Performance Evaluation of Two Commercially Available Portable Spectrometers to Non-Invasively Determine Table Grape and Peach Quality Attributes
Abstract
1. Introduction
2. Materials and Methods
2.1. Fruit Samples
2.2. Fresh Fruit Spectral Measurements
2.3. Spectral Data Wavelength Range Selection, and Pre-Processing
2.4. Fruit Quality Attribute Measurements (DM, and TSS)
2.5. Modeling the Relationship between Spectral Data and Quality Attributes
3. Results and Discussion
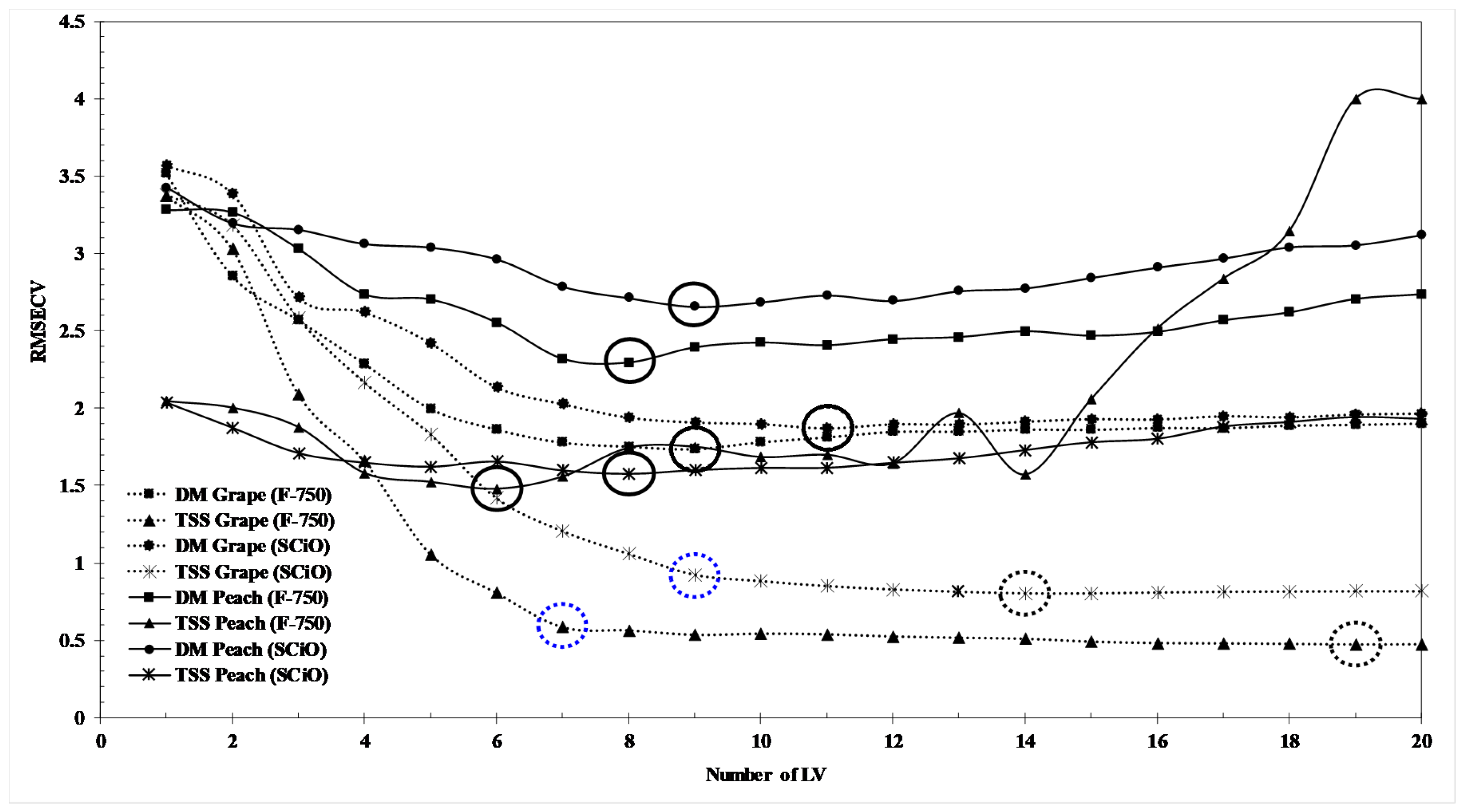
3.1. PLSR Models for Predicting the DM and TSS of Table Grape and Peach Fruits
3.2. Model Prediction Performance to Infer DM Content in Table Grapes and Peach
3.3. Model Prediction Performance to Infer TSS Content in Table Grapes and Peach
3.4. Performance Evaluation Using Reference Spheres
4. Conclusions
Author Contributions
Funding
Acknowledgments
Conflicts of Interest
References
- California Department of Food and Agriculture. California Agricultural Statistics Review, 2017–2018; California Department of Food and Agriculture: Sacramento, CA, USA, 2018; p. 118. [Google Scholar]
- El-Mesery, H.S.; Mao, H.; Abomohra, A.E.F. Applications of non-destructive technologies for agricultural and food products quality inspection. Sensors 2019, 19, 846. [Google Scholar] [CrossRef]
- Khodabakhshian, R.; Emadi, B.; Khojastehpour, M.; Golzarian, R.; Sazgarnia, A. Non-destructive evaluation of maturity and quality parameters of pomegranate fruit by visible/near infrared spectroscopy. Int. J. Food Prop. 2017, 20, 41–52. [Google Scholar] [CrossRef]
- Santos, L.R.D.; Zangirolami, M.D.S.; Silva, N.O.; Valderrama, P.; Março, P.H. Rapid non-invasive assessment of quality parameters in ground soybean using near-infrared spectroscopy. Pesqui. Agropecuária Bras. 2018, 53, 97–104. [Google Scholar] [CrossRef]
- Wang, H.; Peng, J.; Xie, C.; Bao, Y.; He, Y. Fruit quality evaluation using spectroscopy technology: A review. Sensors 2015, 15, 11889–11927. [Google Scholar] [CrossRef]
- Pasquini, C. Near infrared spectroscopy: Fundamentals, practical aspects and analytical applications. J. Braz. Chem. Soc. 2003, 14, 198–219. [Google Scholar] [CrossRef]
- Nicolaï, B.M.; Beullens, K.; Bobelyn, E.; Peirs, A.; Saeys, W.; Theron, K.I.; Lammertyn, J. Nondestructive measurement of fruit and vegetable quality by means of NIR spectroscopy: A review. Postharvest Biol. Technol. 2007, 46, 99–118. [Google Scholar] [CrossRef]
