Abstract
Permanent grasslands cover more than a third of European agricultural land and are important for a number of ecosystem services. Permanent grasslands used for agriculture are broadly separated into agriculturally improved and semi-natural grasslands. High cultural and natural values linked to semi-natural grasslands are well documented. However, in boreal and hemi-boreal agricultural landscapes, less information is available about the areal coverage of improved permanent grasslands and their role for ecosystem service provision and biodiversity. In Sweden, grasslands are administratively separated into semi-natural (i.e., land that cannot be ploughed) or arable (i.e., improved temporary or permanent grassland on land that can be ploughed). We used data from a large-scale environmental monitoring program to show that improved permanent grassland (i.e., permanent grasslands on arable fields) may be a previously unrecognised large area of the agricultural land use in Sweden. We show that improved permanent grasslands together with semi-natural grasslands are both comparable but also complementary providers of a range of ecosystem services (plant species richness, plant resources for pollinators and forage amount for livestock production). However, as expected, semi-natural grasslands with the highest-level AESs (special values) show high species richness values for vascular plants, plants indicating traditional semi-natural management conditions and red-listed species. Improved permanent grasslands on arable fields are likely an underestimated but integral part of the agricultural economy and ecological function in boreal landscapes that together with high nature value semi-natural grasslands provide a broad range of ecosystem services.
1. Introduction
Agricultural habitats dominate Europe’s land surface [1]. Permanent grassland (PG) covers more than 30% of the European Union’s agricultural area and are linked to a number of ecosystem services [2,3,4]. In Europe, grasslands and mixed agriculture incorporating crops and grasslands have been lauded as important for biodiversity [5,6]. However, declines in the number of livestock farms and the number of grazing animals, coupled with regional land use shifts to either predominantly crop production, predominantly intensive forage production or abandonment of livestock farming altogether, have led to the loss of grasslands and the homogenization of habitats at multiple scales [3,7,8].
European grasslands with a recent history of agricultural use can be separated into semi-natural or agriculturally improved, and these are differentiated from natural grasslands such as steppe and mountain grassland [1,3,9]. Whilst grasslands currently used for agriculture are important habitats for a range of species [10,11,12,13], semi-natural grasslands, including wet grasslands, can be particularly important habitats for wildlife [14,15,16,17,18,19], and nearly 30 grassland types are included in the EU’s Habitats Directive [20]. The natural and cultural heritage value of extensively managed semi-natural grasslands is a major argument for the positive environmental role of farming for provision of ecosystem services and habitats [21,22,23].
Improved PG can be managed intensively for optimal agricultural production or more extensively managed with relatively low levels of agricultural management [24]. Improved PG, even if relatively extensively managed and with only non-recent fertilizer applications, often has a botanical composition that reflects nutrient enrichment and is, therefore, often considered of less ecological value compared to semi-natural grasslands [21,25]. Nonetheless, improved PG could still be used as a habitat for a range of organism groups in farmlands [25,26,27] and could be important for the provision of ecosystem services in varied farmland landscapes [3,21]. The role of improved PG for biodiversity-related ecosystem service provision is less documented than for semi-natural grassland and therefore warrants further study.
Sweden traditionally divides agricultural land into (i) permanent pasture land (betesmark) or (ii) arable land (åkermark), where a broad distinguishing characteristic is the suitability of the land to be ploughed or not [28]. However, this separation can be confusing, especially in light of the EU definition of PG being grass or herbaceous forage for longer than 5 years [29]. A consequence of this EU PG definition is that permanent pastures are found on both ploughable arable land as well as on unploughable semi-natural grassland. These two land uses likely have different management, roles in agricultural production, plant species, and ecosystem service provision potential [9]. For the purpose of this study, we define permanent pasture land (betesmark) as semi-natural PG (although levels of naturalness vary) and permanent grassland on arable fields as improved PG.
Fifteen percent (463,800 hectares) of Sweden’s agricultural land is classed as semi-natural PG (i.e., land that cannot be or is very unlikely to be ploughed). Approximately 200,000 hectares of this area is managed under the higher tier of agri-environment schemes (AESs) for grasslands with special natural and cultural values [30]. Despite having extensive and publicly accessible data on semi-natural PG [31], the total coverage of improved PG in Sweden is currently difficult to determine based on available agricultural statistics, principally because there is rarely a distinction between temporary grassland (hereafter improved TG) in 5–6 year crop rotations and PG (i.e., grass older than five years). Mown or grazed grassland (betes-slåtter-vall) on arable fields is the most common agricultural land use in Sweden and covers about 37% of the agricultural area [32,33] and likely consists of both TG and PG [34].
It is important to investigate the coverage of different types of PG in European boreal landscapes because the provision of ecosystem services and habitats for species likely differs for semi-natural PG, agriculturally improved PG, and improved TG in crop rotations [3,9]. The recent systematic review covering European grasslands by [3] highlighted that PG is important for ecosystem services compared to other alternative land uses. Yet if the total amount and characteristics of PG in Swedish agricultural landscapes is poorly understood it is difficult to fully understand the holistic role that PG has for ecosystem services, biodiversity, and sustainable agriculture. This study presents a unique opportunity to investigate how much PG there is in Sweden independently of land areas that are potentially under-reported in national agricultural statistics. Furthermore, the environmental monitoring data we use is collected independently of preconceived ideas about ecological quality, which allows us to objectively assess ecosystem service indicators calculated for different grassland types. Additionally, the monitoring data offer a unique opportunity to assess if higher-level grassland AESs (for special values) do indeed target more species-rich grasslands compared to the other grassland types surveyed.
