Effect of Different Nitrogen Levels on Water and Nitrate Distribution in Aeolian Sandy Soil under Drip Irrigation
Abstract
1. Introduction
2. Materials and Methods
2.1. Experimental Site
2.2. Description of the Experiment
2.3. Irrigation Management
2.4. Agronomic Practices
2.5. Sampling and Chemical Analysis
2.6. Statistical Analysis
3. Results
3.1. Rainfall and Evaporation
3.2. Soil Water Distribution Characteristics
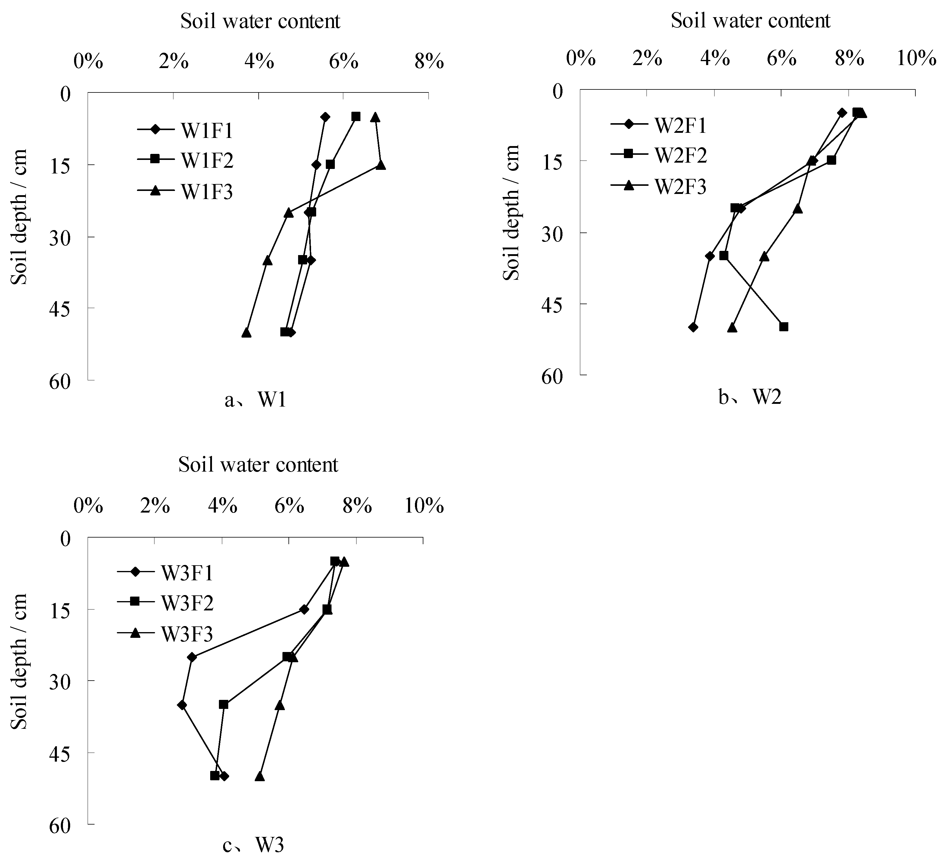
3.2.1. Soil Water Distribution in the Profile
3.2.2. Changes in Soil Water in the Horizontal Direction
3.2.3. Changes in Soil Water in the Vertical Direction
3.3. Nitrate Nitrogen Distribution Characteristics
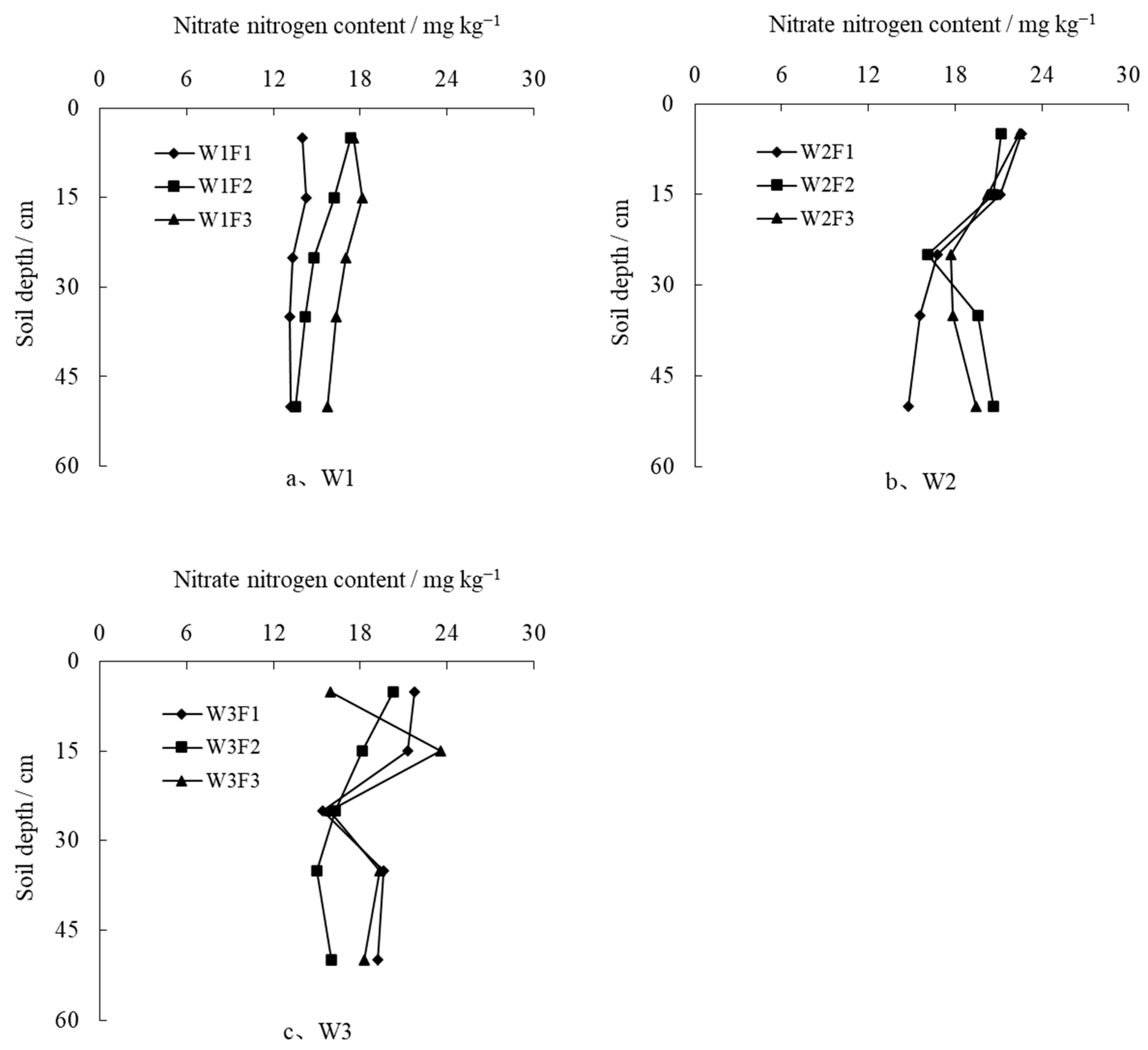
3.3.1. Distribution of Nitrate Nitrogen in the Profile
3.3.2. Changes in Nitrate Nitrogen in the Horizontal Direction
3.3.3. Changes in Nitrate Nitrogen in the Vertical Direction
3.4. Correlation Analysis of Water and Fertilizer Distribution
4. Discussion
5. Conclusions
- (1)
- Increasing nitrogen application was conducive to holding more water in the soil profile. When less water was irrigated, the uniformity of the water distribution decreased with an increase in the nitrogen application. When irrigation water increased, a higher nitrogen application led to more uniformly distributed water. Increasing nitrogen application was beneficial for improving the soil water content with distance away from the drip emitter, but the effect was not obvious under the conditions of lower irrigation amounts.
- (2)
- Increasing the nitrogen application increased the nitrate nitrogen content in the soil profile, and made more nitrate nitrogen move upward to the surface layer and downward to the deeper layer. However, this increasing trend would be weakened as the irrigation water increased. Under low water conditions, nitrate nitrogen mostly distributed directly under the drip emitter. Increasing the nitrogen application also had a positive effect on the nitrate nitrogen content along both the horizontal and vertical directions, but this effect declined with an increase in irrigation water.
