Abstract
In recent decades, increasing human pressure has caused the gradual deterioration of the physical and chemical properties of water and soil. Salinity is an important factor influencing the quality of water. The aim of this comprehensive research was to determine the effect of increasing concentrations of sodium chloride, which is a salinity inducer, on the yield, photosynthesis efficiency (expressed with chlorophyll fluorescence measurement) and content of selected nutrients in the leaves of hydroponically grown lettuce (Lactuca sativa L.). Experiments were conducted at the following concentrations of NaCl: 0 (control treatment), 10, 20, 40, and 60 mmol L−1. Studies were conducted in two independent seasons: spring and autumn. The plants exposed to NaCl stress modified their chemical composition by lowering the uptake of (for 60 mmol L−1 NaCl in relation to control): N (−11%), K (−35.7%), and Mg (−24.5%), while increasing the sodium content (+2400%). The Na:K ratio was significantly narrowed (from 76:1 to 2.6:1). The increase in the Cl level in the lettuce leaves may also have caused a decrease in the content of nitrates. As a result of disturbed ionic balance, the RWC was significantly reduced (−6.2%). As a result of these changes, the yield of the biomass of the aerial parts decreased (more than two-fold for the highest NaCl concentration in relation to control) whereas the dry matter content increased (+32%). The measurement of fluorescence showed significant changes at the PSII level. Salinity modified the energy flow rate (F0, FM, FV, FV/FM) as well as the specific energy flows through the reaction centre (ABS/RC, TR0/RC, ET0/RC, DI0/RC). The PSII functioning index, calculated on the basis of energy absorption (PIAbs), also changed. The salinity induced with NaCl significantly worsened the physiological reactions of the plants in the PSII, changed the ionic balance, which resulted in a significantly lower yield of the plants. Due to increasing water quality problems, it will be necessary to use, in agriculture on a much larger scale than before, saline water treatment systems (e.g., highly effective nanofiltration and/or reverse osmosis).
1. Introduction
During ontogenesis plants modify the course of physiological processes, and their growth and development is partially influenced by environmental factors [1]. These factors are usually unstable. Global climate change causes soil degradation all over the world. Soil salinity, which may be caused by both natural and anthropogenic factors, is an example of negative changes in the chemical and physical properties of soils. This effect may be caused by the irrigation of plants with water with a high EC level due to a high concentration of sodium chloride. Due to the limited amount of good quality water resources farmers are forced to irrigate crops with a relatively high concentration of salt water [2,3]. As a consequence, plants are exposed to ionic stress due to the accumulation of Na+ and Cl− in their tissues, which has a deleterious effect on their enzyme activity, cell membrane structure, and DNA [4]. According to Tavakkoli et al. [5], salt stress may also disturb the uptake of mineral ions, lead to nutrient starvation, and reduce the physiological activity of plants. Researchers usually describe interactions between Na+ and K+ and between Cl− and NO3-.
Plant cells have developed various mechanisms responsible for both stress avoidance and tolerance [6,7,8]. The effect of the initial stage of salt stress is similar to that of drought stress. It lowers the leaf water potential, which deteriorates stomatal conductivity and reduces photosynthetic efficiency [9,10]. Salt stress reduces chlorophyll synthesis [11]. According to Yildiz et al. [12], the plant’s reaction depends on its development phase and gene expression, as well as the content of glycine betaine, which protects the photosynthetic apparatus by stabilising the external proteins in the PSII complex. Plants may also respond to salt stress by the accumulation of proline (amino acid), which alleviates the negative effects of both ionic and osmotic stress [13,14]. Proline is responsible for osmotic adjustment and acts as an enzyme protectant, scavenger of toxic oxygen derivatives and the subcellular structure stabiliser [15].
Plant mineral balance disorders caused by salinity are the most serious threats to agriculture, and consequently also to consumers, because they affect the biological value of food [16,17]. The accumulation of excessive amounts of sodium and nitrates in vegetables is a particularly important problem for humans. Although nitrate by itself is relatively non-toxic, elevated nitrate levels in water and foods are dangerous to infants, because they have a lower level of nitrate reductase. Nitrate obstructs oxygen transport in the blood, which could cause methemoglobinemia [18]. Opinions on the influence of nitrate on human health have evolved over time. Now it is believed that nitrate may also have a positive effect. Bondonno et al. [19] conducted clinical trials and found that a moderate vegetable nitrate intake was associated with 12–26% lower risk of hospitalisations due to ischaemic heart disease, heart failure, ischaemic stroke and peripheral artery disease. According to these authors, the daily consumption of at least 60 mg of vegetable nitrate may mitigate the risk of cardiovascular disease. Sodium is an essential nutrient for humans, because it is necessary for normal physiological function [20], but a sodium excess in the human body increases the risk of cardiovascular disease [21]. It also disorders renal function, which ultimately leads to renal failure [22].
Leafy vegetables, especially lettuce, contain the highest amounts of nitrates [23]. Lettuce is often grown in hydroponic systems, even when access to high-quality water is limited. There have been numerous scientific publications on the influence of the quality of water/medium on the yield of lettuce [24,25]. However, although the information on the cultivation of this crop is valuable, it is usually incomplete. Moreover, some of the publications concern lettuce seedlings (short term experiments) [26] or salt stress effect is modified by other factors, e.g., application of silicon [27]. For this reason, and in view of the fact that the quality of vegetables is strongly correlated with the conditions of their cultivation, research was undertaken to comprehensively investigate the response of lettuce (Lactuca sativa L.) to the increasing concentration of NaCl in a nutrient solution.
2. Material and Methods
2.1. Vegetation Experiments
Experiments were conducted in two independent seasons: the spring and autumn of 2019. ‘Zeralda F1’ butter lettuce (Lactuca sativa L.) seeds were sown in late April and early August. The seeds were sown individually into rockwool cubes. Seedlings were transplanted into rockwool blocks (100 × 100 × 65 mm). At the stage of 3–4 leaves unfolded (28 June and 4 September) the plants in the blocks were transferred into cultivation gutters. The plants were grown hydroponically in a closed system without recirculation of the nutrient solution. Depending on the needs, the lettuce was watered with the nutrient solution at a dose of 150–300 cm3 per plant with a 20–30% leakage of the excess solution from the cubes. The plants were fertigated with a standard nutrient solution with the following composition (mg dm−3): N-NH4—2.1, N-NO3—173, P—42, K—317, Ca—135, Mg—60, S-SO4—120, Na—35, Fe—0.32, Mn—0.52, Zn—0.51, and Cu—0.03. Sodium chloride at increasing doses was added to the basic nutrient solution. There were five experimental combinations with the following NaCl concentrations: 0 (control combination), 10, 20, 40, and 60 mmol L−1. The initial electrical conductivity (EC) of the nutrient solutions mixed with all components was as follows (dS·m−1): 3.1 (control combination), 4.18, 5.21, 7.13, 9.42. The experiment was conducted in a systematic design with five replicates (3 lettuces were 1 replicate).
