Debromination of Waste Circuit Boards by Reaction in Solid and Liquid Phases: Phenomenological Behavior and Kinetics
Abstract
1. Introduction
2. Experimental Setup
2.1. Materials
2.2. Description of the Runs
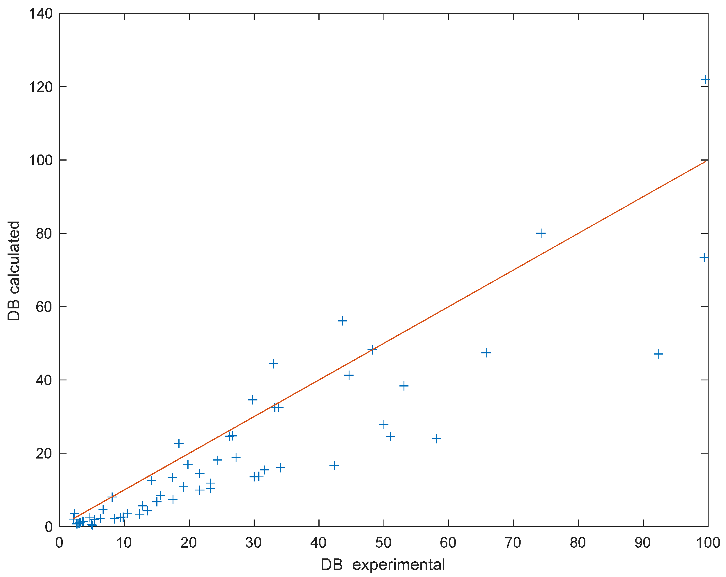
3. Kinetics of Debromination
3.1. Debromination in Liquid Phase: K2CO3 as Active Agent for the Reaction
3.2. Debromination in Solid Phase: CaO and Marble Sludge Acting as Active Agent in a planetary Ball Mill
4. Conclusions
Author Contributions
Funding
Conflicts of Interest
References
- Kumagai, S.; Grause, G.; Kameda, T.; Yoshioka, T. Thermal decomposition of tetrabromobisphenol-A containing printed circuit boards in the presence of calcium hydroxide. J. Mater. Cycles Waste Manag. 2015, 19, 282–293. [Google Scholar] [CrossRef]
- Yu, G.; Bu, Q.; Cao, Z.; Du, X.; Xia, J.; Wu, M.; Huang, J. Brominated flame retardants (BFRs): A review on environmental contamination in China. Chemosphere 2016, 150, 479–490. [Google Scholar] [CrossRef]
- Lincoln, J.D.; Ogunseitan, O.A.; Saphores, J.D.M.; Schoenung, J.M.; Nixon, H.; Shapiro, A.A. Environmentally benign materials for electronics: A review of current developments and emerging technologies. In Proceedings of the International Symposium on Advanced Packaging Materials: Processes, Properties and Interfaces 2005, Irvine, CA, USA, 16–18 March 2005; pp. 139–143. [Google Scholar] [CrossRef]
- Sakata, Y.; Bhaskar, T.; Uddin, M.A.; Muto, A.; Matsui, T. Development of a catalytic dehalogenation (Cl, Br) process for municipal waste plastic-derived oil. J. Mater. Cycles Waste Manag. 2003, 5, 113–124. [Google Scholar] [CrossRef]
- Yang, X.; Sun, L.; Xiang, J.; Hu, S.; Su, S. Pyrolysis and dehalogenation of plastics from waste electrical and electronic equipment (WEEE): A review. Waste Manag. 2013, 33, 462–473. [Google Scholar] [CrossRef]
- Shen, Y.; Zhao, R.; Wang, J.; Chen, X.; Ge, X.; Chen, M. Waste-to-energy: Dehalogenation of plastic-containing wastes. Waste Manag. 2016, 49, 287–303. [Google Scholar] [CrossRef]
- Lu, J.; Borjigin, S.; Kumagai, S.; Kameda, T.; Saito, Y.; Yoshioka, T. Practical dechlorination of polyvinyl chloride wastes in NaOH/ethylene glycol using an up-scale ball mill reactor and validation by discrete element method simulations. Waste Manag. 2019, 99, 31–41. [Google Scholar] [CrossRef] [PubMed]
- Iñiguez, M.E.; Conesa, J.A.; Fullana, A. Hydrothermal carbonization (HTC) of marine plastic debris. Fuel 2019, 257, 116033. [Google Scholar] [CrossRef]
- Gandon-Ros, G.; Soler, A.; Aracil, I.; Gómez-Rico, M.F.; Conesa, J.A. Improving efficiency and feasibility of subcritical water debromination of printed circuit boards E-waste via potassium carbonate adding. J. Clean. Prod. 2021, 319, 128605. [Google Scholar] [CrossRef]
