Abstract
In this work, a new crystal growth technique called the liquid transport method was introduced to synthesize single crystals of a topological superconductor candidate, InxSn1−xTe (IST). Crystals with the size of several millimeters were successfully synthesized, and were characterized by X-ray diffraction, scanning electron microscopy with energy-dispersive spectroscopy as well as electronic transport measurements. Lattice parameters decreased monotonously with the increase of indium content while hole density varied in reverse. Superconductivity with the critical temperature (Tc) around 1.6 K were observed, and the hole densities were estimated to be in the order of 1020 cm−3. The upper critical fields (Bc2) were estimated to be 0.68 T and 0.71 T for In0.04Sn0.96Te and In0.06Sn0.94Te, respectively. The results indicated that the quality of our crystals is comparable to that grown by the chemical vapor transport method, but with a relatively larger size. Our work provides a new method to grow large single crystals of IST and could help to solve the remaining open questions in a system that needs large crystals, such as a superconducting pairing mechanism, unconventional superconductivity, and so on.
1. Introduction
New topological quantum states, topological insulators (TIs) and topological crystalline insulators (TCIs) have been attracting great attention because of their novel gapless surface states which are protected by time-reversal symmetry and crystalline mirror symmetry [1,2,3,4,5], respectively. These gapless surface states originate from a non-zero topological invariant of the bulk energy bands, and have great potential applications in spintronics, dissipationless transport, photoelectric detection, and so on. Similar to TIs, a sister topological state called topological superconductor (TSC) has also attracted enormous attention since it is considered to be a good platform for pursuing Majorana fermion (MF) [6]. When confined to zero-dimension, MFs develop into Majorana zero modes which obey non-Abelian statistics. Such quasiparticles are proposed to have potential applications in topological quantum computing [7,8]. There are two effective ways to realize topological superconductivity, including the proximity effect [8,9] and doping TIs or TCIs. For example, superconductivity has been successfully observed in doped AxBi2Se3 (A = Cu [10,11], Sr [12,13] and Nb [14]) for TIs and NxSn1−xTe (N = In [15,16] and Ag [17]) for TCIs. Furthermore, unconventional superconducting properties, such as nematic superconductivity, which is related to topological features, were observed in all of the doped Bi2Se3 family, indicating that the C3 rotational symmetry of Bi2Se3 was broken [11,18,19,20]. However, the doped AxBi2Se3 are not suitable for developing devices because the superconductivity in these TSC candidates are very fragile against air exposure, mechanical force, and heating. To the best of our knowledge, no device fabricated based on these materials has been reported. In comparison, the superconductivity in IST is more robust and more promising for device fabrication and further MF investigation.
SnTe crystallizes in a NaCl-type structure with space group Fm m and superconductivity shows up at 0.3 K due to the existence of a Sn vacancy [15]. The critical temperature Tc can be enhanced by indium doping. It was reported that the Tc of IST increased gradually with increasing x when x 0.04 and the structure remained NaCl-type [21,22]. Meanwhile, the carrier type changed from p-type to n-type when x is higher than 0.1 [23,24]. A zero-bias conductance peak (ZBCP) was detected at 0.37 K on the (001) plane of a single crystal grown by the vapor transport method [16]. The ZBCP originates from the surface Andreev bound states (ABSs) which are favored by TSCs, indicating that IST may be a candidate material for TSCs. It was confirmed that the Dirac-like surface states exist in both the IST single crystal with x = 0.045 and thin films with x = 0.4 from angle resolved photoemission spectroscopy (ARPES) measurement [25,26]. On the other hand, nuclear magnetic resonance (NMR) measurements illustrated the spin-singlet superconductivity in the polycrystalline In0.04Sn0.96Te which violates the existing formulation of Majorana fermions that requires spin-triplet state [27]. However, it is clear that the polycrystalline sample shows more disorder than the single crystal and impurity favors higher indium doping samples. Besides, IST crystals grown by the modified Bridgman method with 0.38 ≤ x ≤ 0.45 were reported to be a topologically trivial single-gap s-wave superconductor according to the temperature dependence of the magnetic penetration depth based on the muon spin rotation or relaxation (SR) measurements [28]. One view is that non-trivial topology may only exist in IST crystals with lower indium content [16,21]. Unfortunately, large IST crystals with lower indium are rare. Therefore, in order to make clear whether IST is topological or not, large single crystals with lower indium doping are desirable.