- Rinnan, Å.; Berg, F.V.D.; Engelsen, S.B. Review of the most common pre-processing techniques for near-infrared spectra. Trends Anal. Chem. 2009, 28, 1201–1222. [Google Scholar] [CrossRef]
- Viegas, T.R.; Mata, A.L.M.L.; Duarte, M.A.M.L.; Lima, K.A.M.G. Determination of quality attributes in wax jambu fruit using NIRS and PLS. Food Chem. 2016, 190, 1–4. [Google Scholar] [CrossRef]
- Jaleh, B.; Fakhri, P. Infrared and Fourier Transform Infrared Spectroscopy for Nanofillers and Their Nanocomposites; Elsevier Inc.: Amsterdam, The Netherlands, 2016; pp. 112–129. [Google Scholar]
- Abdi, H. Partial least squares regression and projection on latent structure regression (PLS Regression). Wiley Interdiscip. Rev. Comput. Stat. 2010, 2, 97–106. [Google Scholar] [CrossRef]
- Rinnan, Å. Pre-processing in vibrational spectroscopy-when, why and how. Anal. Methods 2014, 6, 7124–7129. [Google Scholar] [CrossRef]
- Dale, L.M.; Thewis, A.; Rotar, I.; Pierna, J.A.F.; Boudry, C.; Vidican, R.M.; Baeten, V. Chemometric Tools for NIRS and NIR Hyperspectral Imaging. Bull. Uasvm Agric. 2012, 69, 70–76. [Google Scholar]
- Caramês, E.T.S.; Alamar, P.D.; Poppi, R.J.; Pallone, J.A.L. Quality control of cashew apple and guava nectar by near infrared spectroscopy. J. Food Compos. Anal. 2017, 56, 41–46. [Google Scholar] [CrossRef]
- Urraca, R.; Sanz-Garcia, A.; Tardaguila, J.; Diago, M.P. Estimation of total soluble solids in grape berries using a hand-held NIR spectrometer under field conditions. J. Sci. Food Agric. 2016, 96, 3007–3016. [Google Scholar] [CrossRef]
- Barnaba, F.E.; Bellincontro, A.; Mencarelli, F. Portable NIR-AOTF spectroscopy combined with winery FTIR spectroscopy for an easy, rapid, in-field monitoring of Sangiovese grape quality. J. Sci. Food Agric. 2014, 94, 1071–1077. [Google Scholar] [CrossRef]
- Fernández-Novales, J.; López, M.I.; Sánchez, M.T.; García-Mesa, J.A.; González-Caballero, V. Assessment of quality parameters in grapes during ripening using a miniature fiber-optic near-infrared spectrometer. Int. J. Food Sci. Nutr. 2009, 60, 265–277. [Google Scholar] [CrossRef]
- Guidetti, R.; Beghi, R.; Bodria, L. Evaluation of grape quality parameters by a simple VIS/NIR system. Trans. ASABE 2010, 53, 477–484. [Google Scholar] [CrossRef]
