, Y.; Lu, S.; Yao, Y. Homogeneously Dispersed HPW/Graphene for High Efficient Catalytic Oxidative Desulfurization Prepared by Electrochemical Deposition. Appl. Surf. Sci. 2019, 484, 917–924. [Google Scholar] [CrossRef]
- Ellis, J.E.; Zeng, Z.; Hwang, S.I.; Li, S.; Luo, T.-Y.; Burkert, S.C.; White, D.L.; Rosi, N.L.; Gassensmith, J.J.; Star, A. Growth of ZIF-8 on Molecularly Ordered 2-Methylimidazole/Single-Walled Carbon Nanotubes to Form Highly Porous, Electrically Conductive Composites. Chem. Sci. 2019, 10, 737–742. [Google Scholar] [CrossRef]
- Cavka, J.H.; Jakobsen, S.; Olsbye, U.; Guillou, N.; Lamberti, C.; Bordiga, S.; Lillerud, K.P. A New Zirconium Inorganic Building Brick Forming Metal Organic Frameworks with Exceptional Stability. J. Am. Chem. Soc. 2008, 130, 13850–13851. [Google Scholar] [CrossRef]
- Zhang, F.; Zheng, S.; Xiao, Q.; Zhong, Y.; Zhu, W.; Lin, A.; Samy El-Shall, M. Synergetic Catalysis of Palladium Nanoparticles Encaged within Amine-Functionalized UiO-66 in the Hydrodeoxygenation of Vanillin in Water. Green Chem. 2016, 18, 2900–2908. [Google Scholar] [CrossRef]
- Liang, J.; Chen, R.-P.; Wang, X.-Y.; Liu, T.-T.; Wang, X.-S.; Huang, Y.-B.; Cao, R. Postsynthetic Ionization of an Imidazole-Containing Metal–Organic Framework for the Cycloaddition of Carbon Dioxide and Epoxides. Chem. Sci. 2017, 8, 1570–1575. [Google Scholar] [CrossRef]
- Freitas, E.F.; Araújo, Á.A.L.; Paiva, M.F.; Dias, S.C.L.; Dias, J.A. Comparative Acidity of BEA and Y Zeolite Composites with 12-tungstophosphoric and 12-tungstosilicic Acids. Mol. Catal. 2018, 458, 152–160. [Google Scholar] [CrossRef]
- Yang, X.-L.; Qiao, L.-M.; Dai, W.-L. Phosphotungstic Acid Encapsulated in Metal-Organic Framework UiO-66: An Effective Catalyst for the Selective Oxidation of Cyclopentene to Glutaraldehyde. Microporous Mesoporous Mater. 2015, 211, 73–81. [Google Scholar] [CrossRef]
- Jiang, Y.; Lu, J.; Sun, K.; Ma, L.; Ding, J. Esterification of oleic acid with ethanol catalyzed by sulfonated cation exchange resin: Experimental and kinetic studies. Energy Convers. Manag. 2013, 76, 980–985. [Google Scholar] [CrossRef]
- Niu, S.; Ning, Y.; Lu, C.; Han, K.; Yu, H.; Zhou, Y. Esterification of oleic acid to produce biodiesel catalyzed by sulfonated activated carbon from bamboo. Energy Convers. Manag. 2018, 163, 59–65. [Google Scholar] [CrossRef]
- Arrais Gonçalves, M.; Karine Lourenço Mares, E.; Roberto Zamian, J.; Narciso da Rocha Filho, G.; Rafael Vieira da Conceição, L. Statistical Optimization of Biodiesel Production from Waste Cooking Oil Using Magnetic Acid Heterogeneous Catalyst MoO3/SrFe2O4. Fuel 2021, 304, 121463. [Google Scholar] [CrossRef]
Disclaimer/Publisher’s Note: The statements, opinions and data contained in all publications are solely those of the individual author(s) and contributor(s) and not of MDPI and/or the editor(s). MDPI and/or the editor(s) disclaim responsibility for any injury to people or property resulting from any ideas, methods, instructions or products referred to in the content. |
© 2025 by the authors. Licensee MDPI, Basel, Switzerland. This article is an open access article distributed under the terms and conditions of the Creative Commons Attribution (CC BY) license (https://creativecommons.org/licenses/by/4.0/).









