Next Article in Journal
Genome-Wide Association Analysis of Active Accumulated Temperature versus Flowering Time in Soybean [Glycine max (L.) Merr.]
Next Article in Special Issue
From Residue to Resource: A Physicochemical and Microbiological Analysis of Soil Microbial Communities through Film Mulch-Enhanced Rice Straw Return Strategies
Previous Article in Journal
Development of a Mango-Grading and -Sorting System Based on External Features, Using Machine Learning Algorithms
Previous Article in Special Issue
Enzymatic Activity in Different Crop Succession Systems in the Cerrado Region
 
 
Font Type:
Arial Georgia Verdana
Font Size:
Aa Aa Aa
Line Spacing:
Column Width:
Background:
Article

Changes in the Rhizosphere Biome Depending on the Variety of Wheat, Timing of Its Growing Season, and Agrochemical Components in the Soils of Italy

by
Tommaso Bardelli
1,
Flavio Fornasier
2,3,
Elena Novarina
1,
Antonella Donniacuo
1,
Elio Romano
4,
Pier Giacomo Bianchi
1 and
Anna Pia Maria Giulini
1,*
1
Research Centre for Plant Protection and Certification, Via G. Venezian 22, 20133 Milan, Italy
2
Research Centre for Viticulture and Enology, Via Trieste 23, 34170 Gorizia, Italy
3
SOLIomics srl, Via del Cotonificio 129b, 33100 Udine, Italy
4
Research Centre for Engineering and Agro-Food-Processing, Via Milano 47, 24047 Treviglio, Italy
*
Author to whom correspondence should be addressed.
Agronomy 2024, 14(4), 832; https://doi.org/10.3390/agronomy14040832
Submission received: 27 March 2024 / Revised: 11 April 2024 / Accepted: 15 April 2024 / Published: 17 April 2024

Abstract

The purpose of this research is to investigate the interactions among wheat varieties and microorganisms within rhizosphere and how conventional agriculture affects these dynamics during the growing season. Indeed, little is known about how commercial bread varieties modulate root exudates and how agrochemicals affect the microbiological processes. Therefore, this study investigated the changes in soil microbiological features such as enzyme activities (β-glucosidase, xylosidase, glucoronidase, chitinase, leucine-aminopeptidase, acid and alkaline phosphomonoesterases, inositol phosphatase, phosphodiesterase, pyrophosphatase–phosphodiesterase, arylsulphatase) and microbial biomass as a function of treatment (fungicides and plant growth regulator—PGR) and wheat varieties (Skyfall, SY Moisson, Aquilante, Bandera, Tintoretto, Antille, and Bologna) at the sowing, heading, and harvesting stage. A total of 168 samples (2 treatments × 7 varieties × 3 field replicates × 4 sub-samples taken in each plot) were collected in each period and analyzed. We found that soil microbial biomass was a sensible indicator in the fungicide/PGR application, with reduced values in treated plots at the heading. At this stage, the soil enzymatic activities were in general more expressed, confirming that the microbial processes are more proactive due to the growth of plants. Overall, the soil enzymatic activities responded differently according to the wheat varieties, highlighting specific capabilities to interact with microbes.

1. Introduction

The rhizosphere, the area close to the plant root [1,2,3], is a dynamic environment in which the key actors are the root system and the microbial community. The former, the below-ground body of the plant, supporting the entire corpus, is responsible for the uptake of water and nutrients and for releasing chemical signals that interact with the rhizosphere microbiota [4]. The latter, bacteria, fungi, nematodes, protists, and invertebrates, plays a role in ecological processes such as nutrient cycling, competition, and symbiosis.
The microbiome within the rhizosphere, notably bacteria and fungi, directly depends on climate and soil type but also on the root system (architecture and morphology) [5,6] and plant metabolites [7,8,9]. Focusing on plant effect, the root tip develops in the soil and responds to environmental stimuli, altering the carbon allocation. The highest numbers of active bacteria are associated with the root tip [10] compared with other root tissues (elongation and mature zone). This area is colonized by different bacteria that suggest different plant–microbe interactions [11]. One trait influencing the differential microbial colonization of root tissue could be the differential exudation profiles of the distinct root parts [12,13] and also the root type (seminal or nodal) and the position along the roots (apex or base) [14].
The exudates released by roots contain a range of inorganic compounds like ions, inorganic acids, oxygen, and water. However, most of the root exudates are made up of organic materials with low-molecular-weight compounds (amino acids, organic acids, sugars, phenolic compounds, fatty acids, and an array of secondary metabolites) and high-molecular-weight compounds (mucilage and proteins).
The root exudates differ both in quality and quantity depending on the type, nutrition status, and growth stage of plant [15,16] and on environmental stresses including deficits in water, phosphate, iron, and nitrogen or the toxicity of aluminum and the colonization by pathogens [13,17,18,19]. Some plants enhance the secretion of citrate, malate, or oxalate to enrich the rhizosphere with organic carbon that attracts beneficial microorganisms such as plant growth-promoting rhizobacteria (PGPR) and mycorrhiza that promote nutrient accessibility and protection against abiotic and abiotic stresses [7,8,20]. In Arabidopsis, under iron-limiting conditions or colonization by Pseudomonias simiae WCS417, the high expression of the root-specific transcription factor MYB72 regulates the excretion of the coumarin scopoletin, an iron-mobilizing phenolic compound with selective antimicrobial activity that shapes the root-associated microbial community [20]. The link between plant immunity and adaptive plant responses to nutrient deficiencies is also reported for the phosphate-starvation response [8].
Among the root-derived metabolites, flavonoids, known for their role in signaling between legume roots and rhizobia, are also involved in the crosstalk between roots of several plants and non-nodulating bacteria promoting the recruitment of plant-beneficial bacteria like Aeromonadaceae, which include strain that enhances plant resistance to dehydration in Arabidospsis, or the taxa Oxalobacteraceae, which promotes maize growth and nitrogen acquisition [21,22,23,24,25]. More recently, it has been shown how the root exudate taxifolin, a flavonoid molecule from potato and onion, alters the recruitment of the rhizosphere microbiome in the adjacent tomato plant by promoting plant-beneficial bacteria, such as Bacillus sp., leading to improved resistance to Verticillium wilt disease [26].
Among the positive interaction between the two kingdoms, many PGPRs act by producing a diverse group of phytohormones such as auxin, abscisic acid, salicylic acid, cytokine, gibberellin, and strigolactones [16]. These plant growth-stimulating signals can regulate the development processes, providing resistance to abiotic and biotic stresses. A recent study reported three newly isolated strains of Phoma spp. in the rhizosphere of Pinus tabulaeformis. Under drought stress, these strains secreted abscisic acid (ABA), which triggered drought resistance mechanisms in the pine tree and stimulated its antioxidant activities [27].
In response to environmental changes, plants can adopt different strategies producing, at root tip, border cells and mucilage [28,29] or release volatile organic compounds (VCOs) affecting the microbiome in the soil [30,31,32,33]. The VCOs transmit the status of a plant to adjacent and distant plants, thereby shaping the root release. For instance, tomato leaves treated with Bacillus amyloliquefaciens release β-caryophyllene that affects the amount of root exudates of a neighboring tomato seedling [33]. Microorganisms within the rhizosphere use molecules released by plants as an energy source for growth and development, and some of these microorganisms can also affect the expression of specific genes [34].
Plants release the metabolites into the soil mainly by diffusion [35], following the concentration gradient from cytoplasm to soil solution, though many compounds are exuded by active transport against the concentration gradient [36]. It has been shown in Arabidopsis that the root tip is the principal route for all solutes because of the high degree of plasmodesmata connections [35]. In the root tip, where the meristematic lacks the apoplastic barrier (“Casparian strip”), the solutes can also move through the apoplastic pathway as observed in immature wheat roots [37]. The metabolites released in the soil are depleted by the microorganisms in the rhizosphere, affecting the concentration gradients outside the root tips and promoting root exudation [38].
In the last decade, the studies on the interaction between plant roots and rhizosphere microorganisms and its beneficial effects on crop yields and sustainable agriculture have dramatically increased [39,40,41,42,43], with the attempt to face the increases in world population and the negative effect of agriculture on the fertility of the soil and the quality of the water [44].
In this investigation, we studied in seven wheat varieties how the agronomic management of the agricultural land in conventional agriculture can affect the microbiome.
Wheat can be susceptible to fungal infection and mycotoxin contamination during its critical growing period (flowering to harvest), under opportune environmental conditions, related to temperature, rain, and humidity. Given the frequent occurrence of mycotoxins in wheat and their negative health and economic consequences in some climatic zones, it is a common practice to distribute fungicides. Instead, the spreading of plant growth regulators (PGRs) on wheat cultivation is carried out to reduce the yield losses for lodging. Indeed, we focused our attention on fungicide and plant growth regulator (PGR) applications, and in our experimental design, treated plots received two applications of fungicide and one application of PGR, whereas untreated plots did not receive any applications of fungicide and plant growth regulator (PGR);both treated and untreated field plots received two applications of herbicide. Concerning the fungicides, we applied two different products characterized by different bioactive molecules, including tebuconazole. The effect of this active principle was already studied by performing a laboratory incubation in loamy sand soil [45], showing a low effect on soil microorganisms and microbial biomass, and a negative impact was observed only for the highest concentration shortly after the application.
Study conducted in the field showed that chemical substances sprayed on leaves that fall on soil surface impacted the soil biological life [46,47]. Moreover, PGR compounds are used to minimize the effect of plant lodging, promoting changes in plant morphology and physiology [48]. In this regard, these molecules lead to repercussions on the volume of the root system in maize [49], and they bring a negative impact on soil microbiological parameters in mango cultivation [50]. Overall, we quantified soil organic matter (SOM), soil microbial biomass. and enzyme activities in soil samples of wheat plots, untreated/treated with fungicide and PGR.
Soil enzymes originate mainly from soil microorganisms, and they are involved in all biochemical process necessary for all microbial functions such as organic matter decomposition and nutrient release into the soil environment. Because of their sensitivity, soil enzymes are used as indicators of soil health [45].
In this study, we detected a decrease in microbial biomass (determined as double-stranded DNA content) in treated plots compared with untreated plots. Although there are several methods to determine the microbial biomass in soil, we used the dsDNA approach proposed by Fornasier [51] that directly measures the extractable DNA of the overall soil microbiota. This method is based on the direct quantification of crude (not purified) DNA, thus giving a reliable quantification and estimation of the microbial biomass in soil. We also underline the differences in enzyme activity in the rhizosphere on seven wheat cultivars, unravelling their specific capacity to interact with microbiome.

