Abstract
Fig tree cultivation land resources are not fully utilized and introducing them into sustainable medicinal agroforestry systems can effectively achieve resource protection and reuse. Laboratory and pot experiments were applied to study the allelopathic effects of fig tree (Ficus carica L.) leaf aqueous extract at five mass concentrations of 8.3, 10.0, 12.5, 16.7, and 25.0 g/L on the morphological and physiological indexes of mint (Mentha haplocalyx Briq.), dandelion (Taraxacum mongolicum Hand.-Mazz.), and woad (Isatis indigotica Fort.). The results showed that mint had the best seed germination rate. The leaf aqueous extract at lower concentrations had a strong promoting effect on the biomass and photosynthetic parameters of mint, dandelion, and woad. With the increase in leaf aqueous extract concentration, the superoxide dismutase, peroxidase, and catalase activity of mint, dandelion, and woad increased initially and then decreased, but the malondialdehyde content increased. The synthetic allelopathic indexes of the three medicinal plants were in the following order: mint > woad > dandelion. Both the low and medium concentration extracts (8.3 g/L–12.5 g/L) showed an obvious promoting effect, while high concentrations exhibited distinct inhibiting effects. In conclusion, mint is the most suitable medicinal plant to be interplanted with fig trees for introduction into medicinal agroforestry systems.
1. Introduction
Medicinal agroforestry systems are suitable for the sustainable utilization of land resources. They are able to make use of the land and water resources of the open space under forests by the planting of high-quality local medicinal plants, thereby turning a single piece of forested land into a compound ecosystem with multiple functions and structures [1,2]. In this way, the coordinated development of ecology, industry, and economy can be finally achieved. Naturally, medicinal plants grown in woodlands are more adapted to a growth environment under forests. Therefore, compound planting of forest medicines improves the quality of medicinal plants [3]. As a variety of sustainable land use transformations that combine production benefits and environmental benefits, medicinal agroforestry systems have a higher capacity to absorb and utilize light energy, water, and nutrients required for growth than a single land-use system. Medicinal agroforestry systems make full use of the land gap between returning farmland to forest, thereby improving land use yield and land production efficiency [4].
Allelopathy means the effect of a plant on the growth and development of another plant by releasing certain allelochemicals into the environment [5,6]. Allelopathic plants produce allelopathic effects on recipient plants through volatilization of stems and leaves, leaching of allelopathic substances, root secretions, or excretion of allelopathic substances into the environment during the decomposition of plant residues [7,8]. These allelochemicals may affect the growth of recipient plants including growth promotion or inhibition [9,10]. Allelopathy is a principal element affecting the compound planting of medicinal plants [11,12]. Therefore, in order to establish a medicinal agroforestry system with a harmonious relationship between various species, it is necessary to conduct an in-depth study on the allelopathy of medicinal agroforestry systems.
The fig tree (Ficus carica L.) is a ficus plant in the Moraceae family. It is a perennial deciduous shrub with rapid growth and broad branches and leaves. The fig tree is a robust and highly productive traditional medicinal plant that can adapt well to weather changes [13]. Several studies have reported the anti-tumor, anti-oxidation, anti-inflammatory, anti-fatigue, and anti-cancer properties of the fig tree [14,15]. Fig trees are cultivated over almost all of China, but mostly in Weihai, Shandong Province. Mint (Mentha haplocalyx Briq.) is a perennial aromatic plant of the mint genus in the Lamiaceae family. Modern pharmacological studies have shown that mint has anti-tumor, anti-bacterial, and anti-inflammatory properties and can effectively relieve pain [16,17,18]. Mint is rich in amino acids, anti-oxidation components, organic elements, vitamins, and other nutrients [19,20]. Dandelion (Taraxacum mongolicum Hand.-Mazz.) is a kind of perennial herb of homology for medicine and food plants. Dandelion has the advantages of strong environmental adaptability, high disease resistance, strong vitality, and strong fecundity [21]. It is reported that dandelion has shown beneficial effects in clearing heat and detoxification, invigorating the stomach, reducing inflammation, and reducing swelling [22,23]. Woad (Isatis indigotica Fort.) is a cruciferous plant that is a heliophile, cold-resistant, and tolerant to harsh conditions. It is a traditional Chinese medicinal plant that has the function of treating viral infection and inflammation and has been used clinically for centuries [24,25,26].
Studies show that the growth rate and net photosynthetic rate of Taxus cuspidate with compound planting with Ficus carica L. are significantly increased, which promotes the growth of both plants. Fig trees are planted in many places, and land resources are not fully utilized. In the first few years after planting, fig trees have no fruit, or the amount of fruit is relatively low. At this time, the canopy closure of the fig tree has not yet accelerated. Chinese medicinal plants that are heliophilous, thin, and low in stalks were interplanted in the open space between the rows and plants; thus, compound management was carried out, which can generate benefits in the current year and increase the utilization rate of land. Therefore, further study on the compound planting of fig trees can make more effective use of land resources and solve the problem of land contention. Furthermore, this can help exploit the resources of Chinese herbal medicine and promote the use of pollution-free cultivation methods to reduce the application of pesticides and fertilizers [27]. These two kinds of medicinal plants promote the growth of each other, augment their biomass, and improve the quality of Chinese medicinal plants.
The effect of promotion or inhibition by the two medicinal plants is key in medicinal agroforestry systems. Fig trees may play a promoting or inhibiting role in affecting the growth of medicinal plants interplanted with it. Before establishing medicinal agroforestry systems, the allelopathic effects of fig trees on medicinal plants should be studied in order to explore the medicinal plant varieties suitable for compound management with fig trees.
Fig trees are the main tree species planted in Shandong Province, China, with a large planting area and suitable canopy closure, which can ensure the normal growth of Chinese medicinal plants. According to the biological characteristics of Chinese herbal medicines, the types of medicinal plants should be selected according to local natural environment conditions to guarantee that sufficient soil nutrients and moisture will be obtained during the growth of the medicinal plants.
In this study, mint, dandelion, and woad, which are suitable for growing in Shandong, were used as recipient plants; the presence, direction, and intensity of the allelopathy of fig tree leaf aqueous extract on three medicinal plants were investigated. The allelopathic effects of different concentrations of fig tree leaf aqueous extract on mint, dandelion, and woad’s seed germination, seedling growth, and physiological indicators were analyzed. The aqueous extract of fig tree leaves is chosen to be applied in three medicinal plants, which is a way of simulating the rain and mist leaching route. We explored the types of medicinal plants suitable for compound management with fig trees. The objectives of this paper were to (1) determine the effect of fig tree leaf aqueous extract on the germination and seedling growth of mint, dandelion, and woad; (2) to ascertain which medicinal plants are most suitable for promoting the growth of both; and (3) to communicate the idea of compound planting fig trees with medicinal plants.
2. Materials and Methods
2.1. Plant Materials
The experimental seeds were mint, dandelion, and woad. Fig tree leaves and the seeds of three medicinal plants were collected from the experimental fields of Xiazhuang, Rongcheng City, Shandong Province, China (37°23′ N; 122°52′ E). The region belongs to a warm temperate monsoon-type humid climate zone, with an average annual temperature of around 12 °C; the average sunshine duration and rainfall are 2538 h and 730 mm, respectively.