In this paper, we report the growth of IST (0.04 < x < 0.1) single crystals by a liquid transport method. According to X-ray diffraction (XRD), energy-dispersive X-ray spectroscopy (EDS) analysis and electronic transport measurements, we believe that indium with various contents was successfully doped into SnTe, and the sharp SC transitions indicate a high quality of the obtained crystals. We expect the IST single crystals grown by this method could help remaining open questions in this system to be answered.
2. Experimental Methods
The liquid transport growth method [29] was successfully introduced to synthesize IST single crystals. In order to obtain high-quality single crystals, pretreatment of starting materials (elemental shots of indium (Alfa Aesar, 99.99%), tin (Alfa Aesar, 99.999%) and tellurium (Alfa Aesar, 99.999%)) was performed to remove possible oxide layers on their surface, as described in elsewhere [30,31]. To be specific, the above starting materials were sealed in a quartz tube (Jinghui, Lianyungang, Jiangsu, China), respectively, with hydrogen of 0.8 atm (atmosphere), and then they were annealed at a temperature 50 K lower than their melting point for 10 h. After that, mixtures of pretreated starting materials with the nominal composition of InxSn1−xTe (x = 0.04, 0.06, 0.08 and 0.1) were prepared with the total weight of 8.0 g and were sealed in evacuated quartz tubes (12 cm in length and 8 mm in inner diameter, with base pressure lower than 2 × 10−4 Pa). Then, the quartz tubes were placed horizontally in a muffle furnace (TMX-4-12, FNS Electric Furnace, Beijing, China) with a temperature gradient of 15 K. The furnace was heated to 1123 K in 10 h and kept for 48 h with intermittent shaking to ensure the homogeneity of the melt (or precursor). After that, it was cooled down to 823 K at a rate of 2 K/h, and finally cooled down to room temperature with the furnace shut down.
The structure was characterized by XRD using a Bruker D8 Advance X (Bruker, Bruker, Germany) with Cu-Kα radiation. The compositions of the obtained single crystals were analyzed by EDS (JSM-7500F, JEOL, Tokyo, Japan). In addition, element mapping was carried out to demonstrate the homogenous distribution of the elements in IST single crystals. The resistivity, ρ, was measured by a four-terminal method in Oxford Teslatron PT cryostat (Oxford Instruments, Oxford, United Kingdom) equipped with a He-3 probe (Oxford Instruments, Oxford, United Kingdom) with temperature down to 300 mK. Silver wires were attached to the sample by room temperature-cured silver paste to make ohmic contacts. Keitheley 6221 and Keitheley 2182 served as the current supplier and voltmeter.
3. Results and Discussion
Liquid transport growth is similar to the widely used vapor transport growth technique, as shown in Figure 1a. To the best of our knowledge, this kind of growth method was first described by Yan et al. in 2017, and different kinds of large crystals can be obtained [29]. The detailed growth kinetic of this method was discussed by Yan et al. [29]. Usually, the starting materials (i.e., charge) are kept at the hot side of a quartz tube. In addition to the starting materials, a large amount of flux melt is added to partially fill the growth tube. The flux melt can either be the starting materials themselves or not. In our case, the flux melt is the former, i.e., mixed melt comprised of elements of In, Sn and Te, with the same ratio as the charge. The tube is placed horizontally in a furnace with a specific temperature gradient. In general, the flux dissolves the starting materials at the hot side and transfers the charge to the cold side driven by the composition gradient caused by the temperature gradient. At the cold side, the thermodynamically stable phase will start to precipitate when the concentration of the dissolved charge goes beyond the solubility limit. In our study, with the temperature of both sides decreased at the same time, large IST crystals were precipitated from the flux melt at the cold side.
Figure 1.
(a) Schematic illustration of liquid transport growth method. (b) Optical image of quartz ampoules after growth. (c) X-ray diffraction (XRD) pattern of InxSn1−xTe single crystals with x = 0, 0.04, 0.06, 0.08 and 0.1, the insets show optical image of as-grown single crystals (left) and enlarged view of (002) peaks (right).
