Abstract
Three-dimensional (3D) printing has been widely utilized to fabricate free-standing electrodes in energy-related fields. In terms of fabrication, the two most challenging limitations of 3D printed electrodes are the poor printing resolution and simple structural dimension. Here we proposed a novel process to fabricate molybdenum disulfide-polyvinylidene fluoride (MoS2-PVDF) hierarchical electrodes for energy storage applications. The 20-layer microscale PVDF films with a stable fiber width of 8.3 ± 1.2 μm were fabricated by using electrohydrodynamic (EHD) printing. MoS2 nanostructures were synthesized and assembled on the microscale PVDF fibers by using hydrothermal crystal growth. The structural and material investigations were conducted to demonstrate the geometrical morphology and materials component of the composite structure. The electrochemical measurements indicated that the MoS2-PVDF electrodes exhibited the typical charge-discharge performance with a mass specific capacitance of 60.2 ± 4.5 F/g. The proposed method offers a facile and scalable approach for the fabrication of high-resolution electrodes, which might be further developed with enhanced specific capacitance in energy storage fields.
1. Introduction
Energy techniques have always been scientific as well as industrial innovations to promote the progress of human civilization. Electrochemical energy storage devices like supercapacitors [1] and lithium-ion batteries [2] are attracting extensive attentions in energy fields. Supercapacitors possess the advantage of fast charging and discharging, long cycling life and desirable safety, which have been widely used in new energy vehicles, flexible electronics, and micromechanical devices [3,4]. The electrodes of supercapacitors should have a large specific surface area, high structural conductivity, and controllable porosity [5,6]. These structural properties significantly determine the electrolyte penetration or electron migration during the electrochemical energy storage process [7]. In order to improve the energy storage performance, various materials synthesis approaches have been explored for the development of new energy storage materials [8,9]. In general, conventional chemical synthesis methods can only optimize the energy storage property by adjusting the materials component or molecular structure, which cannot directly create the electrode structure for energy device applications.
Advanced manufacturing techniques like 3D printing are giving new birth to the fabrication of multiple electrodes in energy storage fields [10,11]. The main advantages of 3D printing like versatile materials options, the direct formation of complex structures, and low costs make it possible to fabricate electrode architectures in a layer-by-layer manner [12,13]. The most prevalent 3D printing technique employed in energy storage fields is extrusion-based 3D printing. For example, Zhou et al. fabricated microscale 3D electrodes with superior shape fidelity and geometric accuracy via extrusion-based 3D printing, which improved surface area accessibility and ion transport efficiency [14]. The 3D-printed self-standing electrode delivered an areal capacitance of 2.02 F/cm2 and maintained a capacitance retention rate of 85% after 5000 cycles. The main limitation of extrusion-based 3D printing in energy-related fields is the relatively low resolution of larger than dozens of microns [11]. Derived from conventional electrospinning [15], electrohydrodynamic (EHD) printing has been developed as a mature technique to create micro/nanoscale fibrillar architectures with the fiber width smaller than 1 μm. In our previous study, EHD printing was developed to fabricate sub-microscale fibers with improved cell adhesion capacity [16]. The improved structural features can provide a facilitated electrochemical performance for energy storage. As such, EHD printing might provide a practical approach for the printing of high-resolution electrodes [17].
Due to the decent processing capacity, polyvinylidene fluoride (PVDF) has been widely employed as the printing materials for EHD printing. In addition, PVDF enables superior structural stability and flexibility, which can endure the hydrothermal environment for further modification. Thus, PVDF was selected as the basic material for EHD printing. Molybdenum disulfide (MoS2) has confirmed electrochemical capacitance and can be easily fabricated in the form of nanoplates, nanoflowers, and nanosphere. The various forms of MoS2 make it possible to enrich and modify the structural features of energy storage electrodes. In this work, EHD printing was employed to fabricate microscale polyvinylidene fluoride (PVDF) fibrous films that were further utilized as the substrates for molybdenum disulfide (MoS2) assembly. It was demonstrated that the MoS2 nanostructures can be modified onto the PVDF fibers via the hydrothermal crystal synthesis process. The structural and material characterization were performed to investigate the geometrical morphology and materials component of the MoS2-PVDF hierarchical architecture. Electrochemical measurements were conducted to explore the potential energy storage capacity as supercapacitor electrodes. The proposed nanostructure assembled film significantly enhanced the surface area of EHD-printed fibers, providing a facile approach for the optimization of energy storage performance by adjusting the printing or assembling parameters.