The aim of the study was to use independent and large-scale environmental monitoring data to first investigate the relative amounts of improved PG and semi-natural PG in Sweden. Secondly, we used plot-level field data to create flora and vegetation-based ecosystem service indicators. These indicators reflected: (i) cultural and biodiversity values (measured as total species richness, species indicating traditional semi-natural grassland management and red-listed species); (ii) value for pollinators (measured with occurrence of nectar-producing plants); and (iii) value for forage provision for livestock (coverage of grassland vegetation available as forage). We contrasted how each ecosystem service indicator varied among improved PG, semi-natural PG, semi-natural PG with the highest level of grassland AES, and improved TG.
2. Materials and Methods
2.1. Data Used
We used data from the Regional Environmental Monitoring in Landscapes (Remiil) [35] of Sweden, which started in 2009. The results of the monitoring programme are used primarily to follow-up the regional environmental objectives for a rich and varied agricultural landscape and a rich plant and animal life. The Örebro County Administrative Board leads the monitoring program and several other county administrative boards participate. The Swedish University of Agricultural Sciences (SLU) is responsible for fieldwork, aerial photography interpretation, data curation and analysis. The grassland part of the Remiil monitoring programme consists of field surveys at over 1600 sample sites (circle plots with a 3 m radius) in over 300 landscape squares (each 3 km × 3 km) and aerial photography interpretation of polygons in 380 landscape squares covering most biogeographical regions in Sweden (excluding alpine and aquatic habitats).
The data from Remiil used here consist of (i) land use/land cover data from aerial photography interpretation, (ii) data from a complementary and pre-existing GIS overlay analyses of other land use layers (e.g., AES level) and (iii) species/vegetation data from sample plots in grassland objects from a subset of those landscapes used aerial photography interpretation.
2.2. Aerial Photography Interpretation
Aerial photography interpretation follows methods described in [28,36]. Table 1 describes the land categories used for aerial photography interpretation as well as the summarising definitions we use in this study. Distinction between TG or PG on arable land is determined by a combination of vegetation and field layer characteristics (e.g., patchy vegetation patterns vs. homogenous newly sown grass) as well as using multiple aerial photos from multiple years to see if other annual crops have been grown on fields in recent time. Pasture or meadow (defined here as semi-natural PG) is land that shows no indication of being used as a ploughed arable field. Often, visible edaphic conditions (stony/rocky or very wet) are used to discern agricultural history, but even historical land use maps/aerial photos are consulted to determine previous land use (e.g., if used historically for arable crops). Figure 1 shows an example of adjacent areas in a grazed pasture with PG on ploughable arable and semi-natural PG.
Table 1.
Grassland definitions used for area estimates in this study based on aerial photography land-use classifications from environmental monitoring.
Figure 1.
A drone picture showing adjacent examples of PG that after aerial photography interpretation would be considered: (A) improved PG on ploughable arable land (to the left of the ditch) and (B) semi-natural PG on unploughable land (to the right of the ditch). The obvious contrast in vegetation (green grass) either side of the ditch is partly due to a virtual fence experiment excluding cattle from the improved PG to the left of the ditch.
The methods for data collection include mapping of grassland habitats in both arable land and semi-natural land with visual interpretation of high-resolution CIR aerial photographs with 3D stereo view [35,36,37] using DAT/EM Summit Evolution and ArcGIS software.
2.3. Grassland Types Used
For area estimate models, we used two grassland types, namely improved PG and semi-natural PG. These PG types are derived from the classifications used for aerial photography interpretation (Table 1). A slightly different set of grassland types was used for the plot-scale assessment of flora and vegetation-based ecosystem service indicators. For the plot-level analyses, we kept the main categories of improved and semi-natural grassland (Table 1) but we also included information from a previously conducted GIS analysis that indicated if semi-natural PG polygons (and field survey plots therein) overlapped with grassland polygons with “special values” from the agri-environment scheme (AES) data layer from the agricultural board. AESs linked to semi-natural grasslands in Sweden are broadly separated into “special or general” values (see also Berg et al. [14]). At a minimum, eligible pastures should not have been ploughed (but this can be relaxed if ploughing was historical and very unlikely in the future), have vegetation suitable for grazing animals, and do not exceed specified levels of tree and bush cover. To be eligible for the AES for special values, grasslands should also not have been fertilized and should have high cultural or biological values (evaluations are often based on occurrence of species that indicate long continuity of traditional management and/or red-listed species). We separated grasslands by AES level because (i) knowing if higher-level AES target species-rich grasslands is particularly interesting in terms of biodiversity related ecosystem services in agricultural landscapes, and (ii) because many semi-natural grasslands in Sweden are not eligible for the highest level of AES. Therefore, using data from semi-natural grasslands generally without distinguishing between higher value grasslands (when we have the information) could lead to unnecessary unexplained variation in species-based indicators we use. Furthermore, we include temporary grassland (TG) in our models of plot-level data. We included TG because sometimes field workers visit and survey TG fields even if these are not included as a part of monitoring program per se. This happens in instances when it is not completely clear if the grassland is temporary or permanent. Therefore, the TG category should not be seen as representative of all temporary grassland in Sweden. Nonetheless, we include it in the models because it offers insight about the relative importance of the different grassland types we are interested in.
2.4. Ecosystem Service Indicators
- Biodiversity and cultural value indicators. To characterise the plant community at survey plot level we calculated the number of species recorded during the inventories and summed up the total number at each plot. Similarly, the number of grassland specialists (species that indicate traditional semi-natural management conditions) and red-listed species were calculated in the same way using the classifications given by Tyler et al. [38].
- Pollinator resource indicator. To estimate the value of the vegetation for nectar production at each plot, we used the indicator value for “Nectar production” from Tyler et al. [38]. This measure reflects the abundance-weighted average of the indicator value for all vascular plant species present in each plot and was calculated as suggested by Diekmann [39].