- Soler, A.; Conesa, J.A.; Ortuño, N.; Ortuño García, N.; Ortuño, N. Application of Subcritical Water to Dechlorinate Polyvinyl Chloride Electric Wires. Energies 2018, 11, 2162. [Google Scholar] [CrossRef]
- Concas, A.; Lai, N.; Pisu, M.; Cao, G. Modelling of comminution processes in Spex Mixer/Mill. Chem. Eng. Sci. 2006, 61, 3746–3760. [Google Scholar] [CrossRef]
- Zhiliang, C.; Minghui, T.; Shengyong, L.; Buekens, A.; Jiamin, D.; Qili, Q.; Jianhua, Y. Mechanochemical degradation of PCDD/Fs in fly ash within different milling systems. Chemosphere 2019, 223, 188–195. [Google Scholar] [CrossRef] [PubMed]
- Chattopadhyay, P.P.; Manna, I.; Talapatra, S.; Pabi, S.K. Mathematical analysis of milling mechanics in a planetary ball mill. Mater. Chem. Phys. 2001, 68, 85–94. [Google Scholar] [CrossRef]
- Cagnetta, G.; Robertson, J.; Huang, J.; Zhang, K.; Yu, G. Mechanochemical destruction of halogenated organic pollutants: A critical review. J. Hazard. Mater. 2016, 313, 85–102. [Google Scholar] [CrossRef]
- Baláž, M.; Baláž, P.; Bujňáková, Z.; Pap, Z.; Kupka, D.; Zorkovská, A. Mechanochemical dechlorination of PVC by utilizing eggshell waste. In Proceedings of the 8th International Conference on Mechanochemistry and Mechanical Alloying, INCOME 2014, Kraków, Poland, 22–26 June 2014. [Google Scholar] [CrossRef]
- Inoue, T.; Miyazaki, M.; Kamitani, M.; Kano, J.; Saito, F. Dechlorination of polyvinyl chloride by its grinding with KOH and NaOH. Adv. Powder Technol. 2005, 16, 27–34. [Google Scholar] [CrossRef]
- Inoue, T.; Miyazaki, M.; Kamitani, M.; Kano, J.; Saito, F. Mechanochemical dechlorination of polyvinyl chloride by co-grinding with various metal oxides. Adv. Powder Technol. 2004, 15, 215–225. [Google Scholar] [CrossRef]
- Ali, L.; Kuttiyathil, M.S.; Ahmed, O.H.; Altarawneh, M. Separation of bromine and hydrocarbons from polymeric constituents in e-waste through thermal treatment with calcium hydroxide. Sep. Purif. Technol. 2023, 307, 122836. [Google Scholar] [CrossRef]
- Jin, H.; Kong, D.; Ji, Y.; Lu, J.; Zhou, Q. Degradation of tetrabromobisphenol A in heat activated persulfate oxidation process†. RSC Adv. 2016, 6, 29718–29726. [Google Scholar] [CrossRef]
- Hu, J.; Feng, Z.; Huang, Z.; Yu, J.; Liu, J. Mechanochemical destruction of 4-Bromochlorobenzene with CaO. Efficiency, kinetics, and mechanism. Environ. Prot. Eng. 2020, 46, 63–77. [Google Scholar] [CrossRef]
- Takaya, Y.; Xiao, Y.; Tsunazawa, Y.; Córdova, M.; Tokoro, C. Mechanochemical degradation treatment of TBBPA: A kinetic approach for predicting the degradation rate constant. Adv. Powder Technol. 2022, 33, 103469. [Google Scholar] [CrossRef]
