A Systematic Study on Impact of Binder Formulation on Green Body Strength of Vat-Photopolymerisation 3D Printed Silica Ceramics Used in Investment Casting
Abstract
1. Introduction
2. Materials and Methods
2.1. Materials
2.2. Materials Preparation
2.3. Characterisation of Mixtures before and after 3D Printing
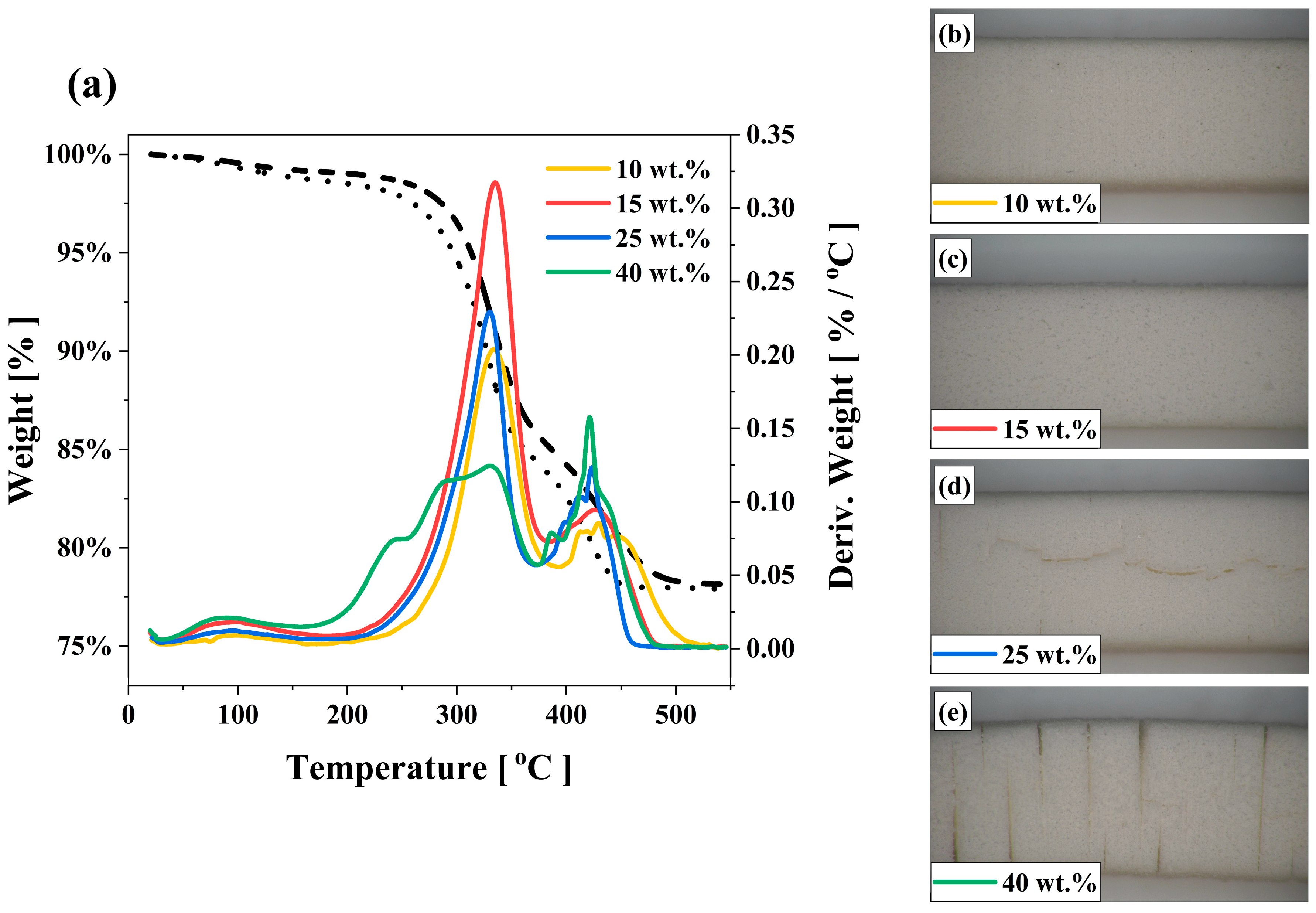
3. Results and Discussion
3.1. Improving the Mechanical Performance of Binder System for Ceramics
3.1.1. Impact of Aliphatic Urethane Acrylate
3.1.2. Effect of NVP Concentration on Selected Mixes
3.1.3. Impact of HDDA Concentration on Selected Mixes
3.2. Impact of Polyether Acrylate (PEA) on Printing
4. Conclusions
Supplementary Materials
Author Contributions
Funding
Institutional Review Board Statement
Data Availability Statement
Acknowledgments
Conflicts of Interest
References
- Halloran, J.W. Ceramic Stereolithography: Additive Manufacturing for Ceramics by Photopolymerization. Annu. Rev. Mater. Res. 2016, 46, 19–40. [Google Scholar] [CrossRef]
- Zakeri, S.; Vippola, M.; Levänen, E. A comprehensive review of the photopolymerization of ceramic resins used in stereolithography. Addit. Manuf. 2020, 35, 101177. [Google Scholar] [CrossRef]
- Pagac, M.; Hajnys, J.; Ma, Q.-P.; Jancar, L.; Jansa, J.; Stefek, P.; Mesicek, J. A Review of Vat Photopolymerization Technology: Materials, Applications, Challenges, and Future Trends of 3D Printing. Polymers 2021, 13, 598. [Google Scholar] [CrossRef] [PubMed]
- Oezkan, B.; Sameni, F.; Karmel, S.; Engstrøm, D.S.; Sabet, E. A systematic study of vat-polymerization binders with potential use in the ceramic suspension 3D printing. Addit. Manuf. 2021, 47, 102225. [Google Scholar] [CrossRef]
- Ligon, S.C.; Liska, R.; Stampfl, J.; Gurr, M.; Mülhaupt, R. Polymers for 3D Printing and Customized Additive Manufacturing. Chem. Rev. 2017, 117, 10212–10290. [Google Scholar] [CrossRef]
- Tomeckova, V.; Halloran, J.W. Flow behavior of polymerizable ceramic suspensions as function of ceramic volume fraction and temperature. J. Eur. Ceram. Soc. 2011, 31, 2535–2542. [Google Scholar] [CrossRef]
- Komissarenko, D.A.; Sokolov, P.S.; Evstigneeva, A.D.; Shmeleva, I.A.; Dosovitsky, A.E. Rheological and Curing Behavior of Acrylate-Based Suspensions for the DLP 3D Printing of Complex Zirconia Parts. Materials 2018, 11, 2350. [Google Scholar] [CrossRef] [PubMed]
- Mavroudakis, E.; Cuccato, D.; Moscatelli, D. Chapter 3 Determination of Reaction Rate Coefficients in Free-Radical Polymerization Using Density Functional Theory. In Computational Quantum Chemistry; Elsevier: Amsterdam, The Netherlands, 2021; pp. 47–98. [Google Scholar]