2.2. Preparation of Aqueous Extracts Solutions
The preparation process for fig tree leaf aqueous extract was as follows: the fig tree leaves were dried at room temperature for 48 h, triturated in a blender, passed through an 80-mesh sieve, and crushed into a fine powder. A mixture of fig tree leaf powder sample (5 g) and 200 mL of distilled water was prepared, then shaken at a constant rate of 25 °C for 24 h. The mixture combined with residue, which was filtered twice, and an aqueous extract at concentrations of 25 g/L was obtained. The concentrations of the extract produced in this way were 0.0, 8.3, 10.0, 12.5,16.7, and 25.0 g of fig tree leaf powder per L of water, and they were stored at 4 °C before being used.
2.3. Seed Germination Experiment
Seeds of mint, dandelion, and woad were soaked in 5% sodium hypochlorite solution for 3 min. The purpose of this was to disinfect and sterilize them, before rinsing with distilled water at least 3 times, and then they were dried at room temperature. Three replicates, each with 50 seeds, were prepared for each treatment using a sterile Petri dish (90 mm) covered with two layers of filter paper. A total of 10 mL of different concentrations of fig tree leaf aqueous extract was added to each clearly labeled Petri dish. The control groups were each given 10 mL of deionized water. Six different treatments (0.0 g/L, 8.3 g/L, 10.0 g/L, 12.5 g/L, 16.7 g/L, and 25.0 g/L) were applied to the seeds of mint, dandelion, and woad. All treatments had three replications. All the clearly labeled Petri dishes were placed in an incubator with a constant temperature of 25 ± 1 °C, 70% humidity, and 12 h of light. We kept track of the number of germinated seeds of mint, dandelion, and woad daily and kept the petri dish moist by adding a corresponding treatment solution every 24 h. After the seeds had germinated, and there was no further germination for 3 consecutive days, the germination tests were considered to have been completed. In order to detect the influence of fig tree leaf aqueous extract on the seed germination process, the following indexes were tested: germination rate (GR), germination potential (GP), germination index (GI), and seedling vigor index (SVI). The indices were calculated according to the following equations [28,29,30]:
Gt: the number of germinated seeds per day corresponding to Dt.
Dt: the number of germination days.
.
2.4. Pot Experiment
Pot experiments for the seedling growth of mint, dandelion, and woad with the fig tree leaf aqueous extract were conducted to further validate the laboratory experiment results. The potted seedlings were run in a greenhouse at Northeast Forestry University on 22 April 2020. A total of 6 kg soil was poured into each pot with an upper mouth diameter of 20 cm, a lower mouth diameter of 18 cm, and a height of 25 cm. The soil was collected in the experimental fields of Xiazhuang, Rongcheng City. The seeds of mint, dandelion, and woad were sown in the pots with 30 seeds per pot. They were thinned to 5 seedlings of a similar height and size per pot after growing for 12 days. The pot experiment was conducted for 60 days from 4 May 2020 to 2 July 2020, and there were 72 pots of each medicinal plant. In the process of seedling growth, they were randomly divided into six treatment groups. Each treatment group was treated with different concentrations of fig tree leaf aqueous extract (0.0 g/L, 8.3 g/L, 10.0 g/L, 12.5 g/L, 16.7 g/L, and 25.0 g/L). Each treatment group had twelve replications. The overground and underground biomass change to were determined in different periods (15, 30, 45, and 60 days). Sixty days later, photosynthetic indexes, antioxidant enzyme activity, and other physiological indexes in each treatment group were investigated.
A total of 100 mL of fig tree leaf aqueous extract was irrigated every 3 days in each pot and replenished appropriately according to the soil moisture condition. For the measurements of plant biomass, three pots of each medicinal plant were randomly selected in each treatment group and were carefully washed with water to remove debris; the overground and underground parts of different plants were separated accordingly. Seedlings of overground part dry weight (ODW) and underground part dry weight (UDW) were dried at 80 °C to a constant weight by measuring with a precision balance. The photosynthetic parameters such as the net photosynthetic rate (Pn), transpiration rate (Tr), stomatal conductance (Gs), and intercellular CO2 concentration (Ci) of three medicinal plants were measured using a Yaxin-1102 portable photosynthesis apparatus on a sunny day between 09:00 and 11:00. The CO2 concentration was maintained at 452 mmol CO2 mol. We repeated the measurement until a steady reading was obtained.
The physiological and biochemical characteristics of three medicinal plant seedlings were assayed. Chlorophyll a (Chla), chlorophyll b (Chlb), and total chlorophyll (Chl) in the plants were assessed by the spectrophotometric method [31]. Superoxide dismutase (SOD) activity was detected by measuring the ability of the solution to inhibit the photochemical reduction of nitroblue tetrazolium (NBT) [32], whereas peroxidase (POD) activity was measured by the guaiacol process [33]. The activity of catalase (CAT) was measured by the ultraviolet absorption method [34]. The malondialdehyde (MDA) content was detected employing the 2-thiobarbituric acid (TBA) colorimetric methodology [35].
2.5. Synthetical Allelopathic Effect Index (SE)
The synthetical allelopathic effect was detected by the arithmetic mean of the response indices of allelopathic effect (RI) values on the same several receptor measure test items [36].
T: treatment, C: control.
When RI > 0, it means there is a promotion effect; when RI<0, it means there is an inhibitory effect.
2.6. Statistical Analysis
All experiments were conducted as a randomized complete design in three replications. SPSS 22.0 was used; one-way ANOVA and Duncan’s multiple range test (p < 0.05) were used to further deal with the experimental data differences between treatments. Figures were created with Origin Pro 9.0.
3. Results
3.1. Effects of Fig Tree Leaf Aqueous Extract on Seed Germination of Mint, Dandelion, and Woad
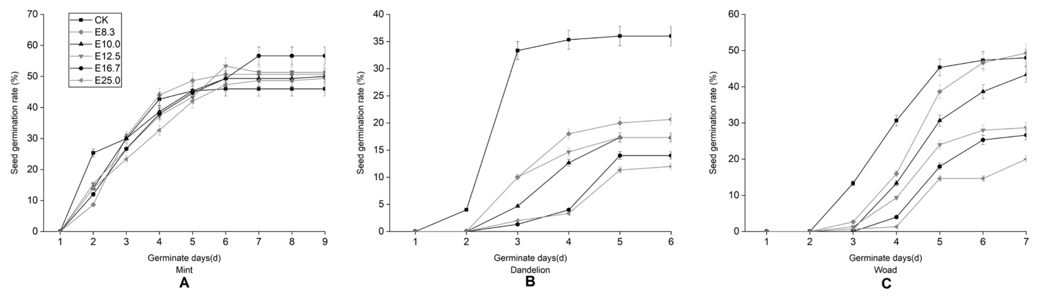
The GR of mint was the highest in all the different concentrations of fig tree leaf aqueous extract, and the GR in mint E8.3 attained its maximum value, which was increased by over 23.2%. The GR of dandelion and woad decreased with increasing concentrations of the fig tree leaf aqueous extract (Figure 1). The GP values of mint peaked in E8.3 and decreased with increasing concentrations of the fig tree leaf aqueous extract compared to CK. Regardless of fig tree leaf aqueous extract concentration, the GR, GP, GI, and SVI values of dandelion were clearly lower as compared to the control (Table 1). The GP and SVI values of dandelion and woad decreased with increasing fig tree leaf aqueous extract concentrations as compared to the control (Table 1). Based on these results, the GR of the three medicinal plants was in the following order: mint > woad > dandelion.