- (3)
- There was no significant correlation between the average soil water content and nitrate nitrogen content along the horizontal direction. However, in the vertical direction, the soil water content was positively correlated with the nitrate nitrogen content. Increasing the nitrogen application enhanced the correlation under low water conditions, while under medium and high water conditions, the correlation decreased.
Author Contributions
Funding
Data Availability Statement
Conflicts of Interest
References
- Yahaya, M.S.; Mahmud, A.A.; Abdullahi, M.; Haruna, A. Recent advances in the chemistry of nitrogen, phosphorus and potassium as fertilizers in soil: A review. Pedosphere 2023, 33, 385–406. [Google Scholar] [CrossRef]
- Liu, X.J.; Zhang, Y.; Han, W.X.; Tang, A.H.; Shen, J.L.; Cui, Z.L.; Vitousek, P.; Erisman, J.W.; Goulding, K.; Christie, P.; et al. Enhanced Nitrogen Deposition over China. Nature 2013, 494, 459–462. [Google Scholar] [CrossRef] [PubMed]
- Zhou, J.Y.; Gu, B.J.; Schlesinger, W.H.; Ju, X.T. Significant accumulation of nitrate in Chinese semi-humid croplands. Sci. Rep. 2016, 6, 25088. [Google Scholar] [CrossRef] [PubMed]
- Sigler, W.A.; Ewing, S.A.; Jones, C.A.; Payn, R.A.; Brookshire, E.N.; Klassen, J.K.; Jackson-Smith, D.; Weissmann, G.S. Connections among soil, ground, and surface water chemistries characterize nitrogen loss from an agricultural landscape in the upper Missouri River Basin. J. Hydrol. 2018, 556, 247–261. [Google Scholar] [CrossRef]
- Cameron, K.C.; Di, H.J.; Moir, J.L. Nitrogen losses from the soil/plant system: A review. Ann. Appl. Biol. 2013, 162, 145–173. [Google Scholar] [CrossRef]
- Alva, A.K.; Paramasivam, S.; Fares, A.; Delgado, J.A.; Mattos, D., Jr.; Sajwan, K.S. Nitrogen and irrigation management practices to improve nitrogen uptake efficiency and minimize leaching losses. J. Crop Improv. 2006, 15, 369–420. [Google Scholar] [CrossRef]
- Liu, Y.; Li, J.; Li, Y. Effects of split fertigation rates on the dynamics of nitrate in soil and the yield of mulched drip-irrigated maize in the sub-humid region. Appl. Eng. Agric. 2015, 31, 103–117. [Google Scholar] [CrossRef]
- Ayankojo, T.I.; Morgan, T.K.; Mahmoud, K. Evaluation of soil water and nitrogen distribution by site-specific irrigation scheduling method in tomato crop grown on sandy soil. Soil Sci. Soc. Am. J. 2019, 83, 761–771. [Google Scholar] [CrossRef]
- Alva, A.K.; Paramasivam, S.; Graham, W.D.; Wheaton, T.A. Best nitrogen and irrigation management practices for citrus production in sandy soils. Water Air Soil Pollut. 2003, 143, 139–154. [Google Scholar] [CrossRef]
- Cheng, Y.; Zhang, T.B.; Hu, X.L.; Liu, Z.Y.; Liang, Q.; Yan, S.H.; Feng, H.; Siddique KH, M. Drip fertigation triggered by soil matric potential reduces residual soil nitrate content and improves maize nitrogen uptake and yield stability in an arid area. Eur. J. Agron. 2023, 150, 126932. [Google Scholar] [CrossRef]
- Basso, B.; Ritchie, J.T.; Cammarano, D.; Sartori, L. A strategic and tactical management approach to select optimal N fertilizer rates for wheat in a spatially variable field. Eur. J. Agron. 2011, 35, 215–222. [Google Scholar] [CrossRef]
- Wang, H.Y.; Zhang, Y.T.; Chen, A.Q.; Liu, H.B.; Zhai, L.M.; Lei, B.K.; Ren, T.Z. An optimal regional nitrogen application threshold for wheat in the North China Plain considering yield and environmental effects. Field Crops Res. 2017, 207, 52–61. [Google Scholar] [CrossRef]
