Winter Wheat Aboveground-Biomass Estimation and Its Dynamic Variation during Coal Mining—Assessing by Unmanned Aerial Vehicle-Based Remote Sensing
Abstract
1. Introduction
2. Materials and Methods
2.1. Study Area
2.2. Data Collection
2.2.1. UAV Remote Sensing-Based Data Collection
| Parameter | Multispectral Data Obtaining Flight Mission | DSM Data Obtaining Flight Mission |
|---|---|---|
| Data collection date | 21 March 2023 9 April 2023 27 April 2023 | 14 October 2023 |
| Flight altitude (m) | 100 | 267 |
| Speed (m/s) | 8 | 22 |
| Cover area (ha) | 180 | 220 |
| Overlap (forward, side) | 80%, 80% | 80%, 70% |
| Equipped sensor | AQ600 Pro | DG4 Pros |
| Surface coverage | Winter wheat at reviving stage Winter wheat at jointing stage Winter wheat at flowering stage | Bare soil |
2.2.2. Winter Wheat AGB Field Sampling
2.3. Vegetation Index and Image-Texture Selection
2.4. Terrain Data Selection
2.5. AGB Estimation and Analysis
3. Results
3.1. Winter Wheat AGB Estimation in the Study Area
3.1.1. Analysis of Measured AGB
3.1.2. Analysis of Measured ABG and Selected Remote Sensing Parameters
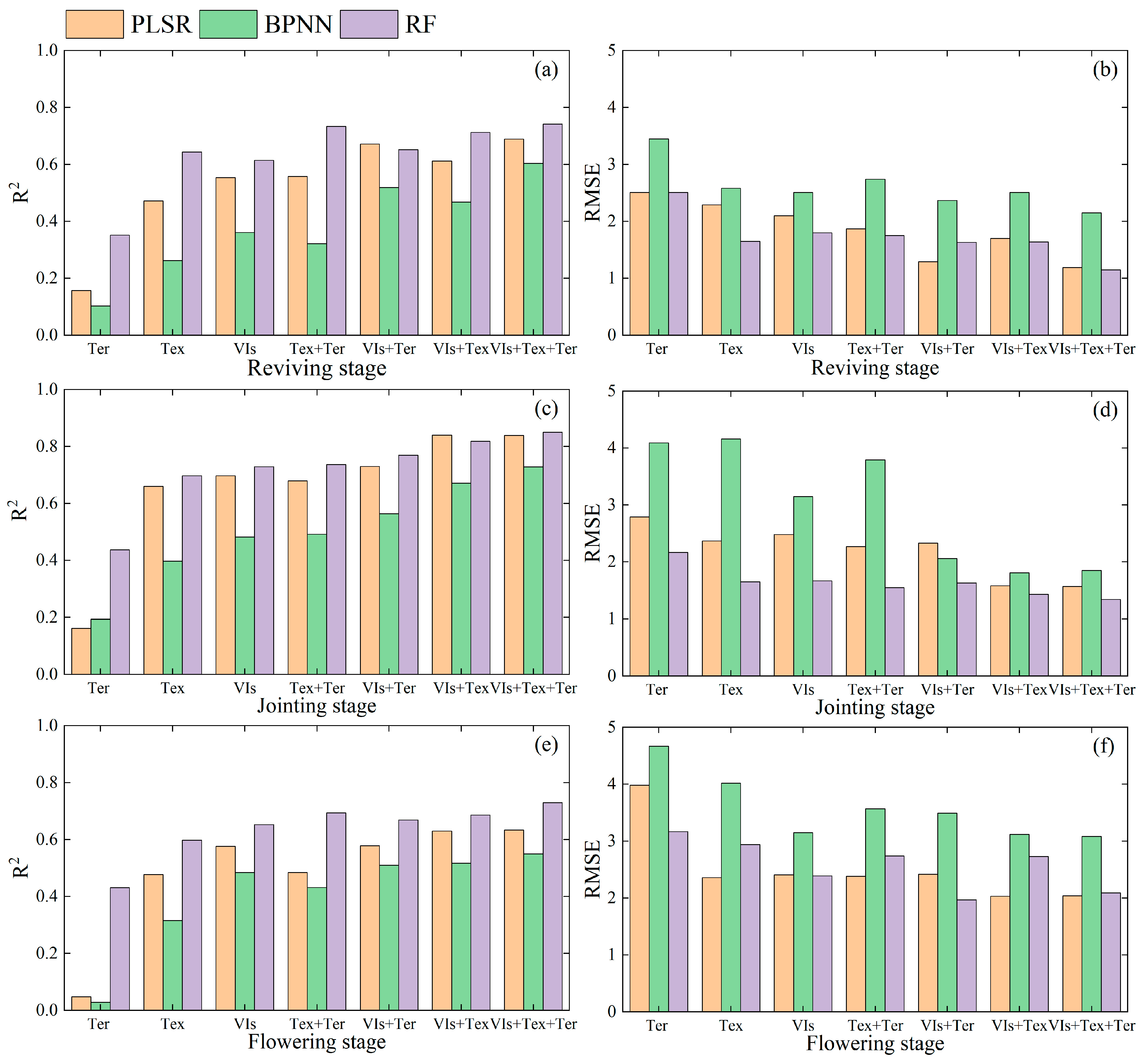
3.1.3. Winter Wheat AGB Modeling
3.2. Mining-Driven Cultivated-Land Damage in the Study Area
3.2.1. Comparisons of Winter Wheat AGB in the Strike Direction
3.2.2. Comparisons of Winter Wheat AGB in the Dip Direction
| Stages | Neutral Zone | Inner Stretch Zone | Compression Zone | Outer Stretch Zone | Comparing Zone |
|---|---|---|---|---|---|
| Reviving | 5.28 | 5.53 | 5.77 | 5.78 | 5.81 |
| Jointing | 7.94 | 8.83 | 9.00 | 8.64 | 9.09 |
| Flowering | 15.34 | 17.27 | 17.41 | 16.67 | 17.52 |
3.2.3. Comparisons of Winter Wheat AGB in Changing Zones
4. Analysis and Discussion
4.1. Modeling of Winter Wheat AGB Estimation in Coal Mining Area
4.2. Winter Wheat AGB-Variation Process during Coal Mining
4.3. Limitations and Future Recommended Works
5. Conclusions
- In terms of data selection, incorporating terrain, textures, and VI data resulted in an improved AGB estimation accuracy, with an R2 improvement of 0.28 and a decrease in RMSE of 1.36 t/ha, and the RF technique achieved an optimal AGB estimation accuracy of 0.89, with an RMSE of 2.18 t/ha.
