Preparation, Structure and Properties of Epoxy/Carbonyl Iron Powder Wave-Absorbing Foam for Electromagnetic Shielding
Abstract
1. Introduction
2. Experimental
2.1. Materials
2.2. Preparation
2.3. Measurements and Characterization
3. Results and Discussion
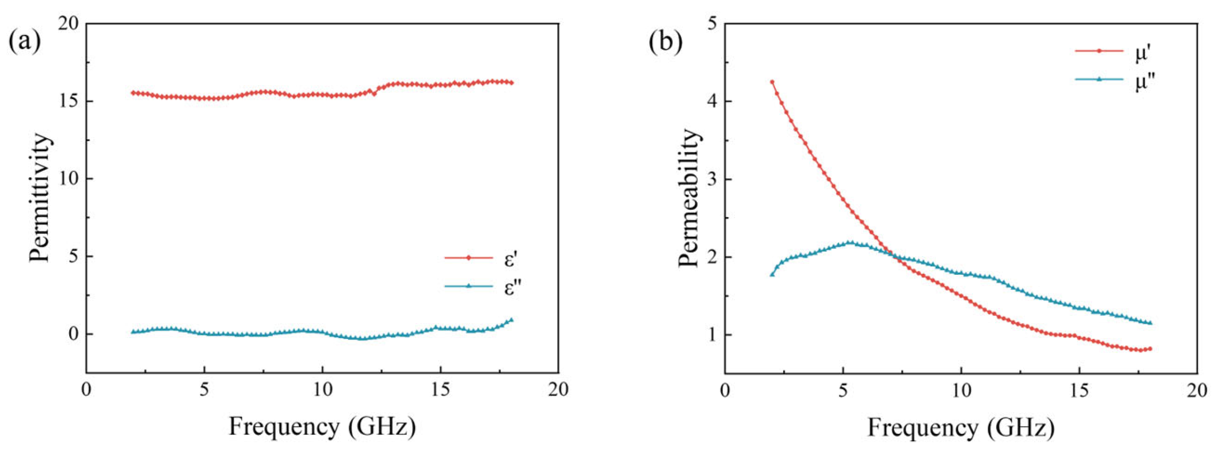
3.1. Absorbent Characteristics
3.2. Distribution of Absorbent in Foam
3.3. Effect of Pre-Polymerization Time on Foam Cell Morphology and Properties
3.4. Effect of CIP Content on Cell Morphology and Properties of Foam
4. Conclusions
- (1)
- The dispersion uniformity of the powder obtained using the ball mill dispersion three-roller grinding method is slightly better than that of the powder obtained using the hot melt in situ stirring method. Therefore, the hot melt in situ stirring method was utilized to prepare samples for further investigation. By observing the morphology of the prepared CIP/epoxy foam material, CIP can be uniformly dispersed in the foam material due to its smooth surface and micron-scale structure.
- (2)
- Extending the pre-polymerization times of the resin and CIP is beneficial for reducing the diameters of the foam pores. When the pre-polymerization time is extended from 10 min to 50 min, the foam pore diameter decreases from 0.47 mm to 0.31 mm, resulting in a more uniform distribution of foam pores.
- (3)
- There is a certain gap between the absorption performance of the frontal and reverse sides of the foam when the pre-polymerization time is short. The reflectivity of the two sides almost coincides when the pre-polymerization time is increased to 50 min. The reflectance decreases with the increase in frequency in the range of 2–18 GHz, with a peak value of 17 GHz, −5 dB.
- (4)
- The cell size increases, and the uniformity of distribution becomes poor with a gradually increasing amount of CIP in the composite material. However, increases in the real and imaginary parts of permeability are conducive to improving the absorbing performance. When the CIP content reaches 70 wt%, the reflectivity is lower than −4 dB in the range of 12–18 GHz, and the peak value is −8 dB at 14 GHz. At this time, the wall thickness and density of the foam are significantly improved, and the mechanical properties of the foam material are improved.
