Abstract
Biodegradable polymer composites offer promising alternatives to petroleum-based plastics, supporting the principles of a zero waste and circular economy. This study investigates the reinforcing potential of alkali-treated wood flour derived from recycled pine (Pinus brutia Ten.) and poplar (Populus alba L.) waste wooden pallets in poly(lactic acid) (PLA) biocomposites. Wood flour was initially recovered through grinding and screening during recycling, followed by alkali treatment via a green chemistry approach to enhance interfacial bonding with the PLA matrix. The impact of alkali concentration and two fabrication methods—additive manufacturing (AM) and injection molding (IM)—on the properties of developed biocomposite materials was assessed through mechanical, physical, morphological, and thermal analyses. IM samples outperformed AM counterparts, with the IM PLA containing 30 wt% wood flour (alkali-treated with 10% solution) showing the highest mechanical gains: tensile (+71.35%), flexural (+64.74%), and hardness (+2.62%) compared to untreated samples. Moreover, the AM sample with 10 wt% wood flour and 10% alkali treatment showed a 49.37% decrease in water absorption compared to the untreated sample, indicating improved hydrophobicity. Scanning electron microscopy confirmed that alkali treatment reduced void content and enhanced morphological uniformity, while thermal properties remained consistent across fabrication methods. This work introduces a green composite using non-toxic materials and treatments, facilitating eco-friendly production aligned with zero waste and circular economy principles throughout the manufacturing lifecycle.
1. Introduction
By 2023, global forest cover declined by 6.37 million hectares, exceeding the 2030 deforestation target by nearly 50% [1]. This alarming depletion highlights the urgent need to recycle wood waste, particularly from high-volume sources such as wooden pallets. The global wood recycling market is projected to grow by approximately 44% by 2032, driven by rising demand for sustainable materials and circular economy practices [2]. To support this transition, it is essential to develop integrated strategies for utilizing recyclable wood biomass in bio-based product manufacturing with careful consideration of economic, environmental, and societal dimensions. Efficient resource management and carbon footprint reduction can broaden application areas and improve the performance of biomaterials. Establishing standardized protocols for biological waste utilization remains critical to ensuring long-term sustainability [3,4]. Moreover, growing concerns over plastic pollution and climate instability further reinforce the strategic importance of innovative wood reuse [5].
Wooden pallets are widely used in the global supply chain, with millions entering circulation annually. However, when these pallets reach the end of their service life, they are often discarded or recycled [6,7,8]. Discarded wooden pallets serve as a valuable raw material source for producing high-performance biocomposite materials [9]. This potential motivates increased research into pallet recycling and valorization.
Natural particle-based lignocellulosic is a complex biological material primarily composed of cellulose, hemicellulose, and lignin, with trace amounts of extractives [10]. Lignocellulosic particle-reinforced biocomposites are valued for their biodegradability, recyclability, high strength, low toxicity, affordability, and ease of processing, making them suitable for applications from packaging to medical uses [11]. A key factor affecting their properties is the interfacial adhesion between lignocellulosic particles and polymer matrices [12]. Alkali treatment effectively promotes fibrillation and surface roughening of fibers, thereby reinforcing mechanical interlocking at the fiber–matrix interface [13,14].
Additive manufacturing (AM) or 3D printing builds parts layer-by-layer, enabling complex, customized designs with minimal waste. It offers greater design flexibility, rapid prototyping, and cost reductions compared to traditional subtractive methods. Originally limited to prototyping, AM is now an established industrial process [15,16]. Advances in AM materials include polymers, composites, wood-based powders, and biodegradable alternatives, transforming 3D printing materials [17,18]. Poly(lactic acid) (PLA), a biodegradable biopolymer widely used in AM, combines mechanical strength, biocompatibility, and easy processing with renewability and eco-friendly degradation. Its compatibility with AM supports circular, sustainable manufacturing [19,20]. Injection molding (IM) remains a cost-effective, scalable method for mass-producing bio-based plastics like PLA due to its speed and product quality [21]. Comparative analysis of AM and IM products is essential to elucidate their distinct advantages and limitations across varying material parameters.
As highlighted by Pilipović et al. [22], polymer composite materials have attracted considerable attention in recent years owing to their excellent mechanical properties and low density, both of which have driven their expanding application across various engineering sectors. Despite the limited number of studies on using waste wooden pallet particlesin polymer matrices, existing research indicates encouraging outcomes. For example, Stark [9] observed improvements in tensile and flexural strength in polypropylene (PP) composites reinforced with particlesderived from pallet waste. Further, Stark and Rowlands [23] reported significant enhancements in modulus values under similar conditions. Sommerhuber et al. [24] demonstrated that high-density polyethylene (HDPE) composites incorporating up to 30% pallet-derived particlesexhibited improved performance, suggesting the feasibility of large-scale adoption. In a related study, Basalp et al. [25] confirmed that recycled wood–plastic composite (r-WPC) formulations produced from post-consumer plastics and pallet waste are suitable feedstocks for industrial composite applications, aligning well with circular economy goals. Similarly, Iždinský et al. [26] highlighted both environmental and economic benefits of incorporating recycled spruce pallets into biocomposite systems. Despite increasing interest, pallet-derived wood flour composed mainly of pine (Pinus spp.) and poplar (Populus spp.) has not yet been explored in bio-plastics or evaluated across key processing methods such as AM and IM.
Demir et al. [27] demonstrated that waste pallets derived from Pinus brutia Ten. and Populus alba L., due to their high cellulose content (~48%), remain effective biocomposite reinforcements even after extended outdoor exposure, thus promoting sustainable waste valorization. Within the broader context of circular economy and zero-waste principles, various secondary lignocellulosic by-products—such as wooden poles, wood flour, sawdust, pruning residues, and hemp fibers—have demonstrated promising potential as renewable feedstocks for the development of biocomposites, particularly those reinforced with biodegradable PLA-based matrices [28,29,30,31,32,33,34,35]. Waste-based biocomposites offer sustainable, cost-effective solutions crucial for addressing environmental and economic challenges while driving innovation.
This study investigates the use of alkali-treated wood flour extracted from waste pallets of Pinus brutia Ten. (Turkish red pine) and Populus alba L. (white poplar) as reinforcing agents in PLA-based biocomposites. The biocomposites were produced via both AM and IM, enabling a direct comparison of their respective advantages and constraints. Although substantial progress has been made in developing wood waste-reinforced PLA composites, the systematic incorporation of alkali-treated pallet particles into bioplastics through both AM and IM has not yet been addressed in the literature. In particular, the influence of the specific wood species used in this study—linked to their differing chemical compositions—on composite performance has not been comparatively studied. This research aims to bridge this gap by comprehensively evaluating the physical, mechanical, morphological, and thermal behavior, interfacial adhesion, and processing potential of PLA-based biocomposites reinforced with alkali-treated pallet wood flour, advancing sustainable material development. The study offers novel comparative data on how two wood types and manufacturing methods influence biocomposite structure and properties, advancing sustainable bio-based materials.
2. Materials and Methods
2.1. Materials
Waste wooden pallets from Pinus brutia Ten. (Turkish red pine) and Populus alba L. (white poplar) were collected from İzmir Kâtip Çelebi University (İzmir, Türkiye). PLA Bio-Flex® F 7510 (FKuR Plastics Corp., Willich, Germany) was employed as the polymer matrix for the biocomposite production. Sodium hydroxide (NaOH) was used for surface modification and for the chemical characterization of wood flours. Additional chemicals used in the characterization process included acetic acid (CH3COOH), acetone, ethanol, sodium chlorite (NaClO2), and toluene. All were purchased from Merck (Darmstadt, Germany).
2.2. Methods
Pine and poplar wood were ground with an LKD 100 grinder (Loyka, Akyol Ticaret, İstanbul, Türkiye). The ground wood particles, finer than 1 mm, were then sieved using an ESM 200 sieve shaker (Loyka, Akyol Ticaret, İstanbul, Türkiye), passing through a 60-mesh sieve. Particles retained by the 80-mesh sieve were separated and collected [36,37]. The separated wood flour was dried thoroughly at 103 ± 2 °C prior to biocomposite production.
2.2.1. Particle Size Analysis of Wood Flour
Particle size distribution (PSD) was measured using a Malvern Mastersizer 3000 laser diffraction analyzer (Malvern Instruments, Ltd., Malvern, UK). A dry dispersion method with 4-bar air pressure and 15% feed rate ensured effective dispersion and 5% obscuration. PSD measurements were performed five times, and averages reported [38].
2.2.2. Surface Modification of Wood Flour with Alkaline Treatment
The fillers underwent alkali treatment by immersing separate batches in NaOH solutions at concentrations of 2.5%, 5%, and 10%, each for 6 h at room temperature. Each group was treated independently to evaluate the influence of different alkali concentrations on surface roughness and adhesion to the polymer matrix. This treatment roughens the surface, improving its adhesion to the polymer matrix. Subsequently, the fillers were rinsed with distilled water to remove residual NaOH and neutralized using a 2% acetic acid solution. After a second rinse to eliminate any remaining acid and adjust the pH to around 7, the wood flour was dried at 80 °C for 48 h [39].
2.2.3. Production of Filaments and Pellets
Wood flour was incorporated into PLA polymer at 10, 20, and 30 wt% concentrations for the production of both filaments (for AM) and pellets (for IM) (Table 1). Prior to blending, PLA was dried at 80 °C for 6 h.
Table 1.
Filament and pellet formulations.
For filament production, biocomposite strands were extruded using a microprocessor-controlled co-rotating twin-screw extruder equipped with five heating zones, a nozzle diameter of 1.75 ± 0.1 mm, and an L/D ratio of 20. The extrusion was conducted at 100–170 °C with a screw speed of 50 rpm, followed by cooling and spooling.
Melt compounding for pellet production was performed using a twin-screw extruder, with the extrusion temperature profile along the screw set as follows: 100 °C (feed zone), 160 °C, 170 °C, 180 °C, 180 °C, 170 °C, and 160 °C (die zone). The extrudate was quenched in cold water and then pelletized.
Subsequently, the processed filaments and pellets were subjected to a second thermal step—AM or IM, respectively—to fabricate the final test specimens. This dual thermal exposure is acknowledged as a potentially influential factor on the thermal and mechanical properties of the resulting biocomposites.
2.2.4. AM of Test Samples
The AM process was conducted using an open-source Sigma 3D printer, operated via Repetier-Host software (version 2.3.2, Hotworld GmbH, Willich, Germany). The following printing parameters were selected: 100% infill density, a print speed of 50 mm/s, a layer thickness of 0.3 mm, and a raster angle of ±45°. The extruder nozzle was maintained at 190 °C, and the heated bed was set to 55 °C. Optimized parameters enabled precise fabrication of ASTM-standard samples, with five replicates for mechanical and three for physical tests, all meeting performance criteria.
2.2.5. IM of Test Samples
The extruded neat and filled granules were dried at 60 °C for 4 h and then molded into test samples using an IM machine model FTM 1580 (Manisa, Türkiye), following the ASTM D3641-21 standard [40]. The molding temperature was set between 170–180 °C, and the injection pressure was adjusted to 110–120 bar. Fine-tuned settings ensured precise fabrication of ASTM-compliant samples, with five specimens for mechanical and three for physical tests.
