Abstract
Three cultivars of Jerusalem artichoke Albik, Rubik and Gute Gelbe were grown under different nitrogen fertilization regimens: 0, 80 and 120 kg N·ha−1. Phenolic compounds were extracted from tubers using 80% (v/v) methanol. The total phenolics were determined with the Folin–Ciocâlteu reagent and antioxidant activity was assessed using the ABTS (2,2’-azinobis-(3-ethylbenzothiazoline-6-sulfonic acid)), FRAP (ferric-reducing antioxidant power), and DPPH (2,2-diphenyl-1-picrylhydrazyl) assays. The content of individual phenolic compounds was determined by HPLC. The effect of nitrogen fertilization on the total phenolics content was observed for the Albik cultivar. In the Rubik variety the lowest content was recorded at fertilization zero, and in the Gute Gelbe variety at this fertilization level the content of phenols was the highest. At fertilization 120 kg N·ha−1, the highest ABTS test results were noted for all cultivars. For the Albik variety no effect of fertilization on the FRAP test results was noted; for the Rubik variety at zero nitrogen fertilization, the value for FRAP was the lowest, and it was the highest Gute Gelbe. The results of the DPPH test in the Gute Gelbe variety did not depend on the fertilization used. In the other two varieties, the lowest DPPH results were obtained at zero nitrogen regimen. Three main phenolic compounds were determined using HPLC. One of them was chlorogenic acid and the other two were derivatives of caffeic acid. The content of chlorogenic acid in tubers of the Gute Gelbe variety depended on nitrogen fertilization; the highest content of this compound was found in the case of fertilization zero. Statistical analysis showed a correlation between the content of phenolic compounds in tubers and their antioxidant potential. The results of this study suggest great potential for using Jerusalem artichoke tubers as a rich source of phenolic compounds with high antioxidant capacity.
Keywords:
Jerusalem artichoke; N fertilization; antioxidant activity; phenolic compounds; ABTS; FRAP; DPPH; HPLC 1. Introduction
The Jerusalem artichoke [JA] (Helianthus tuberosus L.) in the Helianthus genus and the Asteraceae family is found widely across the temperate zone, mostly in eastern North America [1,2]. JA tubers are the richest source of inulin, a natural storage fructan carbohydrate [3]. Inulin, a prebiotic and soluble dietary fiber, is not hydrolyzed in the human intestine digestive tract but is fermented selectively by beneficial bacteria in the gut. Inulin promotes good digestive health, influences lipid metabolism, enhances the mineral bioavailability of Ca, Mg and Fe and reduces the risk of developing colon cancer [4,5,6].
Several authors reported JA as a source of phenolic compounds, mainly phenolic acids [7,8,9,10,11]. High content of caffeic acid derivatives in JA were confirmed by several authors [12,13]. Bach et al. [10] and Mattila and Hellström [9] identified gallic and chlorogenic acids as the major phenolic compounds in JA tubers. Seven derivatives of caffeic acid, including three isomers of caffeoylquinic acid neo-chlorogenic acid, chlorogenic acid, crypto-chlorogenic acid) and four isomeric di-caffeoylquinic acids (3, 5-O-dicaffeoyl, 3, 4-O-dicaffeoyl, 4, 5-O-dicaffeoyl, 1, 3-O-dicaffeoyl esters) were found in JA tubers by Kapusta et al. [12].
Phenolic acids are secondary metabolites that are commonly found in plant-derived foods. These phenolic compounds acids have attracted considerable interest in the past few years due to their many potential health benefits. They are powerful antioxidants and have been reported to demonstrate antibacterial, antiviral, anticarcinogenic, anti-inflammatory and vasodilatory actions [14,15,16,17]. The antioxidant activity of phenolic compounds extracted from JA tubers was confirmed in vitro using ORAC, FRAP and DPPH assays [18,19,20].
The influence of nitrogen fertilization on the content of phenolic compounds in plants and their antioxidant potential has been investigated by numerous scientific groups. However, the published results are inconclusive. In the literature, there are publications showing positive and negative effects of nitrogen fertilization on the content of phenolic compounds in plants [21,22,23,24,25,26,27,28,29].
This research was carried out to determine the effect of different nitrogen fertilization on the content of phenolic compounds in Jerusalem artichoke tubers and their antioxidant potential.
2. Materials and Methods
2.1. Chemicals
Ferrous chloride, sodium persulfate, the Folin–Ciocâlteu phenol reagent, chlorogenic acid, caffeic acid, 2, 2′-azinobis-(3-ethylbenzothiazoline-6-sulfonic acid), 2, 4, 6-tri (2-pyridyl)-s-triazine, 2, 2-diphenyl-1-picrylhydrazyl (DPPH) and 6-hydroxy-2, 5, 7, 8-tetramethyl-chroman-2-carboxylic acid (Trolox) were obtained from Sigma-Aldrich (St. Louis, MO, USA). Methanol, acetonitrile, and all other chemicals were acquired from Avantor Performance Materials (Gliwice, Poland).