2.2. Chlorophyll Fluorescence Measurements
The day before harvesting the plants, the OJIP test was applied to measure the following chlorophyll fluorescence parameters in each cycle: F0—initial fluorescence, FM—maximum fluorescence intensity, FV—maximum variable fluorescence, FV/FM—maximum photochemical quantum PSII after dark adaptation, ABS/RC—the light energy absorbed by the PSII antenna photon flux per active reaction centre, TR0/RC—total energy used to reduce QA by the unit reaction centre of PSII per energy captured by a single active RC, ET0/RC—rate of electron transport through a single RC, DI0/RC—non-photochemical quenching per reaction centre of PSII; total dissipation of energy not captured by the RC in the form of heat, fluorescence and transfer to other systems, PIAbs—performance index (potential) for energy conservation from excitation to the reduction of intersystem electron acceptors. Chlorophyll-induced fluorescence changes were measured with a PAR-FluorPen FP 110D fluorimeter (PSI Company, Fairfax, VA, USA).
2.3. Analysis of DM and RWC
On the last day of each cycle (27 July and 11 October) the following values were measured: the fresh weight of a lettuce head (g), and the relative water content (%) [28]. The dry matter ratio (%) was calculated with the following formula:
where:
DM—the dry matter ratio (%),
Wdry—dry weight of sample,
Wfr—fresh weight of sample.
2.4. Nitrates Analysis
The content of nitrates was measured with the colorimetric method, using direct cadmium reduction. In this method, the sample was extracted with hot water and deproteinised with potassium ferrocyanide and zinc acetate. Next, nitrates were reduced with powdered cadmium to nitrites, and then the concentration of the coloured compound was measured colorimetrically after reacting with the Griess reagent. The absorbance was read with a photocolorimeter at 538 nm.
2.5. Chemical Analyses of Leaves
In order to assay the total forms of nitrogen, potassium, magnesium and sodium, the plant material was digested in concentrated sulphuric acid (96%, pure per analysis) with a hydrogen peroxide additive (30%, pure per analysis) [29]. After mineralisation of the plant material the following measurements were made: total N—the Kjeldahl distillation method in a Parnas Wagner apparatus; P—colorimetric analysis with ammonium molybdate; K, Mg, Na—flame atomic absorption spectrometry with an AAS Carl Zeiss Jena apparatus. The accuracy of the methods used for the chemical analyses and the precision of analytical measurements of nutrient levels were verified with the LGC7162 reference material, with an average nutrient recovery of 96% (N, P, K, Ca, Mg).
2.6. Statistical Analysis
The data were analysed with the Statistica 13.3 software (StatSoft Inc., Tulsa, OK, USA). The results of the chemical analyses and plant yield measurements were subjected to a one-way ANOVA. The results were analysed statistically by means of Duncan’s test at a significance level p = 0.05. The Euclidean distance was used in cluster analyses. Principal component analysis (PCA) was used to identify the relationship between macronutrient and sodium concentrations in the leaves.
3. Results and Discussion
3.1. The Influence of Increasing Sodium Chloride Concentrations on the Yield of Lettuce and RWC
The applied salt stress caused a decrease in the fresh weight of the plants and RWC in the lettuce leaves (Table 1). However, there was a statistically significant decline in the fresh matter content observed at as low a concentration as 20 mmol NaCl, whereas the RWC decreased only at concentrations 60 mmol NaCl (for Spring) and 20–60 mmol NaCl (for Autumn). In comparison with the control variant, the fresh matter content in combination with the highest amount of NaCl decreased by 60.8% and 51.2%, respectively, whereas the RWC decreased by 6.97% and 5.44%, respectively. The opposite trend was observed in the dry matter content. An increase in the NaCl concentration in the medium increased the dry matter content by 22.96% and 41.79%, respectively (in comparison with the control plants). This means that due to salinity the water content in the plants was decreasing gradually, whereas the dry matter content was increasing. In practice, the dry matter content is a determinant of post-harvest durability and it is an important parameter of the commercial value of vegetables for direct consumption. Parente et al. [30] consider that lettuce plants with a dry matter content of more than 7% have the best quality.
Table 1.
The influence of NaCl on the yield of the aerial parts of plants, dry matter content and RWC.
According to Acosta-Motos et al. [8], higher salinity in the rhizosphere reduces water potential, which results in a lower amount of water available to plants. In order to balance it, plants lower their osmotic potential, which is their strategy of adaption to salinity stress. Saline-stressed plants also accumulate larger amounts of proline than control plants. Salinity stress induces plants to accumulate sugar, which protects their biomolecules and membranes. An increase in the dry matter content in lettuce resulting from an increase in the NaCl concentration in the nutrient solution was also observed in experiments conducted by other authors [26,31,32,33]. This effect may have been caused by changes in the structure of plant cell walls. The plant cell wall is a barrier to external hazards. Plants exposed to biotic and abiotic stresses tend to accumulate reactive oxygen species as well as lignin [34,35]. Therefore, lignin metabolism is relevant to plants’ resistance to diseases and insects as well as their tolerance of drought, salinity, heat, cold, heavy metals and other stresses [34]. Such reaction leads to histological changes in the plant tissues, such as the formation of papillae, lignification, the deposition of callose, and the thickening of the cell wall due to the deposition of phenols and substances similar to hydrogen peroxide [36,37,38]. Increased cellulose synthesis could be plants’ method of maintenance of cell wall integrity and cell turgor pressure in order to ensure continuous cell growth under low water potential [39]. Cell wall thickening resulting from the strengthening of the secondary wall by the deposition of hemicellulose and lignin is also confirmed in the publications cited by Le Gall et al., [40].