2.2.6. Determination of the Mechanical Properties
The tensile (Type IV) and flexural strengths of the biocomposite test samples were determined using an MTS Criterion® Series Model 45 (Prairie, MN, USA) universal testing machine, following the ASTM D638-22 (tensile) [41] and ASTM D790-17 (flexural) [42] standards. Shore D hardness tests were conducted with a digital hardness measurement device, LXD-D (Loyka, İstanbul, Türkiye), following the ASTM D2240-15 [43]. Prior to all tests, the samples were conditioned for 7 days at 50 ± 5% relative humidity and 23 ± 2 °C. Each parameter group was tested with five replicates to ensure experimental robustness.
2.2.7. Determination of the Physical Properties
In order to determine the water resistance properties of the biocomposite test samples, the samples were immersed in distilled water for a period of 1 month. Prior to this test, the samples were conditioned for 48 h at 50 ± 5% relative humidity and 23 ± 2 °C, following the ASTM D570-22 standard [44] for water absorption testing. Density for all formulations was determined by weighing samples in air and water using a density determination apparatus with precision scales following the ASTM D792-20 standard [45]. Measurements were conducted in triplicate to ensure reliability.
2.2.8. Morphological Characterization by Scanning Electron Microscopy (SEM)
The SEM images were captured to examine the interaction between the wood flour and the PLA polymer matrix. Both untreated and alkali-treated wood flour, along with the fracture surfaces of the biocomposites, were gold-coated using an EM ACE200 sputter coater (Leica Microsystems, Wetzlar, Germany), and subsequently scanned using a Gemini 500 SEM (ZEISS, Baden-Württemberg, Germany). SEM analysis was conducted on fracture surfaces of tensile specimens with the highest and lowest recovery to reveal microstructural causes of performance variation.
2.2.9. Determination of the Thermal Properties
Thermal analysis was performed on tensile specimens with the highest and lowest recovery rates to assess their thermal stability, degradation behavior, phase transitions, and structural changes. The thermogravimetric analysis (TGA) of the produced wood/PLA composite was performed using a Q600 TGA-STD (TA Instruments, New Castle, DE, USA). TGA measurements were conducted in an inert nitrogen atmosphere with a flow rate of 50 mL/min, at a heating rate of 10 °C/min, a temperature range of 25 to 600 °C.
Differential scanning calorimetry (DSC) analysis of the samples was conducted using a DSC Q2000 thermal analysis system (TA Instruments, New Castle, DE, USA). Samples weighing between 5 and 10 mg were subjected to a heating program in a nitrogen atmosphere at a rate of 10 °C/min, from room temperature to 250 °C, with a flow rate of 50 mL/min. Thermal transitions, including Tg, Tc, Tm, and Tcc were identified from DSC heating and cooling curves through characteristic endothermic and exothermic peaks. Crystallinity (Xcr) was then calculated using Equation (1):
ΔHm and ΔHcc represent the melting and cold crystallization enthalpies from DSC, respectively. ΔHm0 is the theoretical enthalpy for fully crystalline PLA (93 J·g−1), and wPLA is the PLA mass fraction in the composite [35,46].
2.2.10. Chemical Characterization by Fourier Transform Infrared (FT-IR) Spectroscopy
A Nicolet™ iS50 FT-IR spectrometer (Thermo Fisher Scientific Inc., Waltham, MA, USA) was used to analyze potential chemical bonds in both untreated and alkali-treated wood flours and their composites. The analysis was conducted at room temperature using the standard attenuated total reflectance (ATR) method. The FT-IR spectra for each sample were recorded in the range of 400 cm−1 to 4000 cm−1 using an IR spectrophotometer to ensure high-resolution spectral data. FT-IR spectroscopy was used to examine the chemical differences and interactions in tensile samples with the highest and lowest recovery ratios. Additionally, the chemical composition of alkali-treated waste lignocellulosic materials was determined in accordance with TAPPI standards for sample preparation (T 257) [47], moisture content (T 550) [48], ash (T 211) [49], extractives (T 204) [50], holocellulose (chlorite method; T 222) [51], and α-cellulose (T 203) [52].
2.2.11. Statistical Analysis of Mechanical Test Results
The statistical significance of the mechanical test results was evaluated using analysis of variance (ANOVA), followed by the Tukey’s test, performed with SPSS software (version 22, IBM, Armonk, NY, USA). Statistically significant differences between test samples are represented by distinct lowercase letters (p < 0.05) in the outcome graphs of the mechanical and physical tests.
3. Results and Discussion
3.1. PSD of Wood Flour
The particle sizes obtained exhibit substantial variation as a function of raw material type. Due to the anisotropic geometry of wood particles, characterized by varying aspect ratios, the PSD curves become increasingly broader as the particle size increases from 100 µm to 400 µm, reflecting a higher degree of morphological heterogeneity [53,54,55].
In the cumulative PSD, the 10th, 50th, and 90th percentiles are represented as D10, D50 (the median particle size), and D90, respectively, based on the volume fraction, where the D50 value specifically denotes the particle diameter below which 50% of the cumulative volume of the sample is distributed [56].
The PSD profiles and the corresponding analytical results for wood flour are presented in Figure 1 and summarized in Table 2. The D50 values for pine and poplar wood particles were determined to be 346 and 341 µm, respectively.
Figure 1.
PSD of the wood flour; (a) pine and (b) poplar.
Table 2.
Particle size distribution results.
3.2. Chemical Properties of Fillers
FT-IR spectroscopy was employed to investigate the chemical composition and potential interfacial interactions among untreated and NaOH-treated waste wood flour, the neat PLA, and their corresponding biocomposites (Figure 2). The present findings show a clear congruence with previously reported data, thereby reinforcing the reproducibility and reliability of the observed outcomes [57,58,59,60,61].
Figure 2.
FT-IR spectrums of wood flour (a), AM (b), and IM (c).
In our previous study [27], we characterized the chemical compositions of wood flour extracted from waste wooden pallets made of Turkish red pine and white poplar, as detailed in Table 3. The results demonstrated that these waste-derived wood flour contain notably high concentrations of primary chemical components. The present study builds upon these findings. Additionally, the chemical compositions of alkali-treated wood flours were analyzed in this study and included in the same table for direct comparison. The alignment between the current findings and previously reported data reinforces the reproducibility and reliability of the results [62].
Table 3.
Chemical composition of waste wood flour [27].
FT-IR analysis revealed clear changes in the chemical structure of wood flour following alkali treatment. A characteristic absorption band corresponding to C–O stretching vibrations was distinctly observed at approximately 1030 cm−1. A broad and intense absorption band between 2900 and 3300 cm−1, attributed to O–H stretching vibrations originating from the D-pyranose glucose units in the cellulose backbone, was observed in all spectra. Absorption bands at 1735 cm−1 and 1232 cm−1, associated with C=O stretching of aldehyde carbonyl groups, indicated the presence of lignin and hemicellulose. As illustrated in Figure 2a, these bands disappeared in the alkali-treated wood flour, indicating the effective removal of lignin and hemicellulose by NaOH treatment. Similar findings have been reported in previous studies following NaOH treatment of lignocellulosic particles [57,58,59,60,61], and the findings in the present work further support this observation.
However, FT-IR spectra of biocomposites reinforced with untreated and alkali-treated wood flour exhibited no significant differences, suggesting that while alkali treatment modifies the chemical composition of the filler, it does not lead to the formation of new detectable interfacial chemical bonds between the wood flour and the PLA matrix (Figure 2b,c). Instead, the enhanced interfacial performance is more plausibly attributed to improved mechanical interlocking, as supported by morphological and mechanical characterizations discussed elsewhere in this study.
3.3. Mechanical Properties of Biocomposites
3.3.1. Tensile Test Results
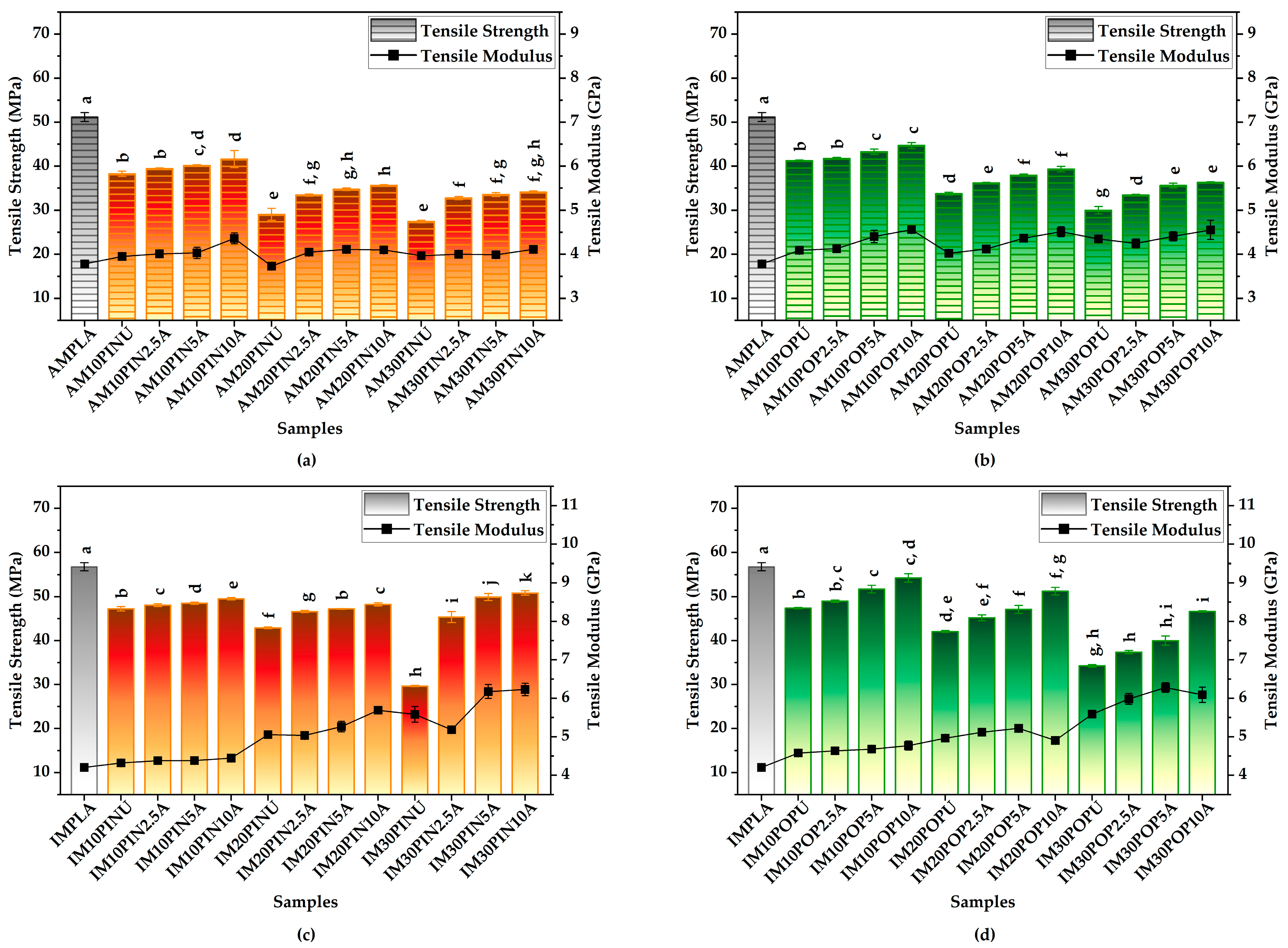
PLA-based biocomposite specimens produced via AM with varying raster orientations exhibited slightly lower tensile strength than their IM counterparts. This difference is primarily attributed to void formation during the layer-by-layer deposition process [21,63]. Overall, alkali pre-treatment of lignocellulosic particles significantly improved the tensile strength and modulus of the biocomposites by enhancing interfacial adhesion between PLA and the particles and reducing interfacial voids [64,65,66,67,68,69]. These findings align with previously published data, indicating consistency in the observed trends [21,63,64,65,66,67,68,69].