- Xiu, F.-R.R.; Qi, Y.Y.; Zhang, F.-S.S. Co-treatment of waste printed circuit boards and polyvinyl chloride by subcritical water oxidation: Removal of brominated flame retardants and recovery of Cu and Pb. Chem. Eng. J. 2014, 237, 242–249. [Google Scholar] [CrossRef]
- Gandon-Ros, G.; Soler, A.; Aracil, I.; Gómez-Rico, M.F. Dechlorination of polyvinyl chloride electric wires by hydrothermal treatment using K2CO3 in subcritical water. Waste Manag. 2020, 102, 204–211. [Google Scholar] [CrossRef] [PubMed]
- Soler, A.; Conesa, J.A.; Ortuño, N. Emissions of brominated compounds and polycyclic aromatic hydrocarbons during pyrolysis of E-waste debrominated in subcritical water. Chemosphere 2017, 186, 167–176. [Google Scholar] [CrossRef] [PubMed]
- Conesa, J.A. Chemical Reactor Design: Mathematical Modeling and Applications; Wiley: Weinheim, Germany, 2019; ISBN 9783527346301. [Google Scholar]
- Ali, L.; Kuttiyathil, M.S.; Al-Harahsheh, M.; Altarawneh, M. Kinetic parameters underlying hematite-assisted decomposition of tribromophenol. Arab. J. Chem. 2023, 16, 104540. [Google Scholar] [CrossRef]
- Delogu, F.; Deidda, C.; Mulas, G.; Schiffini, L.; Cocco, G. A quantitative approach to mechanochemical processes. J. Mater. Sci. 2004, 39, 5121–5124. [Google Scholar] [CrossRef]
- Cagnetta, G.; Huang, J.; Wang, B.; Deng, S.; Yu, G. A comprehensive kinetic model for mechanochemical destruction of persistent organic pollutants. Chem. Eng. J. 2016, 291, 30–38. [Google Scholar] [CrossRef]
- Gandon-Ros, G.; Aracil, I.; Gómez-Rico, M.F.; Conesa, J.A. Mechanochemical debromination of waste printed circuit boards with marble sludge in a planetary ball milling process. J. Environ. Manag. 2022, 317, 115431. [Google Scholar] [CrossRef] [PubMed]
- Gandon-Ros, G.; Aracil, I.; Gomez-Rico, M.F.; Conesa, J.A. Debromination and Reusable Glass Fiber Recovery from Large Waste Circuit Board Pieces in Subcritical Water Treatment. ACS Omega 2022, 7, 25422–25432. [Google Scholar] [CrossRef]






| Run No. | WCB Mass (g) | K2CO3 Mass (g) | Anionic CO32−/Br− Ratio | Solid/Liquid Ratio | T (°C) | % DE Achieved |
|---|---|---|---|---|---|---|
| 1 | 4.9994 | 0.0145 | 1:25 | 1:5 | 200 | 3.26 |
| 2 | 4.9988 | 0.0073 | 1:50 | 1:5 | 200 | 2.65 |
| 3 | 5.0002 | 0.0363 | 1:10 | 1:5 | 200 | 6.25 |
| 4 | 2.5000 | 0.0073 | 1:25 | 1:10 | 200 | 3.00 |
| 5 | 2.4992 | 0.0036 | 1:50 | 1:10 | 200 | 2.68 |
| 6 | 5.0001 | 0.0354 | 1:10 | 1:5 | 200 | 5.36 |
| 7 | 4.9992 | 0.0721 | 1:5 | 1:5 | 200 | 4.67 |
| 8 | 4.9996 | 0.1457 | 1:2.5 | 1:5 | 200 | 12.79 |
| 9 | 9.9992 | 0.0291 | 1:25 | 1:2.5 | 200 | 3.68 |
| 10 | 10.0000 | 0.0159 | 1:50 | 1:2.5 | 200 | 3.04 |
| 11 | 4.9992 | 0.3631 | 1:1 | 1:5 | 200 | 42.33 |