Figure 1b shows the optical image of a quartz tube after growth. Some of isolated IST single crystals can be picked out, which are clearly shown in the inset (left) of Figure 1c, with the largest size of 4 4 2 mm3. XRD measurements were used to check the structure of IST single crystals, and the results are shown in Figure 1c. It is obvious that only two diffraction peaks at the 2θ around 28.4° and 58.4° were observed for all crystals, which can be easily indexed by the NaCl-type cubic structure of SnTe according to the JCPDS (Joint Committee on Powder Diffraction Standards) card (No. 98-060-0813), indicating the single phase of our crystals. We can clearly see that (002) peaks shift to high angle with increase of x, as shown in the inset (right) of Figure 1c, which means the lattice parameter of a was reduced since the indium was effectively doped into SnTe. The values of lattice parameter of a for all crystals are listed in Table 1. Similar results were reported in the references [22,23].
Table 1.
Actual composition, lattice parameter, Tc, Hc2 and carrier density of InxSn1−xTe crystals, note that the actual composition was normalized to Te content.
In order to check the composition and element distribution of the as-grown crystals, we performed EDS analysis and elemental mapping on a scanning electron microscope (SEM). Figure 2 exhibits the EDS spectrum and elemental mapping results of In0.04Sn0.96Te crystal.
Figure 2.
(a) Energy-dispersive X-ray (EDS) spectrum results of In0.04Sn0.96Te single crystal, confirming the existence of element In, Sn and Te. (b) Scanning electron microscope (SEM) image of In0.04Sn0.96Te single crystal. (c–e) EDS element mapping of In0.04Sn0.96Te single crystal, showing distribution of In, Sn and Te.
The EDS spectrum shown in Figure 2a was taken from the white dashed square area marked in Figure 2b, it is obvious that all three elements of In, Sn and Te were detected in the single crystal obtained. The actual compositions for all crystals are listed in Table 1. Note that the composition here is the average of the results measured at three different positions on the same single crystal. We can clearly see that the indium contents are slightly lower than the nominal contents, while the tin contents are slightly higher than the nominal. Combined with the SC transition observed in electrical transport measurement, which will be shown in the following part of the paper, we are sure that indium was effectively doped into SnTe. The composition checked at different positions on each single crystal was almost the same within the range of instrument error (1%), which means the elemental distribution is homogeneous in each crystal. This homogeneity was further confirmed by the elemental mapping, as shown in Figure 2c–e. We would like to point out that the indium content is sensitive to the growth temperature at the same growth: generally, the higher the growth temperature, the higher the indium content.