Among the AM samples reinforced with pine wood flour, AM30PIN10A exhibited the greatest improvement in tensile strength, showing a statistically significant 24.18% increase compared to its untreated counterpart (from 27.43 MPa to 34.07 MPa; p < 0.001), as illustrated in Figure 3a,b. Similarly, AM30POP10A showed the highest enhancement among poplar wood flour-reinforced AM samples, with a 20.89% increase (from 30.00 MPa to 36.27 MPa; p < 0.001). In contrast, samples with lower wood flour content, such as AM10PIN2.5A and AM10POP2.5A, demonstrated only modest improvements of 3% (from 38.22 MPa to 39.37 MPa; p > 0.05) and 1.21% (from 41.20 MPa to 41.70 MPa; p > 0.05), respectively.
Figure 3.
Tensile strength and modulus of AM (a,b) and IM (c,d); red = pine, green = poplar; lowercase letters = significant differences (p < 0.05).
In terms of tensile modulus, similar trends were observed. AM10PIN10A showed the highest improvement (10.30%) among pine wood flour-reinforced AM samples (from 3.95 GPa to 4.36 GPa; p < 0.001), while AM20POP10A exhibited a statistically significant increase (12.21%) among poplar wood flour-based samples (from 4.02 GPa to 4.5 GPa; p < 0.001). The AM-fabricated neat PLA sample (AMPLA) recorded the lowest tensile modulus, at 3.78 GPa (Figure 3a,b).
The effectiveness of alkali treatment in IM samples. Among pine-reinforced IM biocomposites, IM30PIN10A exhibited a 71.35% increase in tensile strength following treatment (from 29.67 MPa to 50.83 MPa; p < 0.001). Similarly, the poplar wood flour-reinforced IM30POP10A showed the highest tensile strength among its group, reaching 46.63 MPa, which corresponds to a statistically significant 36.16% improvement over its untreated counterpart (34.25 MPa; p < 0.001). Although the IM-fabricated neat PLA (IMPLA) sample exhibited the highest absolute tensile strength (56.77 MPa), the relative enhancements through wood flour treatment underscore the crucial role of surface modification. IM samples with lower wood flour content, such as IM10PIN2.5A and IM10POP2.5A, exhibited limited tensile strength increases of 1.78% (from 47.23 MPa to 48.07 MPa; p > 0.05) and 3.36% (from 47.37 MPa to 48.96 MPa; p < 0.05), respectively, as shown in Figure 3c,d.
The tensile modulus of IM biocomposites increased progressively with higher contents of untreated wood flour, indicating enhanced stiffness despite potential reductions in tensile modulus due to interfacial weaknesses, as illustrated in Figure 3c,d. However, when the same wood flour content was treated with 10% NaOH, a further improvement was observed. Notably, the pine wood flour-based formulation IM30PIN10A, incorporating 30 wt% alkali-treated wood flour, achieved a tensile modulus of 6.23 GPa, an 11.61% increase over its untreated counterpart (5.58 GPa), which was statistically significant (p < 0.05). Similarly, among the poplar wood flour-reinforced biocomposites, IM30POP5A exhibited the greatest enhancement, with a 12.38% increase in tensile modulus compared to the untreated sample (rising from 5.59 GPa to 6.28 GPa; p < 0.05). In contrast, IMPLA recorded the lowest tensile modulus, at 4.20 GPa.
These results clearly demonstrate that alkali treatment significantly enhances the mechanical properties of PLA-based biocomposites, especially at higher wood flour contents. While IM samples generally outperform AM ones due to better layer adhesion, optimizing both wood flour treatment and processing method is key to minimizing defects and improving performance. These findings provide valuable insights for tailoring processing conditions and surface treatments to maximize the performance of biocomposites, advancing their practical use in sustainable material solutions.
3.3.2. Flexural Test Results
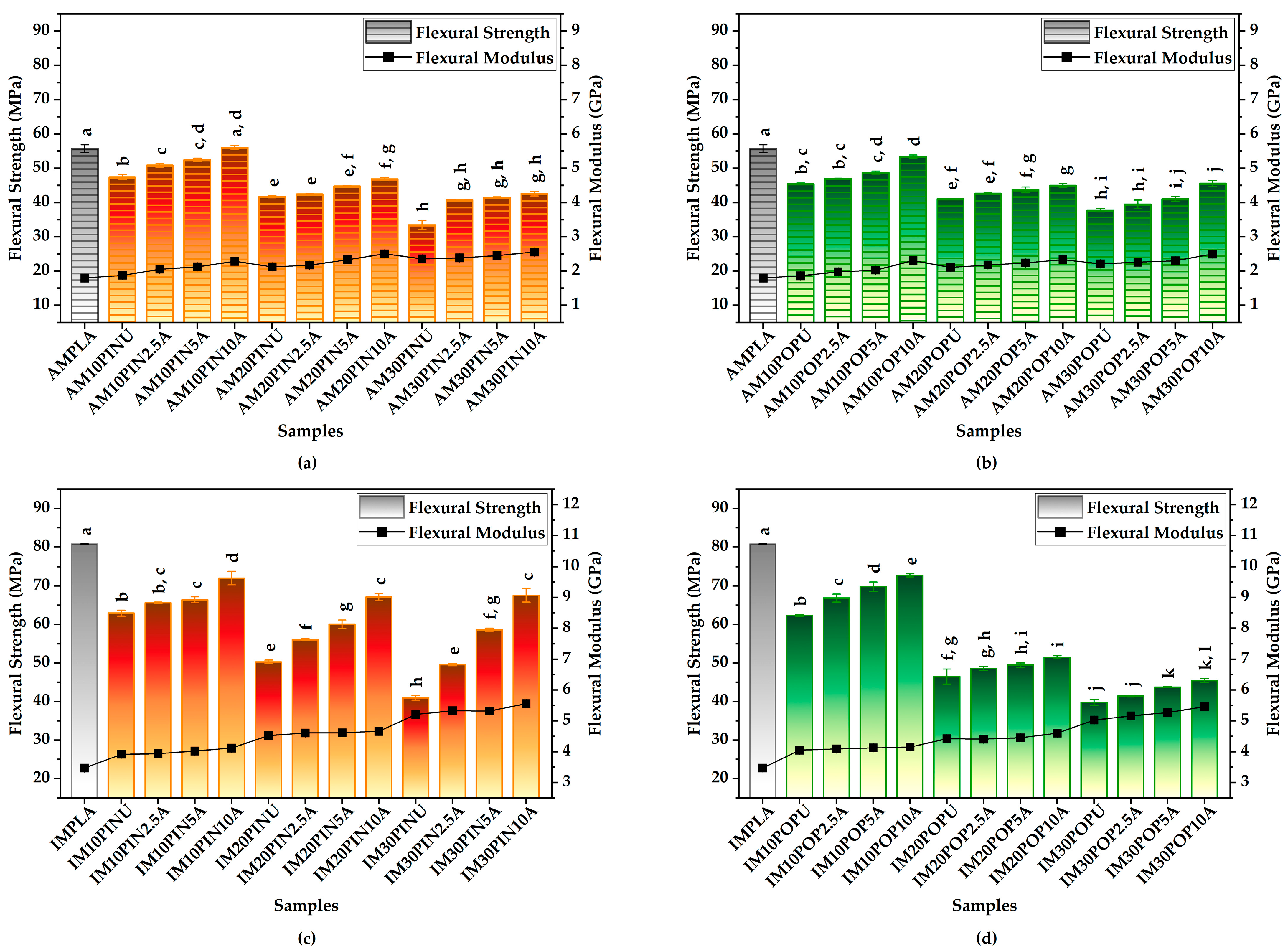
PLA-based biocomposite specimens fabricated via AM exhibited slightly lower flexural strength and modulus than their IM counterparts, mainly due to the presence of voids and weaker layer adhesion [21]. Progressive alkali pre-treatment significantly enhanced flexural properties by strengthening particle–matrix bonding and minimizing void formation through better matrix dispersion. The results obtained in this study exhibit strong consistency with data previously reported in the literature [21,65,70].
As illustrated in Figure 4, neat PLA specimens produced via IM exhibited higher flexural strength than those produced via AM. However, the incorporation of untreated wood flour into the PLA matrix led to a general decrease in flexural strength in both AM and IM specimens, likely due to poor interfacial compatibility. The addition of untreated wood flour to the PLA matrix resulted in a marked enhancement in flexural modulus, with IM samples consistently exhibiting superior values compared to those fabricated via AM.
Figure 4.
Flexural strength and modulus of AM (a,b) and IM (c,d); red = pine, green = poplar; lowercase letters = significant differences (p < 0.05).
Among the AM samples reinforced with pine wood flour, AM30PIN10A demonstrated the most significant enhancement in flexural strength, achieving a statistically significant 27.29% increase compared to its untreated counterpart (from 33.43 MPa to 42.55 MPa; p < 0.001). Similarly, among the AM samples reinforced with poplar wood flour, AM10POP10A exhibited the highest increase, resulting in a statistically significant 17.62% increase in flexural strength relative to the untreated sample (from 45.40 MPa to 53.40 MPa; p < 0.001), as seen in Figure 4a,b.
As seen in Figure 4a,b, a similar increasing trend in flexural modulus was observed in the flexural modulus. Among the AM samples reinforced with pine wood flour, AM10PIN10A exhibited the highest improvement, showing a statistically significant 21.92% increase compared to its untreated counterpart (from 1.87 GPa to 2.28 GPa; p < 0.001).
On the other hand, as illustrated in Figure 4a,b, the most notable enhancement among the AM samples reinforced with poplar wood flour was observed in AM10POP10A, which exhibited a statistically significant 24.07% increase in flexural modulus compared to its untreated counterpart (from 1.86 GPa to 2.31 GPa; p < 0.001). Within this group, the AMPLA sample exhibited the lowest flexural modulus, with a value of 1.79 GPa.