2. Materials and Methods

2.1. Field Experiment and Soil Description

The field experiment was set-up in North Italy at “Emilia” experimental farm station (CREA-DC, Tavazzano con Villavesco (Lodi, Italy); lat 45.3557 N, long 9.393633 E; 82 m above sea level (a.s.l.)); in the Po valley. This geographic area has a range of climate, from humid continental climate (Dfa) to humid subtropical climate (Cfa) [52,53], with an annual rainfall of 903.9 mm and a mean air temperature of 12.1 °C (historical series 1981–2023; https://power.larc.nasa.gov; accessed on 12 September 2023). An overview of the main meteorological parameters of the study site, recorded by the weather station (METER ATMOS 41, METER Group AG, München, Germany), is shown in Table 1.
Soil was sampled in September 2021 to perform the physico-chemical analyses as described by [54]. The soil is classified as Eutric, Fragic Cambisoil (WRB, 2015), with a sandy texture composed of 13.8% clay, 57.8% sand, 28.4% silt; 0.65% total carbon (C) content; and a pH of 5.8 measured in water extract [54].

2.2. Experimental Design

The field experiment was performed using a split-plot design with three replicates and two treatments (untreated plots used as control and treated plots). The area of each plot was equal to 10 m2. Seven commercial varieties of bread wheat, chosen for their resistance (Skyfall and SY Moisson) and susceptibility to diseases (Aquilante, Bandera, Tintoretto) such as Septoria tritici (Septoria), Puccinia striiformis (yellow rust), and Puccinia triticina (brown rust) observed in the field in the previous year, or used in organic farming as reported in the demands of derogation (2018–2019) (https://crea-dc.inode.it) (Antille and Bologna), were sown on 8th November 2022 with 450 germinating seeds/m2. Wheat was cultivated according to the local farming practice. Both treated and untreated field plots received two applications of herbicide; untreated plots did not receive any applications of fungicide and plant growth regulator (PGR), whereas treated plots received two applications of fungicides and one application of PGR (Table 2).

2.3. Soil Sampling Experimental Set-Up

Rhizosphere samples were collected in the plot of the seven selected wheat genotypes in November 2022 and in May and July 2023. A sampling device has been used to collect the top 10 cm of soil of four random sub-samples in each plot. A total of 168 soil samples (4 sub-samples × 7 varieties × 2 treatments × 3 field replicates) were sieved with a 2 mm mesh soil sieve into 15 mm Falcon tubes. The tubes were stored at 4 °C and then sent to the laboratory for analysis.

2.4. Soil Enzyme Activities and Microbiological Analyses

Eleven enzymes involved in the main nutrient cycles were determined, namely, carbon (C): β-glucosidase (β-gluc), xylosidase (xylo), and glucoronidase (uroni); nitrogen (N): chitinase (chit) and leucine-aminopeptidase (leu); phosphorus (P): acid phosphomonoesterase (acP) and alkaline phosphomonoesterase (alkP), inositol phosphatase (inositP), phosphodiesterase (bisP), and pyrophosphatase–phosphodiesterase (piroP); and sulfur (S): arylsulphatase (aryS). The potential enzymatic activities were measured from all the soil samples by a heteromolecular exchange procedure [55], using a 3% solution of lysozyme as desorbant and bead-beating to disrupt soil aggregate and microbial cells. A 0.2 g quantity of soil was placed into 2 mL microcentrifuge tubes, together with 1.4 mL of a solution containing 3% lysozyme and glass beads. The tubes were then subjected to bead-beating using a Retsch 400 beating mill at 30 strokes s−1 for 3 min, followed by centrifugation at 20,000× g for 5 min. The supernatant containing desorbed enzymes was dispensed into 180-well white microplates with the appropriate buffer, to fluorometrically quantify the enzymatic activities using fluorescent, 4-methyl-umbelliferyl- (MUF) and 4-amido-7-methyl coumarin (AMC) substrates. The enzymatic activities were expressed as nanomoles of MUF (or AMC) min−1 g−1 dry soil [56].
Soil microbial biomass was determined as double-stranded DNA (dsDNA) content following the procedure reported by Fornasier [51]. As mentioned by Fornasier [51] and Bragato [57], since the extracted amounts of dsDNA do not change significantly with soil drying, for reasons of easy sample preparation, the soil aliquots were air-dried. Briefly, the whole community DNA was extracted from soil samples (300 mg D.W.) by mechanical cell disruption (bead-beating) with a 0.12 M, pH 8 sodium phosphate buffer using a Retsch MM 400 beating mill set at 30 Hz for 2 min. After centrifugation at 20,500× g for 5 min, the crude (not purified) DNA present in the supernatant was directly quantified by using PicoGreenTM fluorescent dye (Thermo Fisher Scientific, Waltham, MA, USA) [51]. This dye binds specifically to dsDNA having a high affinity to the AT sequences of the DNA duplex [58]. After this quantification, the biomass was expressed as µg dsDNA g−1 dry soil.

2.5. Statistical Analyses

Statistical analyses were carried out with software XLSTAT (version 4.1.2022).
A factorial analysis of variance (ANOVA) was performed to evaluate the effects of treatment and different commercial bread wheat varieties (Antille, Aquilante, Bandera, Bologna, Skyfall, SY Moisson, Tintoretto) on SOM content and microbiological parameters such as microbial biomass index and enzyme activities over the selected period (November 2022 and May and July 2023). Normality of the dataset was tested prior to ANOVA by using the Shapiro–Wilk tests. Prior to performing the analysis and meeting the assumptions of ANOVA, a log transformation was required for most of the enzyme activities such as β-glucosidase, xylosidase, leucine-aminopeptidase, alkaline phosphomonoesterase, inositol phosphatase, phosphodiesterase, and arylsulphatase; whereas a square root transformation was necessary for the microbial biomass and the glucoronidase activity. Significant differences (p < 0.05) in the main effects were further analyzed by paired comparisons with the Fisher post hoc test. The multivariate analysis of variance (MANOVA) was performed using the R software (version 4.1.3.2022; “vegan” and “effectsize” packages to perform it and “ggplot2” to visualize the results), by comparing multiple dependent variables (soil microbial biomass and enzymatic activities) simultaneously and detecting possible patterns. Pearson correlation was performed to explore the associations between the potential enzymatic activities and the biomass content.

3. Results and Discussion

3.1. How the Period Affects the Soil Microbiological Properties

In view of the importance of the microbiome on crop yields and sustainable agriculture [39,40,41,42,43], the aim of this study was to determine the effect of agronomical management under conventional practices on the biomass and activities of the soil microbes and unravel how these activities differ in commercial varieties at the rhizosphere level in three periods where we carried out the soil sampling campaigns along the growing stage of bread wheat.
Several features affect the soil microbiological activities and the overall biogeochemical processes occurring in the rhizosphere, with consequences on the soil functionality. The MANOVA analysis revealed that three periods (T0 = November 2022, T1 = May 2023 at the heading stage, and T2 = July 2023 at the harvesting stage) had a significant and remarkable impact on the soil microbial biomass and enzymatic activities. Indeed, three independent clusters (Eta2: 0.94; p ≤ 0.001 ***) were generated (Figure 1). This result confirms that the activities and the microbial biomass within the rhizosphere are very sensitive to the changing environmental conditions, and in this specific case, their shift depend on the seasonal variation.