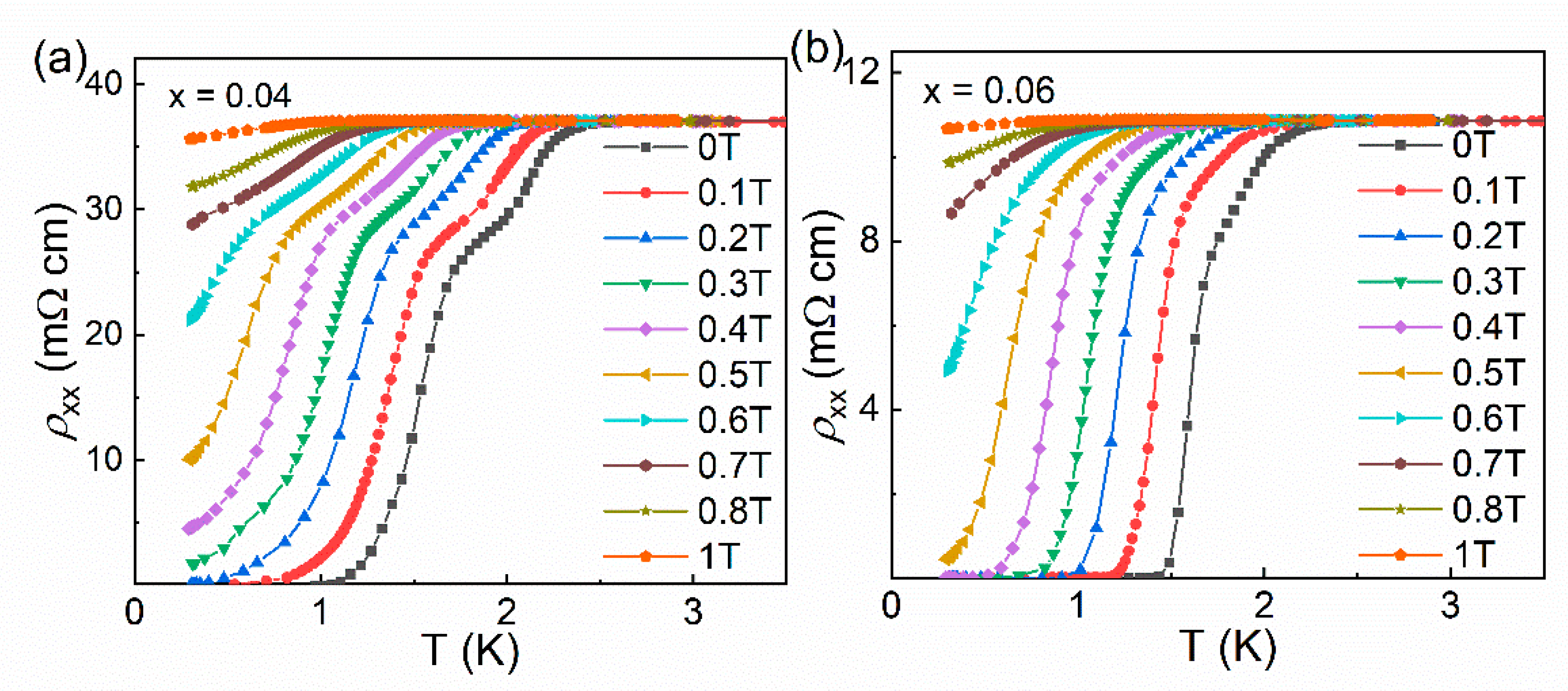
The superconductivity on In0.04Sn0.96Te and In0.06Sn0.94Te crystals was checked by electrical transport measurements. Since the crystals with lower indium content tend to show non-trivial topology [16,21], here we only focused on IST with lower indium content. A rectangular-shaped crystal was cut from a large single crystal by wire saw and their surfaces were polished.
Figure 3 shows the temperature dependence of in the temperature range from 3.5 K down to 0.3 K under various magnetic fields. We can see clearly that both crystals show superconductivity, and Tc are 1.57 K and 1.63 K for x = 0.04 and 0.06 crystals, respectively, at zero magnetic field, which is very close to that reported by Erickson et al. [15]. Here Tc was defined as the mid-point of the transition, i.e., the temperature at which reaches 50% level of the normal-state resistivity. The observation of superconducting transition with relative higher Tc (compared to the Tc = 0.3 K in SnTe) means indium was successfully doped into SnTe by using liquid transport method. We can see that the superconducting transition width of In0.06Sn0.94Te is about 0.6 K, as shown in Figure 3b. The small transition width indicates the high quality of this sample. That is to say, we can get high-quality crystals with homogenous distribution of indium by the liquid transport method. However, for the In0.04Sn0.96Te sample, two-step superconducting transitions is observed, as shown in Figure 3a, implying an inhomogeneous distribution of indium dopants in this sample, which means there are possible composition fluctuations of indium inside this crystal.
Figure 3.
Temperature dependence of longitudinal resistivity, , measured under various magnetic fields for In0.04Sn0.96Te (a) and In0.06Sn0.94Te (b) single crystals.
The magnetic field dependence of Hall resistivity, , was measured at 10 K for all indium doped crystals with field from −7 to 7 T, as shown in Figure 4a. All the (B) curves show a positive slope, indicating a hole-dominant carrier (p type) which is consistent with that reported by Novak. et al. [21]. The hole density p can be estimated in the following way: from the slope of the Hall resistivity versus the magnetic field B, we can obtain the Hall coefficient RH. Then, the nominal carrier density pH = 1/(eRH) was determined at 10 K. The actual hole density can be estimated by multiplying pH with a Hall factor r, which was explicated to be 0.6 for SnTe [21,32]. Finally, we obtained p via p = 0.6 pH and the results are listed in Table 1. The hole density increased almost linearly with the increase of actual indium content, as shown in Figure 4b, which is quite similar to that reported by Enrickson et al. [15] and Novak et al. [21].
