Abstract
Induced resistance (IR) based on elicitors application aims to strengthen plant defenses, rather than directly targeting pathogens. These compounds are less toxic than conventional pesticides and are useful in reducing their use. Strategies based on COS–OGA, Swinglea glutinosa, and low copper doses were tested in this three-year (2021–2023) field investigation against grapevine downy (DM) and powdery (PM) mildew. Their effectiveness was compared to copper, sulfur, untreated, and water-sprayed plants in a naturally infected vineyard. Combined treatments provided higher levels of protection. COS–OGA at 2 L ha−1 combined with low copper doses and an adjuvant protected canopy and production from both DM and PM at the same level as copper and farm application (based on copper and sulfur). In favorable seasons, 2023 for DM and 2022 for PM, this strategy reduced the DM McKinney Index compared to untreated plants by 74% and 39% on leaves and bunches, respectively. Reductions observed for PM were 85% on leaves and 46% on bunches. S. glutinosa showed reductions only in one assessment against PM on bunches. This work validates IR-based DM and PM management strategies under field conditions and paves the way toward concrete reduction in copper and sulfur use in vineyards.
1. Introduction
The application of conventional fungicides is still the main strategy to prevent and control fungal diseases that can severely impact crop yield and quality. These chemicals act by directly inhibiting fungal growth, protecting plants, and ensuring crop productivity and profitability [1]. However, severe limitations have been introduced on the use of plant protection products (PPPs) in Europe, disorienting farmers that need tools to protect their crops. In viticulture, restrictions have been recently placed on key compounds with the EU Regulations 2018/1981 and 2020/2087, which limited the use of copper to 4 kg ha−1 per year on average and banned mancozeb, respectively [2,3]. The repeated use of chemicals that act directly on target organisms can even lead to the development of fungicide resistance in pathogen populations. The ongoing challenge lies in balancing the benefits of fungicide use with human health considerations and potential ecological impacts [4]. The Food and Agriculture Organization of the United Nations (FAO), United Nations Environment Programme (UNEP), World Organization for Animal Health (WOAH), and World Health Organization (WHO) are cooperating to mitigate the impact of present and future health challenges. The concept of “One Health”, introduced recently, is an integrated and unifying approach that aims to sustainably balance and optimize the health of people, animals, and ecosystems. One Health recognizes the strong link between the health of humans, animals, plants, and ecosystems, urging policy-making and cross-sector collaboration to ensure food safety and maintain sustainable food production [5]. In this context, the development of more sustainable strategies aiming at addressing these concerns while maintaining effective crop disease control is needed.
Induced resistance (IR) in crop disease management consists of activating the plant’s own defense mechanisms against organisms that cause diseases [6] and represents a crop protection approach aligned with the “One Health” actions. This proactive defense can be achieved by applying elicitors, which are substances that stimulate plant resistance pathways [1]. Synthetic elicitors often originate from natural sources and exhibit lower environmental impacts compared to conventional PPPs. IR enhances the plant’s ability to resist or tolerate pathogen infections, at least under controlled environments, by triggering the production of defensive compounds such as phytoalexins and pathogenesis-related proteins [7]. Compounds involved in cell wall reinforcement and in the hypersensitive response can also be produced due to the induction of specific defense-related genes [8]. The best-known and most studied forms of IR are systemic acquired resistance (SAR) and induced systemic resistance, which can be distinguished based on the resistance inducer and the regulatory pathways activated [9]. The presence of pattern recognition receptors in plant cell membranes allows the detection of pathogens due to microbe-associated molecular patterns (MAMPs) or host-derived damage-associated molecular patterns (DAMPs) [10]. EU Regulation 1107/2009 introduced new categories of active ingredients for PPPs to better classify new compounds with innovative modes of action and lower environmental impact, such as low-risk active substances. The first low-risk active substance authorized in Europe (EU Regulation 543/2015) was a patented complex of chito-oligosaccharides and oligogalacturonides, named COS–OGA. This compound is a strong elicitor that combines the effects of MAMPs and DAMPs thanks to the COS and pectin-derived OGA parts, respectively [11]. COS–OGA acts by activating SAR processes, but the pathways involved may vary depending on the crop [12]. For example, repeated applications stimulate tomato defenses through the involvement of salicylic acid [11,12], while on rice against nematodes, IR was mainly associated with the phenylpropanoid pathway [13]. Swinglea glutinosa extract is another innovative compound and it is currently under the approval process according to EU Regulation 1107/2009. This plant extract is less studied compared to COS–OGA and is reported to show a twofold mode of action: bio-fungicide and elicitor of host defenses [14].
Vitis vinifera is considered one of the most important species in agriculture, and viticulture represents a strategic sector for many economies [15]. Several diseases and pests have significant impacts on grapevine health and productivity. For this reason, every year massive application of PPPs is required for vineyard management, both under organic and integrated systems [16]. Downy (DM) and powdery mildew (PM) are noteworthy for their destructive potential on vines. Despite ongoing research efforts, there has been limited advancement in implementing long-lasting and sustainable management strategies for both diseases [17]. Strategies based on plant defense stimulation to activate IR have the potential to reduce or replace the use of chemical PPPs but validation in open-field conditions is required prior to large-scale practical application [18]. Therefore, this three-year field investigation aimed to test the effectiveness of innovative strategies that rely on IR or low doses of copper against grapevine DM and PM. Elicitors were tested both in individual applications and in combination with copper. The evaluation was carried out in accordance with the European and Mediterranean Plant Protection Organization (EPPO) standards on general principles for evaluating the efficacy of PPPs acting as plant resistance inducers.
2. Materials and Methods
2.1. Vineyard, Experimental Design, and Treatments
Three-year (2021, 2022, and 2023) plot trials were carried out in an organic vineyard located in Ancona (AN), central-eastern Italy (43°35′30″ N; 13°30′13″ E) and managed by “Terre Cortesi Moncaro Soc. Coop. Agr.”. The vineyard is north–east-exposed and 70 m above sea level. It is established with the cv. Montepulciano grown with horizontal spurred cordon, 2.5 m between rows and 0.8 m along rows. The height of the fruiting cane is 60 cm from the ground and rows are around 150 m long. No irrigation was performed, while fertilizers were distributed banded under vines in the winter with additional hedging during spring and summer, as usual for the area.
Several grapevine protection strategies based on COS–OGA, S. glutinosa extract, and reduced doses of copper were evaluated during the three-year trials (Table 1). Their effectiveness was compared to copper alone, sulfur alone, conventional farm application (based on copper and sulfur combined), and untreated control. The low-impact compounds were applied alone or combined with copper. In some strategies, an adjuvant allowed in organic farming and based on ethoxylated sorbitan mono oleate was added (Table 1). Randomized blocks design was adopted over all the years. Each strategy consisted of four plots (one per block) of six plants.
Table 1.
Protection strategies tested on grapevines cv. Montepulciano against downy and powdery mildews. Active ingredients, commercial formulations, and tested doses are reported for each year.
Treatments were generally carried out from late April to the beginning of August, every seven or ten days according to meteorological conditions. Fourteen, ten, and eleven treatments were performed in 2021, 2022, and 2023, respectively (Table S1 of Supplementary Materials). Products were applied using backpack sprayers (Honda GX 25 model, Tokyo, Japan) with a four-stroke gasoline engine of 25 cm3. The maximum pressure is 25 bar and can be adjusted with a four-level manual control knob. The maximum flow rate is 10 L min−1 without nozzles. The flow rate was regulated to 1.8 L min−1 with nozzles. The machines were extensively cleaned between applications to eliminate carryover. All treatments were performed considering 1000 L ha−1 spraying volume, which corresponds to 1.2 L per plot and 4.8 L per strategy.