2. Materials and Methods
2.1. Materials for EHD Printing
PVDF with a molecular weight of 534,000 was dissolved into dimethyl sulfoxide (DMSO) and acetone. Capstone FS-66 was also dissolved to tune the viscosity and printability of the ink. The weight percent of PVDF and Capstone FS-66 were 18% and 4.2%, respectively. The volume ratio of DMSO and acetone was 1:1. To prepare the printing ink, 0.9 g PVDF and 0.21 g Capstone FS-66 powders were dispersed into 2.5 mL DMSO and 2.5 mL acetone, then stirred for at least 12 h under room temperature and 1 atm pressure. The as-prepared solution was loaded into the syringe and employed as the ink for EHD printing.
2.2. EHD Printing of the PVDF Film
A homemade EHD printing platform was developed and employed to print the PVDF film [16]. The commercial medical needle (23G, Shanghai Ducheng Electronic Co. Ltd., Shanghai, China) with an inner diameter of 340 μm was connected to the syringe, and employed as the printing nozzle. The printing nozzle was fixed on the Z-axis moving system that controlled the printing height during the EHD printing process. A high-resolution XY moving stage (AI-LM-XY15000AB, Alio Industries, Arvada, CO, USA) was utilized to collect the ejected fibers in a layer-by-layer manner according to user-specific trajectory. The ejected fibers were deposited onto the ITO conductive glass (Guluo Glass Co., Ltd., Luoyang, China) with the with the sheet resistance of 10 Ω/sq. A high voltage supply was connected between the printing nozzle and glass collector, providing the electrical force that initiated and maintained the ejecting process. The working voltage, nozzle-to-collector distance, stage moving speed, and feeding rate were adjusted by the computer. To fabricate the PVDF film, the above key processing parameters were controlled at 1400 V, 3 mm, 50 mm/s, and 40 μL/h.
2.3. The Assembly of MoS2 Nanostructures on EHD-Printed Film
The MoS2 nanostructures on PVDF fibers were fabricated by using the hydrothermal crystal growth method. Hexa ammonium heptamolybdate tetrahydrate ((NH4)6Mo7O24·4H2O) and thiourea (TTA) were utilized as the raw materials to prepare the precursor solution. Firstly, 0.45 g (NH4)6Mo7O24·4H2O and 0.9 g TTA were thoroughly dissolved in 50 mL of deionized water under room temperature. Secondly, the EHD-printed PVDF film was immersed in the precursor solution. Thirdly, the precursor solution and PVDF film loaded in a Teflon-lined steel autoclave were kept in an electric oven at 200 °C for 5 h. Finally, the MoS2-PVDF composite film was washed with DI water and dried in a vacuum at 80 °C for 12 h. The fabrication process of the MoS2-PVDF composite film was illustrated in Figure 1.
Figure 1.
The fabrication process of the MoS2-PVDF composite film.
2.4. Structural Observation and Material Characterization
The ejected fibers during the EHD printing process were observed by a real-time monitoring system. An optical camera was fixed onto the printing platform, which was employed to collect the images of the dynamic ejecting process. The collected images were displayed on a screen and can be utilized to observe or adjust the EHD printing process. The optical images of the MoS2-PVDF composite film were observed by a laser confocal microscope (OLS4000, Olympus). The micro/nanoscale features of the MoS2-PVDF composite film were obtained by a scanning electron microscope (SEM, SU8010, Hitachi, Tokyo, Japan). Apart from the structural observation, X-ray diffraction (XRD, Bruker, D8, Billerica, MA, USA) and Raman spectrometer (HR Evolution) were also employed to demonstrate the existence of MoS2 on PVDF films.
2.5. Electrochemical Measurements
The cyclic voltammetry (CV) and galvanostatic charge discharge (GCD) performance of the as-fabricated MoS2-PVDF composite film was measured to demonstrate the potential energy storage capacity as supercapacitor electrodes. The electrochemical measuring was conducted by using the three-electrode configuration on an electrochemical working station (Reference 600, Gamry, Warminster, PA, USA). A platinum plate and Ag/Cl electrode were utilized as the counter electrode and reference electrode respectively. The MoS2-PVDF composite film was cut into 1 cm × 1 cm slices and utilized as the working electrode. The measurement of CV performance was performed in 1 M Na2SO4 aqueous electrolyte under the potential window between −0.2 V and 0.8 V. The GCD curve was measured with the current density of 0.5 mA/cm2, 1.0 mA/cm2, 1.5 mA/cm2, and 2.0 mA/cm2. The mass specific capacitance was obtained by using the following equation:
where Cm is the mass specific capacitance, m is the mass of the electrode; s is the scanning rate; ΔV is the potential window; I and V represent the current and potential in the CV curve.