Figure 4.
(a) Magnetic field dependence of Hall resistivity, (B), for all indium doped crystals measured at 10 K. (b) Hole density as a function of the actual indium content.
In order to check how the superconductivity in our crystals evolves under magnetic fields, we performed resistivity measurements under various magnetic fields for x = 0.04 and 0.06 crystals, as shown in Figure 3. It is very clear that Tc was suppressed gradually with the increase of magnetic fields and finally disappeared when the magnetic field reached 1 T.
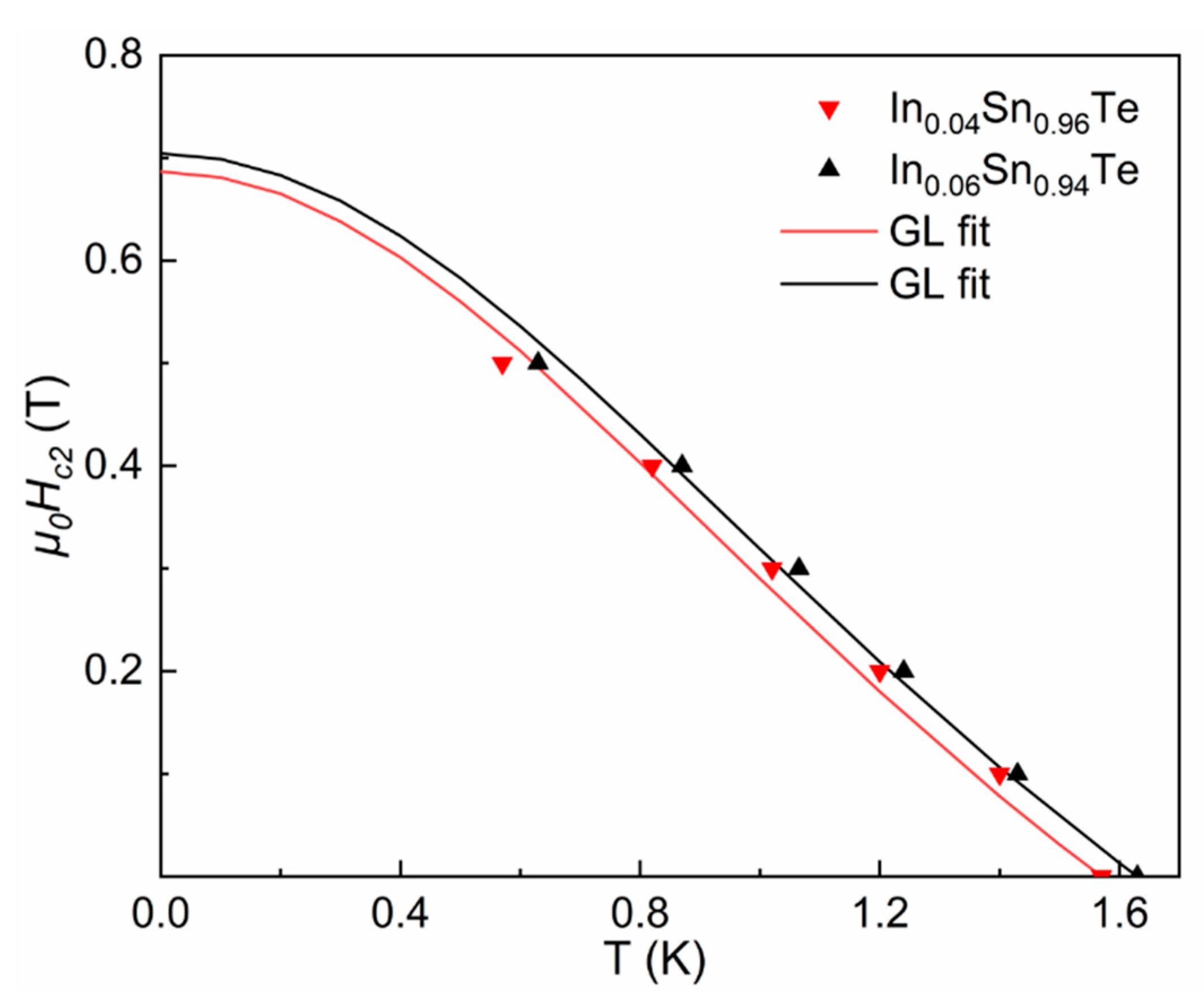
The upper critical field as a function of temperature, , is exhibited in Figure 5. By fitting the data with the Ginzburg-Landau (G–L) equation,, we can obtain the upper critical field at 0 K. The extracted are about 0.68 T and 0.71 T for x = 0.04 and 0.06, respectively. In general, data was well fitted with the G-L equation.