Figure 1.
Effect of leaf aqueous extract of fig tree on seed germination rate of (A) Mint, (B) Dandelion and (C) Woad. Values are reported as mean ± SD, n = 3. CK, 0.0 g/L; E8.3, 8.3 g/L; E10.0, 10.0 g/L; E12.5, 12.5 g/L; E16.7, 16.7 g/L; E25.0, 25.0 g/L.
Table 1.
Effect of different concentrations of the aqueous leaf extract of fig tree on the seed germination of mint, dandelion, and woad.
3.2. Effects of Fig Tree Leaf Aqueous Extract on Seedling Growth of Mint, Dandelion, and Woad
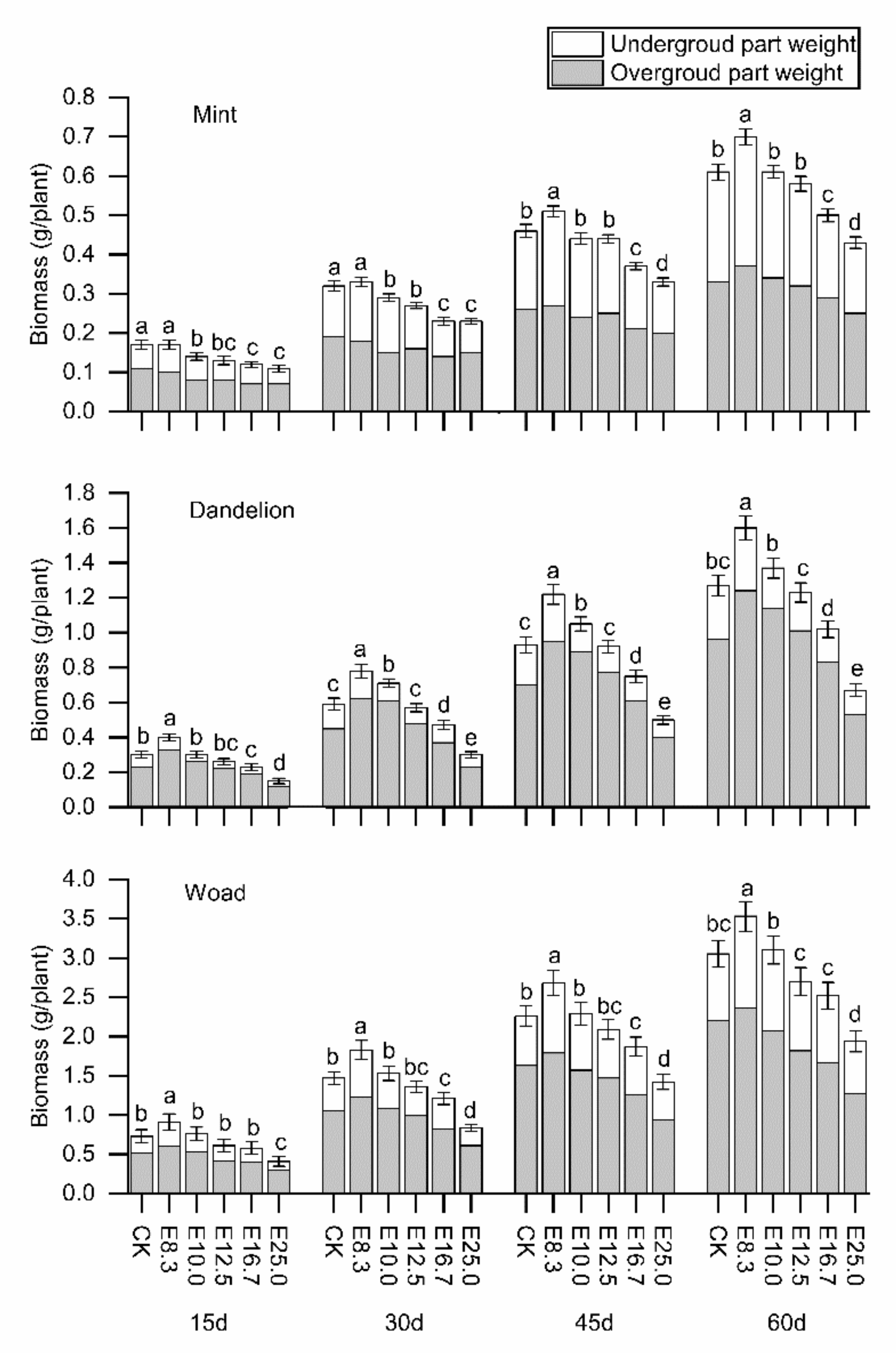
There was no significant difference between the E8.3 treatment group with fig tree leaf aqueous extract and the control group on mint at 15d and 30d, while the other treatment groups showed an inhibitory effect. At 45d and 60d, the whole plant biomass of the E8.3 treatment group of mint was the highest, which was significantly different from that of CK. There was no significant difference between the E10.0 and E12.5 treatment groups and the control group. The E16.7 and E25 treatment groups of mint showed an inhibitory effect compared with CK. At 15–60 days, the biomass of dandelion and woad reached the highest in the E8.3 treatment group. The treatment groups with other concentrations, as compared with the control group, had no significant differences or inhibitory effects (Figure 2).
Figure 2.
Effect of leaf aqueous extract of fig tree on overground and underground biomass of three medicinal plants. Values are reported as mean ± SD, n = 3. CK, 0.0 g/L; E8.3, 8.3 g/L; E10.0, 10.0 g/L; E12.5, 12.5 g/L; E16.7, 16.7 g/L; E25.0, 25.0 g/L. Lowercase letters represent significant differences in each treatment group (p < 0.05).
The dry masses of the three medicinal plant seedlings varied according to the concentrations of the fig tree leaf aqueous extract. The E8.3 treatment with fig tree leaf aqueous extract had excellent promoting effects on ODW, UDW, and total dry weight (TDW). ODW, UDW, and TDW peaked in E8.3 (mint, E8.3: increases of 12.1%, 17.9%, and 12.9%, respectively; dandelion, E8.3: increases of 29.2%, 16.1%, and 25.0%, respectively; woad, E8.3: increases of 7.3%, 37.6%, and 15.4%, respectively) (Table 2). The three parameters in other concentrations were all significantly lower than the control, and the indexes showed a downward trend as the extract concentration increased.
Table 2.
Effect of different concentrations of the aqueous leaf extracts of fig tree on the seedling growth of mint, dandelion, and woad.