2.2. Plant Material, Preparation of Samples
Jerusalem artichoke tubers were grown in a field experiment (Agricultural Experiment Station in Tomaszkowo, near Olsztyn 53°410 N, 20°240 E). They were established by the method of random sub-blocks: blocks (fertilization level N and sub-blocks—variety) in three replications. Three varieties of Jerusalem artichoke were cultivated: Albik (club, white, tuber) Rubik (irregular to oval, purple) (Poland) and Gute Gelbe (oval-round, white) (Germany). Tubers were planted into heated soil in the second ten days of April (brown soil, suitability complex 5 and quality class IVb) [30], 40 cm apart, with inter-row spacing of 62.5 cm. The plot area was 5.4 m2. The same agrotechnical operations were carried out on all the plots. Weeds were controlled mechanically. The following fertilization variants of N were used in the form of 46% urea once before planting: 0 kg (without fertilization), 80 kg N·ha−1 and 120 kg N·ha−1. At the same time, 46% granulated triple superphosphate (73 kg P2O5·ha−1) and 60% potash salt (115 kg K2O·ha−1) were applied. Tubers for chemical analyses were harvested from late autumn to mid-November. From each replicate of the experiment (i.e., from three plots in a given object), 5 tubers were randomly taken. Tubers were washed under running water and the flesh with skin was cut into cubes of 1 × 1 × 1 cm. The prepared material was freeze-dried (Alpha model 1–4 LD plus from Doncerv) and then milled in a laboratory mill (A 11 basic). For chemical analyses, 100 g samples were taken.
2.3. Extraction
After milling, the lyophilized tubers were extracted with 80% (v/v) methanol at a ratio of solid material to solvent 1:10 (w/v) [31]. Extractions were performed at 65 °C for 15 min and then filtered. Extraction was repeated from the precipitates twice more. The supernatants were then combined for each sample and the methanol was evaporated under vacuum using a rotary evaporator at 50 °C (Rotavapor R-200, Büchi Labortechnik, Flawil, Switzerland). The remaining water was removed by lyophilization (Lyph Lock 6, Labconco, Kansas City, MO, USA). Mass balance was carried out to calculate the yield (%) of extraction.
2.4. Determination of Total Phenolic Content
The colorimetric reaction with Folin–Ciocâlteu reagent (FCR) was performed to determine the content of phenolic compounds in JA samples [32]. The reaction mixtures consisted of 0.25 mL of JA extract), 0.25 mL of FCR, 0.5 mL of saturated solution of Na2CO3 (22 g of sodium carbonate was added to 100 mL water at 25 °C), and 4 mL of water and were left to stand in the dark for 25 min. After centrifugation (MPW-350R, MPW Med. Instruments, Warsaw, Poland) for 5 min at 5000× g, the absorbance of the supernatants was recorded at λ = 725 nm (DU-7500 spectrophotometer, Beckman Instruments, Fullerton, CA, USA). TPC results were calculated on the basis of the calibration curve for caffeic acid and were expressed as equivalents of standard per gram of plant fresh matter.
2.5. HPLC Analysis
Phenolic compounds of Jerusalem artichoke tuber extracts were separated using a high-performance liquid chromatography (HPLC) Shimadzu system (Shimadzu, Kyoto, Japan), which consisted of a CBM-20A controller, a DGU-20A5R degassing unit, two LC-30AD pumps, a SIL-30AC autosampler, an SPD-M30A diode array detector and a CTO-20AC column oven. Aliquots of 10 μL of extract solutions in 80% (v/v) methanol were injected into a Luna C8 (2) column (4.6 × 150 mm, particle size 3 μm, Phenomenex, Torrance, CA, USA). The compounds were eluted in a linear gradient system of solvents A (acetonitrile-water-trifluoroacetic acid, 5:95:0.1, v/v/v) and B (acetonitrile-trifluoroacetic acid, 100:0.1, v/v) [33,34]: 0–18 min, 0%–60% B. The flow rate was 1 mL/min, and the oven temperature was 25 °C. Detection was carried out by scanning over a wavelength range from 200 to 400 nm. The contents of individual phenolic compounds were expressed on the basis of the calibration curves of the corresponding standards or structurally related substances.
2.6. ABTS Assay
The ABTS assay was carried out according to Re et al. [35]. Trolox was used as the standard; the results were expressed as μmol Trolox equivalents per gram fresh plant matter.
2.7. Ferric-Reducing Antioxidant Power
The FRAP reagent was prepared using a previously described method [36]. FRAP results were expressed as μmol Fe2+ equivalents per gram of fresh matter using the calibration curve for FeSO4.
2.8. Scavenging of the DPPH Radical
The ability of Jerusalem artichoke tuber extracts to scavenge DPPH was evaluated according to a previously described method [37]. Portions of 100 μL of JA extract were mixed with 0.25 mL of 1-mM DPPH and 2 mL of methanol. The absorbance of mixtures was read at λ = 517 nm after the samples stood for 20 min. The results were the expressed as μmol Trolox equivalents per gram fresh plant matter.
2.9. Statistical Analysis
The extraction was conducted in triplicate. Antioxidant assays and HPLC analyses were performed in at least three repetitions. The results are presented as the means ± standard deviation (SD). One-way ANOVA and Fisher’s least significant difference test at a level of P < 0.05 were used to determine the significance of differences between mean values. To determine the relation between the results of the total phenolics and the antioxidant assays the Pearson’s correlation was used. Statistical analysis was performed using GraphPad Prism version 6.04 for Windows (GraphPad Software, San Diego, CA, USA).
3. Results
The tubers of Gute Gelbe cultivar fertilized with 120 kg N·ha−1 had the highest content of phenolic compounds (9.89 mg·g−1). A lower content of phenolic compounds, but still above 9 mg·g−1, was noted for tubers of the non-fertilized Gute Gelbe cultivar (9.76 mg·g−1) and tubers of the Rubik cultivar fertilized with 80 or 120 kg N·ha−1 (9.25 and 9.41 mg·g−1, respectively) (Table 1). The content of phenolic compounds in the tubers of the remaining objects ranged from 7.81 mg·g−1 (Albik, 0 kg N·ha−1) to 8.38 mg·g−1 (Rubik, 0 kg N·ha−1).
Table 1.
Effect of N fertilization on the content of total phenolic compounds of Jerusalem artichoke tubers and their antioxidant potential.