Among the IM samples reinforced with pine wood flour, IM30PIN10A showed the highest improvement in flexural strength, achieving a 64.74% increase compared to its untreated counterpart (from 40.99 MPa to 67.53 MPa; p < 0.001), as shown in Figure 4c,d. Similarly, among the IM samples reinforced with poplar wood flour, IM10POP10A demonstrated the most significant enhancement, achieving a 16.72% increase in flexural strength relative to the untreated sample (from 62.31 MPa to 72.73 MPa; p < 0.05).
As seen in Figure 4c,d, the flexural modulus of IM biocomposites progressively increased with rising untreated wood flour content. The pine-wood flour-reinforced IM30PIN10A achieved a flexural modulus of 5.56 GPa, corresponding to a 6.75% enhancement compared to its untreated counterpart (5.21 GPa; p < 0.05). Similarly, among the poplar wood flour-reinforced biocomposites, IM30POP10A exhibited the highest enhancement, with an 8.55% increase compared to its untreated counterpart (from 5.03 GPa to 5.46 GPa; p < 0.05). The IMPLA sample recorded the lowest flexural modulus at 3.47 GPa.
3.3.3. Hardness Test Results
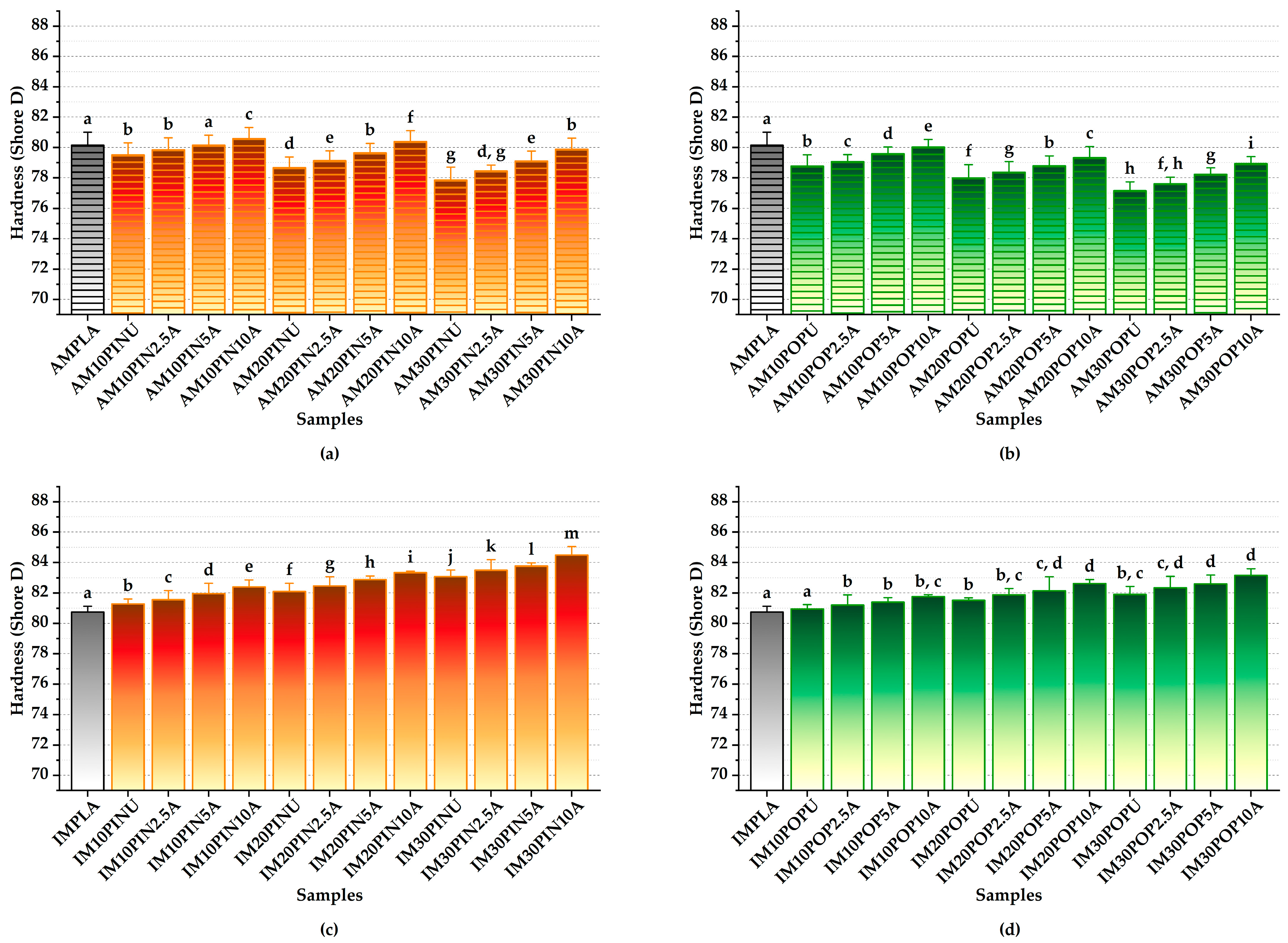
The incorporation of both untreated and alkali-treated lignocellulosic particles has been demonstrated to significantly enhance the hardness of IM PLA composites. In particular, alkali treatment effectively eliminates non-cellulosic components such as hemicellulose and lignin, resulting in improved interfacial adhesion between the wood flour and the PLA matrix. This improvement minimized micro-void formation and resulted in a notable increase in Shore D hardness [71]. Conversely, the increased incorporation of untreated wood flour into 3D-printed biocomposites is consistently linked to a marked reduction in material hardness, likely due to the significant porosity induced by higher filler loading [31,72].
As seen in Figure 5, neat PLA specimens fabricated via IM exhibit slightly higher Shore D hardness values compared to those produced by AM. While the incorporation of untreated wood flour into the PLA matrix enhanced the hardness in IM specimens, a reduction in hardness was observed in their AM counterparts. This reduction is primarily attributed to the presence of micro-voids and inconsistent wood flour distribution caused by the layer-by-layer nature of AM.
Figure 5.
Hardness of AM (a,b) and IM (c,d); red = pine, green = poplar; lowercase letters = significant differences (p < 0.05).
While the Shore D hardness of 3D-printed PLA-based biocomposites typically ranges between 70 and 80, IMPLA exhibits values exceeding 80 [71,73]. The findings of this study are in agreement with those reported in previous research [31,71,72,73].
Among the AM samples reinforced with pine wood flour, AM30PIN10A exhibited the highest gain improvement in hardness, achieving a 2.62% increase compared to the untreated counterpart (from 77.84 to 79.88; p < 0.05), as illustrated in Figure 5a,b. Likewise, among the AM samples reinforced with poplar wood flour, AM30POP10A demonstrated the most remarkable enhancement, achieving a 2.35% increase in hardness relative to the untreated sample (from 77.11 to 78.92; p < 0.05). The AMPLA exhibited Shore D hardness of 80.14 within the AM group.
As shown in Figure 5c,d, among the IM samples reinforced with pine wood flour, IM30PIN10A demonstrated the most notable rise in hardness, achieving a 1.69% increase compared to its untreated counterpart (from 83.08 to 84.48; p < 0.05). Similarly, among the IM samples reinforced with poplar wood flour, IM30POP10A demonstrated the most significant enhancement, achieving a 1.54% increase in hardness relative to the untreated sample (from 81.90 to 83.16; p < 0.05). In contrast, the IMPLA exhibited the lowest Shore D hardness of 80.74 within the IM group.
3.4. Physical Properties of Biocomposites
3.4.1. Density Test Results
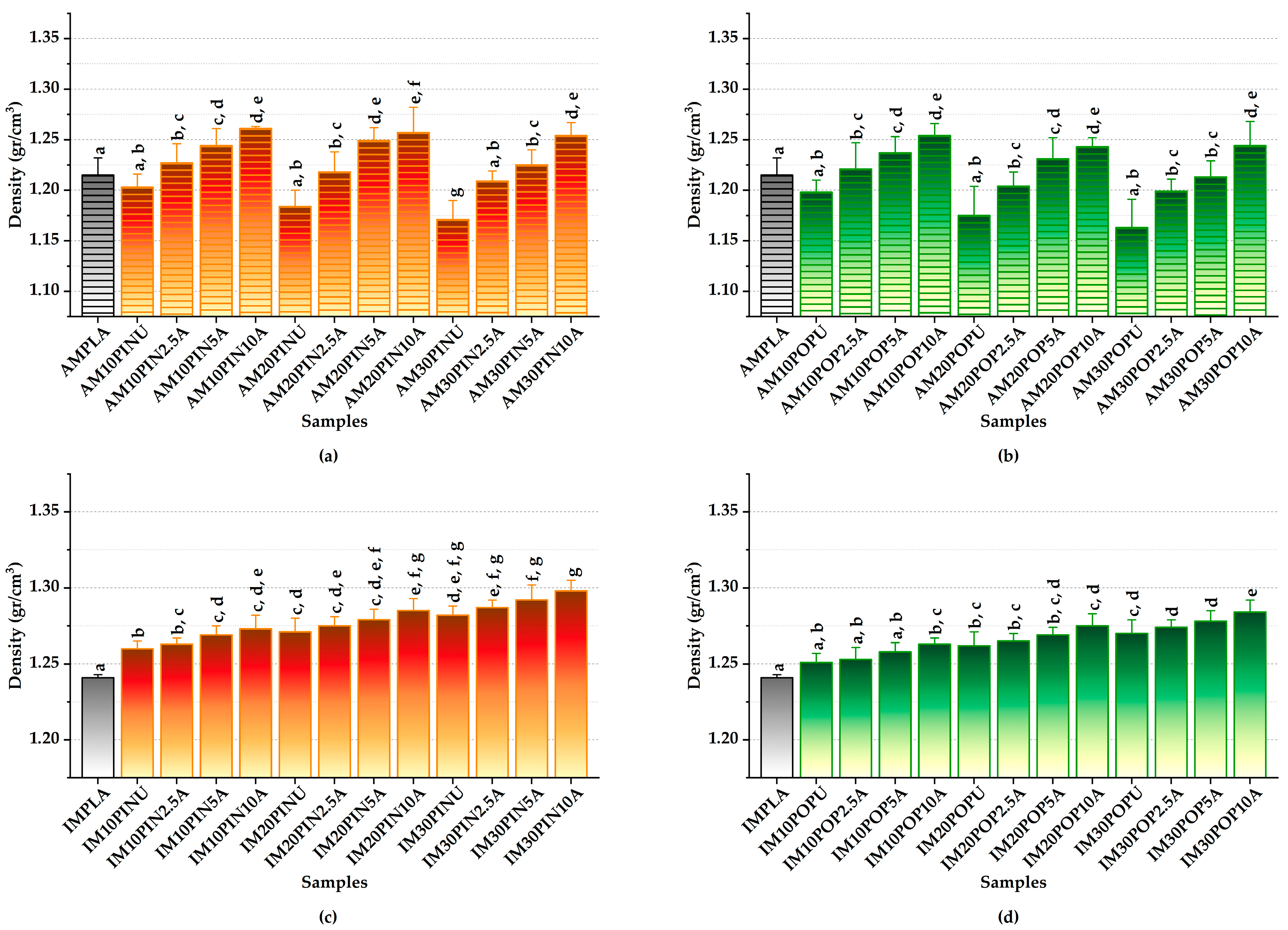
Compared to poplar (Populus spp.) wood, pine (Pinus spp.) wood exhibits significantly higher specific density values [74]. Due to inherent void formation during the AM process, 3D-printed specimens showed lower density and inferior mechanical properties compared to IM counterparts, reflecting the structural limitations of AM in producing compact and mechanically robust components [21].