Seven farm treatments were carried out in 2022 and thirteen in 2023 with a VMA articulated atomizer, model Power 55, working at 7–8 km h−1 with pressures adjusted according to the phenological phases. The volume of spraying in this case ranged from 200 to 500 L ha−1. The timing of farm application varied according to meteorological conditions.
2.2. Evaluation of Infections
Meteorological conditions were monitored from the Bollettino Agrometeorologico published by Agenzia Marche Agricoltura Pesca (AMAP). Data are related to the AMAP weather station located in Camerano (AN). Starting from symptoms appearance until harvest, assessments were conducted periodically to estimate disease incidence, severity, and McKinney Index [20], both for leaves and grape bunches. Infections were caused by the natural inoculum. Assessments were carried out using empirical scales according to Romanazzi et al. (2016) [21] based on the percentage of infected organs. In each plot of 6 plants, assessments were performed on 5 plants, discarding the border plants between contiguous plots, for a total of 20 plants assessed per strategy. A total of 100 leaves per plant were considered, while bunches were counted in each plant. For leaves, 11 classes of severity were adopted: from 0 (no infection) to 10 (91–100% of the surface infected). For grape bunches, 8 classes were used: from 0 (healthy grape bunch) to 7 (more than 75% of grape bunch infected). Results are reported with the McKinney Index, which corresponds to the weighted medium intensity of the disease, combining incidence and severity. The following Formulas (1)–(4) were used to calculate disease incidence, severity, McKinney Index, and percentage reductions compared to the controls, respectively:
where n: number of fruits/leaves infected; N: total number of fruits/leaves considered; c: value of the empiric class; f: frequency of the class; c·f: sum of all the multiplications between classes and frequencies from the lowest class to the highest class of severity (1–10 for leaves, 1–7 for bunches); X: value of the higher class in the empiric scale; S: average value of the parameter for one strategy (i.e., McKinney Index on leaves or bunches); C: average value of the same parameter observed in the untreated control.
Disease incidence (%) = (n·100)/N
Disease severity = (c·f)/n
McKinney Index (%) = [(c·f)/(N·X)]·100
Percentage reductions (%) = [(S − C)/C]·100
2.3. Evaluation of Quality Parameters and Production
Before harvest in 2021 and 2022, from each strategy under investigation, four replicates of 0.5 kg of bunches were collected at BBCH 89 (16 September 2021 and 10 September 2022) to analyze the following parameters: Brix and Babo degrees, total acidity, pH, malic acid, alpha amino nitrogen, ammonium nitrogen, and yeast-assimilable nitrogen (YAN), and to detect copper. Grape samples were collected representing the entire plots of five plants evaluated in the efficacy trial, collecting healthy berries from all the plants in the plot, from different parts of bunches (upper, middle, and bottom parts), and from both sides of the row. These analyses were conducted in collaboration with “Cooperativa Terre Cortesi Moncaro” using the instruments Hyperlab Smart Automatic Analyzer (Hyperlab steroglass, Perugia, Italy) and Foss WineScan (FossItalia, Padova, Italy). The medium production per plant (kg plant−1) was determined for each strategy.
2.4. Statistical Analysis
The data analysis of the field efficacy trials was conducted considering each assessment independent of the others and separately for each disease and plant part evaluated. Similarly, for evaluating the quality parameters, each parameter was analyzed individually for all the strategies. All the data sets were subjected to statistical analysis according to the randomized block design. The normality and the homogeneity of the residuals were evaluated through the Shapiro–Wilk (p ≤ 0.05) and Levene (p ≤ 0.05) tests, respectively. When the normal distribution of residuals was not confirmed, data were subjected to f(x) = arcsin (). Normal and homogenous data were analyzed with one-way ANOVA followed by Fisher LSD post hoc test (p ≤ 0.05). When the homogeneity of variance was not confirmed, Welch’s ANOVA was performed, and means were separated using the Games–Howell post hoc test (p ≤ 0.05). If the normal distribution was not confirmed, even after the transformation, non-parametric tests were applied using the Kruskal–Wallis test followed by the Mann–Whitney test (always with p ≤ 0.05). The statistical package software RStudio (version 4.3.0) was used.
3. Results
3.1. Meteorological Trend
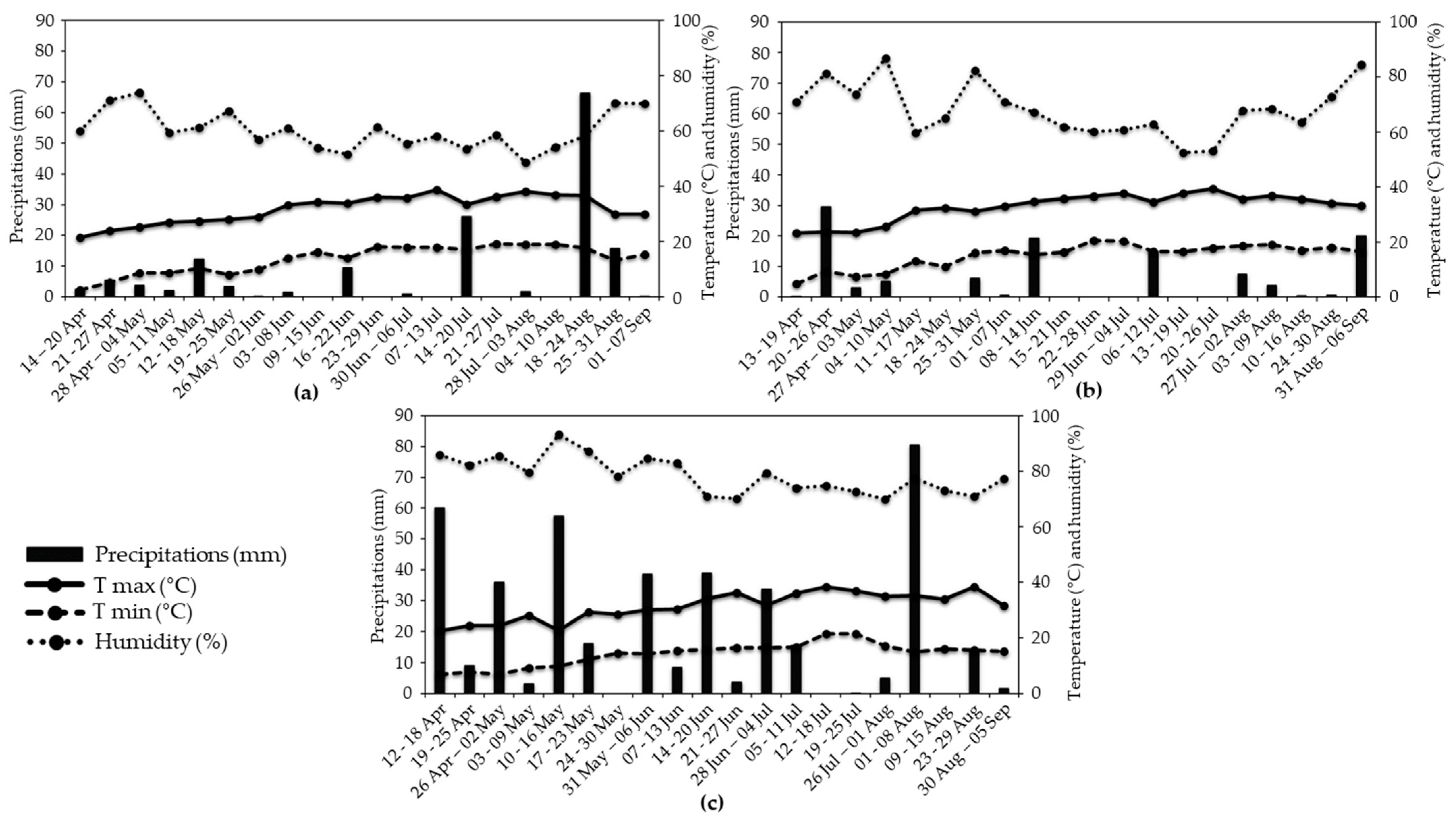
Weather conditions from March to September of each year from 2021 to 2023 are reported in Figure 1. The years 2021 and 2022 were characterized by low amounts of precipitation and high humidity, while 2023 was characterized by abundant rainfalls. Consequently, the first two years resulted in more favorable conditions for PM infections, both on leaves and bunches. DM infections appeared later in the season, due to late summer rains. On the contrary, in 2023, conditions were very conducive for DM and in that year, it was not possible to evaluate the effectiveness of the strategies against PM.