Figure 5.
Temperature dependence of upper critical field for x = 0.04 and 0.06 crystals. The solid lines show Ginzburg–Landau (G–L) fitting.
In summary, IST single crystals of large size were synthesized successfully by a liquid transport growth method. XRD measurements verified a pure single phase of the as-grown crystals and EDS analysis indicated indium was doped effectively in IST crystals. Superconductivity was confirmed by temperature dependence of resistivity measurements at temperatures down to 0.3 K. Meanwhile, hole carrier density and upper critical field were studied and the results were comparable to that grown by the vapor transport method (by which the size of the crystal is smaller). All the results point out the successful growth of superconducting IST single crystals of high quality. We expect our IST crystals could help to settle remaining open questions in this system, such as superconducting pairing, unconventional SC features, and so on.
Author Contributions
P.Z. grew the single crystals. P.Z., Y.L., Y.Y. and X.Z. performed XRD and SEM measurements and analysis. X.Y., P.Z., X.L. (Xiao Lin) and F.Y. performed the transport measurement and analyzed the results. Writing—reviewing and editing: X.L. (Xiang Li). All authors discussed the results and contributed to writing the manuscript. Z.W. conceived the project. All authors have read and agreed to the published version of the manuscript.
Funding
This research was funded by the National Key R&D Program of China (Grant No. 2020YFA0308800), the National Natural Science Foundation of China (Grants No. 92065109, 11734003 and 11904294), the Beijing Natural Science Foundation (Grant No. Z190006), Zhejiang Provincial Natural Science Foundation (Grant No. LQ19A040005) and the Beijing Institute of Technology Research Fund Program for Young Scholars (Grant No. 3180012222011).
Institutional Review Board Statement
Not applicable.
Informed Consent Statement
Not applicable.
Data Availability Statement
Data available in a publicly accessible repository.
Acknowledgments
Z.W. thanks the Analysis & Testing Center at BIT for assistances in facility support.
Conflicts of Interest
The authors declare no conflict of interest.
References
- Kane, C.L.; Mele, E.J. Z2 Topological Order and the Quantum Spin Hall Effect. Phys. Rev. Lett. 2005, 95, 146802. [Google Scholar] [CrossRef]
- Zhang, H.; Liu, C.X.; Qi, X.L.; Dai, X.; Fang, Z.; Zhang, S.C. Topological Insulators in Bi2Se3, Bi2Te3 and Sb2Te3 with a Single Dirac cone on the Surface. Nat. Phys. 2009, 5, 438. [Google Scholar] [CrossRef]
- Hasan, M.Z.; Kane, C.L. Colloquium: Topological Insulators. Rev. Mod. Phys. 2010, 82, 3045–3067. [Google Scholar] [CrossRef]
- Hsieh, T.H.; Lin, H.; Liu, J.; Duan, W.; Bansil, A.; Fu, L. Topological Crystalline Insulators in the SnTe Material Class. Nat. Commun. 2012, 3, 982. [Google Scholar] [CrossRef] [PubMed]
- Ando, Y. Topological Insulator Materials. J. Phys. Soc. Jpn. 2013, 82, 102001. [Google Scholar] [CrossRef]
- Qi, X.L.; Zhang, S.C. Topological Insulators and Superconductors. Rev. Mod. Phys. 2011, 83, 1057. [Google Scholar] [CrossRef]
