Abstract
Soil salinity has become a serious threat to crop growth and productivity and has aggravated the gap between sustainable food supply and population growth. Application of plant growth-promoting rhizobacteria (PGPR) has emerged as a novel way of alleviating the harmful effects of salt stress and improving soil nutrients. The aim of this study was to study the effects of exposure cucumber seedlings at one co-inoculation of Bacillus licheniformis and B. subtilis, a mitigation of salt stress in cucumber seedlings. In this study, we isolated salt tolerant (NX-3 and NX-4) and growth-promoting (NX-48, NX-59, and NX-62) bacteria from the rhizosphere of cucumber. NX-3 and NX-59 were identified as B. licheniformis, and NX-4, NX-48 and NX-62 were identified as B. subtilis. Under salt stress, relative to non-inoculation, co-inoculation with B. licheniformis and B. subtilis increased stem diameter and plant fresh weight. Moreover, the concentration of substrate available phosphorus increased (except for NX4-59). The catalase and sucrase activities of NX4-62 were the highest. Meanwhile, NX3-62 and NX3-59 had the highest phosphorus content and NX3-59 had the highest urease activities. Comprehensive analysis indicated that NX4-62 and NX3-59 showed the best effect on promoting cucumber seedlings growth, activating substrate nutrients, and alleviate salt stress in seedlings of cucumber.
1. Introduction
Several environmental factors, such as drought, salinity, nutrient imbalance, and extreme temperatures, severely affect sustainable crop production and seriously threaten normal crop growth and development worldwide. Salt stress is a devastating abiotic stress factor with deleterious effects on agriculture and the ecological environment [1,2]. Salt stress causes large areas of soil to become unavailable for planting, and it is especially severe in arid and semiarid regions where soil salinization is common and serious [3]. Previous studies have indicated that salt stress leads to a wide variety of physiological changes in plants and results in physiological drought and nutrient absorption imbalance. Therefore, overcoming the negative effects of salt stress on agriculture and ensuring global food security are critical.
Numerous studies have suggested that beneficial soil microorganisms can be used as natural resources in agriculture to improve soil quality and promote crop growth and yield [4]. Beneficial microbes perform critical roles in plant tolerance against abiotic stress, the induction of hormones to regulate plant growth, the restriction of pathogen growth, and the promotion of crop–microbe interaction [5,6]. Salinity-induced osmotic stress, ionic imbalance, water and nutrient deficiency, leaf expansion, and reduced stomatal closure reduce photosynthesis and biomass accumulation [7,8]. Salt-tolerant or halophilic microorganisms survive in a high-salt environment and maintain high metabolic activity, which is conducive to crop growth [9].
Plant growth-promoting rhizobacteria (PGPR) is a potential tool that affects sustainable agroecosystems directly and indirectly [10]. Previous studies have shown that PGPR induces tolerance against various abiotic stresses by causing physiological changes in plants under salt stress, drought, and heavy metal stress and promotes plant growth rate [11,12]. In addition, PGPR induces plant system tolerance by increasing antioxidant activity through enzyme activity and metabolite accumulation [13,14]. Plant growth is regulated by multiple secondary metabolites, antibiotics, and volatile compounds. These compounds regulate plant resistance to salt stress and counteracts the adverse effects of salinity [15]. In addition, PGPR enhances phosphate solubility and 1-aminocyclopropane-1-carboxylate (ACC) deaminase activity and increases the concentration of iron carriers and indole acetic acid to promote plant growth. Pseudomonas fluorescence, Bacillus spp., and Burkholderia are mainly used as PGPR [11,16].
B. subtilis and B. licheniformis are widely used as PGPR or biological control agents in agriculture. Zhang et al. [17] reported that B. subtilis GB03 promotes wheat growth and enhances salt tolerance. B. subtilis BERA71 considerably increases chickpea biomass and photosynthetic pigment concentration by regulating antioxidant systems to reduce oxidative damage under salt stress [18]. B. licheniformis CH102 increases the expression of the transcription factors for regulating abiotic stress responses, thereby improving plant growth and enhancing tolerance to high temperatures and drought [19]. B. licheniformis B2r drastically increases germination rate, germination index, root length, and seedling dry weight by utilizing ACC as a nitrogen source at different levels of salt stress, especially at the 30~90 mM NaCl level [20]. Moreover, the co-inoculation of different PGPR improves crop morphology and physiological construction. He et al. [21] found that the root development (fresh and dry weights) of tomato under treatment with a combination of different beneficial microorganisms (B. pumilus, B. amyloliquefaciens, and B. mojavensis) is higher than that under non-inoculation treatment. The combination of B. pumilus BS-27 and B. subtilis BS-58 enhances the concentrations of nutrients, especially amino acids, in Amaranthus hypochondriacus Linn [22]. Verma et al. [23] reported that B. subtilis BHUJP-H1, B. subtilis BHUJP-H1 + B. licheniformis BHUJP-H3, and B. subtilis BHUJP-H1 + Bacillus BHUJP-H2 + B. licheniformis BHUJP-H3 promote Vigna radiata growth and that B. BHUJP-H2 + B. licheniformis BHUJP-H3 increases V. radiata yield.
Cucumber (Cucumis sativus L.) is a major vegetable worldwide and is sensitive to salt stress because of its shallow roots. In the present study, salt-tolerant NX-3 and NX-4 strains and growth-promoting NX-48, NX-59, and NX-62 strains under salt stress were identified as B. licheniformis and B. subtilis, respectively. Therefore, we aimed to: (1) compare the different efficacies of the combination of B. licheniformis and B. subtilis in improving cucumber plant growth under salt stress; (2) explore the effects of the combination of B. licheniformis and B. subtilis on substrate nutrients and enzyme activities under salt stress; and (3) identify the most effective combination of B. licheniformis and B. subtilis for promoting crop growth and simulating substrate activity.
2. Materials and Methods
2.1. Isolation and Screening of Bacillus spp.
Bacillus spp. were isolated from cucumber rhizosphere soil (10~15 cm) at Zhengquan village, Yinchuan, Ningxia Province of China (38°08′ N, 105°49′ E). Serial dilution and plating method and heat treatment were used to isolate Bacillus spp. [24] In brief, 10 g of moist soil was placed in a triangular bottle containing 90 mL of sterile water and then mixed properly. The mixture was heated at 80 °C for 20 min and then serially diluted to concentrations of 10−3 to 10−4. Each dilution was prepared with three replications. Subsequently, 100 µL of dilution was plated on a nutrient agar (NA) medium, and the plates were incubated for 3 d at 28 °C.
