Abstract
The three-dimensional and porous structure of nickel foam makes it an attractive material for employment in cost-effective electrochemical supercapacitors. This communication presents ac. impedance spectroscopy and cyclic voltammetry electrochemical examinations of potential supercapacitor electrode materials, fabricated by means of simple electrochemical procedures, employed to as-received Ni foam material. This involves the electro-oxidation and Co-catalytic modifications of baseline nickel foam samples. Hence, the supercapacitor-type performance (as evidenced over the examined potential range in 0.1 M NaOH solution) of base nickel foam material could extensively be tailored by means of simple surface and catalytic refinements. The latter was evidenced through the employment of combined electrochemical (cyclic voltammetry, ac. impedance) and SEM/EDX (Scanning Electron Microscopy/Energy Dispersive X-Ray) surface spectroscopy evaluations.
1. Introduction
Amongst a variety of contemporary energy storage devices, electrochemical supercapacitors (SuperCaps) are especially well known for their low internal resistance and thus high-power characteristics. Their principle of operation resembles that of conventional capacitor cells, where two conducting electrodes (capacitor plates) are separated by an insulating dielectric material. Then, when a voltage is applied to such a device, opposite charges accumulate on the surface of each plate and an electric field becomes established. On the other hand, for a battery device, electrical energy is stored in the form of chemical energy of electrode reagents, and electrical charge flow between the electrodes is driven by changes in oxidation states of anode and cathode materials, which directly occur upon the battery charging and discharging processes [1,2,3,4,5].
Contrary to batteries, supercapacitors are simultaneously capable of immediately delivering very high currents and being very rapidly charged. Moreover, their cycle life and shelf life are significantly longer than those of batteries. On the other hand, SuperCaps can only store a fraction of specific energy compared to that of modern battery devices. Supercapacitors are also divided into two specific types. The first type, i.e., electric double-layer capacitors, typically utilize the particle/solution interfacial double-layer capacitance parameter of large surface-area carbon materials. The second type, called redox, or ad-species supercapacitor devices, are based on Faradaic pseudocapacitance, related to reversible surface electrosorption or redox processes, i.e., the UPD (underpotential deposition) of H, the formation of oxide layers, etc. [3,4,5,6].
The capacitance (C) of a capacitor is defined as the ratio of the stored charge (Q) to the applied voltage (V) across its plates:
The so-called “specific capacitance” (given in F g−1) of the examined electrode could then be derived from the cyclic voltammetry plots as follows:
where the cyclic voltammetry-integrated charge is divided over the operational potential window (ΔV) and the total mass of the working electrode (m). Furthermore, capacitance is directly proportional to the surface area of the capacitor’s plate (S) and inversely proportional to the distance between the plates (d), where εo (8.85 × 10−12 F m−1) and εr refer to the permittivity of free space and the dielectric constant of the insulating medium between the plates, respectively:
Highly porous, 3D nanostructured, nickel-based materials (e.g., Ni foams) are of special importance for battery and supercapacitor devices. They not only provide an easily modifiable (e.g., by means of the surface deposition of binary or ternary transition metal oxides) large surface area but are also highly corrosion-resistant (under alkaline conditions) catalyst materials [7,8,9,10,11,12].
The authors of this article provide important evidence on how inexpensive, essential modification procedures (involving surface electro-oxidation and Co-catalytic modification) employed to a base nickel foam electrode, could radically enhance its supercapacitor-type electrochemical properties. Cobalt-modified nickel foam material might not only be characterized by a considerably increased electrochemically active surface but also by facilitated surface oxidation properties, in relation to its redox-type pseudocapacitance parameter.
The above was elucidated by means of electrochemical ac. impedance spectroscopy and cyclic voltammetry examinations, supplemented by SEM/EDX spectroscopy material analysis.
2. Materials and Methods
A 0.1 M sodium hydroxide-supporting electrolyte was made from superior quality NaOH pellets provided by Merck and ultra-pure water produced by the Merck-Millipore Direct-Q3 UV (Darmstadt, Germany) water purification system with 18.2 MΩ cm water resistivity. In addition, CoCl2 × 6H2O (99%, Sigma Aldrich, Burlington, MA, USA) and NaCl (Sigma-Aldrich, ACS Reagent, Burlington, MA, USA) chemicals were used for the catalytic Co-modification of Ni foam working electrodes.