- Ma, Q.; Qian, Y.S.; Yu, Q.Q.; Cao, Y.F.; Tao, R.R.; Zhu, M.; Ding, J.F.; Li, C.Y.; Guo, W.S.; Zhu, X.K. Controlled-release nitrogen fertilizer application mitigated N losses and modified microbial community while improving wheat yield and N use efficiency. Agric. Ecosyst. Environ. 2023, 349, 108445. [Google Scholar] [CrossRef]
- Su, N.; Ronga, X.M.; Xie, G.X.; Chang, T.; Zhang, Y.P.; Peng, J.W.; Luo, G.W. Effectiveness of a 10-year continuous reduction of controlled-release nitrogen fertilizer on production, nitrogen loss and utilization of double-cropping rice. Sci. Total Environ. 2024, 912, 168857. [Google Scholar] [CrossRef]
- Davenport, J.; Stevens, R.; Whitley, K. Spatial and temporal distribution of soil moisture in drip-irrigated vineyards. HortScience 2008, 43, 229–235. [Google Scholar] [CrossRef]
- Zheng, J.H.; Huang, G.H.; Jia, D.D.; Wang, J.; Mota, M.; Pereira, L.S.; Huang, Q.Z.; Xu, X.; Liu, H.J. Responses of drip irrigated tomato (Solanumly copersicum L.) yield, quality and water productivity to various soil matric potential thresholds in an arid region of Northwest China. Agric. Water Manag. 2013, 129, 181–193. [Google Scholar] [CrossRef]
- Liu, C.Y.; Wang, R.; Wang, W.N.; Hu, X.T.; Cheng, Y.; Liu, F.L. Effect of fertilizer solution concentrations on filter clogging in drip fertigation systems. Agric. Water Manag. 2021, 250, 106829. [Google Scholar] [CrossRef]
- Wu, Y.; Yan, S.C.; Fan, J.L.; Zhang, F.C.; Zheng, J.; Guo, J.J.; Xiang, Y.Z. Combined application of soluble organic and chemical fertilizers in drip fertigation improves nitrogen use efficiency and enhances tomato yield and quality. J. Sci. Food Agric. 2020, 100, 5422–5433. [Google Scholar] [CrossRef]
- Wang, D.; Li, G.Y.; Mo, Y.; Cai, M.K.; Bian, X.Y. Evaluation of optimal nitrogen rate for corn production under mulched drip fertigation and economic benefits. Field Crop Res. 2018, 216, 225–233. [Google Scholar] [CrossRef]
- Jayakumar, M.; Janapriya, S.; Surendran, U. Effect of drip fertigation and polythene mulching on growth and productivity of coconut (Cocos nucifera L.) water, nutrient use efficiency and economic benefits. Agric. Water Manag. 2017, 182, 87–93. [Google Scholar] [CrossRef]
- Zhang, F.S.; Cui, Z.L.; Fan, M.S.; Zhang, W.F.; Chen, X.P.; Jiang, R.F. Integrated soil-crop system management: Reducing environmental risk while increasing crop productivity and improving nutrient use efficiency in China. J. Environ. Qual. 2011, 40, 1051–1057. [Google Scholar] [CrossRef] [PubMed]
- Selim, T.; Bouksila, F.; Berndtsson, R.; Persson, M. Soil water and salinity distribution under different treatments of drip irrigation. Soil Sci. Soc. Am. J. 2013, 77, 1144–1156. [Google Scholar] [CrossRef]
- Selim, T.; Berndtsson, R.; Persson, M. Simulation of soil water and salinity distribution under surface drip irrigation. Irrig. Drain. 2013, 62, 352–362. [Google Scholar] [CrossRef]
- Li, J.S.; Zhang, J.J.; Ren, L. Water and nitrogen distribution as affected by fertigation of ammonium nitrate from a point source. Irrig. Sci. 2003, 22, 19–30. [Google Scholar] [CrossRef]
- Zhou, F.; Xi, Q.L.; Xue, G.; Xu, S.X.; Yang, T.Z. Effects of different fertigation strategies on soil water and salt movement and redistribution in tobacco-growing soil. Water Sav. Irrig. 2023, 11, 99–106, 114, (In Chinese with English Abstract). [Google Scholar] [CrossRef]