3.3. Effects of Fig Tree Leaf Aqueous Extract on Photosynthesis of Mint, Dandelion, and Woad
The Pn, Tr, Gs, and Ci of mint increased initially and then decreased slowly with increasing fig tree leaf aqueous extract concentrations. The E10.0 treatment with the fig tree leaf aqueous extract had strong promoting effects on Pn, Tr, Gs, and Ci for mint (mint, E10.0: increases of 25.4%, 24.9%, 22.3%, and 28.5%, respectively) (Figure 3). The Pn, Tr, Gs, and Ci of dandelion was significantly reduced and were all less than in the control, except the Pn, Gs, and Ci of dandelion at E8.3. The four indicator values of woad were all higher than CK and decreased with increasing fig tree leaf aqueous extract concentrations.
Figure 3.
Effect of leaf aqueous extract of fig tree on (A) Pn, (B) Tr, (C) Gs and (D) Ci of three medicinal plants. Values are reported as mean ± SD, n = 3. CK, 0.0 g/L; E8.3, 8.3 g/L; E10.0, 10.0 g/L; E12.5, 12.5 g/L; E16.7, 16.7 g/L; E25.0, 25.0 g/L. Lowercase letters represent significant differences in each treatment group (p < 0.05).
The Chla, Chlb, and Chl contents of mint increased initially and peaked in E10.0, and then they slowly decreased as the concentration of the extract increased. The Chla, Chlb, and Chl contents in dandelion and woad presented a significant decline as the concentration of the fig tree leaf aqueous extract became larger, and the three indicators peaked in E8.3 (dandelion, E8.3: increases of 0.4%, 2.1%, and 1.2%, respectively; woad, E8.3: increases of 32.2%, 68.7%, and 47.3%, respectively) (Figure 4).
Figure 4.
Effect of leaf aqueous extract of fig tree on the content of (A) chlorophyll a, (B) chlorophyll b and (C) total chlorophyll of three medicinal plants. Values are reported as mean ± SD, n = 3. CK, 0.0g/L; E8.3, 8.3 g/L; E10.0, 10.0 g/L; E12.5, 12.5 g/L; E16.7, 16.7 g/L; E25.0, 25.0 g/L. Lowercase letters represent significant differences in each treatment group (p < 0.05).
3.4. Effects of Fig Tree Leaf Aqueous Extract on Photosynthesis of Mint, Dandelion, and Woad
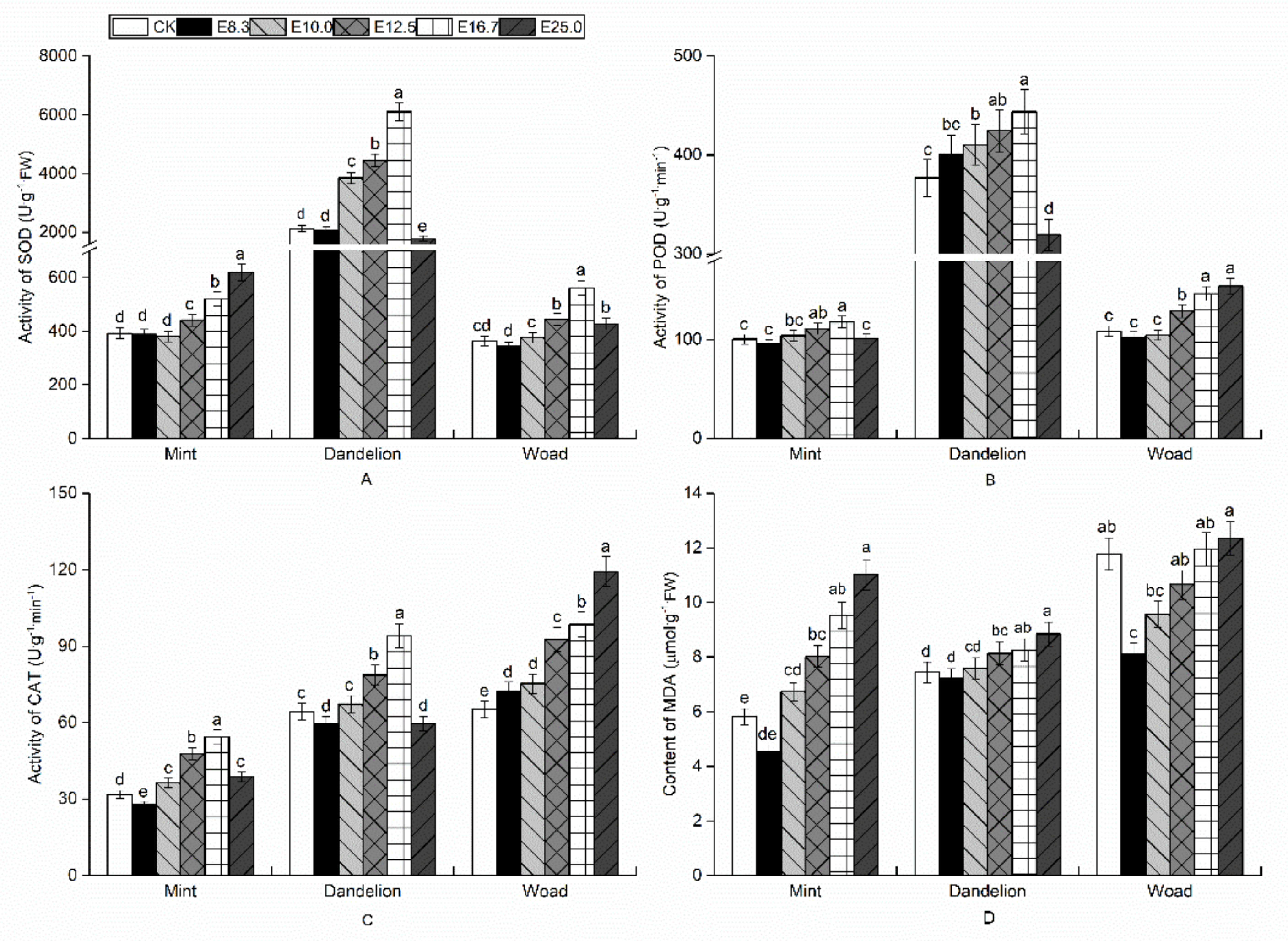
A continued increase in the activities of SOD values was observed in mint, dandelion, and woad under increasing leaf aqueous extract concentrations, whereas there was a decrease at E25.0 in dandelion and woad. With the concentration of the fig tree leaf aqueous extract at E25.0, the SOD content of mint was significantly higher than that of CK, increasing by 57.9%. The mint and dandelion POD activity initially increased then showed tendency to reduce with increasing concentrations of fig tree leaf aqueous extract. With the increase in fig tree leaf aqueous extract concentration, the POD activity of woad gradually increased, reaching the maximum at E25.0, an increase of 42.2% compared with CK. The CAT activity of mint and dandelion increased first and then reduced with the increase in the concentration of fig tree leaf aqueous extract. CAT activity in woad was significantly higher than the control at all concentrations of fig tree leaf aqueous extract. With the increase in the concentration of the fig tree leaf aqueous extract, the MDA content of mint, dandelion, and woad showed an upward trend. The MDA content of mint was almost 1.9 times that of the control at E25.0 (Figure 5).