Figure 1.
Meteorological trend of (a) 2021, (b) 2022, and (c) 2023 in Ancona, Italy. Data were obtained from the weather station of Camerano (AN), Italy. Data have been recorded from March to September and are reported as weekly means. All the meteorological data have been provided by the Bollettino Agrometeorologico published by Agenzia Marche Agricoltura e Pesca (AMAP), Marche region, Italy.
3.2. Strategies Effectiveness Against Grapevine Downy Mildew Infections
In 2021, no DM infections on leaves were detected, while on bunches, symptoms appeared in late July, around BBCH 81. Incidence remained low until the assessment of 7 September (Figure 2), where it reached an average of 23% in the untreated plots. All the strategies under investigation significantly reduced the DM McKinney Index on bunches compared to the untreated control. Elicitor 1, combined 1a, 1b, 1c, 2a, copper 1a, 1b, and 1c reduced the McKinney Index by 57%, 67%, 78%, 66%, 62%, 70%, 65%, and 60%, respectively, compared to untreated bunches. The reductions achieved with COS–OGA alone or combined with low doses of copper were not significantly different compared to copper applied at full rate.
Figure 2.
McKinney Index (%) of DM infections recorded on grapevine bunches cv. Montepulciano on 7 September 2021, at BBCH 89. Data are reported with means ± standard deviation (SD). Values with different letters are significantly different according to the Kruskal–Wallis analysis and Mann–Whitney test (p ≤ 0.05). Elicitor 1: COS–OGA (2 L ha−1). Combined 1: COS–OGA (2 L ha−1) + copper 1 (a: 0.75 kg ha−1, b: 1 kg ha−1, c: 1.5 kg ha−1). Combined 2a: COS–OGA (2 L ha−1) + copper 1 (0.75 kg ha−1) + adjuvant (1.5 L ha−1). Copper 1: copper hydroxide and oxychloride (a: 0.75 kg ha−1, b: 1 kg ha−1, c: 1.5 kg ha−1).
In 2022, DM symptoms appeared on leaves and bunches during the first week of June, after three treatments had been performed (around BBCH 71). Significant differences among the strategies emerged on leaves on 2 September at BBCH 85, 42 days after the last treatment (Figure 3). In this case, DM incidence on untreated leaves was around 68%. All tested strategies showed reductions in the McKinney Index compared to the untreated control. Elicitor 1, 2a, 2b, combined 1a, 1b,1c, 2a, 3a, 3b, and copper 1a reduced the DM McKinney Index by 42%, 48%, 58%, 84%, 95%, 97%, 83%, 65%, 69%, and 67%, respectively. The values observed with combined 1a, 1b, 1c, and 2a were significantly lower compared to the control. All the innovative strategies, except for elicitors 1 and 2a applied alone, did not differ significantly from copper 1b, 1c and farm application, which reduced the Index by 92%, 94%, and 95%, respectively. On bunches, DM incidence remained lower than 5% for the whole season and no significant differences were observed among the strategies.
Figure 3.
McKinney Index (%) of DM infections recorded on grapevine leaves cv. Montepulciano on 2 September 2022, at BBCH 85. Data are reported with means ± SD. Values with different letters are significantly different according to the Kruskal–Wallis analysis and Mann–Whitney test (p ≤ 0.05). Elicitor 1: COS–OGA (2 L ha−1). Elicitor 2: Swinglea glutinosa (a: 1 kg ha−1, b: 2 kg ha−1). Combined 1: COS–OGA (2 L ha−1) + copper 1 (a: 0.75 kg ha−1, b: 1 kg ha−1, c: 1.5 kg ha−1). Combined 2a: COS–OGA (2 L ha−1) + copper 1 (0.75 kg ha−1) + adjuvant (1.5 L ha−1). Combined 3: S. glutinosa (a: 1 kg ha−1, b: 2 kg ha−1) + adjuvant (a: 2.5 L ha−1, b: 1.5 L ha−1). Copper 1: copper hydroxide and oxychloride (a: 0.75 kg ha−1, b: 1 kg ha−1, c: 1.5 kg ha−1).
In contrast to previous years, the 2023 meteorological trend was very favorable for DM infections. Untreated plots resulted in complete defoliation and, thus, no berry production (DM incidence was 100%). The assessments of 3 July (BBCH 79) and 7 August (BBCH 81) are reported for bunches and leaves, respectively. Assessments were conducted after seven and eleven treatments, respectively.
On leaves (Figure 4), all strategies, except sulfur, significantly reduced the DM McKinney Index compared to the untreated control. In detail, the DM McKinney Index was reduced with combined 1b, 1c, 1d, 2b, 2c, 4, alternate 1 and 2, copper 2, and farm applications by 72%, 75%, 67%, 74%, 73%, 83%, 78%, 76%, 80%, and 73%, respectively. In that year, a control based on just water application was added and all the strategies showed significant reductions compared to it. Reductions of 72%, 75%, 68%, 75%, 74%, 83%, 78%, 76%, 80%, 10%, and 73% were observed compared to the water control. All the innovative strategies, except for combined 1b and 1d, ensured the same level of protection compared to copper control and farm application.
Figure 4.
McKinney Index (%) of DM infections recorded on grapevine leaves cv. Montepulciano on 7 August 2023, at BBCH 81. Data are reported with means ± SD. Values with different letters are significantly different according to the Welch analysis and Games–Howell test (p ≤ 0.05). Combined 1: COS–OGA (b, c: 2 L ha−1, d: 2.5 L ha−1) + copper 1 (b, d: 1 kg ha−1, c: 1.5 kg ha−1). Combined 2: COS–OGA (b: 2 L ha−1, c: 2.5 L ha−1) + copper 1 (1 kg ha−1) + adjuvant (1 L ha−1). Alternate 1: combined 1c/combined 4. Alternate 2: combined 4/combined 1c. Copper 2: copper hydroxide (150 mL hL−1). Sulfur (4 kg ha−1). Combined 4: copper 1 (1.5 kg ha−1) + sulfur (4 kg ha−1).
On bunches (Figure 5), as also seen for leaves, all the innovative strategies significantly reduced the DM McKinney Index compared to both untreated and water controls. The reductions were 41%, 41%, 41%, 39%, 33%, 51%, and 62% compared to the untreated control and 43%, 43%, 43%, 40%, 35%, 52%, and 63% compared to the water control, with combined 1b, 1c, 1d, 2b, 2c, and alternate 1 and 2, respectively. All the innovative strategies ensured a significantly higher level of bunches protection compared to farm application, although the results obtained with combined 4 and copper control were significantly lower compared to the innovative strategies. The percentage McKinney Index reductions observed with combined 4 were 72% and 73%, while with copper control were 59% and 60% compared to untreated and water controls, respectively.