- Wilczek, F. Majorana Returns. Nat. Phys. 2009, 5, 614–618. [Google Scholar] [CrossRef]
- Mourik, V.; Zuo, K.; Frolov, S.M.; Plissard, S.R.; Bakkers, E.P.; Kouwenhoven, L.P. Signatures of Majorana Fermions in Hybrid Superconductor-Semiconductor Nanowire Devices. Science 2012, 336, 1003–1007. [Google Scholar] [CrossRef]
- Fu, L.; Kane, C.L. Superconducting Proximity Effect and Majorana Fermions at the Surface of a Topological Insulator. Phys. Rev. Lett. 2008, 100, 096407. [Google Scholar] [CrossRef]
- Hor, Y.S.; Williams, A.J.; Checkelsky, J.G.; Roushan, P.; Seo, J.; Xu, Q.; Zandbergen, H.W.; Yazdani, A.; Ong, N.P.; Cava, R.J. Superconductivity in CuxBi2Se3 and its Implications for Pairing in the Undoped Topological Insulator. Phys. Rev. Lett. 2010, 104, 057001. [Google Scholar] [CrossRef]
- Matano, K.; Kriener, M.; Segawa, K.; Ando, Y.; Zheng, G.Q. Spin-Rotation Symmetry Breaking in the Superconducting State of CuxBi2Se3. Nat. Phys. 2016, 12, 852–854. [Google Scholar] [CrossRef]
- Liu, Z.; Yao, X.; Shao, J.; Zuo, M.; Pi, L.; Tan, S.; Zhang, C.; Zhang, Y. Superconductivity with Topological Surface State in SrxBi2Se3. J. Am. Chem. Soc. 2015, 137, 10512–10515. [Google Scholar] [CrossRef] [PubMed]
- Shruti; Maurya, V.K.; Neha, P.; Srivastava, P.; Patnaik, S. Superconductivity by Sr Intercalation in the Layered Topological Insulator Bi2Se3. Phys. Rev. B 2015, 92, 020506(R). [Google Scholar] [CrossRef]
- Kobayashi, K.; Ueno, T.; Fujiwara, H.; Yokoya, T.; Akimitsu, J. Unusual Upper Critical Field Behavior in Nb-Doped Bismuth Selenide. Phys. Rev. B 2017, 95, 180503(R). [Google Scholar] [CrossRef]
- Erickson, A.S.; Chu, J.H.; Toney, M.F.; Geballe, T.H.; Fisher, I.R. Enhanced Superconducting Pairing Interaction in Indium-Doped Tin Telluride. Phys. Rev. B 2009, 79, 024520. [Google Scholar] [CrossRef]
- Sasaki, S.; Ren, Z.; Taskin, A.A.; Segawa, K.; Fu, L.; Ando, Y. Odd-Parity Pairing and Topological Superconductivity in a Strongly Spin-Orbit Coupled Semiconductor. Phys. Rev. Lett. 2012, 109, 217004. [Google Scholar] [CrossRef]
- Mizuguchi, Y.; Miura, O. High-Pressure Synthesis and Superconductivity of Ag-Doped Topological Crystalline Insulator SnTe (Sn1−xAgxTe with x = 0–0.5). J. Phys. Soc. Jpn. 2016, 85, 053702. [Google Scholar] [CrossRef]
- Sun, Y.; Kittaka, S.; Sakakibara, T.; Machida, K.; Wang, J.; Wen, J.; Xing, X.; Shi, Z.; Tamegai, T. Quasiparticle Evidence for the Nematic State above Tc in SrxBi2Se3. Phys. Rev. Lett. 2019, 123, 027002. [Google Scholar] [CrossRef]
- Wang, J.; Ran, K.; Li, S.; Ma, Z.; Bao, S.; Cai, Z.; Zhang, Y.; Nakajima, K.; Ohira-Kawamura, S.; Cermak, P.; et al. Evidence for Singular-Phonon-Induced Nematic Superconductivity in a Topological Superconductor Candidate Sr0.1Bi2Se3. Nat. Commun. 2019, 10, 2802. [Google Scholar] [CrossRef]
- Shen, J.Y.; He, W.Y.; Yuan, N.F.Q.; Huang, Z.L.; Cho, C.W.; Lee, S.H.; Hor, Y.S.; Law, K.T.; Lortz, R. Nematic Topological Superconducting Phase in Nb-doped Bi2Se3. NPJ Quantum Mater. 2017, 2, 7. [Google Scholar] [CrossRef]