The extracts of JA tubers were characterized by the presence of three main phenolic compounds (Figure 1). Based on retention time and UV spectra of original standard, compound 1 was identified as chlorogenic acid. Based on UV spectra (Figure 2), compounds 2 and 3 were tentatively identified as caffeic acid derivatives.
Figure 1.
Typical HPLC chromatogram of phenolic compounds from Jerusalem artichoke tubers.
Figure 2.
UV-DAD (diode array detector) spectra of the main phenolic compounds from Jerusalem artichoke ((1–3)—number of the peaks on the chromatogram).
The content of chlorogenic acid in JA tubers ranged from 4.62 mg·g−1 g (Gute Gelbe, 80 kg N·ha−1) to 6.30 mg·g−1 (Gute Gelbe 0 kg N·ha−1) (Table 2). The content of compounds 2 and 3 was significantly lower than that of chlorogenic acid. The content of 2 compound in the tubers was at a similar level—from 0.54 mg·g−1 (Rubik, without N fertilization) to 0.79 mg·g−1 (variety Gute Gelbe, 120 kg N·ha−1). Compound 3 exceeded 1 mg·g−1 was determined in tubers of the Rubik cultivar (1.03–1.07 mg·g−1 in 80 and 120 kg N·ha−1 treatment, respectively) and the Gute Gelbe cultivar (1.19 mg·g−1, without fertilization N). For both the Albik and Rubik cultivars, an increase in phenolic compounds content, including the dominant chlorogenic acid, was found in tubers from fertilized plants. In the case of the Gute Gelbe cultivar, the content of total phenolics as well as the content of chlorogenic acid was the highest in tubers from plants without fertilization and with fertilization of 120 kg N·ha−1. The effect of N fertilization on the contents of compounds 2 and 3 of the compound was ambiguous.
Table 2.
Effect of N fertilization on the content of individual phenolic compounds of Jerusalem artichoke tubers.
ABTS, FRAP and DPPH assays were used to assess the antioxidant potential of JA tubers. The ABTS test showed the highest antioxidant capacity for the Rubik cultivar fertilized with 80 kg N·ha−1 (Table 2). In all assays, tubers of the Albik and Rubik cultivars originating from the objects fertilized with 80 and 120 kg N·ha−1 were characterized by greater antioxidant potential than tubers from non-fertilized plants. The highest results for the antioxidant assays were recorded for tubers of the Gute Gelbe cultivar, for ABTS in the 120 kg N·ha−1 facility and for FRAP and DPPH in the facility without fertilization. For the same cultivar, the greatest variation in antioxidant potential was demonstrated by the FRAP assay. Gute Gelbe. The results indicate the highest antioxidant effectiveness in the tuber extracts that were the richest in phenolic compounds.
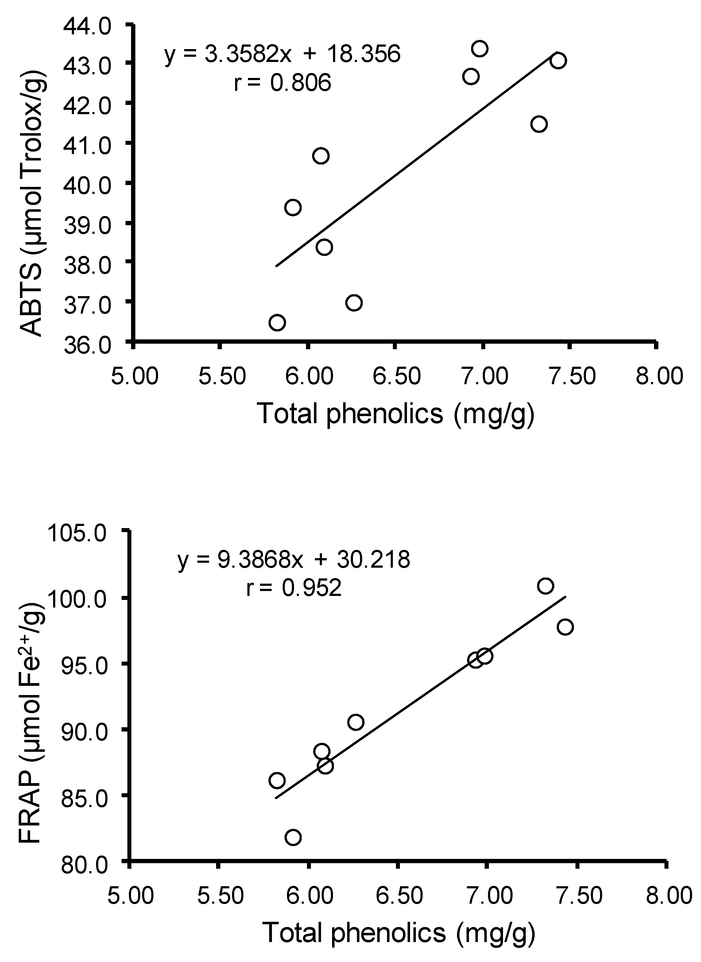
The antioxidant activity of the Jerusalem artichoke tuber extracts was correlated with the content of total phenolics (Figure 3). The correlation coefficients between total phenolics and the results of ABTS and FRAP and DPPH assays were 0.806, 0.952, and 0.882 respectively.

Figure 3.
Correlation between the total phenolics content and the results of ABTS (2,2’-azinobis-(3-ethylbenzothiazoline-6-sulfonic acid)), FRAP (ferric-reducing antioxidant power), and DPPH (2,2-diphenyl-1-picrylhydrazyl) assays.
4. Discussion
The content of total phenolic compounds in this study classified JA tubers as a rich source of phenolic compounds. The results of total phenolics for JA tubers are similar or higher than those reported for oils seeds, cereals, and legumes [38].