All electrochemical tests were performed with a typical three-compartment Pyrex glass cell, which contained three electrodes: as received or catalytically, an electrochemically modified nickel foam (MTI Corporation, purity: >99.99% Ni, thickness: 1.6 mm, surface density: 346 g m−2 and porosity: ≥95%) working electrode (WE) with an average electrode mass, ms ≈ 35 mg; a Pd reversible hydrogen electrode (RHE) charged at 50 mA vs. a Pt wire electrode in 0.5 M H2SO4 solution (MERCK, 1.0 mm diameter Pd wire, 99.99% purity), Sigma-Aldrich, as a reference; and a counter electrode (CE) made from a coiled Pt wire (1.0 mm diameter, 99.9998% purity, Johnson Matthey, Inc., Chicago, IL, USA).
Pre-treatments to nickel foam working electrodes included cathodic Co-electrodeposition (preceded by cathodic Ni foam surface activation, carried out at RT (room temperature) for 10 min, at a current density of jc = 10 mA cm−2 in 0.1 M NaOH) in Co2+ bath (0.1 M CoCl2 + 0.02 M NaCl) at the cathodic current density of 0.5 mA cm−2 (5 min at RT), and surface electro-oxidation, induced by a prolonged CV cycling procedure (200 cycles, carried out at the scan rate of 100 mV s−1 over the potential range 0.5 to 2.0 V vs. RHE).
All electrochemical experiments were performed at RT by means of the Biologic SP-240 Electrochemical System (Biologic, Seyssinet-Pariset, France). Electrochemical impedance spectroscopy and cyclic voltammetry tests (conducted at the scan rates of 5, 20, 40, 60, 80 and 100 mV s−1 and the working electrode potential range E = 0.0–1.6 V vs. RHE) were performed in this work. For ac. impedance measurements, the generator provided an output signal of 5 mV, whereas the frequency range was swept between 100 kHz and 100 mHz. The instrument was controlled by EC-Lab® software V11.36 for Windows. Three impedance measurements were conducted at each value of the electrode potential (selected from the range of 0.2–1.6 V/RHE). The reproducibility of such obtained results was about 5%. Data analysis was then performed with ZView 3.5 (or EC-Lab® V11.36) software packages for Windows, where the impedance spectra were fitted by means of a complex, non-linear, least-squares immittance fitting program, LEVM 6, written by J.R. Macdonald [13]. On the other hand, SEM/EDX surface analysis was performed by means of a Quanta FEG 250 scanning electron microscope, equipped with Bruker’s Quantax XFlash® 7 EDX detector.
3. Results and Discussion
3.1. SEM/EDX Structural Analysis of Nickel Foam Electrode Materials
Scanning Electron Microscopy (SEM) and Energy Dispersive X-Ray spectroscopy (EDX) characterizations of all examined nickel foam electrodes are shown in Figure 1 and Figure 2 below. Hence, Figure 1a,b present an SEM micrograph picture and EDX spectrum along with the surface elemental composition of the unmodified nickel foam electrode, taken at 2145× magnification. An EDX analysis (carried out at an acceleration voltage of 15 kV) was primarily employed here in order to determine the difference in the surface oxygen content between non-oxidized and electro-oxidized nickel foam samples. This experiment confirmed that surface electro-oxidation treatment for the “as received” nickel foam electrode led to a significant increase in the presence of oxygen by ca. 2.7× (see Figure 1c,d, and compare Figure 1d with Figure 1b).
Figure 1.
(a) SEM micrograph picture for unmodified Ni foam surface, taken at 2145× magnification at an acceleration voltage of 15 kV; (b) as above, but EDX spectrum and surface elemental composition; (c) as in (a) above, but for electro-oxidized Ni foam surface; (d) as in (b) above, but for electro-oxidized Ni foam surface.
Figure 2.
(a) SEM micrograph picture for Co-modified Ni foam surface, taken at 2145× magnification at an acceleration voltage of 15 kV; (b) as above, but EDX mapping presenting surface’s Co distribution; (c) as in (a) above, but EDX spectrum and surface elemental composition.
On the other hand, the SEM/EDX behavior of Co-modified Ni foam electrode surface is illustrated by Figure 2a–c. It should be mentioned that cobalt nuclei were homogeneously distributed on the surface of nickel foam, with ca. 2.0 wt.% of Co loading, as estimated based on the employed electrodeposition parameters and also confirmed by a weighing method. In addition, the SEM-assessed maximum Co grain size came to several μm.