- Forage availability for livestock indicator. To estimate forage availability at plot level we calculated the percentage of the plot area without edible vegetation available to livestock and then used the inverse of this measure to reflect the proportion of the plot that was covered by forage. This measure simply reflects how much of the study plot was covered with grassland forage vegetation (i.e., palatable for livestock) and not exposed rocky ground, bare patches, bushes etc.
2.5. Analysis
All statistical analyses were performed in R 4.1.2 (R Development Core Team 2021). Area estimates for Improved PG (arable land with permanent grazing or mowing) and semi-natural (managed pasture or meadow) were conducted in the Survey package, version 4.2 in R [40]. The survey package accounts for complex survey designs such as the stratum-based design of the Remiil environmental monitoring data. Strata are defined as county/region, and additionally weights are defined as N/n × weight factor where N is the population of 5 km × 5 km maps squares, n is the sample of 5 km × 5 km map squares with aerial interpretation from the Remiil program, and the weight factor (25/9) accounts for the fact that surveyed landscape squares are 3 km × 3 km (i.e., 5 km × 5 km landscape squares are 2.7777 times larger than 3 km × 3 km landscape squares).
We individually modelled each ecosystem service indicator response variable: (i) number of plant species, (ii) number of red-listed plant species, (iii) number of semi-natural grassland specialist plant species, (iv) nectar producing plant species and (v) grass forage amount against the 4-level categorical fixed effect “grassland type” in generalised mixed effects models including “region” (factor, 7 levels) as a random intercept (package glmmTMB, version: 1.1.2.9000 [41]). For the models investigating number of species and number of specialist species, we used a Poisson distribution with observation-level random factor to account for overdispersion [42]. In the model for nectar production, we used a normal distribution, and in the model for available forage cover we used a beta distribution (with ‘logit’ link) also accounting for overdispersion with an observation-level random factor. Modelled total species richness patterns were qualitatively similar to models of the number of semi-natural grassland specialist species so we did not include results for those models in the main figure. Species accumulation curves for total species richness for four grassland types were calculated using the accumcomp function from the BiodiversityR package (version 2.15-1 [43]).
All models were checked for under- and overdispersion, zero inflation and suitability of chosen residual distributions using the DHARMa package (version: 0.4.4 [44]), and we detected no violation of the model assumptions. Model outputs were obtained using type 2 sums of squares Wald chi-square tests (command ‘Anova’ from library ‘car’, version: 3.0-12 [45]). Effects sizes were extracted with the effects package (version 4.2-2 [46]) and plotted using the ggplot2 package (version 3.3.3 [47]).
3. Results
3.1. Area of Different PG Types
Using data from aerial photography interpretation in 380 3 km × 3 km landscape squares, we estimated that approximately 453,000 ha of managed PG in Sweden is agriculturally improved, and 246,000 ha is semi-natural (Figure 2). This means that the total area of land managed as permanent grassland in Sweden could be more than three times higher in reality compared to the situation in which only semi-natural grasslands are considered as PG (according to our aerial photo interpretation).
Figure 2.
Design-based total area estimates (ha) with confidence intervals (standard errors × 1.96) based on land use classifications from aerial photography interpretation in 380 3 km × 3 km landscape squares. Estimates and standard errors are calculated with the Survey Package in R.
3.2. Indicators of Ecosystem Service Provision in Different Grassland Types
The species accumulation curves of total vascular plant species richness for our four grassland categories showed a clear difference across grassland types (Figure 3), with the grassland category for AES of special value supporting the highest level of plant species richness. The species accumulation curves followed a similar trajectory for improved PG and semi-natural PG plots from grasslands without special value AESs, indicating similar total species richness in these types across all plots. Species lists with the number of plots where species were registered for each grassland type are available in the Supplementary Materials.
Figure 3.