Figure 5.
McKinney Index (%) of DM infections recorded on grapevine bunches cv. Montepulciano on 3 July 2023, at BBCH 79. Data are reported with means ± SD. Values with different letters are significantly different according to the ANOVA analysis and Fisher LSD test (p ≤ 0.05) on arc sin square root data transformed. Combined 1: COS–OGA (b, c: 2 L ha−1, d: 2.5 L ha−1) + copper 1 (b, d: 1 kg ha−1, c: 1.5 kg ha−1). Combined 2: COS–OGA (b: 2 L ha−1, c: 2.5 L ha−1) + copper 1 (1 kg ha−1) + adjuvant (1 L ha−1). Alternate 1: combined 1c/combined 4. Alternate 2: combined 4/combined 1c. Copper 2: copper hydroxide (150 mL hL−1). Sulfur (4 kg ha−1). Combined 4: copper 1 (1.5 kg ha−1) + sulfur (4 kg ha−1).
In Figure 6, representative plants treated with the strategy combined 2b are compared with representative untreated plants and plants treated with copper at the maximum label dose plus sulfur (strategy combined 4). Pictures were taken on 10 July 2023, the season with the highest DM pressure, at BBCH 79. Untreated plants were completely defoliated and production was zeroed at the end of the 2023 season, while treated plants were effectively protected from DM. Considering eleven copper-based treatments along the season as seen in 2023 (Table S1), the strategy combined 2b allowed us to save 33% of copper compared to the control strategy combined 4 in that season.
Figure 6.
Representative plants cv. Montepulciano (a) treated with the strategy combined 2b (COS–OGA (2 L ha−1) + copper 1 (1 kg ha−1) + adjuvant (1 L ha−1)), (b) treated with the strategy combined 4 (conventional application of copper 1 (1.5 kg ha−1) + sulfur (4 kg ha−1)), and (c) untreated control. Pictures of 10 July 2023, BBCH 79.
3.3. Strategies Effectiveness Against Grapevine Powdery Mildew Infections
In 2021, PM symptoms appeared first on grape bunches (at the end of June, around BBCH 75), and later on leaves. PM pressure remained low for the whole season but some differences among the strategies emerged in the last assessment, conducted two months after the last treatment. On 30 September, at BBCH 89 and after 14 treatments, all strategies exhibited reductions in PM McKinney Index on leaves compared to the untreated controls (Figure 7a). Reductions of 38%, 89%, 92%, 97%, 50%, 41%, 41%, and 67% were observed with elicitor 1, combined 1a, 1b, 1c, 2a, copper 1a, 1b, and 1c, respectively, compared to the untreated control. Nevertheless, only results registered on plants treated with combined strategies were significant. Even if all the strategies reduced the PM McKinney Index on bunches, the observed reductions were not significant (Figure 7b).
Figure 7.
McKinney Index (%) of PM infections recorded on grapevine cv. Montepulciano on 30 September 2021, at BBCH 89 on (a) leaves and (b) bunches. Data are reported with means ± SD. Values with different letters in the same graph are significantly different according to the Kruskal–Wallis analysis and Mann–Whitney test (p ≤ 0.05). Elicitor 1: COS–OGA (2 L ha−1). Combined 1: COS–OGA (2 L ha−1) + copper 1 (a: 0.75 kg ha−1, b: 1 kg ha−1, c: 1.5 kg ha−1). Combined 2a: COS–OGA (2 L ha−1) + copper 1 (0.75 kg ha−1) + adjuvant (1.5 L ha−1). Copper 1: copper hydroxide and oxychloride (a: 0.75 kg ha−1, b: 1 kg ha−1, c: 1.5 kg ha−1).
In 2022, PM symptoms appeared on grape leaves and bunches during the first week of June, around BBCH 71, and after three treatments performed. In the assessment of 2 September, conducted at BBCH 89 and 41 days after the last out of ten treatments performed, all strategies showed reductions in PM McKinney Index on leaves compared to the untreated control (Figure 8). Reductions of 49%, 43%, 46%, 86%, 91%, 94%, 85%, 43%, 50%, 60%, 78%, 82%, and 98% were observed with elicitor 1, 2a, 2b, combined 1a, 1b, 1c, 2a, 3a, 3b, copper 1a, 1b, 1c, and farm application, respectively. Only results obtained in combined 1a, 1b, 1c, 2a, copper 1b, 1c, and farm application were significantly different compared to the control. Combined 1a, 1b, 1c, 2a, and copper 1c showed levels of canopy protection comparable to those obtained with the conventional strategy based on sulfur.
Figure 8.
McKinney Index (%) of PM infections recorded on grapevine leaves cv. Montepulciano on 2 September 2022, at BBCH 85. Data are reported with means ± SD. Values with different letters are significantly different according to the Kruskal–Wallis analysis and Mann–Whitney test (p ≤ 0.05). Elicitor 1: COS–OGA (2 L ha−1). Elicitor 2: Swinglea glutinosa (a: 1 kg ha−1, b: 2 kg ha−1). Combined 1: COS–OGA (2 L ha−1) + copper 1 (a: 0.75 kg ha−1, b: 1 kg ha−1, c: 1.5 kg ha−1). Combined 2a: COS–OGA (2 L ha−1) + copper 1 (0.75 kg ha−1) + adjuvant (1.5 L ha−1). Combined 3: S. glutinosa (a: 1 kg ha−1, b: 2 kg ha−1) + adjuvant (a: 2.5 L ha−1, b: 1.5 L ha−1). Copper 1: copper hydroxide and oxychloride (a: 0.75 kg ha−1, b: 1 kg ha−1, c: 1.5 kg ha−1).
The representative assessment of 11 July (BBCH 79, after eight treatments) is reported for bunches (Figure 9). All the strategies, except for copper 1a and 1b, significantly reduced the disease McKinney Index on bunches compared to the untreated control. The observed reductions obtained with elicitor 1, 2a, 2b, combined 1a, 1b, 1c, 2a, 3a, 3b, copper 1c, and farm application were 33%, 34%, 29%, 26%, 33%, 26%, 46%, 35%, 23%, 26%, and 62%, respectively. Combined 2a did not differ significantly from farm application based on sulfur.
Figure 9.
McKinney Index (%) of PM infections recorded on grapevine bunches cv. Montepulciano on 11 July 2022, at BBCH 79. Data are reported with means ± SD. Values with different letters are significantly different according to one-way ANOVA analysis and Fisher LSD test (p ≤ 0.05). Elicitor 1: COS–OGA (2 L ha−1). Elicitor 2: Swinglea glutinosa (a: 1 kg ha−1, b: 2 kg ha−1). Combined 1: COS–OGA (2 L ha−1) + copper 1 (a: 0.75 kg ha−1, b: 1 kg ha−1, c: 1.5 kg ha−1). Combined 2a: COS–OGA (2 L ha−1) + copper 1 (0.75 kg ha−1) + adjuvant (1.5 L ha−1). Combined 3: S. glutinosa (a: 1 kg ha−1, b: 2 kg ha−1) + adjuvant (a: 2.5 L ha−1, b: L 1.5 ha−1). Copper 1: copper hydroxide and oxychloride (a: 0.75 kg ha−1, b: 1 kg ha−1, c: 1.5 kg ha−1).