The neat PLA samples exhibited relatively lower density compared to both untreated and alkali-treated PLA composites, highlighting the influence of filler incorporation and processing on material densification [75]. An inverse relationship is observed between untreated wood flour content and material density in 3D-printed WF-PLA biocomposites, with higher wood flour loadings leading to a measurable reduction in overall density [76]. Moreover, the incorporation of alkali-treated wood flour into biocomposite matrices resulted in noticeably higher density than their untreated counterparts, underscoring the role of chemical surface modification in improving interfacial compatibility and material compactness [64].
IMPLA samples exhibit slightly higher density compared to their additively manufactured counterparts (Figure 6). Among the AM samples reinforced with pine wood flour, AM30PIN10A demonstrated the most significant enhancement in density, achieving a 7.09% increase compared to its untreated counterpart (from 1.17 to 1.25 gr/cm3; p < 0.05), as seen in Figure 6a,b. Similarly, among the AM samples reinforced with poplar wood flour, AM30POP10A showed the largest increase in density, achieving a 6.96% rise relative to the untreated sample (from 1.16 to 1.24 gr/cm3; p < 0.05). The AMPLA exhibited a density of 1.22 gr/cm3 within the AM group.
Figure 6.
Density of AM (a,b) and IM (c,d); red = pine, green = poplar; lowercase letters = significant differences (p < 0.05).
As shown in Figure 6c,d, among the IM samples reinforced with pine wood flour, IM30PIN10A demonstrated a statistically significant enhancement in density, achieving a 1.25% increase compared to its untreated counterpart (from 1.28 to 1.30 gr/cm3; p < 0.05). Similarly, among the IM samples reinforced with poplar wood flour, IM30POP10A demonstrated the highest observed increase, achieving a 1.10% increase in density relative to the untreated sample (from 1.27 to 1.28 gr/cm3; p > 0.05). The IMPLA exhibited the density of 1.24 gr/cm3 within the IM group.
These findings align well with those documented in prior studies, reinforcing the consistency of the observed trends [21,64,74,75,76].
3.4.2. Water Absorption Test Results
The surface of the poplar wood consistently exhibits significantly lower wettability relative to the pine wood, clearly reflecting its inherently hydrophobic nature [77]. Alkali pretreatment significantly improves interfacial adhesion between lignocellulosic particles and the PLA matrix, thereby significantly reducing water absorption in treated lignocellulosic particle-reinforced biocomposites compared to their untreated counterparts [65,71,78]. Conversely, biocomposites reinforced with unprocessed wood flour exhibit considerably lower water resistance relative to those reinforced with processed wood flour. This behavior is predominantly attributed to the high density of hydroxyl (–OH) groups within unprocessed lignocellulosic particles, which impart pronounced hydrophilicity [79,80,81].
AM10PIN10A, among the samples reinforced with pine wood flour, exhibited a 49.37% reduction in water absorption compared to its untreated counterpart (from 3.56% to 1.80%; p < 0.05), indicating a significant improvement in water resistance, as illustrated in Figure 7a,b. Similarly, AM10POP10A, reinforced with poplar wood flour, achieved a 47.15% decrease in water absorption relative to the untreated sample (from 3.33% to 1.76%; p < 0.05). These results confirm the significant improvement in water repellency of treated biocomposites.
Figure 7.
Water uptake of AM (a,b) and IM (c,d).
As shown in Figure 7c,d, IM10POP10A, among the samples reinforced with poplar wood flour, demonstrated a 41.32% reduction in water absorption relative to the untreated sample (from 2.22% to 1.30%; p < 0.05), clearly indicating a significant enhancement in water resistance performance. Similarly, IM10POP10A, reinforced with poplar wood flour, exhibited a 37.81% reduction in water absorption compared to its untreated counterpart (from 2.01% to 1.25%; p < 0.05), indicating a statistically significant improvement in water resistance.
3.5. Morphological Properties of Biocomposites
The untreated wood flour exhibited a relatively smooth surface morphology, whereas alkali-treated samples showed increasingly rough and porous surfaces with higher treatment concentrations, as a result of the effective removal of surface impurities and non-cellulosic components (Figure 8).
Figure 8.
The SEM images (160× magnification) of surfaces of pine wood flour (a–c) and poplar wood flour (d–f).
In the AMPLA specimen (Figure 9a), the layered architecture resulting from the printing orientation, combined with the low infill density, led to the formation of distinct interlayer voids. In contrast, the IMPLA counterpart (Figure 9j), fabricated under high-pressure conditions, exhibited a smooth and compact surface morphology, indicative of minimal or no air entrapment [82]. Moreover, the interfacial voids between the alkali-treated wood flour and the PLA matrix in the biocomposites (Figure 9e,i,n,r) were markedly reduced, demonstrating a substantially lower occurrence than those observed around untreated wood flour [83].
Figure 9.
The SEM images (160× magnification) of the breaking surfaces of the additive manufactured (a–i) and injection-molded (j–r).
Figure 9 presents the cross-sectional SEM images of samples fabricated from neat PLA via AM (Figure 9a: AMPLA) and IM (Figure 9j: IMPLA), alongside unmodified wood flour-reinforced biocomposites. These biocomposites include specimens produced by AM: (b) AM10PINU, (d) AM30PINU, (f) AM10POPU, and (h) AM30POPU; and by IM: (k) IM10PINU, (m) IM30PINU, (o) IM10POPU, and (q) IM30POPU. Additionally, the figure highlights the biocomposite samples showing the most significant tensile strength improvements, including AM specimens: (e) AM30PIN10A and (i) AM30POP10A; and IM specimens: (n) IM30PIN10A and (r) IM30POP10A. In contrast, the lowest tensile strength enhancements were observed in AM specimens: (c) AM10PIN2.5A and (g) AM10POP2.5A; and IM specimens: (l) IM10PIN2.5A and (p) IM10POP2.5A.
Microstructural insights derived from SEM analysis offer compelling evidence linking the observed morphological characteristics to the variations in the specimens’ physical, mechanical, and thermal performance.
3.6. Thermal Properties of Biocomposites
3.6.1. DSC Results
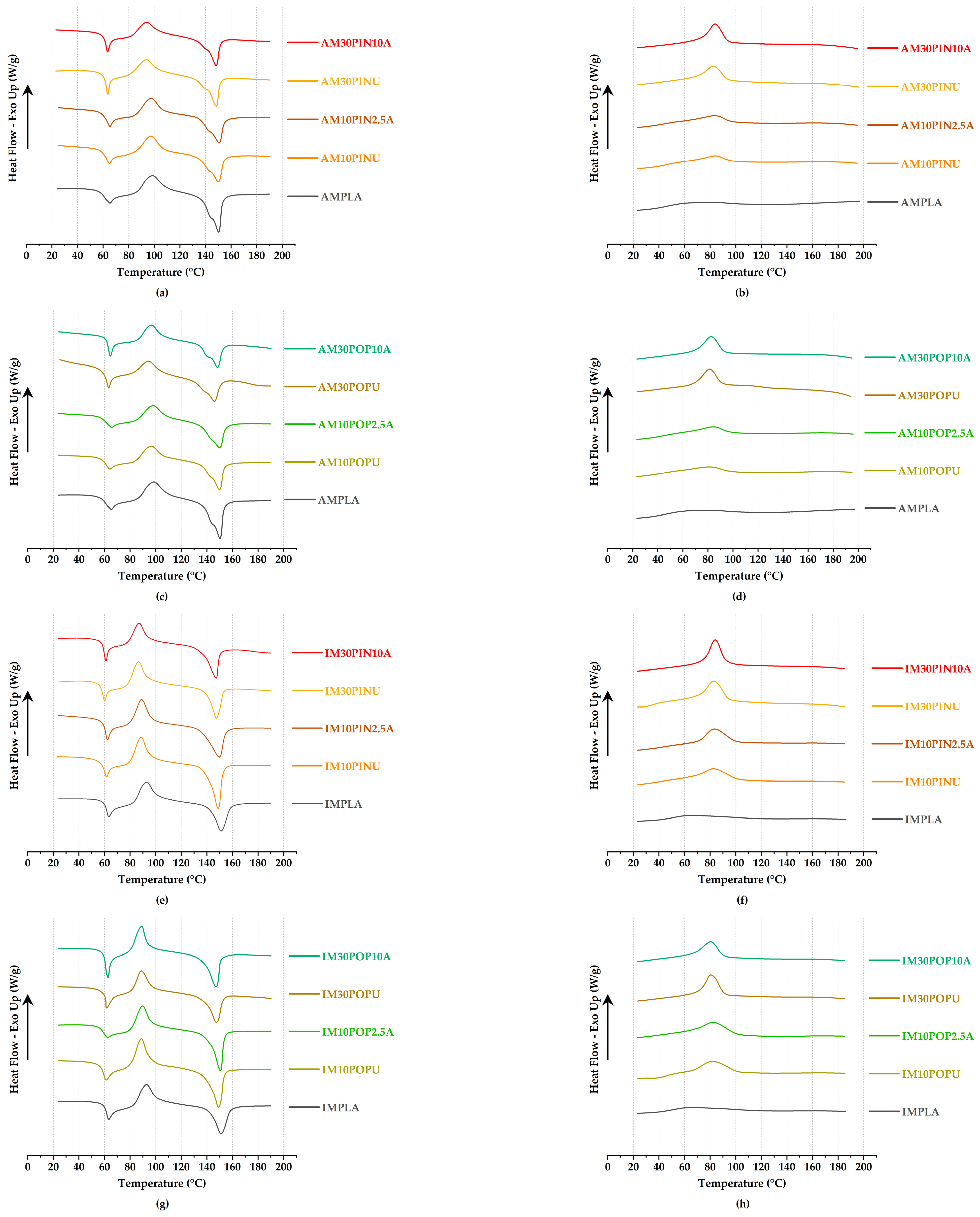
DSC results, presented in Figure 10 and Table 4, were used to identify key thermal transitions of the wood flour and composites, including glass transition (Tg), crystallization (Tc), melting (Tm), and cold crystallization (Tcc) temperatures. Tg values of neat PLA produced by AM and IM were 65.71 °C and 63.12 °C, respectively.
Figure 10.
DSC curves of AM (a–d) and IM (e–h) biocomposites, compared to neat PLA.
Table 4.
DSC analysis values of AM and IM biocomposites, compared to neat PLA.
The influence of wood flour content and processing method on the Tc, Tg, Tm, and Tcc is clearly discernible in the DSC profiles. Results indicate that filler type, content, and fabrication method critically influence the thermal properties and crystallinity of PLA-based biocomposites.