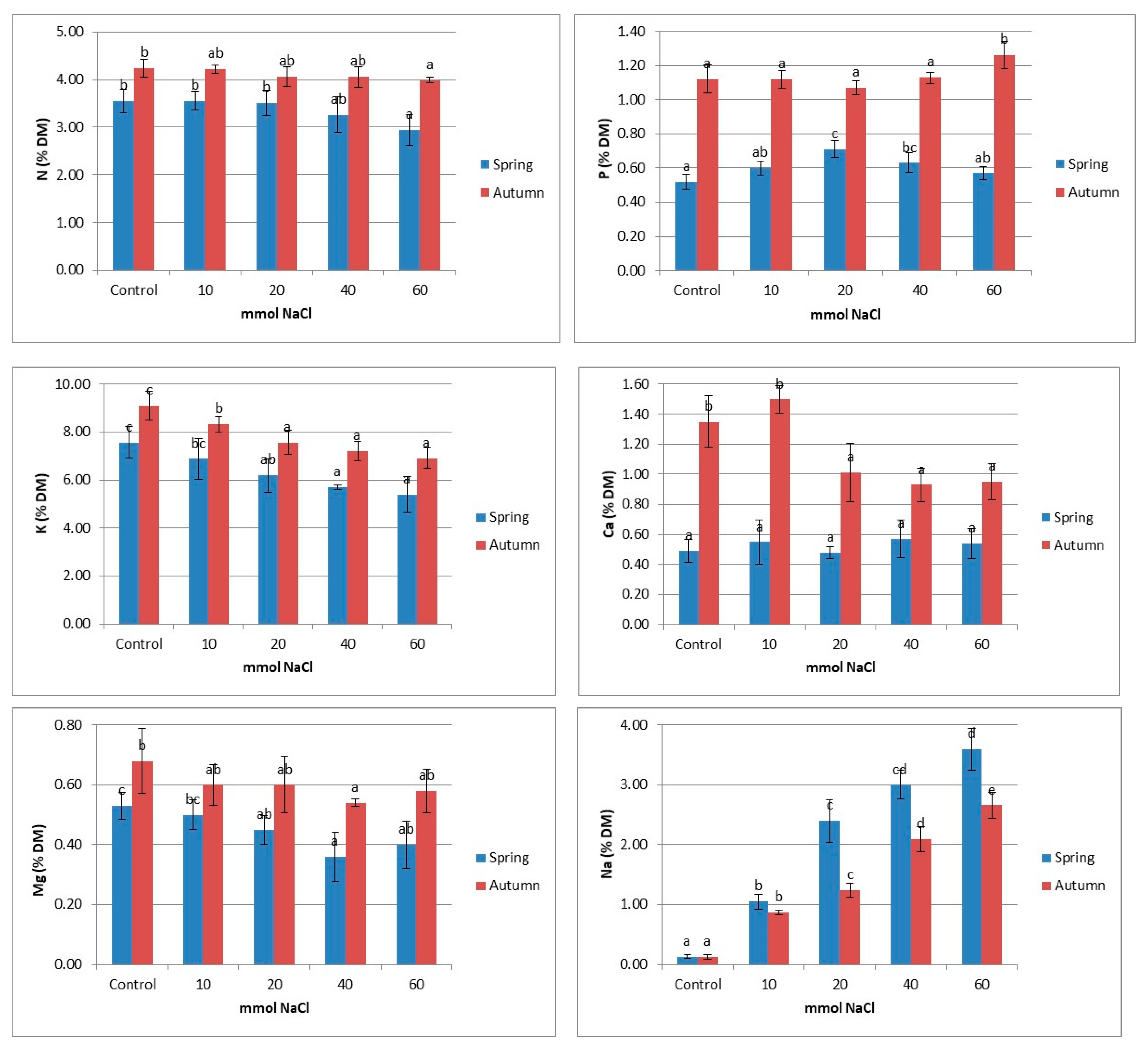
Salinity affects the size of the root system of lettuce grown in a hydroponic system—at a concentration of 100 mM it is reduced by 21%, whereas at 200 mM it is reduced by 42% [41]. Our study showed that salinity also disordered the uptake of nutrients, which was evidenced by their content in the plant (Figure 1).
Figure 1.
The influence of NaCl on the content of macronutrients and sodium in the leaves (% DM). Means followed by the same letters do not differ significantly at p = 0.05.
General tendencies of chemical composition were shown at the Figure 2. In our studies both in the spring and autumn the content of nitrogen in the lettuce leaves decreased slightly as the salinity of the nutrient solution increased, but it was statistically significant only at 60 mmol NaCl L The potassium content decreased significantly. The difference between the control combination and the combination with the highest sodium chloride concentration amounted to about 24–29%, depending on the cultivation time. There was a similar tendency observed for magnesium, but the decrease in its content was smaller, i.e., 24% and 15%, respectively. In contrast to the N, K and Mg content, the Na level increased significantly—in the spring about eight times at the lowest NaCl concentration and about 28 times at the highest NaCl concentration. The sodium content in the lettuce grown in the autumn increased about seven times and 22 times, respectively. There were similar tendencies observed by Bartha et al. [32] and Hniličková et. al. [42] for potassium and sodium and by Ekinci et al. [43] for magnesium. Potassium plays a key role in osmoregulation, turgor maintenance and protein synthesis and it activates more than 50 enzymes [16]. A high Na+ content inhibits the uptake of potassium ions, which is an essential element for plant growth and development [44]. A decrease in potassium uptake resulted in a noticeable decrease in the K/Na ratio in the plant tissue in relation to the NaCl concentration in the nutrient solution (Figure 3). The R2 values in the equation describing the current trend were 0.99 in the spring and 0.98 in the autumn. The calcium content measurements were inconclusive. In the spring, the increase in salinity did not cause significant changes in the calcium content in the leaves, but in the autumn the Ca content decreased significantly. According to Choi and Lee [45] and Ünlükara et al. [37], the accumulation of calcium in the leaves decreased with elevated EC due to the reduced translocation of these ions in the plants. The PCA showed that in both seasons the content of Na, K, Mg and N was relatively linear, but there were opposite trends in relation to the NaCl dose (Figure 4).
Figure 2.
The cluster analysis of the chemical composition of the plants in the test combinations.
Figure 3.
The K/Na ratio in the lettuce plant tissue in relation to the NaCl concentration in the nutrient solution (mmol). Means followed by the same letters do not differ significantly at p = 0.05.
Figure 4.
Principal component analysis of the chemical composition of plants grown in both seasons.
Hniličková et. al. [42] and Ondrasek et al. [46] also observed a marked decrease in the K/Na ratio in lettuce. The retention of a high K/Na ratio is defined as a determinative trait in salt tolerance [47]. The minimum value of the K/Na ratio is about 1 [48]. In our study the K/Na ratio was higher and amounted to about 2.5 even at the highest NaCl concentration in the medium. The value of the Pearson correlation coefficient for the content of K and Na was negative and amounted to −0.99 in the spring and −0.96 in the autumn (Figure 4).