2.2. Screening of Salt-Tolerant Strains
The intrinsic resistance of Bacillus spp. against salinity was evaluated by observing bacterial growth on the NA medium amended with 10~15% NaCl % (w/v). Test strains with salinity tolerance exceeding 10% were screened, and the same experiment was conducted with NaCl-amended broth. The ability of the strains to tolerate high salt concentrations was evaluated based on their growth in the lysogeny broth (LB) medium containing 10%, 11%, 12%, 13%, 14%, and 15% NaCl (w/v).
2.3. Screening for Growth-Promoting Strains
Cucumber seeds (C. sativus cv. ‘Deer No. 99’) were purchased from Tianjin Derui Seeding Co., Ltd., Tianjin, China. The seeds were sterilized with 3% sodium hypochlorite for 3 min, immersed in 70% alcohol immersion for 1.5 min, and washed with sterilized distilled water three times. The sterilized seeds were placed on wetted filter paper with disinfecting distilled water in a petri dish. The seeds were treated and imbibed in bacterial suspension as treatments and sterile 100 mM L−1 NaCl was used as a control. Each treatment had three replications with 10 seeds per plate. All plates were incubated in the dark at 25 °C for 2 d and under a 12 h light/12 h dark cycle for an additional 5 d. Seeds were considered to have germinated when the emerging radicles were over 0.5 cm long. Germination rate (GR) was determined after 2 d. Stem length (SL), main root length (MRL), and lateral root length (LRL) were observed after 7 d of inoculation. The seeding vigor index (VI) was calculated in accordance with Equation (1) [25].
where SL, RL, and GR are the stem length, root length, and germination rate, respectively.
2.4. Identification and Phylogenetic Analysis
The isolated bacteria were identified through 16S rDNA ribotyping. The forward primer was 27F: 5′-AGAGTTTGATCCTGGCTCAG-3′, and the reverse primer was 1492R: 5′-CTA CGGCTACCTTGTTACGA-3′. The PCR amplification reaction procedure involved pre-denaturation at 98 °C for 30 s, denaturation at 98 °C for 10 s, annealing at 55 °C for 30 s, and extension at 72 °C for 90 s. Extension was followed by 30 cycles. The product was electrophoresed on 1.5% agarose gel, and the target fragment was recovered and purified by using TIANgel Purification Kit (Tiangen Biotech Co., Ltd., Beijing, China). The 16S rDNA sequences of the isolated strains were compared with homologous sequences retrieved from the National Center for Biotechnology Information (NCBI) database. The sequence with the highest homology was obtained, and the phylogenetic tree was then constructed by the neighbor joining method with MEGA 7.0 (MEGA, Philadelphia, PA, USA) using a neighbor-joining method with 1000 bootstrap replicates [26].
2.5. Pot Experiments with Salt-Tolerant and Growth-Promoting Compound Bacteria
The experiment was conducted in a greenhouse at Ningxia University, Yinchuan, China on the 25 August 2018. Substrate was purchased from Hebei Dvordo Fertilizer Co., Ltd., Heibei, China. The chemical properties of the substrate were as follows: 11.23 g kg−1 organic matter, 1.03 g kg−1 total nitrogen, available nitrogen 15.03 mg kg−1, available phosphorus, 21.05 mg kg−1 available potassium, pH of 6.81, and electrical conductivity (EC) of 0.57 mS cm−1.
The pot experiment had a complete randomized design layout with five replications. We conducted eight treatments that included non-inoculation under non-salt conditions (CK); non-inoculation under salt stress (100 NaCl); and compound bacterial inoculation with NX3-48 (NX-3 + NX-48), NX3-59 (NX-3 + NX-59), NX3-62 (NX-3 + NX-62), NX4-48 (NX-4 + NX-48), NX4-59 (NX-4 + NX-59), and NX4-62 (NX-4 + NX-62) under salt stress. The salt content was 100 mM L−1 NaCl solution [27]. Cucumber seeds were germinated on moist filter paper in the dark at 26 °C for 48 h and then transferred into pots (5 × 5 × 5 cm) containing a sterilized mixed substrate; each pot contained one seed. The substrate was thoroughly impregnated with 100 mM L−1 NaCl prior to seeding. The seedlings were inoculated with compound bacteria every 10 d, beginning from the cotyledon flattening stage. Inoculation was performed three times. Forty days after planting, planting growth parameters were measured from 10 representative cucumber seedings of each replication. Substrate nutrient and enzyme activities were measured from three samples of each replication.
2.6. Analysis Methods
Stem length, root length, and stem diameter were measured according to the methods of Wang et al. [28] Chlorophyll content of functional leaves was measured with SPAD (502-Plus, Tokyo, Japan). Substrate pH was determined by the soil suspension potentiometer method (substrate:water ratio of 1:5) using a pH meter (PHSJ-3F, Rex, Shanghai, China). EC was analyzed via the conductance method using an EC meter (DDS-307A, Rex, Shanghai, China). Total nitrogen was measured by the classical micro-Kjeldahl method [29]. Organic matter was determined by applying the dichromate oxidation and titration method [30]. The available nutrients for plant growth mainly included available nitrogen (AN), available phosphorus (AP), and available potassium. AN was assayed by continuous flow analysis [31]. AP was extracted with sodium bicarbonate and measured by molybdenum-blue colorimetry [32]. AK was extracted with ammonium acetate and determined by flame photometry [33]. We used potassium permanganate titration and the 3,5-dinitrosalicylic acid and phenylphosphonate colorimetric methods to measure substrate catalase, saccharase, and phosphatase activities. Lastly, we measured urease activity via indophenol blue colorimetry in accordance with the work of Nannipieri et al. [34]
In our study, characteristics, including seedling growth, substrate nutrients, and enzyme activities, were analyzed by principal component analysis (PCA). The principal components that explained ≥85% of the accumulated variance contribution rate were extracted. The weight of each index was allocated in accordance with the variation coefficient of the membership function value of the identification indices. The D value was calculated as follows [35]:
where μ (Xi) is the membership function value of each test material Xi. Wi represents the variation ratio of each principal component to the total variation.
2.7. Statistical Analysis
All statistical analyses were performed with Origin 2018 (Origin Lab., Northampton, MA, USA) and SPSS 17.0 (SPSS Inc., Chicago, IL, USA). Means were analyzed by one-way ANOVA. A significant analysis of the p < 0.05 and p < 0.01 level was performed using Tukey analysis. Correlation analysis between plant growth and substrate nutrient parameters was performed using Pearson’s correlation coefficient. PCA was conducted using SPSS 17.0 (SPSS Inc., Chicago, IL, USA) and Excel 2010 (Microsoft, Seattle, WA, USA) and was based on the average eigenvalues. This analysis was aimed at determining the characteristics of seedling growth and substrate nutrients under different compound bacterial treatments.