3.2. Soil Organic Matter and Microbiological Parameters as a Function of the Treatment along the Period

The agronomical management under conventional practices was characterized by the application of fungicide and PGR substances in treated (T) compared to untreated (NT) field plots used as controls. We found that soil microbial biomass was significantly higher in NT plots compared to T ones only in May 2023 (T1; F = 5.53; p = 0.02) (Table 3), in which fungicide/PGR substances were sprayed on plant leaf surfaces. Interestingly, this treatment’s effect on the soil microbial biomass was recorded in the same period, but one year before (May 2022), confirming the negative impact of agrochemical inputs on soil microbiome. Among all the soil microbial properties, the biomass index can be a relevant indicator of the impact of disturbances at the soil level [59]. Fungicides with active substances, such as tebuconazole, prothioconazole, cyproconazole, etc., lead to the inhibition of the biosynthesis of ergosterol in fungi, interfering with the soil microbial dynamics with potential consequences on soil functioning [45,60]. This confirms what we observed in our study, considering that these types of active substances were also found in our fungicides. A study carried out by Han [61] observed that tebuconazole significantly reduced the soil microbial biomass quantified by the fumigation–extraction method, and this negative effect was more pronounced with the increasing frequency and treatment in a laboratory experiment. Even Munoz-Leoz [62] found a negative impact of tebuconazole on soil microbial biomass determined by the fumigation–incubation method in the mesocosm experiment. Although our microbial biomass methodology is different compared to the above studies (dsDNA content vs. fumigation), together with the experimental approach (field vs. laboratory), the negative impact of this substance on the soil biomass was confirmed. However, a laboratory experiment using the dsDNA approach maybe corroborate what we observed in the field in terms of the impact of fungicides on the soil microbial biomass.
Concerning the PGR used in our study, the active substance (Trinexapac-ethyl) acts as an antagonist of the plant hormone gibberellin, reducing internodal growth to give stouter stems, and limiting the phenomenon of lodging. This active substance led to the reduction in plant height with consequences on the morphological and physiological processes [48]. Indeed, in our study, the effect of PGR was observed on the selected wheat varieties, recording a decrease in plant height in treated (64.23 cm) compared to untreated (72.94 cm) field plots (F = 18.96; p < 0.0001). In maize, a depletion in vegetative area by the application of Trinexapac-ethyl was associated with a reduced volume of the root system [49]. Moreover, a reduced plant height led to repercussions on the mobilization and translocation of plant nutrients [63,64]. As observed in our study, using the PGR with Trinexapac-ethyl leads to a decrease in plant height, and we suppose that this growth regulator may also affect the root functionality, with repercussions on the release of organic compounds, root exudates, and secretions called rhizodeposition in the surrounding soil environment. Therefore, a shift in rhizodeposit may affect the composition and activity of soil microbes living in the rhizosphere. In line with our results, in terms of the soil microbial biomass, Gonçalves [50] found that soil microbiological parameters such as microbial biomass and respiration were negatively affected by the PGR application belonging to the same class of gibberellin hormone in mango cultivation. In the literature, it is demonstrated that any chemical compound applied at the plant/soil level affects biochemical processes, and thus, the plant growth has repercussions on the root–microbe dynamics [50,65]. However, further studies are required to examine the specific and single impact on the soil microbiome of fungicide and PGR products.
Nevertheless, SOM content was not affected by the treatment at all samplings and remained rather steady over the period (Table 3). Based on that, it seems that SOM content is less sensitive to the changing environmental conditions with respect to the soil microbial biomass. This agrees with several authors [66,67] that recognized that changes in SOM content occur slowly and are difficult to accurately measure with respect to the microbial biomass that gives an early indication of changes in terms of agricultural management.

3.3. How the Soil Organic Matter and Microbiological Parameters Change along the Period in the Commercial Bread Wheat Varieties within the Untreated Field Plots

Focusing on the untreated (NT) field plots, we found that SOM and microbial biomass contents decreased from T0 (November 2022) to T1 (May 2023) (Figure 2 and Figure 3; Table 4). This could be related to the presence of plant roots that affect the SOM decomposition and stimulate the activity of the microbiome. Indeed, higher microbial activities at the rhizosphere level facilitate the mineralization of the organic matter, making the nutrients available to plants [68]. Therefore, an increase in SOM decomposition affected the nutrient dynamics, thus improving the production of enzyme activities [69,70]. Among the tested cultivars, only Bologna and Skyfall showed no significant differences in SOM content, whereas significant differences were recorded for the soil microbial biomass in Bandera, Bologna, and Tintoretto over the periods.
In our study, changes in soil enzyme activities were determined at the rhizosphere level in seven bread wheat varieties chosen in terms of their resistance (Skyfall and SY Moisson), susceptibility (Aquilante, Bandera, Tintoretto) to diseases (Septoria, yellow and brown rusts), and their use in the organic farming system (Antille and Bologna) along the selected periods: November 2022 (T0); May 2023 (T1); and July 2023 (T2) (Figure 4 from A to K). An overview of the output of factorial ANOVA regarding the different experimental factors is given in Table 4.
Concerning the C-cycle, β-glucosidase, xylosidase, and glucoronidase activities were significantly higher in both T1 and T2 with respect to T0 in all varieties (Figure 4A–C). Comprehensively, higher xylosidase and glucoronidase activities were found at the harvesting and heading stages (respectively) in each variety. On the other side, no significant differences were recorded between these two periods in the β-glucosidase activity (Figure 4A). Despite this, the increase in C-enzymes during the wheat growing season is certainly related to the plant root exudates, acting as the C-source for the soil microbiota in the rhizosphere [71].
In fact, the higher activities at the harvesting stage were likely due to the decomposition of crop roots/residues.
Although no differences in leucine aminopeptidase activity were observed in the three periods (Figure 4E), significant shifts were found between SY Moisson and Tintoretto at T1 (F = 18.81; p ≤0.001). Furthermore, changes in chitinase were recorded only in Skyfall, with an activity increase of 37% from T0 to T1 (Figure 4D). The results of leucine aminopeptidase and chitinase indicate that the varieties under examination could differ in their ability to select specific soil microbial communities and/or they can have a chance to provide higher root surface area for the growth and development of soil microorganisms with a more intense microbial activity as Kumar [68] found in some wheat varieties under specific field conditions. Overall, the root exudates are crucial in attracting and selecting specific microbial communities, thus changing the structure and the composition of rhizosphere microbial population [72,73]. In agreement with our results, there is evidence that bacterial communities are recruited via root exudates, and the highest release occurs mainly at the heading stage, when the plants are more active in terms of resources and nutrient translocation [74,75]. The results of the chitinase activity recorded in the Skyfall variety could be related to the presence of specific bacterial consortium (Aeromonas, Pseudomonas, Streptomyces, Bacillus, etc.) involved in the chitinases’ production [76,77,78]. It has been proven that the chitinolytic bacterial consortium has a relevant role in the control of phytopathogenic fungi because plants respond to pathogens by producing chemical compounds that attract beneficial and antifungal microbes [79]. In the consortium, it is well known that the genera Bacillus spp. can secrete chitinase molecules, leading to the inhibition or killing of fungal pathogens through cell wall degradation [80,81]. Furthermore, an increase in the production of the chitinase activity occurs when the inorganic N-availability in soil is low [82]. This could serve as an indication of the nutrient status in terms of N accessibility of the field plots where this bread wheat variety was grown.
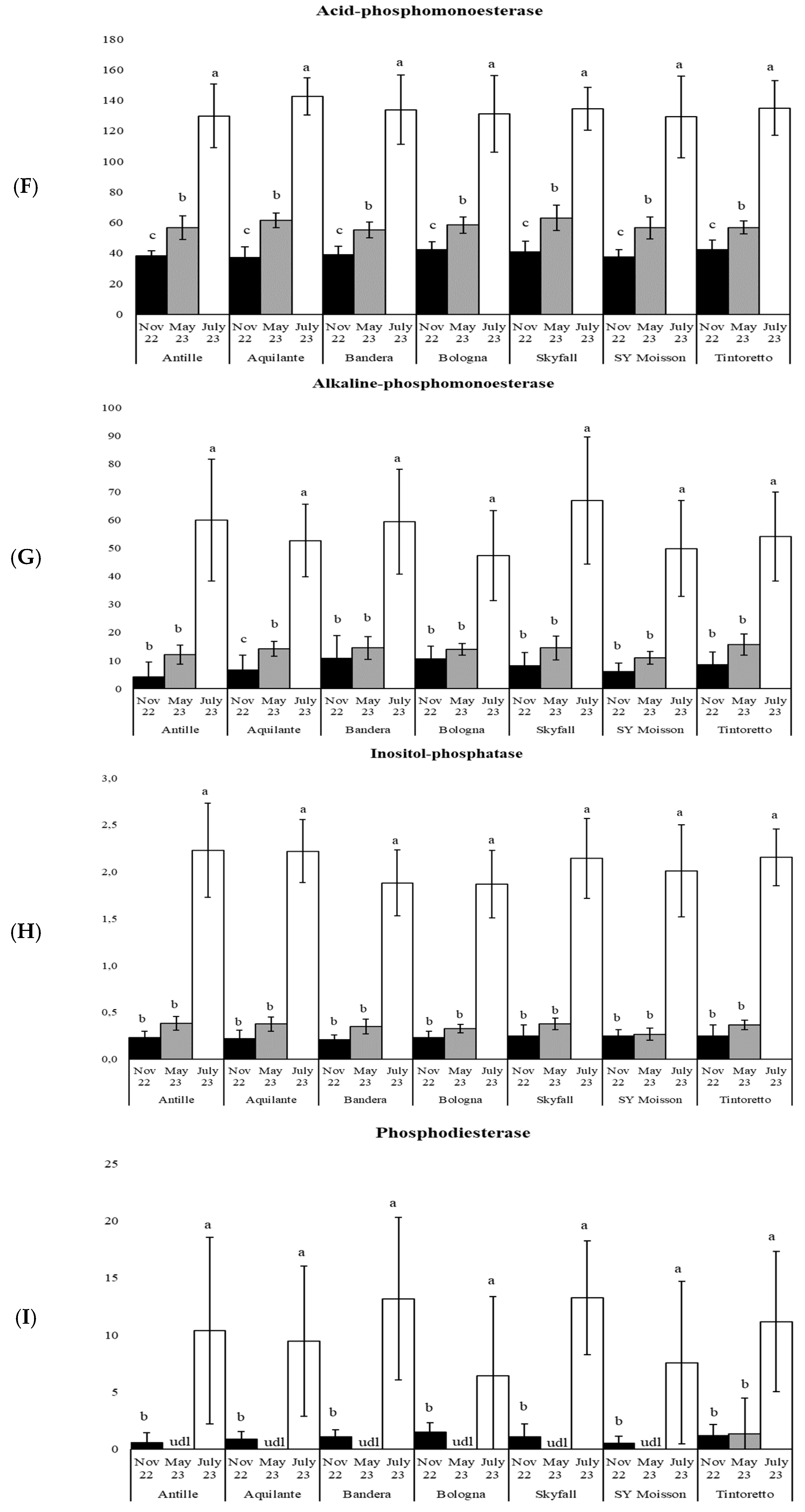
All the enzymes related to the P-cycle increased their activity along the growing season (from T0 to T2), reaching higher levels at the harvesting stage (T2) (Figure 4F–J). The activity of phosphodiesterase and pyrophosphate–phosphodiesterase was under the detection limit in T1 in all the varieties, except phosphodiesterase in Tintoretto (Figure 4I,J). The fact that P-enzymes were higher at the harvesting stage should be related to the increase in crop residues and their incorporation in soil, acting as a source of energy for microbes, stimulating their growth, and catalyzing the decomposition processes. In general, the high activity of soil enzymes reflects a soil richer in microbial communities that help in the mineralization of organic residues [68]. Several studies underline that adding organic matter content into the soil as compost or plant residues lead to a positive effect on the phosphatase activities and the soil microbial biomass [83,84,85]. Furthermore, positive and significant correlations between the microbial biomass with all the P-enzymes were recorded at the harvesting stage (microbial biomass: vs. acP, R = 0.40, p ≤ 0.001; vs. alkP, R = 0.44, p ≤ 0.001; vs. inosiP, R = 0.43, p ≤ 0.001; vs. bisP, R = 0.43, p ≤ 0.001; vs. piroP, R = 0.56, p ≤ 0.001).
Among the P-enzyme activities, acid and alkaline phosphomonoesterases are responsible for the organic P mineralization into phosphate by hydrolyzing phosphoric (mono) ester bonds under acid and alkaline conditions, respectively [86]. In our study, we observed a higher acid phosphomonoesterase activity compared to the alkaline one (Figure 4F,G), reflecting the moderate acidic conditions of soil (5.8 units pH) in our field trial. Our results corroborate with those reported by Lemanowicz [87] and that infer the optimum soil pH for the alkaline phosphomonoesterase activity is between 9–11 pH, while for the acid phosphomonoesterase, the pH range is between 4–6.5. In this regard, Lemanowicz [87] and Wesolowska [88] validated that the determination of acid and alkaline phosphomonoesterases activities in soil proves to be a sensitive indicator of changes in soil pH.
As found in the P-enzyme activities, higher levels of the arylsulphatase activity were recorded in T2 followed by T1 and T0 for the varieties (Figure 4K). This activity is involved in the hydrolysis of organic sulfate esters into inorganic S, making it available to plants and microbes, which is often a limiting plant nutrient in soil [89,90,91].