Finally, the EDX-estimated result, radically higher than the approximated above presence of cobalt, on the order of 16.28 (Figure 2c) within the nickel foam/Co composite suggests substantial inhomogeneity in the thickness of galvanically deposited cobalt on the nickel foam surface. The above would also be significantly dependent on the imposed acceleration voltage parameter.
3.2. Cyclic Voltammetry Behavior
Supercapacitor-type behavior of nickel electrode is related to the formation of various potential-dependent oxide layers. Thus, low and intermediate (−0.2 to 0.5 and 0.5 to 1.2 V vs. RHE) potential ranges refer to the reversible formation of α- and β-Ni(OH)2 + NiO species, respectively. On the other hand, high potential range on the cyclic voltammetry profile (1.2 to 1.6 V) corresponds to the further transformation of β-Ni(OH)2 to form surface γ/β-NiOOH (oxyhydroxide) species [14,15,16,17].
Figure 3a through Figure 3e below present the cyclic voltammetry behavior for all examined Ni foam-based electrode materials, recorded at different scan rates in 0.1 M NaOH supporting solution and RT. It should be understood here that while the BET method-estimated [18,19] specific surface area for commercially available nickel foams varies between 20,000 and 130,000 m2 m−3, only a fraction of their mass becomes electrochemically active. Thus, taking into account that the electrochemically active surface of the MTI nickel foam (1 × 1 cm, 33.4 mg mass) was estimated at 13.9 cm2 [20], the fraction of its electrochemically active mass comes to about 6.7% (ca. 2.33 out of 35 mg). The above-described relationship was taken into account when composing all graphs contained in Figure 3 and Figure 4.

Figure 3.
(a) Cyclic voltammetry curves recorded for unmodified Ni foam electrode surface in 0.1 M NaOH solution at RT, in function of scan rate; (b) as in (a) above, but for electrochemically oxidized Ni foam electrode surface; (c) as in (a) above, but for Co-modified Ni foam electrode surface; (d) as in (b) above, but for anodic electrode potential extended to 1.6 V vs. RHE; (e) as in (c) above, but for anodic electrode potential extended to 1.6 V vs. RHE.
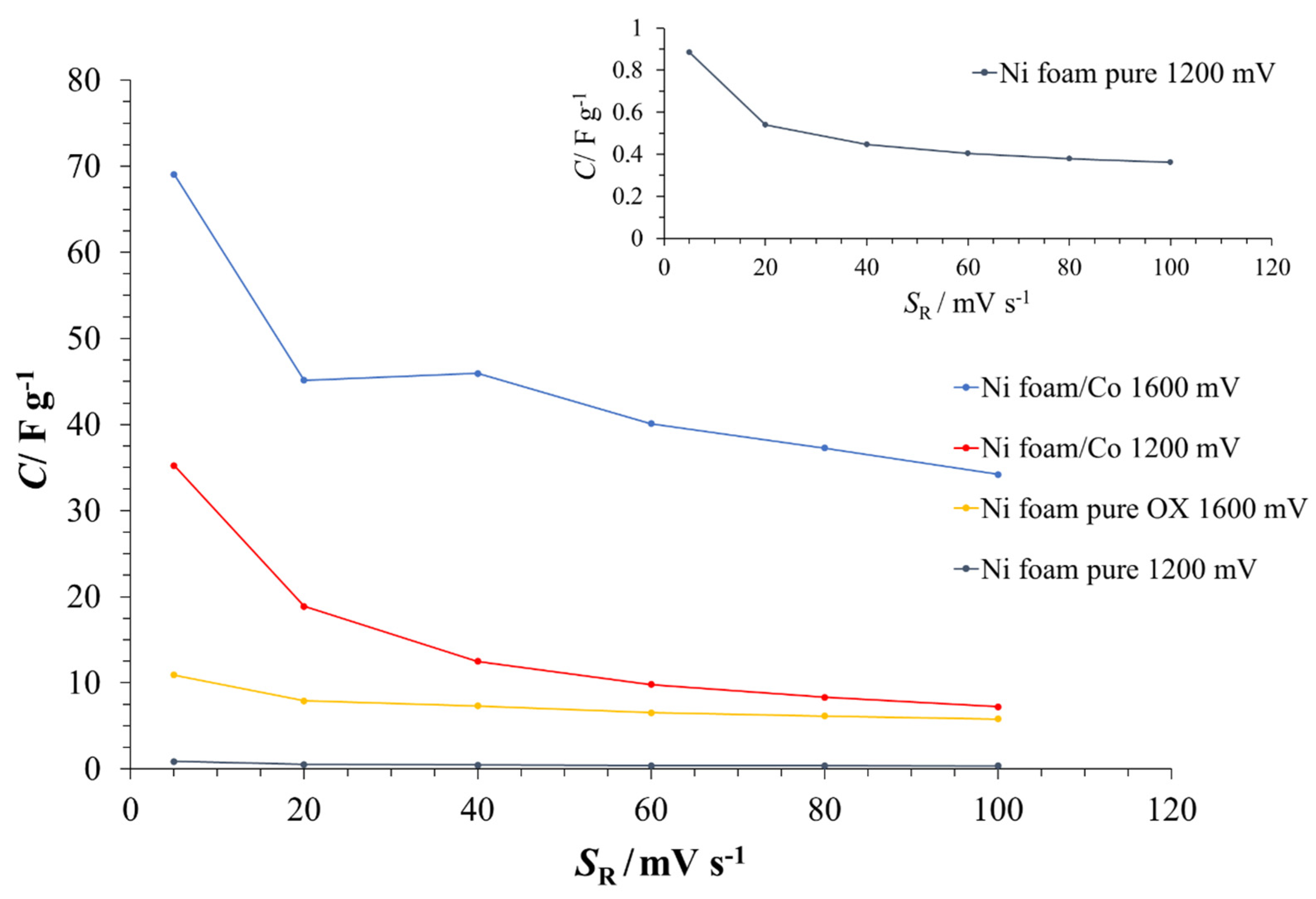
Figure 4.
Specific capacitance in function of scan rate for given Ni foam-based electrode materials, recorded in 0.1 M NaOH solution at RT, over the potential range 0.07–1.20 V or 0.07–1.60 V vs. RHE.