Figure 5.
Effect of leaf aqueous extract of fig tree on (A) SOD, (B) POD, (C) CAT and (D) MDA content of three medicinal plants. Values are reported as mean ± SD, n = 3. CK, 0.0 g/L; E8.3, 8.3 g/L; E10.0, 10.0 g/L; E12.5, 12.5 g/L; E16.7, 16.7 g/L; E25.0, 25.0 g/L. Lowercase letters represent significant differences in each treatment group (p < 0.05).
3.5. Allelopathic Effects of Fig Tree Leaf Aqueous Extract on Mint, Dandelion, and Woad
Five indicators (GR, GP, GI, SVI, and TDW) were employed to investigate the synthetic allelopathy effect (SE) values to speculate the total allelopathic intensity of the fig tree leaf aqueous extract at different concentrations on three medicinal plants (Figure 6). When the fig tree leaf aqueous extract was at E8.3, E10.0, and E12.5, the mint growth was promoted, and the maximum value was 0.034 at E8.3. The SE values were negative at all tested concentrations (except E8.3), showing an inhibitory effect on woad. The inhibitory effect at all tested concentrations on dandelion was conspicuous, reaching the maximum SE value (−0.736). According to the SE values, the allelopathic effect of fig tree leaf on the three medicinal plants was as follows: mint > woad > dandelion.
Figure 6.
Allelopathic effects of fig tree leaf aqueous extracts at different concentrations on three medicinal plants. SE was calculated as the average allelopathic index (RI) of all indicators with each treatment of three medicinal plants. CK, 0.0 g/L; E8.3, 8.3 g/L; E10.0, 10.0 g/L; E12.5, 12.5 g/L; E16.7, 16.7 g/L; E25.0, 25.0 g/L.
4. Discussion
Medicinal plants are commonly applied in the pharmaceutical and food industries because of their medicinal value, so their high-yield planting is crucial [37]. The fig tree is a kind of well-known homology for medicinal and food plants. In this study, appropriate medicinal plants were found for interplanting with fig trees, improving their seed germination and seedling growth. Plant allelopathy is a ubiquitous ecological mechanism in nature, and it is an important factor affecting seed germination and seedling growth. Seed germination of mint, dandelion, and woad was promoted or inhibited in different degrees using fig tree leaf aqueous extract. The higher the concentration of the extract, the more intense their inhibitory effect on the seed germination of the recipient plants, which is in keeping with the formerly reported trend [38,39]. It has been reported that gradients in allelochemical concentrations have a strong promoting effect on plant growth [40,41]. The leaf aqueous extract of the fig tree has an extremely strong effect on the seed germination of mint, which can still germinate normally even under higher concentrations of the aqueous leaf extract. This may be due to the increased osmotic pressure of mint cells, which increases the water absorption capacity of cells. It may also be that the trace inorganic ions in mint cells have a stimulating effect on respiratory enzyme activity, which improves the ability of plants to generate nutrients, therefore promoting seed germination of mint [42]. The result shows that mint has strong adaptability, which plays a pivotal role in its becoming a dominant species.
Changes in the dry weight of mint, dandelion, and woad seedlings were related to their stimulating effect on growth. The maximum decrease in the ODW, UDW, and TDW occurred with highest concentration of the fig tree leaf aqueous leaf extract (E25.0). Differences in weight can be attributed to different allelopathic forces, which are caused by the structural modifiability of the allelopathic compounds [43]. Allelochemicals produced by many plant species adversely affect the photosystem II quantum efficiency, thereby reducing the net assimilation of photosynthesis [44]. In the present study, we speculated that the allelochemicals existing at higher concentrations in fig tree leaf aqueous extract reduced the photosynthetic activity of mint, dandelion, and woad seedlings, resulting in a decrease in ODW, UDW, and TDW. Plant pigments are an important material basis for plant photosynthesis, reflecting the photosynthetic capacity of organisms [45]. At lower concentrations of fig tree leaf aqueous extract, all the seven parameters (Pn, Tr, Gs, Ci, Chla, Chlb, and Chl) showed promoting effects. However, the allelochemical content of fig tree leaf aqueous extract increased with increasing concentrations of fig tree leaf aqueous extract, resulting in an enhanced inhibition effect. These results show that the allelochemicals from fig tree leaves can pass through non-stomata restriction [46,47], causing the chlorophyll molecules to be degraded and a decrease in photosynthesis rate [48]. Some studies have noted that allelochemicals have a significant inhibitory effect on the gene expression of photosynthesis in plant cells, inhibiting the formation of Chl through multiple targets [49], further weakening the photosynthesis rate and oxygen absorption capacity of plants such as Pn, Tr, Gs, and Ci [50].
With the increase in the concentration of fig tree leaf aqueous extract, the activities of SOD, POD, and CAT in the seedlings of three tested medicinal plants increased initially and then decreased, while the MDA content gradually increased. The accumulation of MDA is an index of the degree of lipid peroxidation, which can directly reflect the degree of cell membrane lipid peroxidation and the level of stress experienced by plants [51,52]. At high concentrations, the protective enzyme activity decreased gradually. There have been many studies reporting that some phenolic substances with high concentrations of allelochemicals can inhibit photosynthesis and antioxidant enzyme activity; they produce higher amounts of active enzymes, which cause damage to cells, reduce the plant’s ability to remove active oxygen, and destroy the structure of plant cell membranes, thus weakening the protective effect [53,54,55]. Under adversity stress, plants respond to unfavorable environmental factors by regulating gene expression and changing metabolic intensity or pathways [56]. Plants are able to adjust the activity of antioxidant enzyme systems (SOD, POD, and CAT) to remove excess oxygen free radicals and MDA under stress, and ultimately achieve self-protection [57,58].
The synthetic allelopathic index can fully express the allelopathic intensity of the three medicinal plants we tested [59]. Although allelopathy is normally regarded as an inhibitory mechanism, a few studies have indicated that plants promote the growth of surrounding plants through a variety of mechanisms [60,61]. Previously, it has been reported that Ficus benghalensis leaf aqueous extract had an inhibitory effect on seed germination, root elongation, and seedling weight of maize, mung bean, and sunflower [62]. However, there is no report on the allelopathy of the fig tree. Allelochemicals can act on recipient plants through plant volatilization, rain and mist leaching, root secretions, and litter decomposition [7,8]. In our study, when all leaf aqueous extracts were at low and medium concentrations (E8.3–E12.5), they promoted the growth of mint. The SE of mint was significantly higher than that of woad and dandelion. It is suggested that the allelochemicals in fig tree leaves may be released into the soil environment through rain and mist, which can directly or indirectly promote the growth of mint. The allelopathy of plant species is very complex, and the effects of extracts from the same part of the same donor plant on different recipient plants may also be different [63]. Certain plant allelochemicals have hormone-like effects or promote the growth of the recipient plant by changing the hormone composition and concentration of the recipient plant [64]. Some allelopathic substances in fig tree leaves may do the same to enhance mint growth. Allelochemicals can change the structure of the soil microbial community, making it beneficial to the growth of neighboring plants [65,66]. It may be that the allelochemicals in fig tree leaves promote the formation of mycorrhiza, thus promoting the growth of mint. Therefore, further research is necessary to isolate and identify the allelochemicals in fig tree leaves that promote the growth of mint. Roots may affect the growth of neighboring recipient plants by secreting allelochemicals. Therefore, whether there are allelochemicals in the fig tree roots that affect the seed germination and seedling growth of the three medicinal plants needs further research so as to comprehensively understand the allelopathic effects of the fig tree on the three medicinal plants. This study has provided a new perspective on the construction of medicinal agroforestry systems. Our research results regarding the compound planting of fig trees and medicinal plants on the growth of both were obtained by controlling the experimental conditions indoors. Whether it can be equally applicable to large-scale production practice needs further testing and would require in-depth research on the age of the seedlings, the mixing method, the mixing ratio, and the density.