- Wei, X.D.; Yin, J.; Hu, P.C.; Su, Z.J. Study on soil water movement under the condition of drip irrigation and fertilization. Water Sav. Irrig. 2020, 10, 41–46, 50, (In Chinese with English Abstract). [Google Scholar]
- Zhao, Y.B.; Yin, J.; Yin, L. A study on soil moisture change under drip irrigation. Water Sav. Irrig. 2018, 5, 5–11, (In Chinese with English Abstract). [Google Scholar]
- Yan, D.Z.; Wang, D.J.; Lin, J.H. Effects of fertilizer-N application rate on soil N supply, rice N uptake and groundwater in Taihu region. Acta Pedol. Sin. 2005, 42, 440–446, (In Chinese with English abstract). [Google Scholar]
- Flynn, N.E.; Comas, L.H.; Stewart, C.E.; Fonte, S.J. Deficit irrigation drives maize root distribution and soil microbial communities with implications for soil carbon dynamics. Soil Sci. Soc. Am. J. 2021, 85, 412–422. [Google Scholar] [CrossRef]
- Comas, L.H.; Becker, S.R.; Cruz VM, V.; Byrne, P.F.; Dierig, D.A. Root traits contributing to plant productivity under drought. Front. Plant Sci. 2013, 4, 442. [Google Scholar] [CrossRef]
- Sampathkumar, T.; Pandian, B.J.; Mahimairaja, S. Soil moisture distribution and root characters as influenced by deficit irrigation through drip system in cotton-maize cropping sequence. Agric. Water Manag. 2012, 103, 43–53. [Google Scholar] [CrossRef]
- Guo, Y.F.; Mi, G.H.; Chen, F.J.; Zhang, F.S. Effect of NO3−-N supply on lateral root growth in maize plants. J. Plant Physiol. Mol. Biol. 2005, 31, 90–96, (In Chinese with English Abstract). [Google Scholar]
- Chen, Y.L.; Zhang, J.; Li, Q.; He, X.L.; Su, X.P.; Chen, F.J.; Yuan, L.X.; Mi, G.H. Effects of nitrogen application on post-silking root senescence and yield of maize. Agron. J. 2015, 107, 835–842. [Google Scholar] [CrossRef]
- Feng, G.Z.; Zhang, Y.J.; Chen, Y.L.; Li, Q.; Chen, F.J.; Gao, Q. Effects of nitrogen application on root length and grain yield of rain-fed maize under different soil types. Agron. J. 2016, 108, 1656–1665. [Google Scholar] [CrossRef]
- Hansel, F.D.; Amado, T.J.; Diaz DA, R.; Rosso, L.H.M.; Nicoloso, F.T.; Schorr, M. Phosphorus Fertilizer Placement and Tillage Affect Soybean Root Growth and Drought Tolerance. Agron. J. 2017, 109, 2936–2944. [Google Scholar] [CrossRef]
- Liu, X.S.; Zhao, J.W.; Liu, J.Y.; Lu, W.H.; Ma, C.H.; Gu, X.L. Water-phosphorus coupling enhances fine root turnover and dry matter yield of alfalfa under drip irrigation. Agron. J. 2021, 113, 4161–4175. [Google Scholar] [CrossRef]
- Li, J.; Zhang, J.; Rao, M. Wetting patterns and nitrogen distributions as affected by fertigation strategies from a surface point source. Agric. Water Manag. 2004, 67, 89–104. [Google Scholar] [CrossRef]
- Liu, X.Y.; He, P.; Jin, J.Y.; Zhou, W.; Sulewski, G.; Phillips, S. Yield gaps, indigenous nutrient supply, and nutrient use efficiency of wheat in China. Agron. J. 2011, 103, 1452–1463. [Google Scholar] [CrossRef]
- Xu, X.P.; Liu, X.Y.; He, P.; Johnston, A.M.; Zhao, S.C.; Qiu, S.J.; Zhou, W. Yield gap, indigenous nutrient supply and nutrient use efficiency for maize in China. PLoS ONE 2017, 10, 0140767. [Google Scholar] [CrossRef]
- Ju, X.T.; Xing, G.X.; Chen, X.P.; Zhang, F.S. Reducing environmental risk by improving N management in intensive Chinese agricultural systems. Proc. Natl. Acad. Sci. USA 2009, 106, 3041–3046. [Google Scholar] [CrossRef]