While the CV profiles in Figure 3a through Figure 3c were recorded with an anodic potential limit of 1.2 V, for the last two figures (Figure 3d,e), the upper potential for cycling was set at 1.6 V/RHE. Hence, in all cases, rising scan rates from 5 to 100 mV s−1 caused a substantial increase in the recorded, mass-normalized current density. Then, extended surface electro-oxidation (200 cycles, carried out at the scan rate of 100 mV s−1 over the potential range 0.5-2.0 V/RHE) of the nickel foam sample led to a significant increase in the corresponding current-density values (compare Figure 3b with Figure 3a).
Then, a radical increase in the mass-normalized voltammetric current density (over 100 mA g−1 beyond the potential of 1.0 V, see Figure 3c) is observed after the Ni foam electrode surface modification by Co microparticles (ca. 2 wt. % Co). The latter most likely results from significant surface expansion, being the effect of cobalt electrodeposition, and will later be further explained in detail by the ac. impedance spectroscopy analysis in Section 3.3.
On the other hand, Figure 3d,e present similar cyclic voltammetry profiles but were recorded over the potential range extended anodically to 1.6 V vs. RHE, being characteristic of the reversible formation of surface nickel oxyhydroxide NiOOH species. The latter led to a radical augmentation of the current density upon both oxidation and reduction CV paths for electro-oxidized and specifically for the Co-activated Ni foam electrodes (see Figure 3d and Figure 3e, respectively).
Furthermore, Figure 4 below presents the derived (Equation (2)) specific capacitance parameter in function of the scan rate and an upper potential limit set at 1.2 and 1.6 V/RHE, respectively, for the examined nickel foam-based materials. Hence, for the unmodified nickel foam specimen, the specific capacitance recorded over the potential range 0.07–1.20 V, irrespectively of the scan rate, was limited to values below 1 F g−1 (see an inset to Figure 4). Then, for the electro-oxidized Ni foam electrode along with extension of the anodic potential to 1.6 V, the calculated specific capacitance parameter approached ca. 10 F g−1 (yellow line in Figure 4). Finally, for the Co-activated Ni foam electrode, the calculated specific capacitance reached over 35 F g−1 and nearly 70 F g−1 (at a scan rate of 5 mV s−1) for the anodic potential limit of 1.2 V and 1.6 V/RHE, correspondingly (Figure 4).