Species accumulation curves for total vascular plant species richness in survey plots (n = 1621) separated into four grassland types. Higher species richness is observed in the land designated as ‘Special-value’.
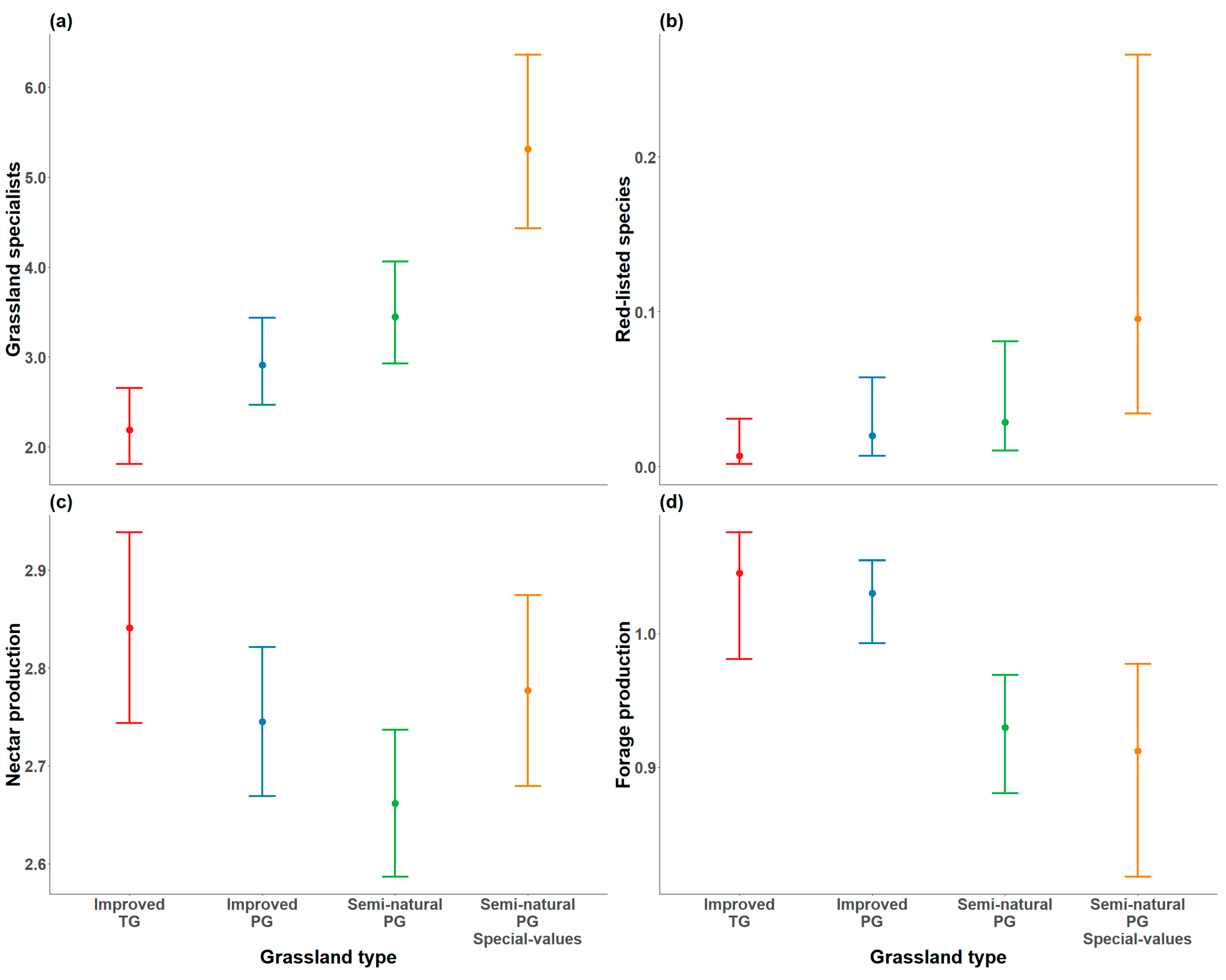
The relative effect sizes from the models of different ecosystem service value indicators in the different grassland types differed depending on which of the ecosystem service indicators was modelled (Figure 4). Models for total species richness (see Figure 3), grassland specialist species indicating traditional management and red-listed species showed that semi-natural grasslands with the highest AES level clearly had the highest occurrence of species from these groups (Figure 3 and Figure 4a,b). However, the difference between semi-natural grassland without the highest AES level and improved permanent grassland was less clear for red-listed species (Figure 4b) and total accumulated species richness (Figure 3). The models for nectar producing plants showed that the two improved grassland types were comparable to or even higher than semi-natural grasslands (Figure 4c). Both improved grassland types (PG and TG) had higher estimated values of forage cover compared to semi-natural grasslands (Figure 4d). Collectively, the different models summarised in Figure 4 show that the relative importance of different grassland types differs markedly in effect size for the ecosystem service indicator response variables. These results suggest that the relative importance of the ecosystem service provision potential of the different PG types depends on which ecosystem services is being considered.
Figure 4.
Four vascular plant community-based biodiversity and ecosystem service indicators in four grassland types reflecting (a) indicator specialist species for semi-natural grasslands, (b) red-listed vascular plant species, (c) nectar producing plants (resource for pollinators), and (d) forage amount (cover of grassland vegetation available for forage). Figures are the result output from separate GLMMs for each indicator calculated using sample plot data from Remill (n = 1621).
4. Discussion
Our study is the first to estimate the relative area of agriculturally improved vs. semi-natural PG in Sweden independently from agricultural land use databases. We show that agriculturally improved PG is likely a significant component of agricultural land use and potentially offers complementary ecosystem service provision to semi-natural grassland types in the hemi-boreal and boreal region. Improved PG was comparable with some semi-natural PG in terms of species richness (total species richness) and for providing resources for pollinators. As expected, but here shown with a large nationwide data set, permanent grasslands that were classified as semi-natural PG with a special value AES clearly had the highest species richness of vascular plants in terms of total species richness, richness of indicator species for semi-natural grasslands and red-listed species (Figure 3 and Figure 4).
Our study reveals that despite having fewer grassland specialist species and red-listed species, improved grasslands (both TG and PG) have comparable or even higher levels of some ecosystem service indicators compared to semi-natural grasslands without an AES for special values. This is most evident in species accumulation curves (Figure 3) where the total accumulated species number for improved PG is similar to semi-natural PG without the special values AES level. Models of nectar-providing plants indicate that improved PG and TG may even be of higher value for providing resources for pollinators compared to semi-natural PG sites without a special value AES (Figure 4c and further discussion below).
4.1. Amount of PG in Sweden
Our results highlighted that the amount of PG in Sweden may not be accurately represented in some available agricultural statistics. For example, Schils et al. [3] includes a map showing that the share of utilised agricultural area (UAA) used as PG in Sweden is in the class of 0–20%. This proportion agrees with the amount of agricultural land classed as semi-natural grassland according to the agricultural board statistical reports [32] and elsewhere [33]. However, we show here that the area of improved PG is almost twice as large as the area of semi-natural PG (Figure 2). Much of this PG area could be missing from the statistics of PG area (such as are shown in Schils et al. [3]) because this land is likely included together with TG on arable fields. Our results are in line with a recent study by Karlsson et al. [34] who estimated that 46% of ley area (i.e., Sweden’s dominant agricultural land use, “vall”) has been under constant ley management for more than 5–7 years and could therefore be classed as PG according to EU definitions.