3. Results
3.1. EHD Printing of the Microscale PVDF Fibers
As shown in Figure 2a, it was observed that the PVDF fibers were formed by the electric force and ejected from the printing nozzle. The fibers were dragged by the moving stage and deposited onto the collector. The moving stage generates a mechanical force on the ejected fiber, which significantly determines the fiber arrangement and direction on the collector. For instance, a lower stage moving speed commonly results in curvilinear fiber arrangement, and a higher stage moving speed normally results in straight fiber morphology. To obtain the straight fibers on the collector, the stage moving speed should be matched with the ejecting speed of the fibers outside the nozzle [18]. In our experiment, the straight PVDF fibers were EHD-printed with a fiber width of 8.3 ± 1.2 μm (Figure 2b). The fiber spacing was tuned at 100 μm according to the programmable trajectory controlled by the computer. The 3D scanning result of the EHD-printed microscale fiber was demonstrated in Figure 2c. The height of the fiber was 7.1 ± 1.5 μm, which was close to the fiber width.
Figure 2.
EHD printing of the PVDF fibers. (a) The optical image of the ejected fibers from the nozzle, which was obtained by the real-time monitoring system. (b) Straight PVDF fibers with the width of 8.3 ± 1.2 μm, with a fiber spacing of 100 μm. (c) The 3D profile of a single EHD-printed PVDF fiber.
The EHD-printed fiber width is mainly determined by the material’s property and processing parameters. Due to the suitable viscosity and permittivity, PVDF enables well EHD printing stability for microscale fibers [19,20]. The effect of EHD processing parameters on the printed fiber width has been investigated by pioneering studies [21]. Generally, the increased working voltage and feeding rate facilitate the formation of a larger fiber width. The increased nozzle-to-collector distance and stage moving speed result in a decreased fiber width. Apart from the fiber width, the fiber spacing is another important feature to tune the porosity and specific area of the printed structures [22]. EHD printing enables the fabrication of 2D patterns with controlled fiber spacing larger than dozens of microns. However, the adjacent fibers might be disturbed by the electrical force caused by residual charges in the fibers [23,24]. In our previous study, the smallest fiber spacing can be controlled at 10 μm with sub-microscale fiber width [16]. In this study, PVDF fibers were uniformly fabricated under the constant processing parameters of 1400 V, 3 mm, 50 mm/s, and 40 μL/h. The microscale PVDF fibers were utilized as the substrate for the assembly of MoS2 nanostructure.
3.2. In-Situ Assembly of MoS2 Nanostructure on EHD-Printed PVDF Fibrous Films
The microscale fibers were staked in a layer-by-layer manner to form the PVDF film. The EHD-printed 20-layer PVDF film with the dimension of 2 cm × 2 cm is shown in Figure 3a. It was observed that the microscale fibers are distributed vertically and horizontally in the PVDF film. The fibers of different layers were not well-aligned. The malposed position of different layers was caused by the whipping phenomenon as well as the residual charge repulsion between neighboring fibers. In addition, the malposed fibers provide a larger structural surface area than the well-aligned structure, which can facilitate the biological or chemical interactions between EHD-printed structures and the surrounding environments. The PVDF film was further employed as the substrate for the assembly of MoS2 nanostructures. Figure 3b shows the optical images of the MoS2-PVDF composite film. It was observed that the appearance of the film significantly changed from white to dark, demonstrating the assembly of MoS2 on PVDF fibers. Negligible shrinkage was observed on the PVDF fibers which maintained an average size of 8.3 ± 1.2 μm.
Figure 3.
Optical images of the PVDF film and MoS2-PVDF composite film. (a) Optical images of the PVDF film with the dimension of 2 cm × 2 cm. (b) Optical images of the MoS2-PVDF composite film.
The micro/nanoscale structural features as well as the materials composition were further characterized to demonstrate the existence of MoS2 nanostructures. Figure 4a illustrates the microscale morphology of the MoS2-coated PVDF fibrous film. It can be observed that the microscale PVDF fibers maintain the fibrillar shape after the hydrothermal treatment. The MoS2 was mainly formed on the surface of PVDF fibers. Negligible MoS2 nanostructure was observed in the spacing between the fibers. Concerning a single fiber, it was observed that the MoS2 nanostructures were synthesized and assembled on the whole surface of the PVDF fiber (Figure 4b). The nanoscale characterization of the formed MoS2 nanostructure is shown in Figure 4c. The MoS2 nanostructure showed a flower shape morphology composed of a crowd of nanoplates. The in-situ assembled MoS2 nanostructure significantly increased the surface area of the composite structure, which might be meaningful to facilitate the interaction with liquid electrolytes for electrochemical applications [25,26].