The results of several investigation showed an influence of nitrogen fertilization on the content of phenolic compounds in plants. However, the findings are inconclusive. Higher nitrogen fertilization increased the content of sinapine in rape seeds [39]. The highest content of phenolic compounds was found in red cabbage fertilized with N at a dose of 150 kg·ha−1. A further increase in the dose to 250 kg reduced the content of phenolic compounds [21]. Li et al. [40] found a significant decrease in phenolic compounds in the mustard leaf by increasing the level of N.
Broccoli showed a decrease in flavonoids with nitrogen fertilization [22]. Zhao et al. [25] reported a significantly higher level of phenolic compounds in Brassica rapa L. chinensis plants in an ecological system compared to a conventional system. In Wendy et al [41], the increased accumulation of p-coumaric acid in the pac choi plant is explained by the application of a liquid organic nitrogen source in comparison with traditional mineral fertilization. Organically grown cauliflower (Brassica oleracea L. subsp. botrytis), had a 21% higher content of polyphenols compared to a conventionally frown specimen [42]. Conversa et al. [43] also reported a higher level of phenolic compounds in organic Brassica rapa. An increase in nitrogen fertilization caused a decrease in the content of rosmarinic acid and caffeic acid in Ocimum basilicum L. with a simultaneous increase in antioxidant activity, as well as an increase in the content of total phenolics in Solanum lycopersicum L. [44], and Brassicaceae [21,23,41].
According to Łata [28], the total phenolic content of two varieties of kale Brassica oleracea did not undergo significant modification under the influence of the N fertilization level (0, 100, 200, 300 mg/dm3). In addition, the author stated that the level of N did not significantly affect the total antioxidant power (FRAP value) of kale, regardless of the genotypes. An undefined trend in antioxidant capacity in relation to the increasing level of N was expressed by red cabbage, which, compared to green-leafed cabbage was characterized by a higher content of phenols and combined antioxidant activity. Other studies showed that the production system did not affect the content of flavonoids and polyphenols in cauliflower (except for single genotypes) [45] and in broccoli [46]. Conversa et al. [43] did not state the modifying effect of conventional and organic growing systems on the antioxidant properties of crude or processed Brassica rapa L. subsp. sylvestris.
Takeuchi and Nagashima [20] reported between 39 and 129 mg gallic acid equivalents (GAE) 100 g−1 FW in the peel and between 4.9 and 31 mg GAE·100 g−1 FW in the tuber flesh. Williams et al. [47] argue that the quantity and quality of polyphenols in plants is largely determined by factors such as variety; agrotechnological conditions including fertilization and the state of ripeness; and storage conditions. In this study, the content of phenolic compounds in Jerusalem artichoke extracts ranged from 7.81 mg/g (cv. Albik, 0 kg N·ha−1) to 9.89 mg·g−1 (cv. Gute Gelbe, 120 kg N·ha−1). Based on the chromatogram of the Jerusalem artichoke tuber extract, three compounds were identified, with chlorogenic acid dominating. The highest level of chlorogenic acid 6.30 mg·g−1 was determined in the tuber extract from Gute Gelbe derived from non-fertilized N plants. The content of compounds 2 and 3 in the tuber extract of the studied cultivars was less than that of chlorogenic acid, and their content did not exceed 0.80 mg/g (cv. Gute Gelbe, 120 kg N·ha−1) and 1.20 mg·g−1 (cv. Gute Gelbe, 0 kg N·ha−1).
In Jerusalem artichoke tubers, 22 phenolic compounds were identified with phenolic acids, mainly salicylic acid and chlorogenic acid, dominanting them [7]. Other researchers have reported the occurrence of chlorogenic acid, caffeic acid and unidentified phenolic acid as major phenolic acids in Jerusalem artichoke tubers [9]. Chlorogenic and gallic phenolic acids were 38.1 to 57.0 mg/ 100 g DM in the autumn and 21.0 to 27.4 mg·100 g−1 DM in the spring. The authors of later studies identified chlorogenic acid and gallic acid as the main phenolic compounds in Jerusalem artichoke tubers [10], in addition salicylic acid and caffeic acid [2]. Their maximum content was found during harvest in mature tubers, as it decreased during storage.
Mattila and Hellström [9] did not find statistically significant differences between the varieties in the content of phenolic acids in the tubers of Jerusalem artichoke. Genetic conditioning turned out to be a factor that strongly differentiated the content of phenolic compounds in broccoli [46]. Fennel varieties, according to Salama et al. [48], had different DPPH scavenging activity and Fe2+ -chelating activities.
Based on our results, a tendency of an increase in the content of phenolic compounds (due to the dominant share of chlorogenic acid) in the tuber extract harvested from plants content with fertilization of 80 and 120 kg N N·ha−1 was observed in both the Albik and Rubik varieties compared to tubers without fertilization. In the Gute Gelbe variety, both total phenols and chlorogenic acid contents were higher in tubers harvested from plants without fertilization and with fertilization 120 kg N·ha−1 than in the 60 kg N·ha−1 fertilized plants. The effect of N fertilization on the contents of compounds 2 and 3 was ambiguous. N fertilization affects the synthesis of phenolic compounds [49]. The of hydroxycinnamic acids, mainly chicoric acid, was higher in the roots of Cichorium intybus L. from a conventional cultivation system (higher N fertilization) compared to a biodynamic system in conditions of adequate hydration; antiradical activity was higher in biodynamic cultivation [50]. Under conditions of water stress (drought), the authors found no difference in the content of phenolic compounds and anti-radical activity between the two cultivation systems. Sinkovič et al. [51] studied extracts from the leaves of non-fertilized chicory plants and recorded higher TPC values, including mainly chlorogenic acid and silicic acid (254.3 mg·100 g−1 FW), in the leaves from non-fertilized than from leaves of fertilized plants (128.6 and 125.5 mg·100 g−1 FW organic and mineral, respectively).
