Abstract
Soil sodicity is a major constraint to seedling emergence and crop production, potentially reducing plant growth due to physical and chemical constraints. Studying responses to ion imbalances may help identify genotypes tolerant to chemical constraints in sodic soils, thereby improving productivity. We evaluated the performance of four wheat (Triticum aestivum L.) genotypes in solutions with five sodium adsorption ratios (SARs) ranging from 0 to 60. For all four genotypes, seedling emergence and shoot dry matter (DM) decreased significantly with increasing SARs. A significant positive correlation was observed between Ca concentration in roots as well as both root and shoot DM for all genotypes. At SAR values > 20, the more tolerant genotype (EGA Gregory) displayed higher Ca concentrations in root tissues, whereas the more sensitive genotype (Baxter) exhibited Na-induced Ca deficiency. Thus, the selection of genotypes that are able to accumulate Ca in roots in sodic conditions may be a useful trait for selecting genotypes tolerant of soils with high ESP values. However, for soils that restrict plant growth at ESP (SAR) values of 6–10%, it is likely that growth is restricted by physical constraints rather than by a Na-induced Ca deficiency.
1. Introduction
Sodic soils cover 550 million ha of land worldwide, occurring in nearly 60% of Australian grain cropping soils, and pose a serious threat to agricultural sustainability [1]. Soil sodicity is a major constraint limiting grain production, present in nearly 60% of the soils used for Australian grain cropping and costing Australian wheat growers an estimated $1.46 billion/year in forfeited grain yields. Indeed, grain yield on sodic soils is often less than 50% of the potential yield in the absence of constraints [2].
In Australia, sodic soils are usually defined as soils that contain a horizon in which the exchangeable sodium percentage (ESP) is 6 or greater, whereas soils with an ESP exceeding 15 are classified as strongly sodic [3]. Furthermore, Läuchli and Epstein [4] proposed using the sodium adsorption ratio (SAR) of the saturated soil extract as an indicator to estimate the hazard sodic soils pose to plants. Rengasamy and Olsson [5] classified sodic soils based on the SAR, identifying soils with a soil solution SAR greater than three as sodic.
Sodicity in the surface soil causes swelling and dispersion of clay particles, resulting in degradation of the soil structure [6]. This can lead to surface crusting, hard-setting, waterlogging, poor water infiltration, and reduced plant-available water capacity. These in turn may cause poor seed germination, reduced seedling emergence, reduced root growth, low water use efficiency, nutrient deficiencies, reduced plant growth, and reduced yield [2,6,7,8,9].
In addition to the physical constraints caused by dispersion, sodic soils can also have chemical constraints, including Na and Cl toxicity, as well as deficiencies in essential plant nutrients, such as Ca, K, and micronutrients [2,6,10]. The deficiency of Ca in particular can be a problem in Australian sodic soils, where Ca concentrations in the soil solution are often very low (<1 mM) [11], and high Na: Ca ratios can potentially cause a nutritional imbalance [12]. Likewise, K is frequently present in low levels, and plant uptake of K experiences marked suppression with increasing sodicity [13]. Numerous studies have shown that an increase in the ESP causes a significant decrease in K availability as well as an increase in the Na concentration of the plant tissues [14], including in cotton (Gossypium hirsutum) [15,16], rapeseed (Brassica napus) [17], sugarcane (Saccharum officinarum) [18], rice (Oryza sativa) [19], aloe vera (Aloe barbadensis) [20], barley (Hordeum vulgare) [21], and wheat (Triticum aestivum L.) [22,23]. Additionally, the low productivity of sodic soils is partly ascribed to micronutrient deficiencies resulting from their high pH levels [24,25]. However, not all studies have found micronutrient deficiencies in sodic soils, with Wright and Rajper [23] finding no differences in the concentrations of Cu, Fe, Mn, and Zn in wheat grain and straw, although the total content of these micronutrients was decreased due to lower DM.
Various management practices, such as amelioration through gypsum application aimed at reducing the soil ESP, can be employed to enhance crop production in sodic soils [6,25,26]. However, despite reported effectiveness, many amelioration strategies are often deemed economically unviable due to their high costs [27,28]. Consequently, there is a demand for crop varieties tolerant to sodicity to maintain productivity in constrained areas.
Plant sensitivity to sodic soils can vary between genotypes within a plant species [29]. For instance, distinct variations in K and Na accumulation in solution culture have been noted among the shoots of various wheat genotypes [30]. Studies have also reported that wheat genotypes showed variation in their tolerance to physical constraints of sodic soils [29]. Nevertheless, selecting tolerant genotypes poses a significant challenge for plant breeders. This challenge arises from the intricate nature of plant tolerance to sodic soils, requiring the identification of plants capable of withstanding both the physical and chemical challenges presented by sodic conditions [27]. These problems are exacerbated by the practical difficulties of growing plants at high ESP values.
The present study examined the plant growth of four wheat genotypes (Baxter, EGA Gregory, Spitfire, and Ventura) in different SAR conditions. We grew the plants in nutrient solutions at five different SAR values (0, 10, 20, 30, and 60) to determine if the plant growth is influenced by their tolerance to chemical imbalances associated with Na toxicity or Ca deficiency of sodic conditions. Plant performance was assessed by measuring seedling emergence, shoot and root growth, as well as tissue elemental concentrations. We postulated that this information could allow the development of suitable screening techniques to identify tolerant genotypes with improved crop establishment and early plant growth where Na toxicity and/or Na-induced Ca deficiency occur due to a high surface soil ESP.
2. Materials and Methods
2.1. Selection of Genotypes and Seed Collection
The four wheat genotypes (Baxter, EGA Gregory, Ventura, and Spitfire) used in this study were selected from those found previously to differ in their growth and yield in sodic soil with an ESP value of 12.5% (equivalent solution SAR~9.5) in surface soils and an ESP > 22% in subsoils (equivalent solution SAR ≥ 20) in the field. In a previous field-based study, Baxter exhibited better yield maintenance on sodic soil compared to Ventura and EGA Gregory, which were relatively sensitive. Moreover, these genotypes also demonstrated differences in emergence from a crusted sodic soil in glasshouse experiments. Spitfire and Ventura exhibited better emergence through a surface crust in comparison to EGA Gregory and Baxter.
All seed samples used in this experiment were harvested from a field trial at the Queensland Government research farm at Kingsthorpe, Queensland, Australia (27.52° S, 151.79° E) in the absence of soil constraints (Experimental period: May 2016–November 2016). Seeds were harvested in November 2016 and were stored in a cold room at 7 °C. One week prior to the experiment (May 2018), seeds were warmed to 22 °C.