Figure 4.
The micro/nanoscale morphology of the MoS2-PVDF composite film. (a) The microscopic images of the MoS2-coated PVDF fibrous film. (b) The microscale characterization of the MoS2 coated PVDF fiber. (c) The SEM image of the MoS2 nanostructures.
The XRD and Raman spectrum were measured and investigated to demonstrate the synthesis of MoS2 nanostructures on PVDF fibers. The XRD spectrum of MoS2 is shown in Figure 5a. The characteristic peaks at 14.2°, 33.5° and 58.6° in the XRD patterns perfectly matched with the (002), (100), and (110) planes of MoS2, respectively. The characteristic peaks are in good agreement with the standard peaks of hexagonal MoS2 (JCPDS card No. 37-1492), demonstrating the high-quality crystallization of MoS2. The Raman spectrum of MoS2 was also investigated, as shown in Figure 5b. The prominent peaks at 195 cm−1 and 402−1 validate the presence of pristine MoS2 on the PVDF fibers. Overall, the XRD as well as the Raman results demonstrated the successful synthesis of MoS2 on the EHD-printed fibers.
Figure 5.
Material characterizations of the synthesized MoS2 nanostructures. (a) The XRD spectrum of MoS2. (b) The Raman spectrum of MoS2.
3.3. Potential Energy Storage Capacity of the MoS2-PVDF Composite Film as Supercapacitor Electrode
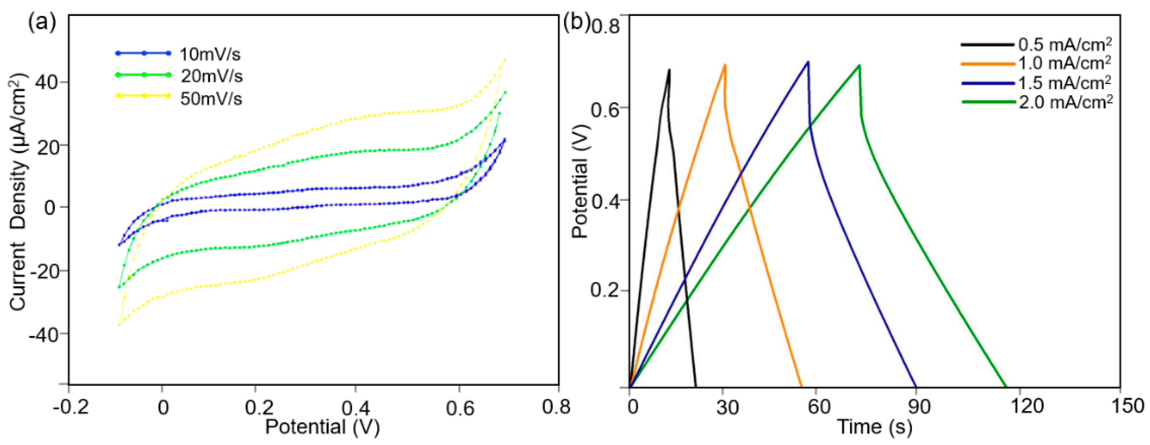
To explore the potential energy storage capacity, the as-fabricated MoS2-PVDF composite film was further employed as supercapacitor electrodes for electrochemical investigation. The cyclic voltammetry (CV) measurement is widely utilized to investigate the energy storage applications of supercapacitors. During the CV measurement, a potentiostat is used to linearly sweep the potential between the working and reference electrodes until it reaches the defined limit, at which point it sweeps back in the opposite direction. The CV performance of the MoS2-PVDF composite electrode in the potential widow between −0.2 V and 0.8 V is shown in Figure 6a. The CV performance of the MoS2-PVDF composite films was measured under the scanning rate of 10 mV/s, 20 mV/s, and 50 mV/s. The typical enclosing curves with no distinctive peaks were obtained under a scanning cycle, indicating the potential charge storage capacity of electrical double-layer capacitance [27,28]. It was calculated that the mass specific capacitance of the electrodes was 60.2 ± 4.5 F/g. The galvanostatic charge discharge (GCD) result was also measured under the current density of 0.5, 1, 1.5, 2 mA/cm2. As shown in Figure 6b, the GCD curves exhibited a typical triangular profile that represent the practical capacitance for supercapacitors. The extensive cycling was performed to demonstrate the cyclic stability of the electrode. After 3000 cycles of scanning, the electrodes retained 76.5% of the initial capacitance, as shown in Figure 7.