The sodium content in food is an important indicator of its suitability for consumption. According to the World Health Organization [49] and the European Food Safety Authority [50], the sodium intake of 2.0 g/day (equivalent to 5 g salt/day) is likely to allow most of the general adult population to maintain the physiological sodium balance. Children are allowed the following maximum sodium intake: 1.1 g/day for children aged 1–3 years, 1.3 g/day for children aged 4–6 years, 1.7 g/day for children aged 7–10 years and 2.0 g/day for children aged 11–17 years. As results from these recommendations and the fresh and dry matter content in the plants analysed in our study (Table 1) as well as their chemical composition (Figure 1), the consumption of typical amounts of lettuce is not a health hazard.
Lettuce, which is one of the most commonly consumed vegetables, can accumulate elevated amounts of nitrates. The accumulation of nitrates in plants depends mainly on nitrogen fertilisation, light intensity and physiological age of plant [51]. A high chloride content in water or nutrient solution may decrease the absorption of nitrates and reduce their accumulation in leaves [52,53,54]. This effect was also observed in our study. The nutrient solution with the lowest NaCl concentration decreased the nitrate content in the lettuce by 8% in the spring and 4.5% in the autumn (Figure 5). At the highest NaCl concentration in the nutrient solution the nitrate content decreased by 18.9% and 19%, respectively.
Figure 5.
The influence of NaCl on the content of nitrates in leaves (mg NO3/kg fresh weight). Means followed by the same letters do not differ significantly at p = 0.05.
The effect of salinity on the nitrate content of lettuce leaves may be variety specific [55]. According to Liu and Shelp [56], chlorides could be used in a commercial strategy to decrease the nitrate content in vegetables, especially in those classified as nitrate accumulators, e.g., lettuce. Some studies showed that salinity reduced the nitrate content in plants without affecting the total nitrogen content [57,58]. The results of our investigations showed a slight but clear downward trend in both the total N and NO3 content. The permissible content of nitrates in fresh lettuce is specified in the regulations of the European Union [59]. The maximum nitrate level in lettuce grown under cover and harvested from 1 April to 30 September cannot exceed 4000 NO3/kg fresh weight, whereas in lettuce harvested from 1 October to 31 March it cannot exceed 5000 NO3/kg fresh weight. These values were not exceeded in our studies. According to the Joint FAO/WHO Expert Committee on Food Additives (JECFA), the acceptable daily intake of NO3 is 0–3.7 mg kg−1 body weight [60]. Thus, a consumer with an average body weight of 70 kg could consume 69–89 g of the lettuce in the control combination, and up to 86–110 g of the lettuce in the 60 mmol NaCl combination.
3.2. Chlorophyll Fluorescence
The energy absorbed by chlorophyll a is used mostly in the light phase of photosynthesis to synthesise ATP and NADPH (non-cyclic electron transport) or only ATP (cyclic electron transport). The energy excess is dissipated as heat and is partly re-emitted as light (fluorescence) [61]. This fluorescence is emitted from healthy leaves and it practically comes only from particles of chlorophyll a, which is found mainly in photosystem II (PSII). Therefore, it can be treated as an indicator of its functionality [62,63] or the state of health and vitality of the plant [64]. As the PSII structure is particularly sensitive to stress, fluorimetric methods can be used to register changes in the reactions occurring in the PSII [65]. Methods monitoring the physiological processes occurring in plants, especially photosynthesis, are used for the identification of their stress states [66]. The amount of fluorescence is inversely proportional to the intensity of photosynthesis. For many years chlorophyll fluorescence has been used for non-invasive monitoring of plants’ photosynthetic performance [67].
The ANOVA revealed differences in the mean values of most of the chlorophyll fluorescence parameters (except Fv/FM) both in the spring and autumn (Table 2). The salinity induced with calcium chloride modified the energy flow rate. There was a tendency towards significant changes in the efficiency of the excitation energy transfer between chlorophyll molecules (F0) (Table 3).
Table 2.
The results of one-way ANOVA showing the influence of NaCl on selected chlorophyll fluorescence parameters.
Table 3.
The influence of salinity on selected chlorophyll fluorescence parameters.
As the salinity level increased, the maximum fluorescence decreased after dark adaptation (Fm). This indicates plant stress, as a result of which not all electron acceptors in the PSII were completely reduced [63]. This tendency was more pronounced in the spring (Figure 6). A decrease in the maximum fluorescence (Fm) might signal the reduced electron acceptance potential of the primary acceptor QA in the PSII due to the dissociation of the light-harvesting complex (LHC) from the PSII [68].
Figure 6.
The principal component analysis of chlorophyll fluorescence (OJIP test) in both growing seasons.
As the NaCl concentration increased, the efficiency of the quantum yield of PSII decreased (lower FV), which may have resulted in greater dissipation of energy in the form of heat [63]. These results positively correspond with the significant decrease in the plant yield observed in our study. Increased salinity reduces osmotic water uptake and the FV/F0 value decreases. There are also changes in the chlorophyll fluorescence and PSII function parameters [5]. The deterioration of the chlorophyll fluorescence parameters may be caused by nutrient deficiency [69,70]. This effect was also observed in our study. There were no significant changes in the maximum quantum yield (Fv/FM), which is an important photochemical quenching parameter determining the maximum quantum efficiency of PSII. The authors of other studies also indicated that salinity might not cause differences in the value of this parameter [71]. Therefore, this parameter does not seem to be a reliable indicator for diagnosing salinity stress caused by NaCl.
The increasing salt stress significantly influenced the specific energy flows in the reaction centre (RC). It caused a decrease in the flow of absorbed energy through one active reaction centre (ABS/RC), and the changes were more dynamic in the spring. There was a similar tendency of changes in the energy uptake by one active reaction centre (TR0/RC)—it decreased significantly as the stress increased. These changes were more dynamic in the spring. The TR0/RC changes indicate a decrease in the conversion efficiency of excitation energy. Salinity also had a negative effect on the electron transport rate (ET0/RC). However, it was much worse in the autumn. The influence of salinity in this fluorescence parameter was also observed in the study conducted by Percival and Fraser [72]. The reduced energy flow through one active reaction centre (reduction due to salinity—the control combination vs. the 60 mmol NaCl combination—by 26.1% in the spring and by 6.0% in the autumn), allowing for the reduction of photons retained in the PSII per RC (analogously: 25.2% in the spring and 5.6% in the autumn), reduced the DI0/RC, i.e., the dissipation of energy in the form of heat, fluorescence and transfer to other systems by 28.1% in the spring and by 7.6% in the autumn. There were similar results of the research by Kanwal et al. [73]. The increase in the PIABS in response to the salinity stress in the spring was mainly caused by the increase in the efficiency of primary photochemistry and the photochemical efficiency of photosynthetic electron transport associated with a decreased DI0/RC [74]. The opposite PIABS tendency was observed in the autumn.