Author Contributions
Funding
Institutional Review Board Statement
Data Availability Statement
Acknowledgments
Conflicts of Interest
References
- He, G.; Duan, Y.; Pang, H.; Zhang, X. Rational design of mesoporous MnO2 microwave absorber with tunable microwave frequency response. Appl. Surf. Sci. 2019, 490, 372–382. [Google Scholar] [CrossRef]
- Zeng, X.; Cheng, X.; Yu, R.; Stucky, G.D. Electromagnetic microwave absorption theory and recent achievements in microwave absorbers. Carbon 2020, 168, 606–623. [Google Scholar] [CrossRef]
- Li, Q.; Zhang, Z.; Qi, L.; Liao, Q.; Kang, Z.; Zhang, Y. Toward the Application of High Frequency Electromagnetic Wave Absorption by Carbon Nanostructures. Adv. Sci. 2019, 6, 1801057. [Google Scholar] [CrossRef] [PubMed]
- Li, Y.; Liu, X.; Nie, X.; Yang, W.; Wang, Y.; Yu, R.; Shui, J. Multifunctional Organic Inorganic Hybrid Aerogel for Self-Cleaning Heat-Insulating and Highly Efficient Microwave Absorbing Material. Adv. Funct. Mater. 2018, 29, 1807624. [Google Scholar] [CrossRef]
- Kitazono, K.; Suzuki, R.; Inui, Y. Novel strengthening method of closed-cell aluminum foams through surface treatment by resin. J. Mater. Process. Technol. 2009, 209, 3550–3554. [Google Scholar] [CrossRef]
- Feng, J.; Zhang, Y.C.; Wang, P.; Fan, H.L. Oblique incidence performance of radar absorbing honeycombs. Compos. Part B-Eng. 2016, 99, 465–471. [Google Scholar] [CrossRef]
- Wang, W.; Deng, X.J.; Liu, D.Q.; Luo, F.; Cheng, H.F.; Cao, T.S.; Li, Y.L.; Deng, Y.J.; Xie, W. Broadband radar-absorbing performance of square-hole structure. Adv. Compos. Hybrid Mater. 2022, 5, 525–535. [Google Scholar] [CrossRef]
- Xie, S.; Ji, Z.J.; Zhu, L.C.; Zhang, J.J.; Cao, Y.X.; Chen, J.H.; Liu, R.R.; Wang, J. Recent progress in electromagnetic wave absorption building materials. J. Build. Eng. 2020, 27, 100963. [Google Scholar] [CrossRef]
- Jia, Z.; Lin, K.; Wu, G.; Xing, H.; Wu, H. Recent Progresses of High-Temperature Microwave-Absorbing Materials. Nano 2018, 13, 1830005. [Google Scholar] [CrossRef]
- Zhu, H.; Li, Q.; Tao, C.; Hong, Y.; Xu, Z.; Shen, W.; Kaur, S.; Ghosh, P.; Qiu, M. Multispectral camouflage for infrared, visible, lasers and microwave with radiative cooling. Nat. Commun. 2021, 12, 1805. [Google Scholar] [CrossRef]
- Zhao, D.L.; Shen, Z.M. Preparation and microwave absorbing properties of microwave absorbing materials containing carbon nanotubes. J. Inorg. Mater. 2005, 20, 608–612. [Google Scholar]
- Dai, B.; Ma, Y.; Dong, F.; Yu, J.; Ma, M.L.; Thabet, H.K.; El-Bahy, S.M.; Ibrahim, M.M.; Huang, M.N.; Seok, I.; et al. Overview of MXene and conducting polymer matrix composites for electromagnetic wave absorption. Adv. Compos. Hybrid Mater. 2022, 5, 704–754. [Google Scholar] [CrossRef]
- Zhou, Y.; Chen, L.Y.; Jian, M.L.; Liu, Y.J. Recent Research Progress of Ferrite Multielement Microwave Absorbing Composites. Adv. Eng. Mater. 2022, 24, 2200526. [Google Scholar] [CrossRef]
- Zheng, W.; Ye, W.X.; Yang, P.; Wang, D.S.; Xiong, Y.T.; Liu, Z.Y.; Qi, J.D.; Zhang, Y.X. Recent Progress in Iron-Based Microwave Absorbing Composites: A Review and Prospective. Molecules 2022, 27, 4117. [Google Scholar] [CrossRef]