Figure 6.
The electrochemical performance of the as-fabricated MoS2-PVDF composite electrodes. (a) The CV performance measured in the potential widow between −0.2 V and 0.8 V. (b) The GCD curve measured with the current density of 0.5, 1, 1.5, and 2 mA/cm2, respectively.
Figure 7.
The electrochemical stability of the MoS2-PVDF composite electrodes, under the scanning rate of 50 mV/s.
4. Discussion
This work provides a promising strategy to fabricate MoS2-PVDF composite electrode for potential energy storage applications. By using the EHD printing process, microscale PVDF films were fabricated with uniform fiber width and controlled fiber arrangement. The MoS2 nanostructures were assembled via hydrothermal crystal growth. This work offers an innovative approach for the fabrication of high-resolution and multi-dimensional energy storage electrodes. (i) In the fields of additive manufacturing, various 3D printing techniques have been explored for the fabrication of energy storage electrodes and even devices [29]. Most of the existing 3D-printed electrodes have a manufacturing resolution of larger than dozens of microns. The EHD-printed electrodes significantly improved the manufacturing resolution compared with traditional 3D printing techniques like extrusion-based 3D printing [30] and fused deposition modeling [31]. (ii) On the other hand, the conventional 3D printed electrodes are mainly limited to a single microscale dimension. The assembly of MoS2 nanostructures on PVDF fibers provides a promising approach to enrich the structural topology for enhanced electrochemical performance [32].
The proposed MoS2-PVDF composite electrodes might also provide innovative inspirations for high-performance energy storage. Electrochemical energy storage involves manifold interactions between the electrode and the surrounding electrolyte [33]. The as-fabricate MoS2-PVDF composite electrodes significantly increased the electrode-electrolyte contact interface, which can promote ion transmission as well as electron transfer during the charge-discharge process [34]. PVDF was employed because of its excellent EHD printing performance. However, the low conductivity of PVDF restrains the energy storge performance. Although the specific capacitance of the MoS2-PVDF composite electrode remains a relatively low level, the energy storage capacity might be improved by using a high-conductivity current collector or coating conductive materials [35,36]. The EHD printing of high-conductivity materials is still the main challenges due to the electric-induced breakage of the ejected fibers. Future breakthroughs might be conducted in the aspect of innovative printing nozzle configuration that maintains the high voltage to drive EHD ejecting but restrains the internal current within the fibers.
This work preliminarily explores the electrochemical performance and demonstrates the promising energy storage capacity of the MoS2-PVDF composite electrodes. It should be mentioned that the fiber density in the EHD-printed electrodes can affect the capacitance for energy storage. By adjusting the fiber spacing, the porosity as well as the surface area can be further optimized for improved electrochemical performance. In our previous study, the structural porosity of the EHD-printed carbon-nickel electrode was tuned from in a wide range of 13.2 ± 4.6 % to 73.6 ± 6.9 % by simply changing the user-specific fiber spacing [17]. Apart from structural control and optimization, the EHD printing process also enables the microminiaturization of energy storage devices [37]. As a large majority of the existing energy storage materials were synthesized by chemical methods, which were not able to directly customize the geometrical shape of the electrodes. The proposed method for MoS2-PVDF composite electrodes can facilitate the fabrication of tiny energy storage devices with pre-designed morphology and high resolution. In addition, the employed PVDF possesses advanced functions like piezoelectric property and flexibility, which may be further explored for flexible energy generation and storage devices [38,39].
5. Conclusions
This work presented a novel strategy to fabricate multidimensional electrodes involving microscale PVDF fibers and MoS2 nanostructures. EHD printing was developed to create the microscale PVDF film with a stable fiber width of 8.3 ± 1.2 μm. Combining with the hydrothermal crystal growth method, MoS2 nanostructures were synthesized and assembled on the microscale PVDF fibers. The PVDF films maintained a stable morphology after the high-temperature treatment. Microscopic observations as well as material characterizations were conducted to demonstrate the existence of MoS2 on the PVDF fibers. It was observed that the as-fabricated MoS2-PVDF electrodes showed a typical charge-discharge curve during the electrochemical experiments. The proposed method enriched the structural and dimensional properties of 3D printed electrodes, which might be further explored for the optimization and micro miniaturization of energy storage devices.
