Abstract
Salinity stress occurs due to the accumulation of high levels of salts in soil, which ultimately leads to the impairment of plant growth and crop loss. Stress tolerance-inducing compounds have a remarkable ability to improve growth and minimize the effects of salinity stress without negatively affecting the environment by controlling the physiological and molecular activities in plants. Two pot experiments were carried out in 2017 and 2018 to study the influence of salicylic acid (1 mM), yeast extract (6 g L−1), and proline (10 mM) on the physiological and biochemical parameters of sweet pepper plants under saline conditions (2000 and 4000 ppm). The results showed that salt stress led to decreasing the chlorophyll content, relative water content, and fruit yields, whereas electrolyte leakage, malondialdehyde (MDA), proline concentration, reactive oxygen species (ROS), and the activities of antioxidant enzymes increased in salt-stressed plants. The application of salicylic acid (1 mM), yeast extract (6 g L−1), and proline (10 mM) markedly improved the physiological characteristics and fruit yields of salt-stressed plants compared with untreated stressed plants. A significant reduction in electrolyte leakage, MDA, and ROS was also recorded for all treatments. In conclusion, our results reveal the important role of proline, SA, and yeast extracts in enhancing sweet pepper growth and tolerance to salinity stress via modulation of the physiological parameters and antioxidants machinery. Interestingly, proline proved to be the best treatment.
1. Introduction
Global food safety is seriously dependent on crops and their supplies, which require considerable increases for servicing the gap between production and demand [1]. The necessity of improving crop production has been much more emergent in the last few years due to the expanding population, which will exceed to 9.7 billion by 2050. Undoubtedly, increases in the population will exert pressure on crops and food resources [1]. Simultaneously, global warming, as well as various biotic and abiotic stresses, hinder the growth and yields of agricultural crops [2]. Among abiotic stresses, salinity is recognized as one of the main restricting factors affecting the growth and productivity of agricultural crops, especially in arid and semiarid regions [3]. Salinity stress causes a reduction in growth and biomass, chlorophyll degradation, water status modification, malfunctions in stomatal functions, modifications in transpiration and respiration, and disequilibria in ion ratios [4,5]. Furthermore, plants develop cytotoxic-activated oxygen under saline conditions, which might seriously interfere with healthy metabolisms as a result of the oxidative damage of lipids, proteins, and nucleic acids [6,7]. Salinization may additionally lead to the excessive intracellular generation of reactive oxygen species (ROS) such as hydroxyl radicals (OH) and superoxide radicals (O2−) [8]. Plants confront these sorts of oxidants by developing several defensive mechanisms, including antioxidant enzymes and molecules that eliminate potentially cytotoxic types of activated oxygen [9,10].
Sweet pepper (Capsicum annuum L.) is an important vegetable crop that is grown for local consumption, and which has a high economic value in the Egyptian agricultural market. Farmers started to utilize saline water to partially fulfil crop water demands. The pepper plant is not a salt-tolerant vegetable, and about 14% of fruit yield loss occurs as a result of each increase in salt level of 1.0 dS/m [11]. Previous investigations have been conducted to mitigate the harmful impact of salt stress on sweet pepper, but most have not been sufficient or broadly applicable. As a result, the search for cheaper, ecologically-friendly strategies for salinity amelioration which enhance the growth and productivity of sweet pepper has been very important to the agriculture sector [12].
Numerous studies have found that implementing exogenous chemicals improves salt stress tolerance in plants [13]; examples of such chemicals are phytohormones such as salicylic acid, sterols, and methyl jasmonate [2,14]. Other chemicals such as polyamines, melatonin, and sodium nitroprusside have also been used to enhance the tolerance of various crop plants to saline conditions [15].
Salicylic acid is an essential phenolic compound that regulates plant growth processes and responses to different environmental factors [16]. It is a stress tolerance inducer and an important signal in many physiological processes, such as proline metabolism and photosynthesis. It reduces oxidative stress in plants under environmental stress and enhances plant growth and productivity under salt- [17] and drought-stress conditions [18]. Foliar application of SA-enhanced growth characteristics of sweet pepper plants [6] has increased the chlorophyll concentrations and enzyme activitives in barley plants, as well as counteracting the deleterious impacts of salinity on faba beans [19]. Yeast extracts are the main source of various important compounds, such as amino acids, phytohormones, and vitamins [20,21]. The use of active yeast extracts has been shown to decrease the damaging impact of drought conditions on pea plants, and enhanced the growth performance and yield of stressed plants [22]. Yeast extract applications have led to improvements in the growth characteristics of bean and corn plants, such as the dry weight of leaves, the leaf area, and the number of leaves under drought conditions [23]. The application of yeast and NPK fertilizers has significantly enhanced chlorophyll concentrations and root yields in sugar beet plants [22]. Seaweed extracts have also improved plant tolerance to abiotic stresses. For example, the application of Ecklonia maxima seaweed extract has been shown to enhance the tolerance of zucchini squash plants to salinity stress by improving plant performance, shoot biomass yield, fruit quality, leaf gas exchange rate, SPAD index, and leaf nutritional status under saline conditions [24]. Furthermore, proline has a positive impact on the activity of enzymes and osmotic adjustment under stress conditions, while protecting enzyme denaturation and modulating osmoregulation [25]. The application of proline-modulated antioxidant enzymes such as peroxidase (POX) and catalase (CAT) in tobacco plants under salinity conditions plays a significant role in protein synthesis and accumulation in plants under stress conditions like drought and salinity in order to enhance the growth characteristics and yield [26,27,28,29,30].
Considering the variable effectiveness levels of salicylic acid, proline, and yeast extract on plants, as well as the harmful impact of salinity stress on the growth and productivity of important crops, the present study aims to evaluate and compare the levels of effectiveness of the three stress tolerance inducers, i.e., salicylic acid (1 mM), yeast extract (6 g L−1), and proline (10 mM), on the growth characteristics, antioxidants, physiological and biochemical parameters, and yield of sweet pepper plants (Capsicum annuum L.) grown under the same saline conditions in order to determine which stress tolerance inducer should be recommended for further enhancements of crop performance and tolerance.
2. Materials and Methods
2.1. Experiments Design and Treatments
Pot experiments were performed at Agricultural Botany Department, Faculty of Agriculture, Kafrelsheikh University, Egypt during the growing seasons of 2017 and 2018. Laboratory analyses were carried out at the Plant Pathology & Biotechnology Lab, and the EPECRS Excellence Center Kafrelsheikh University, Egypt. This research was conducted to study the impacts of salicylic acid (1 mM), yeast extract (6 g L−1), and proline (10 mM) on the growth characteristics and biochemical and yield parameters of salt-stressed sweet pepper plants (Capsicum annuum L.). Irrigation water was artificially salinized by applying NaCl at concentrations of 2000 and 4000 ppm. The seeds of sweet pepper cv. California Wonder were obtained from Sun Seed Company in USA. Ten seeds were sown in the nursery using foam trays. Forty-two days after sowing, seedlings were transplanted into pots (30 cm diameter); each pot contained 8 kg soil and 2 plants. The physical and chemical soil characteristics were recorded, according to the methods described by Abdelaal et al. [21], as follows. pH: 8.2; N: 32.4 ppm; P: 10.5 ppm; K: 289 ppm; electrical conductivity: 1.8 dS m−1, soil organic matter: 1.9%; sand: 17.3%; silt: 35.5%; and clay: 47.2%. Fertilizers were added in two equal doses as recommended (NPK, 135:40:35 kg/ha), plus essential micronutrients, whereas the first dose was added 15 days after transplanting and the second at the beginning of flowering stage [31]. The plants were treated twice (20 and 40 days after transplanting) with salicylic acid (1 mM), yeast (6 g L−1) and proline (10 mM). The experiment was done in a completely randomized design with five replicates (five pots with two plants each), and the following measurements were recorded after collecting the plant samples.