3.4. Analysis of Fruit Quality Parameters and Production
In 2021, strategies did not significantly affect Brix, Babo, total acidity, pH, malic acid, and ammonium nitrogen compared to the untreated control. All the strategies, except for COS–OGA and copper, significantly reduced alpha amino N compared to untreated berries. YAN was significantly lower in combined strategies and copper at the lowest dose. All the innovative DM management strategies significantly reduced the amount of copper in the must compared to copper applied at full rate (Table 2). In 2022 (Table 3), treatments did not significantly affect Brix and Babo. Total acidity was significantly higher compared to untreated control with combined 1a, 1b, 2a, and copper 1c. Combined 2a showed the highest value of total acidity, significantly different even when compared to farm application. Combined 1a, 1b, 1c, 2a, 3a, copper 1c, and farm application significantly reduced pH of the musts. All the strategies, except for elicitor 1 and combined 3b, showed a significant reduction in malic acid content in comparison with untreated bunches. Bunches treated with strategies that involved copper (except for copper 1b) and copper plus sulfur showed significantly lower values of alpha amino nitrogen, ammonium nitrogen, and, consequently, YAN compared to untreated bunches, while natural compounds did not significantly affect these parameters. In the same year, only the strategies that did not involve copper application significantly reduced copper quantities in musts compared to copper 1c, even though combined 1a and copper 1a were not significantly different compared to the strategies where copper was not used at all. Regarding crop yield, evaluated in 2022 (the season favorable to PM and in which the quantity of production was not brought to zero by the disease),the management strategies under investigation did not show significant differences in terms of average kilograms of grapes per plant (Figure S1).
Table 2.
Analyzes of the main quality parameters conducted in 2021 on cv. Montepulciano grapes treated with different downy and powdery mildew management strategies.
Table 3.
Analyzes of the main quality parameters conducted in 2022 on cv. Montepulciano grapes treated with different downy and powdery mildew management strategies.
4. Discussion
Grapevine DM and PM management require many treatment applications each season. In organic farming, the number of fungicide applications is even higher compared to integrated viticulture since synthetic curative chemicals cannot be used [22]. In organic viticulture, copper- and sulfur-based fungicides are the only effective tools to prevent DM and PM infections, respectively. These compounds only exhibit a toxic action directly on pathogens propagative structures, without penetrating plant tissues. For this reason, the canopy protective cover must be constantly restored due to the leaching action of rain and during shoot growth. Their repeated use over the years causes negative impacts on non-target organisms [23,24,25], as well as representing a risk for operators and consumers. This situation is not aligned with organic farming and One Health sustainability principles. Furthermore, in Europe, the Farm to Fork strategy is guiding the virtuous process of pesticide reduction, aiming to halve the use of dangerous PPPs and bring up to 25% of the EU’s agricultural land under organic farming by 2030 [26].
In this three-year field experiment, innovative strategies based on COS–OGA and S. glutinosa (only for 2022), applied alone or in combination with low copper doses, were tested for grapevine DM and PM management. Natural elicitors are generally not toxic for humans or non-target organisms compared to conventional PPPs and do not apply direct selective pressure on pathogens [4,9]. However, field validation is essential since environment and other factors can significantly influence IR effectiveness [18]. In this work, strategies based on IR application together with rational use of conventional PPPs provided significant disease control on both leaves and bunches. The individual application of elicitors provided significant protection only on bunches against DM in 2021 and PM in 2022. Chitin-derived, chitosan, and low-molecular-weight oligochitosan are well-known plant elicitors that act as MAMPs to trigger defensive reactions in plants [27,28,29,30]. Chitosan ability to elicit plant defenses has been studied since the 1990s. Nowadays, molecular investigation provides a good understanding of the multiple actions of chitosan applications on plant and fruit physiology. For example, repeated preharvest chitosan application to strawberries can affect the expression level of several genes in fruit and the synthesis of pathogenesis-related proteins, suggesting SAR induction [31]. In a previous study, real-time polymerase chain reaction revealed low similarity in terms of single-gene expression between chitosan and benzothiadiazole (the analog of salicylic acid, involved in SAR), implying that SAR can be achieved through different pathways [32]. Chitosan effectiveness against plant pathogens is not only associated with IR since it also exhibits antimicrobial and film-forming properties [33]. This biopolymer is not soluble in water and its properties can be influenced by the acid used to dissolve it [34]. Chitosan hydrochloride is registered as a basic substance in Europe (EU Regulation 563/2014) and, among them, is one of the most promising in crop protection [21,35,36]. Unlike chitin derivatives, pectin oligogalacturonides act as DAMPs, and their effectiveness in protecting plants is mainly associated with IR rather than direct toxicity toward microorganisms [37,38]. OGAs can, thus, potentiate the effectiveness of chitosan for plant disease management. In the complex molecule COS–OGA, the two fragments simulate the plant–pathogen interaction and trigger a double alarm signal. Makau et al. [39] reported that the in vitro antimicrobial activity of COS–OGA was higher compared to chitosan hydrochloride at the same concentration against several pre- and post-harvest fungal plant pathogens, highlighting the potential of this compound. Additionally, in most cases, COS–OGA exhibited a fungicidal effect [39]. In this field trial, the stand-alone application of COS–OGA (in 2021 and 2022) was probably not sufficient to always guarantee effective crop protection from diseases. It must be considered that the tested doses, which are in line with label instructions, consisted of a much lower chitosan concentration compared to the effective reference concentration for grapevine DM management of 0.5% w v−1 [21,40]. Presumably, these dosages can stimulate plant defenses but do not exert any antimicrobial activities and, as highlighted by Walters et al. [18], in practice IR activation can be hindered by several factors (i.e., environmental conditions, microorganisms involved, crop stage, health, and genotype). The minimum COS–OGA concentration effective in in vitro trials against other fungal pathogens was reported to be 0.025%, around ten times higher than the concentration sprayed in the field with 2 L ha−1 of the commercial formulation. This supports the strong link between applied concentration and antimicrobial activities [39]. In addition, van Aubel et al. [41] reported that both dose and concentration play a key role in COS–OGA effectiveness in standalone field applications against PM on grapevine and cucumber. In that study, COS–OGA concentrations were higher compared to the concentration tested here but were not always able to reduce PM incidence. In another study, COS–OGA at 3 L ha−1, applied with 500 L ha−1 spraying volume, was ineffective against PM on cv. Nero d’Avola bunches and slightly effective on cv. Inzolia bunches [42]. COS–OGA is already approved against PM and some COS–OGA-based strategies have been already tested on different cultivars [41,42], while the results obtained against DM open the way also towards COS–OGA applications against this other devasting disease of grapevine.
The combined treatments tested in this study always guaranteed effective vines protection from both diseases, suggesting a synergistic effect between copper and the elicitor COS–OGA. The combinations of COS–OGA and copper not only effectively protected against DM but also ensured PM control without the need for sulfur application. This finding is in line with the recent work of Taibi et al. [43], where COS–OGA at 2.5 L ha−1 tested with minimal doses of copper and sulfur limited DM and PM incidence and severity on cv. Barbera. The addition of ethoxylated sorbitan mono oleate in the mixture as an adjuvant agent did not significantly improve the effectiveness of the strategies. It has also been confirmed how reduced copper doses can guarantee the same protection level from DM compared to copper applied at full rate [44], especially when supported by COS–OGA. These results demonstrate the potential of IR in minimizing chemical input for DM and PM management, thus contributing toward the reduction in PPP application in vineyards. Strategies based on the combination of COS–OGA with reduced doses of copper were not significantly different from conventional treatments. This means that similar levels of vines protection as with conventional treatments can be achieved by applying reduced quantities of chemical fungicides. When DM pressure is high, several treatments are needed along the season. The use of COS–OGA to support lower doses of copper can be useful to both limit the disease with a satisfactory level of protection and respect the limit of 4 kg ha−1 of copper per year imposed by the EU Regulation 2018/1981, as seen comparing the strategy combined 2b with the control combined 4. IR aligns with One Health, organic and integrated pest management principles, and can contribute to a resilient and sustainable agricultural system as well as to a reduction in PPP use and the risk of resistant pathogens, and to enhancing the overall crop health [45].