2.2. Solution Preparation and Plant Growth
A solution culture experiment was conducted to investigate the impact of high SAR solutions on the growth of wheat. Use of nutrient solution cultures are commonly used to investigate the impact of nutrient deficiencies and toxicities on plant growth [31,32]. In this experiment, a black 10 L bucket was filled with a basal nutrient solution with µM concentrations of 1000 Ca, 40 NH4+-N, 102 Mg, 305 K, 20 Na, 10 Fe (Na2FeEDTA), 0.5 Mn, 0.5 Zn, 0.2 Cu, 1320 Cl, 720 NO3−-N, 254 SO42−-S, 5 PO4−-P, 1 B, and 0.01 Mo. Solutions were continuously aerated, and the unadjusted solution pH was 6.0. From these basal solutions, five different SAR values (0, 10, 20, 30, and 60) were prepared by adding differing quantities of NaCl, NaSO4, CaCl2·2H2O, and CaSO4·2H2O (Table 1). A mixture of chloride and sulphate salts was used to avoid chloride toxicity in the solution. Across these five SAR values, ionic strength (I) was held constant at 31 mM. A computer program, PhreeqcI (version 3.1.1.8228, wateq4f database), was used to determine the quantity of NaCl, NaSO4, CaCl2·2H2O, and CaSO4·2H2O required to prepare the five SAR solutions at a constant I of 31 mM (Table 1). This value for I was selected because Anzooman et al. [33] reported that SAR (0–60) solutions that have I values ranging from 25 to 50 mM (corresponding electrical conductivity (EC) values being from 0.15 to 3.0 dS m−1) did not have a marked adverse effect on either seed germination or on seedling emergence of these genotypes. The SAR values selected (0, 10, 20, 30, and 60) are equivalent to the approximate soil ESP values of 0, 13, 23, 31, and 47% when calculated using the Gapon equation described in Sumner and Miller [34]. These ESP values are commonly found in many of the surface and subsoils of the region [28]. Concentrations of the selected nutrients (Ca, Cu, Fe, K, Mg, Mn, Na, P, S, and Zn) in the nutrient solution were determined at the start and end of each week using inductively coupled plasma optical emission spectroscopy (ICP-OES, Table A1 and Table A2 in Appendix A).
Table 1.
Concentrations of NaCl, Na2SO4, CaCl2·2H2O, and CaSO4·2H2O were added to nutrient solutions to prepare five different SAR values at a constant ionic strength (I) of 31 mM in the basal nutrient solution.
The experiment was conducted in a laboratory at The University of Queensland, St Lucia (Australia), maintained at a temperature of 25 °C, and illuminated by high-pressure sodium lights. These lights emitted photosynthetically active radiation (PAR) measuring 1500 µmol m−2 s−1 at canopy height, providing 12 h of light per day. Each 10 L bucket used in the experiment had four holes, each supporting a suspended shade cloth secured by foam cups (237 mL each). Every cup housed a single genotype, with 10 seeds per cup. The average characteristics of the 10 seeds per cup constituted a single replicate for a specific SAR solution associated with each genotype. This treatment was replicated four times.
Thus, with five SAR values, four genotypes, and four replicates, the experiment comprised a total of 80 sampling units. Only healthy seeds were selected based on criteria such as average seed weight, shape, and size. These seeds were positioned on the shade cloth (refer to Figure A1 in Appendix A), allowing them to absorb moisture from below while ensuring they were not submerged in the solution. To prevent evaporation and minimize light exposure, the seeds were covered with white polypropylene beads.
At the end of the experimental period, 14 d after sowing, the plants were harvested and subsequently separated into root, stem plus petiole, and the youngest mature leaf (YML). Images of the roots from each pot were captured using a digital camera (Canon PowerShot SX600 HS 16 MP Ultra-Zoom Digital, Tokyo, Japan). The root lengths were measured from these images using ImageJ software (version 1.45s, National Institutes of Health).
The roots were thoroughly washed in deionized water to eliminate any residual solution. Subsequently, both the shoots and roots of the plants were dried at 65 °C for 72 h, and their DM contents were recorded. The shoots and roots were then digested in a 1:5 mixture of perchloric acid and nitric acid. The concentrations of various elements such as Ca, Cu, Fe, K, Mn, Mg, Na, P, S, and Zn in the YML and root tissues were determined using inductively coupled plasma optical emission spectrometry (ICP-OES).
2.3. Statistical Analysis
Linear mixed models were employed to analyze the data using the residual maximum likelihood procedure [35] via the ASReml-R package [36] in the R software (Version: 2023.09.1+494) environment [37].
In each experiment, the explanatory variables (genotypes, SAR) were considered fixed effects, while the replicate block effects were treated as random factors. Consequently, the model’s predictions for the treatment effects in each experiment were derived as empirical best linear unbiased estimates (eBLUEs). Significance testing for treatment and interaction effects was conducted using Wald tests, employing an approximate F-statistic. A significance level of 5% was applied to both the Wald tests and LSD tests.
Due to some seedlings not emerging, root length data were solely accessible from the emerged seedlings of each genotype in each treatment. To address the analysis of root length, an arcsine transformation was employed to fulfill the assumption of homogeneity of variance. The transformation is calculated by Equation (1):
where p is emergence (%). Equation (1) represents the calculation for the arcsine transformation, ensuring compatibility with the variance assumptions required for the analysis.
Root and shoot DM and their relationship with Ca, Na, and K were analyzed using regression analysis, fitting either polynomial, linear curves or curves of the general form, using Equation (2):
where b is the maximum DM/nutrient concentrations in SAR 0 and Ca sufficient solutions, c is a strength coefficient and increases with the strength of the toxicant, and h is a shape coefficient [33]. Regression analyses were conducted using SYSTAT 13 (Cranes Software International Ltd., Bangalore, India).
3. Results
3.1. Impact of SAR on Seedling Emergence
A significant negative correlation was observed between seedling emergence and the SAR for all four genotypes (p < 0.001, Figure 1) at 14 days post-sowing. At an SAR value of 0, all four genotypes exhibited ≥ 80% emergence (Figure 1). Nevertheless, the emergence rate declined drastically to 15% for Spitfire, Ventura, and Baxter when the SAR reached 60. In contrast, EGA Gregory showed a less pronounced decrease, maintaining a 50% emergence rate at SAR 60 (Figure 1).
Figure 1.
Emergence of four wheat genotypes [(a) EGA Gregory, (b) Spitfire, (c) Ventura, and (d) Baxter] across five different SAR solution treatments (0, 10, 20, 30, and 60), averaged over four replicates. Vertical bars represent standard errors of the seedling emergence percentage calculated from four replicates of each genotype.