2.2. Physiological and Biochemical Analysis
For physiological and biochemical analyses, the samples were collected at 90 days after transplantation for use in the following assays.
2.2.1. Chlorophyll a and b Determination
For chlorophyll a and b determination, 5 mL N-N Dimethyl formamid was added to 1 g sweet pepper fresh leaves and placed in a refrigerator for 24 h. Following the centrifugation at 4000 g for 15 min, the optical density was calculated using spectrophotometer at 647 and 664 nm, according to Moran [32].
2.2.2. Calculation of Leaves Relative Water Content (RWC %) and Electrolyte Leakage (EL %)
The relative water content (RWC) in leaves was recorded according to the formula of Sanchez et al. [33] as follows: RWC = (FW − DW)/ (TW − DW) × 100, where FW is fresh weight, DW is dry weight, and TW is turgid weight. Electrolyte leakage (EL %) was estimated using the formula of Dionisio-Sese and Tobita [34] as follows: EL (%) = Initial electrical conductivity/final electrical conductivity × 100.
2.2.3. Proline Content Determination
Proline was assayed according to the method described by Bates et al. [35] with minor modifications. In brief, a plant sample (0.6 g) was extracted in sulfosalicylic acid (5%) followed by centrifugation at 10000 g for 7 min. The supernatants were diluted with water, mixed with 2% ninhydrin, heated at 94 °C for 30 min, and then cooled. Toluene was then added to the mixture, and the upper aqueous phase was spectrophotometrically assayed at 520 nm.
2.2.4. Calculation of Lipid Peroxidation and Reactive Oxygen Species (Superoxide and Hydrogen Peroxide)
The lipid peroxidation as malondialdehyde (MDA) in plant samples was calculated according to the method described by Heath and Packer [36] with minor modifications. In brief, 0.6 g of plant sample was extracted in TCA (0.1%), followed by centrifugation at 13,000 g for 8 min. The supernatants were mixed with thiobarbituric acid (0.5%) and TCA, and heated at 92 °C for 35 min, followed by cooling and centrifugation at 12,000 g for 8 min. Next, the supernatants’ absorbance was measured at 532 and 660 nm. Superoxide and hydrogen peroxide levels were also determined according to the method described by Badiani et al. [37].
2.2.5. Antioxidant Enzymes Activity (CAT and POX)
Plant samples (1.5 g) were extracted in Tris-HCl (100 mM, pH 7.5) containing Dithiothreitol (5 mM), MgCl2 (10 mM), EDTA (1 mM), magnesium acetate (5 mm), PVP-40 (1.6%), aphenylmethanesulfonyl fluoride (1 mM), and aproptinin (1 μg mL−1). The mixed solutions were filtered and centrifuged for 8 min at 13,000 rpm. The supernatants were utilized to record enzymes activities. The activity of CAT and POX of leafy samples was determined according to the method described by Aebi [38] and Hammerschmidt et al. [39]. The supernatant absorbance was shown spectrophotometrically to be 470 nm.
2.2.6. Fruit yields
At 120 days after transplanting, the number of fruits per plant, the fruit fresh weight per plant (g), and the total fruit yield (ton hectare−1) were recorded.
2.3. Statistical Analysis
Data represent the mean ± SD (standard deviation). Two-way analysis of variance was performed using SPSS ver. 19 (SPSS Inc., Chicago, IL, USA). A Tukey’s test was also carried out to determine whether a significant difference (p < 0.05) existed between mean values.
3. Results
3.1. Chlorophyll a and b Concentrations
According to our results in Figure 1, the concentrations of chlorophyll a and b were significantly decreased in sweet pepper plants under salt-stress conditions; the lowest values were recorded with 4000 ppm compared with 2000 ppm and control plants in the two growing seasons. However, the salt stressed plants treated with salicylic acid, yeast extract, and proline showed significant increases in chlorophyll a and chlorophyll b concentrations compared with stressed untreated plants in both seasons. Under salt stresses of 2000 and 4000 ppm, the maximum concentrations of chlorophyll a and b were recorded with proline treatment in both seasons.
Figure 1.
Effect of salinity stress (2000 and 4000 ppm NaCl) and supplementation of SA, yeast, and proline on the contents of (A) chlorophyll a, (B) chlorophyll b, (C) relative water content (RWC) in sweet pepper in the seasons of 2017 and 2018. Data is mean (±SE) of five replicates. Different letters in each Figure represent significant differences at p < 0.05.
3.2. Relative Water Content (RWC %)
Data obtained in Figure 1 showed that RWC decreased considerably in salt stressed plants; the greatest reduction was recorded in the plants exposed to salinity at 4000 ppm compared with control plants. The exogenous application of salicylic acid (1 mM), yeast (6 g L−1), and proline (10 mM) caused a significant increase in RWC in salt stressed plants (2000 and 4000 ppm) compared with salt stressed untreated plants. Furthermore, the best treatments under salinity of 2000 ppm were salicylic acid and proline. Under salt treatment at 4000 ppm, the application of yeast extract (6 g L−1) and proline (10 mM) showed the highest RWC in sweet pepper plants compared with SA treatment in stressed untreated plants in both seasons.
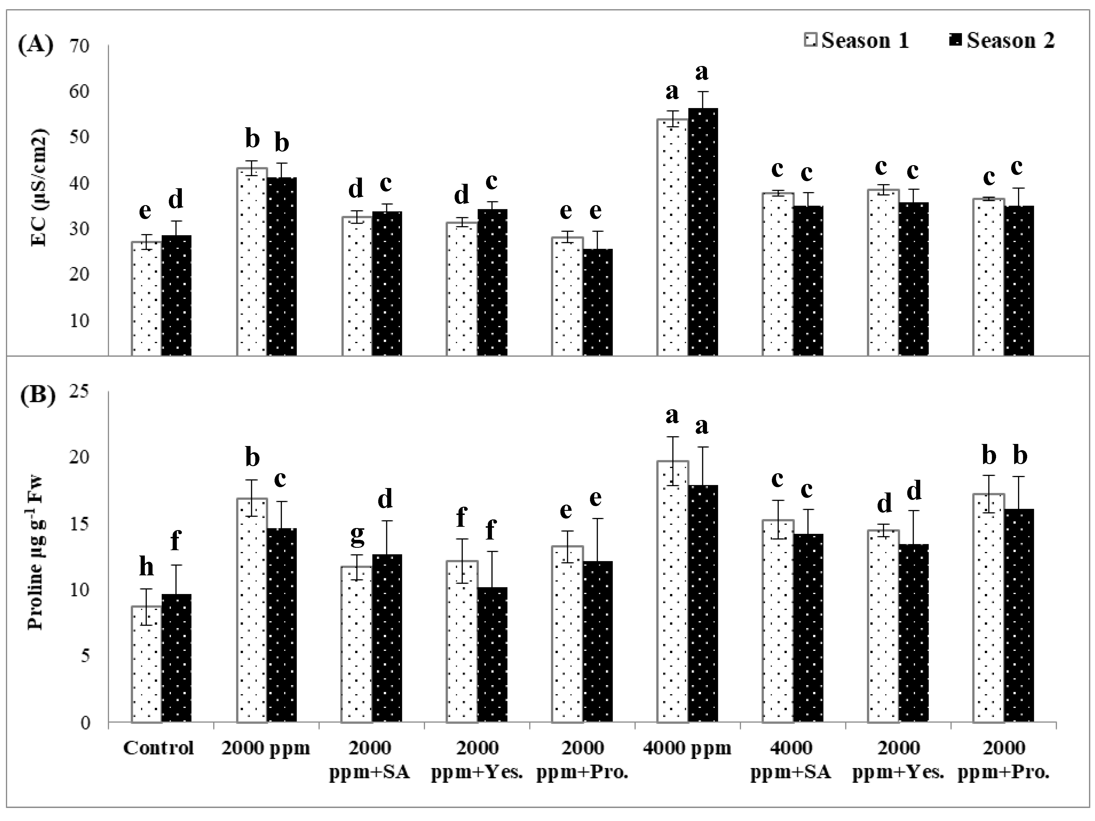
3.3. Electrolyte Leakage (EL %)
It may be noted from Figure 2 that salt stress at 2000 and 4000 ppm caused a significant increase in electrolyte leakage (EL); the maximum increase was recorded with a salinity level of 4000 ppm in both seasons. Interestingly, electrolyte leakage was significantly decreased upon the foliar application of salicylic acid (1 mM), yeast extract (6 g L−1), and proline (10 mM) compared with control plants in both seasons. The best treatment was proline under a salt stress of 2000 ppm in both seasons (Figure 2).