| 12 | 4.9996 | 0.7253 | 2:1 | 1:5 | 200 | 51.04 |
| 13 | 4.9992 | 1.4499 | 4:1 | 1:5 | 200 | 53.09 |
| 14 | 9.9995 | 0.0298 | 1:25 | 1:1 | 200 | 4.96 |
| 15 | 9.9991 | 0.0153 | 1:50 | 1:1 | 200 | 5.12 |
| 16 | 12.4994 | 0.0358 | 1:25 | 1:2 | 200 | 3.55 |
| 17 | 12.5005 | 0.3635 | 1:2.5 | 1:2 | 200 | 30.72 |
| 18 | 12.5005 | 0.9061 | 1:1 | 1:2 | 200 | 49.99 |
| 19 | 12.4996 | 1.8122 | 2:1 | 1:2 | 200 | 65.75 |
| 20 | 12.4994 | 3.6246 | 4:1 | 1:2 | 200 | 74.23 |
| 21 | 4.9994 | 0.0146 | 1:25 | 1:5 | 225 | 12.37 |
| 22 | 5.0000 | 0.0075 | 1:50 | 1:5 | 225 | 9.82 |
| 23 | 4.9995 | 0.0364 | 1:10 | 1:5 | 225 | 13.59 |
| 24 | 2.5005 | 0.0072 | 1:25 | 1:10 | 225 | 9.35 |
| 25 | 2.5007 | 0.0038 | 1:50 | 1:10 | 225 | 8.47 |
| 26 | 12.4995 | 0.0359 | 1:25 | 1:2 | 225 | 10.51 |
| 27 | 12.4997 | 0.3618 | 1:2.5 | 1:2 | 225 | 58.14 |
| 28 | 12.5009 | 0.9061 | 1:1 | 1:2 | 225 | 92.29 |
| 29 | 12.4997 | 1.8132 | 2:1 | 1:2 | 225 | 99.38 |
| 30 | 12.4996 | 3.6246 | 4:1 | 1:2 | 225 | 99.58 |
| Run No. | WCB Mass (g) | K2CO3 Mass (g) | Volume (L) | Anionic CO32−/Br− Ratio | Solid/Liquid Ratio | Time (h) | % DE Achieved |
|---|---|---|---|---|---|---|---|
| 31 | 9.9092 | 0.7100 | 0.02 | 1:1 | 1:2 | 2 | 17.50 |
| 32 | 9.8161 | 0.7100 | 0.02 | 1:1 | 1:2 | 3 | 23.30 |
| 33 | 9.9979 | 0.7100 | 0.02 | 1:1 | 1:2 | 4 | 30.00 |
| 34 | 9.9678 | 0.7100 | 0.02 | 1:1 | 1:2 | 5 | 34.10 |
| 35 | 9.8895 | 0.7100 | 0.02 | 1:1 | 1:2 | 2 | 15.00 |
| 36 | 9.7287 | 0.7100 | 0.02 | 1:1 | 1:2 | 3 | 21.60 |
| 37 | 10.0260 | 0.7100 | 0.02 | 1:1 | 1:2 | 4 | 23.30 |
| 38 | 10.0233 | 0.7100 | 0.02 | 1:1 | 1:2 | 5 | 31.60 |
| 39 | 10.1384 | 1.4200 | 0.02 | 2:1 | 1:2 | 0.5 | 2.20 |
| 40 | 10.0113 | 2.8401 | 0.02 | 4:1 | 1:2 | 0.5 | 2.30 |
| 41 | 10.1082 | 1.4200 | 0.02 | 2:1 | 1:2 | 1 | 6.70 |
| 42 | 10.2577 | 2.8401 | 0.02 | 4:1 | 1:2 | 1 | 8.10 |
| 43 | 9.6430 | 1.4200 | 0.02 | 2:1 | 1:2 | 1.5 | 15.60 |
| 44 | 10.2186 | 2.8401 | 0.02 | 4:1 | 1:2 | 1.5 | 17.40 |
| 45 | 9.9253 | 1.4200 | 0.02 | 2:1 | 1:2 | 2 | 19.10 |
| 46 | 9.8963 | 2.8401 | 0.02 | 4:1 | 1:2 | 2 | 24.30 |
| 47 | 10.1759 | 1.4200 | 0.02 | 2:1 | 1:2 | 3 | 21.60 |
| 48 | 10.1940 | 2.8404 | 0.02 | 4:1 | 1:2 | 3 | 26.20 |
| 49 | 10.0416 | 0.7100 | 0.01 | 2:1 | 1:1 | 3 | 14.20 |
| 50 | 10.0756 | 1.4202 | 0.01 | 4:1 | 1:1 | 3 | 18.40 |
| 51 | 10.0442 | 1.4200 | 0.02 | 2:1 | 1:2 | 4 | 27.20 |
| 52 | 9.8975 | 2.8404 | 0.02 | 4:1 | 1:2 | 4 | 33.80 |
| 53 | 9.9930 | 0.7100 | 0.01 | 2:1 | 1:1 | 4 | 19.80 |
| 54 | 10.3819 | 2.8408 | 0.02 | 4:1 | 1:2 | 3 | 26.70 |
| 55 | 9.8675 | 4.2612 | 0.02 | 6:1 | 1:2 | 3 | 29.80 |
| 56 | 10.3407 | 2.8408 | 0.02 | 4:1 | 1:2 | 4 | 33.20 |
| 57 | 10.1579 | 4.2612 | 0.02 | 6:1 | 1:2 | 4 | 33.00 |