3.2. Impact of SAR on Root Length, Root, and Shoot Mass
A significant interaction was observed between the genotype and SAR concerning root DM (p < 0.001, see Figure 2), indicating a general decrease in the root DM with an increasing SAR. However, this decline varied among the four genotypes. Specifically, the root DM decreased notably in Baxter (from 0.21 to 0.02 g), Spitfire (from 0.25 to 0.02 g), and Ventura (from 0.25 to 0.01 g) as the SAR increased from 0 to 60 (Figure 2).
Figure 2.
Root dry matter (DM) of four wheat genotypes [(a) EGA Gregory, (b) Spitfire, (c) Ventura, and (d) Baxter] under varying SAR treatments. The bars represent the standard errors calculated from four replicates of each genotype.
Similarly, the maximum root length of Spitfire, Baxter, and Ventura exhibited a decline with an increasing SAR, while the influence of the SAR on the maximum root length of EGA Gregory was less pronounced and non-significant (p > 0.05, see Figure A2 in Appendix A).
An evident decrease in the shoot DM was observed for all four genotypes with an increasing SAR (see Figure 3). Initially, at SAR 0, the shoot DM of the four genotypes ranged from 0.26 to 0.31 g. However, at SAR 60, this range reduced notably to 0.04–0.13 g (Figure 3).
Figure 3.
Shoot dry matter (DM) of four wheat genotypes [(a) EGA Gregory, (b) Spitfire, (c) Ventura, and (d) Baxter] across five SAR treatments. The bars represent the standard errors calculated from four replicates. The LSD values signify the interaction between genotypes and the SAR for DM. Genotype-specific LSD letters (e.g., EGA Gregory-aAB, Spitfire-aAB, Ventura-bAB, and Baxter-cDE) denote the interaction of these genotypes with the SAR concerning DM where the uppercase letters indicate differences (p ≤ 0.05) among genotypes, whereas lowercase letters represent significant differences between treatments.
Furthermore, a significant interaction between genotypes and the SAR was found for the shoot DM (p = 0.03, see Figure 3), signifying varying patterns in the decrease in the shoot DM among the genotypes with an increasing SAR. Specifically, the decline in the shoot DM was most moderate for EGA Gregory (decreasing from 0.27 to 0.13 g) and most pronounced for Baxter (from 0.26 to 0.05 g, see Figure 3).
3.3. Elemental Concentrations in Root Tissues
For all four genotypes, the Ca concentration of the root tissues tended to decrease as the SAR increased (Figure A3 in Appendix A). Among these genotypes, Ventura exhibited the largest decline (from 0.45 to 0.18%), while EGA Gregory displayed the smallest reduction (from 0.45 to 0.29%). Notably, higher Ca concentrations in root tissues positively correlated with both the root DM (R2 = 0.77; p < 0.0001, see Figure 4) and the shoot DM (R2 = 0.46, see Figure A4 in Appendix A). The regression analysis suggested that a decrease in the root tissue Ca concentration to approximately 0.15% was associated with a 50% reduction in the root DM.
Figure 4.
Relationship between the root dry matter (DM) and concentrations of Ca (R2 = 0.77), K (R2 = 0.39), and Na (R2 = 0.05) in the root tissues of four wheat genotypes across four replicates grown in five SAR treatments. The horizontal bars represent the standard error of Ca, K, and Na concentrations in roots, respectively, while the vertical bars denote the standard error of the root DM. The relationship between the root DM and Na concentration in the roots was not found to be statistically significant (p > 0.05).
Similarly, the K concentration in root tissues significantly decreased for all genotypes with an increasing SAR (p < 0.01, see Figure A3 in Appendix A). Ventura exhibited the most considerable decline (from 3.96 to 1.11%), while Spitfire demonstrated the least reduction (from 2.58 to 2.01%). A significant positive relationship was observed between the root K concentration and the root DM (R2 = 0.39, see Figure 4).
Conversely, the concentration of Na in root tissues increased significantly with the SAR, rising from 0.05–0.06% at SAR 0 to 0.62–1.99% at SAR 10–60 (p < 0.0001, see Figure A3 in Appendix A). However, no significant relationship was found between the root DM and the root Na concentration (R2 = 0.05, see Figure 4).
3.4. Elemental Concentrations in the YML Tissues
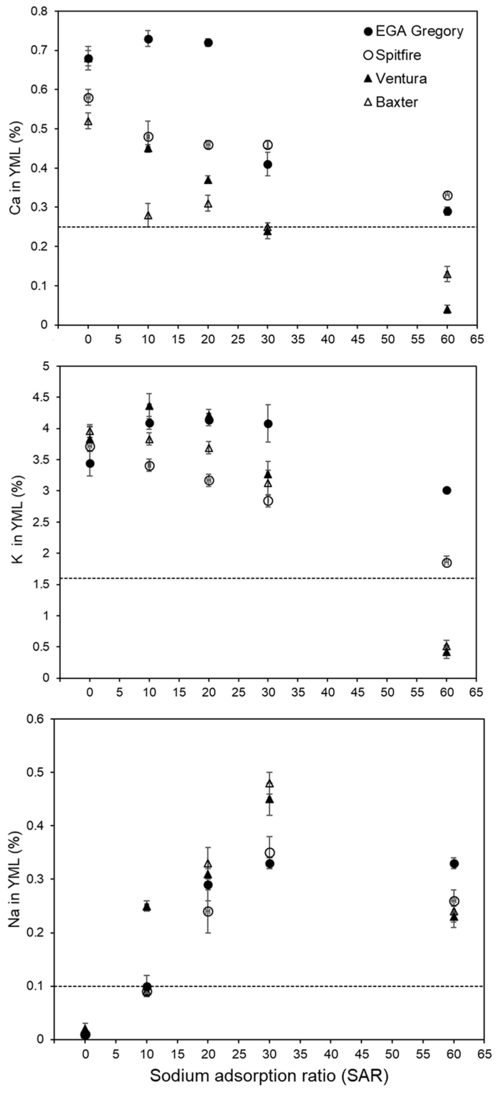
For all four genotypes, the tissue Ca concentration in the YML tended to decrease as the SAR increased (refer to Figure A5 in Appendix A). Notably, the decline was most pronounced for Ventura (decreasing from 0.68 to 0.04%), while Spitfire exhibited the least reduction (from 0.58 to 0.33%). An important observation was that for both Ventura and Baxter, the YML Ca concentration dropped below the critical concentration reported for Ca deficiency (0.25% at SAR 60), suggesting probable Ca deficiency in these plants at a high SAR. Additionally, a significant positive relationship was found between the Ca concentration in the YML and the shoot DM for all four genotypes (R2 = 0.44, p < 0.001, see Figure 5).
Figure 5.