Author Contributions
Conceptualization, B.Z. and Z.G.; Methodology, B.Z. and S.L.; Writing—original draft preparation, B.Z.; Writing—review and editing, B.Z., M.S.H.Q. and U.M.; Funding acquisition, B.Z. and Z.G.; Supervision, Z.G. and A.S. All authors have read and agreed to the published version of the manuscript.
Funding
This work was financially supported by the fundamental research funding from Yangzhou University (137012435), Postdoctoral Science Foundation of China (2022M722690), State Key Laboratory for Manufacturing Systems Engineering (sklms2022014), Lvyangjinfeng Project from Yangzhou, and the Innovation Project for Outstanding Doctors from Jiangsu Province. In addition, the experiment was also supported by Jiangsu Agricultural Science and Technology Innovation Fund (CX(21)3154), Postdoctoral Science Foundation of China (2020M670791) and the Special Fund for Science and Technology Innovation of Jiangsu Province (BE2022610).
Conflicts of Interest
The authors declare no conflict of interest.
References
- Adam, A.A.; Ojur Dennis, J.; Al-Hadeethi, Y.; Mkawi, E.; Abubakar Abdulkadir, B.; Usman, F.; Mudassir Hassan, Y.; Wadi, I.; Sani, M. State of the art and new directions on electrospun lignin/cellulose nanofibers for supercapacitor application: A systematic literature review. Polymers 2020, 12, 2884. [Google Scholar] [CrossRef] [PubMed]
- Zhang, L.; Li, X.; Yang, M.; Chen, W. High-safety separators for lithium-ion batteries and sodium-ion batteries: Advances and perspective. Energy Storage Mater. 2021, 41, 522–545. [Google Scholar] [CrossRef]
- Ruano, G.; Iribarren, J.I.; Pérez-Madrigal, M.M.; Torras, J.; Alemán, C. Electrical and capacitive response of hydrogel solid-like electrolytes for supercapacitors. Polymers 2021, 13, 1337. [Google Scholar] [CrossRef] [PubMed]
- Xu, H.; Shen, M. The control of lithium-ion batteries and supercapacitors in hybrid energy storage systems for electric vehicles: A review. Int. J. Energy Res. 2021, 45, 20524–20544. [Google Scholar] [CrossRef]
- Kim, C.; Zhu, C.; Aoki, Y.; Habazaki, H. Heteroatom-doped porous carbon with tunable pore structure and high specific surface area for high performance supercapacitors. Electrochim. Acta 2019, 314, 173–187. [Google Scholar] [CrossRef]
- Cao, J.; Zhu, C.; Aoki, Y.; Habazaki, H. Starch-derived hierarchical porous carbon with controlled porosity for high performance supercapacitors. ACS Sustain. Chem. Eng. 2018, 6, 7292–7303. [Google Scholar] [CrossRef]
- Liu, X.; Lai, C.; Xiao, Z.; Zou, S.; Liu, K.; Yin, Y.; Liang, T.; Wu, Z. Superb electrolyte penetration/absorption of three-dimensional porous carbon nanosheets for multifunctional supercapacitor. ACS Appl. Energy Mater. 2019, 2, 3185–3193. [Google Scholar] [CrossRef]
- Xiang, L.; Luo, D.; Yang, J.; Sun, X.; Qi, Y.; Qin, S. Preparation and comparison of properties of three phase change energy storage materials with hollow fiber membrane as the supporting carrier. Polymers 2019, 11, 1343. [Google Scholar] [CrossRef]
- Fleischmann, S.; Mitchell, J.B.; Wang, R.; Zhan, C.; Jiang, D.-e.; Presser, V.; Augustyn, V. Pseudocapacitance: From fundamental understanding to high power energy storage materials. Chem. Rev. 2020, 120, 6738–6782. [Google Scholar] [CrossRef]
- He, P.; He, J.; Huo, Z.; Li, D. Microfluidics-based fabrication of flexible ionic hydrogel batteries inspired by electric eels. Energy Storage Mater. 2022, 49, 348–359. [Google Scholar] [CrossRef]