Figure 2.
Effect of salinity stress (2000 and 4000 ppm NaCl) and supplementation of SA, yeast, and proline on the contents of (A) electrolyte leakage, (B) proline in sweet pepper in the seasons of 2017 and 2018. Data is mean (±SE) of five replicates. Different letters in each Figure represent significant differences at p < 0.05.
3.4. Proline Concentration
It is evident that proline had markedly accumulated in sweet pepper plants; the highest concentration was recorded with a salinity at 4000 ppm in comparison to the control plants (Figure 2). Intriguingly, the application of salicylic acid, yeast extract, and proline resulted in enhanced proline concentration under all salinity levels; the greatest result was observed with proline (10 mM).
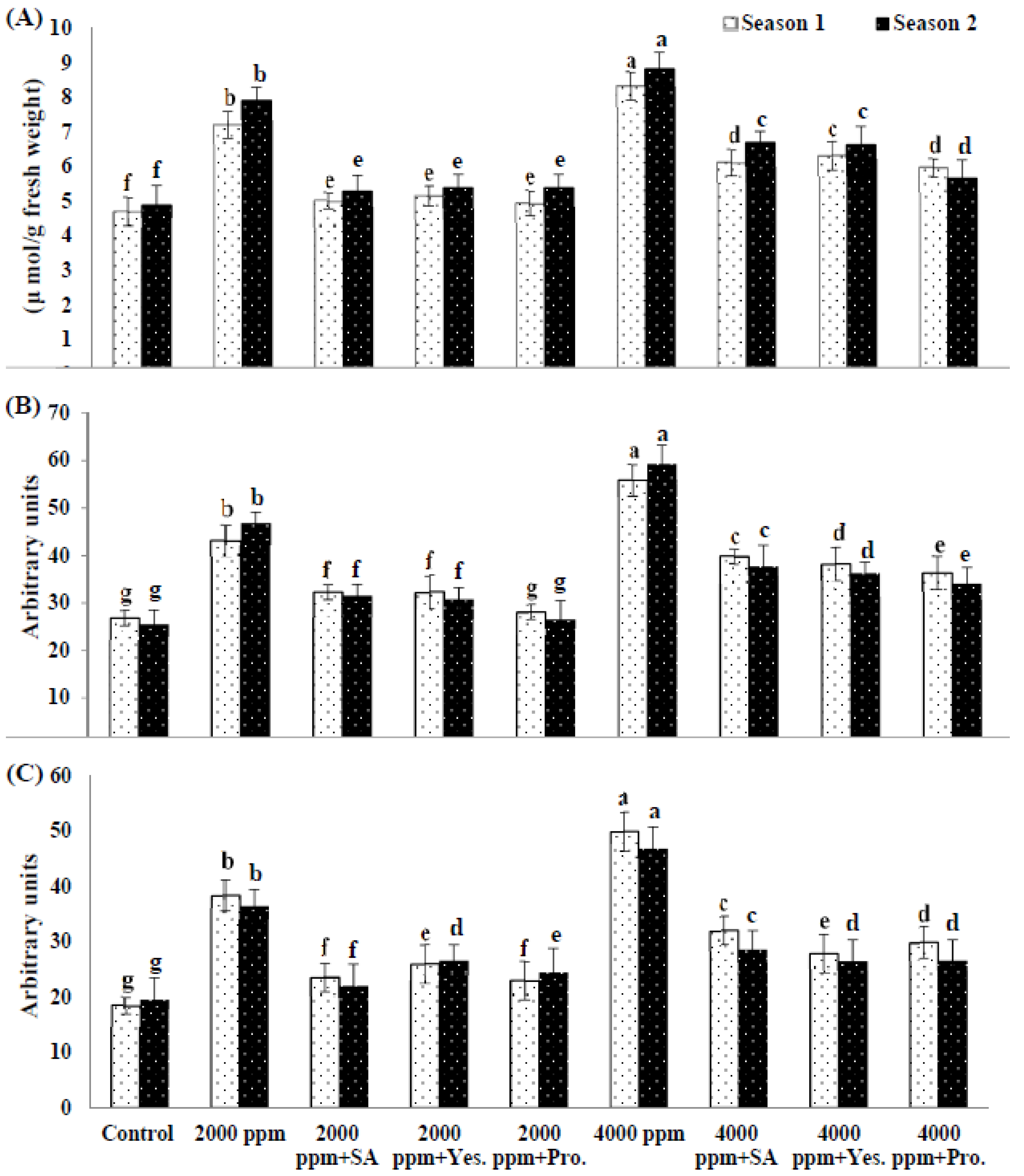
3.5. Lipid Peroxidation (MDA) and Reactive Oxygen Species (Superoxide and Hydrogen Peroxide).
The results showed that lipid peroxidation (i.e., malondialdehyde or MDA), superoxide, and hydrogen peroxide were significantly increased under salt conditions compared with control plants in both seasons (Figure 3). The maximum levels of MDA, superoxide, and hydrogen peroxide were recorded at a salinity level of 4000 ppm, followed by 2000 ppm, in both seasons. On the other hand, the application of salicylic acid, yeast extract, and proline significantly reduced MDA, O2−, and H2O2 concentrations under all salinity levels compared to the stressed untreated plants. The best results were obtained with SA and proline.
Figure 3.
Effect of salinity stress (2000 and 4000 ppm NaCl) and supplementation of SA, yeast, and proline on the contents of (A) lipid peroxidation, (B) superoxide, (C) hydrogen peroxide in sweet pepper in the seasons of 2017 and 2018. Data is mean (±SE) of five replicates. Different letters in each Figure represent significant differences at p < 0.05.