Summarizing these results, it could be concluded that technologically significant values of the specific capacitance parameter for the nickel foam electrode could only be recorded after its prior modification by cobalt micro (and possibly also nano-size) particles. The latter in fact involved a relatively simple and quick experimental procedure. Interestingly, considerably higher capacitances (beyond the value of 100 F g−1) were recorded on similar nickel foam baseline materials but after the employment of complex and time-consuming nanoparticle surface modifications [7,8,11,21]. Thus, Li et al. [7] examined the supercapacitor behavior of manganese dioxide-multiwalled carbon nanotube (MnO2-MWCNT)-modified Incofoam® material with 10 and 20 wt.% MWCNT loadings. On the other hand, Gopi et al. [8], Wang et al. [11], and Xu et al. [21] studied the supercapacitor behavior of Ni foam modified with NiMoO4-CoMoO4 nanosheet arrays, Co-Fe layered double hydroxide (LDH) multi-sized nanosheets, and thermally reduced graphene oxide (RGO) films, correspondingly. On the contrary, in work by Salleh et al. [9] the specific capacitance of a typical Ni foam was estimated at ca. 35 F g−1 (compared to about 10 F g−1 for nickel mesh).
Figure 5 below presents additionally carried-out experiments, i.e., charge-discharge curves, performed in 0.1 M NaOH electrolyte for the cells combining: (a) Two unmodified Ni foam electrodes; (b) two catalytically Co-modified Ni foam electrodes; and (c) a hybrid system composed of the unmodified and the Co-activated Ni foam electrodes. The experiments were conducted in small Pyrex glass-made cells at RT on 2 × 2 cm MTI Corporation nickel foam electrode samples, separated (close to a zero-gap arrangement) by ZIRFON PERL UTP 500 membrane (open mesh polyphenylene sulfide fabric of 500 µm thickness), having mass of ca. 140 mg each.
Figure 5.
Charge–discharge curves for the indicated Ni foam-based cells with imposed charging/discharging current intensity of 15 mA.
Hence, based on the 100× consecutive charge-discharge cycles carried out for the examined Ni foam-based cells, the recorded average capacitances came to about 3.4, 2.2, and 0.5 F g−1 for the Ni foam/Co-Ni foam, Ni foam/Co-Ni foam/Co and Ni foam-Ni foam cells, respectively. However, as only a fraction (ca. 7%) of the MTI foam’s mass is electrochemically active [20], these results could be translated to approximately 51.4, 33.1, and 7.0 F g−1, correspondingly. It should also be noted that based on a principal mathematical dependence (for capacitors connected in a series combination, the reciprocal of the equivalent capacitance equals to the sum of reciprocals of individual capacitances), the highest capacitance was obtained by the asymmetric supercapacitor, i.e., the Ni foam/Co-Ni foam arrangement.
3.3. Ac. Impedance Spectroscopy Characteristics
The ac. impedance behavior for the unmodified, electro-oxidized, and Co-activated nickel foam electrodes in 0.1 M NaOH supporting electrolyte is shown in Figure 6a–d and Table 1 below. Hence, for the unmodified and electro-oxidized Ni foam electrode surfaces, the Nyquist impedance plots present a semicircle over the high and intermediate frequency range (corresponding to a Faradaic charge-transfer process) and a vertical line at low frequencies, which characterizes capacitive (but significantly deviating from a 90° angle) behavior. The latter is associated with the so-called capacitance dispersion effect [22,23], related to surface roughness and heterogeneity effects that exist within a complex 3-D nickel foam structure (see examples in Figure 6a and corresponding Bode phase-angle plots in Figure 6b for details).

Figure 6.
(a) Electrochemical Nyquist impedance plots recorded on unmodified, electro-oxidized and Co-activated Ni foam electrode surfaces in contact with 0.1 M NaOH supporting solution for the potential of 800 mV vs. RHE (inset represents high-frequency region); (b) Bode phase-angle plots with other details as in (a) above; (c,d) equivalent circuits used to fit the recorded impedance results, where Cp is Faradaic pseudocapacitance, Rct is Faradaic reaction resistance, Cdl is double-layer capacitance, CPE refers to constant phase element and RD is another Faradaic resistance (e.g., desorption of an ad-species), jointly in series with ESR (equivalent series resistance), being a combination of electrode’s intrinsic resistance and electrolyte’s ionic resistance. The data derived from the equivalent circuits are represented by solid lines.
Table 1.
Resistance and capacitance parameters obtained from ac. impedance measurements carried out for unmodified, electro-oxidized, and Co-activated nickel foam electrodes in contact with 0.1 M NaOH solution at RT, obtained by fitting equivalent circuits as those shown in Figure 6c,d to the recorded impedance data. Values of dimensionless φ parameter for the CPE circuit component oscillated between 0.76 and 0.89 and χ2 ranged between 7 × 10−5 and 8 × 10−4 (“d” refers to equivalent circuit illustrated in Figure 6d).