In this study, the antioxidant potential of Jerusalem artichoke tuber extract was assessed using ABTS, FRAP and DPPH assays. The tuber extracts from cultivars Albik and Rubik with N fertilization were characterized by greater antioxidant activity than extracts from tubers 0f non-fertilized plants in all tests. The FRAP assay revealed large differences in the level of antioxidant potential of Jerusalem artichoke cv. Gute Gelbe - 110.9 µmol Fe2+.g−1 (0 kg N·ha−1) and 81.9 µmol Fe2+.g−1 (80 kg N·ha−1). In the DPPH test, tuber extracts of the same cultivar also showed the greatest ability to quench radicals in a 0 kg N N·ha−1treatment. These results indicate the highest antioxidant effectiveness of the tuber extracts, that were the richest in phenolic compounds. Ibrahim et al. [52] reported the highest levels of phenols, also flavonoids, and the highest antioxidant activity of DPPH and FRAP assays were recorded in Labisia pumila Benth (Kacip Fatimah) fertilized with 90 kg N·ha−1 (organic and inorganic fertilization); higher doses of N to 270 kg·ha−1reduced secondary metabolites and antioxidant activity. The largest content included total phenols in Stevia rebaudiana Bertoni leaves and at the same time, high antioxidant capacity was obtained after the application of N fertilization at a dose of 150 kg·ha−1; limited or increased availability of N were less favourable for the accumulation of the above compounds [53]. Barroso et al. [27] reported a significantly higher content of total phenolic compounds in the above species fertilized with 25 kg N·ha−1 compared to non-fertilized plants, with a higher antioxidant activity.
The strong positive correlation between the total content of phenolic compounds and the results of ABTS and FRAP tests (Figure 3) clearly indicates that phenolic compounds were the carrier of the antioxidant activity of JA extracts. This is in line with the theoretical premises. In the method used for determination of the total phenolic compounds, occurs the reduction of the Folin-Ciocalteu reagent by phenolate anions. A positive correlation between total phenol content and antioxidant activity was found in Satureja hortensis (R2 = 0.55) [53], in Labisia pumila [54], in selected Brassicaceae species [25,55], and in Vaccinium myrtillus fruits [56]. In contrast, Terpinc et al. did not find a positive correlation between the content of total phenolic compounds in white mustard extracts and antioxidant activity [57].
5. Conclusions
Three phenolic compounds were found in the tuber extracts of three Jerusalem artichoke varieties, predominantly chlorogenic acid. The highest total phenol content was determined in tuber extracts from cultivar Gute Gelbe in the treatment with 120 kg N·ha−1 fertilization and without fertilization, which at the same time explains the highest antioxidant activity of the extract of the above variety in the ABTS test and in the FRAP and DPPH test, respectively. Increase in the content of phenolic compounds in tuber extracts of cultivar Albik and Rubik under the influence of N fertilization at a dose of 80 and 120 kg·ha−1 demonstrated greater antioxidant potential in all tests (ABTS, FRAP and DPPH) in comparison with the tuber extract from non-fertilized plants (0 kg N·ha−1). This research supplements existing knowledge and suggests that optimal N fertilization and properly selected varieties have an impact on the formation of the beneficial composition of biologically active compounds, including phenols in Jerusalem artichoke tubers and their antioxidant potential.
Author Contributions
R.A., B.C.-A. and B.B. conceived and designed the experiments; R.A., B.C.-A., M.A.J., and B.B. performed the experiments and analysis; R.A. and B.C.-A. analyzed the data; R.A. and B.C.-A. contributed reagents/materials/analysis tools; R.A. and B.C.-A. wrote the paper. All authors have read and agreed to the published version of the manuscript.
Funding
This research received no external funding.
Acknowledgments
The authors thank Katarzyna Sulewska and Kamila Penkacik for assistance in the chemical analyses.
Conflicts of Interest
The authors declare no conflict of interest.