The purpose of this study is not primarily to delve into agricultural statistics and grassland definitions from a Swedish perspective. Definitions can be important when area statistics are used to describe and compare land use in different regions or countries. For instance, it is likely that the 0–20% utilised agriculture area (UAA) classed as PG in Sweden reported in Schils et al. [3] is semi-natural grassland (not recently improved). In contrast, it is unlikely that the share of PG (80–100% of UAA) in Ireland and the western UK is unimproved, semi-natural grassland. Furthermore, the Swedish Agricultural Board’s definitions of semi-natural grassland may not completely align with our aerial photography interpretation classification because we may adopt a stricter definition of semi-natural grassland. Additional work is needed for detailed investigations of how different grassland definitions in Sweden could affect area estimates of different types of PG.
Our results indicate that in Sweden more efforts are needed to differentiate between arable fields with TG in 5–6-year crop rotations and arable fields with PG (grass older than 5 years). Only then will it be possible to have a holistic view of how much PG is reported in agricultural statistics. This could be especially important because evidently ecosystem services and value for biodiversity differ between improved TG and improved PG (see Figure 3 and Figure 4 and Schils et al. [3]).
4.2. PG Role for Farming, Ecosystem Services and Biodiversity
Our results show that improved PG is likely an under-estimated (in terms of area) and undervalued (in terms of species and ecosystem service provision) land use. Improved PG is potentially complementary to high nature value grasslands in respect to farm production values, some biodiversity values and pollinator resources [9,21]. Semi-natural grasslands with an AES for special values are clearly important for total species richness, indicator species and red-listed species, as previously documented [14,16,19]. We show that improved PG can have comparable values for some ecosystem service indicators compared to semi-natural PG without an AES for special values. Figure 3, for example, shows that improved PG and semi-natural grasslands have similar total species richness, but Figure 4 shows that the number of grassland specialist indicator species is higher in semi-natural grasslands (as expected). These results, taken together, indicate different plant communities in these grassland types and that all types can be important for maintaining landscape-level species richness (gamma diversity) and ecological functions such as pollinator resources (Figure 4). Further research investigating the roles of improved PG on arable land for plant communities and as a habitat for other organism groups is necessary for evaluating the importance of PG for biodiversity in boreal landscapes.
When discussing ecosystem services, however, care is needed so that responsible and balanced conclusions are made regarding the societal and ecological values associated with different land uses [9]. For instance, it has been suggested that the pollinator species that benefit from some farming land use management may not be the species of highest conservation concern [48]. Indeed, our measure of nectar production could be influenced by common plant species such as clover (Trifolium pratense) or vetch (Vicia cracca) that are abundant in improved grasslands and score modest-to-large for nectar production according to Tyler et al. [38]. Common nectar-providing plant species, whilst important as insect resources during certain periods of the year, may not be the resources needed for specialist invertebrate species of particular conservation concern [48]. However, at the landscape scale, common nectar-providing plant species are undeniably important as insect resources during certain periods of the year (early and late in the flowering season) when flower resources are scarce in the landscape [49,50].
Lindborg et al. [21] previously discussed the landscape context value of agriculturally improved grasslands as they relate to the continued management of ecologically valuable semi-natural grasslands. Lindborg et al. [21] did not necessarily differentiate between agriculturally improved TG and improved PG, but they discussed two contrasting viewpoints. First, that agriculturally improved grasslands contribute to thriving rural communities and economically sound agriculture that in turn support the continued management of semi-natural grasslands. Second, and in contrast, it was suggested that more productive improved grasslands in agricultural landscapes could shift grazing and management away from less productive semi-natural grasslands and lead to abandonment or too-low grazing pressure, which then results in the loss of ecologically and culturally valuable grasslands. Here we show that grass (forage) availability is lower in semi-natural grasslands compared to improved grasslands (Figure 4d) which is expected and in line with other studies [51]. It is unlikely that efficient and profitable livestock farming will be sustained by only utilising semi-natural grassland [52] as its forage availability is generally lower compared to improved grassland. Therefore, different types of grassland within a farm and landscape context will likely increase the ability for farmers in boreal regions to sustainably produce profitable animal-based products while promoting landscape-scale biodiversity levels, insect pollination services and other ecosystem services.
5. Conclusions
Agriculturally improved PG and semi-natural PG are two different land uses that fall under the umbrella of the EU’s definition for permanent grassland (grass or herbaceous forage for more than 5 years). In Sweden, the land area used for agriculturally improved PG is mostly reported together with temporary grass leys in crop rotations in agricultural statistics, which makes it difficult to assess how much PG there is. From our area estimates, we conclude that improved PG on ploughable arable fields could be a significant and previously unrecognised share of the total PG area in Sweden.
We conclude that improved PG and semi-natural PG likely provide complementary ecosystem services, and that both can be important in agricultural landscapes because they are together important for biodiversity as resources for pollinators and for producing forage for livestock. Semi-natural grasslands are central for communicating the positive environmental impact of farming. Furthermore, agri-environment payments are important economic incentives for the grazing of valuable grasslands, maintaining open landscapes in many areas of Sweden. Our study, which is based on large-scale monitoring data, collected independently and without prior knowledge of quality as a habitat for species, indicates that species-rich grasslands are being targeted by the highest-level grassland AES in Sweden. This finding is encouraging because at least EUR 70 million (SEK 790,000,000) can be linked to this land area (based on a simplified calculation of a hypothetical one-time payment of the current per hectare rate of SEK 3950 per ha × 200,000 ha with special value AES). We do not claim that AES management interventions increase biodiversity levels, but our results do indicate that AES payments for special values are indeed going to ecologically valuable grassland habitats.