- Novak, M.; Sasaki, S.; Kriener, M.; Segawa, K.; Ando, Y. Unusual Nature of Fully Gapped Superconductivity in In-Doped SnTe. Phys. Rev. B 2013, 88, 140502. [Google Scholar] [CrossRef]
- Zhong, R.D.; Schneeloch, J.A.; Shi, X.Y.; Xu, Z.J.; Zhang, C.; Tranquada, J.M.; Li, Q.; Gu, G.D. Optimizing the Superconducting Transition Temperature and Upper Critical Field of Sn1−xInxTe. Phys. Rev. B 2013, 88, 020505. [Google Scholar] [CrossRef]
- Haldolaarachchige, N.; Gibson, Q.; Xie, W.; Nielsen, M.B.; Kushwaha, S.; Cava, R.J. Anomalous Composition Dependence of the Superconductivity in In-Doped SnTe. Phys. Rev. B 2016, 93, 024520. [Google Scholar] [CrossRef]
- Zhang, C.; He, X.G.; Chi, H.; Zhong, R.; Ku, W.; Gu, G.; Tranquada, J.M.; Li, Q. Electron and Hole Contributions to Normal-State Transport in the Superconducting System Sn1−xInxTe. Phys. Rev. B 2018, 98, 054503. [Google Scholar] [CrossRef]
- Sato, T.; Tanaka, Y.; Nakayama, K.; Souma, S.; Takahashi, T.; Sasaki, S.; Ren, Z.; Taskin, A.A.; Segawa, K.; Ando, Y. Fermiology of the Strongly Spin-Orbit Coupled Superconductor Sn(1−x)In(x)Te: Implications for Topological Superconductivity. Phys. Rev. Lett. 2013, 110, 206804. [Google Scholar] [CrossRef] [PubMed]
- Polley, C.M.; Jovic, V.; Su, T.Y.; Saghir, M.; Newby, D.; Kowalski, B.J.; Jakiela, R.; Barcz, A.; Guziewicz, M.; Balasubramanian, T.; et al. Observation of Surface States on Heavily Indium-Doped SnTe(111), a Superconducting Topological Crystalline Insulator. Phys. Rev. B 2016, 93, 075132. [Google Scholar] [CrossRef]
- Maeda, S.; Hirose, R.; Matano, K.; Novak, M.; Ando, Y.; Zheng, G.Q. Spin-Singlet Superconductivity in the Doped Topological Crystalline Insulator Sn0.96In0.04Te. Phys. Rev. B 2017, 96, 104502. [Google Scholar] [CrossRef]
- Saghir, M.; Barker, J.A.T.; Balakrishnan, G.; Hillier, A.D.; Lees, M.R. Superconducting Properties of Sn1−xInxTe (x = 0.38–0.45) Studied Using Muon-Spin Spectroscopy. Phys. Rev. B 2014, 90, 064508. [Google Scholar] [CrossRef]
- Yan, J.Q.; Sales, B.C.; Susner, M.A.; McGuire, M.A. Flux Growth in a Horizontal Configuration: An Analog to Vapor Transport Growth. Phys. Rev. Mater. 2017, 1, 023402. [Google Scholar] [CrossRef]
- Wang, Z.; Segawa, K.; Sasaki, S.; Taskin, A.A.; Ando, Y. Ferromagnetism in Cr-Doped Topological Insulator TlSbTe2. APL Materials 2015, 3, 083302. [Google Scholar] [CrossRef]
- Wang, Z.; Taskin, A.A.; Frölich, T.; Braden, M.; Ando, Y. Superconductivity in Tl0.6Bi2Te3 Derived from a Topological Insulator. Chem. Mater. 2016, 28, 779–784. [Google Scholar] [CrossRef]
- Burke, J.R.; Allgaier, R.S.; Houston, B.B.; Babiskin, J.; Siebenmann, P.G. Shubnikov-de Haas Effect in SnTe. Phys. Rev. Lett. 1965, 14, 360–361. [Google Scholar] [CrossRef]
Publisher’s Note: MDPI stays neutral with regard to jurisdictional claims in published maps and institutional affiliations. |
© 2021 by the authors. Licensee MDPI, Basel, Switzerland. This article is an open access article distributed under the terms and conditions of the Creative Commons Attribution (CC BY) license (https://creativecommons.org/licenses/by/4.0/).