3. Results
3.1. Isolation of Salt Tolerance and Growth Promotion
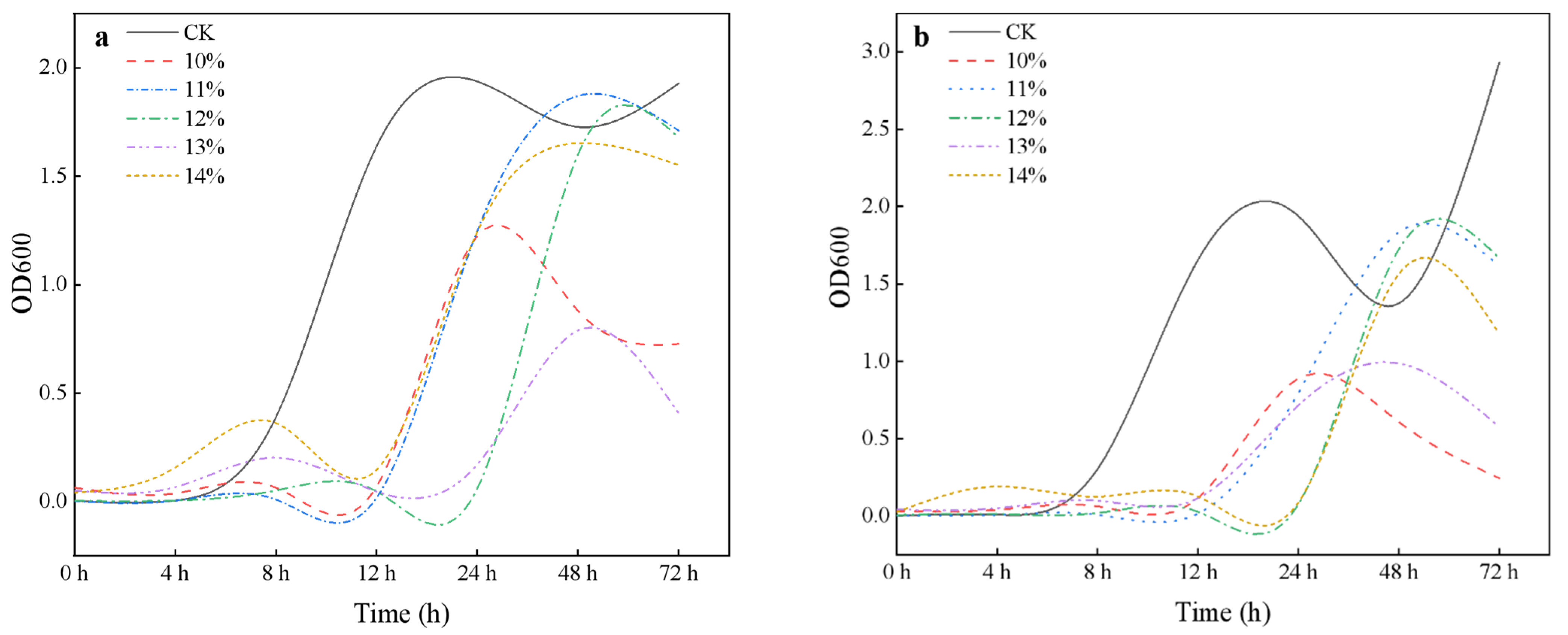
NX-3 (Figure 1a) and NX-4 (Figure 1b) strains grew well in 14% NaCl. NX-3 and NX-4 concentrations exceeded 1.0 under 10% to 14% NaCl. The lag phases of NX-3 and NX-4 in the salt treatment were longer than for those in the non-salt treatment. The start time of the logarithmic growth phase under different salt concentrations was more delayed than that under the non-salt treatment. After 48 h of cultivation, the growth of NX-3 continued to increase under the non-salt treatment and 13% NaCl treatment. In addition, the growth of NX-4 increased, and the trend of the decline stage (48–72 h) under all salt treatments was the same as that under NX-3 (Figure 1).
Figure 1.
Growth curves of NX-3 (a) and NX-4 (b) strains under varying salt concentrations (10%, 11%, 12%, 13%, and 14% NaCl).
The growth rates of NX-48, NX-59, and NX-62 increased by 30.48%, 4.50%, and 14.61% under 0 mM L−1 NaCl, respectively, compared to the non-salt treatment. Furthermore, the growth rates of NX-48, NX-59, and NX-62 increased by 20.00%, 16.14%, and 57.20% under 100 mM L−1 NaCl, respectively (Table 1).
Table 1.
The seedling viability index (VI) after inoculation with NX-48, NX-59, and NX-62 on the fifth day of salt stress.
3.2. Identification of Isolated Strains
Approximately 1500 bp bands were observed following PCR amplification of 16S rDNA in agarose gel. After the sequencing of the amplified products, BLAST alignment was performed on NCBI to obtain a strain with a high degree of homology. The molecular weight of these sequence fragments was consistent with that of the bacterial 16S rDNA fragment. NX-3 and NX-59 were identified as B. licheniformis because their gene sequences shared 98% and 100% similarity with B. licheniformis gene sequences, respectively. NX-4, NX-48, and NX-62 were identified as B. subtilis because their gene sequences shared 98%, 100%, and 100% similarity with B. subtilis gene sequences (Figure 2).
Figure 2.
Phylogenetic tree of salt-tolerant (NX-3 and NX-4) and growth-promoting strains (NX-48, NX-59, and NX-62).
3.3. Seedling Growth
Root total length under compound bacterial treatment decreased by 20.23~29.97% relative to that under CK. No significant difference was observed between the inoculation and non-inoculation treatments under salt stress. The stem diameter, chlorophyll content, and fresh weight of cucumber seedlings were higher under inoculation than under non-inoculation salt stress treatments. These characteristics were also relatively high under CK. Stem diameter of NX3-62 was 11.78% higher than that of NX4-59, but NX3-62 was not significantly different from the other inoculation treatments. There were no significant differences in chlorophyll content among the various inoculation treatments. Chlorophyll content increased by 11.52~17.31% under inoculation treatments compared to that under CK, and increased by 18.28~24.43% under salt stress compared to that under non-inoculation treatments. Fresh plant weight increased by 52.53~115.51% and 36.42~108.96% under inoculation compared to that under CK and 100NaCl, respectively. Fresh plant weight was also significantly higher under NX3-48, NX3-59, NX4-48, and NX4-62 than that under NX3-62 and NX4-59 (Figure 3).
Figure 3.
Growth of cucumber seedlings inoculated with a combination of Bacillus licheniformis and Bacillus subtilis under salt stress. Bars represent standard errors. Different letters indicate a significant difference in the same parameter between treatments at p < 0.05.