Analysis of the thermal crystallization profiles clearly reveals that neat PLA exhibits markedly sluggish crystallization kinetics, characterized by an exceptionally broad and diffuse crystallization peak [84]. The incorporation of wood flour into PLA affects its thermal transitions, with wood flour type and treatment playing a key role. Wasti et al. [85] and Kamarudin et al. [86] observed comparable thermal behavior trends, including reductions in glass transition and crystallization temperatures, as untreated wood flour was added to the matrix material. Notably, alkali-treated wood flour slightly improved crystallinity, highlighting the impact of surface treatment on thermal behavior.
DSC analysis revealed a slight increase in crystallinity (Xcr) for biocomposites with alkali-treated wood flour that exhibited the highest tensile strength. Specifically, Xcr increased from 13.37% to 13.54% in AM10PIN2.5A (an increase of 1.27%) and from 13.33% to 13.50% in AM10POP2.5A (an increase of 1.28%) compared to their untreated counterparts. These values remained slightly below that of the AMPLA, which exhibited an Xcr of 14.40%. Likewise, IM samples IM30PIN10A and IM10POP2.5A showed minor increases of 1.12% (from 10.70% to 10.82%) and 1.10% (from 13.59% to 13.74%), respectively. The Xcr of the IMPLA was measured at 14.75%.
Table 4 summarizes the thermal properties of the samples, including the Tg, Tc, Tm, and Tcc. Across all compositions, specimens produced via IM exhibited a marginally higher degree of Xcr compared to those fabricated by AM, a difference that may be attributed to the increased porosity observed in the AM samples [21].
Both AM and IM were found to exert only a limited influence on the Tg, Tc, and Tm of the material. This observation is supported by several studies reporting no significant differences in the thermal properties between specimens produced via these two fabrication methods [21,87]. The DSC results obtained in this study exhibit a consistent agreement with previously reported findings in the literature [21,85,86,87].
3.6.2. TGA Results
As illustrated in Figure 11 and Figure 12, TGA and derivative thermogravimetry (DTG) were employed under a nitrogen atmosphere to evaluate the thermal decomposition behavior and thermal stability of PLA, untreated and treated wood flour, as well as their reinforced biocomposites.
Figure 11.
TGA and DTG curves of pine (a,b) and poplar (c,d) wood flour.
Figure 12.
TGA and DTG curves of AM (a–d) and IM (e–h).
Due to their recyclability, thermoplastics require thermal degradation analysis to assess composite stability at high temperatures. TGA and DTG are used to determine their decomposition behavior under a nitrogen atmosphere [88].
All mass loss curves overlapped during the major degradation stage up to ~350 °C, indicating comparable Tonset and TDTG peak values among the samples (Figure 11 and Figure 12; Table 5 and Table 6).
Table 5.
Results obtained from the TGA analysis of wood flour.
Table 6.
Results obtained from the TGA analysis of biocomposite.
As the wood flour content in the biocomposites increased, a decrease in thermal degradation temperature was observed [10].
Furthermore, the maximum degradation temperatures identified in the DTG curves of the untreated wood flour-reinforced biocomposites were slightly lower than those of the control samples, AMPLA and IMPLA, which exhibited peak degradation at 332.95 °C and 330.56 °C, respectively.
During the second stage of thermal degradation, decomposition of the wood flour/PLA composites occurred between 200 °C and 400 °C, primarily due to the breakdown of hemicellulose, cellulose, pectin, and lignin. In the NaOH-treated samples, this stage began at 298.31 °C for AM30PIN10A, whereas the untreated counterpart (AM30PINU) exhibited an earlier onset at 285.47 °C. Similarly, in IM samples, degradation initiated at 286.66 °C for IM30PIN10A and at 280.72 °C for the untreated IM30PINU. A pronounced mass loss was observed in all formulations beyond 300 °C, marking the peak of thermal decomposition.
Consistent with previous studies, the TGA results confirm that alkaline treatment enhances the thermal stability of lignocellulosic particles, as evidenced by the modest elevation in thermal degradation onset temperatures observed in treated samples compared to their untreated counterparts [88,89].
Previous research has reported that PLA processed via IM exhibits reduced thermal stability compared to its 3D-printed counterparts. This reduction is presumed to result from polymer degradation induced by high shear forces encountered during pelletization and molding [82].
4. Conclusions
This study demonstrated the successful development of sustainable PLA-based biocomposites reinforced with untreated and alkali-treated wood flour derived from recycled Turkish red pine and white poplar wooden pallets. Biocomposite pellets and filaments were produced via twin-screw extrusion and subsequently fabricated into test specimens using both AM and IM. No processing anomalies such as die clogging, inconsistent flow, or thermal degradation were observed across either method, confirming good processability of the developed formulations.
Mechanical performance was significantly influenced by both wood flour surface treatment and processing route. IM samples containing 30 wt% alkali-treated Turkish red pine wood flour (10% NaOH) exhibited substantial improvements over untreated counterparts, with tensile strength increasing by 71.35%, flexural strength by 64.74%, and Shore D hardness by 2.62%. By contrast, the AM samples exhibited relatively lower improvements in tensile strength, flexural strength, and hardness, which can be attributed to inherent anisotropic behavior and insufficient inter-layer adhesion typical of the layer-by-layer printing process.
Physical and moisture resistance properties also benefited from alkali treatment. The AM sample with 10 wt% alkali-treated white poplar wood flour (10% NaOH) exhibited a 49.37% reduction in water absorption, indicating improved hydrophobicity and dimensional stability. This improvement is attributed to enhanced wood flour–matrix adhesion and decreased void content, as verified by SEM, which revealed more homogeneous wood flour dispersion and reduced interfacial porosity.
Thermal characterization through TGA showed that the alkali-treated wood flour retained stability up to 200 °C, confirming their compatibility with standard thermoplastic processing conditions. No significant differences were observed in thermal behavior between AM and IM samples, suggesting that the alkali treatment did not negatively impact the inherent thermal performance of the biocomposites.
Morphological and chemical analyses via SEM and FT-IR confirmed the presence of cellulose and hemicellulose structures, as well as improved interfacial bonding resulting from the alkali treatment. These structural enhancements are directly correlated with the observed mechanical and physical improvements.
Overall, this study provides a validated pathway for the use of industrial wood waste as a sustainable reinforcement source in PLA-based biocomposites. While untreated wood flour demonstrated moderate reinforcement, alkali-treated wood flour consistently outperformed in all tested parameters, supporting their viability for high-performance applications. However, when compared to other wood flour-reinforced biocomposites in literature the reported mechanical properties are comparable or superior, particularly under IM conditions, though a comprehensive comparative analysis.
In conclusion, alkali-treated wood flour recovered from waste wooden pallet offer a technically feasible, environmentally responsible, and industrially scalable reinforcement option for PLA composites, supporting the broader transition to circular economy, zero-waste material systems.
Author Contributions
Conceptualization, M.D., N.Ç., and N.N.; methodology, M.D., N.Ç., and N.N.; software, M.D.; validation, M.D., N.Ç., and N.N.; formal analysis, M.D.; investigation, M.D.; resources, M.D., N.Ç., and N.N.; data curation, M.D.; writing—original draft preparation, M.D.; writing—review and editing, M.D., N.Ç., and N.N.; visualization, M.D.; supervision, N.Ç., and N.N.; project administration, N.Ç.; funding acquisition, N.Ç. All authors have read and agreed to the published version of the manuscript.
Funding
This study was funded by the Scientific Research Projects Coordination Unit of İzmir Kâtip Çelebi University within the scope of the doctoral dissertation support project (Project No: 2022-TDR-FEBE-0001).
Institutional Review Board Statement
Not applicable.
Informed Consent Statement
Not applicable.
Data Availability Statement
Data are available in this article.
Acknowledgments
The authors gratefully acknowledge İzmir Kâtip Çelebi University and the relevant units for institutional support throughout the doctoral research process. Additionally, this study is derived from the doctoral dissertation numbered 10712651, submitted to the Council of Higher Education of Türkiye.
Conflicts of Interest
The authors declare no conflicts of interest. The funders had no role in the design of the study; in the collection, analyses, or interpretation of data; in the writing of the manuscript; or in the decision to publish the results.
References
- Forest Declaration Assessment. 2024 Forest Declaration Assessment: Forests Under Fire. 2024. Available online: https://forestdeclaration.org/wp-content/uploads/2024/10/2024ForestDeclarationAssessment.pdf (accessed on 30 May 2025).
- Coherent Market Insights. Wood Recycling Market Size and Share Analysis—Growth Trends and Forecasts (2025–2032). 2025. Available online: https://www.coherentmarketinsights.com/industry-reports/wood-recycling-market (accessed on 30 May 2025).
- Braghiroli, F.L.; Passarini, L. Valorization of biomass residues from forest operations and wood manufacturing presents a wide range of sustainable and innovative possibilities. Curr. For. Rep. 2020, 6, 172–183. [Google Scholar] [CrossRef]
- Rosenboom, J.G.; Langer, R.; Traverso, G. Bioplastics for a circular economy. Nat. Rev. Mater. 2022, 7, 117–137. [Google Scholar] [CrossRef] [PubMed]
- Jyske, T.; Frantsi, J.; Georgs, V.; Hurmekoski, E.; Kettunen, E.; Kilpeläinen, P.; Kinnunen-Raudaskoski, K.; Kohl, O.; Lankinen, P.; Liimatainen, H.; et al. Novel wood-based biomaterials. In Forest Microbiology; Academic Press: Cambridge, MA, USA, 2025; pp. 277–305. [Google Scholar] [CrossRef]
- Bhattacharjya, J.; Kleine-Moellhoff, P. Environmental concerns in the design and management of pallets. In Collaborative Systems for Reindustrialization, Proceedings of the 14th IFIP WG 5.5 Working Conference on Virtual Enterprises, PRO-VE 2013, Dresden, Germany, 30 September–2 October 2013; Proceedings 14; Springer: Berlin/Heidelberg, Germany, 2013; pp. 569–576. [Google Scholar] [CrossRef]
- Shiner, Z.; Horvath, L.; Araman, P.; Gething, B. An investigation of wood pallets landfilled and recovered at US municipal solid waste facilities. BioResources 2021, 16, 1496–1522. [Google Scholar] [CrossRef]
- Freedonia Group. Global Pallets Report. 2024. Available online: https://www.freedoniagroup.com/industry-study/global-pallets (accessed on 30 May 2025).