Then, the impedance results presented in Table 1 refer to the selected three potential values (200, 800, and 1200 mV/RHE). Thus, the Rct charge-transfer resistance parameter, related to the reversible formation of nickel hydroxide/oxyhydroxide species (see again paragraph 3.2), is reduced from 0.133 (at 200 mV) to 0.062 Ω g (at 1200 mV) and from 0.254 to 0.046 Ω g for the unmodified and electro-oxidized nickel foam electrode, respectively. Furthermore, for the corresponding potential values, the double-layer capacitance, Cdl, and pseudocapacitance, Cp, parameters respectively increased from 39,566 to 313,369 and from 70,468 to 796,309 μF g−1 (for the unmodified Ni foam), and from 25,021 to 189,970 and from 63,472 to 895,880 μF g−1 for the electro-oxidized nickel foam electrode. It should be stressed that a reduction in the Rct upon electrode potential augmentation implies a facilitation of the charge-transfer process at increased anodic potentials. Significantly increased Faradaic reaction resistance recorded for the electro-oxidized Ni foam electrode, compared to the unmodified foam (for the electrode potentials of 200 and 800 mV), most likely indicates the reduced catalytic activity for the former electrode due to the formation of a limited conductivity surface oxide layer. On the other hand, radically increasing Cdl and Cp parameter values upon rising electrode potentials primarily suggest fundamental Ni foam surface expansion (also refer to Figure 3a–c).
Similar impedance behavior was also observed on the Co-activated nickel foam electrode, with the analogous potential dependence of the Rct, Cdl, and Cp parameters. However, substantially lower charge-transfer resistance, as well as fundamentally greater values of the recorded capacitances, imply a significant facilitation of Faradaic reaction kinetics, along with a radical surface expansion of the Co-modified nickel foam catalyst (see Table 1 for details and also refer to Figure 3c,e). Furthermore, for the potentials of 200 and 800 mV, the low frequency end of the Nyquist impedance plot is characterized by an arc instead of the vertical line (Figure 6a,b). The latter is associated with the presence of another Faradaic resistance, the RD parameter, linked in parallel to the pseudocapacitance Cp (see a relevant equivalent circuit in Figure 6d and Table 1 again) and related to, e.g., the desorption of an ad-species from the electrode surface [1,6]. Moreover, average values of the recorded ESR (equivalent series resistance) parameter came to 0.068, 0.047, and 0.048 Ω g for the unmodified, electro-oxidized, and cobalt-activated nickel foam electrodes, correspondingly.
Interestingly, no Warburg-type diffusion behavior was observed by the impedance results recorded in this work (Figure 6b), which is in contrast to the findings by other authors (see e.g., Refs. [8,10,11,12,24,25] for details). However, such claims might be hardly verifiable, as none of these works provided respective evidence in their support, e.g., in the form of Bode phase-angle impedance plots. In addition, in work by Yi et al. [24] on the supercapacitor behavior of in situ grown nanoflower Ni(OH)2 on nickel foam electrodes, having provided the Warburg-based equivalent impedance circuit, the authors clearly stated that “the impedance-recorded straight lines were inclined at an angle greater than 45o, which implied that the flower structure of nickel hydroxide could benefit electrolyte ions transport and more ideal capacitor characteristics”. In fact, the latter supposition is in line with the findings of the current work.
4. Conclusions
In this introductory article, selected three-dimensional and porous nickel foam structures were examined in 0.1 M NaOH solution by electrochemical impedance spectroscopy and cyclic voltammetry and SEM/EDX surface spectroscopy techniques as potential materials for employment in electrochemical supercapacitor devices. In fact, two of these materials were prepared by the introduction of additional, simple electrochemical procedures, employed to the as-received nickel foam baseline electrode.
In conclusion, technologically significant values of the specific capacitance parameter (ca. 70 F g−1 over the potential range 0.1–1.6 V/RHE) were only recorded after the prior modification of nickel foam with small amounts of cobalt micro and possibly also nano-size particles. Moreover, only fractions of the examined Ni foam-based materials proved to be electrochemically active, which is in line with our earlier works on the utilization of nickel foam materials into alkaline water electrolysis (see, e.g., Refs. [20,26]). Also, contrary to analogous works by other authors, no typical diffusion-type Warburg impedance behavior was observed on the examined nickel foam electrodes. The facilitation of the electrochemical performance in the presence of Co particles seems to be dual in nature, where a significant increase in the electrochemically active surface area is combined with relative changes in the process of metal particle oxidation (Co versus Ni) in favor of the former species.