- Cui, Z.L.; Wang, G.L.; Yue, S.C.; Wu, L.; Zhang, W.F.; Zhang, F.S.; Chen, X.P. Closing the N-use efficiency gap to achieve food and environmental security. Environ. Sci. Technol. 2014, 48, 5780–5787. [Google Scholar] [CrossRef] [PubMed]
- Yang, M.J.; Lv, X.; Hou, Z.A.; Chen, J.; Zhang, Z. Distribution of Nitrate Nitrogen in Different Soil Layers under Drip Fertigation. Xinjiang Agric. Sci. 2013, 50, 875–881. [Google Scholar]
- Li, J.S.; Ji, H.Y.; Li, B.; Liu, Y.C. Wetting patterns and nitrate distributions in layered-textural soils under drip irrigation. Agric. Sci. China 2007, 6, 970–980. [Google Scholar] [CrossRef]
- Wang, Z.; Li, J.S.; Li, Y.F. Simulation of nitrate leaching under varying drip system uniformities and precipitation patterns during the growing season of maize in the North China Plain. Agric. Water Manag. 2014, 142, 19–28. [Google Scholar] [CrossRef]
- Clothier, B.E.; Sauer, T.J. Nitrogen transport during drip fertigation with urea. Soil Sci. Soc. Am. J. 1988, 52, 345–349. [Google Scholar] [CrossRef]
- Kadyampakeni, D.M.; Morgan, K.T.; Schumann, A.W.; Nkedi-Kizza, P.; Mahmoud, K. Ammonium and nitrate distribution in the soil using drip and microsprinkler irrigation for citrus production. Soil Sci. Soc. Am. J. 2014, 78, 645–654. [Google Scholar] [CrossRef]







| Treatment | W1F1 | W1F2 | W1F3 | W2F1 | W2F2 | W2F3 | W3F1 | W3F2 | W3F3 | |
|---|---|---|---|---|---|---|---|---|---|---|
| Horizontal direction | Correlation coefficient | −0.209 | −0.580 | −0.453 | 0.345 | −0.769 | 0.735 | 0.172 | 0.195 | −0.005 |
| p value | 0.735 | 0.306 | 0.443 | 0.570 | 0.128 | 0.157 | 0.782 | 0.754 | 0.993 | |
| Vertical direction | Correlation coefficient | 0.683 | 0.993 ** | 0.947 * | 0.998 ** | 0.706 | 0.678 | 0.767 | 0.866 | 0.081 |
| p value | 0.204 | 0.001 | 0.015 | 0.000 | 0.183 | 0.209 | 0.130 | 0.058 | 0.897 | |
| Soil profile | Correlation coefficient | 0.312 | 0.195 | 0.235 | 0.722 ** | 0.259 | 0.403 * | 0.421 * | 0.469 * | 0.134 |
| p value | 0.129 | 0.351 | 0.258 | 0.000 | 0.212 | 0.046 | 0.036 | 0.018 | 0.524 | |
Disclaimer/Publisher’s Note: The statements, opinions and data contained in all publications are solely those of the individual author(s) and contributor(s) and not of MDPI and/or the editor(s). MDPI and/or the editor(s) disclaim responsibility for any injury to people or property resulting from any ideas, methods, instructions or products referred to in the content. |
© 2024 by the authors. Licensee MDPI, Basel, Switzerland. This article is an open access article distributed under the terms and conditions of the Creative Commons Attribution (CC BY) license (https://creativecommons.org/licenses/by/4.0/).
Share and Cite
Dou, C.; Sun, Y. Effect of Different Nitrogen Levels on Water and Nitrate Distribution in Aeolian Sandy Soil under Drip Irrigation. Agronomy 2024, 14, 798. https://doi.org/10.3390/agronomy14040798
Dou C, Sun Y. Effect of Different Nitrogen Levels on Water and Nitrate Distribution in Aeolian Sandy Soil under Drip Irrigation. Agronomy. 2024; 14(4):798. https://doi.org/10.3390/agronomy14040798
Chicago/Turabian StyleDou, Chaoyin, and Yidi Sun. 2024. "Effect of Different Nitrogen Levels on Water and Nitrate Distribution in Aeolian Sandy Soil under Drip Irrigation" Agronomy 14, no. 4: 798. https://doi.org/10.3390/agronomy14040798
APA StyleDou, C., & Sun, Y. (2024). Effect of Different Nitrogen Levels on Water and Nitrate Distribution in Aeolian Sandy Soil under Drip Irrigation. Agronomy, 14(4), 798. https://doi.org/10.3390/agronomy14040798