4. Conclusions

Through this in-field experimental approach, it was possible to provide insights into the responses of microbiomes within the rhizosphere along different studied bread wheat varieties and agrochemical components in three periods along the growing season. The soil microbial biomass determined as dsDNA content was a sensitive indicator of the changing of biomass due to the fungicide/PGR application that we recorded at the heading stage. At this growing stage, where the nutrient translocation between plants/roots is more active, the enzymatic activities were in general more expressed, although some of them (specifically those related to the P-cycle) were more pronounced at the harvesting stage. Along with the seven bread wheat varieties, the soil enzymatic activities responded differently and particularly concern the N- and P-cycles. For instance, the leucine-aminopeptidase and chitinase were expressed differently in three varieties (SY Moisson, Tintoretto, and Skyfall), assuming their specific ability to select certain soil microbial communities. The capacity to interact with rhizosphere microorganisms, by changing root exudate chemistry in response to biotic and abiotic stresses, could represent a new trait for selecting new varieties suitable for responsible farming. Overall, to dig deeper into the interactions between wheat and microbes, further investigations on soil metabolites, root exudates, composition, and diversity of soil microbial communities could be of help in shedding light into the biological processes that occur in the rhizosphere. Particularly, a characterization of specific gene targets for enzyme activities would be relevant for delving deeper into the plant–microbe dynamics. This could be performed through a lab-experiment approach under controlled conditions, to minimize the environmental variability that occurs in the field.

Author Contributions

A.P.M.G., T.B. and E.N. conceived the experimental design; A.P.M.G. and A.D. selected the bread wheat varieties in exams; F.F. performed the lab analysis; T.B. and E.R. analyzed the experimental data and carried out statistical analysis; A.P.M.G., T.B. and E.N. prepared the manuscript; P.G.B. supervised this study. All authors have read and agreed to the published version of the manuscript.

Funding

This research is a part of the InnoVar project that it received funding from the European Union’s Horizon 2020 research and innovation program under grant agreement No. 818144.

Data Availability Statement

Data are contained within the article.

Acknowledgments

We would like to thank Lamberto Borrelli for helping us to perform the soil sampling campaign through the soil sampling device.

Conflicts of Interest

The author Flavio Fornasier is also employed by the SOLIomics srl start-up company. The remaining authors declare that the research was conducted in the absence of any commercial or financial relationships that could be construed as a potential conflict of interest. The authors declare no conflicts of interest.