Further laboratory work on simple electrochemical modifications of nickel foam (specifically by nanoparticles of transition group metals and their alloys) is necessary in order to produce relatively inexpensive, highly efficient, and reproducible redox supercapacitor-type material(s) for commercial applications.
Author Contributions
Conceptualization, B.P.; methodology, B.P.; software, M.K. and T.M.; validation, T.M. and B.P.; formal analysis, M.K., B.P. and T.M.; investigation, B.P.; resources, B.P.; data curation, M.K., B.P. and T.M.; writing—original draft preparation, B.P.; writing—review and editing, B.P.; visualization, T.M.; supervision, B.P.; project administration, B.P.; funding acquisition, B.P. All authors have read and agreed to the published version of the manuscript.
Funding
This work has been primarily financed by the internal research grant no. 30.610.001-110, provided by The University of Warmia and Mazury in Olsztyn.
Data Availability Statement
Data supporting the reported results will be available upon request.
Conflicts of Interest
The authors declare no conflicts of interest.
References
- Conway, B.E. Transition from “Supercapacitor” to Battery Behavior in Electrochemical Energy Storage. J. Electrochem. Soc. 1991, 138, 1539–1548. [Google Scholar] [CrossRef]
- Kotz, R.; Carlen, M. Principles and applications of electrochemical capacitors. Electrochim. Acta 2000, 45, 2483–2498. [Google Scholar] [CrossRef]
- Da Silva, L.M.; Cesar, R.; Moreira, C.M.R.; Santos, J.H.M.; De Souza, L.G.; Pires, B.M.; Vicentini, R.; Nunes, W. Reviewing the fundamentals of supercapacitors and the difficulties involving the analysis of the electrochemical findings obtained for porous electrode materials. Energy Storage Mater. 2020, 27, 555–590. [Google Scholar] [CrossRef]
- Conway, B.E. Electrochemical Supercapacitors. In Scientific Fundamentals and Technological Applications; Kluwer Academic/Plenum Publishers: New York, NY, USA, 1999. [Google Scholar]
- Yu, A.; Chabot, V.; Zhang, J. Electrochemical Supercapacitors for Energy Storage and Delivery. In Fundamentals and Applications; CRC Press, Taylor & Francis Group LLC: Boca Raton, FL, USA, 2013. [Google Scholar]
- Conway, B.E.; Birss, V.; Wojtowicz, J. The role and utilization of pseudocapacitance for energy storage by supercapacitors. J. Power Sources 1997, 66, 1–14. [Google Scholar] [CrossRef]
- Li, J.; Yang, Q.M.; Zhitomirsky, I. Nickel foam-based manganese dioxide-carbon nanotube composite electrodes for electrochemical supercapacitors. J. Power Sources 2008, 185, 1569–1574. [Google Scholar] [CrossRef]
- Muralee Gopi, C.V.V.; Sambasivam, S.; Raghavendra, K.V.G.; Vinodh, R.; Obaidat, I.M.; Kim, H.J. Facile synthesis of hierarchical flower-like NiMoO4-CoMoO4 nanosheet arrays on nickel foam as an efficient electrode for high rate hybrid supercapacitors. J. Energy Storage 2020, 30, 101550. [Google Scholar] [CrossRef]
- Salleh, N.A.; Kheawhom, S.; Mohamad, A.A. Characterizations of nickel mesh and nickel foam current collectors for supercapacitor application. Arab. J. Chem. 2020, 13, 6838–6846. [Google Scholar] [CrossRef]
- Phat, D.T.; Thao, P.M.; Nghia, N.V.; Son, L.T.; Thu, T.V.; Lan, N.T.; Quyen, N.Q.; Ky, N.V.; Nguyen, T.V. Morphology controlled synthesis of battery-type NiCo2O4 supported on nickel foam for high performance hybrid supercapacitors. J. Energy Storage 2021, 33, 102030. [Google Scholar] [CrossRef]
- Wang, Z.; Li, P.; Pu, L.; Hong, P.; Ran, Y.; Qian, W.; Wang, Y. Multi-sized nanosheets cobalt-iron layered double hydroxide grown on nickel foam as high performance supercapacitor electrode material. J. Energy Storage 2021, 33, 102088. [Google Scholar] [CrossRef]
- Zhou, W.; Yan, X.; Zhang, W.; Li, Y.; Zhu, Y.; Zhang, M.; Zhu, W.; Cheng, X. Tailored synthesis of nano-corals nickel-vanadium layered double hydroxide@Co2NiO4 on nickel foam for a novel hybrid supercapacitor. J. Energy Storage 2021, 38, 102584. [Google Scholar] [CrossRef]