3.4. Substrate Nutrients
The substrate pH and EC under inoculation and non-inoculation salt stress treatments were higher than those under CK. Meanwhile, pH was higher under inoculation treatments than under non-inoculation treatments, and it was highest under NX4-62 (7.77). The highest EC (0.93 mS cm−1) was found under non-inoculation salt stress treatments. EC under NX3-48 and NX3-62 was significantly lower by 9.57% and 19.03% than that under non-inoculation salt stress treatments. Moreover, EC under the other inoculation treatments (except for NX3-48 and NX3-62) was not significantly different from those under non-inoculation salt stress treatments (Figure 4).
Figure 4.
Substrate pH and EC in a pot experiment in which cucumber seedlings inoculated with a combination of Bacillus licheniformis and Bacillus subtilis under salt stress were grown for 40 days. Bars represent standard errors. Different letters indicate a significant difference in the same parameter at p < 0.05.
NX4-48 and NX4-59 had the lowest organic matter content, and NX4-59 had the highest total nitrogen content. C/N ratios under NX4-48 and NX4-59 were higher than those under other treatments, and C/N increased by 17.27~18.49% and 12.37~13.54% compared to CK and 100NaCl treatment, respectively. NX3-59 had the highest AN content. AP content under inoculation increased by 73.23~165.69% relative to that under CK and 100NaCl treatment. AP increased by 33.81% and 40.28% under NX3-48 and NX3-59, respectively (Table 2). AK content decreased by 29.17~68.06% under inoculation relative to CK. No significant differences were observed between AK under inoculation and non-inoculation salt stress treatments (Table 2).
Table 2.
Substrate nutrient concentration under compound inoculation treatments with different bacterial strains.
3.5. Substrate Enzyme Activity
Substrate catalase activity significantly increased by 400.00~627.78% under inoculation treatments relative to CK and 100NaCl treatment. NX4-62 had the highest catalase activity, followed by NX4-59 and NX4-48. Sucrase activities under the CK and non-inoculation salt stress treatments were lower than those under inoculation treatments (except for NX3-62). NX4-59 and NX4-62 also had the highest sucrase activities, which increased by 146.15~156.20% and 111.74~120.38%, respectively. The phosphatase activities of NX3-59, NX3-62, and NX4-48 were significantly higher than those of CK and 100NaCl treatment and increased by 88.30~94.22%, 78.13~81.78%, and 87.50~71.96%, respectively. The urease activity under NX3-59 was 360.61~913.33% higher than that under the other treatments, and no significant differences were observed between the other treatments (Figure 5).
Figure 5.
Soil enzymatic activity in a pot experiment in which cucumber seedlings inoculated with a combination of Bacillus licheniformis and Bacillus subtilis under salt stress were grown for 40 days. Bars represent standard errors. Different letters indicate a significant difference in the same parameter at p < 0.05.
3.6. Correlation Analysis
Pearson’s correlations among substrate chemical properties, enzymatic activity parameters, and plant growth properties are shown in Table 3. pH and AP had a positive correlation with stem diameter, catalase activity, chlorophyll content, and plant fresh weight (p < 0.05). Furthermore, pH had a negative relationship with AP and root length (p < 0.05). EC was negatively correlated with AK and root length (p < 0.01). AK was positively and negatively correlated with root length and phosphatase activity, respectively (p < 0.05). Positive correlations were observed between catalase activity and sucrase activity and between chlorophyll content and plant dry weight (p < 0.01). Meanwhile, catalase activity had a positive relationship with stem diameter and plant fresh weight (p < 0.05). Stem diameter was positively correlated with catalase activity and plant fresh and dry weight (p < 0.05).
Table 3.
Pearson’s correlations (r) among substrate pH, electrical conductivity (EC), chemical properties, enzymatic activities, and plant growth.
3.7. PCA Analysis
PCA revealed clear separations among all treatments in terms of substrate nutrients, enzymatic activity, and plant growth parameters (Figure 6). PC1 and PC2 explained 7.18% and 18.60% of the variance, respectively. A total of 65.78% variation was revealed. pH, EC, AK, AN, phosphatase activity, catalase activity, sucrase activity, and dry weight had a higher weight in PC1 than the other factors, whereas urease activity, organic matter, and C/N had a higher weight in PC2 than the other factors. The compound bacterial inoculation treatments were significantly different from the non-compound bacterial inoculation treatment under salt stress in PC1 and PC2. Furthermore, NX4-62 showed a significant separation from NX3-48 and NX4-59 in PC1 and NX3-62 and NX3-59 showed significant differences with other treatments in PC2 (Figure 6).
Figure 6.
Principal component (PC) analysis of cucumber seedling growth parameters, substrate nutrient properties, and substrate enzyme parameters. Arrow direction and length indicate correlation and strength, respectively. Bars represent standard errors. TN, total nitrogen; AN, available nitrogen; TP, total phosphorous; AP, available phosphorous; AK, available potassium; OM, organic matter; EC, electricity conductivity; C/N; RL, root length; SL, stem length; SD, stem diameter; CC, chlorophyll content; FW, fresh weight, DW, dry weight; CA, catalase activity; SA, sucrase activity; PA, phosphatase activity; UA, urease activity.
The effects of different composite bacteria on salt tolerance and plant growth were evaluated by applying the comprehensive evaluation D value (Figure 7). Four principal components were extracted. The components explained 86.18% of the accumulated variance contribution rate. The comprehensive evaluation D value was calculated based on the four principal components. The D values of the inoculation treatments were higher than those of the non-inoculation treatments under salt stress and non-salt conditions. Meanwhile, the D values of NX4-62 and NX 3-59 were the highest.
Figure 7.
Comprehensive evaluation D value calculated by PCA analysis and membership function method for different inoculation treatments. Different letters indicate a significant difference between treatments at p < 0.05.
4. Discussion
Salt stress is an abiotic stress and a severe threat to food safety worldwide. Salt stress drastically reduces crop growth, root growth, and biomass accumulation by causing nutrient imbalances, altering growth regulator levels, and inhibiting photosynthesis and protein synthesis [2]. PGPR, especially B. megaterium, alleviate the adverse effects of high salinity stress on cucumber growth [11]. Moreover, various strains exert different growth-promoting effects under salt stress, probably because of the specificity of the strain colonization ability in the root system [22,36]. Moreover, the characteristics of PGPR isolated from the same environment show differences [11].