References

  1. Hiltner, L. Über neuere Erfahrungen und Probleme auf dem Gebiet der Bodenbakteriologie und unter besonderer Berücksichtigung der Gründüng und Brache. Arb. DLG 1904, 98, 59–78. [Google Scholar]
  2. Foster, R.C.; Rovira, A.D.; Cock, T.W. Ultrastructure of the Root-Soil Interface; American Phytopathological Society: Paul, MN, USA, 1983; p. 157. [Google Scholar]
  3. Hartmann, A.; Rothballer, M.; Schmid, M. Lorenz Hiltner, a pioneer in rhizosphere microbial ecology and soil bacteriology research. Plant Soil 2008, 312, 7–14. [Google Scholar] [CrossRef]
  4. Ober, E.S.; Alahmad, S.; Cockram, J.; Forestan, C.; Hickey, L.T.; Kant, J.; Maccaferri, M.; Marr, E.; Milner, M.; Pinto, F.; et al. Wheat root systems as a breeding target for climate resilience. Theor. Appl. Genet. 2021, 134, 1645–1662. [Google Scholar] [CrossRef]
  5. Bardgett, R.D.; Mommer, L.; De Vries, F.T. Going underground: Root traits as drivers of ecosystem processes. Trends. Ecol. Evol. 2014, 29, 692–699. [Google Scholar] [CrossRef]
  6. Herms, C.H.; Hennessy, R.C.; Bak, F.; Dresbøll, D.B.; Nicolaisen, M.H. Back to our roots: Exploring the role of root morphology as a mediator of beneficial plant-microbe interactions. Environ. Microbiol. 2022, 24, 3264–3272. [Google Scholar] [CrossRef] [PubMed]
  7. Pieterse, C.M.J.; Zamioudis, C.; Berendsen, R.L.; Weller, D.M.; Van Wees, S.C.M.; Bakker, P.A.H.M. Induced systemic resistance by beneficial microbes. Annu. Rev. Phytopathol. 2014, 52, 347–375. [Google Scholar] [CrossRef] [PubMed]
  8. Castrillo, G.; Pereira Lima Teixera, P.J.; Paredes, S.H.; Law, F.T.; de Lorenzo, L.; Feltcher, M.E.; Finkel, O.M.; Breakfield, N.W.; Mieczkowski, P.; Jones, D.C.; et al. Root microbiota drive direct integration of phosphate stress and immunity. Nature 2017, 543, 513–518. [Google Scholar] [CrossRef]
  9. Stringlis, I.A.; Zhang, H.; Pieterse, C.M.J.; Bolton, M.D.; de Jonge, R. Microbial small molecules—Weapons of plant subversion. Nat. Prod. Rep. 2018, 5, 410–433. [Google Scholar] [CrossRef] [PubMed]
  10. DeAngelis, K.; Ji, P.; Firestone, M.K.; Lindow, S.E. Two novel bacterial biosensors for detection of nitrate availability in the rhizosphere. Appl. Environ. Microbiol. 2005, 71, 8537–8547. [Google Scholar] [CrossRef]
  11. Massalha, H.; Korenblum, E.; Tholl, D.; Aharoni, A. Small molecules below-ground: The role of specialized metabolites in the rhizosphere. Plant J. 2017, 90, 788–807. [Google Scholar] [CrossRef]
  12. Mommer, L.; Kirkegaard, J.; van Ruijven, J. Root-root interactions: Towards a rhizosphere framework. Trends. Plant Sci. 2016, 21, 209–217. [Google Scholar] [CrossRef]
  13. Sasse, J.; Martinoia, E.; Northen, T. Feed your friends: Do plant exudates shape the root microbiome? Trends. Plant Sci. 2018, 23, 25–41. [Google Scholar] [CrossRef]
  14. Kawasaki, A.; Dennis, P.G.; Forstner, C.; Raghavendra, A.K.H.; Mathesius, U.; Richardson, A.E.; Delhaize, E.; Gilliham, M.; Watt, M.; Ryan, P.R. Manipulating exudate composition from root apices shapes the microbiome throughout the root system. Plant Physiol. 2021, 187, 2279–2295. [Google Scholar] [CrossRef]
  15. Malusà, E.; Pinzari, F.; Canfora, L. Efficacy of biofertilizers: Challenges to improve crop production. In Microbial Inoculants in Sustainable Agricultural Productivity; Springer: New Delhi, India, 2016; pp. 17–40. [Google Scholar]
  16. Jamil, F.; Mukhtar, H.; Fouillaud, M.; Dufossé, L. Rhizosphere signalling: Insights into plant-rhizomicrobiome interactions for sustainable agronomy. Microorganisms 2022, 10, 899. [Google Scholar] [CrossRef] [PubMed]
  17. Vives-Peris, V.; de Ollas, C.; Gómez-Cadenas, A.; Pérez-Clemente, R.M. Root exudates: From plant to rhizosphere and beyond. Plant Cell Rep. 2020, 39, 3–17. [Google Scholar] [CrossRef] [PubMed]
  18. Santoyo, G. How plants recruit their microbiome? New insights into beneficial interactions. J. Adv. Res. 2022, 40, 45–48. [Google Scholar] [CrossRef] [PubMed]
  19. Chai, Y.N.; Schachtman, D.P. Root exudates impact plant performance under abiotic stress. Trends. Plant Sci. 2022, 27, 80–91. [Google Scholar] [CrossRef] [PubMed]
  20. Stringlis, I.A.; Proietti, S.; Kickman, R.; Van Verk, M.C.; Zamioudis, C.; Pieterse, C.M.J. Root transcriptional dynamics induced by beneficial rhizobacteria and microbial immune elicitors reveal signatures of adaptation to mutualists. Plant J. 2018, 93, 166–180. [Google Scholar] [CrossRef] [PubMed]
  21. Wang, X.; Zhang, J.; Lu, X.; Bai, Y.; Wang, G. Two diversities meet in the rhizosphere: Root specialized metabolites and microbiome. J. Genet. Genom. 2023, 23, 1–12. [Google Scholar] [CrossRef]
  22. He, D.; Singh, S.K.; Li, P.; Kaushal, R.; Vílchez, J.I.; Chuyang, S.; Wu, X.; Zhang, H. Flavonoid-attracted Aeromonas sp. from the Arabidopsis root microbiome enhances plant dehydration resistance. ISME J. 2022, 16, 2622–2632. [Google Scholar] [CrossRef]
  23. Yan, D.; Tajima, H.; Cline, L.C.; Fong, R.Y.; Ottaviani, J.I.; Shapiro, H.Y.; Blumwald, E. Genetic modification of flavone biosynthesis in rice enhances biofilm formation of soil diazotrophic bacteria and biological nitrogen fixation. Plant Biotechnol. J. 2022, 20, 2135–2148. [Google Scholar] [CrossRef] [PubMed]
  24. Yu, P.; He, X.; Baer, M. Plant flavones enrich rhizosphere Oxalobacteraceae to improve maize performance under nitrogen deprivation. Nat. Plants 2021, 7, 481–499. [Google Scholar] [CrossRef] [PubMed]
  25. Matsuda, H.; Nakayasu, M.; Aoki, Y.; Yamazaki, S.; Nagano, A.J.; Yazaki, K.; Sugiyama, A. Diurnal metabolic regulation of isoflavones and soyasaponins in soybean roots. Plant Direct 2020, 18, 4. [Google Scholar] [CrossRef] [PubMed]
  26. Zhou, X.; Zhang, J.; Khashi, U.; Rahman, M.; Gao, D.; Wei, Z.; Wu, F.; Dini-Andreote, F. Interspecific plant interaction via root exudates structures the disease suppressiveness of rhizosphere microbiomes. Mol. Plant 2023, 16, 849–864. [Google Scholar] [CrossRef] [PubMed]
  27. Zhou, X.R.; Dai, L.; Xu, G.F.; Wang, H.S. A strain of Phoma species improves drought tolerance of Pinus tabulaeformis. Sci. Rep. 2021, 11, 7637. [Google Scholar] [CrossRef] [PubMed]
  28. Koroney, A.S.; Plasson, C.; Pawlak, B.; Sidikou, R.; Driouich, A.; Menu-Bouaouiche, L.; Vicré-Gibouin, M. Root exudate of Solanum tuberosum is enriched in galactose-containing molecules and impacts the growth of Pectobacterium atrosepticum. Ann. Bot. 2016, 118, 797–808. [Google Scholar] [CrossRef] [PubMed]
  29. Cannesan, M.G.; Gangneux, C.; Lanoue, A.; Giron, D.; Laval, K.; Hawes, M.; Driouch, A.; Vicré-Gibon, M. Association between border cell responses and localized root infection by pathogenic Aphanomyces euteiches. Ann. Bot. 2011, 108, 459–469. [Google Scholar] [CrossRef]
  30. Kim, J.; Felton, G.W. Priming of antiherbivore defensive responses in plants. Insect Sci. 2013, 20, 273–285. [Google Scholar] [CrossRef]
  31. Ameye, M.; Audenaert, K.; De Zutter, N.; Steppe, K.; Van Meulebroek, L.; Vanhaeck, L.; De Vleesschauwer, D.; Haesaert, G.; Smagghe, G. Priming of wheat with the green leaf volatile Z-3-hexenyl acetate enhances defense against Fusarium graminearum but boosts deoxynivalenol production. Plant Physiol. 2015, 167, 1671–1684. [Google Scholar] [CrossRef]
  32. Cofer, T.M.; Seidl-Adams, I.; Tumlinson, J.H. From Acetoin to (Z)-3-Hexen-1-ol: The Diversity of Volatile Organic Compounds that Induce Plant Responses. Agric. Food Chem. 2018, 66, 11197–11208. [Google Scholar] [CrossRef]
  33. Kong, H.G.; Song, G.C.; Sim, H.J.; Ryu, C.M. Achieving similar root microbiota composition in neighbouring plants through airborne signalling. ISME J. 2021, 15, 397–408. [Google Scholar] [CrossRef] [PubMed]
  34. Yi, Y.; Li, Z.; Kuipers, O.P. Plant-Microbe Interaction: Transcriptional Response of Bacillus Mycoides to Potato Root Exudates. J. Vis. Exp. 2018, 137, 57606. [Google Scholar] [CrossRef]
  35. Ross-Elliot, T.J.; Jensen, K.H.; Haaning, K.S.; Wager, B.M.; Knoblauch, J.; Howell, A.H.; Mullendore, D.L.; Monteith, A.G.; Paultre, D.; Yan, D.; et al. Phloem unloading in Arabidopsis roots is convective and regulated by the phloem-pole pericycle. ELife 2017, 6, e24125. [Google Scholar] [CrossRef] [PubMed]
  36. Badri, D.V.; Weir, T.L.; van der Lelie, D.; Vivanco, J.M. Rhizosphere chemical dialogues: Plant-microbe interactions. Curr. Opin. Biotechnol. 2009, 20, 642–650. [Google Scholar] [CrossRef] [PubMed]
  37. Vidal, A.; Hirte, J.; Bender, S.F.; Mayer, J.; Gattinger, A.; Höschen, C.; Schädler, S.; Iqbal, T.M.; Mueller, C.W. Linking 3D soil structure and plant-microbe-soil carbon transfer in the rhizosphere. Front. Environ. Sci. 2018, 6, 9. [Google Scholar] [CrossRef]
  38. Bais, H.P.; Weir, T.L.; Perry, L.G.; Gilroy, S.; Vivanco, J.M. The role of root exudates in rhizosphere interactions with plants and other organisms. Annu. Rev. Plant Biol. 2006, 57, 233–266. [Google Scholar] [CrossRef] [PubMed]
  39. Hassani, M.A.; Özkurt, E.; Seybold, H.; Dagan, T.; Stukenbrock, E.H. Interactions and Codaptation in Plant Metaorganisms. Annu. Rev. Phytopathol. 2019, 57, 483–503. [Google Scholar] [CrossRef] [PubMed]
  40. Berg, G.; Raaijmakers, J.M. Saving seed microbiomes. ISME J. 2018, 12, 1167–1170. [Google Scholar] [CrossRef] [PubMed]
  41. Checcucci, A.; Marchetti, M. The Rhizosphere Talk Show: The rhizobia on Stage. Front. Agron. 2020, 2, 591494. [Google Scholar] [CrossRef]
  42. Elhady, A.; Abbasi, S.; Safaie, N.; Heuer, H. Responsiveness of Elite Cultivars vs. Ancestral Genotypes of Barley to Beneficial Rhizosphere Microbiome, Supporting Plant Defense Against Root-Lesion Nematodes. Front. Plant Sci. 2021, 12, 721016. [Google Scholar] [CrossRef]
  43. Lyu, D.; Zajonc, J.; Pagé, A.; Tanney, C.A.S.; Shah, A.; Monjezi, N.; Msimbira, L.A.; Antar, M.; Nazari, M.; Backer, R.; et al. Plant Holobiont Theory: The Phytomicrobiome Plays a Central Role in Evolution and Success. Microorganisms 2021, 24, 675. [Google Scholar] [CrossRef] [PubMed]