Relationship between the shoot dry matter (DM) and element concentrations of Ca (R2 = 0.44), K (R2 = 0.43), Na (R2 = 0.52), and the ratio of K:Na (R2 = 0.86) in the youngest mature leaf (YML) across four wheat genotypes in four replicates grown in five SAR treatments. The bars within the graphs depict the standard error calculated from four replicates of each genotype. Additionally, the dotted vertical lines in the graphs indicate the critical concentrations for deficiency in Ca and K, and the critical concentration for toxicity in Na specifically within the YML [9].
Similarly, the K concentration in the YML tended to decrease as SAR increased for all four genotypes (refer to Figure A5 in Appendix A). Ventura exhibited the most considerable reduction (from 3.83 to 0.42%), while EGA Gregory displayed the smallest decline (from 4.14 to 3.01%). Notably, for both Ventura and Baxter, the YML K concentration decreased below the critical concentration for K deficiency (1.6%) at SAR 60, suggesting a likelihood of K deficiency at a high SAR in these plants. Moreover, a positive relationship was observed between the K concentration in the YML and the shoot DM (R2 = 0.43, p < 0.001, see Figure 5).
In contrast to Ca and K, the concentration of Na in the YML tissues increased significantly with an increasing SAR up to 30 for all four genotypes, with YML Na concentrations at SAR 60 being similar to or slightly lower than those at SAR 30 (refer to Figure A5 in Appendix A). No significant differences (p = 0.09) were found among genotypes regarding their YML tissue concentrations of Na. However, a significant relationship was observed between the Na concentration in the YML and the shoot DM (R2 = 0.52, see Figure 5).
Furthermore, an examination of the K:Na ratio in the YML tissues revealed a significant difference between treatments (p < 0.0001, see Table 2). However, the tissue K:Na ratio did not significantly vary among the genotypes (p = 0.17) across five SARs. Interestingly, a significant positive correlation was found between the K:Na ratio in the YML and the shoot DM (R2 = 0.86, see Figure 5).
Table 2.
K:Na in the youngest mature leaf (YML) of four wheat genotypes in five different SAR treatments (0, 10, 20, 30, and 60), averaged over four replicates of each genotype.
3.5. Relationship between Root and Shoot DM and Root Length
No significant differences were observed in root length among the four genotypes at SAR 0, 10, 20, and 30. However, at SAR 60, a considerable decrease in root lengths was evident specifically for Baxter and Ventura. Additionally, a significant positive correlation was observed between the root length and root dry matter (DM) for all four wheat genotypes across all treatments (R2 = 0.80, see Figure A6 in Appendix A). Similarly, a significant positive correlation was found between the root and shoot DM (R2 = 0.56, see Figure A7 in Appendix A).
4. Discussion
The objective of this study was to assess the performance discrepancies among four wheat genotypes cultivated in nutrient solutions featuring five distinct SAR values. These genotypes were chosen based on previous studies that highlighted notable variations in their performance within sodic soils in field conditions.
Interestingly, our findings revealed that the performance differences observed among these genotypes in a sodic soil with an ESP value of 12.5% or in the presence of a soil surface crust at an ESP of 10% could not be solely explained by divergent responses to chemical constraints (refer to discussion below and Table 3). Consequently, these results strongly suggest that dissimilarities in plant performance within this specific sodic soil are likely attributed to variances in their tolerance to adverse physical conditions.
Moreover, these insights are anticipated to be valuable for identifying tolerant wheat genotypes not only in similar sodic soils but also in others with a high ESP (>30%).
4.1. Ca Deficiency in the Roots Contributed to Reduced Growth at High SAR
There was a general decrease in both the root and shoot DM as the SAR increased, with discernible differences among the four genotypes (refer to Figure 2 and Figure 3). Notably, EGA Gregory demonstrated the highest tolerance to elevated SAR values. Specifically, its root DM remained relatively constant across all examined SAR values (Figure 2), and the reduction in the shoot DM was smaller compared to the other three genotypes (Figure 3).
This reduction in the root and shoot mass observed at an elevated SAR was associated with the development of a Na-induced Ca deficiency. Specifically, the increase in SAR correlated with decreased tissue concentrations of Ca and K in both the root and shoot tissues, alongside increased concentrations of Na (refer to Figure A3 and Figure A5 in Appendix A). However, the reduction in the root DM exhibited a stronger association with decreases in root tissue concentrations of Ca (R2 = 0.77), compared to decreases in root tissue concentrations of K (R2 = 0.39) or increases in Na (R2 = 0.05).
Notably, EGA Gregory, which displayed the lowest reduction in the root DM (Figure 2), also demonstrated the smallest decline in root tissue Ca concentrations (refer to Figure A3 in Appendix A). This indicates a potential link between the degree of reduction in the root DM and the corresponding decline in root tissue Ca concentrations.
Although the absolute concentration of calcium (Ca) in the nutrient solution was deemed sufficient to meet nutritional requirements under non-limiting conditions (≥160 µM, see Table 1)—as illustrated in Figure 1 by Kopittke et al. [38])—it is well-established that the addition of other salts, notably Na, K, and Mg can induce Ca deficiency [39,40]. The development of Na-induced Ca deficiency is closely associated with a decline in Ca availability at heightened Na concentrations. This occurs due to competition between Na and Ca ions and a subsequent reduction in the availability of Ca2+ at the plasma membrane surface [11,41].
In the present study involving wheat, a root tissue Ca concentration of 0.15% corresponded to a 50% reduction in the root DM. This finding is consistent with previous reports on reductions in shoot and root DM attributed to Ca deficiency [42,43,44]. Additionally, Saqib et al. [45] also reported that wheat genotypes resistant to saline-sodic conditions accumulated higher Ca2+ in roots compared to non-resistant genotypes. Given that Ca is largely immobile in the phloem [46], it must have adequate availability in the rooting medium to ensure optimal growth.
4.2. Nutritional Imbalances in the Shoot
While decreases in the shoot DM were indeed associated with a reduction in shoot tissue calcium concentrations (refer to Figure 5), this relationship appeared less robust compared to the observed correlation in the roots, indicating that roots were the primary site of Ca deficiency. Instead, in shoots, a stronger positive correlation was found between the K:Na ratio in the YML and the shoot DM (refer to Figure 5). This finding aligns with the study by Asch et al. [47], which reported strong log-linear correlations between K:Na in YML and grain yield under salt-stressed conditions.
However, the lack of significant differences in the K:Na ratio among these genotypes suggests that K:Na might not be a decisive trait for identifying wheat genotype tolerance in SAR solutions. Despite differences in plant growth (Figure 5), the absence of significant differences in the pattern of K and Na accumulation in the genotypes, specifically in the YML, indicates that K and Na concentrations in the YML might not serve as reliable indicators to identify sodicity-tolerant genotypes.