As regards the treatments based on S. glutinosa, our findings suggest poor effectiveness against both DM and PM of this compound. It is not excluded that the use of S. glutinosa in combination with the rational use of conventional fungicide may lead to positive results, as also seen for COS–OGA. Extracts of S. glutinosa act simultaneously, exhibiting toxicity on the target microorganism while also eliciting plant defenses with accumulation of hydrogen peroxide and callose [14,46]. Antimicrobial activity is mainly due to the drying of cellular structures and alterations in the functioning of membranes, carried out primarily by essential oils and secondary metabolites of this plant, as already observed in vitro on Colletotrichum spp. and against Botrytis cinerea on strawberries and grapes [46,47]. The open-field application of these compounds against fungal pathogens can face losses of effectiveness compared to in vitro studies due to the volatility of these substances [48]. To the best of our knowledge, there are no other articles in the literature on the use of this plant extract against grapevine DM and PM, indicating that it is an unexplored compound.
The prolonged use of copper and sulfur for managing DM and PM is also associated with a decline in wine quality [49,50]. Confirming this, we observed that the protection strategies that involved the use of copper were associated with a reduction in YAN, whereas the nitrogen content of the musts was unaffected by treatments with elicitors. The innovative strategies did not show significant impacts compared to untreated control and farm application on the other main grape quality parameters, except for copper contamination. The amount of copper in the harvested grapes was in line with the amount of copper applied in the field, as also seen in a large-scale experiment [40]. Indeed, bunches treated with strategies that involved copper at 0.75 kg ha−1 showed significantly lower quantities of the heavy metal compared to bunches treated with copper at full dose. A positive correlation was, thus, observed between the quantity of copper applied in the field for DM management and the amount of copper in musts. Pesticide residues in fresh fruit and vegetables are becoming a growing concern for consumers, since they can pose a risk to human health [51]. Typically, organic produce exhibits lower residue presence [52] but certain substances allowed in organic farming (such as copper) can contaminate the fruit externally. The adoption of strategies to minimize the risk of pesticide residues in final products is recommended for human well-being [52,53] and to respect the limits imposed by retailers [35]. Our results align with Calderone et al. [42] concerning the non-influence of the elicitors on wine quality parameters but contrast in terms of crop yield. Here, no significant differences in terms of production (kg plant−1) per plant were observed.
IR holds the potential for effective and lasting control of a wide range of diseases through harnessing the plants’ natural defense systems. Nevertheless, compared to conventional PPPs, the inconsistency and, in certain situations, limited diseases control of IR highlight its challenges as it is a host response significantly influenced by genotype and the environment [18]. In this work, guidance for the management of DM and PM based on IR supplementation to the use of reduced doses of copper is provided. Also, it has been demonstrated that COS–OGA-based strategies can be effective against both DM and PM, even under high disease pressure conditions (2023 for DM, 2022 for PM). Further research in this direction is needed to develop effective strategies in the field based solely on IR.
5. Conclusions
COS–OGA provided promising results against both DM and PM, the main diseases of grapevines. When it was associated with a standard fungicide such as copper, even at low doses, satisfactory and consistent levels of protection were observed. For three consecutive years, application of copper at 0.75 or 1 kg ha−1 in combination with COS–OGA (2 L ha−1) ensured significant DM protection, at the same level or, in some cases, even higher compared to copper applied at full rate or to conventional farm application. These strategies also exhibited outstanding PM control even without sulfur application, equalizing standard treatments based on copper and sulfur on leaves in 2022, under high PM pressure. Combined strategies not only ensured effective disease containment but also significantly reduced copper contamination on berries. Large-scale field investigations are needed to validate the effectiveness of these strategies.
Supplementary Materials
The following supporting information can be downloaded at: https://www.mdpi.com/article/10.3390/agronomy14122840/s1, Table S1. Dates of treatments carried out during the three seasons and respective phenological stages [19]. Table S2. Active ingredients and doses applied with the conventional protection strategy from downy and powdery mildew (farm application). Figure S1. Production (kg plant−1) of plants treated with the different downy mildew and powdery mildew management strategies under investigation. Data are reported with means ± standard deviation. Values with different letters in the same graph are significantly different according to Kruskal-Wallis analysis and Mann-Whitney test (p ≤ 0.05). Elicitor 1: COS–OGA (2 L ha−1). Elicitor 2: Swinglea glutinosa (a: 1 kg ha−1, b: 2 kg ha−1). Combined 1: COS–OGA (2 L ha−1) + copper 1 (a: 0.75 kg ha−1, b: 1 kg ha−1, c: 1.5 kg ha−1). Combined 2a: COS–OGA (2 L ha−1) + copper 1 (0.75 kg ha−1) + adjuvant (1.5 L ha−1). Combined 3: S. glutinosa (a: 1 kg ha−1, b: 2 kg ha−1) + adjuvant (a: 2.5 L ha−1, b: L 1.5 ha−1). Copper 1: copper hydroxide and oxychloride (a: 0.75 kg ha−1, b: 1 kg ha−1, c: 1.5 kg ha−1).
Author Contributions
Conceptualization, G.R.; methodology, S.P., M.M. and G.R.; software, S.P., M.M., S.M.M., M.T. and G.C.; validation, S.P. and M.M.; formal analysis, S.P. and M.M.; investigation, S.P., M.M., S.M.M., M.T., G.C., Y.D., E.P.P.-Á., T.G.-C. and G.D.; resources, S.P., M.M. and G.C.; data curation, S.P., M.M., S.M.M. and G.C.; writing—original draft preparation, S.P., S.M.M. and M.T.; writing—review and editing, S.P., M.M., S.M.M., M.T., G.C., Y.D., E.P.P.-Á., T.G.-C., G.D. and G.R.; visualization, S.P. and M.M.; supervision, G.R.; project administration, G.R.; funding acquisition, G.R. All authors have read and agreed to the published version of the manuscript.
Funding
This research was funded by the European Union and the EUPHRESCO “Basic substances as an environmentally friendly alternative to synthetic pesticides for plant protection (BasicS)” (Objective 2020-C-353), the COST Actions “CA22134—Sustainable Network for agrofood loss and waste prevention, management, quantification and valorization (FoodWaStop)”, the PNRR “National Research Center for Agriculture Technologies (Agritech)”, and the “MISE-Agrifood MCC9936” projects. Thanks are expressed to Gowan for promoting the trials and donating the commercial and experimental products.
Data Availability Statement
The data presented in this study are available on request from the corresponding author.
Acknowledgments
Authors would like to thank Nicola Santori, Daniele Colavizza, and Paolo Ramazzotti for their support during some field activities.
Conflicts of Interest
Author Giuliano D’Ignazi was employed by the company “Terre Cortesi Moncaro Soc. Coop. Agr.”. The remaining authors declare that the research was conducted in the absence of any commercial or financial relationships that could be construed as a potential conflict of interest.