- Egorov, V.; Gulzar, U.; Zhang, Y.; Breen, S.; O’Dwyer, C. Evolution of 3d printing methods and materials for electrochemical energy storage. Adv. Mater. 2020, 32, 2000556. [Google Scholar] [CrossRef] [PubMed]
- Zhang, M.; Mei, H.; Chang, P.; Cheng, L. 3d printing of structured electrodes for rechargeable batteries. J. Mater. Chem. A 2020, 8, 10670–10694. [Google Scholar] [CrossRef]
- Mai, Z.; Liu, D.; Chen, Z.; Lin, D.; Zheng, W.; Dong, X.; Gao, Q.; Zhou, W. Fabrication and application of photocatalytic composites and water treatment facility based on 3d printing technology. Polymers 2021, 13, 2196. [Google Scholar] [CrossRef] [PubMed]
- Zhou, G.; Li, M.C.; Liu, C.; Wu, Q.; Mei, C. 3d printed ti3c2tx mxene/cellulose nanofiber architectures for solid-state supercapacitors: Ink rheology, 3d printability, and electrochemical performance. Adv. Funct. Mater. 2022, 32, 2109593. [Google Scholar] [CrossRef]
- Nguyen, J.; Stwodah, R.M.; Vasey, C.L.; Rabatin, B.E.; Atherton, B.; D’Angelo, P.A.; Swana, K.W.; Tang, C. Thermochromic fibers via electrospinning. Polymers 2020, 12, 842. [Google Scholar] [CrossRef]
- Zhang, B.; He, J.; Lei, Q.; Li, D. Electrohydrodynamic printing of sub-microscale fibrous architectures with improved cell adhesion capacity. Virtual Phys. Prototyp. 2020, 15, 62–74. [Google Scholar] [CrossRef]
- Zhang, B.; He, J.; Zheng, G.; Huang, Y.; Wang, C.; He, P.; Sui, F.; Meng, L.; Lin, L. Electrohydrodynamic 3d printing of orderly carbon/nickel composite network as supercapacitor electrodes. J. Mater. Sci. Technol. 2021, 82, 135–143. [Google Scholar] [CrossRef]
- Liashenko, I.; Rosell-Llompart, J.; Cabot, A. Ultrafast 3d printing with submicrometer features using electrostatic jet deflection. Nat. Commun. 2020, 11, 753. [Google Scholar] [CrossRef]
- Liang, Y.; Zhao, J.; Huang, Q.; Hu, P.; Xiao, C. Pvdf fiber membrane with ordered porous structure via 3d printing near field electrospinning. J. Membr. Sci. 2021, 618, 118709. [Google Scholar] [CrossRef]
- Lee, T.H.; Chen, C.Y.; Tsai, C.Y.; Fuh, Y.K. Near-field electrospun piezoelectric fibers as sound-sensing elements. Polymers 2018, 10, 692. [Google Scholar] [CrossRef]
- Luo, G.; Teh, K.S.; Liu, Y.; Zang, X.; Wen, Z.; Lin, L. Direct-write, self-aligned electrospinning on paper for controllable fabrication of three-dimensional structures. ACS Appl. Mater. Interfaces 2015, 7, 27765–27770. [Google Scholar] [CrossRef] [PubMed]
- Vijayavenkataraman, S.; Zhang, S.; Thaharah, S.; Sriram, G.; Lu, W.F.; Fuh, J.Y.H. Electrohydrodynamic jet 3d printed nerve guide conduits (ngcs) for peripheral nerve injury repair. Polymers 2018, 10, 753. [Google Scholar] [CrossRef] [PubMed]
- Zhang, B.; He, J.; Li, X.; Xu, F.; Li, D. Micro/nanoscale electrohydrodynamic printing: From 2d to 3d. Nanoscale 2016, 8, 15376–15388. [Google Scholar] [CrossRef]
- He, J.; Hao, G.; Meng, Z.; Cao, Y.; Li, D. Expanding melt-based electrohydrodynamic printing of highly-ordered microfibrous architectures to cm-height via in situ charge neutralization. Adv. Mater. Technol. 2021, 7, 2101197. [Google Scholar] [CrossRef]
- Zhang, C.-L.; Jiang, Z.-H.; Lu, B.-R.; Liu, J.-T.; Cao, F.-H.; Li, H.; Yu, Z.-L.; Yu, S.-H. Mos2 nanoplates assembled on electrospun polyacrylonitrile-metal organic framework-derived carbon fibers for lithium storage. Nano Energy 2019, 61, 104–110. [Google Scholar] [CrossRef]
- Sarkar, D.; Das, D.; Das, S.; Kumar, A.; Patil, S.; Nanda, K.K.; Sarma, D.; Shukla, A. Expanding interlayer spacing in MoS2 for realizing an advanced supercapacitor. ACS Energy Lett. 2019, 4, 1602–1609. [Google Scholar] [CrossRef]