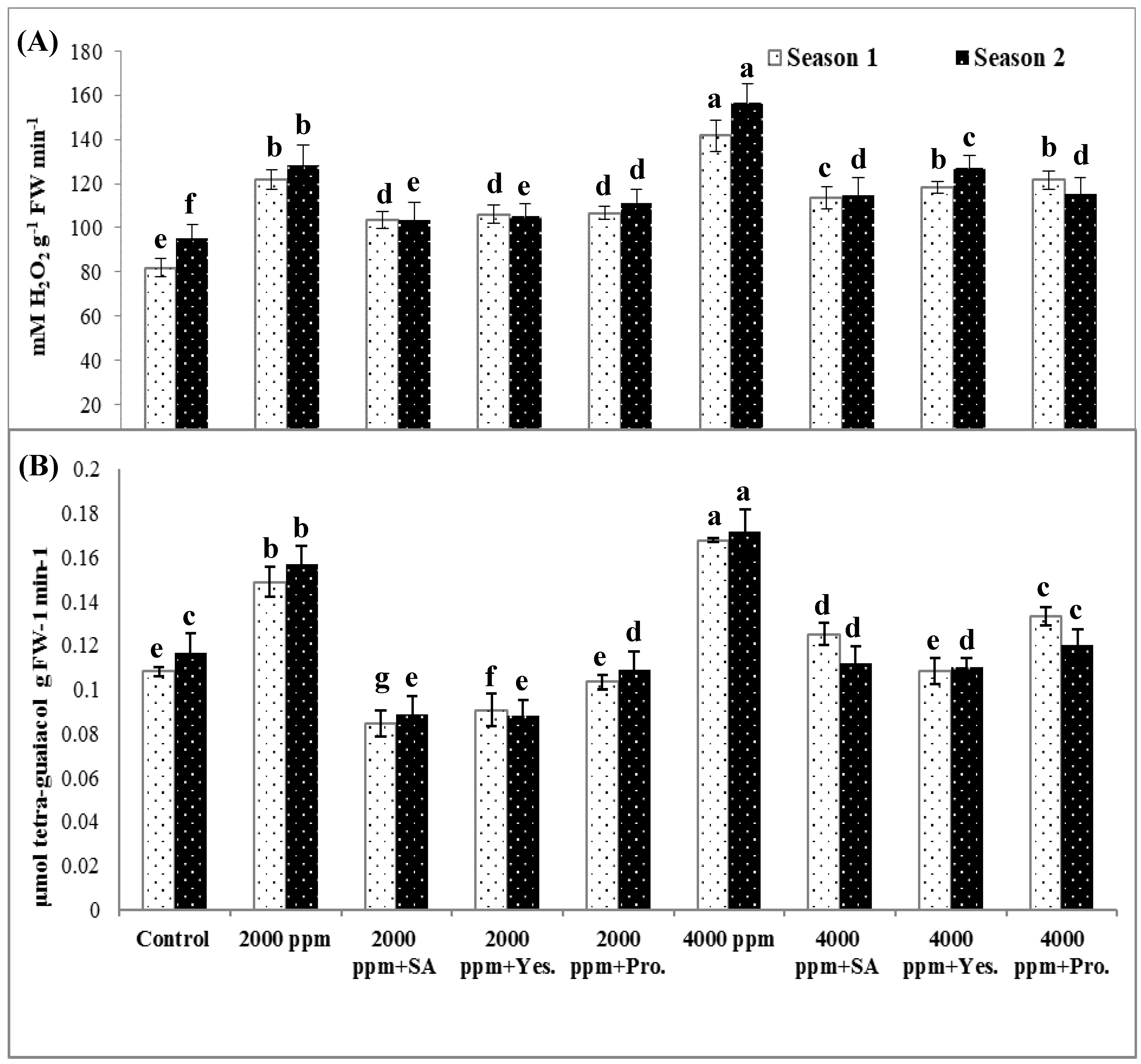
3.6. Antioxidant Enzymes Activity
Antioxidant enzyme activities (CAT and POX) were assayed. The data presented in Figure 4 shows that the plants exposed to salt stress (2000 and 4000 ppm) had higher CAT and POX activity compared with control plants in both seasons. On the other hand, applications of salicylic acid (1 mM), yeast extract (6 g L−1), and proline (10 mM) led to reductions in the activities of CAT and POX in the salt-stressed plants.
Figure 4.
Effect of salinity stress (2000 and 4000 ppm NaCl) and supplementation of SA, yeast, and proline on the activity of (A) Catalase (CAT), (B) peroxides (POX) in sweet pepper in the seasons of 2017 and 2018. Data is mean (±SE) of five replicates. Different letters in each Figure represent significant differences at p < 0.05.
3.7. Number of Fruits per Plant, Fruit Fresh Weight, and Total Fruit Yield (Ton Hectare−1).
According to our findings in Figure 5, salt stress at 2000 and 4000 ppm caused significant decreases in fruit number per plant, fruit fresh weight, and the total fruit yield (ton hectare−1) in both seasons. The lowest values of these traits were recorded with salt stressed plants at 4000 ppm concentration, followed by 2000 ppm. Nevertheless, the exogenous application of salicylic acid, yeast, and proline significantly improved the number of fruits per plant, fruit fresh weight, and total fruit yield (ton hectare−1) in the stressed treated plants compared with stressed untreated plants.
Figure 5.
Effect of salinity stress (2000 and 4000 ppm NaCl) and supplementation of SA, yeast, and proline on (A) number of fruits plant−1, (B) fresh weight plant−1, (C) total fruit yield (ton hectare−1) in sweet pepper in the seasons of 2017 and 2018. Data is mean (±SE) of five replicates. Different letters in each Figure represent significant differences at p < 0.05.
Interestingly, SA and proline treatments gave the maximum values of the three studied characteristics at a salinity concentration of 2000 ppm in the two seasons (Figure 5). Under salinity stress of 4000 ppm, the best results of fruit number per plant, fruit fresh weight, and total fruit yield (ton hectare−1) were recorded with proline, followed by SA and yeast extract in both seasons.
4. Discussion
The exogenous application of salicylic acid, proline, and yeast extract previously exhibited variable effectiveness levels on plant performance and tolerance to the harmful impact of salinity stress; therefore, the present study assessed and compared the effectiveness levels of these stress tolerance inducers on the growth characteristics, antioxidant levels, physiological and biochemical parameters, and yield of sweet pepper plants (Capsicum annuum L.) grown under the same saline conditions in order to determine which stress tolerance inducer should be recommended for the enhancement of crop performance and tolerance. In the present study, salt stress significantly decreased the aforementioned physiological parameters of sweet pepper plants. This reduction in chlorophyll a and b concentrations could be due to the effect of salinity on chlorophyll-degrading enzyme (chlorophyllase) activity, which reduces the chlorophyll synthesis level or negatively affects the structure and number of chloroplasts [40,41,42]. The chloroplast is one of the most vital organelles for photosynthesis and plant production, and is dramatically affected by abiotic stresses [43,44]. The obtained results indicated that foliar applications of SA (1 mM), yeast extract (6 g L−1), and proline (10 mM) led to increased chlorophyll a and b contents in salt-stressed plants. These findings are in harmony with those obtained by Saleh et al. [25], Abdelaal et al. [21], and Soliman et al. [2]. These results might be due to the antioxidant scavenging influence of SA on chlorophyll degradation under saline conditions [45,46]. Correspondingly, the role of yeast extract in chlorophyll concentration enhancement might be due to the fact that yeast is rich in many essential elements, vitamins, and amino acids, which improve chlorophyll concentrations under stress conditions [21]. Moreover, our results showed that proline application minimized the harmful effects of all salinity levels on chlorophyll a and b concentrations due to its ability to function as a scavenger for ROS. Thus, proline plays a pivotal role in enzyme activation and protects chlorophyll from degradation under salt-stress conditions [47,48].
Additionally, relative water content (RWC) was decreased under salt stress. This decrease may be due to the reduction in water uptake [49] and/or its harmful effect on cell wall structure [50,51]. In contrast, RWC was significantly increased in stressed plants treated with SA, yeast, and proline. The ameliorative effects of these treatments on RWC could be due to the increase in osmoregulators, as well as to osmotic adjustment in plant cells [23,52,53].
Salt stress causes adverse effects on sweet pepper plants, including increased electrolyte leakage percentage. This increase may be due to the damaging effects on plasma membrane and selective permeability resulting in an increase in electrolyte leakage. This result is similar to that obtained in [54,55]. Conversely, the foliar application of SA, yeast, and proline led to decreased electrolyte leakage levels in all treatments. This beneficial effect could be due to the protective role of SA, yeast, and proline in plasma membrane stability and increasing soluble metabolite accumulation. A similar result was indicated by Ishikawa and Evans [56] and Huang et al. [57], who reported that osmoregulators improve plant growth and yield under various stress conditions.