Our research results correspond positively with the results of the study by Loudari et al. [75], who also observed a decrease in chlorophyll fluorescence yield, which indicated inhibition at the acceptor sites of photosystem I. It seems that the downregulation of the electron transport between photosystem I and photosystem II under salt stress may have been caused by the imbalanced nutrient uptake. Shin et al. [76] also observed that induced drought stress significantly decreased chlorophyll fluorescence parameters. In our studies we have found a significant interdependence between the chlorophyll fluorescence parameters e.g., between F0 and ABS/RC and TR0/RC and negative correlations between the Fv/FM and most of the parameters under analysis. There were similar dependences regardless of the growing season.
4. Conclusions
The aim of these studies was to determine the effect of increasing concentrations of sodium chloride, which is a salinity inducer, on the yield, photosynthesis efficiency (expressed with chlorophyll fluorescence measurement) and the content of selected nutrients in the leaves of hydroponically grown lettuce (Lactuca sativa L.). Salinity significantly modified the mineral balance of plants by decreasing their nutrition with N, K, and Mg and by a simultaneous increase in the Na level. A negative effect was the narrowing of the K: Na ratio. The disturbed mineral balance caused significant changes in the DM content and RWC. Salinity significantly modified the PSII function by changing the energy flow rate and specific energy flows through the reaction centre (RC). The maximum quantum yield (Fv/FM) does not seem to be a reliable indicator for diagnosing salinity stress caused by NaCl. In conclusion, the salinity induced with NaCl significantly worsened the physiological reactions of the plants in the PSII, changed the ionic balance, which resulted in a significantly lower yield of the plants. Due to increasing water quality problems, it will be necessary to use in agriculture on a much larger scale than before saline water treatment systems (e.g., highly effective nanofiltration and/or reverse osmosis).
Author Contributions
Conceptualization, W.B. and T.K.; methodology, W.B., T.K. and B.M.; software, M.M.; validation, W.B., T.K., and E.M.; formal analysis, W.B. and T.K.; investigation, W.B., T.K., B.M., E.M. and M.M.; data curation, T.K. and M.M.; writing—original draft preparation, W.B., T.K. and B.M.; writing—review & editing, W.B., T.K. and B.M.; supervision, W.B. and T.K. All authors have read and agreed to the published version of the manuscript.
Funding
Publication was co-financed within the framework of the Polish Ministry of Science and Higher Education’s program: “Regional Initiative Excellence” in the years 2019–2022 (No. 005/RID//2018/19)”, financing amount 12 000 000 PLN.
Conflicts of Interest
The authors declare no conflict of interest.
Abbreviations
F0—initial fluorescence, FM—maximum fluorescence intensity, FV—maximum variable fluorescence, FV/FM—maximum photochemical quantum PSII after dark adaptation, ABS/RC—the light energy absorbed by the PSII antenna photon flux per active reaction centre, TR0/RC—total energy used to reduce QA by the unit reaction centre of PSII per energy captured by a single active RC, ET0/RC—rate of electron transport through a single RC, DI0/RC—non-photochemical quenching per reaction centre of PSII; total dissipation of energy not captured by the RC in the form of heat, fluorescence and transfer to other systems, PIAbs—performance index (potential) for energy conservation from excitation to the reduction of intersystem electron acceptors.
References
- Starck, Z. Dystrybucja fotoasymilatów kluczowym procesem determinującym plon. Postępy Nauk Rol. 2009, 61, 51–69. [Google Scholar]
- Reed, D.W. Combating poor water quality with water purification systems. In Water, Media and Nutrition for Greenhouse Crops; Reed, D.W., Ed.; Ball Publishing: Batavia, IL, USA, 1996; pp. 51–67. [Google Scholar]
- Niu, G.; Starman, T.; Byrne, D. Responses of Growth and Mineral Nutrition of Garden Roses to Saline Water Irrigation. HortScience 2013, 48, 756–761. [Google Scholar] [CrossRef]
- Li, W.; Li, Q. Effect of Environmental Salt Stress on Plants and the Molecular Mechanism of Salt Stress Tolerance. Int. J. Environ. Sci. Nat. Res. 2017, 7, 555714. [Google Scholar] [CrossRef]
- Tavakkoli, E.; Fatehi, F.; Coventry, S.; Rengasamy, P.; McDonald, G.K. Additive effects of Na+ and Cl− ions on barley growth under salinity stress. J. Exp. Bot. 2011, 62, 2189–2203. [Google Scholar] [CrossRef] [Green Version]
- Julkowska, M.M.; Testerink, C. Tuning plant signaling and growth to survive salt. Trends Plant Sci. 2015, 20, 586–594. [Google Scholar] [CrossRef] [PubMed] [Green Version]
- Munns, R.; Gilliham, M. Salinity tolerance of crops—What is the cost? New Phytol. 2015, 208, 668–673. [Google Scholar] [CrossRef] [Green Version]
- Acosta-Motos, J.R.; Ortuño, M.F.; Bernal-Vicente, A.; Diaz-Vivancos, P.; Sanchez-Blanco, M.J.; Hernandez, J.A. Plant Responses to Salt Stress: Adaptive Mechanisms. Agronomy 2017, 7, 18. [Google Scholar] [CrossRef] [Green Version]
- Naumann, J.C.; Young, D.R.; Anderson, J.E. Linking leaf chlorophyll fluorescence properties to physiological responses for detection of salt and drought stress in coastal plant species. Physiol. Plant. 2007, 131, 422–433. [Google Scholar] [CrossRef]