5. Conclusions
Under different concentrations of fig tree leaf aqueous extract, the germination, morphological, physiological, and biochemical indexes of three medicinal plant seedlings (mint, dandelion, and woad) were different, reflecting the different intensities of the allelopathic effects of the fig tree on the three medicinal plants. According to our research results, medium and low concentrations of fig tree leaf aqueous extract had the best growth-promotion effect on mint. Mint is recommended as the most suitable medicinal plant for compound planting with fig trees in the context of forest medicine. Quantitatively studying the allelopathic effects of fig tree leaf aqueous extract on potential compound management of medicinal plants can provide a reliable theoretical foundation for the future development of medicinal agroforestry systems and can be used confirm the types of medicinal plants suitable for compound management with fig trees.
Author Contributions
C.Z. and L.M. conceived the underlying ideas of the study; C.L., X.Y., and Y.T. contributed to the practical aspects of the research work; M.Y., B.Q., and S.S. analyzed the data; and C.L. and X.Y. wrote the manuscript. All authors have read and agreed to the published version of the manuscript.
Funding
This research was funded by the Fundamental Research Fund for Central Universities (2572019CZ01), Heilongjiang Touyan Innovation Team Program (Tree Genetics and Breeding Innovation Team), and the 111 Project of China (B20088).
Data Availability Statement
Not applicable.
Acknowledgments
The author thanks the Rongcheng Healthy Group co., ltd. for supplying the fig trees and the mint, dandelion, and woad seeds.
Conflicts of Interest
The authors declare no conflict of interest.
References
- Kaba, J.S.; Yamoah, F.A.; Acquaye, A. Towards sustainable agroforestry management: Harnessing the nutritional soil value through cocoa mix waste. Waste Manag. 2021, 124, 264–272. [Google Scholar] [CrossRef]
- Schoeneberger, M.M. Agroforestry: Working trees for sequestering carbon on agricultural lands. Agrofor. Syst. 2009, 75, 27–37. [Google Scholar] [CrossRef] [Green Version]
- Verma, R.K.; Chauhan, A.; Verma, R.S.; Rahman, L.U.; Bisht, A. Improving production potential and resources use efficiency of peppermint (Mentha piperita L.) intercropped with geranium (Pelargonium graveolens L. Herit ex Ait) under different plant density. Ind. Crops Prod. 2013, 44, 577–582. [Google Scholar] [CrossRef]
- Sehgal, S. Growth and productivity of Ocimum basilicum influenced by the application of organic manures under Leucaena leucocephala hedgerows in western Himalayan mid hills. Range Manag. Agrofor. 2011, 32, 83–86. [Google Scholar]
- Cheng, H.; Wu, B.; Yu, Y.; Wang, S.; Wei, M.; Wang, C.; Du, D. The allelopathy of horseweed with different invasion degrees in three provinces along the Yangtze River in China. Physiol. Mol. Biol. Plants 2021, 27, 483–495. [Google Scholar] [CrossRef] [PubMed]
- Rice, E.L. Allelopathy, 2nd ed.; Academic Press: New York, NY, USA, 1984; p. 422. [Google Scholar]
- Tseng, M.H.; Kuo, Y.H.; Chen, Y.M.; Chou, C.H. Allelopathic Potential of Macaranga tanarius (L.) Muell.–Arg. J. Chem. Ecol. 2003, 29, 1269–1286. [Google Scholar] [CrossRef] [PubMed]
- Ahmed, R.; Hoque, A.T.M.R.; Hossain, M.K. Allelopathic effects of leaf litters of Eucalyptus camaldulensis on some forest and agricultural crops. J. For. Res. 2008, 19, 19–24. [Google Scholar] [CrossRef]
- Li, J.X.; Ye, J.W.; Liu, D.H. Allelopathic effects of Miscanthus floridulus on seed germination and seedling growth of three crops. J. Appl. Ecol. 2020, 31, 2219–2226. [Google Scholar]
- Zhang, Y.J.; Tang, S.M.; Liu, K.S.; Li, X.F.; Huang, D.; Wang, K. The allelopathic effect of Potentilla acaulis on the changes of plant community in grassland, northern China. Ecol. Res. 2015, 30, 41–47. [Google Scholar] [CrossRef]
- Ning, L.; Yu, F.H.; van Kleunen, M. Allelopathy of a native grassland community as a potential mechanism of resistance against invasion by introduced plants. Biol. Invasions 2016, 18, 3481–3493. [Google Scholar] [CrossRef] [Green Version]
- Islam, A.; Kato-Noguchi, H. Mentha sylvestris: A potential allelopathic medicinal plant. Int. J. Agric. Biol. 2013, 15, 1313–1318. [Google Scholar]
- Abdel-Aty, A.M.; Hamed, M.B.; Salama, W.H.; Ali, M.M.; Fahmy, A.S.; Mohamed, S.A. Ficus carica, Ficus sycomorus and Euphorbia tirucalli latex extracts: Phytochemical screening, antioxidant and cytotoxic properties. Biocatal. Agric. Biotechnol. 2019, 20, 101199. [Google Scholar] [CrossRef]
- Raafat, K.; Wurglics, M. Phytochemical analysis of Ficus carica L. active compounds possessing anticonvulsant activity. J. Tradit. Complement. Med. 2018, 9, 263–270. [Google Scholar] [CrossRef]
- Zhao, J.Y.; Gong, L.M.; Wu, L.L.; She, S.Q.; Liao, Y.; Zheng, H.; Zhao, Z.F.; Liu, G.; Yan, S. Immunomodulatory effects of fermented fig (Ficus carica L.) fruit extracts on cyclophosphamide-treated mice. J. Funct. Foods 2020, 75, 104219. [Google Scholar] [CrossRef]
- Derwich, E.; Benziane, Z.; Taouil, R.; Senhaji, O.; Touzani, M. Aromatic plants of morocco: GC/MS analysis of the essential oils of leaves of mentha piperita. Adv. Environ. Biol. 2010, 4, 80–85. [Google Scholar]
- Dhawan, S.S.; Mishra, A.; Gupta, P.; Bahl, J.R.; Bansal, R.P. Phylogentic relationship of cold tolerant Mentha arvensis variety ’CIM Kranti’ with some released varieties as assessed through physiological and molecular analysis. J. Appl. Res. Med. Aromat. Plants 2018, 10, 67–74. [Google Scholar] [CrossRef]