Proline concentration was significantly increased in response to salt-stress conditions. This increment represents an important mechanism to minimize the deleterious impact of salinity stress and enhance plant growth [58]. The foliar application of SA, yeast, and proline under salt conditions may minimize the destructive effect of salinity on plant growth and improve proline accumulation. Similarly, SA application led to improved plant growth characteristics in maize plants under salt conditions [59]. Our results are in agreement with those of Huang et al. [60], Li et al. [61], and Gharsallah et al. [62]. Lipid peroxidation as MDA is an important factors indicating oxidative damage induced by salt stress. Lipid peroxidation was significantly boosted in salt-stressed (2000 and 4000 ppm) sweet pepper plants. Nonetheless, lipid peroxidation content was significantly decreased upon the foliar application of SA, yeast, and proline. These results may be attributed to the pivotal role of these treatments in decreasing oxidative stress damage, and consequently, in causing MDA reduction [25,48,53].
In the current study, superoxide and hydrogen peroxide, which are indicators of oxidative stress, were significantly produced in sweet pepper plants treated with NaCl at 2000 and 4000 ppm. This increase in superoxide and hydrogen peroxide production may be due to the fact that reactive oxygen species have a critical role under stress conditions in adjusting development, differentiation, redox levels, and stress signaling in the chloroplasts, mitochondria, and peroxisomes of plant cells [63,64]. Moreover, the high levels of hydrogen peroxide and superoxide are the main reasons for oxidative stress in the plant cells exposed to various stresses. Our results are supported by the findings of previous studies [65,66,67]. The application of SA, yeast, and proline on salt-stressed sweet pepper plants led to reductions in the formation of superoxide and hydrogen peroxide. This effect may be due to the role of these treatments in stabilizing protein structures and maintaining the redox states of plant cells, as well as stimulating antioxidant enzymes system [6,21,48]. Under salt stress (2000 and 4000 ppm), antioxidant enzyme activities were significantly increased in sweet pepper plants in order to combat the harmful impact of salt by adjusting osmotic balance. In agreement with our findings, similar results were noted in various plants under saline and drought conditions [68,69]. The activation of CAT and POX enzymes under salt conditions plays a key role in the improvement of plant defense systems. In the current study, the exogenous foliar application of SA, yeast, and proline led to improved antioxidant enzymes activity, as well as guarding the plant cells against oxidative stress and dehydration of the plasma membrane under salt-stress conditions. These results were supported by the findings reported in various plants [70,71,72].
The reductions of fruit numbers per plant, fruit fresh weight, and total fruit yield (ton hectare−1) under salt conditions are possibly due to the adverse impacts of salinity on the growth characteristics and physiological processes such as water uptake, photosynthesis, flowering, and fruit formation, which led to diminished yields. Accordingly, the highest level of salt (4000 ppm) was adversely more effective than the lowest one (2000 ppm). The same trends of salt stress were previously described in faba bean [73] and strawberry plants [74]. Our results indicate that proline treatment was the best, followed by SA and yeast treatments. This useful effect of proline may be due to its pivotal role in osmotic regulation, enzyme activation, and protein synthesis, which consequently enhances the growth and yield characteristics of stressed plants [47,75,76]. Also, SA plays an essential role as a stress tolerance inducer via reducing the oxidative damage and enhancing plant productivity under salt stress. These results are in harmony with previous findings of Gupta and Huang [77], Ahanger et al. [78], and Husen et al. [79].
5. Conclusions
According to our findings, salt stress caused significant decreases in chlorophyll concentrations, relative water content, and fruit yields. However, lipid peroxidation, proline, electrolyte leakage, and reactive oxygen species were increased. Based on the results, the foliar application of salicylic acid (1 mM), yeast extract (6 g L−1), and proline (10 mM) was an effective method by which to overcome the injurious effects of salt stress on sweet pepper plants. It may be concluded that relative water content and chlorophyll concentration, as well as antioxidant enzyme activity, were significantly modulated in the stressed treated sweet pepper plants. In contrast, electrolyte leakage and lipid peroxidation were decreased in treated sweet pepper plants under salt conditions. Thus, the application of salicylic acid, yeast, and proline led to a decrease in the harmful effects of salt stress by regulating osmolytes and antioxidants, which ultimately enhances the growth characteristics and fruit yields of sweet pepper plants. Interestingly, proline proved to be the best treatment for the further enhancement of plant performance and tolerance to salinity stress.
Author Contributions
K.A.A., L.M.E.-M., H.E., Y.M.H., E.I.I., M.E.-B., M.E.-E. and A.E. performed the experiments, analyzed the data, and wrote the manuscript. All authors have read and agreed to the published version of the manuscript.
Funding
This work was funded by king Saud University funding through Researchers Supporting Project number (RSP-2019/118).
Acknowledgments
The authors extend their appreciation to king Saud University funding through Researchers Supporting Project number (RSP-2019/118) and also to all members of PPBL and EPCRS excellence center, Fac. of Agric., Kafrelsheikh University.
Conflicts of Interest
The authors have declared no conflict of interest.
References
- Majeed, A.; Muhammad, Z. Salinity: A Major Agricultural Problem—Causes, Impacts on Crop Productivity and Management Strategies. In Plant Abiotic Stress Tolerance; Hasanuzzaman, M., Hakeem, K.R., Nahar, K., Alharby, H.F., Eds.; Springer International Publishing: Cham, Switzerland, 2019; pp. 83–99. ISBN 978-3-030-06117-3. [Google Scholar]