In this study, we isolated B. subtilis (NX-4, NX-48, and NX-62) and B. licheniformis (NX-3, NX-59) from salinized soil. We found that these strains had salt-tolerant and plant-promoting characteristics. As expected, we found that compound microorganisms relieved the adverse effects of salinity on root length, stem diameter, and fresh and dry plant weight. In particular, the NX3-62 treatment resulted in the highest stem diameter and dry plant weight, and NX3-48, NX3-59, and NX4-48 treatments significantly increased fresh plant weight relative to the NX3-62 treatment (Figure 3). PGPR can induce abiotic and biotic stress tolerance and promote plant growth by producing metabolites [37,38], such as antibiotics, ACC deaminase, volatile compounds, and iron carriers. Besides, PGRP also promotes crop growth by dissolving phosphate and nitrogen fixation to improve the availability of plant rhizosphere nutrients [39]. Co-inoculation alleviated the salt stress and promoted seedling growth and may be related to the ACC deaminase activity of NX-62 and the nitrogen fixation ability of NX-3, NX-4 strains. Work by Glick and Chandra et al. [40,41] showed that PGPB can alleviate the adverse effects of biotic stresses and abiotic stress to facilitate crop growth by producing ACC deaminase. Li [42] and Ejaz et al. [43] found that PGPR have the potential to improve nutrient availability, the inoculation of nitrogen-fixing strains could increase the content of AN in the soil and promote the growth of crops [44]. These are consistent with our findings. Furthermore, chlorophyll content increased by 18.28~24.43% under co-inoculation treatments compared with non-inoculation salt stress treatments (Figure 3). Chlorophyll content increased by 18.28–24.43% under the combined treatments with B. subtilis and B. licheniformis relative to that under non-inoculation salt stress treatments (Figure 3). This could be attributed to the accumulation of abscisic acid (ABA) [45]. PGPR significantly induced ABA accumulation in plants under abiotic stress [46]. Zhou et al. [47] reported that B. licheniformis SA03 improves the salt-tolerance of chrysanthemum based on the changes in ABA concentration.
PGPR improves soil nutrient utilization and promotes plant uptake of soil nutrients [48]. Soil nutrients are essential for plant growth, soil fertility, and soil health and are affected by soil microbes directly and indirectly [23]. Rhizosphere bacteria colonize the surface of plant roots and stimulate root development by supplying additional hormones to promote nutrient absorption under stress [49,50]. In the present study, we noted that the concentration of substrate-available P under the combined treatment with B. subtilis and B. licheniformis significantly increased relative to that under non-inoculation salt stress treatments (Table 2). This finding could be attributed to ion precipitation in saline soil, which affected phosphorus absorption. García-López et al. [51] found that B. subtilis QST713 and Trichoderma asperellum T34 promoted phosphorus release, thereby enhancing phosphorus absorption by wheat. Similar to AP, substrate AN content significantly increased under combined bacterial inoculation but not under NX3-48 and NX3-62. It could be attributed to the nitrogen fixation by Bacillus stains. Chen et al. [52] found that the application of microbial inoculant such as B. subtilis significantly increased the soil AN and increased the production. A previous study by Azri et al. [53] found that the positive effects of Bacillus on soil N absorption could be due to its N-fixing ability, and enhancement of the N level in soil and nutrient uptake was also recorded in Bacillus stains inoculation. Daraz et al. [54] found that soil AP and AN fractions were positively correlated with inoculation of Bacillus strains, and Bacillus strains improved soil AP, total N, and AN, which was a benefit to promote plant adaptability under stress. These are consistent with our findings. Moreover, we found the opposite result in our study. The AK content under compound bacterial treatments, except for NX3-48, was significantly lower than that under non-inoculation salt stress treatments (Table 2). This could be ascribed to the ability of microbes to increase the availability of soil organic matter (P and K) and subsequently promote the absorption of AK by cucumber seedlings [55].
Enzyme activity is an indicator of ecosystem sustainability and plays an important role in nutrient cycling and transformation [56]. The present study showed that combined treatments with B. subtilis and B. licheniformis significantly increased enzyme activity, such as catalase, sucrase, and phosphatase activities, when compared with non-inoculation salt stress treatments (Figure 5). One probable reason for this was that bacterial inoculation relieved the adverse effects of salinity on enzyme activity by increasing the soil microbial biomass [57,58]. Miao et al. [59] reported that Burkholderia sp. 7016 significantly promotes soil urease, phosphatase, sucrase, and catalase activities. Another reason is that compound bacterial inoculation significantly increased the content of substrate-available P under salt stress. Generally, the content of AP affects phosphatase activity, and enhancing phosphatase activity promotes phosphorus release [44,60]. AP had a significant positive correlation with phosphatase activity in our study (Table 3). Moreover, we noted that sucrase activity, urease activity, and catalase activity had significant positive relationships with C/N, AN, and AP, respectively (Table 3). These relationships could be attributed to the significant correlation between enzymatic activity and nutrient availability. PGPR and AMF significantly increased urease and sucrase activities in rhizosphere soil and improved soil quality by participating in the biological transformation processes of N, H, and C.
5. Conclusions
In this study, we isolated salt-tolerant strains NX-3 and NX-4, which can tolerate up to 14% NaCl concentration, and isolated growth-promoting strains NX-48, NX-59, and NX-62, which could promote cucumber seedlings growth. NX-3 and NX-59 were identified as Bacillus licheniformis and NX-4, NX-48, NX-62 were identified as B. subtilis. In a pot experiment, the stem diameter, chlorophyll, and dry weight of cucumber seedlings under salt stress were increased under combined inoculation with B. subtilis and B. licheniformis relative to those under non-inoculation treatment. AP, AK AN, and organic matter concentrations under compound bacterial inoculation increased by 125.94~15.91%, 67.46~14.19%, 48.61~29.17%, and 29.34~30.00% relative to those under non-inoculation under salt stress and non-salt treatment, respectively. NX3-59 showed the best effect on improving the organic matter content and promoting AN release. NX4-59 was beneficial to the increase of total N content, followed by NX3-59. The effect of NX4-62 on the release of AP was the best, followed by that of NX3-48 and NX3-59. In addition, combined inoculation with B. subtilis and B. licheniformis activated enzyme activities. The catalase and sucrase activities of NX4-62 were the highest. Meanwhile, NX3-62 and NX3-59 had the highest phosphorus and cease activities, respectively. In summary, the combined inoculation of B. licheniformis and B. subtilis promoted the growth of cucumber seedlings under salt stress, increased the content of nutrients, and simulated enzyme activity, and the comprehensive analysis showed that the treatment of NX4-62 and NX3-59 were the best.
Author Contributions
R.Q. and W.L. made substantial contributions to carry out the main experiment, collected and analyzed the data and wrote the manuscript. K.G., Z.H., H.M., M.Z. and Q.Z. performed complementary experiments. Y.G., J.L. and X.Z. made substantial contributions to the design the experiment, revision of the trial, and critical revision of the article for valuable intellectual content. All authors have read and agreed to the published version of the manuscript.
Funding
This research was supported by the National Important Research and Development Program (2019YFD1001903), the Horticulture Science Program of Western First-class Discipline Project in Ningxia (030900002104), the Science and Technique Innovation Leader Program of Ningxia (KJT2017001), and Helan Mountain Scholars in Ningxia University (2020).