Our results also highlight that improved PG on ploughable arable land has similar levels of vascular plant species richness compared to semi-natural PG (without AES for special values). This is potentially interesting information that can guide future research and the assessment of grassland AES options in Sweden because only semi-natural PG is eligible for grassland AES while PG on ploughable arable land is not. Additional species community analyses (preferably also including other organism groups) based on more detailed grassland type classifications will be needed to fully understand the relative ecological value of improved PG on arable land and also understand if this land use could be included in future biodiversity targeting AES options.
Supplementary Materials
The following supporting information can be downloaded at: https://www.mdpi.com/article/10.3390/agronomy14030567/s1, Table S1: Species list and red-list status for each grassland type ordered by number of sample plot observed.
Author Contributions
Conceptualization, M.H. and A.G.; Formal Analysis, M.H. and G.A.N.; Writing—original draft preparation, M.H. and G.A.N.; All authors contributed to the development and focusing of research questions in the manuscript and reviewed previous drafts. All authors have read and agreed to the published version of the manuscript.
Funding
This research was supported by European Union Horizon 2020 research and innovation programme, under grant agreement 774124, project SUPER-G (Developing Sustainable Permanent Grassland Systems and Policies).
Data Availability Statement
Data from environmental monitoring presented in this study are available on request from A.G.
Acknowledgments
The idea for this study was conceived after farmer and researcher workshops organised for the SUPER-G project and discussions during Remiil project meetings. All participants are thanked for their time and valuable input.
Conflicts of Interest
The authors declare no conflicts of interest.
References
- Tucker, G.M.; Evans, M.I.; BirdLife International (Eds.) Habitats for Birds in Europe: A Conservation Strategy for the Wider Environment; BirdLife Conservation Series; BirdLife International: Cambridge, UK, 1997; ISBN 978-0-946888-32-0. [Google Scholar]
- Bengtsson, J.; Bullock, J.; Egoh, B.; Everson, C.; Everson, T.; O’Connor, T.; O’Farrell, P.; Smith, H.; Lindborg, R. Grasslands—More Important for Ecosystem Services than You Might Think. Ecosphere 2019, 10, e02582. [Google Scholar] [CrossRef]
- Schils, R.L.; Bufe, C.; Rhymer, C.M.; Francksen, R.M.; Klaus, V.H.; Abdalla, M.; Milazzo, F.; Lellei-Kovács, E.; ten Berge, H.; Bertora, C. Permanent Grasslands in Europe: Land Use Change and Intensification Decrease Their Multifunctionality. Agric. Ecosyst. Environ. 2022, 330, 107891. [Google Scholar] [CrossRef]
- Eurostat Share of Main Land Types in Utilised Agricultural Area (UAA) by NUTS 2 Regions (Tai05). Available online: https://data.europa.eu/data/datasets/sbgpcskwluzkdcc5adhja?locale=en (accessed on 5 March 2024).
- Herzon, I.; O’Hara, R.B. Effects of Landscape Complexity on Farmland Birds in the Baltic States. Agric. Ecosyst. Environ. 2007, 118, 297–306. [Google Scholar] [CrossRef]
- Robinson, R.A.; Wilson, J.D.; Crick, H.Q. The Importance of Arable Habitat for Farmland Birds in Grassland Landscapes. J. Appl. Ecol. 2001, 38, 1059–1069. [Google Scholar] [CrossRef]
- Benton, T.G.; Vickery, J.A.; Wilson, J.D. Farmland Biodiversity: Is Habitat Heterogeneity the Key? Trends Ecol. Evol. 2003, 18, 182–188. [Google Scholar] [CrossRef]
- Wretenberg, J.; Lindström, Å.; Svensson, S.; Thierfelder, T.; Pärt, T. Population Trends of Farmland Birds in Sweden and England: Similar Trends but Different Patterns of Agricultural Intensification. J. Appl. Ecol. 2006, 43, 1110–1120. [Google Scholar] [CrossRef]
- Lindborg, R.; Bernués, A.; Hartel, T.; Helm, A.; Bosch, R.R. Ecosystem Services Provided by Semi-Natural and Improved Grasslands–Synergies, Trade-Offs and Bundles. In Grassland at the Heart of Circular and Sustainable Food Systems; European Grassland Federation EGF: Caen, France, 2022; pp. 55–63. [Google Scholar]
- Bruun, M.; Smith, H.G. Landscape Composition Affects Habitat Use and Foraging Flight Distances in Breeding European Starlings. Biol. Conserv. 2003, 114, 179–187. [Google Scholar] [CrossRef]
- Evans, K.L.; Wilson, J.D.; Bradbury, R.B. Effects of Crop Type and Aerial Invertebrate Abundance on Foraging Barn Swallows Hirundo Rustica. Agric. Ecosyst. Environ. 2007, 122, 267–273. [Google Scholar] [CrossRef]
- Piha, M.; Tiainen, J.; Holopainen, J.; Vepsäläinen, V. Effects of Land-Use and Landscape Characteristics on Avian Diversity and Abundance in a Boreal Agricultural Landscape with Organic and Conventional Farms. Biol. Conserv. 2007, 140, 50–61. [Google Scholar] [CrossRef]
- Smith, H.G.; Bruun, M. The Effect of Pasture on Starling (Sturnus vulgaris) Breeding Success and Population Density in a Heterogeneous Agricultural Landscape in Southern Sweden. Agric. Ecosyst. Environ. 2002, 92, 107–114. [Google Scholar] [CrossRef]