- Ozkan, B.; Sameni, F.; Bianchi, F.; Zarezadeh, H.; Karmel, S.; Engstrøm, D.S.; Sabet, E. 3D printing ceramic cores for investment casting of turbine blades, using LCD screen printers: The mixture design and characterisation. J. Eur. Ceram. Soc. 2021, 42, 658–671. [Google Scholar] [CrossRef]
- Ozkan, B. Vat-Photopolymerisation 3D Printing Silica-Based Ceramic Cores Used in Investment Casting of Hot Section Parts for Aero and Power Turbines. Ph.D. Thesis, Loughborough University, Loughborough, UK, 2022. [Google Scholar]
- Griffith, M.L.; Halloran, J.W. Freeform Fabrication of Ceramics via Stereolithography. J. Am. Ceram. Soc. 1996, 79, 2601–2608. [Google Scholar] [CrossRef]
- de Camargo, I.L.; Morais, M.M.; Fortulan, C.A.; Branciforti, M.C. A review on the rheological behavior and formulations of ceramic suspensions for vat photopolymerization. Ceram. Int. 2021, 47, 11906–11921. [Google Scholar] [CrossRef]
- Zhang, K.; He, R.; Ding, G.; Feng, C.; Song, W.; Fang, D.; Xia, M. Digital light processing of 3Y-TZP strengthened ZrO2 ceramics. Mater. Sci. Eng. A 2019, 774, 138768. [Google Scholar] [CrossRef]
- Zhang, S.; Sha, N.; Zhao, Z. Surface modification of α-Al2O3 with dicarboxylic acids for the preparation of UV-curable ceramic suspensions. J. Eur. Ceram. Soc. 2017, 37, 1607–1616. [Google Scholar] [CrossRef]
- Ding, G.; He, R.; Zhang, K.; Xia, M.; Feng, C.; Fang, D. Dispersion and stability of SiC ceramic slurry for stereolithography. Ceram. Int. 2020, 46, 4720–4729. [Google Scholar] [CrossRef]
- Song, S.Y.; Park, M.S.; Lee, D.; Lee, J.W.; Yun, J.S. Optimization and characterization of high-viscosity ZrO2 ceramic nanocomposite resins for supportless stereolithography. Mater. Des. 2019, 180, 107960. [Google Scholar] [CrossRef]
- Chen, Z.; Li, J.; Liu, C.; Liu, Y.; Zhu, J.; Lao, C. Preparation of high solid loading and low viscosity ceramic slurries for photopolymerization-based 3D printing. Ceram. Int. 2019, 45, 11549–11557. [Google Scholar] [CrossRef]
- Goswami, A.; Ankit, K.; Balashanmugam, N.; Umarji, A.M.; Madras, G. Optimization of rheological properties of photopolymerizable alumina suspensions for ceramic microstereolithography. Ceram. Int. 2014, 40, 3655–3665. [Google Scholar] [CrossRef]
- Li, T.; Chen, H.; Zhang, Y.; Gu, Y.; Hu, C.; Li, S.; Liu, B.; Duan, W.; Wang, G. A comprehensive evaluation of vat-photopolymerization resins and alumina slurries for ceramic stereolithography. Ceram. Int. 2023, 49, 6440–6450. [Google Scholar] [CrossRef]