4.3. Comparison between Traits
Previous studies have pinpointed diverse traits of wheat genotypes influencing their adaptability to the physical and chemical constraints posed by sodic soils. Notably, the seedling emergence of wheat genotypes declined significantly in the presence of a surface crust, mirroring field conditions (soil ESP 10) [48]. Seedling coleoptile length of wheat genotypes also reduced with an increase in the soil ESP and bulk density [49]. Wheat genotypes also showcased variability in seedling emergence, emergence force, and root angle under sodic conditions in previous studies. In this present study, both seedling emergence and Ca concentration in roots emerged as potential traits that could aid in identifying wheat genotypes tolerant to high SAR conditions. For a comprehensive comparison between the traits identified in the current study and those from previous research, please refer to Table 3.
Table 3.
Comparison of significant traits of four wheat genotypes in this study and significant traits found in Anzooman, Dang, Christopher, Mumford, Menzies, and Kopittke [33] and Anzooman, Christopher, Dang, Taylor, Menzies, and Kopittke [49]. High, medium, and low have been presented as ‘H’, ‘M’, and ‘L’, respectively, in the table that describes the high, medium, and low tolerance of the genotypes to sodicity. Nutrient concentrations are indicated as being either above the minimum critical level (>) or below (<).
Table 3.
Comparison of significant traits of four wheat genotypes in this study and significant traits found in Anzooman, Dang, Christopher, Mumford, Menzies, and Kopittke [33] and Anzooman, Christopher, Dang, Taylor, Menzies, and Kopittke [49]. High, medium, and low have been presented as ‘H’, ‘M’, and ‘L’, respectively, in the table that describes the high, medium, and low tolerance of the genotypes to sodicity. Nutrient concentrations are indicated as being either above the minimum critical level (>) or below (<).
| Genotype | Relative Seedling Emergence in Soil a | Rapid Germination a | Seedling Emergence Force b | Root Angle c | Ca Concentration in YML (SAR 30 and Above) d | K Concentration in YML (SAR 60) d | Ca Concentration in Root (SAR 60) d | K Concentration in Root (SAR 60) d |
|---|---|---|---|---|---|---|---|---|
| EGA Gregory | Sensitive | L (50%) | L (0.08N) | L (110°) | H (>) | H (>) | H (>) | H (>) |
| Baxter | Sensitive | M (75%) | L (0.09N) | L (110°) | L (<) | L (<) | L (<) | M (>) |
| Ventura | Tolerant | H (85%) | H (0.25N) | H (88°) | L (<) | L (<) | L (<) | M (>) |
| Spitfire | Tolerant | H (82%) | H (0.22N) | H (90°) | H (>) | H (>) | H (>) | H (>) |
a Traits measured in Anzooman, Christopher, Mumford, Dang, Menzies, and Kopittke [48], b trait measured in Anzooman, Dang, Christopher, Mumford, Menzies, and Kopittke [33], c trait measured in [49] and d traits measured in the present study.
4.4. Is Growth in Sodic Soils Related to Tolerance to Ion Imbalances?
Among the four genotypes employed in the current experiment, EGA Gregory, Ventura, and Baxter were previously identified as displaying differing performance when cultivated in sodic soil [50]. The earlier study revealed that Baxter and Ventura exhibited significantly higher yields compared to EGA Gregory in crusted sodic soils. However, these prior findings contrast starkly with the outcomes of the present study, where EGA Gregory demonstrated the highest root and shoot dry matter production at elevated SAR values (refer to Figure 2 and Figure 3).
Several critical insights arise from these observations. Firstly, it becomes evident that the superior yield of Baxter and Ventura in the field study by Dang, Christopher, and Dalal [50] was not primarily attributed to a greater tolerance to ion imbalances. Secondly, it is noteworthy that the sodic soil in their field study had a relatively moderate ESP (12.5%) and a soil solution SAR value of 9.5, considerably lower than the higher SAR values investigated in our present study. Interestingly, the reduction in the root and shoot DM at the tested SAR value of 10, resembling the field conditions, was relatively modest. Hence, it is plausible that the yield reduction observed in the field might not be solely due to ion imbalances.
Additionally, a study by Anzooman, Christopher, Mumford, Dang, Menzies, and Kopittke [48] conducted a glasshouse investigation to explore the growth of these four genotypes concerning the physical properties of sodic soil. They discovered that among these genotypes, Ventura and Spitfire exhibited significantly higher seedling emergence compared to Baxter and EGA Gregory in the presence of a surface crust in sodic soil (ESP 10%, SAR 7). Their emergence was associated with greater seedling emergence force and a narrower seminal root angle [33,49]. This suggests that the growth disparities among these wheat genotypes in sodic soil with a surface crust primarily stem from their varying abilities to overcome physical constraints rather than from improved tolerance to ion imbalances. Nevertheless, our present study underscores that, for sodic soils with higher SAR values, discrepancies in genotype tolerance to ion imbalances could potentially facilitate the selection of genotypes aimed at improving yield.
In semi-tropical regions of Australia, crops often heavily rely on deep soil moisture, particularly late in the season, due to increasing water limitations as the surface layers become depleted. It is common for sodic soils to exhibit notably higher SAR values in deeper subsoil layers, typically below 40 or 60 cm, frequently exceeding the critical SAR of 30 as identified in the current study [42]. This suggests that tolerance to ionic constraints might hold greater significance during late-season terminal moisture stress, crucial for crops extracting moisture from deeper, more sodic soil layers.
Conversely, tolerance to physical constraints could be more critical for early-stage emergence through crusts, establishment, and initial growth. Thus, the relative importance of adaptation to chemical versus physical constraints is likely to fluctuate throughout the crop cycle. It is evident that further investigation is warranted to ascertain the relative importance of these two types of adaptation for overall performance in the relevant cropping environments.
5. Conclusions
This section highlights the findings from the current study, suggesting that during early growth stages, the tolerance of wheat to the chemical constraints of sodicity might be associated with the genotype’s capability to accumulate Ca in roots. Genotypes displaying a higher tolerance generally exhibited elevated Ca concentrations in roots, while more susceptible genotypes showcased Na-induced Ca deficiency, particularly evident at SAR levels equal to or exceeding 30. At lower SAR values (<30), the concentrations of Ca and K in the YML did not fall below critical levels for any of the genotypes. This indicates that K and Ca concentrations in the YML might not significantly influence early plant growth in sodic conditions below 30 SAR.
The study, conducted in solution culture, identified adaptations to chemical constraints in sodic soil, implying that these adaptations might not directly align with a tolerance to physical constraints like surface crusting. This observation prompts further investigation into understanding the relative importance of adaptation to chemical constraints versus physical constraints in relevant cropping environments on sodic soils.