References
- Héloir, M.C.; Adrian, M.; Brulé, D.; Claverie, J.; Cordelier, S.; Daire, X.; Dorey, S.; Gauthier, A.; Lemaître-Guillier, C.; Negrel, J.; et al. Recognition of elicitors in grapevine: From MAMP and DAMP perception to induced resistance. Front. Plant Sci. 2019, 10, 1117. [Google Scholar] [CrossRef] [PubMed]
- La Torre, A.; Iovino, V.; Caradonia, F. Copper in plant protection: Current situation and prospects. Phytopathol. Mediterr. 2018, 57, 201–236. [Google Scholar] [CrossRef]
- Saha, S.; Chakrabarty, P.K.; Banerjee, K. Producing crops without mancozeb? Perspectives on recent regulatory dilemmas and ways out. ACS Agric. Sci. Technol. 2022, 2, 272–275. [Google Scholar] [CrossRef]
- Casida, J.E. Pest toxicology: The primary mechanisms of pesticide action. Chem. Res. Toxicol. 2009, 22, 609–619. [Google Scholar] [CrossRef] [PubMed]
- World Health Organization. Available online: https://www.who.int/ (accessed on 26 November 2023).
- Carr, J.P.; Lewsey, M.G.; Palukaitis, P. Signaling in induced resistance. Adv. Virus Res. 2010, 76, 57–121. [Google Scholar] [CrossRef] [PubMed]
- Wiesel, L.; Newton, A.C.; Elliott, I.; Booty, D.; Gilroy, E.M.; Birch, P.R.; Hein, I. Molecular effects of resistance elicitors from biological origin and their potential for crop protection. Front. Plant Sci. 2014, 5, 655. [Google Scholar] [CrossRef]
- Garcia-Brugger, A.; Lamotte, O.; Vandelle, E.; Bourque, S.; Lecourieux, D.; Poinssot, B.; Wendehenne, D.; Pugin, A. Early signaling events induced by elicitors of plant defenses. Mol. Plant-Microbe Interact. 2006, 19, 711–724. [Google Scholar] [CrossRef]
- Vallad, G.E.; Goodman, R.M. Systemic acquired resistance and induced systemic resistance in conventional agriculture. Crop Sci. 2004, 44, 1920–1934. [Google Scholar] [CrossRef]
- Boutrot, F.; Zipfel, C. Function, discovery, and exploitation of plant pattern recognition receptors for broad-spectrum disease resistance. Annu. Rev. Phytopathol. 2017, 55, 257–286. [Google Scholar] [CrossRef]
- Van Aubel, G.; Cambier, P.; Dieub, M.; Van Cutsemc, P. Plant immunity induced by COS-OGA elicitor is a cumulative process that involves salicylic acid. Plant Sci. 2016, 247, 60–70. [Google Scholar] [CrossRef]
- Moreau, S.; van Aubel, G.; Janky, R.; Van Cutsem, P. Chloroplast electron chain, ROS production, and redox homeostasis are modulated by COS-OGA elicitation in tomato (Solanum lycopersicum) leaves. Front. Plant Sci. 2020, 11, 597589. [Google Scholar] [CrossRef] [PubMed]
- Singh, R.R.; Chinnasri, B.; De Smet, L.; Haeck, A.; Demeestere, K.; Van Cutsem, P.; van Aubel, G.; Gheysen, G.; Kyndt, T. Systemic defense activation by COS-OGA in rice against root-knot nematodes depends on stimulation of the phenylpropanoid pathway. Plant Physiol. Biochem. 2019, 142, 202–210. [Google Scholar] [CrossRef] [PubMed]
- Thind, T.S. Changing trends in discovery of new fungicides: A perspective. Indian Phytopathol. 2021, 74, 875–883. [Google Scholar] [CrossRef]
- FAO. Food and Agriculture of the United Nations. Available online: https://www.fao.org/home/en/ (accessed on 22 November 2023).
- Pertot, I.; Caffi, T.; Rossi, V.; Mugnai, L.; Hoffmann, C.; Grando, M.S.; Gary, C.; Lafond, D.; Duso, C.; Thiery, D.; et al. A critical review of plant protection tools for reducing pesticide use on grapevine and new perspectives for the implementation of IPM in viticulture. Crop Prot. 2017, 97, 70–84. [Google Scholar] [CrossRef]
- Savary, S.; Delbac, L.; Rochas, A.; Taisant, G.; Willocquet, L. Analysis of nonlinear relationships in dual epidemics, and its application to the management of grapevine downy and powdery mildews. Phytopathology 2009, 99, 930–942. [Google Scholar] [CrossRef]
- Walters, D.R.; Ratsep, J.; Havis, N.D. Controlling crop diseases using induced resistance: Challenges for the future. J. Exp. Bot. 2013, 64, 1263–1280. [Google Scholar] [CrossRef]
- Lorenz, D.H.; Eichhorn, K.W.; Bleiholder, H.; Klose, R.; Meier, U.; Weber, E. Phänologische entwicklungsstadien der weinrebe (Vitis vinifera L. ssp. vinifera). Codierung und beschreibung nach der erweiterten BBCH-Skala. Wein-Wissenschaft 1994, 49, 66–70. [Google Scholar]
- McKinney, H.H. A new system of grading plant diseases. J. Agric. Res. 1923, 26, 195–218. [Google Scholar]
- Romanazzi, G.; Mancini, V.; Feliziani, E.; Servili, A.; Endeshaw, S.; Neri, D. Impact of alternative fungicides on grape downy mildew control and vine growth and development. Plant Dis. 2016, 100, 739–748. [Google Scholar] [CrossRef]
- Dagostin, S.; Schärer, H.J.; Pertot, I.; Tamm, L. Are there alternatives to copper for controlling grapevine downy mildew in organic viticulture? Crop Prot. 2011, 30, 776–788. [Google Scholar] [CrossRef]
- Hobbelen, P.H.F.; Koolhaas, J.E.; Van Gestel, C.A.M. Bioaccumulation of heavy metals in the earthworms Lumbricus rubellus and Aporrectodea caliginosa in relation to total and available metal concentrations in field soils. Environ. Pollut. 2006, 144, 639–646. [Google Scholar] [CrossRef] [PubMed]
- Komárek, M.; Čadková, E.; Chrastný, V.; Bordas, F.; Bollinger, J.C. Contamination of vineyard soils with fungicides: A review of environmental and toxicological aspects. Environ. Int. 2010, 36, 138–151. [Google Scholar] [CrossRef] [PubMed]
- Vogelweith, F.; Thiery, D. An assessment of the non-target effects of copper on the leaf arthropod community in a vineyard. Biol. Control 2018, 127, 94–100. [Google Scholar] [CrossRef]
- European Commission. Available online: https://food.ec.europa.eu/horizontal-topics/farm-fork-strategy_en (accessed on 2 December 2023).