- Berg, Å.; Cronvall, E.; Eriksson, Å.; Glimskär, A.; Hiron, M.; Knape, J.; Pärt, T.; Wissman, J.; Żmihorski, M.; Öckinger, E. Assessing Agri-Environmental Schemes for Semi-Natural Grasslands during a 5-Year Period: Can We See Positive Effects for Vascular Plants and Pollinators? Biodivers. Conserv. 2019, 28, 3989–4005. [Google Scholar] [CrossRef]
- Heikkinen, R.K.; Luoto, M.; Virkkala, R.; Rainio, K. Effects of Habitat Cover, Landscape Structure and Spatial Variables on the Abundance of Birds in an Agricultural–Forest Mosaic. J. Appl. Ecol. 2004, 41, 824–835. [Google Scholar] [CrossRef]
- Öckinger, E.; Smith, H.G. Semi-natural Grasslands as Population Sources for Pollinating Insects in Agricultural Landscapes. J. Appl. Ecol. 2007, 44, 50–59. [Google Scholar] [CrossRef]
- Wallander, J.; Isaksson, D.; Lenberg, T. Wader Nest Distribution and Predation in Relation to Man-Made Structures on Coastal Pastures. Biol. Conserv. 2006, 132, 343–350. [Google Scholar] [CrossRef]
- Wilson, J.B.; Peet, R.K.; Dengler, J.; Pärtel, M. Plant Species Richness: The World Records. J. Veg. Sci. 2012, 23, 796–802. [Google Scholar] [CrossRef]
- Żmihorski, M.; Kotowska, D.; Berg, Å.; Pärt, T. Evaluating Conservation Tools in Polish Grasslands: The Occurrence of Birds in Relation to Agri-Environment Schemes and Natura 2000 Areas. Biol. Conserv. 2016, 194, 150–157. [Google Scholar] [CrossRef]
- Halada, L.; Evans, D.; Romão, C.; Petersen, J.-E. Which Habitats of European Importance Depend on Agricultural Practices? Biodivers. Conserv. 2011, 20, 2365–2378. [Google Scholar] [CrossRef]
- Lindborg, R.; Bengtsson, J.; Berg, Å.; Cousins, S.A.; Eriksson, O.; Gustafsson, T.; Hasund, K.P.; Lenoir, L.; Pihlgren, A.; Sjödin, E. A Landscape Perspective on Conservation of Semi-Natural Grasslands. Agric. Ecosyst. Environ. 2008, 125, 213–222. [Google Scholar] [CrossRef]
- Röös, E.; Patel, M.; Spångberg, J.; Carlsson, G.; Rydhmer, L. Limiting Livestock Production to Pasture and By-Products in a Search for Sustainable Diets. Food Policy 2016, 58, 1–13. [Google Scholar] [CrossRef]
- Röös, E.; Ekelund, L.; Tjärnemo, H. Communicating the Environmental Impact of Meat Production: Challenges in the Development of a Swedish Meat Guide. J. Clean. Prod. 2014, 73, 154–164. [Google Scholar] [CrossRef]
- Vickery, J.; Tallowin, J.; Feber, R.; Asteraki, E.; Atkinson, P.; Fuller, R.; Brown, V. The Management of Lowland Neutral Grasslands in Britain: Effects of Agricultural Practices on Birds and Their Food Resources. J. Appl. Ecol. 2001, 38, 647–664. [Google Scholar] [CrossRef]
- Pärt, T.; Söderström, B. Conservation Value of Semi-natural Pastures in Sweden: Contrasting Botanical and Avian Measures. Conserv. Biol. 1999, 13, 755–765. [Google Scholar] [CrossRef]
- Francksen, R.M.; Turnbull, S.; Rhymer, C.M.; Hiron, M.; Bufe, C.; Klaus, V.H.; Newell-Price, P.; Stewart, G.; Whittingham, M.J. The Effects of Nitrogen Fertilisation on Plant Species Richness in European Permanent Grasslands: A Systematic Review and Meta-Analysis. Agronomy 2022, 12, 2928. [Google Scholar] [CrossRef]
- Hiron, M.; Berg, Å.; Eggers, S.; Pärt, T. Are Farmsteads Over-Looked Biodiversity Hotspots in Intensive Agricultural Ecosystems? Biol. Conserv. 2013, 159, 332–342. [Google Scholar] [CrossRef]
- Glimskär, A.; Skånes, H. Land Type Categories as a Complement to Land Use and Land Cover Attributes in Landscape Mapping and Monitoring. In Land Use and Land Cover Semantics—Principles, Best Practices and Prospects; CLC Press/Taylor Fr.: Boca Raton, FL, USA, 2015. [Google Scholar]
- EU Commission Regulation (EC) No 796/2004 of 21 April 2004 Laying down Detailed Rules for the Implementation of Cross-Compliance, Modulation and the Integrated Administration and Control System Provided for in of Council Regulation (EC) No 1782/2003 Establishing Common Rules for Direct Support Schemes under the Common Agricultural Policy and Establishing Certain Support Schemes for Farmers. 2004. Available online: https://op.europa.eu/en/publication-detail/-/publication/5fb699ea-8fa5-4ec4-b4db-519b91d65e72 (accessed on 5 March 2024).
- Ett rikt odlingslandskap—Fördjupad utvärdering 2023; Rapport 2022:17; Jordbruksverket: Jönköping, Sweden, 2022.
- Hultgren, J.; Hiron, M.; Glimskär, A.; Bokkers, E.A.; Keeling, L.J. Environmental Quality and Compliance with Animal Welfare Legislation at Swedish Cattle and Sheep Farms. Sustainability 2022, 14, 1095. [Google Scholar] [CrossRef]
- Sweden, S. Jordbruksstatistisk Sammanställning 2019 Med Data Om Livsmedel–Tabeller [Agricultural Statistics 2019 Including Food Statistics–Tables]; Statistics Sweden; Agriculture and Energy Statistics Unit: Örebro, Sweden, 2020. [Google Scholar]
- Svenska Vallföreningen Svenska Vallbrev. 2019. Available online: http://www.svenskavall.se/DynamicFiles/ContentFiles/00003754/Vall-och-betesdrift-sartryck-2019.pdf (accessed on 5 March 2024).