- Ozkan, B.; Sameni, F.; Goulas, A.; Karmel, S.; Engstrøm, D.S.; Sabet, E. Hot ceramic lithography of silica-based ceramic cores: The effect of process temperature on vat-photopolymierisation. Addit. Manuf. 2022, 58, 103033. [Google Scholar] [CrossRef]
- Coppola, B.; Schmitt, J.; Lacondemine, T.; Tardivat, C.; Montanaro, L.; Palmero, P. Digital light processing stereolithography of zirconia ceramics: Slurry elaboration and orientation-reliant mechanical properties. J. Eur. Ceram. Soc. 2022, 42, 2974–2982. [Google Scholar] [CrossRef]
- Harrer, W.; Schwentenwein, M.; Lube, T.; Danzer, R. Fractography of zirconia-specimens made using additive manufacturing (LCM) technology. J. Eur. Ceram. Soc. 2017, 37, 4331–4338. [Google Scholar] [CrossRef]
- Ozkan, B.; Sameni, F.; Karmel, S.; Engstrøm, D.S.; Sabet, E. Binder stabilization and rheology optimization for vat-photopolymerization 3D printing of silica-based ceramic mixtures. J. Eur. Ceram. Soc. 2022, 43, 1649–1662. [Google Scholar] [CrossRef]
- Ye, H.; Venketeswaran, A.; Das, S.; Zhou, C. Investigation of separation force for constrained-surface stereolithography process from mechanics perspective. Rapid Prototyp. J. 2017, 23, 696–710. [Google Scholar] [CrossRef]
- He, H.; Xu, J.; Yu, X.; Pan, Y. Effect of Constrained Surface Texturing on Separation Force in Projection Stereolithography. J. Manuf. Sci. Eng. 2018, 140, 091007. [Google Scholar] [CrossRef]
- Slapnik, J.; Pulko, I. Tailoring properties of photopolymers for additive manufacturing with mixture design. Prog. Addit. Manuf. 2021, 6, 83–91. [Google Scholar] [CrossRef]
- Mubarak, S.; Dhamodharan, D.; Kale, M.B.; Divakaran, N.; Senthil, T.; P., S.; Wu, L.; Wang, J. A Novel Approach to Enhance Mechanical and Thermal Properties of SLA 3D Printed Structure by Incorporation of Metal–Metal Oxide Nanoparticles. Nanomaterials 2020, 10, 217. [Google Scholar] [CrossRef] [PubMed]
- Lin, L.; Wu, H.; Huang, Z.; Wu, S. Effect of monomers with different functionalities on stability, rheology, and curing behavior of ceramic suspensions. Mater. Chem. Phys. 2022, 275, 125243. [Google Scholar] [CrossRef]
- Chen, H.; Chen, B.; Li, J.; Yan, H.; Zeng, Y.; Chen, J. Optimization of Vat-Polymerization binder formulation for 3D printing ceramic slurry using D-optimal mixture experimental design. Compos. Part B Eng. 2023, 260, 110777. [Google Scholar] [CrossRef]
- Jacobs, P.F. Rapid Prototyping & Manufacturing: Fundamentals of Stereolithography. J. Manuf. Syst. 1993, 12, 430–433. [Google Scholar] [CrossRef]
- ASTM D638-14; Standard Test Method for Tensile Properties of Plastics. ASTM International: West Conshohocken, PA, USA, 2014.