- Yin, H.; Zhao, X.; Du, Y. Oligochitosan: A plant diseases vaccine—A review. Carbohydr. Polym. 2010, 82, 1–8. [Google Scholar] [CrossRef]
- Burketova, L.; Trda, L.; Ott, P.G.; Valentova, O. Bio-based resistance inducers for sustainable plant protection against pathogens. Biotechnol. Adv. 2015, 33, 994–1004. [Google Scholar] [CrossRef]
- Li, K.; Xing, R.; Liu, S.; Li, P. Chitin and chitosan fragments responsible for plant elicitor and growth stimulator. J. Agric. Food Chem. 2020, 68, 12203–12211. [Google Scholar] [CrossRef]
- Giraldo, J.D.; Garrido-Miranda, K.A.; Schoebitz, M. Chitin and its derivatives: Functional biopolymers for developing bioproducts for sustainable agriculture—A reality? Carbohydr. Polym. 2023, 299, 120196. [Google Scholar] [CrossRef]
- Landi, L.; De Miccolis Angelini, R.M.; Pollastro, S.; Feliziani, E.; Faretra, F.; Romanazzi, G. Global transcriptome analysis and identification of differentially expressed genes in strawberry after preharvest application of benzothiadiazole and chitosan. Front. Plant Sci. 2017, 8, 235. [Google Scholar] [CrossRef]
- Landi, L.; Feliziani, E.; Romanazzi, G. Expression of defense genes in strawberry fruits treated with different resistance inducers. J. Agric. Food Chem. 2014, 62, 3047–3056. [Google Scholar] [CrossRef]
- Romanazzi, G.; Feliziani, E.; Sivakumar, D. Chitosan, a biopolymer with triple action on postharvest decay of fruit and vegetables: Eliciting, antimicrobial and film-forming properties. Front. Microbiol. 2018, 9, 2745. [Google Scholar] [CrossRef]
- Romanazzi, G.; Gabler, F.M.; Margosan, D.; MacKey, B.E.; Smilanick, J.L. Effect of chitosan dissolved in different acids on its ability to control postharvest gray mold of table grape. Phytopathology 2009, 99, 1028–1036. [Google Scholar] [CrossRef] [PubMed]
- Romanazzi, G.; Orçonneau, Y.; Moumni, M.; Davillerd, Y.; Marchand, P.A. Basic substances, a sustainable tool to complement and eventually replace synthetic pesticides in the management of pre and postharvest diseases: Reviewed instructions for users. Molecules 2022, 27, 3484. [Google Scholar] [CrossRef] [PubMed]
- Toffolatti, S.L.; Davillerd, Y.; D’Isita, I.; Facchinelli, C.; Germinara, G.S.; Ippolito, A.; Khamis, Y.; Kowalska, J.; Maddalena, G.; Marchand, P.; et al. Are basic substances a key to sustainable pest and disease management in agriculture? An open field perspective. Plants 2023, 12, 3152. [Google Scholar] [CrossRef] [PubMed]
- Davidsson, P.; Broberg, M.; Kariola, T.; Sipari, N.; Pirhonen, M.; Palva, E.T. Short oligogalacturonides induce pathogen resistance-associated gene expression in Arabidopsis thaliana. BMC Plant Biol. 2017, 17, 19. [Google Scholar] [CrossRef] [PubMed]
- Howlader, P.; Bose, S.K.; Jia, X.; Zhang, C.; Wang, W.; Yin, H. Oligogalacturonides induce resistance in Arabidopsis thaliana by triggering salicylic acid and jasmonic acid pathways against Pst DC3000. Int. J. Biol. Macromol. 2020, 164, 4054–4064. [Google Scholar] [CrossRef]
- Makau, S.M.; Moumni, M.; Landi, L.; Pirozzi, D.; Sannino, F.; Romanazzi, G. In vitro evaluation of chitosan hydrochloride and COS (chito-oligosaccharides)-OGA (oligo-galacturonides) on phytopathogenic fungi and Escherichia coli. Horticulturae 2023, 9, 1275. [Google Scholar] [CrossRef]
- Romanazzi, G.; Piancatelli, S.; Potentini, R.; D’Ignazi, G.; Moumni, M. Applications of chitosan alone, alternated or combined with copper for grapevine downy mildew management in large scale trials. J. Clean. Prod. 2024, 451, 142131. [Google Scholar] [CrossRef]
- van Aubel, G.; Buonatesta, R.; Van Cutsem, P. COS-OGA: A novel oligosaccharidic elicitor that protects grapes and cucumbers against powdery mildew. Crop Prot. 2014, 65, 129–137. [Google Scholar] [CrossRef]
- Calderone, F.; Vitale, A.; Panebianco, S.; Lombardo, M.F.; Cirvilleri, G. COS-OGA applications in organic vineyard manage major airborne diseases and maintain postharvest quality of wine grapes. Plants 2022, 11, 1763. [Google Scholar] [CrossRef]
- Taibi, O.; Fedele, G.; Salotti, I.; Rossi, V. Infection risk-based application of plant resistance inducers for the control of downy and powdery mildews in vineyards. Agronomy 2023, 13, 2959. [Google Scholar] [CrossRef]
- Cabús, A.; Pellini, M.; Zanzotti, R.; Devigili, L.; Maines, R.; Giovannini, O.; Mattedi, L.; Mescalchin, E. Efficacy of reduced copper dosages against Plasmopara viticola in organic agriculture. Crop Prot. 2017, 96, 103–108. [Google Scholar] [CrossRef]
- Prusky, D.; Romanazzi, G. Induced resistance in fruit and vegetables: A host physiological response limiting postharvest disease development. Annu. Rev. Phytopathol. 2023, 61, 279–300. [Google Scholar] [CrossRef] [PubMed]
- Ferri, I.; Bagnalasta, A.; Padula, G.; Sterzi, D.; Westerloppe, L.; Ciofini, S.; Dai Prè, N.; Evangelista, L.; Lozito, F.; Lubraco, G.; et al. Swinglea glutinosa, una nuova sostanza attiva ad azione fungicida a base di un estratto vegetale. In Proceedings of the Giornate Fitopatologiche, Bologna, Italy, 6–9 March 2022; Volume II, pp. 13–22. [Google Scholar]
- Camargo Piñeres, Y.; Zambrano Montenegro, G.; Ortega-Cuadros, M.; Gutierrez Montero, D.J.; Yepes, J.A. In vitro antifungal activity of the essential oil of Swinglea glutinosa Merr against mango (Mangifera indica L.) pathogen Colletotrichum sp. Rev. Colomb. Biotecnol. 2021, 23, 62–71. [Google Scholar] [CrossRef]
- Abd Manaf, M.; Jai, J.; Raslan, R.; Subuki, I.; Mustapa, A.N. Microencapsulation methods of volatile essential oils-a review. Adv. Mater. Res. 2015, 1113, 679–683. [Google Scholar] [CrossRef]
- Cordero-Bueso, G.; Arroyo, T.; Valero, E. A long term field study of the effect of fungicides penconazole and sulfur on yeasts in the vineyard. Int. J. Food Microbiol. 2014, 189, 189–194. [Google Scholar] [CrossRef]
- Garde-Cerdán, T.; Mancini, V.; Carrasco-Quiroz, M.; Servili, A.; Gutiérrez-Gamboa, G.; Foglia, R.; Pérez-Álvarez, E.P.; Romanazzi, G. Chitosan and laminarin as alternatives to copper for Plasmopara viticola control: Effect on grape amino acid. J. Agric. Food Chem. 2017, 65, 7379–7386. [Google Scholar] [CrossRef]
- Nitzko, S.; Bahrs, E.; Spiller, A. Pesticide residues in food and drinking water from the consumer’s perspective: The relevance of maximum residue levels and product-specific differences. Sustain. Prod. Consum. 2022, 30, 787–798. [Google Scholar] [CrossRef]
- Neme, K.; Satheesh, N. Review on pesticide residue in plant food products: Health impacts and mechanisms to reduce the residue levels in food. Arch. Appl. Sci. Res. 2016, 8, 55–60. [Google Scholar]
- Azam, S.R.; Ma, H.; Xu, B.; Devi, S.; Siddique, M.A.B.; Stanley, S.L.; Bhandari, B.; Zhu, J. Efficacy of ultrasound treatment in the removal of pesticide residues from fresh vegetables: A review. Trends Food Sci. Technol. 2020, 97, 417–432. [Google Scholar] [CrossRef]
Disclaimer/Publisher’s Note: The statements, opinions and data contained in all publications are solely those of the individual author(s) and contributor(s) and not of MDPI and/or the editor(s). MDPI and/or the editor(s) disclaim responsibility for any injury to people or property resulting from any ideas, methods, instructions or products referred to in the content. |
© 2024 by the authors. Licensee MDPI, Basel, Switzerland. This article is an open access article distributed under the terms and conditions of the Creative Commons Attribution (CC BY) license (https://creativecommons.org/licenses/by/4.0/).