- Folgueras, L.d.C.; Alves, M.A.; Rezende, M.C. Microwave absorbing paints and sheets based on carbonyl iron and polyaniline: Measurement and simulation of their properties. J. Aerosp. Technol. Manag. 2010, 2, 63–70. [Google Scholar] [CrossRef]
- Yan, H.H.; Song, X.H.; Wang, Y. Study on wave absorption properties of carbonyl iron and SiO2 coated carbonyl iron particles. AIP Adv. 2018, 8, 065322. [Google Scholar] [CrossRef]
- Zhou, Y.; Zhou, W.; Qing, Y.; Luo, F.; Zhu, D. Temperature dependence of the electromagnetic properties and microwave absorption of carbonyl iron particles/silicone resin composites. J. Magn. Magn. Mater. 2015, 374, 345–349. [Google Scholar] [CrossRef]
- Song, Z.; Xie, J.; Zhou, P.; Wang, X.; Liu, T.; Deng, L. Toughened polymer composites with flake carbonyl iron powders and their electromagnetic/absorption properties. J. Alloys Compd. 2013, 551, 677–681. [Google Scholar] [CrossRef]
- Wang, H.; Zhu, D.; Zhou, W.; Luo, F. Electromagnetic property of SiO2-coated carbonyl iron/polyimide composites as heat resistant microwave absorbing materials. J. Magn. Magn. Mater. 2015, 375, 111–116. [Google Scholar] [CrossRef]
- Yang, X.; Duan, Y.; Li, S.; Huang, L.; Pang, H.; Ma, B.; Wang, T. Constructing three-dimensional reticulated carbonyl iron/carbon foam composites to achieve temperature-stable broadband microwave absorption performance. Carbon 2022, 188, 376–384. [Google Scholar] [CrossRef]
- Mrlík, M.; Kollár, J.; Borská, K.; Ilčíková, M.; Gorgol, D.; Osicka, J.; Sedlačík, M.; Ronzová, A.; Kasák, P.; Mosnáček, J. Atom Transfer Radical Polymerization of Pyrrole-Bearing Methacrylate for Production of Carbonyl Iron Particles with Conducting Shell for Enhanced Electromagnetic Shielding. Int. J. Mol. Sci. 2022, 22, 8540. [Google Scholar] [CrossRef] [PubMed]
- Shen, Y.; Li, Q.; Xu, S. Microwave absorption properties of cementitious composites containing carbonyl iron powder (CIP) and fly ash: Formation and effect of CIP core–shell structure. Cement Concrete Comp. 2022, 131, 104559. [Google Scholar] [CrossRef]
- Huang, M.; Luo, C.; Sun, C.; Zhao, K.; Ou, Y.; Wang, M. Surface structural engineering of carbonyl iron powder for enhancing microwave absorption and anti-oxidation performance. J. Mater. Sci. Technol. 2024, 178, 201–209. [Google Scholar] [CrossRef]
- Luo, C.M.; Li, J.; Chen, Z.L.; Lin, J.; Chen, L.; He, S.J. Improving the charge dissipating performance and breakdown strength of epoxy resin by incorporating polydopamine-coated barium titanate. Mater. Today Comm. 2022, 31, 103619. [Google Scholar] [CrossRef]
- Luo, C.M.; Yang, W.; Qi, W.; Chen, Z.L.; Lin, J.; Bian, X.M.; He, S.J. Cost-efficient and recyclable epoxy vitrimer composite with low initial viscosity based on exchangeable disulfide crosslinks. Polym. Test. 2022, 113, 107670. [Google Scholar] [CrossRef]
- Luo, C.M.; Wang, W.C.; Yang, W.; Liu, X.Y.; Lin, J.; Zhang, L.Q.; He, S.J. High strength and multi-recyclable epoxy vitrimer containing dual-dynamic covalent bonds based on the disulfide and imine bond metathesis. ACS Sustain. Chem. Eng. 2023, 11, 14591–14600. [Google Scholar] [CrossRef]
- He, S.J.; He, T.F.; Wang, J.Q.; Wu, X.H.; Xue, Y.; Zhang, L.Q.; Lin, J. A novel method to prepare acrylonitrile-butadiene rubber/clay nanocomposites by compounding with clay gel. Compos. Part B-Eng. 2019, 167, 356–361. [Google Scholar] [CrossRef]