- Soliman, M.H.; Alayafi, A.A.M.; El Kelish, A.A.; Abu-Elsaoud, A.M. Acetylsalicylic acid enhance tolerance of Phaseolus vulgaris L. to chilling stress, improving photosynthesis, antioxidants and expression of cold stress responsive genes. Bot. Stud. 2018, 59, 6. [Google Scholar] [CrossRef] [PubMed]
- Elkeilsh, A.; Awad, Y.M.; Soliman, M.H.; Abu-Elsaoud, A.; Abdelhamid, M.T.; El-Metwally, I.M. Exogenous application of β-sitosterol mediated growth and yield improvement in water-stressed wheat (Triticum aestivum) involves up-regulated antioxidant system. J. Plant Res. 2019, 132, 881–901. [Google Scholar] [CrossRef] [PubMed]
- Hasan, M.K.; El Sabagh, A.; Sikdar, M.S.; Alam, M.J.; Ratnasekera, D.; Barutcular, C.; Abdelaal, K.A.; Islam, M.S. Comparative adaptable agronomic traits of blackgram and mungbean for saline lands. Plant Arch. 2017, 17, 589–593. [Google Scholar]
- El-Esawi, M.A.; Alayafi, A.A. Overexpression of Rice Rab7 Gene Improves Drought and Heat Tolerance and Increases Grain Yield in Rice (Oryza sativa L.). Genes (Basel) 2019, 10, 56. [Google Scholar] [CrossRef]
- Abdelaal, K.A. Effect of salicylic acid and abscisic acid on morpho-physiological and anatomical characters of faba bean plants (Vicia faba L.) under drought stress. J. Plant Prod. 2015, 6, 1771–1788. [Google Scholar] [CrossRef]
- Elkelish, A.A.; Alnusaire, T.S.; Soliman, M.H.; Gowayed, S.; Senousy, H.H.; Fahad, S. Calcium availability regulates antioxidant system, physio-biochemical activities and alleviates salinity stress mediated oxidative damage in soybean seedlings. J. Appl. Bot. Food Qual. 2019, 92, 258–266. [Google Scholar]
- Al Hassan, M.; Chaura, J.; Donat-Torres, M.P.; Boscaiu, M.; Vicente, O. Antioxidant responses under salinity and drought in three closely related wild monocots with different ecological optima. AoB Plants 2017, 9. [Google Scholar] [CrossRef]
- Al Mahmud, J.; Bhuyan, M.H.M.B.; Anee, T.I.; Nahar, K.; Fujita, M.; Hasanuzzaman, M. Reactive Oxygen Species Metabolism and Antioxidant Defense in Plants Under Metal/Metalloid Stress. In Plant Abiotic Stress Tolerance; Hasanuzzaman, M., Hakeem, K.R., Nahar, K., Alharby, H.F., Eds.; Springer International Publishing: Cham, Switzerland, 2019; pp. 221–257. ISBN 978-3-030-06117-3. [Google Scholar]
- Elansary, H.O.; Szopa, A.; Kubica, P.; Ekiert, H.; Ali, H.M.; Elshikh, M.S.; Abdel-Salam, E.M.; El-Esawi, M.; El-Ansary, D.O. Bioactivities of traditional medicinal plants in Alexandria. Evid.-Based. Complement. Altern. Med. 2018, 2018. [Google Scholar] [CrossRef]
- El-Hifny, I.M.; El-Sayed, M.A. Response of Sweet Pepper plant Growth and Productivity to Application of Ascorbic Acid and Biofertilizers under Saline Conditions. Aust. J. Basic Appl. Sci. 2011, 5, 1273–1283. [Google Scholar]
- Hernández, J.A. Salinity Tolerance in Plants: Trends and Perspectives. Int. J. Mol. Sci. 2019, 20, 2408. [Google Scholar] [CrossRef]
- Nguyen, H.M.; Sako, K.; Matsui, A.; Suzuki, Y.; Mostofa, M.G.; Ha, C.V.; Tanaka, M.; Tran, L.-S.P.; Habu, Y.; Seki, M. Ethanol Enhances High-Salinity Stress Tolerance by Detoxifying Reactive Oxygen Species in Arabidopsis thaliana and Rice. Front. Plant Sci. 2017, 8. [Google Scholar] [CrossRef] [PubMed]
- Yoon, J.Y.; Hamayun, M.; Lee, S.-K.; Lee, I.-J. Methyl jasmonate alleviated salinity stress in soybean. J. Crop. Sci. Biotechnol. 2009, 12, 63–68. [Google Scholar] [CrossRef]
- Savvides, A.; Ali, S.; Tester, M.; Fotopoulos, V. Chemical Priming of Plants Against Multiple Abiotic Stresses: Mission Possible? Trends Plant Sci. 2016, 21, 329–340. [Google Scholar] [CrossRef]
- An, C.; Mou, Z. Salicylic Acid and its Function in Plant ImmunityF. J. Integr. Plant Biol. 2011, 53, 412–428. [Google Scholar] [CrossRef] [PubMed]
- Rao, S.; Du, C.; Li, A.; Xia, X.; Yin, W.; Chen, J. Salicylic Acid Alleviated Salt Damage of Populus euphratica: A Physiological and Transcriptomic Analysis. Forests 2019, 10, 423. [Google Scholar] [CrossRef]
- Brito, C.; Dinis, L.-T.; Moutinho-Pereira, J.; Correia, C.M. Drought Stress Effects and Olive Tree Acclimation under a Changing Climate. Plants 2019, 8, 232. [Google Scholar] [CrossRef]
- Hernández-Ruiz, J.; Arnao, M. Relationship of Melatonin and Salicylic Acid in Biotic/Abiotic Plant Stress Responses. Agronomy 2018, 8, 33. [Google Scholar] [CrossRef]
- Barnett, J.A.; Yarrow, D.; Payne, R.W.; Barnett, L. Yeasts: Characteristics and Identification, 3rd ed.; Cambridge University Press: Cambridge, UK; New York, NY, USA, 2000; ISBN 978-0-521-57396-2. [Google Scholar]
- Abdelaal, K.A.; Hafez, Y.M.; El Sabagh, A.; Saneoka, H. Ameliorative effects of Abscisic acid and yeast on morpho-physiological and yield characteristics of maize plant (Zea mays L.) under water deficit conditions. Fresenius Environ. Bull. 2017, 26, 7372–7383. [Google Scholar]
- Xi, Q.; Lai, W.; Cui, Y.; Wu, H.; Zhao, T. Effect of Yeast Extract on Seedling Growth Promotion and Soil Improvement in Afforestation in a Semiarid Chestnut Soil Area. Forests 2019, 10, 76. [Google Scholar] [CrossRef]
- Kasim, W.; AboKassem, E.; Ragab, G. Ameliorative effect of Yeast Extract, IAA and Green-synthesized Nano Zinc Oxide on the Growth of Cu-stressed Vicia faba Seedlings. Egypt. J. Bot. 2017, 57, 1–16. [Google Scholar] [CrossRef]
- Rouphael, Y.; De Micco, V.; Arena, C.; Raimondi, G.; Colla, G.; Pascale, S. Effect of Ecklonia maxima seaweed extract on yield, mineral composition, gas exchange, and leaf anatomy of zucchini squash grown under saline conditions. J. Appl. Phycol. 2017, 29, 459–470. [Google Scholar] [CrossRef]
- Saleh, A.A.H.; Abu-Elsaoud, A.M.; Elkelish, A.A.; Sahadad, M.A.; Abdelrazek, E.M. Role of External Proline on Enhancing Defence Mechanisms of Vicia Faba L. Against Ultraviolet Radiation. Am.-Eurasian J. Sustain. Agric. 2015, 9, 13. [Google Scholar]
- Ali, Q.; Anwar, F.; Ashraf, M.; Saari, N.; Perveen, R. Ameliorating effects of exogenously applied proline on seed composition, seed oil quality and oil antioxidant activity of maize (Zea mays L.) under drought stress. Int. J. Mol. Sci. 2013, 14, 818–835. [Google Scholar] [CrossRef] [PubMed]
- Hasanuzzaman, M.; Alam, M.M.; Rahman, A.; Hasanuzzaman, M.; Nahar, K.; Fujita, M. Exogenous Proline and Glycine Betaine Mediated Upregulation of Antioxidant Defense and Glyoxalase Systems Provides Better Protection against Salt-Induced Oxidative Stress in Two Rice (Oryza sativa L.) Varieties. BioMed Res. Int. 2014, 2014. [Google Scholar] [CrossRef]