Author Contributions
Conceptualization: M.A., J.C., Y.P.D. and P.M.K.; Methodology: M.A. and P.M.K.; Analysis and result interpretation: M.A., P.M.K. and Y.P.D.; Writing—original draft preparation: M.A.; Writing—review and editing: P.M.K., J.C., Y.P.D. and N.W.M. All authors have read and agreed to the published version of the manuscript.
Funding
This research received funding from The University of Queensland, Australian Government Research Training Program Scholarship and Grains Research and Development Corporation (Project no. UA000159).
Data Availability Statement
The datasets generated during and/or analyzed during the current study are available from the corresponding author on reasonable request.
Acknowledgments
The authors wish to acknowledge support from The University of Queensland, Department of Agriculture and Fisheries Queensland, the Australian Grains Research and Development Corporation (GRDC) and the grain producers of Australia.
Conflicts of Interest
The authors declare no conflict of interest.
Appendix A
Table A1.
Nutrient concentrations of the solutions of five SARs after 0 d.
Table A1.
Nutrient concentrations of the solutions of five SARs after 0 d.
| SAR | Ca | Cu | Fe | K | Mg | Mn | Na | P | S | Zn |
|---|---|---|---|---|---|---|---|---|---|---|
| mmol/L | ||||||||||
| 0 | 8.96 | 0.0005 | 0.01 | 0.53 | 0.11 | 0.001 | 0.5 | 0.01 | 5.25 | 0.001 |
| 10 | 3.27 | 0.0003 | 0.01 | 0.53 | 0.07 | 0.001 | 16.2 | 0.01 | 6.41 | 0.001 |
| 20 | 1.62 | 0.0003 | 0.01 | 0.53 | 0.07 | 0.001 | 19.6 | 0.01 | 6.84 | 0.001 |
| 30 | 1.35 | 0.0003 | 0.01 | 0.54 | 0.07 | 0.001 | 20.5 | 0.01 | 7.09 | 0.001 |
| 60 | 1.10 | 0.0003 | 0.01 | 0.53 | 0.07 | 0.001 | 21.2 | 0.01 | 7.06 | 0.001 |
Table A2.
Nutrient concentrations of the solutions of five SARs after 14 d.
Table A2.
Nutrient concentrations of the solutions of five SARs after 14 d.
| SAR | Ca | Cu | Fe | K | Mg | Mn | Na | P | S | Zn |
|---|---|---|---|---|---|---|---|---|---|---|
| mmol/L | ||||||||||
| 0 | 12.0 | 0.0002 | 0.01 | 0.13 | 0.16 | 0.0001 | 0.44 | 0.004 | 7.78 | 119 |
| 10 | 3.77 | 0.0002 | 0.01 | 0.14 | 0.09 | 0.0000 | 17.2 | 0.004 | 7.69 | 118 |
| 20 | 3.09 | 0.0003 | 0.01 | 0.16 | 0.09 | 0.0001 | 18.8 | 0.004 | 7.88 | 120 |
| 30 | 1.43 | 0.0003 | 0.01 | 0.26 | 0.10 | 0.0001 | 23.1 | 0.004 | 8.56 | 131 |
| 60 | 1.24 | 0.0003 | 0.01 | 0.35 | 0.10 | 0.0005 | 23.2 | 0.004 | 8.53 | 130 |
Figure A1.
Transverse section of the experimental setup, showing the placement of the foam cups, the aeration filter in the bucket containing solution. The water level of the solution reached the base of the cup (without covering the seeds), which provided the seeds with enough moisture to germinate.
Figure A1.
Transverse section of the experimental setup, showing the placement of the foam cups, the aeration filter in the bucket containing solution. The water level of the solution reached the base of the cup (without covering the seeds), which provided the seeds with enough moisture to germinate.

Figure A2.
Maximum root length of the four wheat genotypes (a) EGA Gregory, (b) Spitfire, (c) Ventura, and (d) Baxter in five SAR treatments. The bars indicate the standard error of the mean. The number is presented in parenthesis and represents the number of seeds that germinated in each treatment.
Figure A2.
Maximum root length of the four wheat genotypes (a) EGA Gregory, (b) Spitfire, (c) Ventura, and (d) Baxter in five SAR treatments. The bars indicate the standard error of the mean. The number is presented in parenthesis and represents the number of seeds that germinated in each treatment.

Figure A3.
Nutrient concentration in the roots of four wheat genotypes in five different SAR treatments. The bars indicate standard errors of the means for 4 replicates.
Figure A3.
Nutrient concentration in the roots of four wheat genotypes in five different SAR treatments. The bars indicate standard errors of the means for 4 replicates.

Figure A4.
Relationship between the Ca concentration in the root and shoot DM for four wheat genotypes grown in five SAR treatments with four replicates (R2 = 0.46, p < 0.001). Error bars indicate standard error of the mean for 4 replicates, horizontal bars indicate the standard errors of Ca in roots, and the vertical bars indicate the standard errors of the shoot DM.
Figure A4.
Relationship between the Ca concentration in the root and shoot DM for four wheat genotypes grown in five SAR treatments with four replicates (R2 = 0.46, p < 0.001). Error bars indicate standard error of the mean for 4 replicates, horizontal bars indicate the standard errors of Ca in roots, and the vertical bars indicate the standard errors of the shoot DM.

Figure A5.
The nutrient (Ca, K and Na) concentration in the youngest mature leaf (YML) of four wheat genotypes grown in five different SAR treatments averaged over four replicates. The bars indicate the standard error. The dotted horizontal lines present the critical concentration for deficiency for Ca and K and the critical concentration for toxicity for Na in the YML.
Figure A5.
The nutrient (Ca, K and Na) concentration in the youngest mature leaf (YML) of four wheat genotypes grown in five different SAR treatments averaged over four replicates. The bars indicate the standard error. The dotted horizontal lines present the critical concentration for deficiency for Ca and K and the critical concentration for toxicity for Na in the YML.

Figure A6.
The relationship between the root DM and root length for four wheat genotypes across five SAR values with four replicates (R2 = 0.80, p < 0.01). The bars present the standard error between the replicates (the vertical lines present the standard error for Root length and the horizontal lines present the standard error of Root DM).
Figure A6.
The relationship between the root DM and root length for four wheat genotypes across five SAR values with four replicates (R2 = 0.80, p < 0.01). The bars present the standard error between the replicates (the vertical lines present the standard error for Root length and the horizontal lines present the standard error of Root DM).

Figure A7.
The relationship between the root and shoot DM for four wheat genotypes grown in five SAR treatments with four replicates (R2 = 0.57, p < 0.001). The bars present the standard error between the replicates (the vertical lines present the standard error for shoot DM and the horizontal lines present the standard error of Root DM).