- Costa, G.; Noferini, M.; Fiori, G.; Miserocchi, O.; Bregoli, A.M. NIRS evaluation of peach and nectarine fruit quality in pre-and post-harvest conditions. Acta Hortic. 2002, 592, 593–599. [Google Scholar] [CrossRef]
- Fu, X.P.; Ying, Y.B.; Zhou, Y.; Xie, L.J.; Xu, H.R. Application of NIR spectroscopy for firmness evaluation of peaches. J. Zhejiang Univ. Sci. B 2008, 9, 552–557. [Google Scholar] [CrossRef]
- Kawano, S.; Watanabe, H.; Iwamoto, M. Determination of Sugar Content in Intact Peaches by Near Infrared Spectroscopy with Fiber Optics in Interactance Mode. Engei Gakkai Zasshi 1992, 61, 445–451. [Google Scholar] [CrossRef]
- Uwadaira, Y.; Sekiyama, Y.; Ikehata, A. An examination of the principle of non-destructive flesh firmness measurement of peach fruit by using VIS-NIR spectroscopy. Heliyon 2018, 4, e00531. [Google Scholar] [CrossRef]
- Guillemain, A.; Dégardin, K.; Roggo, Y. Performance of NIR handheld spectrometers for the detection of counterfeit tablets. Talanta 2017, 165, 632–640. [Google Scholar] [CrossRef]
- Kaur, H.; Künnemeyer, R.; McGlone, A. Comparison of hand-held near infrared spectrophotometers for fruit dry matter assessment. J. Near Infrared Spectrosc. 2017, 25, 267–277. [Google Scholar] [CrossRef]
- McGonigle, A.J.S.; Wilkes, T.C.; Pering, T.D.; Willmott, J.R.; Cook, J.M.; Mims, F.M.; Parisi, A.V. Smartphone Spectrometers. Sensors 2018, 18, 223. [Google Scholar] [CrossRef]
- Rateni, G.; Dario, P.; Cavallo, F. Smartphone-Based Food Diagnostic Technologies: A Review. Sensors 2017, 17, 1453. [Google Scholar] [CrossRef]
- Kosmowski, F.; Worku, T. Evaluation of a miniaturized NIR spectrometer for cultivar identification: The case of barley, chickpea and sorghum in Ethiopia. PLoS ONE 2018, 13, e0193620. [Google Scholar] [CrossRef]
- Gupta, S.D.; Ibaraki, Y. Plant Image Analysis; Taylor & Francis Group: Boca Raton, FL, USA, 2015; pp. 83–93. [Google Scholar]
- Johnsen, S. How to measure color using spectrometers and calibrated photographs. J. Exp. Biol. 2016, 219, 772–778. [Google Scholar] [CrossRef]
- Bona, E.; Março, P.H.; Valderrama, P. Chapter 4—Chemometrics Applied to Food Control. In Food Control and Biosecurity; Elsevier Inc.: Amsterdam, The Netherlands, 2018; pp. 105–133. [Google Scholar]
- Fluvià Sabio, S. NIR Techniques and Chemometric Data Analysis Applied to Food Adulteration Detection. Master’s Thesis, Universitat Politécnica de Catalunya, Barcelona, Spain, 2015. [Google Scholar]