| 58 | 9.6174 | 2.8408 | 0.02 | 4:1 | 1:2 | 5 | 44.60 |
| 59 | 10.0881 | 4.2612 | 0.02 | 6:1 | 1:2 | 5 | 43.60 |
| 60 | 9.8860 | 2.8408 | 0.02 | 4:1 | 1:2 | 6 | 48.20 |
| Constant | Runs | Optimized Value |
|---|---|---|
| kC0 (s−1 K−1) | 1–30 | 1.49 × 105 |
| k0 (L (s g)−1) | (small particles) | 8.2263 |
| kC0 (s−1 K−1) | 31–60 | 1.35 × 105 |
| k0 (L (s g)−1) | (larger pieces) | 1.039 |
| E/R (K−1) | 1–60 | 3455 |
| Constant | Runs | Optimized Value |
|---|---|---|
| kC (s−1) | 1–30 | 7.43 × 107 |
| k·CKmean (s −1) | (small particles) | 0.2792 |
| kC (s−1) | 31–60 | 6.73 × 107 |
| k·CKmean (s−1) | (larger pieces) | 0.035 |
| Run No. | WCB Particle Diameter (mm) | Reagent Used | Ball to Powder Ratio (g/g) | Time (h) | Initial WCB (g) | Reagent Weight (g) | Experimental Conversion | D·10−6 Specific Dose (J/kg Reagent) | R (Reagent to Pollutant Ratio) (g/g) | KE 108 (kg/J) | Calculated Conversion |
|---|---|---|---|---|---|---|---|---|---|---|---|
| 2 | Fine powder | Calcined CaO | 20 | 2.5 | 0.95 | 3.81 | 0.340 | 2334 | 4 | 4.30 | 0.332 |
| 4 | Fine powder | 20 | 5 | 0.95 | 3.81 | 0.550 | 4668 | 4 | 0.554 | ||
| 6 | Fine powder | 20 | 10 | 0.95 | 3.81 | 0.857 | 9336 | 4 | 0.801 | ||
| 8 | Fine powder | 50 | 2.5 | 0.38 | 1.53 | 0.789 | 5816 | 4 | 0.635 | ||
| 10 | Fine powder | 50 | 5 | 0.38 | 1.53 | 0.974 | 11,633 | 4 | 0.867 | ||
| 12 | Fine powder | 50 | 10 | 0.38 | 1.53 | 0.946 | 23,266 | 4 | 0.982 | ||
| 14 | Fine powder | 20 | 2.5 | 0.53 | 4.24 | 0.359 | 2329 | 8 | 0.552 | ||
| 16 | Fine powder | 20 | 5 | 0.53 | 4.24 | 0.667 | 4658 | 8 | 0.799 | ||
| 18 | Fine powder | 20 | 10 | 0.53 | 4.24 | 0.966 | 9316 | 8 | 0.960 | ||
| 20 | Fine powder | 50 | 2.5 | 0.21 | 1.69 | 0.904 | 5847 | 8 | 0.868 | ||
| 22 | Fine powder | 50 | 5 | 0.21 | 1.69 | 0.984 | 11,694 | 8 | 0.983 | ||
| 24 | Fine powder | 50 | 10 | 0.21 | 1.69 | 0.989 | 23,388 | 8 | 1.000 | ||
| 26 | Fine powder | Marble sludge | 50 | 2.5 | 0.21 | 1.69 | 0.140 | 5847 | 8 | 0.577 | 0.238 |
| 28 | Fine powder | 50 | 5 | 0.21 | 1.69 | 0.309 | 11,694 | 8 | 0.419 | ||
| 30 | Fine powder | 50 | 10 | 0.21 | 1.69 | 0.591 | 23,388 | 8 | 0.663 | ||
| 32 | 0.84 × 0.84 | 50 | 2.5 | 0.21 | 1.69 | 0.234 | 5847 | 8 | 0.238 | ||
| 34 | 0.84 × 0.84 | 50 | 5 | 0.21 | 1.69 | 0.472 | 11,694 | 8 | 0.419 | ||
| 36 | 0.84 × 0.84 | 50 | 10 | 0.21 | 1.69 | 0.842 | 23,388 | 8 | 0.663 | ||
| 1 | Fine powder | Calcined marble sludge | 20 | 2.5 | 0.95 | 3.81 | 0.085 | 2334 | 4 | 1.26 | 0.112 |
| 3 | Fine powder | 20 | 5 | 0.95 | 3.81 | 0.143 | 4668 | 4 | 0.211 | ||
| 5 | Fine powder | 20 | 10 | 0.95 | 3.81 | 0.271 | 9336 | 4 | 0.377 | ||
| 7 | Fine powder | 50 | 2.5 | 0.38 | 1.53 | 0.315 | 5816 | 4 | 0.256 | ||