- He, Y.; Zhu, Z.; Yang, J.; Ni, N.; Zhu, B. Grafting increases the salt tolerance of tomato by improvement of photosynthesis and enhancement of antioxidant enzymes activity. Environ. Exp. Bot. 2009, 66, 270–278. [Google Scholar] [CrossRef]
- Santos, C.V. Regulation of chlorophyll biosynthesis and degradation by salt stress in sunflower leaves. Sci. Hortic. 2004, 103, 93–99. [Google Scholar] [CrossRef]
- Yildiz, M.; Poyraz, I.; Çavdar, A.; Özgen, Y.; Beyaz, R. Plant Responses to Salt Stress. In Plant Breeding—Current and Future Views; Abdurakhmonov, I.Y., Ed.; IntechOpen: London, UK, 2020. [Google Scholar]
- Breś, W.; Bandurska, H.; Kupska, A.; Niedziela, J.; Fraszczak, B. Responses of pelargonium (Pelargonium x hortorum L.H. Bailey) to long-term salinity stress induced by treatment with different NaCl doses. Acta Physiol. Plant. 2016, 38, 26. [Google Scholar] [CrossRef] [Green Version]
- Kozłowska, M.; Bandurska, H.; Breś, W. Response of Lawn Grasses to Salinity Stress and Protective Potassium Effect. Agronomy 2021, 11, 843. [Google Scholar] [CrossRef]
- Molazem, D.; Qurbanov, E.M.; Dunyamaliyev, S.A. Role of proline, Na and chlorophyll content in salt tolerance of corn (Zea mays L.). Am.-Eurasian J. Agric. Environ. Sci. 2010, 9, 319–324. [Google Scholar]
- Munns, R.; Tester, M. Mechanisms of salinity tolerance. Annu. Rev. Plant Biol. 2008, 59, 651–681. [Google Scholar] [CrossRef] [PubMed] [Green Version]
- Matuszak, R.; Włodarczyk, M.; Brzóstowicz, A.; Wybieralski, J. Wpływ NaCl na zawartość wybranych mikroelementów w liściach i korzeniach siewek pszenicy ozimej odmiany Almari. Acta Agrophys. 2009, 14, 145–153. [Google Scholar]
- Hmelak-Gorenjak, A.; Cencič, A. Nitrate in vegetables and their impact on human health. A review. Acta Aliment. 2013, 42, 158–172. [Google Scholar] [CrossRef]
- Bondonno, C.P.; Dalgaard, F.; Blekkenhorst, L.C.; Murray, K.; Lewis, J.R.; Croft, K.D.; Kyrø, C.; Torp-Pedersen, C.; Gislason, G.; Tjønneland, A.; et al. Vegetable nitrate intake, blood pressure and incident cardiovascular disease: Danish Diet, Cancer, and Health Study. Eur. J. Epidemiol. 2021, 36, 813–825. [Google Scholar] [CrossRef] [PubMed]
- Kotchen, T.A.; Cowley, A.W.; Frohlich, E.D. Salt in health and disease–a delicate balance. N. Engl. J. Med. 2013, 368, 1229–1237. [Google Scholar] [CrossRef]
- He, F.J.; MacGregor, G.A. Salt reduction lowers cardiovascular risk: Meta-analysis of outcome trials. Lancet 2011, 378, 380–382. [Google Scholar] [CrossRef]
- Ritz, E.; Koleganova, N.; Piecha, G. Role of sodium intake in the progression of chronic kidney disease. J. Ren. Nutr. 2009, 19, 61–62. [Google Scholar] [CrossRef] [PubMed]
- Iammarino, M.; Di Taranto, A.; Cristino, M. Monitoring of nitrites and nitrates levels in leafy vegetables (spinach and lettuce): A contribution to risk assessment. J. Sci. Ood Agric. 2014, 94, 773–778. [Google Scholar] [CrossRef] [PubMed]
- Xu, C.; Mou, B. Evaluation of Lettuce Genotypes for Salinity Tolerance. HortScience 2015, 50, 1441–1446. [Google Scholar] [CrossRef] [Green Version]
- Kleiber, T.; Markiewicz, B. Lettuce [Lactuca sativa L.] tolerance to salinity. Part I. Differentiation of the chemical composition of the root zone. Nauka Przyr. Technol. 2010, 4, 46. [Google Scholar]
- Shin, Y.K.; Bhandari, S.R.; Jo, J.S.; Song, J.W.; Cho, M.C.; Yang, E.Y.; Lee, J.G. Response to salt stress in lettuce: Changes in chlorophyll fluorescence parameters, phytochemical contents, and antioxidant activities. Agronomy 2020, 10, 1627. [Google Scholar] [CrossRef]
- Lemos Neto, H.d.S.; de Almeida Guimarães, M.; Mesquita, R.O.; Sousa Freitas, W.E.; de Oliveira, A.B.; da Silva Dias, N.; Gomes-Filho, E. Silicon supplementation induces physiological and biochemical changes that assist lettuce salinity tolerance. Silicon 2021, 13, 4075–4089. [Google Scholar] [CrossRef]
- Gonzáles, L.; Gonzáles-Vilar, M. Determination of relative water content. In Handbook of Plant Ecophysiology Techniques; Reigosa Roger, M.J., Ed.; Springer: Dordrecht, The Netherlands, 2001; pp. 207–212. ISBN 978-0-306-48057-7/978-0-7923-7053-6. [Google Scholar]
- IUNG. ANALYTICAL Methods in Agricultural Chemistry Stations. Part II. Plant Analyses; Institute of Soil Science and Plant Cultivation: Pulawy, Poland, 1972. [Google Scholar]
- Parente, A.; Gonnella, M.; Santamaria, P.; L’Abbate, P.; Conversa, G.; Elia, A. Nitrogen fertilization of new cultivars of lettuce. Acta Hortic. 2004, 700, 137–140. [Google Scholar] [CrossRef]
- Tas, G.; Papadandonakis, N.; Savvas, D. Response of lettuce (Lactuca sativa L. var. longifolia) grown in closed hydroponic system to NaCl- or CaCL2- salinity. J. Appl. Bot. Food Qual. 2005, 79, 136–140. [Google Scholar]
- Bartha, C.; Fodorpataki, L.; Martinez-Ballesta, M.d.C.; Popescu, O.; Carvajal, M. Sodium accumulation contributes to salt stress tolerance in lettuce cultivars. J. Appl. Bot. Food Qual. 2015, 88, 42–48. [Google Scholar]
- Conversa, G.; Bonasia, A.; Lazzizera, C.; Elia, A. Soilless Cultivation System, Electrical Conductivity of Nutrient Solution and Growing Season on Yield and Quality of Baby-Leaf Oak-Leaf Lettuce. Agronomy 2021, 11, 1220. [Google Scholar] [CrossRef]
- Moura, J.C.; Bonine, C.A.; Viana, J.; Dornelas, M.C.; Mazzafera, P. Abiotic and biotic stresses and changes in the lignin content and composition in plants. J. Integr. Plant Biol. 2010, 52, 360–376. [Google Scholar] [CrossRef]