References
- Swanton, C.J.; Cavers, P.B.; Clements, D.R.; Moore, M.J. The biology of Canadian weeds, 101. Helianthus tuberosus L. Can. J. Plant Sci. 1992, 72, 367–382. [Google Scholar] [CrossRef]
- Bach, V.; Clausen, M.R.; Edelenbos, M. Production of Jerusalem artichoke (Helianthus tuberosus L.) and impact on inulin and phenolic Compounds. In Processing and Impact on Active Components in Food; Preedy, V., Ed.; Academic Press: Amsterdam, The Netherlands; Boston, MA, USA; Heidelberg, Germany; London, UK; New York, NY, USA; Oxford, UK; Paris, France; San Diego, CA, USA; San Francisco, CA, USA; Singapore; Sydney, Australia; Tokyo, Japan, 2015; pp. 97–102. [Google Scholar]
- Niness, K.R. Inulin and oligofructose: What are they? J. Nutr. 1999, 129, 1402S–1406S. [Google Scholar] [CrossRef]
- Nair, K.K.; Kharb, S.; Thompkinson, D.K. Inulin dietary fiber with functional and health attributes—A review. Food Rev. Int. 2010, 26, 189–203. [Google Scholar] [CrossRef]
- Guglielmetti, A.; Fernandez-Gomez, B.; Zeppa1, G.; Del Castillo, M.D. Nutritional quality, potential health promoting properties and sensory perception of an improved gluten-free bread formulation containing inulin, rice protein and bioactive compounds extracted from coffee byproducts. Pol. J. Food Nutr. Sci. 2019, 69, 157–166. [Google Scholar] [CrossRef]
- Fotschki, B.; Jurgoński, A.; Fotschki, J.; Majewski, M.; Ognik, K.; Juśkiewicz, J. Dietary chicory inulin-rich meal exerts greater healing effects than fructooligosaccharide preparation in rats with trinitrobenzenesulfonic acid-induced necrotic colitis. Pol. J. Food Nutr. Sci. 2019, 69, 147–155. [Google Scholar] [CrossRef]
- Tchoné, M.; Bärwald, G.; Annemüller, G.; Fleischer, L.G. Separation and identification of phenolic compounds in Jerusalem artichoke (Helianthus tuberosus L.). Sci. Aliments 2006, 26, 394–408. [Google Scholar] [CrossRef]
- Kim, D.; Fan, J.P.; Chung, H.C.; Han, G.D. Changes in extractability and antioxidant activity of Jerusalem artichoke (Helianthus tuberosus L.) tubers by various high hydrostatic pressure treatments. Food Sci. Biotechnol. 2010, 19, 1365–1371. [Google Scholar] [CrossRef]
- Mattila, P.; Hellström, J. Phenolic acids in potatoes, vegetables, and some of their products. J. Food Comp. Anal. 2007, 20, 152–160. [Google Scholar] [CrossRef]
- Bach, V.; Jensen, S.; Clausen, M.R.; Bertram, H.C.; Edelenbos, M. Enzymatic browning and after-cooking darkening of Jeru¬salem artichoke tubers (Helianthus tuberosus L.). Food Chem. 2013, 141, 1445–1450. [Google Scholar] [CrossRef]
- Seljåsen, R.; Slimestad, R. Fructooligosaccharides and phenolics in flesh and peel of spring harvested Helianthus tuberosus. In Proceedings of the 1st International Symposium on Human Health Effects of Fruits and Vegetables, Québec, QC, Canada, 17–20 August 2005; Desjardins, Y., Patil, B., Eds.; International Society for Horticultural Science: Leuven, Belgium, 2007; pp. 447–450. [Google Scholar]
- Kapusta, I.; Szpunar-Krok, E.; Dorota Bobrecka-Jamro, D.; Tomasz Cebulak, T.; Kaszuba, J.; Tobiasz-Salach, R. Identification and quantification of phenolic compounds from Jerusalem artichoke (Helianthus tuberosus L.) tubers. J. Food Agric. Environ. 2013, 11, 601–606. [Google Scholar] [CrossRef]
- Chen, F.; Long, X.; Liu, Z.; Shao, H.; Liu, L. Analysis of phenolic acids of Jerusalem artichoke (Helianthus tuberosus L.) responding to salt-stress by liquid chromatography/tandem mass spectrometry. Sci. World J. 2014. [Google Scholar] [CrossRef]
- Breinholt, V. Desirable versus harmful levels of intake flavonoids and phenolic acids. In Natural Antioxidants and Anticarcinogens in Nutrition, Health and Disease; Kumpulainen, J., Salonen, J.E., Eds.; The Royal Society of Chemistry: Cambrige, UK, 1999; pp. 93–105. [Google Scholar]
- Shahidi, F.; Naczk, M. Food Phenolics: Sources, Chemistry, Effects, Applications; Technomic Publishing Company Inc.: Lancaster, UK, 1995; pp. 231–245. [Google Scholar]
- Duthie, G.G.; Duthie, S.J.; Kyle, J.A.M. Plant polyphenols in cancer and heart disease: Implications as nutritional antioxidants. Nutr. Res. Rev. 2000, 13, 79–106. [Google Scholar] [CrossRef]
- Koroleva, O.; Torkova, A.; Nikolaev, I.; Khrameeva, E.; Fedorova, T.; Tsentalovich, M.; Amarowicz, R. Evaluation of the antiradical properties of phenolic acids. Int. J. Mol. Sci. 2014, 15, 16351–16380. [Google Scholar] [CrossRef] [PubMed]
- Lee, Y.-J.; Lee, M.; Yu, S.-Y.; Yoon, W.-B.; Lee, O.-H. Changes in physicochemical characteristics and antioxidant activities of Jerusalem artichoke tea infusions resulting from different production processes. Food Sci. Biotechnol. 2014, 23, 1885–1892. [Google Scholar] [CrossRef]
- Dias, N.S.; Ferreira, J.F.S.; Liu, X.; Suarez, D.L. US Jerusalem artichoke (Helianthus tuberosus L.) maintains high inulin, tuber yield, and antioxidant capacity under moderately-saline irrigation waters. Ind. Crops Prod. 2016, 94, 1009–1024. [Google Scholar] [CrossRef]