Institutional Review Board Statement
Not applicable.
Informed Consent Statement
Not applicable.
Data Availability Statement
The data that support the findings of this study are available from the corresponding author upon reasonable request.
Conflicts of Interest
The authors declare no conflict of interest.
References
- Singam, K.; Juntawong, N.; Cha-Um, S.; Kirdmanee, C. Salt stress induced ion accumulation, ion homeostasis, membrane injury and sugar contents in salt-sensitive rice (Oryza sativa L. spp. indica) roots under isoosmotic conditions. Afr. J. Biotechnol. 2011, 10, 1340–1346. [Google Scholar] [CrossRef]
- Abbasi, G.H.; Akhtar, J.; Ahmad, R.; Jamil, M.; Anwar-ul-Haq, M.; Ali, S.; Ijaz, M. Potassium application mitigates salt stress differentially at different growth stages in tolerant and sensitive maize hybrids. Plant Growth Regul. 2015, 76, 111–125. [Google Scholar] [CrossRef]
- Bodner, G.; Nakhforoosh, A.; Kaul, H.P. Management of crop water under drought: A review. Agron Sustain. Dev. 2015, 35, 401–442. [Google Scholar] [CrossRef]
- Silva, R.; Filgueiras, L.; Santos, B.; Coelho, M.; Silva, M.; Estrada-Bonilla, G.; Vidal, M.; Baldani, J.; Meneses, C. Gluconacetobacter diazotrophicus changes the molecular mechanisms of root development in Oryza sativa L. growing under water stress. Int. J. Mol. Sci. 2020, 21, 333. [Google Scholar] [CrossRef]
- Shrivastava, P.; Kumar, R. Soil salinity: A serious environmental issue and plant growth promoting bacteria as one of the tools for its alleviation. Saudi J. Biol. Sci. 2015, 22, 123–131. [Google Scholar] [CrossRef]
- Kumar, A.; Singh, V.K.; Tripathi, V.; Singh, P.P.; Singh, A.K. Plant Growth-Promoting Rhizobacteria (PGPR): Perspective in agriculture under biotic and abiotic stress. New Future Dev. Microb. Biotechnol. Bioeng. 2018, 1, 333–342. [Google Scholar] [CrossRef]
- Rahnama, A.; James, R.A.; Poustini, K.; Munns, R. Stomatal conductance as a screen for osmotic stress tolerance in durum wheat growing in saline soil. Funct. Plant Biol. 2010, 37, 255–263. [Google Scholar] [CrossRef]
- Porcel, R.; Aroca, R.; Ruiz-Lozano, J.M. Salinity stress alleviation using arbuscular mycorrhizal fungi. A review. Agron. Sustain. Dev. 2012, 32, 181–200. [Google Scholar] [CrossRef]
- Jiang, Y.; Yang, K.; Wang, H.; Shang, Y.; Yang, X. Characteristics of phenol degradation in saline conditions of a halophilic strain JS3 isolated from industrial activated sludge. Mar. Pollut. Bull. 2015, 99, 230–234. [Google Scholar] [CrossRef]
- Yasar, E.; Sezai, E.; Ayhan, H.; Ramazan, C. Effects of plant growth promoting rhizobacteria (PGPR) on rooting and root growth of kiwifruit (Actinidia deliciosa) stem cuttings. Biol. Res. 2010, 43, 91–98. [Google Scholar] [CrossRef]
- Nadeem, S.M.; Shaharoona, B.; Arshad, M.; Crowley, D.E. Population density and functional diversity of plant growth promoting rhizobacteria associated with avocado trees in saline soils. Appl. Soil. Ecol. 2012, 62, 147–154. [Google Scholar] [CrossRef]
- Wang, C.J.; Wei, Y.; Chao, W.; Gu, C.; Niu, D.D.; Liu, H.X.; Wang, Y.P.; Guo, J.H. Induction of Drought Tolerance in Cucumber Plants by a Consortium of Three Plant Growth-Promoting Rhizobacterium Strains. PLoS ONE 2012, 7. [Google Scholar] [CrossRef]
- Jha, Y.; Subramanian, R.B.; Patel, S. Combination of endophytic and rhizospheric plant growth promoting rhizobacteria in Oryza sativa shows higher accumulation of osmoprotectant against saline stress. Acta Physiol. Plant. 2011, 33, 797–802. [Google Scholar] [CrossRef]
- Abeer, H.; Abd_Allah, E.F.; Alqarawi, A.A.; Al-Huqail, A.A.; Stephan, W.; Dilfuza, E. The Interaction between Arbuscular Mycorrhizal Fungi and Endophytic Bacteria Enhances Plant Growth of Acacia gerrardii under Salt Stress. Front. Microbiol. 2016, 7, 1089. [Google Scholar] [CrossRef]
- Abbas, H.; Patel, R.M. Culturable endophytic bacteria from halotolerant Salicornia brachata L.: Isolation and plant growth promoting traits. Int. J. Microbiol. 2018, 10, 1074. [Google Scholar] [CrossRef]
- Egamberdieva, D.; Li, L.; Lindstrom, K.; Rasanen, L.A. A synergistic interaction between salt-tolerant Pseudomonas and Mesorhizobium strains improves growth and symbiotic performance of liquorice (Glycyrrhiza uralensis Fish.) under salt stress. Appl. Microbiol. Biot. 2016, 100, 2829–2841. [Google Scholar] [CrossRef]
- Zhang, J.; Aziz, M.; Qiao, Y.; Han, Q.; Li, J.; Wang, Y.; Shen, X.; Wang, S.; Pare, P. Soil microbe Bacillus subtilis (GB03) induces biomass accumulation and salt tolerance with lower sodium accumulation in wheat. Crop Pastureence. 2014, 65, 423–427. [Google Scholar] [CrossRef]
- Abd_Allah, E.F.; Alqarawi, A.A.; Hashem, A.; Radhakrishnan, R.; Al-Huqail, A.A.; Al-Otibi, F.O.N.; Malik, J.A.; Alharbi, R.I.; Egamberdieva, D. Endophytic bacterium Bacillus subtilis (BERA 71) improves salt tolerance in chickpea plants by regulating the plant defense mechanisms. J. Plant Interact. 2018, 13, 37–44. [Google Scholar] [CrossRef]
- Pinyapach, S.; Andi, K.; Tzu-Chuan, K.; Huey-Wen, C. A multifaceted rhizobacterium Bacillus licheniformis functions as a fungal antagonist and a promoter of plant growth and abiotic stress tolerance. Environ. Exp. Bot. 2018, 155, 541–551. [Google Scholar] [CrossRef]