- Zhao, N.; Wu, Z.-S.; Zhang, Q.; Shi, X.-Y.; Ma, Q. Optimization of Parameter Selection for Partial Least Squares Model Development. Nat. Publ. Group 2015, 5, 1–10. [Google Scholar] [CrossRef]
- Gutierrez, D. Ask a Data Scientiest: The Bias vs. Variance Tradeoff. Available online: https://insidebigdata.com/2014/10/22/ask-data-scientist-bias-vs-variance-tradeoff/ (accessed on 25 March 2019).
- Santos, P.M.; Colnago, L.A. Comparison Among MIR, NIR, and LF-NMR Techniques for Quality Control of Jam Using Chemometrics. Food Anal. Methods 2018, 11, 2029–2034. [Google Scholar] [CrossRef]
- Souza, D.; Azevedo, J.; Pallone, L.; Jesus, R. Fourier transform near-infrared spectroscopy (FT-NIRS) application to estimate Brazilian soybean [Glycine max (L.) Merril] composition. FRIN 2013, 51, 53–58. [Google Scholar]
- Walther, B.A.; Moore, J.L. The concepts of bias, precision and accuracy, and their use in testing the performance of species richness estimators, with a literature review of estimator performance. Ecography 2005, 28, 815–829. [Google Scholar] [CrossRef]
- Clark, C.J.; McGlone, V.A.; Requejo, C.; White, A.; Woolf, A.B. Dry matter determination in ‘Hass’ avocado by NIR spectroscopy. Postharvest Biol. Technol. 2003, 29, 301–308. [Google Scholar] [CrossRef]
- Omar, A.F.; Atan, H.; Matjafri, M.Z. Peak response identification through near-infrared spectroscopy analysis on aqueous sucrose, glucose, and fructose solution. Spectrosc. Lett. 2012, 45, 190–201. [Google Scholar] [CrossRef]
- Lammertyn, J.; Peirs, A.; Baerdemaeker, J.D.; Nicolaı, B. Light penetration properties of NIR radiation in fruit with respect to non-destructive quality assessment. Postharvest Biol. Technol. 2000, 18, 121–132. [Google Scholar] [CrossRef]
- Cozzolino, D.; Cynkar, W.U.; Dambergs, R.G.; Mercurio, M.D.; Smith, P.A. Measurement of condensed tannins and dry matter in red grape homogenates using near infrared spectroscopy and partial least squares. J. Agric. Food Chem. 2008, 56, 7631–7636. [Google Scholar] [CrossRef]
- Williams, P.C.; Norris, K.H. Near-Infrared Technology: In the Agricultural and Food Industries, 2nd ed.; American Association of Cereal Chemists: St. Paul, MN, USA, 2001; pp. 145–169. [Google Scholar]
- Fernández-Novales, J.; Tardáguila, J.; Gutiérrez, S.; Diago, M.P. On-The-Go VIS SW− NIR spectroscopy as a reliable monitoring tool for grape composition within the vineyard. Molecules 2019, 24, 2795. [Google Scholar] [CrossRef]