- Takeuchi, J.; Nagashima, T. Preparation of dried chips from Jerusalem artichoke (Helianthus tuberosus) tubers and analysis of their functional properties. Food Chem. 2011, 126, 922–926. [Google Scholar] [CrossRef]
- Biesiada, A.; Nawirska-Olszańska, A.; Kucharska, A.; Sokół-Łętowska, A.; Kadra, K. The effect of nitrogen fertilization on nutritive value and antioxidative activity of red cabbage. Acta Sci. Pol. Hortorum Cultus 2010, 9, 13–21. [Google Scholar]
- Fortier, E.; Desjardins, Y.; Tremblay, N.; Bčlec, C.; Côtč, M. Influence of irrigation and nitrogen fertilization on broccoli polyphenolics concentration. Acta Hortic. 2010, 856, 55–62. [Google Scholar] [CrossRef]
- Jones, R.B.; Imsic, M.; Franz, P.; Tomkins, B.T. High nitrogen during growth reduced glucoraphanin and flavonol content in broccoli (Brassica oleracea var. italica) heads. Aust. J. Exp. Agric. 2007, 47, 1498–1505. [Google Scholar] [CrossRef]
- Zhao, X.; Carey, E.E.; Young, J.E.; Wang, W.; Iwamoto, T. Influences of organic fertilization, high tunnel environment, and postharvest storage on phenolic compounds in lettuce. HortScience 2007, 42, 71–76. [Google Scholar] [CrossRef]
- Zhao, X.; Nechols, J.R.; Williams, K.; Wangc, W.; Carey, E.E. Comparison of phenolic acids in organically and conventionally grown pac choi (Brassica rapa L. chinensis). J. Sci. Food Agric. 2009, 89, 940–946. [Google Scholar] [CrossRef]
- Arena, M.E.; Postemsky, P.D.; Curvetto, N.R. Changes in the phenolic compounds and antioxidant capacity of Berberis microphylla G. Forst. berries in relation to light intensity and fertilization. Sci. Hortic. 2017, 218, 63–71. [Google Scholar] [CrossRef]
- Barroso, M.R.; Martins, N.; Barros, L.; Antonio, A.L.; Rodrigues, A.Â.; Sousa, M.K.; Santos-Buelga, C.; Ferreira, I.C.F.R. 2018. Assessment of the nitrogen fertilization effect on bioactive compounds of frozen fresh and dried samples of Stevia rebaudiana Bertoni. Food Chem. 2018, 243, 208–213. [Google Scholar] [CrossRef] [PubMed]
- Łata, B. Variability in enzymatic and non-enzymatic antioxidants in red and green-leafy kale in relation to soil type and N-level. Sci. Hortic. 2014, 168, 38–45. [Google Scholar] [CrossRef]
- Peñas, E.; Zielińska, D.; Gulewicz, P.; Zieliński, Frias, J.; Vitamin, C. phenolic compounds and antioxidant capacity of broccoli florets grown under different nitrogen treatments combined with selenium. Pol. J. Food Nutr. Sci. 2018, 68, 179–186. [Google Scholar] [CrossRef]
- World Reference Base for Soil Resources: International Soil Classification System for Naming Soils and Creating Legends for Soil; WorldSoil Resources Reports 2014, No. 106; Field experiment; FAO: Rome, Italy; Available online: http://www.fao.org/3/i3794en/I3794EN.pdf (accessed on 10 July 2020).
- Amarowicz, R.; Wanasundara, U.N.; Karamać, M.; Shahidi, F. Antioxidant activity of ethanolic extract of mustard seed. Nahrung–Food 1996, 40, 261–263. [Google Scholar] [CrossRef]
- Amarowicz, R.; Raab, B. Antioxidative activity of leguminous seed extracts evaluated by chemiluminescence methods. Zeit. Naturforsch. C 1997, 52, 709–712. [Google Scholar] [CrossRef]
- Crozier, A.; Jensen, E.; Lean, M.E.I.; McDonald, M.S. Quantitative analysis of flavonoids by reverse-phase high performance liquid chromatography. J. Chromatogr. A 1997, 761, 315–321. [Google Scholar] [CrossRef]
- Peiretti, P.G.; Karamać, M.; Janiak, M.; Longato, E.; Meineri, G.; Amarowicz, R.; Gai, F. Phenolic composition and antioxidant activities of soybean (Glycine max (L.) Merr.) plant during growth cycle. Agronomy 2019, 9, 153. [Google Scholar] [CrossRef]
- Re, R.; Pellegrini, N.; Proteggente, A.; Pannala, A.; Yang, M.; Rice-Evans, C. Antioxidant activity applying an improved ABTS radical cation decolorization assay. Free Radic. Biol. Med. 1999, 26, 1231–1237. [Google Scholar] [CrossRef]
- Benzie, I.E.F.; Strain, J.J. Ferric reducing/antioxidant power assay: Direct measure of total antioxidant activity of biological fluids and modified version for simultaneous measurement of total antioxidant power and ascorbic acid concentration. Methods Enzymol. 1990, 299, 15–27. [Google Scholar] [CrossRef]
- Zia-Ul-Haq, M.; Iqbal, S.; Ahmad, S.; Bhanger, M.I.; Wiczkowski, W.; Amarowicz, R. Antioxidant potential of Desi chickpea varieties commonly consumed in Pakistan. J. Food Lipids 2008, 15, 326–342. [Google Scholar] [CrossRef]
- Amarowicz, R.; Pegg, R.B. Protection of natural antioxidants against low-density lipoprotein oxidation. Adv. Food Nutr. Res. 2020, 93, 251–296. [Google Scholar] [CrossRef] [PubMed]
- Mert-Türk, F.; Kemal, Ü.L.; Egesel, Ö. Nitrogen and fungicide applications against Erysiphe cruciferarum affect quality components of oilseed rape. Mycopathologia 2008, 165, 27–35. [Google Scholar] [CrossRef] [PubMed]
- Li, J.; Zhu, Z.; Gerendas, J. Effects of nitrogen and sulfur on total phenolics and antioxidant activity in two genotypes of leaf mustard. J. Plant Nutr. 2008, 31, 1642–1655. [Google Scholar] [CrossRef]