Figure A7.
The relationship between the root and shoot DM for four wheat genotypes grown in five SAR treatments with four replicates (R2 = 0.57, p < 0.001). The bars present the standard error between the replicates (the vertical lines present the standard error for shoot DM and the horizontal lines present the standard error of Root DM).

References
- Abbas, G.; Abrar, M.M.; Naeem, M.A.; Siddiqui, M.H.; Ali, H.M.; Li, Y.; Ahmed, K.; Sun, N.; Xu, M. Biochar increases salt tolerance and grain yield of quinoa on saline-sodic soil: Multivariate comparison of physiological and oxidative stress attributes. J. Soils Sediments 2022, 22, 1446–1459. [Google Scholar] [CrossRef]
- Rengasamy, P. Transient salinity and subsoil constraints to dryland farming in Australian sodic soils: An overview. Anim. Prod. Sci. 2002, 42, 351–361. [Google Scholar] [CrossRef]
- Houghton, P.D.; Charman, P.E.V. Glossary of Terms Used in Soil Conservation; Soil Conservation Service of NSW: Sydney, Australia, 1986. [Google Scholar]
- Läuchli, A.; Epstein, E. Plant responses to saline and sodic conditions. Agric. Salin. Assess. Manag. 1990, 71, 113–137. [Google Scholar]
- Rengasamy, P.; Olsson, K.A. Sodicity and soil structure. Aust. J. Soil Res. 1991, 29, 935–952. [Google Scholar] [CrossRef]
- Green, H.; Larsen, P.; Koci, J.; Edwards, W.; Nelson, P.N. Long-term effects of gypsum on the chemistry of sodic soils. Soil Tillage Res. 2023, 233, 105780. [Google Scholar] [CrossRef]
- Thimmappa, K.; Singh, Y.P.; Raju, R. Reclamation of sodic soils in India: An economic impact assessment. In Bioremediation of Salt Affected Soils: An Indian Perspective; Arora, S., Singh, A., Singh, Y., Eds.; Springer: Cham, Switzerland, 2017. [Google Scholar]
- Agassi, M.; Morin, J.; Shainberg, I. Effect of raindrop impact energy and water salinity on infiltration rates of sodic soils. Soil Sci. Soc. Am. J. 1985, 49, 186–190. [Google Scholar] [CrossRef]
- Rao, P.; Mishra, B.; Gupta, S. Effects of soil salinity and sodicity on grain quality of tolerant, semi-tolerant and sensitive rice genotypes. Rice Sci. 2013, 20, 284–291. [Google Scholar] [CrossRef]
- Singh, S.; Singh, V. Nutrient management in salt affected soils for sustainable crop production. Ann. Plant Soil Res. 2022, 24, 182–193. [Google Scholar] [CrossRef]
- Reuter, D.; Robinson, J.B. Plant Analysis: An Interpretation Manual; CSIRO Publishing: Collingwood, VIC, Australia, 1997. [Google Scholar]
- Qadir, M.; Schubert, S.; Ghafoor, A.; Murtaza, G. Amelioration strategies for sodic soils: A review. Land Degrad. Dev. 2001, 12, 357–386. [Google Scholar] [CrossRef]
- Wakeel, A. Potassium–sodium interactions in soil and plant under saline-sodic conditions. J. Plant Nutr. Soil Sci. 2013, 176, 344–354. [Google Scholar] [CrossRef]
- Rengel, Z. Plant responses to soil-borne ion toxicities. In Marschner’s Mineral Nutrition of Plants; Elsevier: Amsterdam, The Netherlands, 2023; pp. 665–722. [Google Scholar]
- Rochester, I. Phosphorus and potassium nutrition of cotton: Interaction with sodium. Crop Pasture Sci. 2010, 61, 821–834. [Google Scholar] [CrossRef]
- Dodd, K.; Guppy, C.; Lockwood, P.; Rochester, I. The effect of sodicity on cotton: Plant response to solutions containing high sodium concentrations. Plant Soil 2010, 330, 239–249. [Google Scholar] [CrossRef]
- Porcelli, C.A.; Flavio, H.G.B.; Raul, S.L. The K/Na and Ca/Na ratios and repeseed yield, under soil salinity or sodicity. Plant Soil 1995, 175, 251–255. [Google Scholar] [CrossRef]
- Dang, Y.; Mehla, A.; Chhabra, R.; Kumar, S. Sodicity induced yield losses and changes in mineral concentration of sugarcane genotypes. In Proceedings of the International Society of Sugar Cane Technologists XXIII Congress, New Delhi, India, 22–26 February 1999; pp. 89–97. [Google Scholar]
- Qadar, A. Potassium and sodium contents of shoot and laminae of rice cultivars and their sodicity tolerance. J. Plant Nutr. 1995, 18, 2281–2290. [Google Scholar] [CrossRef]
- Rahi, T.S.; Singh, K.; Singh, B. Screening of sodicity tolerance in aloe vera: An industrial crop for utilization of sodic lands. Ind. Crops Prod. 2013, 44, 528–533. [Google Scholar] [CrossRef]
- Kaur, A.; Kaur, R. Effect of saline water on growth, yield, quality and soil properties in barley (Hordeum vulgare L.). Int. J. Agric. Sci. 2022, 18, 863–869. [Google Scholar] [CrossRef]
- Chhipa, B.; Lal, P. Na/K ratios as the basis of salt tolerance in wheat. Aust. J. Agric. Res. 1995, 46, 533–539. [Google Scholar] [CrossRef]
- Wright, D.; Rajper, I. An assesment of relative effects of adverse physical and chemical properties of sodic soil on the growth and yield of wheat (Triticum aestivum L.). Plant Soil 2000, 223, 277–285. [Google Scholar] [CrossRef]
- Lata, C.; Kumar, A.; Mann, A.; Soni, S.; Meena, B.; Rani, S. Mineral nutrient analysis of three halophytic grasses under sodic and saline stress conditions. Indian J. Agric. Sci. 2022, 92, 1051–1055. [Google Scholar] [CrossRef]
- Curtin, D.; Naidu, R. Fertility constraints to plant production. In Sodic Soils: Distribution, Properties, Management and Environmental Consequences; Sumner, M.E., Naidu, R., Eds.; Oxford University Press: New York, NY, USA, 1999. [Google Scholar]
- Jayawardane, N.; Chan, K. The management of soil physical properties limiting crop production in Australian sodic soils—A review. Soil Res. 1994, 32, 13–44. [Google Scholar] [CrossRef]
- Richard, R. Current and emerging environmental challenges in Australian agriculture—The role of plant breeding. Crop Pasture Sci. 2002, 53, 881–892. [Google Scholar] [CrossRef]