- González-Caballero, V.; Pérez-Marín, D.; López, M.I.; Sánchez, M.T. Optimization of NIR spectral data management for quality control of grape bunches during on-vine ripening. Sensors 2011, 11, 6109–6124. [Google Scholar] [CrossRef]






| Parameters | DM (%) | TSS (°Brix) | ||||||
|---|---|---|---|---|---|---|---|---|
| Table Grape | Peach | Table Grape | Peach | |||||
| Purple | Green | Red | Purple | Green | Red | |||
| No. of samples | 150 | 150 | 150 | 150 | 150 | 150 | 150 | 150 |
| Minimum | 9.09 | 6.12 | 7.70 | 9.01 | 8.2 | 4.35 | 6.00 | 7.30 |
| Maximum | 23.85 | 24.61 | 22.46 | 30.72 | 17.55 | 21.1 | 20.6 | 17.85 |
| Mean | 14.45 | 15.89 | 17.32 | 17.04 | 12.4 | 14.48 | 16.15 | 12.57 |
| Std. deviation | 2.74 | 3.88 | 2.64 | 3.11 | 2.15 | 3.61 | 2.49 | 1.93 |
| Characteristics | Device Model (Manufacturer) | |
|---|---|---|
| F-750 (Felix Instruments, Natick, WA, USA) | SCiO (Consumer Physics, Tel Aviv, Israel) | |
| Full range (nm) | 285–1200 | 740–1070 |
| Usable range (nm) in this study | 741–1071 | 740–1070 |
| Resolution (nm) | 3 | 1 |
| Display | LCD screen | Phone |
| Interface | PC based via USB and SD card | iPhone 5 and above with iOS 9 or higher; Android 4.3 or higher |
| Measurement | Reflectance, absorbance, first derivative | Reflectance |
| Power | Four 3100 mAh lithium-ion battery (easy to replace rechargeable batteries) | Rechargeable internal lithium polymer battery |
| Battery life (Approximate number of measurements) | 1600 | <500 |
| Dimensions (mm) | 180.34 × 120.65 × 44.45 | 67.7 × 40.2 × 18.8 |
| Weight (g) | 1050 | 35 |
| Price (US$) | 8500 (Equipment and local training software) | 500 (Equipment) 2950 (Online scientific package) |
| Quality Attribute | Spectra | No. of LV | Calibration | Prediction | |||||||||||||
|---|---|---|---|---|---|---|---|---|---|---|---|---|---|---|---|---|---|
| R2 | RMSEC | RPD | R2 | RMSEP | RPD | Bias | |||||||||||
| F-750 | SCiO | F-750 | SCiO | F-750 | SCiO | F-750 | SCiO | F-750 | SCiO | F-750 | SCiO | F-750 | SCiO | F-750 | SCiO | ||
| DM (%) for Table Grapes | Original | 9 | 12 | 0.77 | 0.75 | 1.60 | 1.69 | 2.10 | 1.98 | 0.82 | 0.78 | 1.41 | 1.56 | 2.34 | 2.12 | −0.18 | −0.07 |
| SNV | 9 | 11 | 0.79 | 0.77 | 1.54 | 1.62 | 2.17 | 2.07 | 0.80 | 0.78 | 1.52 | 1.55 | 2.17 | 2.13 | −0.31 | −0.17 | |