- Wendy, A.; Johnson, W.J.; Raymond, A.; Cloyd, R.A.; Nechols, J.R.; Williams, K.A.; Nathan, O.; Nelson, N.O.; Rotenberg, D.; Kennelly, M.M. Effect of nitrogen source on pac choi (Brassica rapa L.) chemistry and interactions with the diamondback moth (Plutella xylostella L.). HortScience 2012, 47, 1457–1465. [Google Scholar] [CrossRef]
- Lo Scalzo, R.; Picchi, V.; Migliori, C.A.; Campanelli, G.; Leteo, F.; Ferrari, V.; Di Cesare, L.F.. Variations in the phytochemical contents and antioxidant capacity of organically and conventionally grown Italian cauliflower (Brassica oleracea L. subsp. botrytis): Results from a three-year field study. J. Agric. Food Chem. 2013, 61, 10335–10344. [Google Scholar] [CrossRef]
- Conversa, G.; Bonasia, A.; Lazzizera, C.; Elia, A. Bio-physical, physiological, and nutritional aspects of ready-to-use cima di rapa (Brassica rapa L. subsp. sylvestris L. Janch. var. esculenta Hort.) as affected by conventional and organic growing systems and storage time. Sci. Hortic. 2016, 213, 76–86. [Google Scholar] [CrossRef]
- Vinha, A.F.; Barreira, S.V.P.; Costa, A.S.G.; Alves, R.C.; Oliveira, M.B.P.P. Organic versus conventional tomatoes: Influence on physicochemical parameters, bioactive compounds and sensorial attributes. Food Chem. Toxicol. 2014, 2014. 67, 139–144. [Google Scholar] [CrossRef]
- Picchi, V.; Migliori, C.; Lo Scalzo, R.; Campanelli, G.; Ferrari, V.; Di Cesare, L.F. Phytochemical content in organic and conventionally grown Italian cauliflower. Food Chem. 2012, 501–509. [Google Scholar] [CrossRef]
- Valverde, J.; Reilly, K.; Villacreces, S.; Gaffney, M.; Granta, J.; Brunton, N. Variation in bioactive content in broccoli (Brassica oleracea var. italica) grown under conventional and organic production systems. J. Sci. Food Agric. 2015, 95, 1163–1171. [Google Scholar] [CrossRef] [PubMed]
- Williams, D.J.; Edwards, D.; Hamernig, I.; Jian, L.; James, A.P.; Johnson, S.K.; Tapsell, L.C. Vegetables containing phytochemicals with potential anti-obesity properties: A review. Food Res. Int. 2013, 52, 323–333. [Google Scholar] [CrossRef]
- Salama, Z.A.; El Baz, F.K.; Gaafar, A.A.; Zaki, M.F. Antioxidant activities of phenolics, flavonoids and vitamin C in two cultivars of fennel (Foeniculum vulgare Mill.) in responses to organic and bio-organic fertilizers. J. Saudi Soc. Agric. Sci. 2015, 14, 91–99. [Google Scholar] [CrossRef]
- Treutter, D. Managing phenol contents in crop plants by phytochemical farming and breeding – visions and constraints. Int. J. Mol. Sci. 2010, 11, 807–857. [Google Scholar] [CrossRef]
- Heimler, D.; Isolani, L.; Vignolini, P.; Romani, A. Polyphenol content and antiradical activity of Cichorium intybus L. from biodynamic and conventional farming. Food Chem. 2009, 114, 765–770. [Google Scholar] [CrossRef]
- Sinkovič, L.; Demšar, L.; Žnidarčič, D.; Vidrih, R.; Hribar, J.; Treutter, D. Phenolic profiles in leaves of chicory cultivars (Cichorium intybus L.) as influenced by organic and mineral fertilizers. Food Chem. 2015, 166, 507–513. [Google Scholar] [CrossRef]
- Ibrahim, M.H.; Hawa, Z.E.; Jaafar, H.Z.; Karimi, E.; Ghasemzadeh, A. Impact of organic and inorganic fertilizers application on the phytochemical and antioxidant activity of Kacip Fatimah (Labisia pumila Benth). Molecules 2013, 18, 10973–10988. [Google Scholar] [CrossRef]
- Tavarini, S.; Sgherri, C.; Ranieri, A.M.; Angelini, L.G. Effect of nitrogen fertilization and harvest time on steviol glycosides, flavonoid composition, and antioxidant properties in Stevia rebaudiana Bertoni. J. Agric. Food Chem. 2015, 63, 7041–7050. [Google Scholar] [CrossRef]
- Alizadeh, A.; Khoshkhui, M.; Javidnia, K.; Firuzi, O.; Tafazoli, E.; Khalighi, A. Effects of fertilizer on yield, essential oil composition, total phenolic content and antioxidant activity in Satureja hortensis L. (Lamiaceae) cultivated in Iran. J. Medic. Plants Res. 2010, 4, 33–40. [Google Scholar] [CrossRef]
- Ferreira, V.B.; Da Silva, T.T.C.; Couto, S.R.M.; Srur, A.U.O.S. Total phenolic compounds and antioxidant activity of organic vegetables consumed in Brazil. Food Nutr. Sci. 2015, 6, 798–804. [Google Scholar] [CrossRef]
- Ancillotti, C.; Ciofi, L.; Pucci, D.; Sagona, E.; Giordani, E.; Biricolti, S.; Gori, M.; Petrucci, W.A.; Giardi, F.; Bartoletti, R.; et al. Polyphenolic profiles and antioxidant and antiradical activity of Italian berries from Vaccinium myrtillus L. and Vaccinium uliginosum L. subsp. gaultherioides (Bigelow) S.B. Young. Food Chem. 2016, 204, 176–184. [Google Scholar] [CrossRef] [PubMed]
- Terpinc, P.; Čeh, B.; Poklar Ulrih, N.; Abramovič, H. Studies of the correlation between antioxidant properties and the total phenolic content of different oil cake extracts. Ind. Crops Prod. 2012, 39, 210–217. [Google Scholar] [CrossRef]
© 2020 by the authors. Licensee MDPI, Basel, Switzerland. This article is an open access article distributed under the terms and conditions of the Creative Commons Attribution (CC BY) license (http://creativecommons.org/licenses/by/4.0/).