- Stark, N.M. Wood fiber derived from scrap pallets used in polypropylene composites. For. Prod. J. 1999, 49, 39–46. [Google Scholar]
- Asim, M.; Paridah, M.T.; Chandrasekar, M.; Shahroze, R.M.; Jawaid, M.; Nasir, M.; Siakeng, R. Thermal stability of natural fibers and their polymer composites. Iran. Polym. J. 2020, 29, 625–648. [Google Scholar] [CrossRef]
- Ilyas, R.A.; Zuhri, M.Y.M.; Aisyah, H.A.; Asyraf, M.R.M.; Hassan, S.A.; Zainudin, E.S.; Sari, N.H. Natural fiber-reinforced polylactic acid, polylactic acid blends and their composites for advanced applications. Polymers 2022, 14, 202. [Google Scholar] [CrossRef] [PubMed]
- Lee, C.H.; Khalina, A.; Lee, S.H. Importance of interfacial adhesion condition on characterization of plant-fiber-reinforced polymer composites: A review. Polymers 2021, 13, 438. [Google Scholar] [CrossRef] [PubMed]
- Sahu, P.; Gupta, M.K. A review on the properties of natural fibres and its bio-composites: Effect of alkali treatment. Proc. Inst. Mech. Eng. Part L 2020, 234, 198–217. [Google Scholar] [CrossRef]
- Zandi, M.D.; Jerez-Mesa, R.; Lluma-Fuentes, J.; Jorba-Peiro, J.; Travieso-Rodriguez, J.A. Study of the manufacturing process effects of fused filament fabrication and injection molding on tensile properties of composite PLA-wood parts. Int. J. Adv. Manuf. Technol. 2020, 108, 1725–1735. [Google Scholar] [CrossRef]
- Pereira, T.; Kennedy, J.V.; Potgieter, J. A comparison of traditional manufacturing vs additive manufacturing, the best method for the job. Procedia Manuf. 2019, 30, 11–18. [Google Scholar] [CrossRef]
- Mohanavel, V.; Ali, K.A.; Ranganathan, K.; Jeffrey, J.A.; Ravikumar, M.M.; Rajkumar, S. The roles and applications of additive manufacturing in the aerospace and automobile sector. Mater. Today Proc. 2021, 47, 405–409. [Google Scholar] [CrossRef]
- Praveena, B.A.; Lokesh, N.; Santhosh, N.; Praveena, B.L.; Vignesh, R. A comprehensive review of emerging additive manufacturing (3D printing technology): Methods, materials, applications, challenges, trends and future potential. Mater. Today Proc. 2022, 52, 1309–1313. [Google Scholar] [CrossRef]
- Prashar, G.; Vasudev, H.; Bhuddhi, D. Additive manufacturing: Expanding 3D printing horizon in industry 4.0. Int. J. Interact. Des. Manuf. 2023, 17, 2221–2235. [Google Scholar] [CrossRef] [PubMed]
- Donate, R.; Monzón, M.; Alemán-Domínguez, M.E. Additive manufacturing of PLA-based scaffolds intended for bone regeneration and strategies to improve their biological properties. e-Polymers 2020, 20, 571–599. [Google Scholar] [CrossRef]
- Lee, C.H.; Padzil, F.N.B.M.; Lee, S.H.; Ainun, Z.M.A.A.; Abdullah, L.C. Potential for natural fiber reinforcement in PLA polymer filaments for fused deposition modeling (FDM) additive manufacturing: A review. Polymers 2021, 13, 1407. [Google Scholar] [CrossRef] [PubMed]
- Cisneros-López, E.O.; Pal, A.K.; Rodriguez, A.U.; Wu, F.; Misra, M.; Mielewski, D.F.; Mohanty, A.K. Recycled poly(lactic acid)—Based 3D printed sustainable biocomposites: A comparative study with injection molding. Mater. Today Sustain. 2020, 7, 100027. [Google Scholar] [CrossRef]
- Pilipović, A.; Ilinčić, P.; Petruša, J.; Domitran, Z. Influence of polymer composites and memory foam on energy absorption in vehicle application. Polymers 2020, 12, 1222. [Google Scholar] [CrossRef] [PubMed]
- Stark, N.M.; Rowlands, R.E. Effects of wood fiber characteristics on mechanical properties of wood/polypropylene composites. Wood Fiber Sci. 2003, 35, 167–174. [Google Scholar]
- Sommerhuber, P.F.; Welling, J.; Krause, A. Substitution potentials of recycled HDPE and wood particles from post-consumer packaging waste in wood–plastic composites. Waste Manag. 2015, 46, 76–85. [Google Scholar] [CrossRef] [PubMed]
- Basalp, D.; Tihminlioglu, F.; Sofuoglu, S.C.; Inal, F.; Sofuoglu, A. Utilization of municipal plastic and wood waste in industrial manufacturing of wood–plastic composites. Waste Biomass Valorization 2020, 11, 5419–5430. [Google Scholar] [CrossRef]
- Iždinský, J.; Reinprecht, L.; Vidholdová, Z. Particleboards from recycled pallets. Forests 2021, 12, 1597. [Google Scholar] [CrossRef]
- Demir, M.; Çetin, N.; Narlıoğlu, N. Analysis of Chemical Compositions of Lignocellulosic Fibres Derived from Waste Wooden Pallets. In Proceedings of the 11th International Aegean Congress on Innovation Technologies & Engineering, İzmir, Türkiye, 4–6 April 2025; pp. 42–51, ISBN 979-8-89695-060-8. [Google Scholar]
- Özmen, N. A study of the effect of acetylation on hemp fibres with vinyl acetate. BioResources 2012, 7, 3800–3809. [Google Scholar] [CrossRef]
- Zimmermann, M.V.G.; Zattera, A.J. Recycling and reuse of waste from electricity distribution networks as reinforcement agents in polymeric composites. Waste Manag. 2013, 33, 1667–1674. [Google Scholar] [CrossRef] [PubMed]
- Migneault, S.; Koubaa, A.; Perré, P. Effect of fiber origin, proportion, and chemical composition on the mechanical and physical properties of wood–plastic composites. J. Wood Chem. Technol. 2014, 34, 241–261. [Google Scholar] [CrossRef]
- Narlıoğlu, N. Comparison of mechanical properties of 3D-printed and compression-molded wood–polylactic acid (PLA) composites. BioResources 2022, 17, 3291. [Google Scholar] [CrossRef]
- Narlıoğlu, N. Effect of 3D printing speed on mechanical and thermal properties of wood–PLA composite filament. Furn. Wood Mater. Res. J. 2024, 7, 97–106. [Google Scholar] [CrossRef]
- Savran, M.; Aydın, L.; Ayaz, A.; Uslu, T. A new strategy for manufacturing, modeling, and optimization of 3D printed polylactide based on multiple nonlinear neuro regression analysis and stochastic optimization methods. Proc. Inst. Mech. Eng. Part E J. Process Mech. Eng. 2024, 09544089241272909. [Google Scholar] [CrossRef]
- Öncül, M.; Sever, K. Effect of particle size and loading of cherry tree branch fillers on the mechanical and viscoelastic properties of polypropylene composites. BioResources 2025, 20, 1703–1712. [Google Scholar] [CrossRef]
- Kovačević, Z.; Pilipović, A.; Meheš, M.; Bischof, S. Zero waste concept in production of PLA biocomposites reinforced with fibers derived from wild plant (Spartium junceum L.) and energy crop (Sida hermaphrodita (L.) Rusby). Polymers 2025, 17, 235. [Google Scholar] [CrossRef] [PubMed]
- Borah, J.S.; Kim, D.S. Recent development in thermoplastic/wood composites and nanocomposites: A review. Korean J. Chem. Eng. 2016, 33, 3035–3049. [Google Scholar] [CrossRef]
- Kuram, E. Advances in development of green composites based on natural fibers: A review. Emerg. Mater. 2022, 5, 811–831. [Google Scholar] [CrossRef]
- Kaya, N.; Atan, E.; Sütçü, M. Investigation of thermal properties of waste tungsten carbide (WC) loaded HDPE matrix. Mater. Today Commun. 2020, 25, 101547. [Google Scholar] [CrossRef]
- Sarkar, P.B.; Chatterjee, H.; Mazumdar, A.K. 28—THE ACID NATURE OF JUTE FIBRE. J. Text. Inst. Trans. 1947, 38, T318–T332. [Google Scholar] [CrossRef]
- ASTM D3641-21; Standard Practice for Injection Molding Test Specimens of Thermoplastic Molding and Extrusion Materials. ASTM: West Conshohocken, PA, USA, 2021.
- ASTM D638-22; Standard Test Method for Tensile Properties of Plastics. ASTM: West Conshohocken, PA, USA, 2022.
- ASTM D790-17; Standard Test Method for Flexural Properties of Unreinforced and Reinforced Plastics and Electrical Insulating Materials. ASTM: West Conshohocken, PA, USA, 2017.
- ASTM D2240-15; Standard Test Method for Rubber Property—Durometer Hardness. ASTM: West Conshohocken, PA, USA, 2015.
- ASTM D570-22; Standard Test Method for Water Absorption of Plastics. ASTM: West Conshohocken, PA, USA, 2022.
- ASTM D792-20; Standard Test Methods for Density and Specific Gravity (Relative Density) of Plastics by Displacement. ASTM: West Conshohocken, PA, USA, 2020.
- Fischer, E.W.; Sterzel, H.J.; Wegner, G.K.Z. Investigation of the structure of solution-grown crystals of lactide co-polymers by means of chemical reactions. Kolloid Z. Z. Polym. 1973, 251, 980–990. [Google Scholar] [CrossRef]
- TAPPI T 257 cm-02; Sampling and Preparing Wood for Analysis. TAPPI: Peachtree Corners, GA, USA, 2012.
- TAPPI T 550 om-08; Determination of Equilibrium Moisture in Pulp, Paper and Paperboard for Chemical Analysis. TAPPI: Peachtree Corners, GA, USA, 2013.
- TAPPI T 211 om-02; Ash in Wood, Pulp, Paper and Paperboard: Combustion at 525 °C. TAPPI: Peachtree Corners, GA, USA, 2007.
- TAPPI T 204 cm-97; Solvent Extractives of Wood and Pulp. TAPPI: Peachtree Corners, GA, USA, 2007.
- TAPPI T 222 om-21; Acid-Insoluble Lignin in Wood and Pulp. TAPPI: Peachtree Corners, GA, USA, 2021.
- TAPPI T 203 cm-22; Alpha-, Beta- and Gamma-Cellulose in Pulp. TAPPI: Peachtree Corners, GA, USA, 2022.