- Liu, Q.; Zheng, L.; He, F.; Zhao, F.J.; Shen, Z.; Zheng, L. Transcriptional and physiological analyses identify a regulatory role for hydrogen peroxide in the lignin biosynthesis of copper-stressed rice roots. Plant Soil 2015, 387, 323–336. [Google Scholar] [CrossRef]
- Rubin, E.M. Genomics of cellulosic biofuels. Nature 2008, 454, 841–845. [Google Scholar] [CrossRef] [PubMed]
- Ünlükara, A.; Cemek, B.; Karaman, S.; Ersahin, S. Response of lettuce (Lactuca sativa var. crispa) to salinity of irrigation water. N. Z. J. Crop Hortic. Sci. 2008, 36, 265–273. [Google Scholar] [CrossRef]
- Nielsen, M.E.; Feechan, A.; Bohlenius, H.; Ueda, T.; Thordal-Christensen, H. Arabidopsis ARF-GTP exchange factor, GNOM, mediates transport required for innate immunity and focal accumulation of syntaxin PEN1. Proc. Natl. Acad. Sci. USA 2012, 109, 11443–11448. [Google Scholar] [CrossRef] [Green Version]
- Ricardi, M.M.; Gonzalez, R.M.; Zhong, S.; Dominguez, P.G.; Duffy, T.; Turjanski, P.G.; Salter, J.D.S.; Alleva, K.; Carrari, F.; Giovannoni, J.J.; et al. Genome-wide data (ChIP-seq) enabled identification of cell wall-related and aquaporin genes as targets of tomato ASR1, a drought stress-responsive transcription factor. BMC Plant Biol. 2014, 14, 29. [Google Scholar] [CrossRef] [PubMed] [Green Version]
- Le Gall, H.; Philippe, F.; Domon, J.-M.; Gillet, F.; Pelloux, J.; Rayon, C. Cell Wall Metabolism in Response to Abiotic Stress. Plants 2015, 4, 112–166. [Google Scholar] [CrossRef]
- Ahmed, S.; Ahmed, S.; Roy, S.; Woo, S.H. Effect of salinity on the morphological, physiological and biochemical properties of lettuce (Lactuca sativa L.) in Bangladesh. Open Agric. 2019, 4, 361–373. [Google Scholar] [CrossRef]
- Hniličková, H.; Hnilička, F.; Orsák, M.; Hejnák, V. Effect of salt stress on growth, electrolyte leakage, Na+ and K+ content in selected plant species. Plant Soil Environ. 2019, 65, 90–96. [Google Scholar] [CrossRef] [Green Version]
- Ekinci, M.; Yildirim, E.; Dursun, A. Mitigation of Salt Stress in Lettuce (Lactuca sativa L. var. Crispa) by Seed and Foliar 24-epibrassinolide Treatments. HortScience 2012, 47, 631–636. [Google Scholar] [CrossRef]
- James, R.A.; Blake, C.; Byrt, C.S.; Munns, R. Major genes for Na+ exclusion, Nax1 and Nax2 (wheat HKT1;4 and HKT1;5), decrease Na+ accumulation in bread wheat leaves under saline and waterlogged conditions. J. Exp. Bot. 2011, 62, 2939–2947. [Google Scholar] [CrossRef] [Green Version]
- Choi, K.Y.; Lee, Y.B. Effect of salinity of nutrient solution on growth, translocation and accumulations of 45Ca in butterhead lettuce. Acta Horticulturae (ISHS) 2001, 548, 575–580. [Google Scholar] [CrossRef]
- Ondrasek, G.; Rengel, Z.; Maurović, N.; Kondres, N.; Filipović, V.; Savić, R.; Blagojević, B.; Tanaskovik, V.; Gergichevich, C.M.; Romić, D. Growth and Element Uptake by Salt-Sensitive Crops under Combined NaCl and Cd Stresses. Plants 2021, 10, 1202. [Google Scholar] [CrossRef] [PubMed]
- Fakhrfeshani, M.; Shahriari-Ahmadi, F.; Niazi, A.; Moshtaghi, N.; Zare-Mehrjerdi, M. The effect of salinity stress on Na+, K+ concentration, Na+/K+ ratio, electrolyte leakage and HKT expression profile in roots of Aeluropus littoralis. J. Plant Mol. Breed. 2015, 3, 1–10. [Google Scholar]
- Maathuis, F.J.; Amtmann, A. K+ nutrition and Na+ toxicity: The basis of cellular K+/Na+ ratios. Ann. Bot. 1999, 84, 123–133. [Google Scholar] [CrossRef] [Green Version]
- World Health Organization. Sodium Intake for Adults and Children; Reference number: WHO/NMH/NHD/13.2; WHO: Geneva, Switzerland, 2012; p. 46. [Google Scholar]
- European Food Safety Authority Journal 2017 (update 2019). Diet. Ref. Values Nutr. Summ. Rep. 2019, 17, 5778. [CrossRef] [Green Version]
- Anjana, U.S.; Iqbal, M.; Abrol, Y.P. Are nitrate concentrations in leafy vegetables within safe limits? Curr. Sci. 2007, 92, 355–360. [Google Scholar]
- Miceli, A.; Moncada, A.; D’Anna, F. Effect of salt stress in lettuce cultivation. Acta Hortic. 2003, 609, 371–375. [Google Scholar] [CrossRef]
- Di Mola, I.; Rouphael, Y.; Colla, G.; Fagnano, M.; Paradiso, R.; Mori, M. Morphophysiological traits and nitrate content of greenhouse lettuce as affected by irrigation with saline water. HortScience 2017, 52, 1716–1721. [Google Scholar] [CrossRef] [Green Version]
- Gul, A.; Oztekin, G.B.; Tuzel, Y.; Tuzel, İ.H.; Tepecik, M. Effects of salinity on iceberg lettuce production in floating hydroponics. Acta Hortic. 2020, 1273, 75–84. [Google Scholar] [CrossRef]
- Kappel, N.; Boros, I.F.; Ravelombola, F.S.; Sipos, L. EC Sensitivity of Hydroponically-Grown Lettuce (Lactuca sativa L.) Types in Terms of Nitrate Accumulation. Agriculture 2021, 11, 315. [Google Scholar] [CrossRef]
- Liu, L.; Shelp, B.J. Impact of chloride on nitrate absorption and accumulation by broccoli (Brassica oleracea var. italica). Can. J. Plant Sci. 1996, 76, 367–377. [Google Scholar] [CrossRef]
- Hu, Y.; Schmidhalter, U. Drought and salinity: A comparison of their effects on mineral nutrition of plants. J. Plant. Nutr. Soil Sci. 2005, 168, 541–549. [Google Scholar] [CrossRef]
- Neocleous, D.; Koukounaras, A.; Siomos, A.S.; Vasilakakis, M. Assessing the salinity effects on mineral composition and nutritional quality of green and red “baby” lettuce. J. Food Qual. 2014, 37, 1–8. [Google Scholar] [CrossRef]
- Maximum Levels for Nitrates in Foodstuffs. Commission Regulation (EU) No 1258/2011, 2 December 2011 Amending Regulation (EC) No 1881/2006. Available online: https://eur-lex.europa.eu/LexUriServ/LexUriServ.do?uri=OJ:L:2011:320:0015:0017:EN:PDF (accessed on 18 January 2022).