  44. Al-Busaidi, W.; Janke, R.; Blackburn, D.M.; Khan, M.M. Impact of long-term agricultural farming on soil and water chemical properties: A case study from Al-Batinah regions (Oman). J. Saudi Soc. Agric. Sci. 2022, 21, 397–403. [Google Scholar] [CrossRef]
  45. Roman, D.L.; Voiculescu, D.I.; Filip, M.; Ostafe, V.; Isvoran, A. Effects of Triazole Fungicides on Soil Microbiota and on the Activities of Enzymes Found in Soil: A Review. Agriculture 2021, 11, 893. [Google Scholar] [CrossRef]
  46. Zhang, L.; Yan, C.; Guo, Q.; Zhang, J.; Ruiz, J. The impact of agricultural chemical inputs on environment: Global evidence from informetrics analysis and visualization. Int. J. Low Carbon Technol. 2018, 13, 338–352. [Google Scholar] [CrossRef]
  47. Baćmaga, M.; Wyszkowska, J.; Kucharski, J. Response of soil microorganisms and enzymes to the foliar application of Helicur 250 EW fungicide on Horderum vulgare L. Chemosphere 2020, 242, 125163. [Google Scholar] [CrossRef]
  48. Koch, F.; Aisenberg, G.R.; Monteiro, M.A.; Pedó, T.; Zimmer, P.D.; Villela, F.A.; Aumonde, T.Z. Growth of wheat plants submitted to the application of the growth regulator trinexapac-ethyl and vigor of the produced seeds. Agrociencia 2017, 21, 24–32. [Google Scholar] [CrossRef][Green Version]
  49. Pricinotto, L.F.; Claudemir, Z.; Inês, C.; de Batista, F.; Alves de Oliveira, M.; Sampaio Ferreira, A.; Spolaor, T.L. Trinexapac-ethyl in the vegetative and reproductive performance of corn. Afr. J. Agric. Res. 2015, 10, 1735–1742. [Google Scholar] [CrossRef][Green Version]
  50. Gonçalves, I.C.R.; Araújo, A.S.F.; Carvalho, E.M.S.; Carneiro, R.F.V. Effect of paclobutrazol on microbial biomass, respiration and cellulose decomposition in soil. Eur. J. Soil Biol. 2009, 45, 235–238. [Google Scholar] [CrossRef]
  51. Fornasier, F.; Ascher, J.; Ceccherini, M.T.; Tomat, E.; Pietramellara, G. A simplified rapid, low-cost and versatile DNA-based assessment of soil microbial biomass. Ecol. Indic. 2014, 45, 75–82. [Google Scholar] [CrossRef]
  52. Kottek, M.; Grieser, J.; Beck, C.; Rudolf, B.; Rubel, F. World map of the Köppen-Geiger climate classification update. Meteorol. Z. 2006, 15, 259–263. [Google Scholar] [CrossRef]
  53. Beck, H.E.; Zimmermann, N.E.; McVicar, T.R.; Vergopolan, N.; Berg, A.; Wood, E.F. Present and future Köppen-Geiger climate classification maps at 1-km resolution. Sci. Data 2018, 5, 180214. [Google Scholar] [CrossRef] [PubMed]
  54. Van Reeuwijk, L.P. Procedures for Soil Analysis, 6th ed.; Technical Paper No. 9; FAO/ISRIC, International Soil Reference an Information Centre: Wageningen, The Netherlands, 2022; p. 120. [Google Scholar]
  55. Fornasier, F.; Margon, A. Bovine serum albumin and Triton X-100 greatly increase phosphomonoesterases and arylsulphatase extraction yield from the soil. Soil Biol. Biochem. 2007, 39, 2682–2684. [Google Scholar] [CrossRef]
  56. Bardelli, T.; Gomez-Brandon, M.; Ascher-Jenull, J.; Fornasier, F.; Arfaioli, P.; Francioli, D.; Egli, M.; Sartori, G.; Insam, H.; Pietramellara, G. Effect of slope exposure on soil physico-chemical and microbiological properties along an altitudinal climosequence in the Italian Alps. Sci. Total Environ. 2017, 575, 1041–1055. [Google Scholar] [CrossRef]
  57. Bragato, G.; Fornasier, F.; Brus, D.J. Characterization of soil fertility and soil biodiversity with dsDNA as a covariate in a regression estimator for mean microbial biomass C: Soil dsDNA as a covariate for microbial biomass C. Eur. J. Soil Sci. 2016, 67, 827–834. [Google Scholar] [CrossRef]
  58. Dragan, A.I.; Casas-Finet, J.R.; Bishop, E.S.; Strouse, R.I.; Schenerman, M.A.; Geddes, C.D. Characterization of PicoGreen interaction with dsDNA and the origin of its fluorescence enhancement upon bindings. Biophys. J. 2010, 99, 3010–3019. [Google Scholar] [CrossRef] [PubMed]
  59. Mijangos, I.; Becerril, J.M.; Albizu, I.; Epelde, L.; Garbisu, C. Effects of glyphosate on rhizosphere soil microbial communities under two different plant compositions by cultivation-dependent and independent methodologies. Soil Biol. Biochem. 2009, 41, 505–513. [Google Scholar] [CrossRef]
  60. Walder, F.; Schmid, M.W.; Riedo, J.; Valzano-Held, A.Y.; Banerjee, S.; Büchi, L.; Van Der Heijden, M.G. Soil microbiome signatures are associated with pesticide residues in arable landscapes. Soil Biol. Biochem. 2022, 174, 108830. [Google Scholar] [CrossRef]
  61. Han, L.; Kong, X.; Xu, M.; Nie, J. Repeated exposure to fungicide tebuconazole alters the degradation characteristics, soil microbial community and functional profiles. Environ. Pollut. 2021, 287, 117660. [Google Scholar] [CrossRef]
  62. Munoz-Leoz, B.; Ruiz-Romera, E.; Antigüedad, I.; Garbisu, C. Tebuconazole application decreases soil microbial biomass and activity. Soil Biol. Biochem. 2011, 43, 2176–2183. [Google Scholar] [CrossRef]
  63. Nguyen, C. Rhizodeposition of organic C by plant: Mechanisms and controls. In Sustainable Agriculture; Springer: Berlin/Heidelberg, Germany, 2009; pp. 97–123. [Google Scholar] [CrossRef]
  64. Van der Krift, T.A.; Kuikman, P.J.; Möller, F.; Berendse, F. Plant species and nutritional-mediated control over rhizodeposition and root decomposition. Plant Soil 2001, 228, 191–200. [Google Scholar] [CrossRef]
  65. Hassan, M.K.; McInroy, J.A.; Kloepper, J.W. The Interactions of Rhizodeposits with Plant Growth-Promoting Rhizobacteria in the Rhizosphere: A Review. Agriculture 2019, 9, 142. [Google Scholar] [CrossRef]
  66. García-Orenes, F.; Morugán-Coronado, A.; Zornoza, R.; Scow, K. Changes in Soil Microbial Community Structure Influenced by Agricultural Management Practices in a Mediterranean Agro-Ecosystem. PLoS ONE 2013, 8, 80522. [Google Scholar] [CrossRef]
  67. Anderson, T.H.; Paulsen, H.M. Response time of soil microbial biomass after conversion from conventional to several different organic farming systems. Landbauforsch. Appl. Agric. For. Res. 2016, 66, 258–271. [Google Scholar] [CrossRef]
  68. Kumar, B.; Dhar, S.; Paul, S.; Paramesh, V.; Dass, A.; Upadhyay, P.K.; Kumar, A.; Abdelmohsen, S.A.M.; Alkallas, F.H.; El-Abedin, T.K.Z.; et al. Microbial Biomass Carbon, Activity of Soil Enzymes, Nutrient Availability, Root Growth, and Total Biomass Production in Wheat Cultivars under Variable Irrigation and Nutrient Management. Agronomy 2021, 11, 669. [Google Scholar] [CrossRef]
  69. Cheng, W.; Parton, W.J.; Gonzalez-Meler, M.A.; Asao, S.; Mcnickle, G.G.; Brzostek, E.; Jastrow, J.D. Synthesis and modeling perspectives of rhizosphere priming. New Phytol. 2014, 201, 31–44. [Google Scholar] [CrossRef]
  70. Yin, L.; Dijkstra, F.A.; Wang, P.; Zhu, B.; Cheng, W. Rhizosphere priming effects on soil carbon and nitrogen dynamics among tree species with and without intraspecific competition. New Phytol. 2018, 218, 1036–1048. [Google Scholar] [CrossRef]
  71. Boyrahmadi, M.; Raiesi, F. Plant roots and species moderate the salinity effect on microbial respiration, biomass, and enzyme activities in a sandy clay soil. Biol. Fertil. Soils 2018, 54, 509–521. [Google Scholar] [CrossRef]
  72. Lareen, A.; Burton, F.; Schäfer, P. Plant root-microbe communication in shaping root microbiomes. Plant Mol. Biol. 2016, 90, 575–587. [Google Scholar] [CrossRef] [PubMed]
  73. Mahoney, A.K.; Yin, C.; Hulbert, S.H. Community Structure, Species Variation, and Potential Functions of Rhizosphere-Associated Bacteria of Different Winter Wheat (Triticum aestivum) Cultivars. Front. Plant Sci. 2017, 13, 132. [Google Scholar] [CrossRef]
  74. Lakshmanan, V.; Castaneda, R.; Rudrappa, T.; Bais, H.P. Root transcriptome analysis of Arabidopsis thaliana exposed to beneficial Bacillus subtilis FB17 rhizobacteria revealed genes for bacterial recruitment and plant defense independent of malate efflux. Planta 2013, 238, 657–668. [Google Scholar] [CrossRef] [PubMed]
  75. Corneo, P.E.; Suenaga, H.; Kertesz, M.A.; Dijkstra, F.A. Effect of twenty four wheat genotypes on soil biochemical and microbial properties. Plant Soil 2016, 404, 141–155. [Google Scholar] [CrossRef]
  76. Karthik, N.; Binod, P.; Pandey, A. Purification and characterisation of an acidic and antifungal chitinase produced by a Streptomyces sp. Bioresour. Technol. 2015, 188, 195–201. [Google Scholar] [CrossRef]
  77. Medina-de la Rosa, G.; López-Reyes, L.; Carcaño-Montiel, M.G.; López-Olguín, J.F.; Hernández-Espinosa, M.Á.; Rivera-Tapia, J.A. Rhizosphere bacteria of maize with chitinolytic activity and its potential in the control of phytopathogenic fungi. Arch. Phytopathol. 2016, 49, 310–321. [Google Scholar] [CrossRef]
  78. Vaghela, B.; Vashi, R.; Rajput, K.; Joshi, R. Plant chitinases and their role in plant defense: A comprehensive review. Enzyme Microb. Technol. 2022, 159, 110055. [Google Scholar] [CrossRef]
  79. Yin, C.; Casa Vargas, J.M.; Schlatter, D.C.; Hagerty, C.H.; Hulbert, S.H.; Paulitz, T.C. Rhizosphere community selection reveals bacteria associated with reduced root disease. Microbiome 2021, 9, 86. [Google Scholar] [CrossRef] [PubMed]
  80. Radhakrishnan, R.; Hashem, A.; Abd Allah, E.F. Bacillus: A Biological Tool for Crop Improvement through Bio-Molecular Changes in Adverse Environments. Front. Physiol. 2017, 8, 667. [Google Scholar] [CrossRef] [PubMed]
  81. Gong, B.Q.; Wang, F.Z.; Li, J.F. Hide-and-Seek: Chitin-Triggered Plant Immunity and Fungal Counterstrategies. Trends. Plant Sci. 2020, 25, 805–816. [Google Scholar] [CrossRef]
  82. Hui, C.; Jiang, H.; Liu, B.; Wei, R.; Zhang, Y.; Zhang, O.; Liang, Y.; Zhao, Y. Chitin degradation and the temporary response of bacterial chitinolytic communities to chitin amendment in soil under different fertilization regimes. Sci. Total Environ. 2020, 705, 136003. [Google Scholar] [CrossRef] [PubMed]