| OSC | 9 | 11 | 0.79 | 0.75 | 1.55 | 1.66 | 2.17 | 2.02 | 0.83 | 0.81 | 1.40 | 1.44 | 2.35 | 2.29 | −0.27 | −0.09 | |
| FD | 9 | 11 | 0.47 | 0.41 | 2.45 | 2.58 | 1.37 | 1.30 | 0.52 | 0.58 | 4.11 | 2.26 | 0.80 | 1.46 | 0.88 | 0.23 | |
| SD | 9 | 11 | 0.77 | 0.76 | 1.61 | 1.64 | 2.09 | 2.05 | 0.82 | 0.80 | 1.43 | 1.47 | 2.32 | 2.25 | −0.21 | −0.13 | |
| SG | 9 | 11 | 0.76 | 0.74 | 1.63 | 1.70 | 2.06 | 1.98 | 0.82 | 0.81 | 1.40 | 1.45 | 2.35 | 2.27 | −0.16 | −0.16 | |
| DM (%) for Peach | Original | 8 | 12 | 0.60 | 0.61 | 2.02 | 1.99 | 1.58 | 1.60 | 0.72 | 0.58 | 2.32 | 1.89 | 1.24 | 1.53 | −0.30 | 0.23 |
| SNV | 8 | 9 | 0.64 | 0.58 | 1.90 | 2.05 | 1.68 | 1.56 | 0.15 | 0.63 | 3.59 | 1.78 | 0.80 | 1.61 | 0.50 | 0.33 | |
| OSC | 8 | 9 | 0.64 | 0.58 | 1.91 | 2.05 | 1.67 | 1.55 | 0.30 | 0.65 | 2.85 | 1.71 | 1.00 | 1.68 | 0.47 | 0.29 | |
| FD | 8 | 9 | 0.61 | 0.57 | 1.99 | 2.09 | 1.60 | 1.53 | 0.64 | 0.45 | 33.6 | 2.44 | 0.09 | 1.18 | 13.1 | 1.00 | |
| SD | 8 | 9 | 0.60 | 0.63 | 2.00 | 1.93 | 1.59 | 1.65 | 0.81 | 0.61 | 1.28 | 1.80 | 2.24 | 1.60 | 0.01 | 0.28 | |
| SG | 8 | 9 | 0.59 | 0.56 | 2.04 | 2.11 | 1.56 | 1.51 | 0.17 | 0.67 | 3.32 | 1.66 | 0.86 | 1.74 | 0.48 | 0.24 | |
| TSS (°Brix) for Table Grapes | Original | 20 | 15 | 0.98 | 0.95 | 0.50 | 0.71 | 6.41 | 4.54 | 0.97 | 0.96 | 0.53 | 0.72 | 5.99 | 4.41 | 0.02 | −0.04 |
| SNV | 19 | 14 | 0.99 | 0.97 | 0.36 | 0.55 | 8.96 | 5.87 | 0.98 | 0.97 | 0.39 | 0.58 | 8.03 | 5.43 | 0.00 | −0.01 | |
| OSC | 19 | 14 | 0.99 | 0.95 | 0.39 | 0.70 | 8.36 | 4.58 | 0.98 | 0.96 | 0.43 | 0.71 | 7.33 | 4.45 | −0.02 | −0.05 | |
| FD | 19 | 14 | 0.67 | 0.54 | 1.86 | 2.16 | 1.73 | 1.45 | 0.48 | 0.21 | 4.41 | 3.13 | 0.72 | 1.00 | 0.33 | 0.72 | |
| SD | 19 | 14 | 0.98 | 0.95 | 0.42 | 0.70 | 7.74 | 4.61 | 0.98 | 0.96 | 0.42 | 0.72 | 7.48 | 4.39 | 0.00 | −0.07 | |
| SG | 19 | 14 | 0.98 | 0.94 | 0.40 | 0.77 | 7.98 | 4.20 | 0.98 | 0.95 | 0.41 | 0.77 | 7.74 | 4.09 | −0.02 | −0.00 | |
| TSS (°Brix) for Peach | Original | 13 | 7 | 0.72 | 0.40 | 1.04 | 1.53 | 1.89 | 1.28 | 0.51 | 0.46 | 1.32 | 1.40 | 1.40 | 1.32 | 0.22 | 0.38 |
| SNV | 6 | 8 | 0.52 | 0.52 | 1.35 | 1.35 | 1.45 | 1.45 | 0.48 | 0.55 | 1.32 | 1.25 | 1.40 | 1.48 | 0.18 | 0.15 | |
| OSC | 6 | 8 | 0.53 | 0.53 | 1.35 | 1.35 | 1.46 | 1.46 | 0.52 | 0.49 | 1.29 | 1.30 | 1.43 | 1.42 | 0.24 | 0.02 | |
| FD | 6 | 8 | 0.44 | 0.51 | 1.47 | 1.38 | 1.34 | 1.43 | 0.62 | 0.74 | 1.19 | 5.22 | 1.55 | 0.35 | 0.31 | 0.05 | |