- World Health Organization; Food and Agriculture Organization of the United Nations; Joint FAO/WHO Expert Committee on Food Additives. Evaluation of Certain Food Additives and Contaminants: Eightieth Report of the Joint FAO/WHO Expert Committee on Food Additives; Meeting (80th: 2015, Rome, Italy); World Health Organization: Geneva, Switzerland, 2016. [Google Scholar]
- Iriel, A.; Novo, J.M.; Cordon, G.B.; Lagorio, M.B. Atrazine and Methyl Viologen Effects on Chlorophyll-a Fluorescence Revisited—Implications in Photosystems Emission and Ecotoxicity Assessment. Photochem. Photobiol. 2014, 90, 107–112. [Google Scholar] [CrossRef] [PubMed]
- Kalaji, H.M.; Rutkowska, A. Reakcja aparatu fotosyntetycznego siewek kukurydzy na stress solny. Zesz. Postępowe Probl. Nauk Rol. 2004, 496, 545–558. [Google Scholar]
- Kalaji, M.H.; Łoboda, T. Fluorescencja Chlorofilu w Badaniach Stanu Fizjologicznego Roślin; Wydawnictwo SGGW: Warszawa, Poland, 2009. [Google Scholar]
- Šesták, Z.; Šiffel, P. Leaf-age related differences in chlorophyll fluorescence. Photosynthetica 1997, 33, 347–369. [Google Scholar]
- Michalczuk, B.; Borkowska, B.; Treder, J.; Goszczyńska, D.M. Chlorophyll fluorescence in senescing leaves of alstroemeria. In Proceedings of the International Scientific Conference: Actualities in Plant Physiology, 12–13 June 2008; p. 85. [Google Scholar]
- Lichtenthaler, H.K.; Rindere, U. The role of chlorophyll ftuorescence in the detection of stress conditions in plants. Critic. Rev. Anal. Chem. 1988, 19, 29–85. [Google Scholar] [CrossRef]
- Baker, N.R.; Rosenqvist, E. Applications of chlorophyll fluorescence can improve crop production strategies: An examination of future possibilities. J. Exp. Bot. 2004, 55, 1607–1621. [Google Scholar] [CrossRef] [Green Version]
- Kalaji, M.; Račková, L.; Paganová, V.; Swoczyna, T.; Rusinowski, S.; Sitko, K. Can chlorophyll-a fluorescence parameters be used as bio-indicators to distinguish between drought and salinity stress in Tilia cordata Mill? Environ. Exp. Bot. 2018, 152, 149–157. [Google Scholar] [CrossRef]
- Smethurst, C.F.; Garnett, T.; Shabala, S. Nutritional and chlorophyll fluorescence responses of lucerne (Medicago sativa) to waterlogging and subsequent recovery. Plant Soil 2005, 270, 31–45. [Google Scholar] [CrossRef]
- Long, J.-R.; Ma, G.-H.; Wan, Y.-Z.; Song, C.-F.; Sun, J.; Qin, R.-J. Effects of Nitrogen Fertilizer on Chlorophyll Fluorescence Characteristics in Flag Leaf of Super Hybrid Rice at Late Growth Stage. Rice Sci. 2013, 20, 220–228. [Google Scholar] [CrossRef]
- Shabala, S.N.; Shabala, S.I.; Martynenko, A.I.; Babourina, O.; Newman, I.A. Salinity effect on bioelectric activity, growth, Na+ accumulation and chlorophyll fluorescence of maize leaves: A comparative survey and prospects for screening. Aust. J. Plant Physiol. 1998, 25, 609–616. [Google Scholar] [CrossRef]
- Percival, G.C.; Fraser, G.A. Measurment of the salinity and freezing tolerance of Crataegus genotypes using chlorophyll fluorescence. J. Arboric. 2001, 27, 233–245. [Google Scholar]
- Kanwal, H.; Ashraf, M.; Shahbaz, M. Assessment of salt tolerance of some newly developed and candidate wheat (Triticum aestivum l.) cultivars using gas exchange and chlorophyll fluorescence attributes. Pak. J. Bot. 2011, 43, 2693–2699. [Google Scholar]
- Bacarin, M.A.; Deuner, S.; Silva, F.S.P.; Cassol, D.; Silva, D.M. Chlorophyll a fluorescence as indicative of the salt stress on Brassica napus L. Braz. J. Plant Physiol. 2011, 23, 245–253. [Google Scholar] [CrossRef] [Green Version]
- Loudari, A.; Benadis, C.; Naciri, R.; Soulaimani, A.; Zeroual, Y.; El Gharous, M.; Kalaji, H.M.; Oukarroum, A. Salt stress affects mineral nutrition in shoots and roots and chlorophyll a fluorescence of tomato plants grown in hydroponic culture. J. Plant Interact. 2020, 15, 398–405. [Google Scholar] [CrossRef]
- Shin, Y.K.; Bhandari, S.R.; Jo, J.S.; Song, J.W.; Lee, J.G. Effect of Drought Stress on Chlorophyll Fluorescence Parameters, Phytochemical Contents, and Antioxidant Activities in Lettuce Seedlings. Horticulturae 2021, 7, 238. [Google Scholar] [CrossRef]
Publisher’s Note: MDPI stays neutral with regard to jurisdictional claims in published maps and institutional affiliations. |
© 2022 by the authors. Licensee MDPI, Basel, Switzerland. This article is an open access article distributed under the terms and conditions of the Creative Commons Attribution (CC BY) license (https://creativecommons.org/licenses/by/4.0/).