  83. Cao, Q.; Li, M.; Yang, H.; Liu, J. Dynamic changes of the retention capacity for phosphorus by emergent macrophytes in the Yeyahu Wetland. Acta Sci. Circumstantiae 2012, 32, 1874–1881. [Google Scholar]
  84. Khan, K.S.; Mack, R.; Castillo, X.; Kaiser, M.; Joergensen, R.G. Microbial biomass, fungal and bacterial residues, and their relationships to the soil organic matter C/N/P/S ratios. Geoderma 2016, 271, 115–123. [Google Scholar] [CrossRef]
  85. Mohammadi, K. Soil Microbial Activity and Biomass as Influenced by Tillage and Fertilization in Wheat Production. Am. Eurasian J. Agric. Environ. Sci. 2011, 10, 330–337. [Google Scholar]
  86. Nannipieri, P.; Giagnoni, L.; Renella, G.; Puglisi, E.; Ceccanti, B.; Masciandaro, G.; Fornasier, F.; Moscatelli, M.C.; Marinari, S. Soil enzymology: Classical and molecular approaches. Biol. Fertil. Soils. 2012, 48, 743–762. [Google Scholar] [CrossRef]
  87. Lemanowicz, J. Mineral fertilization as a factor determining selected sorption properties of soil against the activity of phosphatases. Plant Soil Environ. 2013, 59, 439–445. [Google Scholar] [CrossRef]
  88. Wesolowska, S.; Futa, B.; Myszura, M.; Kobyłka, A. Residual Effects of Different Cropping Systems on Physicochemical Properties and the Activity of Phosphatases of Soil. Agriculture 2022, 12, 693. [Google Scholar] [CrossRef]
  89. Maurya, S.; Abraham, J.S.; Somasundaram, S.; Toteja, S.R.; Gupta, R.; Makhija, S. Indicators for assessment of soil quality: A mini-review. Environ. Monit. Assess. 2020, 192, 604. [Google Scholar] [CrossRef]
  90. Bhattacharyya, S.S.; Furtak, K. Soil Plant Microbe Interactions Determine Soil Biological Fertility by Altering Rhizospheric Nutrient Cycling and Biocrust Formation. Sustainability 2023, 15, 625. [Google Scholar] [CrossRef]
  91. Sun, X.; Yuqian, Y.; Ma, Q.; Guan, Q.; Jones, D. Variation in enzyme activities involved in carbon and nitrogen cycling in rhizosphere and bulk soil after organic mulching. Rhizosphere 2021, 19, 100376. [Google Scholar] [CrossRef]
Figure 1. Multivariate analysis of variance (MANOVA) of soil enzymatic activities and microbial biomass content according to the three periods as showed by green (November 2022), blue (May 2023), and red (July 2023) points.
Figure 1. Multivariate analysis of variance (MANOVA) of soil enzymatic activities and microbial biomass content according to the three periods as showed by green (November 2022), blue (May 2023), and red (July 2023) points.
Agronomy 14 00832 g001
Figure 2. Soil organic matter content (SOM) in untreated soils for seven commercial bread wheat varieties (Antille, Aquilante, Bandera, Bologna, Skyfall, SY Moisson, Tintoretto) grown in May and July 2023 and November 2022. Values are mean values with standard deviation. Different letters indicate significant differences (p ≤ 0.05; ANOVA followed by the Fisher post hoc test) as a function of the period.
Figure 2. Soil organic matter content (SOM) in untreated soils for seven commercial bread wheat varieties (Antille, Aquilante, Bandera, Bologna, Skyfall, SY Moisson, Tintoretto) grown in May and July 2023 and November 2022. Values are mean values with standard deviation. Different letters indicate significant differences (p ≤ 0.05; ANOVA followed by the Fisher post hoc test) as a function of the period.
Agronomy 14 00832 g002
Figure 3. Soil microbial biomass (dsDNA content) in untreated soils for seven commercial bread wheat varieties (Antille, Aquilante, Bandera, Bologna, Skyfall, SY Moisson, Tintoretto) grown in May and July 2023 and November 2022. Values are mean values with standard deviation. Different letters indicate significant differences (p ≤ 0.05; ANOVA followed by the Fisher post hoc test) as a function of the period.
Figure 3. Soil microbial biomass (dsDNA content) in untreated soils for seven commercial bread wheat varieties (Antille, Aquilante, Bandera, Bologna, Skyfall, SY Moisson, Tintoretto) grown in May and July 2023 and November 2022. Values are mean values with standard deviation. Different letters indicate significant differences (p ≤ 0.05; ANOVA followed by the Fisher post hoc test) as a function of the period.
Agronomy 14 00832 g003
Figure 4. Potential enzymatic activities (nmol MUF g−1 soil dw h−1) as β-glucosidase (A), xylosidase (B), glucoronidase (C), chitinase (D), leucine-aminopeptidase (E), acid-phosphomonoesterase (F), alkaline-phosphomonoesterase (G), inositol-phosphatase (H), phosphodiesterase (I), pyrophosphatase-phosphodiesterase (J), arylsulphatase (K) in soils along different commercial bread wheat varieties. Values are mean values with standard deviation; udl means “under detection limit”. Different letters indicate significant differences (p ≤ 0.05; ANOVA followed by the Fisher post hoc test) as a function of the period.
Figure 4. Potential enzymatic activities (nmol MUF g−1 soil dw h−1) as β-glucosidase (A), xylosidase (B), glucoronidase (C), chitinase (D), leucine-aminopeptidase (E), acid-phosphomonoesterase (F), alkaline-phosphomonoesterase (G), inositol-phosphatase (H), phosphodiesterase (I), pyrophosphatase-phosphodiesterase (J), arylsulphatase (K) in soils along different commercial bread wheat varieties. Values are mean values with standard deviation; udl means “under detection limit”. Different letters indicate significant differences (p ≤ 0.05; ANOVA followed by the Fisher post hoc test) as a function of the period.
Agronomy 14 00832 g004aAgronomy 14 00832 g004bAgronomy 14 00832 g004cAgronomy 14 00832 g004d
Table 1. Means and standard deviations of meteorological parameters recorded over the experimental period.
Table 1. Means and standard deviations of meteorological parameters recorded over the experimental period.
ParametersNovember 2022May 2023July 2023
Air temperature (°C)8.8 ± 3.9717.7 ± 4.4724.7 ± 5.15
Air humidity (%)87.0 ± 0.0973,2 ± 0.1375.7 ± 0.15
Precipitation (mm)21.5 ± 0.1558.7 ± 0.23145.8 ± 6.40
Soil T at 5 cm depth (°C)11.0 ± 3.0120.2 ± 2.3825.8 ± 1.42
Soil moisture content (%)25.2 ± 0.0524.1 ± 0.0423.8 ± 0.06
Soil oxygen content (%)19.8 ± 0.3518.2 ± 0.4914.3 ± 1.39
Table 2. Agronomical data over the selected period.
Table 2. Agronomical data over the selected period.
YearDateTypeCommercial NameManufacturerActive SubstancesApplication Rate (L/ha)Plot Treatment
2022–20239 November 2022HerbicideZodiac DFF®Bayer CropScience S.r.l. Milan, ItalyDiflufenican2Treated and untreated
Chlortoluron
16 March 2023HerbicideTraxos® Pronto 60 Pinoxaden1Treated and untreated
SYNGENTA ITLIA S.p.A. Milan, ItalyClodinafop-propargyl
Cloquintocet-mexyl
HerbicideZypar™Dow AgroSciences Italy s.r.l. Milan, ItalyFlorasulam1
Cloquintocet-mexyl
AdjuvantCodacideDU PONT DE NEMOURS ITALIANA Srl Milan, ItalyRapeseed oil1
29 March 2023PGRTrimaxx®ADAMA Italia S.r.l. Bergamo, ItalyTrinexapac-ethyl0.5Treated
FungicidePriaxor® Fluxapyroxad1.5
BASF Italia S.p.A. Cesano Maderno, ItalyPyraclostrobin
5 May 2023FungicideProsaro® Prothioconazole1Treated
Bayer CropScience S.r.l. Milan, ItalyTebuconazole
Table 3. Overview of soil organic matter (SOM) and soil microbial biomass (dsDNA content) as a function of the treatment (Treated vs. Untreated) over three periods (November 2022 and May and July 2023). Values are means with SD in brackets. The microbial biomass is expressed as µg g−1 soil. Different letters indicate significant differences (p ≤ 0.05; ANOVA followed by the Fisher post hoc test) regarding the treatment.
Table 3. Overview of soil organic matter (SOM) and soil microbial biomass (dsDNA content) as a function of the treatment (Treated vs. Untreated) over three periods (November 2022 and May and July 2023). Values are means with SD in brackets. The microbial biomass is expressed as µg g−1 soil. Different letters indicate significant differences (p ≤ 0.05; ANOVA followed by the Fisher post hoc test) regarding the treatment.
ParameterPeriodTreatment
UntreatedTreated
SOMNovember 20222.61 (0.15) a2.60 (0.12) a
May 20232.45 (0.14) a2.52 (0.37) a
July 20232.59 (0.16) a2.59 (0.14) a
Microbial
Biomass
November 202232.10 (9.08) a33.34 (10.67) a
May 202326.52 (3.29) a25.20 (4.32) b
July 202328.30 (3.72) a27.85 (4.20) a
Table 4. Statistical output of the SOM and microbiological parameters in the different bread wheat varieties over the period.
Table 4. Statistical output of the SOM and microbiological parameters in the different bread wheat varieties over the period.
AntilleAquilanteBanderaBolognaSkyfallSy MoissonTintoretto
ParametersFpFpFpFpFpFpFp
SOM8**5*4*2ns2ns9***3*
dsDNA1ns3ns9***13***1ns2ns8**
β-gluc22***23***19***15***27***7**6**
xylo54***38***28***19***51***17***29***
uroni122***238***240***168***119***207***270***
chit2ns3ns0.1ns1ns3*1ns0.2ns
leu2ns1ns3ns2ns1ns2ns0.3ns
acP166***502***162***118***276***107***237***
alkP64***109***61***53***68***68***76***
inositP172***350***236***220***205***148***389***
bisP18***23***38***8**74***13***24***
piroP8**10***14***5*10***6**7**
aryS19***22***26***20***15***12***24***
SOM (soil organic matter content); dsDNA (microbial biomass content); β-gluc (β-glucosidase); xylo (xylosidase); uroni (glucoronidase); chit (chitinase); leu (leucine-aminopeptidase); acP (acid phosphomonoesterase); alkP (alkaline phosphomonoesterase); inositP (inositol phosphatase); bisP (phosphodiesterase); piroP (pyrophosphatase–phosphodiesterase); aryS (arylsulphatase); F (Fisher test): ratio of two variances; and p (p-value): ns (no significant); * p ≤ 0.05; ** p ≤ 0.01; *** p ≤ 0.001.
Disclaimer/Publisher’s Note: The statements, opinions and data contained in all publications are solely those of the individual author(s) and contributor(s) and not of MDPI and/or the editor(s). MDPI and/or the editor(s) disclaim responsibility for any injury to people or property resulting from any ideas, methods, instructions or products referred to in the content.