| SD | 6 | 8 | 0.53 | 0.55 | 1.33 | 1.31 | 1.47 | 1.50 | 0.49 | 0.52 | 1.32 | 1.28 | 1.40 | 1.45 | 0.22 | −0.04 | |
| SG | 6 | 8 | 0.19 | 0.50 | 1.36 | 1.38 | 1.11 | 1.42 | 0.07 | 0.51 | 1.45 | 1.29 | 1.02 | 1.43 | −0.32 | 0.08 | |
| Fruit | Meter | Constituents | Preprocessing | LV | RMSECV | X-Block | Y-Block |
|---|---|---|---|---|---|---|---|
| Table grapes | F-750 | DM | OSC | 9 | 1.736 | 99.99 | 78.66 |
| TSS | SNV | 7 | 0.584 | 100.00 | 97.16 | ||
| SCiO | DM | OSC | 11 | 1.871 | 100.00 | 75.46 | |
| TSS | SNV | 9 | 0.924 | 100.00 | 95.35 | ||
| Peach | F-750 | DM | SD | 8 | 2.294 | 100.00 | 60.10 |
| TSS | FD | 6 | 1.478 | 99.99 | 43.48 | ||
| SCiO | DM | SG | 9 | 2.656 | 100.00 | 55.71 | |
| TSS | SNV | 8 | 1.576 | 100.00 | 52.09 |
| Meter | Coefficient of Variation (%) | Overall Average | ||
|---|---|---|---|---|
| 0 °C | 10 °C | 20 °C | ||
| SCiO | 13.91 | 24.99 | 16.26 | 18.39 |
| F-750 | 0.41 | 0.13 | 0.15 | 0.23 |
© 2020 by the authors. Licensee MDPI, Basel, Switzerland. This article is an open access article distributed under the terms and conditions of the Creative Commons Attribution (CC BY) license (http://creativecommons.org/licenses/by/4.0/).
Share and Cite
Donis-González, I.R.; Valero, C.; Momin, M.A.; Kaur, A.; C. Slaughter, D. Performance Evaluation of Two Commercially Available Portable Spectrometers to Non-Invasively Determine Table Grape and Peach Quality Attributes. Agronomy 2020, 10, 148. https://doi.org/10.3390/agronomy10010148
Donis-González IR, Valero C, Momin MA, Kaur A, C. Slaughter D. Performance Evaluation of Two Commercially Available Portable Spectrometers to Non-Invasively Determine Table Grape and Peach Quality Attributes. Agronomy. 2020; 10(1):148. https://doi.org/10.3390/agronomy10010148
Chicago/Turabian StyleDonis-González, Irwin R., Constantino Valero, Md Abdul Momin, Amanjot Kaur, and David C. Slaughter. 2020. "Performance Evaluation of Two Commercially Available Portable Spectrometers to Non-Invasively Determine Table Grape and Peach Quality Attributes" Agronomy 10, no. 1: 148. https://doi.org/10.3390/agronomy10010148
APA StyleDonis-González, I. R., Valero, C., Momin, M. A., Kaur, A., & C. Slaughter, D. (2020). Performance Evaluation of Two Commercially Available Portable Spectrometers to Non-Invasively Determine Table Grape and Peach Quality Attributes. Agronomy, 10(1), 148. https://doi.org/10.3390/agronomy10010148