- Karlsson, J.; Einarsson, R.; Tidåker, P. Vallens Roll i Hållbara Livsmedelssystem—Hur Välintegrerad Är Vallen i Växtodlingssystemen? In Proceedings of the Vallkonferens 2023, Institutionen för Växtproduktionsekologi, Sveriges lantbruksuniversitet, Uppsala, Sweden, 7–8 February 2023. [Google Scholar]
- Lundin, A.; Kindström, M.; Glimskär, A. Metodik för Regional Miljöövervakning av Gräsmarker och Våtmarker 2015–2020; Länsstyrelsen i Örebro län: Örebro, Sweden, 2016. [Google Scholar]
- Ihse, M. Colour Infrared Aerial Photography as a Tool for Vegetation Mapping and Change Detection in Environmental Studies of Nordic Ecosystems: A Review. Nor. Geogr. Tidsskr.-Nor. J. Geogr. 2007, 61, 170–191. [Google Scholar] [CrossRef]
- Cousins, S.A.; Ihse, M. A Methodological Study for Biotope and Landscape Mapping Based on CIR Aerial Photographs. Landsc. Urban Plan. 1998, 41, 183–192. [Google Scholar] [CrossRef]
- Tyler, T.; Herbertsson, L.; Olofsson, J.; Olsson, P.A. Ecological Indicator and Traits Values for Swedish Vascular Plants. Ecol. Indic. 2021, 120, 106923. [Google Scholar] [CrossRef]
- Diekmann, M. Species Indicator Values as an Important Tool in Applied Plant Ecology—A Review. Basic Appl. Ecol. 2003, 4, 493–506. [Google Scholar] [CrossRef]
- Lumley, T. Analysis of Complex Survey Samples. J. Stat. Softw. 2004, 9, 1–19. [Google Scholar] [CrossRef]
- Brooks, M.E.; Kristensen, K.; Van Benthem, K.J.; Magnusson, A.; Berg, C.W.; Nielsen, A.; Skaug, H.J.; Machler, M.; Bolker, B.M. glmmTMB Balances Speed and Flexibility among Packages for Zero-Inflated Generalized Linear Mixed Modeling. R J. 2017, 9, 378–400. [Google Scholar] [CrossRef]
- Harrison, X.A. Using Observation-Level Random Effects to Model Overdispersion in Count Data in Ecology and Evolution. PeerJ 2014, 2, e616. [Google Scholar] [CrossRef] [PubMed]
- Kindt, R.; Coe, R. Tree Diversity Analysis: A Manual and Software for Common Statistical Methods for Ecological and Biodiversity Studies; World Agroforestry Centre: Nairobi, Kenya, 2005; ISBN 92-9059-179-X. [Google Scholar]
- Hartig, F. Residual Diagnostics for Hierarchical (Multi-Level/Mixed) Regression Models. R Package Version 0.4.6. 2022. Available online: http://florianhartig.github.io/DHARMa/ (accessed on 5 March 2024).
- Fox, J.; Weisberg, S. An R Companion to Applied Regression, 3rd ed.; Sage Publications: New York, NY, USA, 2019. [Google Scholar]
- Fox, J. Effect Displays in R for Generalised Linear Models. J. Stat. Softw. 2003, 8, 1–27. [Google Scholar] [CrossRef]
- Wickham, H. Ggplot2; Use R! Springer International Publishing: Cham, Switzerland, 2016; ISBN 978-3-319-24275-0. [Google Scholar]
- Kleijn, D.; Winfree, R.; Bartomeus, I.; Carvalheiro, L.G.; Henry, M.; Isaacs, R.; Klein, A.-M.; Kremen, C.; M’gonigle, L.K.; Rader, R. Delivery of Crop Pollination Services Is an Insufficient Argument for Wild Pollinator Conservation. Nat. Commun. 2015, 6, 7414. [Google Scholar] [CrossRef] [PubMed]
- Riedinger, V.; Renner, M.; Rundlöf, M.; Steffan-Dewenter, I.; Holzschuh, A. Early Mass-Flowering Crops Mitigate Pollinator Dilution in Late-Flowering Crops. Landsc. Ecol. 2014, 29, 425–435. [Google Scholar] [CrossRef]
- Riggi, L.G.; Lundin, O.; Berggren, Å. Mass-Flowering Red Clover Crops Have Positive Effects on Bumblebee Richness and Diversity after Bloom. Basic Appl. Ecol. 2021, 56, 22–31. [Google Scholar] [CrossRef]
- Spörndly, E.; Glimskär, A. Grazing Livestock and Stocking Rate in Swedish Semi-Natural Pastures; Report; Department of Animal Nutrition and Management, Swedish University of Agricultural Sciences: Uppsala, Sweden, 2018. [Google Scholar]
- Jamieson, A.; Hessle, A. Hinder Och Möjligheter För Ökad Naturbetesdrift Ur Ett Lantbrukarperspektiv: En Kunskapsöversikt; SustAinimal Report; Department of Animal Nutrition and Management, Swedish University of Agricultural Sciences: Uppsala, Sweden, 2021. [Google Scholar]
Disclaimer/Publisher’s Note: The statements, opinions and data contained in all publications are solely those of the individual author(s) and contributor(s) and not of MDPI and/or the editor(s). MDPI and/or the editor(s) disclaim responsibility for any injury to people or property resulting from any ideas, methods, instructions or products referred to in the content. |
© 2024 by the authors. Licensee MDPI, Basel, Switzerland. This article is an open access article distributed under the terms and conditions of the Creative Commons Attribution (CC BY) license (https://creativecommons.org/licenses/by/4.0/).