- Chookietwattana, K.; Maneewan, K. Selection of efficient salt-tolerant bacteria containing ACC deaminase for promotion of tomato growth under salinity stress. Plant Soil Environ. 2012, 31, 30–36. [Google Scholar]
- He, Y.; Pantigoso, H.A.; Wu, Z.; Vivanco, J.M. Co-inoculation of Bacillus spp. and Pseudomonas putida at different development stages acts as a biostimulant to promote growth, yield and nutrient uptake of tomato. J. Appl. Microbiol. 2019, 127, 196–207. [Google Scholar] [CrossRef]
- Pandey, C.; Bajpai, V.K.; Negi, Y.K.; Rather, I.A.; Maheshwari, D.K. Effect of plant growth promoting Bacillus spp. on nutritional properties of Amaranthus hypochondriacus grains. Saudi. J. Biol. Sci. 2018, 25, 1066–1071. [Google Scholar] [CrossRef]
- Prakash, V.J.; Kumar, J.D.; Ram, K.; Satya, P.; Janardan, Y.; Vijai, S. Characterization and Screening of Thermophilic Bacillus Strains for Developing Plant Growth Promoting Consortium From Hot Spring of Leh and Ladakh Region of India. Front. Microbiol. 2018, 9, 1293. [Google Scholar] [CrossRef]
- Walker, R.; Powell, A.A.; Seddon, B. Bacillus isolates from the spermosphere of peas and dwarf French beans with antifungal activity against Botrytis cinerea and Pythium species. J. Appl. Microbiol. 2010, 84, 791–801. [Google Scholar] [CrossRef] [PubMed]
- Vashisth, A.; Nagarajan, S. Effect on germination and early growth characteristics in sunflower (Helianthus annuus) seeds exposed to static magnetic field. J. Plant Physiol. 2010, 167, 149–156. [Google Scholar] [CrossRef] [PubMed]
- Saitou, N.; Nei, M. The neighbor-joining method: A new method for reconstructing phylogenetic trees. Mol. Biol. Evol. 1987, 4, 406. [Google Scholar] [CrossRef]
- Hoagland, D.R.; Arnon, D.I. The water culture method for growing plants without soil. Calif. Agric. Exp. Stn. Circ. 1950, 1, 121–160. [Google Scholar] [CrossRef]
- Wang, R.; Liu, J.Q.; Zhou, H.X.; Lan, Z.Q.; Han, Z.Y.; Zhang, X.Y. Effects of Bio-organic Fertilizer and Water-retaining Agent on Cucumber Growth and Soil Fertility under Continuous Cropping in Greenhouse. J. Henan Agric. Sci. 2018, 47, 45–53. [Google Scholar] [CrossRef]
- Nkonge, C.; Ballance, G.M. A sensitive colorimetric procedure for nitrogen determination in micro-Kjeldahl digests. J. Agric. Food Chem. 1982, 30, 416–420. [Google Scholar] [CrossRef]
- Kalembasa, S.J.; Jenkinson, D.S. A Comparative Study of Titrimetric and Gravimetric Methods for the Determination of Organic Carbon in Soil. J. Sci. Food Agric. 1973, 24, 1085–1090. [Google Scholar] [CrossRef]
- Houba, V.; Temminghoff, E.; Gaikhorst, G.A.; Vark, W.V. Soil analysis procedures using 0.01M calcium chloride as extraction regent. Commun. Soil Sci. Plan. 2000, 31, 1299–1396. [Google Scholar] [CrossRef]
- Olsen, S.R.; Cole, C.V.; Watanabe, F.S.; Dean, L.A.; Watanabe, F.; Dean, L. Estimation of Available Phosphorus in Soils by Extraction with Sodium Bicarbonate; United States Department of Agriculture: Washington, DC, USA, 1954; Volume 939, pp. 1–19. [Google Scholar]
- Mehta, A. Physico-Chemical Analysis of Agriculture Soil Effluents from Pharmaceutical Industry at Mandideep Bhopal in Central India. Int. J. New Innov. Sci. Technol. 2014, 2, 8–24. [Google Scholar]
- Nannipieri, P.; Ceccanti, B.; Cervelli, S.; Matarese, E. Extraction of Phosphatase, Urease, Proteases, Organic Carbon, and Nitrogen from Soil. Soil Sci. Soc. Am. J. 1980, 45, 1011–1016. [Google Scholar] [CrossRef]
- Chen, X.; Zhang, Z.W.; Bin, W.U. Comprehensive Evaluation of Salt Tolerance and Screening for Salt Tolerant Accessions of Naked Oat (Avena nuda L.) at Germination Stage. Sci. Agric. Sin. 2014, 47, 2038–2046. [Google Scholar] [CrossRef]
- Nowak, J. Benefits of in vitro “biotization” of plant tissue cultures with microbial inoculants. In Vitro Cell. Dev. Biol. Plant. 1998, 34, 122–130. [Google Scholar] [CrossRef]
- Khan, M.A.; Sahile, A.A.; Jan, R.; Asaf, S.; Hamayun, M.; Imran, M.; Adhikari, A.; Kang, S.M.; Kim, K.M.; Lee, I.J. Halotolerant bacteria mitigate the effects of salinity stress on soybean growth by regulating secondary metabolites and molecular responses. BMC Plant Biol. 2021, 21, 1–176. [Google Scholar] [CrossRef]
- Pellegrini, M.; Pagnani, G.; Bernardi, M.; Mattedi, A.; Spera, D.; Del Gallo, M. Cell-Free Supernatants of Plant Growth-Promoting Bacteria: A Review of Their Use as Biostimulant and Microbial Biocontrol Agents in Sustainable Agriculture. Sustainability 2020, 12, 9917. [Google Scholar] [CrossRef]
- Hamid, B.; Zaman, M.; Farooq, S.; Fatima, S.; Sayyed, R.; Baba, Z.; Sheikh, T.; Reddy, M.; El Enshasy, H.; Gafur, A. Bacterial Plant Biostimulants: A Sustainable Way towards Improving Growth, Productivity, and Health of Crops. Sustainability 2021, 13, 2856. [Google Scholar] [CrossRef]
- Glick, B.R.; Cheng, Z.; Czarny, J.; Duan, J. Promotion of plant growth by ACC deaminase-producing soil bacteria. Eur. J. Plant Pathol. 2007, 119, 329–339. [Google Scholar] [CrossRef]
- Chandra, D.; Srivastava, R.; Gupta, V.; Franco, C.; Sharma, A. Evaluation of ACC-deaminase-producing rhizobacteria to alleviate water-stress impacts in wheat (Triticum aestivum L.) plants. Can. J. Microbiol. 2019, 65, 387–403. [Google Scholar] [CrossRef] [PubMed]