- Tanticharakunsiri, W.; Mangmool, S.; Wongsariya, K.; Ochaikul, D. Characteristics and upregulation of antioxidant enzymes of kitchen mint and oolong tea kombucha beverages. J. Food Biochem. 2021, 45, e133574. [Google Scholar] [CrossRef]
- Bodalska, A.; Kowalczyk, A.; Wodarczyk, M.; Fecka, I. Analysis of Polyphenolic Composition of a Herbal Medicinal Product-Peppermint Tincture. Molecules 2019, 25, 69. [Google Scholar] [CrossRef] [Green Version]
- Grzeszczuk, M.; Jadczak, D. Estimation of biological value of some species of mint (Mentha, L.). Herba Pol. 2009, 55, 193–199. [Google Scholar]
- Hu, C. Taraxacum: Phytochemistry and health benefits. Chin. Herb. Med. 2018, 10, 353–361. [Google Scholar] [CrossRef]
- Bao, J.; Chen, L.; Liu, T. Dandelion polysaccharide suppresses lipid oxidation in Antarctic krill (Euphausia superba). Int. J. Biol. Macromol. 2019, 133, 1164–1167. [Google Scholar] [CrossRef]
- Choi, B.R.; Cho, I.J.; Jung, S.J.; Kim, J.K.; Lee, D.G.; Ku, S.K.; Park, K.M. Lemon Balm and Dandelion Leaf Extracts Synergistically Protect against Carbon Tetrachloride-Induced Acute Liver Injury in Mice. Appl. Sci. 2021, 11, 390. [Google Scholar] [CrossRef]
- Forner, C.; Zeidler, C.; Stein, P.; Stössel, E.; Wefelmeier, L.; Peukert, N.; Isermann, D.; Ständer, S. Woad extract containing cream improves significantly dry, irritated, and pruritic skin. Dermatol. Ther. 2019, 32, e12939. [Google Scholar] [CrossRef] [PubMed]
- Su, J.H.; Diao, R.G.; Lv, S.G.; Mou, X.D.; Li, K. Modes of Antiviral Action of Chemical Portions and Constituents from Woad Root Extract against Influenza Virus A FM1. Evid. Based Complement. Altern. Med. Ecam. 2016, 2016, 2537294. [Google Scholar] [CrossRef]
- Yang, S.; Wang, Z.Z. The complete chloroplast genome sequence of the medicinal and economic plant woad Isatis indigotica (Brassicaceae). Mitochondrial DNA Part B 2017, 2, 514–515. [Google Scholar] [CrossRef]
- Peng, X.B.; Zhang, Y.Y.; Cai, J.; Jiang, Z.M.; Zhang, S.X. Photosynthesis, growth and yield of soybean and maize in a tree-based agroforestry intercropping system on the Loess Plateau. Agrofor. Syst. 2009, 76, 569–577. [Google Scholar] [CrossRef]
- Kumar, B.; Verma, S.K.; Singh, H.P. Effect of temperature on seed germination parameters in Kalmegh (Andrographis paniculata Wall ex Nees.). Ind. Crops Prod. 2011, 34, 1241–1244. [Google Scholar] [CrossRef]
- Moori, S.; Ahmadi-Lahijani, M.J. Hormopriming instigates defense mechanisms in Thyme (Thymus vulgaris L.) seeds under cadmium stress. J. Appl. Res. Med. Aromat. Plants 2020, 19, 100268. [Google Scholar] [CrossRef]
- Saffari, P.; Majd, A.; Jonoubi, P.; Najafi, F. Effect of treatments on seed dormancy breaking, seedling growth, and seedling antioxidant potential of Agrimonia eupatoria L. J. Appl. Res. Med. Aromat. Plants 2021, 20, 100282. [Google Scholar] [CrossRef]
- Lichtenthaler, H.K.; Wellburn, A.R. Determinations of total carotenoids and chlorophylls a and b of leaf extracts in different solvents. Biochem. Soc. Trans. 1983, 11, 591–592. [Google Scholar] [CrossRef] [Green Version]
- Hu, Y.; Wang, N.S.; Hu, X.J.; Lin, X.Y.; Feng, Y.; Chong, W.J. Nitrate nutrition enhances nickel accumulation and toxicity in Arabidopsisplants. Plant Soil 2013, 371, 105–115. [Google Scholar] [CrossRef]
- Zhang, C.P.; Li, Y.C.; Yuan, F.G.; Hu, S.J.; Liu, H.Y.; He, P. Role of 5-aminolevulinic acid in the salinity stress response of the seeds and seedlings of the medicinal plant Cassia obtusifolia L. Bot. Stud. 2013, 54, 18. [Google Scholar] [CrossRef] [Green Version]
- Aebi, H. Catalase in vitro. Methods Enzymol. 1984, 105, 121–126. [Google Scholar]
- Hodges, D.M.; Delong, J.M.; Forney, C.F.; Prange, R.K. Improving the thiobarbituric acid-reactive-substances assay for estimating lipid peroxidation in plant tissues containing anthocyanin and other interfering compounds. Planta 1999, 207, 604–611. [Google Scholar] [CrossRef]
- Williamson, G.B.; Richardson, D. Bioassays for allelopathy: Measuring treatment responses with independent controls. J. Chem. Ecol. 1988, 14, 181. [Google Scholar] [CrossRef]
- Kala, C.P. Medicinal and aromatic plants: Boon for enterprise development. J. Appl. Res. Med. Aromat. Plants 2015, 2, 134–139. [Google Scholar] [CrossRef]
- Abbas, A.; Huang, P.; Hussain, S.; Saqib, M.; Du, D. Application of allelopathic phenomena to enhance growth and production of camelina (Camelina sativa (L.). Appl. Ecol. Env. Res. 2021, 19, 453–469. [Google Scholar] [CrossRef]
- Pannacci, E.; Pettorossi, D.; Tei, F. Phytotoxic effects of aqueous extracts of sunflower on seed germination and growth of Sinapis alba L., Triticum aestivum L. and Lolium multiflorum Lam. Allelopath. J. 2013, 32, 23–36. [Google Scholar]
- An, Y.; Ma, Y.Q.; Shui, J.F.; Zhong, W.J. Switchgrass (Panicum virgatum L.) has ability to induce germination of Orobanche cumana. J. Plant Interact. 2015, 10, 142–151. [Google Scholar] [CrossRef] [Green Version]
- Sitthinoi, P.; Lertmongkol, S.; Chanprasert, W.; Vajrodaya, S. Allelopathic effects of jungle rice (Echinochloa colona (L.) Link) extract on seed germination and seedling growth of rice. Agric. Nat. Resour. 2017, 51, 74–78. [Google Scholar] [CrossRef]
- Batish, D.R.; Singh, H.P.; Kaur, S. Crop Allelopathy and Its Role in Ecological Agriculture. J. Crops Prod. 2001, 4, 121–161. [Google Scholar] [CrossRef]