- El-Amier, Y.; Elhindi, K.; El-Hendawy, S.; Al-Rashed, S.; Abd-ElGawad, A. Antioxidant System and Biomolecules Alteration in Pisum sativum under Heavy Metal Stress and Possible Alleviation by 5-Aminolevulinic Acid. Molecules 2019, 24, 4194. [Google Scholar] [CrossRef] [PubMed]
- Qadeer, U.; Ahmed, M.; Hassan, F.; Akmal, M. Impact of Nitrogen Addition on Physiological, Crop Total Nitrogen, Efficiencies and Agronomic Traits of the Wheat Crop under Rainfed Conditions. Sustainability 2019, 11, 6486. [Google Scholar] [CrossRef]
- Kaundun, S.S.; Jackson, L.V.; Hutchings, S.-J.; Galloway, J.; Marchegiani, E.; Howell, A.; Carlin, R.; Mcindoe, E.; Tuesca, D.; Moreno, R. Evolution of Target-Site Resistance to Glyphosate in an Amaranthus palmeri Population from Argentina and Its Expression at Different Plant Growth Temperatures. Plants 2019, 8, 512. [Google Scholar] [CrossRef]
- Abdelaal, K.A. Pivotal Role of Bio and Mineral Fertilizer Combinations on Morphological, Anatomical and Yield Characters of Sugar Beet Plant (Beta vulgaris L.). Middle East. J. Agric. 2015, 4, 717–734. [Google Scholar]
- Moran, R. Formulae for Determination of Chlorophyllous Pigments Extracted with N,N-Dimethylformamide 1. Plant Physiol. 1982, 69, 1376–1381. [Google Scholar] [CrossRef]
- Sánchez, F.J.; de Andrés, E.F.; Tenorio, J.L.; Ayerbe, L. Growth of epicotyls, turgor maintenance and osmotic adjustment in pea plants (Pisum sativum L.) subjected to water stress. Field Crop. Res. 2004, 86, 81–90. [Google Scholar] [CrossRef]
- Dionisio-Sese, M.L.; Tobita, S. Antioxidant responses of rice seedlings to salinity stress. Plant Sci. 1998, 135, 1–9. [Google Scholar] [CrossRef]
- Bates, L.S.; Waldren, R.P.; Teare, I.D. Rapid determination of free proline for water-stress studies. Plant Soil 1973, 39, 205–207. [Google Scholar] [CrossRef]
- Heath, R.L.; Packer, L. Photoperoxidation in isolated chloroplasts. I. Kinetics and stoichiometry of fatty acid peroxidation. Arch. Biochem. Biophys. 1968, 125, 189–198. [Google Scholar] [CrossRef]
- Badiani, M.; De Biasi, M.G.; Colognola, M.; Artemi, F. Catalase, peroxidase and superoxide dismutase activities in seedlings submitted to increasing water deficit. Agrochimica 1990, 34, 90–102. [Google Scholar]
- Aebi, H. Catalase in vitro. In Methods in Enzymology; Oxygen Radicals in Biological Systems; Academic Press: New York, NY, USA, 1984; Volume 105, pp. 121–126. [Google Scholar]
- Hammerschmidt, R.; Nuckles, E.M.; Kuć, J. Association of enhanced peroxidase activity with induced systemic resistance of cucumber to Colletotrichum lagenarium. Physiol. Plant Pathol. 1982, 20, 73–82. [Google Scholar] [CrossRef]
- El-Esawi, M.A.; Alaraidh, I.A.; Alsahli, A.A.; Alamri, S.A.; Ali, H.M.; Alayafi, A.A. Bacillus firmus (SW5) augments salt tolerance in soybean (Glycine max L.) by modulating root system architecture, antioxidant defense systems and stress-responsive genes expression. Plant Physiol. Biochem. 2018, 132, 375–384. [Google Scholar] [CrossRef]
- El-Esawi, M.A.; Al-Ghamdi, A.A.; Ali, H.M.; Alayafi, A.A. Azospirillum lipoferum FK1 confers improved salt tolerance in chickpea (Cicer arietinum L.) by modulating osmolytes, antioxidant machinery and stress-related genes expression. Environ. Exp. Bot. 2019, 159, 55–65. [Google Scholar] [CrossRef]
- El-Esawi, M.A.; Al-Ghamdi, A.A.; Ali, H.M.; Alayafi, A.A.; Witczak, J.; Ahmad, M. Analysis of genetic variation and enhancement of salt tolerance in French pea. Int. J. Mol. Sci. 2018, 19, 2433. [Google Scholar] [CrossRef]
- Suo, J.; Zhao, Q.; David, L.; Chen, S.; Dai, S. Salinity Response in Chloroplasts: Insights from Gene Characterization. IJMS 2017, 18, 1011. [Google Scholar] [CrossRef]
- Yang, X.; Li, Y.; Qi, M.; Liu, Y.; Li, T. Targeted Control of Chloroplast Quality to Improve Plant Acclimation: From Protein Import to Degradation. Front. Plant Sci. 2019, 10, 958. [Google Scholar] [CrossRef] [PubMed]
- Shah, S.; Houborg, R.; McCabe, M. Response of Chlorophyll, Carotenoid and SPAD-502 Measurement to Salinity and Nutrient Stress in Wheat (Triticum aestivum L.). Agronomy 2017, 7, 61. [Google Scholar]
- Bulgari, R.; Franzoni, G.; Ferrante, A. Biostimulants Application in Horticultural Crops under Abiotic Stress Conditions. Agronomy 2019, 9, 306. [Google Scholar] [CrossRef]
- Hayat, S.; Hayat, Q.; Alyemeni, M.N.; Wani, A.S.; Pichtel, J.; Ahmad, A. Role of proline under changing environments. Plant Signal. Behav. 2012, 7, 1456–1466. [Google Scholar] [CrossRef] [PubMed]
- Dawood, M.G.; Taie, H.A.A.; Nassar, R.M.A.; Abdelhamid, M.T.; Schmidhalter, U. The changes induced in the physiological, biochemical and anatomical characteristics of Vicia faba by the exogenous application of proline under seawater stress. S. Afr. J. Bot. 2014, 93, 54–63. [Google Scholar] [CrossRef]
- Parvin, K.; Hasanuzzaman, M.; Bhuyan, M.H.M.B.; Nahar, K.; Mohsin, S.M.; Fujita, M. Comparative Physiological and Biochemical Changes in Tomato (Solanum lycopersicum L.) under Salt Stress and Recovery: Role of Antioxidant Defense and Glyoxalase Systems. Antioxidants 2019, 8, 350. [Google Scholar] [CrossRef]
- Acosta-Motos, J.; Ortu?o, M.; Bernal-Vicente, A.; Diaz-Vivancos, P.; Sanchez-Blanco, M.; Hernandez, J. Plant Responses to Salt Stress: Adaptive Mechanisms. Agronomy 2017, 7, 18. [Google Scholar] [CrossRef]
- Abdelaal, K.A.A.; Hafez, Y.M.; El-Afry, M.M.; Tantawy, D.S.; Alshaal, T. Effect of some osmoregulators on photosynthesis, lipid peroxidation, antioxidative capacity, and productivity of barley (Hordeum vulgare L.) under water deficit stress. Environ. Sci. Pollut. Res. 2018, 25, 30199–30211. [Google Scholar] [CrossRef]
- Gholami Zali, A.; Ehsanzadeh, P. Exogenous proline improves osmoregulation, physiological functions, essential oil, and seed yield of fennel. Ind. Crop. Prod. 2018, 111, 133–140. [Google Scholar] [CrossRef]
- Hafez, E.; Omara, A.E.D.; Ahmed, A. The Coupling Effects of Plant Growth Promoting Rhizobacteria and Salicylic Acid on Physiological Modifications, Yield Traits, and Productivity of Wheat under Water Deficient Conditions. Agronomy 2019, 9, 524. [Google Scholar] [CrossRef]
- El-Esawi, M.A.; Alaraidh, I.A.; Alsahli, A.A.; Ali, H.M.; Alayafi, A.A.; Witczak, J.; Ahmad, M. Genetic Variation and Alleviation of Salinity Stress in Barley (Hordeum vulgare L.). Molecules 2018, 23, 2488. [Google Scholar] [CrossRef] [PubMed]