- Bouza, R.; Marco, C.; Naffakh, M.; Barral, L.; Ellis, G. Effect of particle size and a processing aid on the crystallization and melting behavior of iPP/red pine wood flour composites. Compos. Part A Appl. Sci. Manuf. 2011, 42, 935–949. [Google Scholar] [CrossRef]
- Pokhrel, G.; Han, Y.; Gardner, D.J. Comparative study of the properties of wood flour and wood pellets manufactured from secondary processing mill residues. Polymers 2021, 13, 2487. [Google Scholar] [CrossRef] [PubMed]
- Setswalo, K.; Oladijo, O.P.; Namoshe, M.; Akinlabi, E.T.; Sanjay, M.R. The mechanical properties of alkali and laccase treated pterocarpus angolensis (mukwa)-polylactic acid (PLA) composites. Int. J. Biol. Macromol. 2022, 217, 398–406. [Google Scholar] [CrossRef] [PubMed]
- Brounstein, Z.; Yeager, C.M.; Labouriau, A. Development of antimicrobial PLA composites for fused filament fabrication. Polymers 2021, 13, 580. [Google Scholar] [CrossRef] [PubMed]
- Orue, A.; Eceiza, A.; Arbelaiz, A. The use of alkali treated walnut shells as filler in plasticized poly (lactic acid) matrix composites. Ind. Crops Prod. 2020, 145, 111993. [Google Scholar] [CrossRef]
- Alao, P.F.; Marrot, L.; Burnard, M.D.; Lavrič, G.; Saarna, M.; Kers, J. Impact of Alkali and silane treatment on hemp/PLA composites’ performance: From micro to macro scale. Polymers 2021, 13, 851. [Google Scholar] [CrossRef] [PubMed]
- Al Abdallah, H.; Abu-Jdayil, B.; Iqbal, M.Z. The effect of alkaline treatment on poly (lactic acid)/date palm wood green composites for thermal insulation. Polymers 2022, 14, 1143. [Google Scholar] [CrossRef] [PubMed]
- Samir, A.; Ashour, F.H.; Hakim, A.A.; Bassyouni, M. Recent advances in biodegradable polymers for sustainable applications. Npj Mater. Degrad. 2022, 6, 68. [Google Scholar] [CrossRef]
- Lekrine, A.; Belaadi, A.; Dembri, I.; Jawaid, M.; Ismail, A.S.; Abdullah, M.M.; Chai, B.X.; Al-Khawlani, A.; Ghernaout, D. Thermomechanical and structural analysis of green hybrid composites based on polylactic acid/biochar/treated W. filifera palm fibers. J. Mater. Res. Technol. 2024, 30, 9656–9667. [Google Scholar] [CrossRef]
- Madhu, P.; Sanjay, M.R.; Jawaid, M.; Siengchin, S.; Khan, A.; Pruncu, C.I. A new study on effect of various chemical treatments on Agave Americana fiber for composite reinforcement: Physico-chemical, thermal, mechanical and morphological properties. Polym. Test. 2020, 85, 106437. [Google Scholar] [CrossRef]
- Zarna, C.; Rodríguez-Fabià, S.; Echtermeyer, A.T.; Chinga-Carrasco, G. Preparation and characterisation of biocomposites containing thermomechanical pulp fibres, poly (lactic acid) and poly (butylene-adipate-terephthalate) or poly (hydroxyalkanoates) for 3D and 4D printing. Addit. Manuf. 2022, 59, 103166. [Google Scholar] [CrossRef]
- Siakeng, R.; Jawaid, M.; Asim, M.; Saba, N.; Sanjay, M.R.; Siengchin, S.; Fouad, H. Alkali treated coir/pineapple leaf fibres reinforced PLA hybrid composites: Evaluation of mechanical, morphological, thermal and physical properties. Express Polym. Lett. 2020, 14, 717–730. [Google Scholar] [CrossRef]
- Yu, W.; Dong, L.; Lei, W.; Zhou, Y.; Pu, Y.; Zhang, X. Effects of rice straw powder (RSP) size and pretreatment on properties of FDM 3D-printed RSP/poly (lactic acid) biocomposites. Molecules 2021, 26, 3234. [Google Scholar] [CrossRef] [PubMed]
- Banerjee, A.; Jha, K.; Petru, M.; Kumar, R.; Sharma, S.; Saini, M.S.; Mohammed, K.A.; Kumar, A.; Abbas, M.; Tag-Eldin, E.M. Fabrication and characterization of weld attributes in hot gas welding of alkali treated hybrid flax fiber and pine cone fibers reinforced poly-lactic acid (PLA) based biodegradable polymer composites: Studies on mechanical and morphological properties. J. Mater. Res. Technol. 2023, 27, 272–297. [Google Scholar] [CrossRef]
- Beg, M.D.H.; Pickering, K.L.; Gauss, C. The effects of alkaline digestion, bleaching and ultrasonication treatment of fibre on 3D printed harakeke fibre reinforced polylactic acid composites. Compos. Part A Appl. Sci. Manuf. 2023, 166, 107384. [Google Scholar] [CrossRef]
- Surendran, A.N.; Malayil, S.; Satyavolu, J.; Kate, K. Influence of chemical pretreatment on the mechanical, chemical, and interfacial properties of 3D-printed, rice-husk-fiber-reinforced composites. J. Compos. Sci. 2023, 7, 357. [Google Scholar] [CrossRef]
- Kumar, S.; Dang, R.; Manna, A.; Sharma, S.; Dwivedi, S.P.; Kumar, A.; Li, C.; Abbas, M. Effect of chemically treated kenaf fiber on the mechanical, morphological, and microstructural characteristics of PLA-based sustainable bio-composites fabricated via direct injection molding route. Biomass Convers. Biorefinery 2024, 14, 31383–31399. [Google Scholar] [CrossRef]
- Serra-Parareda, F.; Espinach, F.X.; Pelach, M.À.; Méndez, J.A.; Vilaseca, F.; Tarrés, Q. Effect of NaOH treatment on the flexural modulus of hemp core reinforced composites and on the intrinsic flexural moduli of the fibers. Polymers 2020, 12, 1428. [Google Scholar] [CrossRef] [PubMed]
- Pokhriyal, M.; Rakesh, P.K. Processing and characterization of novel Himalayacalamus falconeri fiber reinforced biodegradable composites. Biomass Convers. Biorefinery 2024, 14, 21245–21260. [Google Scholar] [CrossRef]
- Kumar, S.; Singh, R.; Singh, T.P.; Batish, A. Investigations of polylactic acid reinforced composite feedstock filaments for multimaterial three-dimensional printing applications. Proc. Inst. Mech. Eng. Part C J. Mech. Eng. Sci. 2019, 233, 5953–5965. [Google Scholar] [CrossRef]
- Jiang, J.; Gu, H.; Li, B.; Zhang, J. Preparation and properties of straw/PLA wood plastic composites for 3D printing. IOP Conf. Ser. Earth Environ. Sci. 2021, 692, 032004. [Google Scholar] [CrossRef]
- Mazáň, A.; Vančo, M.; Barcík, Š. Influence of technological parameters on tool durability during machining of juvenile wood. BioResources 2017, 12, 2367–2378. [Google Scholar] [CrossRef]
- Kamarudin, S.H.; Abdullah, L.C.; Ratnam, C.T. Mechanical and Physical Properties of Kenaf-reinforced Poly (lactic acid) Plasticized with Epoxidized Jatropha Oil. BioResources 2019, 14, 9001–9020. [Google Scholar] [CrossRef]
- Estakhrianhaghighi, E.; Mirabolghasemi, A.; Zhang, Y.; Lessard, L.; Akbarzadeh, A. 3D-printed wood-fiber reinforced architected cellular composites. Adv. Eng. Mater. 2020, 22, 2000565. [Google Scholar] [CrossRef]
- Brahmia, F.Z.; Alpar, T.; Horváth, P.G.; Csiha, C. Comparative analysis of wettability with fire retardants of Poplar (Populus cv. euramericana I214) and Scots pine (Pinus sylvestris). Surf. Interfaces 2020, 18, 100405. [Google Scholar] [CrossRef]
- Ramesh, P.; Prasad, B.D.; Narayana, K.L. Influence of montmorillonite clay content on thermal, mechanical, water absorption and biodegradability properties of treated kenaf fiber/PLA-hybrid biocomposites. Silicon 2021, 13, 109–118. [Google Scholar] [CrossRef]
- Pérez-Fonseca, A.A.; Martín Del Campo, A.S.; Robledo-Ortíz, J.R.; González-López, M.E. Compatibilization strategies for PLA biocomposites: A comparative study between extrusion-injection and dry blending-compression molding. Compos. Interfaces 2022, 29, 274–292. [Google Scholar] [CrossRef]
- Awad, S.; Hamouda, T.; Midani, M.; Katsou, E.; Fan, M. Polylactic acid (PLA) reinforced with date palm sheath fiber bio-composites: Evaluation of fiber density, geometry, and content on the physical and mechanical properties. J. Nat. Fibers 2023, 20, 2143979. [Google Scholar] [CrossRef]
- Setswalo, K.; Oladijo, O.P.; Namoshe, M.; Akinlabi, E.T.; Sanjay, R.M.; Siengchin, S.; Srisuk, R. The water absorption and thermal properties of green Pterocarpus angolensis (Mukwa)-polylactide composites. J. Nat. Fibers 2023, 20, 2124217. [Google Scholar] [CrossRef]
- Komal, U.K.; Kasaudhan, B.K.; Singh, I. Comparative performance analysis of polylactic acid parts fabricated by 3D printing and injection molding. J. Mater. Eng. Perform. 2021, 30, 6522–6528. [Google Scholar] [CrossRef]
- Song, X.; He, W.; Han, X.; Qin, H. Fused deposition modeling of poly (lactic acid)/nutshells composite filaments: Effect of alkali treatment. J. Polym. Environ. 2020, 28, 3139–3152. [Google Scholar] [CrossRef]
- Aliotta, L.; Sciara, L.M.; Cinelli, P.; Canesi, I.; Lazzeri, A. Improvement of the PLA crystallinity and heat distortion temperature optimizing the content of nucleating agents and the injection molding cycle time. Polymers 2022, 14, 977. [Google Scholar] [CrossRef] [PubMed]
- Wasti, S.; Triggs, E.; Farag, R.; Auad, M.; Adhikari, S.; Bajwa, D.; Li, M.; Ragauskas, A.J. Influence of plasticizers on thermal and mechanical properties of biocomposite filaments made from lignin and polylactic acid for 3D printing. Compos. Part B Eng. 2021, 205, 108483. [Google Scholar] [CrossRef]
- Kamarudin, S.H.; Abdullah, L.C.; Aung, M.M.; Ratnam, C.T. Thermal and structural analysis of epoxidized jatropha oil and alkaline treated kenaf fiber reinforced poly (Lactic acid) biocomposites. Polymers 2020, 12, 2604. [Google Scholar] [CrossRef] [PubMed]
- Verdejo de Toro, E.; Coello Sobrino, J.; Martínez Martínez, A.; Miguel Eguía, V.; Ayllón Pérez, J. Investigation of a short carbon fibre-reinforced polyamide and comparison of two manufacturing processes: Fused Deposition Modelling (FDM) and polymer injection moulding (PIM). Materials 2020, 13, 672. [Google Scholar] [CrossRef] [PubMed]
- Jamadi, A.H.; Razali, N.; Petrů, M.; Taha, M.M.; Muhammad, N.; Ilyas, R.A. Effect of chemically treated kenaf fibre on mechanical and thermal properties of PLA composites prepared through fused deposition modeling (FDM). Polymers 2021, 13, 3299. [Google Scholar] [CrossRef] [PubMed]
- Ismail, N.F.; Mohd Radzuan, N.A.; Sulong, A.B.; Muhamad, N.; Che Haron, C.H. The effect of alkali treatment on physical, mechanical and thermal properties of kenaf fiber and polymer epoxy composites. Polymers 2021, 13, 2005. [Google Scholar] [CrossRef] [PubMed]
Disclaimer/Publisher’s Note: The statements, opinions and data contained in all publications are solely those of the individual author(s) and contributor(s) and not of MDPI and/or the editor(s). MDPI and/or the editor(s) disclaim responsibility for any injury to people or property resulting from any ideas, methods, instructions or products referred to in the content. |
© 2025 by the authors. Licensee MDPI, Basel, Switzerland. This article is an open access article distributed under the terms and conditions of the Creative Commons Attribution (CC BY) license (https://creativecommons.org/licenses/by/4.0/).