Share and Cite

MDPI and ACS Style

Bardelli, T.; Fornasier, F.; Novarina, E.; Donniacuo, A.; Romano, E.; Bianchi, P.G.; Giulini, A.P.M. Changes in the Rhizosphere Biome Depending on the Variety of Wheat, Timing of Its Growing Season, and Agrochemical Components in the Soils of Italy. Agronomy 2024, 14, 832. https://doi.org/10.3390/agronomy14040832

AMA Style

Bardelli T, Fornasier F, Novarina E, Donniacuo A, Romano E, Bianchi PG, Giulini APM. Changes in the Rhizosphere Biome Depending on the Variety of Wheat, Timing of Its Growing Season, and Agrochemical Components in the Soils of Italy. Agronomy. 2024; 14(4):832. https://doi.org/10.3390/agronomy14040832

Chicago/Turabian Style

Bardelli, Tommaso, Flavio Fornasier, Elena Novarina, Antonella Donniacuo, Elio Romano, Pier Giacomo Bianchi, and Anna Pia Maria Giulini. 2024. "Changes in the Rhizosphere Biome Depending on the Variety of Wheat, Timing of Its Growing Season, and Agrochemical Components in the Soils of Italy" Agronomy 14, no. 4: 832. https://doi.org/10.3390/agronomy14040832

APA Style

Bardelli, T., Fornasier, F., Novarina, E., Donniacuo, A., Romano, E., Bianchi, P. G., & Giulini, A. P. M. (2024). Changes in the Rhizosphere Biome Depending on the Variety of Wheat, Timing of Its Growing Season, and Agrochemical Components in the Soils of Italy. Agronomy, 14(4), 832. https://doi.org/10.3390/agronomy14040832

Note that from the first issue of 2016, this journal uses article numbers instead of page numbers. See further details here.

Article Metrics

Back to TopTop