- El-Esawi, M.A.; Alaraidh, I.A.; Alsahli, A.A.; Alzahrani, S.M.; Ali, H.M.; Alayafi, A.A.; Ahmad, M. Serratia liquefaciens KM4 Improves Salt Stress Tolerance in Maize by Regulating Redox Potential, Ion Homeostasis, Leaf Gas Exchange and Stress-Related Gene Expression. Int. J. Mol. Sci. 2018, 19, 3310. [Google Scholar] [CrossRef] [PubMed]
- Ishikawa, H.; Evans, M.L. Electrotropism of Maize Roots: Role of the Root Cap and Relationship to Gravitropism. Plant Physiol. 1990, 94, 913–918. [Google Scholar] [CrossRef] [PubMed]
- Huang, D.; Sun, Y.; Ma, Z.; Ke, M.; Cui, Y.; Chen, Z.; Chen, C.; Ji, C.; Tran, T.M.; Yang, L.; et al. Salicylic acid-mediated plasmodesmal closure via Remorin-dependent lipid organization. Proc. Natl. Acad. Sci. USA 2019, 116, 21274–21284. [Google Scholar] [CrossRef]
- Verbruggen, N.; Hermans, C. Proline accumulation in plants: A review. Amino Acids 2008, 35, 753–759. [Google Scholar] [CrossRef]
- El-Katony, T.M.; El-Bastawisy, Z.M.; El-Ghareeb, S.S. Timing of salicylic acid application affects the response of maize (Zea mays L.) hybrids to salinity stress. Heliyon 2019, 5, e01547. [Google Scholar] [CrossRef]
- Huang, Z.; Zhao, L.; Chen, D.; Liang, M.; Liu, Z.; Shao, H.; Long, X. Salt Stress Encourages Proline Accumulation by Regulating Proline Biosynthesis and Degradation in Jerusalem Artichoke Plantlets. PLoS ONE 2013, 8, e62085. [Google Scholar] [CrossRef]
- Li, T.; Hu, Y.; Du, X.; Tang, H.; Shen, C.; Wu, J. Salicylic acid alleviates the adverse effects of salt stress in Torreya grandis cv. Merrillii seedlings by activating photosynthesis and enhancing antioxidant systems. PLoS ONE 2014, 9, e109492. [Google Scholar] [CrossRef]
- Gharsallah, C.; Fakhfakh, H.; Grubb, D.; Gorsane, F. Effect of salt stress on ion concentration, proline content, antioxidant enzyme activities and gene expression in tomato cultivars. AoB Plants 2016, 8, plw055. [Google Scholar] [CrossRef]
- Wang, Y.; Li, X.; Li, J.; Bao, Q.; Zhang, F.; Tulaxi, G.; Wang, Z. Salt-induced hydrogen peroxide is involved in modulation of antioxidant enzymes in cotton. Crop J. 2016, 4, 490–498. [Google Scholar] [CrossRef][Green Version]
- El-Esawi, M.A.; Elkelish, A.; Elansary, H.O.; Ali, H.M.; Elshikh, M.; Witczak, J.; Ahmad, M. Genetic Transformation and Hairy Root Induction Enhance the Antioxidant Potential of Lactuca serriola L. Oxid. Med. Cell. Longev. 2017, 2017. [Google Scholar] [CrossRef] [PubMed]
- Lin, C.C.; Kao, C.H. Effect of NaCl stress on H2O2 metabolism in rice leaves. Plant Growth Regul. 2000, 30, 151–155. [Google Scholar] [CrossRef]
- Hernandez, M.; Fernandez-Garcia, N.; Diaz-Vivancos, P.; Olmos, E. A different role for hydrogen peroxide and the antioxidative system under short and long salt stress in Brassica oleracea roots. J. Exp. Bot. 2010, 61, 521–535. [Google Scholar] [CrossRef] [PubMed]
- Li, Q.; Lv, L.R.; Teng, Y.J.; Si, L.B.; Ma, T.; Yang, Y.L. Apoplastic hydrogen peroxide and superoxide anion exhibited different regulatory functions in salt-induced oxidative stress in wheat leaves. Biol. Plant. 2018, 62, 750–762. [Google Scholar] [CrossRef]
- Vighi, I.L.; Benitez, L.C.; Amaral, M.N.; Moraes, G.P.; Auler, P.A.; Rodrigues, G.S.; Deuner, S.; Maia, L.C.; Braga, E.J.B. Functional characterization of the antioxidant enzymes in rice plants exposed to salinity stress. Biol. Plant. 2017, 61, 540–550. [Google Scholar] [CrossRef]
- Pérez-Labrada, F.; López-Vargas, E.R.; Ortega-Ortiz, H.; Cadenas-Pliego, G.; Benavides-Mendoza, A.; Juárez-Maldonado, A. Responses of Tomato Plants under Saline Stress to Foliar Application of Copper Nanoparticles. Plants 2019, 8, 151. [Google Scholar] [CrossRef]
- El-Esawi, M.A.; Elansary, H.O.; El-Shanhorey, N.A.; Abdel-Hamid, A.M.E.; Ali, H.M.; Elshikh, M.S. Salicylic Acid-Regulated Antioxidant Mechanisms and Gene Expression Enhance Rosemary Performance under Saline Conditions. Front. Physiol. 2017, 8, 716. [Google Scholar] [CrossRef]
- Đorđević, N.O.; Todorović, N.; Novaković, I.T.; Pezo, L.L.; Pejin, B.; Maraš, V.; Tešević, V.V.; Pajović, S.B. Antioxidant Activity of Selected Polyphenolics in Yeast Cells: The Case Study of Montenegrin Merlot Wine. Molecules 2018, 23, 1971. [Google Scholar] [CrossRef]
- Mohammadrezakhani, S.; Hajilou, J.; Rezanejad, F.; Zaare-Nahandi, F. Assessment of exogenous application of proline on antioxidant compounds in three Citrus species under low temperature stress. J. Plant Inter. 2019, 14, 347–358. [Google Scholar] [CrossRef]
- Abdul Qados, A.M.S. Effect of salt stress on plant growth and metabolism of bean plant (Vicia faba L.). J. Saudi Soc. Agric. Sci. 2011, 10, 7–15. [Google Scholar] [CrossRef]
- Yildirim, E.; Karlidag, H.; Turan, M. Mitigation of salt stress in strawberry by foliar K, Ca and Mg nutrient supply. Plant Soil Environ. 2009, 55, 213–221. [Google Scholar] [CrossRef]
- Huang, Y.; Bie, Z.; Liu, Z.; Zhen, A.; Wang, W. Protective role of proline against salt stress is partially related to the improvement of water status and peroxidase enzyme activity in cucumber. Soil Sci. Plant Nutr. 2009, 55, 698–704. [Google Scholar] [CrossRef]
- Sharma, A.; Shahzad, B.; Kumar, V.; Kohli, S.K.; Sidhu, G.P.S.; Bali, A.S.; Handa, N.; Kapoor, D.; Bhardwaj, R.; Zheng, B. Phytohormones Regulate Accumulation of Osmolytes Under Abiotic Stress. Biomolecules 2019, 9, 285. [Google Scholar] [CrossRef] [PubMed]
- Gupta, B.; Huang, B. Mechanism of Salinity Tolerance in Plants: Physiological, Biochemical, and Molecular Characterization. Int. J. Genomics 2014, 2014. [Google Scholar] [CrossRef] [PubMed]
- Ahanger, M.A.; Tomar, N.S.; Tittal, M.; Argal, S.; Agarwal, R.M. Plant growth under water/salt stress: ROS production; antioxidants and significance of added potassium under such conditions. Physiol. Mol. Biol. Plant 2017, 23, 731–744. [Google Scholar] [CrossRef]
- Husen, A.; Iqbal, M.; Sohrab, S.S.; Ansari, M.K.A. Salicylic acid alleviates salinity-caused damage to foliar functions, plant growth and antioxidant system in Ethiopian mustard (Brassica carinata A. Br.). Agric. Food Secur. 2018, 7, 44. [Google Scholar] [CrossRef]
© 2019 by the authors. Licensee MDPI, Basel, Switzerland. This article is an open access article distributed under the terms and conditions of the Creative Commons Attribution (CC BY) license (http://creativecommons.org/licenses/by/4.0/).