- Kwiecińska-Poppe, E.; Kraska, P.; Pałys, E. The influence of water extracts from Galium aparine L. and Matricaria maritima subspinodora (L.) dostál on germination of winter rye and triticale. Acta Sci. Pol. Agric. 2011, 10, 75–85. [Google Scholar]
- Maxwell, K.; Johnson, G.N. Chlorophyll fluorescence-a practical guide. J. Exp. Bot. 2000, 51, 659–668. [Google Scholar] [CrossRef] [PubMed]
- Tanaka, Y.; Sasaki, N.; Ohmiya, A. Biosynthesis of plant pigments: Anthocyanins, betalains and carotenoids. Plant J. 2008, 54, 733–749. [Google Scholar] [CrossRef] [PubMed]
- Colom, M.R.; Vazzana, C. Photosynthesis and PSII functionality of drought-resistant and drought-sensitive weeping lovegrass plants. Environ. Exp. Bot. 2003, 49, 135–144. [Google Scholar] [CrossRef]
- Jones, H.G. Partitioning stomatal and non-stomatal limitations to photosynthesis. Plant Cell Environ. 1985, 8, 95–104. [Google Scholar] [CrossRef]
- Collatz, G.J. Physiological and environmental regulation of stomatal conductance, photosynthesis and transpiration: A model that includes a laminar boundary layer. Agri. For. Meteorol. 1991, 54, 107–136. [Google Scholar] [CrossRef]
- Li, J.X.; Chen, L.; Chen, Q.H.; Miao, Y.H.; Peng, Z.; Huang, B.S.; Guo, L.P.; Liu, D.H.; Du, H.Z. Allelopathic effect of Artemisia argyi on the germination and growth of various weeds. Sci. Rep. 2021, 11, 4303. [Google Scholar] [CrossRef]
- Yu, J.Q.; Ye, S.F.; Zhang, M.F.; Hu, W.H. Effects of root exudates and aqueous root extracts of cucumber (Cucumis sativus) and allelochemicals, on photosynthesis and antioxidant enzymes in cucumber. Biochem. Syst. Ecol. 2003, 31, 129–139. [Google Scholar] [CrossRef]
- Ahmed, I.M.; Cao, F.; Zhang, M.; Chen, X.H.; Zhang, G.P.; Wu, F.B. Difference in Yield and Physiological Features in Response to Drought and Salinity Combined Stress during Anthesis in Tibetan Wild and Cultivated Barleys. PLoS ONE 2013, 8, e77869. [Google Scholar]
- Baniasadi, F.; Saffari, V.R.; Moud, A.A.M. Physiological and growth responses of Calendula officinalis L. plants to the interaction effects of polyamines and salt stress. Sci. Hortic. 2018, 234, 312–317. [Google Scholar] [CrossRef]
- Liu, J.X.; Hu, H.B.; Lei, R.X. Physiological and biochemical mechanism of allelopathy of Peganum multisectum Bobr on alfalfa. Chin. J. Grassl. 2007, 29, 72–79. [Google Scholar]
- Morgan, E.C.; Overholt, W.A. Potential allelopathic effects of Brazilian pepper (Schinus terebinthifolius Raddi, Anacardiaceae) aqueous extract on germination and growth of selected Florida native plants. J. Torrey Bot. Soc. 2005, 132, 11–15. [Google Scholar] [CrossRef]
- Zeng, R.S.; Luo, S.M.; Shi, Y.H.; Shi, M.B.; Tu, C.Y. Physiological and Biochemical Mechanism of Allelopathy of Secalonic Acid F on Higher Plants. Agron. J. 2001, 93, 72–79. [Google Scholar] [CrossRef] [Green Version]
- Wang, J.; Liu, Q.; Feng, J.; Lv, J.P.; Xie, S.L. Effect of high-doses pyrogallol on oxidative damage, transcriptional responses and microcystins synthesis in Microcystis aeruginosa TY001 (Cyanobacteria). Ecotoxicol. Environ. Saf. 2016, 134, 273–279. [Google Scholar] [CrossRef]
- Harun, M.A.Y.A.; Robinson, R.W.; Johnson, J.; Uddin, M.N. Allelopathic potential of Chrysanthemoides monilifera subspmonilifera (boneseed): A novel weapon in the invasion processes. South Afr. J. Bot. 2014, 93, 157–166. [Google Scholar]
- Jin, Y.H.; Tao, D.L.; Hao, Z.Q.; Ye, J.; Du, Y.J.; Liu, H.L.; Zhou, Y.B. Environmental Stresses and Redox Status of Ascorbate. Acta Bot. Sin. 2003, 45, 795–800. [Google Scholar]
- Inderjit Wardle, D.A.; Karban, R.; Callaway, R.M. The ecosystem and evolutionary contexts of allelopathy. Trends Ecol. Evol. 2011, 26, 655–662. [Google Scholar] [CrossRef] [Green Version]
- Song, R. Growth promotion of maize by soybean root exudates. Legume Res. 2012, 35, 226–230. [Google Scholar]
- Yeo, H.H.T.; Chong, K.Y.; Yee, A.T.K.; Giam, X.; Corlett, R.T.; Tan, H.T.W. Leaf litter depth as an important factor inhibiting seedling establishment of an exotic palm in tropical secondary forest patches. Biol. Invasions 2014, 16, 381–392. [Google Scholar] [CrossRef]
- Mohsin, N.; Tariq, M.; Zaki, M.J.; Abbasi, M.W.; Imran, M. Allelopathic effect of Ficus benghalensis L. leaves extract on germination and early seedling growth of maize, mung bean and sunflower. Int. J. Biol. Res. 2016, 4, 34–38. [Google Scholar]
- Ashti, S.A.; Hero, F.H.; Dlshad, A.O.; Nawroz, A.T. Response of some plant species towards the allelopathy of two types of chickpea (Cicer arietinum L.) seed extracts. Appl. Ecol. Environ. Res. 2018, 16, 8119–8129. [Google Scholar] [CrossRef]
- Ren, K.; Hayat, S.; Qi, X.; Liu, T.; Cheng, Z. The garlic allelochemical DADS influences cucumber root growth involved in regulating hormone levels and modulating cell cycling. J. Plant Physiol. 2018, 230, 51–60. [Google Scholar] [CrossRef] [PubMed]
- Xia, Z.C.; Kong, C.H.; Chen, L.C.; Wang, P.; Wang, S.L. A broadleaf species enhances an autotoxic conifers growth through belowground chemical interactions. Ecology 2016, 97, 2283–2292. [Google Scholar] [CrossRef] [PubMed]
- Qin, F.C.; Yu, S.X. Arbuscular mycorrhizal fungi protect native woody species from novel weapons. Plant Soil 2019, 440, 39–52. [Google Scholar] [CrossRef]
Publisher’s Note: MDPI stays neutral with regard to jurisdictional claims in published maps and institutional affiliations. |
© 2021 by the authors. Licensee MDPI, Basel, Switzerland. This article is an open access article distributed under the terms and conditions of the Creative Commons Attribution (CC BY) license (https://creativecommons.org/licenses/by/4.0/).