- Macdonald, J.R. Impedance Spectroscopy, Emphasizing Solid Materials and Systems; John Wiley & Sons: New York, NY, USA, 1987. [Google Scholar]
- Alsabet, M.; Grden, M.; Jerkiewicz, G. Electrochemical growth of surface oxides on nickel. Part 1: Formation of α-Ni(OH)2 in relation to the polarization potential, polarization time, and temperature. Electrocatalysis 2011, 2, 317–330. [Google Scholar] [CrossRef]
- Alsabet, M.; Grden, M.; Jerkiewicz, G. Electrochemical growth of surface oxides on nickel. Part 2: Formation of β-Ni(OH)2 and NiO in relation to the polarization potential, polarization time, and temperature. Electrocatalysis 2014, 5, 136–147. [Google Scholar] [CrossRef]
- Alsabet, M.; Grden, M.; Jerkiewicz, G. Electrochemical growth of surface oxides on nickel. Part 3: Formation of β-NiOOH in relation to the polarization potential, polarization time, and temperature. Electrocatalysis 2015, 6, 60–71. [Google Scholar] [CrossRef]
- Oshchepkov, A.G.; Bonnefont, A.; Saveleva, V.A.; Papaefthimiou, V.; Zafeiratos, S.; Pronkin, S.N.; Parmon, V.N.; Savinova, E.R. Exploring the influence of the nickel oxide species on the kinetics of hydrogen electrode reactions in alkaline media. Top. Catal. 2016, 59, 1319–1331. [Google Scholar] [CrossRef]
- Marracino, J.M.; Coeuret, F.; Langlois, S. A first investigation of flow-through porous electrodes made of metallic felts or foams. Electrochim. Acta 1987, 32, 1303–1309. [Google Scholar] [CrossRef]
- Langlois, S.; Coeuret, F. Flow-through and flow-by porous electrodes of nickel foam. I. Material characterization. J. Appl. Electrochem. 1989, 19, 43–50. [Google Scholar] [CrossRef]
- Pierozynski, B.; Mikolajczyk, T.; Kowalski, I.M. Hydrogen evolution at catalytically-modified nickel foam in alkaline solution. J. Power Sources 2014, 271, 231–238. [Google Scholar] [CrossRef]
- Xu, Y.; Li, J.; Huang, W. Porous graphene oxide prepared on nickel foam by electrophoretic deposition and thermal reduction as high-performance supercapacitor electrodes. Materials 2017, 10, 936. [Google Scholar] [CrossRef]
- Pajkossy, T. Impedance of rough capacitive electrodes. J. Electroanal. Chem. 1994, 364, 111–125. [Google Scholar] [CrossRef]
- Conway, B.E.; Pierozynski, B.A.c. impedance behaviour of processes involving adsorption and reactivity of guanidonium-type cations at Pt(100) surface. J. Electroanal. Chem. 2008, 622, 10–14. [Google Scholar] [CrossRef]
- Yi, X.; Sun, H.; Robertson, N.; Kirk, C. Nanoflower Ni(OH)2 grown in situ on Ni foam for high-performance supercapacitor electrode materials. Sustainable Energy Fuels 2021, 5, 5236–5246. [Google Scholar] [CrossRef]
- Chebil, A.; Kuzgun, O.; Dridi, C.; Ates, M. High power density supercapacitor devices based on nickel foam-coated rGO/MnCo2O4 nanocomposites. Ionics 2020, 26, 5725–5735. [Google Scholar] [CrossRef]
- Pierozynski, B.; Mikolajczyk, T.; Luba, M.; Zolfaghari, A. Kinetics of oxygen evolution reaction on nickel foam and platinum-modified nickel foam materials in alkaline solution. J. Electroanal. Chem. 2019, 847, 113194. [Google Scholar] [CrossRef]
Disclaimer/Publisher’s Note: The statements, opinions and data contained in all publications are solely those of the individual author(s) and contributor(s) and not of MDPI and/or the editor(s). MDPI and/or the editor(s) disclaim responsibility for any injury to people or property resulting from any ideas, methods, instructions or products referred to in the content. |
© 2024 by the authors. Licensee MDPI, Basel, Switzerland. This article is an open access article distributed under the terms and conditions of the Creative Commons Attribution (CC BY) license (https://creativecommons.org/licenses/by/4.0/).