- Hafkamp, T.; van Baars, G.; de Jager, B.; Etman, P. A feasibility study on process monitoring and control in vat photopolymerization of ceramics. Mechatronics 2018, 56, 220–241. [Google Scholar] [CrossRef]
- Xue, Z.; Zhang, Z.; Amine, K. Cross-linkable urethane acrylate oligomers as binders for lithium-ion battery. Electrochem. Commun. 2013, 34, 86–89. [Google Scholar] [CrossRef]
- Łyszczek, R.; Podkościelna, B.; Lipke, A.; Ostasz, A.; Puszka, A. Synthesis and thermal characterization of luminescent hybrid composites based on bisphenol A diacrylate and NVP. J. Therm. Anal. Calorim. 2019, 138, 4463–4473. [Google Scholar] [CrossRef]
- Xu, L.; Che, L.; Zheng, J.; Huang, G.; Wu, X.; Chen, P.; Zhang, L.; Hu, Q. Synthesis and thermal degradation property study of N-vinylpyrrolidone and acrylamide copolymer. RSC Adv. 2014, 4, 33269–33278. [Google Scholar] [CrossRef]
- Badev, A.; Abouliatim, Y.; Chartier, T.; Lecamp, L.; Lebaudy, P.; Chaput, C.; Delage, C. Photopolymerization kinetics of a polyether acrylate in the presence of ceramic fillers used in stereolithography. J. Photochem. Photobiol. A Chem. 2011, 222, 117–122. [Google Scholar] [CrossRef]














| Monomer | Label Name | Functionality | Viscosity [mPa·s] | Density [g/cm3] | Molecular Weight [g/mol] | Refractive Index [n20/D] |
|---|---|---|---|---|---|---|
| 1,6 hexanediol diacrylate | HDDA | 2 | 5–10 | 1.01 | 226 | 1.45 |
| Photocentric 34 | PC34 | 3 | 70–150 | 1.0–1.2 | N/A | N/A |
| N-Vinyl-2-Pyrrolidone | NVP | 1 | 2–4 | 1.04 | 111 | 1.48 |
| Aliphatic urethane acrylate | UA | 2 | 21,000 | 1.16 | - | 1.49 |
| Polyether acrylate | PEA | 3 | 20,000 | - | - | 1.50 |
| Mix No | Content of Monomer | Ultimate Tensile Strength | Strain | Young’s Modulus | Viscosity | ||
|---|---|---|---|---|---|---|---|
| HDDA | UA | NVP | |||||
| [wt.%] | [MPa] | [%] | [MPa] | [Pa·s] | |||
| 1 | 75 | 20 | 5 | 14.02 ± 1.14 | 7.940 | 204.97 | 0.019 |
| 2 | 65 | 20 | 15 | 25.68 ± 1.28 | 10.28 | 226.32 | 0.017 |
| 3 | 40 | 20 | 40 | 20.82 ± 0.96 | 10.77 | 164.35 | 0.017 |
| 4 | 65 | 30 | 5 | 18.03 ± 1.01 | 10.22 | 179.76 | 0.036 |
| 5 | 55 | 30 | 15 | 20.86 ± 1.03 | 12.41 | 194.94 | 0.031 |
| 6 | 30 | 30 | 40 | 10.51 ± 0.71 | 11.96 | 94.91 | 0.031 |
Disclaimer/Publisher’s Note: The statements, opinions and data contained in all publications are solely those of the individual author(s) and contributor(s) and not of MDPI and/or the editor(s). MDPI and/or the editor(s) disclaim responsibility for any injury to people or property resulting from any ideas, methods, instructions or products referred to in the content. |
© 2023 by the authors. Licensee MDPI, Basel, Switzerland. This article is an open access article distributed under the terms and conditions of the Creative Commons Attribution (CC BY) license (https://creativecommons.org/licenses/by/4.0/).
Share and Cite
Basar, O.; Veliyath, V.P.; Tarak, F.; Sabet, E. A Systematic Study on Impact of Binder Formulation on Green Body Strength of Vat-Photopolymerisation 3D Printed Silica Ceramics Used in Investment Casting. Polymers 2023, 15, 3141. https://doi.org/10.3390/polym15143141
Basar O, Veliyath VP, Tarak F, Sabet E. A Systematic Study on Impact of Binder Formulation on Green Body Strength of Vat-Photopolymerisation 3D Printed Silica Ceramics Used in Investment Casting. Polymers. 2023; 15(14):3141. https://doi.org/10.3390/polym15143141
Chicago/Turabian StyleBasar, Ozkan, Varghese Paul Veliyath, Fatih Tarak, and Ehsan Sabet. 2023. "A Systematic Study on Impact of Binder Formulation on Green Body Strength of Vat-Photopolymerisation 3D Printed Silica Ceramics Used in Investment Casting" Polymers 15, no. 14: 3141. https://doi.org/10.3390/polym15143141
APA StyleBasar, O., Veliyath, V. P., Tarak, F., & Sabet, E. (2023). A Systematic Study on Impact of Binder Formulation on Green Body Strength of Vat-Photopolymerisation 3D Printed Silica Ceramics Used in Investment Casting. Polymers, 15(14), 3141. https://doi.org/10.3390/polym15143141