| 9 | Fine powder | 50 | 5 | 0.38 | 1.53 | 0.594 | 11,633 | 4 | 0.447 | ||
| 11 | Fine powder | 50 | 10 | 0.38 | 1.53 | 0.730 | 23,266 | 4 | 0.694 | ||
| 13 | Fine powder | 20 | 2.5 | 0.53 | 4.24 | 0.135 | 2329 | 8 | 0.210 | ||
| 15 | Fine powder | 20 | 5 | 0.53 | 4.24 | 0.213 | 4658 | 8 | 0.376 | ||
| 17 | Fine powder | 20 | 10 | 0.53 | 4.24 | 0.418 | 9316 | 8 | 0.610 | ||
| 19 | Fine powder | 50 | 2.5 | 0.21 | 1.69 | 0.478 | 5847 | 8 | 0.448 | ||
| 21 | Fine powder | 50 | 5 | 0.21 | 1.69 | 0.656 | 11,694 | 8 | 0.696 | ||
| 23 | Fine powder | 50 | 10 | 0.21 | 1.69 | 0.649 | 23,388 | 8 | 0.907 | ||
| 25 | Fine powder | 50 | 2.5 | 0.21 | 1.69 | 0.523 | 5847 | 8 | 0.448 | ||
| 27 | Fine powder | 50 | 5 | 0.21 | 1.69 | 0.623 | 11,694 | 8 | 0.696 | ||
| 29 | Fine powder | 50 | 10 | 0.21 | 1.69 | 0.611 | 23,388 | 8 | 0.907 | ||
| 31 | 0.84 × 0.84 | 50 | 2.5 | 0.21 | 1.69 | 0.799 | 5847 | 8 | 0.448 | ||
| 33 | 0.84 × 0.84 | 50 | 5 | 0.21 | 1.69 | 0.962 | 11,694 | 8 | 0.696 | ||
| 35 | 0.84 × 0.84 | 50 | 10 | 0.21 | 1.69 | 1.008 | 23,388 | 8 | 0.907 |
Disclaimer/Publisher’s Note: The statements, opinions and data contained in all publications are solely those of the individual author(s) and contributor(s) and not of MDPI and/or the editor(s). MDPI and/or the editor(s) disclaim responsibility for any injury to people or property resulting from any ideas, methods, instructions or products referred to in the content. |
© 2023 by the authors. Licensee MDPI, Basel, Switzerland. This article is an open access article distributed under the terms and conditions of the Creative Commons Attribution (CC BY) license (https://creativecommons.org/licenses/by/4.0/).
Share and Cite
Conesa, J.A.; Gandon-Ros, G.; Gómez-Rico, M.F.; Aracil, I. Debromination of Waste Circuit Boards by Reaction in Solid and Liquid Phases: Phenomenological Behavior and Kinetics. Polymers 2023, 15, 1388. https://doi.org/10.3390/polym15061388
Conesa JA, Gandon-Ros G, Gómez-Rico MF, Aracil I. Debromination of Waste Circuit Boards by Reaction in Solid and Liquid Phases: Phenomenological Behavior and Kinetics. Polymers. 2023; 15(6):1388. https://doi.org/10.3390/polym15061388
Chicago/Turabian StyleConesa, Juan A., Gerard Gandon-Ros, María F. Gómez-Rico, and Ignacio Aracil. 2023. "Debromination of Waste Circuit Boards by Reaction in Solid and Liquid Phases: Phenomenological Behavior and Kinetics" Polymers 15, no. 6: 1388. https://doi.org/10.3390/polym15061388
APA StyleConesa, J. A., Gandon-Ros, G., Gómez-Rico, M. F., & Aracil, I. (2023). Debromination of Waste Circuit Boards by Reaction in Solid and Liquid Phases: Phenomenological Behavior and Kinetics. Polymers, 15(6), 1388. https://doi.org/10.3390/polym15061388