- Li, H.; Qiu, Y.; Yao, T.; Ma, Y.; Zhang, H.; Yang, X. Effects of PGPR microbial inoculants on the growth and soil properties of Avena sativa, Medicago sativa, and Cucumis sativus seedlings. Soil Till Res. 2020, 199, 104577. [Google Scholar] [CrossRef]
- Ejaz, S.; Batool, S.; Anjum, M.A.; Naz, S.; Qayyum, M.F.; Naqqash, T.; Shah, K.H.; Ali, S. Effects of inoculation of root-associative Azospirillum and Agrobacterium strains on growth, yield and quality of pea (Pisum sativum L.) grown under different nitrogen and phosphorus regimes. Sci. Hortic. 2020, 270, 109401. [Google Scholar] [CrossRef]
- Amp, N.T.; Saraf, M. Salinity-resistant plant growth promoting rhizobacteria ameliorates sodium chloride stress on tomato plants. J. Plant Interact. 2010, 5, 51–58. [Google Scholar] [CrossRef]
- Park, Y.G.; Mun, B.G.; Kang, S.M.; Hussain, A.; Yun, B.W. Bacillus aryabhattai SRB02 tolerates oxidative and nitrosative stress and promotes the growth of soybean by modulating the production of phytohormones. PLoS ONE 2017, 12, e0173203. [Google Scholar] [CrossRef]
- Cohen, A.C.; Bottini, R.; Pontin, M.; Berli, F.J.; Moreno, D.; Bo Cc Anlandro, H.; Travaglia, C.N.; Piccoli, P.N. Azospirillum brasilense ameliorates the response of Arabidopsis thaliana to drought mainly via enhancement of ABA levels. Physiol. Plantarum. 2015, 153, 79–90. [Google Scholar] [CrossRef] [PubMed]
- Cheng, Z.; Zhu, L.; Xie, Y.; Li, F.; Xin, X.; Ma, Z.; Wang, J. Bacillus licheniformis SA03 Confers Increased Saline–Alkaline Tolerance in Chrysanthemum Plants by Induction of Abscisic Acid Accumulation. Front. Plant Sci. 2017, 8. [Google Scholar] [CrossRef]
- Esitken, A.; Yildiz, H.E.; Ercisli, S.; Donmez, M.F.; Gunes, A. Effects of plant growth promoting bacteria (PGPB) on yield, growth and nutrient contents of organically grown strawberry. Sci. Hortic. 2010, 124, 62–66. [Google Scholar] [CrossRef]
- Berg, G.; Alavi, M.; Schmidt, C.S.; Zachow, C.; Egamberdieva, D.; Kamilova, F.; Lugtenberg, B. Biocontrol and Osmoprotection for Plants under Salinated Conditions. Mol. Microb. Ecol. Rhizosphere 2013, 1, 561–573. [Google Scholar]
- Jamal, Q.; Yong, S.L.; Jeon, H.D.; Kim, K.Y. Effect of plant growth-promoting bacteria Bacillus amylliquefaciens Y1 on soil properties, pepper seedling growth, rhizosphere bacterial flora and soil enzymes. Plant Protect. Sci. 2018, 54, 129–137. [Google Scholar] [CrossRef]
- García-López, A.M.; Recena, R.; Avilés, M.; Delgado, A. Effect of Bacillus subtilis QST713 and Trichoderma asperellum T34 on P uptake by wheat and how it is modulated by soil properties. J. Soil Sediment. 2018, 18, 727–738. [Google Scholar] [CrossRef]
- Chen, Y.; Li, S.; Liu, N.; He, H.; Cao, X.; Lv, C.; Zhang, K.; Dai, J. Effects of different types of microbial inoculants on available nitrogen and phosphorus, soil microbial community, and wheat growth in high-P soil. Environ. Sci. Pollut. R. 2021. [Google Scholar] [CrossRef]
- Azri, M.H. Effects of Bacillus salmalaya Strain 139SI Inoculation on Yield and Nutrients Uptake of Oil Palm. Int. J. Agric. Biol. 2018, 20, 499–506. [Google Scholar] [CrossRef]
- Daraz, U.; Li, Y.; Sun, Q.; Zhang, M.; Ahmad, I. Inoculation of Bacillus spp. Modulate the soil bacterial communities and available nutrients in the rhizosphere of vetiver plant irrigated with acid mine drainage. Chemosphere 2021, 263, 128345. [Google Scholar] [CrossRef] [PubMed]
- Hassan, T.U.; Bano, A. The stimulatory effects of L-tryptophan and plant growth promoting rhizobacteria (PGPR) on soil health and physiology of wheat. J. Soil Sci. Plant. Nut. 2015, 15, 190–201. [Google Scholar] [CrossRef]
- Nakatani, A.S.; Fernandes, M.F.; Souza, R.A.D.; Silva, A.P.D.; Reis, F.B.D.; Mendes, I.C.; Hungria, M.E. Effects of the glyphosate-resistance gene and of herbicides applied to the soybean crop on soil microbial biomass and enzymes. Field Crop. Res. 2014, 162, 20–29. [Google Scholar] [CrossRef]
- Chen, S.Y.; Guo, L.Y.; Bai, J.G.; Zhang, Y.; Wang, X.J. Biodegradation of p-hydroxybenzoic acid in soil by Pseudomonas putida CSY-P1 isolated from cucumber rhizosphere soil. Plant Soil 2015, 389. [Google Scholar] [CrossRef]
- Xun, F.; Xie, B.; Liu, S.; Guo, C. Effect of plant growth-promoting bacteria (PGPR) and arbuscular mycorrhizal fungi (AMF) inoculation on oats in saline-alkali soil contaminated by petroleum to enhance phytoremediation. Environ. Sci. Pollut. R. 2015, 22, 598–608. [Google Scholar] [CrossRef] [PubMed]
- Gao, M.; Zhou, J.J.; Wang, E.T.; Chen, Q.; Xu, J.; Sun, J.G. Multiphasic characterization of a plant growth promoting bacterial strain, Burkholderia sp. 7016 and its effect on tomato growth in the field. J. Integr. Agric. 2015, 14, 1855–1863. [Google Scholar] [CrossRef]
- Rosier, A.; Medeiros, F.; Bais, H.P. Defining plant growth promoting rhizobacteria molecular and biochemical networks in beneficial plant-microbe interactions. Plant Soil 2018, 428, 35–55. [Google Scholar] [CrossRef]
Publisher’s Note: MDPI stays neutral with regard to jurisdictional claims in published maps and institutional affiliations. |
© 2021 by the authors. Licensee MDPI, Basel, Switzerland. This article is an open access article distributed under the terms and conditions of the Creative Commons Attribution (CC BY) license (https://creativecommons.org/licenses/by/4.0/).