- Dong, Y.; Zhang, S.; Du, X.; Hong, S.; Zhao, S.; Chen, Y.; Chen, X.; Song, H. Boosting the electrical double-layer capacitance of graphene by self-doped defects through ball-milling. Adv. Funct. Mater. 2019, 29, 1901127. [Google Scholar] [CrossRef]
- Lee, J.-S.M.; Briggs, M.E.; Hu, C.-C.; Cooper, A.I. Controlling electric double-layer capacitance and pseudocapacitance in heteroatom-doped carbons derived from hypercrosslinked microporous polymers. Nano Energy 2018, 46, 277–289. [Google Scholar] [CrossRef]
- Zhang, W.; Liu, H.; Zhang, X.; Li, X.; Zhang, G.; Cao, P. 3d printed micro-electrochemical energy storage devices: From design to integration. Adv. Funct. Mater. 2021, 31, 2104909. [Google Scholar] [CrossRef]
- Tümer, E.H.; Erbil, H.Y. Extrusion-based 3d printing applications of pla composites: A review. Coatings 2021, 11, 390. [Google Scholar] [CrossRef]
- Awasthi, P.; Banerjee, S.S. Fused deposition modeling of thermoplastic elastomeric materials: Challenges and opportunities. Addit. Manuf. 2021, 46, 102177. [Google Scholar] [CrossRef]
- Zhang, B.; He, J.; Li, J.; Wang, L.; Li, D. Microscale electrohydrodynamic printing of in situ reactive features for patterned zno nanorods. Nanotechnology 2019, 30, 475301. [Google Scholar] [CrossRef] [PubMed]
- Li, L.; Liu, W.; Dong, H.; Gui, Q.; Hu, Z.; Li, Y.; Liu, J. Surface and interface engineering of nanoarrays toward advanced electrodes and electrochemical energy storage devices. Adv. Mater. 2021, 33, 2004959. [Google Scholar] [CrossRef] [PubMed]
- Guo, X.; Bae, J.; Ding, Y.; Zhang, X.; Yu, G. Liquid alloy enabled solid-state batteries for conformal electrode–electrolyte interfaces. Adv. Funct. Mater. 2021, 31, 2010863. [Google Scholar] [CrossRef]
- Thong, P.T.; Sadhasivam, T.; Kim, N.-I.; Kim, Y.A.; Roh, S.-H.; Jung, H.-Y. Highly conductive current collector for enhancing conductivity and power supply of flexible thin-film zn–mno2 battery. Energy 2021, 221, 119856. [Google Scholar] [CrossRef]
- Woo, S.; Nam, D.; Chang, W.; Ko, Y.; Lee, S.; Song, Y.; Yeom, B.; Moon, J.H.; Lee, S.W.; Cho, J. A layer-by-layer assembly route to electroplated fibril-based 3d porous current collectors for energy storage devices. Small 2021, 17, 2007579. [Google Scholar] [CrossRef]
- Lei, Z.; Liu, L.; Zhao, H.; Liang, F.; Chang, S.; Li, L.; Zhang, Y.; Lin, Z.; Kröger, J.; Lei, Y. Nanoelectrode design from microminiaturized honeycomb monolith with ultrathin and stiff nanoscaffold for high-energy micro-supercapacitors. Nat. Commun. 2020, 11, 299. [Google Scholar] [CrossRef]
- Eun, J.H.; Sung, S.M.; Kim, M.S.; Choi, B.K.; Lee, J.S. Effect of mwcnt content on the mechanical and piezoelectric properties of pvdf nanofibers. Mater. Des. 2021, 206, 109785. [Google Scholar] [CrossRef]
- Qian, Y.; Kang, D.J. Poly (dimethylsiloxane)/zno nanoflakes/three-dimensional graphene heterostructures for high-performance flexible energy harvesters with simultaneous piezoelectric and triboelectric generation. ACS Appl. Mater. Interfaces 2018, 10, 32281–32288. [Google Scholar] [CrossRef]
Publisher’s Note: MDPI stays neutral with regard to jurisdictional claims in published maps and institutional affiliations. |
© 2022 by the authors. Licensee MDPI, Basel, Switzerland. This article is an open access article distributed under the terms and conditions of the Creative Commons Attribution (CC BY) license (https://creativecommons.org/licenses/by/4.0/).