- Dang, Y.; Dalal, R.C.; Routley, R.; Schwenke, G.D.; Daniel, I. Subsoil constraints to grain production in the cropping soils of the north easter region of Australia: An overview. Aust. J. Exp. Agric. 2006, 46, 19–35. [Google Scholar] [CrossRef]
- Liu, C.-Y.; Paull, J.; Rathjen, A. Shoot mineral composition and yield of wheat genotypes grown on a sodic and a non-sodic soil. Aust. J. Exp. Agric. 2000, 40, 69–78. [Google Scholar] [CrossRef]
- Gorham, J.; Bridges, J.; Dubcovsky, J.; Dvorak, J.; Hollington, P.; Luo, M.C.; Khan, J. Genetic analysis and physiology of a trait for enhanced K+/Na+ discrimination in wheat. New Phytol. 1997, 137, 109–116. [Google Scholar] [CrossRef]
- Gillespie, D.P.; Kubota, C.; Miller, S.A. Effects of low pH of hydroponic nutrient solution on plant growth, nutrient uptake, and root rot disease incidence of basil (Ocimum basilicum L.). HortScience 2020, 55, 1251–1258. [Google Scholar] [CrossRef]
- Camargo, C.E.d.O.; Ferreira Filho, A.W.P.; Salomon, M.V. Temperature and pH of the nutrient solution on wheat primary root growth. Sci. Agric. 2004, 61, 313–318. [Google Scholar] [CrossRef]
- Anzooman, M.; Dang, Y.P.; Christopher, J.; Mumford, M.H.; Menzies, N.W.; Kopittke, P.M. Greater emergence force and hypocotyl cross sectional area may improve wheat seedling emergence in sodic conditions. Plant Sci. 2018, 277, 188–195. [Google Scholar] [CrossRef]
- Sumner, M.E.; Miller, W.P. Cation-exchange capacity and exchange coefficients. In Methods of Soil Analysis; Sparks, D.L., Ed.; American Society of Agronomy: Madison, WI, USA, 1996. [Google Scholar]
- Patterson, H.; Thompson, R. Recovery of inter-block information when block sizes are unequal. Biometrika 1971, 58, 545–554. [Google Scholar] [CrossRef]
- Butler, D.; Ciullis, B.; Gilmour, A.; Gogel, B. ASReml-R Reference Manual; The State of Queensland, Department of Primary Industries and Fisheries: Brisbane, Australia, 2009. [Google Scholar]
- Wickham, H.; Bryan, J. R Packages; O’Reilly Media, Inc.: Sebastopol, CA, USA, 2023. [Google Scholar]
- Kopittke, P.M.; Blamey, F.P.C.; Kinraide, T.B.; Wang, P.; Reichman, S.M.; Menzies, N.W. Separating multiple, short-term, deleterious effects of saline solutions on the growth of cowpea seedlings. New Phytol. 2011, 189, 1110–1121. [Google Scholar] [CrossRef]
- Haj-Amor, Z.; Araya, T.; Kim, D.-G.; Bouri, S.; Lee, J.; Ghiloufi, W.; Yang, Y.; Kang, H.; Jhariya, M.K.; Banerjee, A. Soil salinity and its associated effects on soil microorganisms, greenhouse gas emissions, crop yield, biodiversity and desertification: A review. Sci. Total Environ. 2022, 843, 156946. [Google Scholar] [CrossRef]
- Grattan, S.R.; Grieve, C.M. Salinity–mineral nutrient relations in horticultural crops. Sci. Hortic. 1998, 78, 127–157. [Google Scholar] [CrossRef]
- Huang, J.; Redmann, R. Responses of growth, morphology, and anatomy to salinity and calcium supply in cultivated and wild barley. Can. J. Bot. 1995, 73, 1859–1866. [Google Scholar] [CrossRef]
- Peverill, K.; Sparrow, L.; Reuter, D. Soil Analysis: An Interpretation Manual; CSIRO Publishing: Collingwood, VIC, Australia, 1999. [Google Scholar]
- Kurth, E.; Cramer, G.R.; Läuchli, A.; Epstein, E. Effects of NaCl and CaCl2 on cell enlargement and cell production in cotton roots. Plant Physiol. 1986, 82, 1102–1106. [Google Scholar] [CrossRef]
- Munns, R. Comparative physiology of salt and water stress. Plant Cell Environ. 2002, 25, 239–250. [Google Scholar] [CrossRef]
- Saqib, M.; Abbas, G.; Akhtar, J. Root-mediated acidification and resistance to low calcium improve wheat (Triticum aestivum) performance in saline-sodic conditions. Plant Physiol. Biochem. 2020, 156, 201–208. [Google Scholar] [CrossRef]
- Lodolini, E.M.; Fernández, A.; Morales-Sillero, A.; Mendiano, A.; Martín-Vertedor, D. Influence of pre-harvest calcium applications on table olive characteristics during Spanish-style elaboration process. Sci. Hortic. 2023, 308, 111577. [Google Scholar] [CrossRef]
- Asch, F.; Dingkuhn, M.; Dörffling, K.; Miezan, K. Leaf K/Na ratio predicts salinity induced yield loss in irrigated rice. Euphytica 2000, 113, 109–118. [Google Scholar] [CrossRef]
- Anzooman, M.; Christopher, J.; Mumford, M.; Dang, Y.P.; Menzies, N.W.; Kopittke, P.M. Selection for rapid germination and emergence may improve wheat seedling establishment in the presence of soil surface crusts. Plant Soil 2018, 426, 227–239. [Google Scholar] [CrossRef]
- Anzooman, M.; Christopher, J.; Dang, Y.P.; Taylor, J.; Menzies, N.W.; Kopittke, P.M. Chemical and physical influence of sodic soils on the coleoptile length and root growth angle of wheat genotypes. Ann. Bot. 2019, 124, 1043–1052. [Google Scholar] [CrossRef] [PubMed]
- Dang, Y.P.; Christopher, J.; Dalal, R.C. Genetic diversity in barley and wheat for tolerance to soil constraints. Agronomy 2016, 6, 55. [Google Scholar] [CrossRef]
Disclaimer/Publisher’s Note: The statements, opinions and data contained in all publications are solely those of the individual author(s) and contributor(s) and not of MDPI and/or the editor(s). MDPI and/or the editor(s) disclaim responsibility for any injury to people or property resulting from any ideas, methods, instructions or products referred to in the content. |
© 2023 by the authors. Licensee MDPI, Basel, Switzerland. This article is an open access article distributed under the terms and conditions of the Creative Commons Attribution (CC BY) license (https://creativecommons.org/licenses/by/4.0/).