- Zhang, X.M.; Chen, Z.L.; Li, J.; Wu, X.H.; Lin, J.; He, S.J. Mechanical performance design via regulating the interactions in acrylonitrile-butadiene rubber/clay nanocomposites by small molecule compounds. Polym. Test. 2022, 110, 107565. [Google Scholar] [CrossRef]
- Chen, Z.L.; Wang, W.C.; Li, J.; Lin, J.; Li, F.Z.; Zhang, L.Q.; He, S.J. Bioinspired design of nitrile-butadiene rubber/montmorillonite nanocomposites with hydrogen bond interactions leading to highly effective reinforcement. Polymer 2023, 277, 125968. [Google Scholar] [CrossRef]
- He, S.J.; Li, J.; Zhang, X.M.; Chen, Z.L.; Zhou, H.F.; Pang, C.; Weng, Y.X.; Lin, J. Nitrile butadiene rubber/clay nanocomposites cured and reinforced by copper sulfate pentahydrate. J. Mater. Res. Technol. 2023, 22, 2338–2342. [Google Scholar] [CrossRef]
- Zhang, J.; Xiao, P.; Zhou, W.; Hong, W.; Luo, H. Preparation and microwave absorbing properties of carbon fibers/epoxy composites with grid structure. J. Mater. Sci. Mater. Electron. 2015, 26, 651–658. [Google Scholar] [CrossRef]
- Joseph, N.; Sebastian, M.T. Electromagnetic interference shielding nature of PVDF-carbonyl iron composites. Mater. Lett. 2013, 90, 64–67. [Google Scholar] [CrossRef]
- Xu, Y.G.; Yuan, L.M.; Liang, Z.C.; Wang, X.B.; Li, X.H. A wide frequency absorbing material added CIPs using the fuse deposition modeling. J. Alloys Compd. 2017, 704, 593–598. [Google Scholar] [CrossRef]












| CIP Content (%) | Density (kg·m−3) | Foam Wall Thickness (mm) | Compression Strength (MPa) | Compression Modulus (MPa) |
|---|---|---|---|---|
| 0 | 82.4 | 0.014 | 0.58 | 16.0 |
| 30 | 200.3 | 0.027 | 1.13 | 124.1 |
| 50 | 247.2 | 0.048 | 1.32 | 139.0 |
| 70 | 611.2 | 0.137 | 3.47 | 270.5 |
Disclaimer/Publisher’s Note: The statements, opinions and data contained in all publications are solely those of the individual author(s) and contributor(s) and not of MDPI and/or the editor(s). MDPI and/or the editor(s) disclaim responsibility for any injury to people or property resulting from any ideas, methods, instructions or products referred to in the content. |
© 2024 by the authors. Licensee MDPI, Basel, Switzerland. This article is an open access article distributed under the terms and conditions of the Creative Commons Attribution (CC BY) license (https://creativecommons.org/licenses/by/4.0/).
Share and Cite
Liu, X.; Huang, H.; Lu, H. Preparation, Structure and Properties of Epoxy/Carbonyl Iron Powder Wave-Absorbing Foam for Electromagnetic Shielding. Polymers 2024, 16, 698. https://doi.org/10.3390/polym16050698
Liu X, Huang H, Lu H. Preparation, Structure and Properties of Epoxy/Carbonyl Iron Powder Wave-Absorbing Foam for Electromagnetic Shielding. Polymers. 2024; 16(5):698. https://doi.org/10.3390/polym16050698
Chicago/Turabian StyleLiu, Xiaoli, Hao Huang, and Haijun Lu. 2024. "Preparation, Structure and Properties of Epoxy/Carbonyl Iron Powder Wave-Absorbing Foam for Electromagnetic Shielding" Polymers 16, no. 5: 698. https://doi.org/10.3390/polym16050698
APA StyleLiu, X., Huang, H., & Lu, H. (2024). Preparation, Structure and Properties of Epoxy/Carbonyl Iron Powder Wave-Absorbing Foam for Electromagnetic Shielding. Polymers, 16(5), 698. https://doi.org/10.3390/polym16050698