- In terms of winter wheat AGB estimation, the AGB of winter wheat in the coal mining-affected area was successfully estimated to be approximately 5.59 t/ha at the reviving stage, 8.2 t/ha at the jointing stage, and 15.6 t/ha at the flowering stage.
- In terms of winter wheat AGB dynamic variation during coal mining, in the dip direction, most mining-affected zones had an upward trend of AGB at each growth stage with increasing distance from the water-accumulated area. Both the neutral zone and the outer stretch zone had a lower AGB, because wheat in the neutral zone suffered from waterlogging, and wheat near the stretching cracks suffered from drought. In the strike direction, as the mining proceeds, the area where AGB is significantly affected by coal mining gradually expands, and even areas where AGB had previously significantly increased gradually transition to a significant decrease with the end of mining.
Author Contributions
Funding
Data Availability Statement
Acknowledgments
Conflicts of Interest
Appendix A
| Type | Vegetation Index | Expression |
|---|---|---|
| Color index | Normalized green–red difference index | NGRDI = (G − R)/(G + R) |
| Visible atmospherically resistance index | VARI = (G − R)/(G + R − B) | |
| Color index of vegetation | CIVE = 0.441 × R − 0.881 × G + 0.385 × B + 18.78745 | |
| Excess-green index | ExG = 2 × G − R − B | |
| Excess-red index | ExR = 1.4 × R − G | |
| Red edge-based index | Red-edge chlorophyll index | CL rededge = NIR/RE − 1 |
| Red-edge ratio vegetation index | RERVI = NIR/RE | |
| Normalized-difference red edge | NDRE = (NIR − RE)/(NIR + RE) | |
| Optimized soil-adjusted vegetation index | OSAVI = 1.16(NIR − RE)/(NIR + RE + 0.16) | |
| Red-edge soil-adjusted vegetation index | RESAVI = 1.5 × (NIR − RE)/(NIR + RE + 0.5) | |
| Red-edge difference vegetation index | REDVI = NIR − RE | |
| Near infrared-based index | Difference vegetation index | DVI = NIR − R |
| Enhanced vegetation index | EVI = 2.5 × (NIR − R)/(NIR + 2 × R + 1) | |
| Normalized-difference vegetation index | NDVI = (NIR − R)/(NIR + R) | |
| Green normalized-difference vegetation index | GNDVI = (NIR − G)/(NIR + G) | |
| Green chlorophyll index | CL green = NIR/G − 1 | |
| Ratio vegetation index | RVI = NIR/R | |
| Wide dynamic-range vegetation index | WDRVI = (0.1NIR − R)/(0.1NIR + R) | |
| Non-linear index | NLI = (NIR × NIR − R)/(NIR × NIR + R) | |
| Green soil-adjusted vegetation index | GSAVI = 1.5 × (NIR − G)/(NIR + G + 0.5) | |
| Soil-adjusted vegetation index | SAVI = 1.5 × (NIR − R)/(NIR + R + 0.5) | |
| Modified seasonal ratio | MSR = (NIR/R − 1)/(NIR/R + 1)0.5 | |
| Renormalized-difference vegetation index | RDVI = (NIR − R)/(NIR + R)0.5 |
| VIs | AGB at Reviving Stage | AGB at Jointing Stage | AGB at Flowering Stage | AGB at Three Stages | Mean |
|---|---|---|---|---|---|
| RVI | 0.622998 | 0.70209 | 0.700568 | 0.575219 | 0.650219 |
| CL Green | 0.604611 | 0.713529 | 0.684409 | 0.567516 | 0.642516 |
| WDRVI | 0.605628 | 0.67713 | 0.69566 | 0.459473 | 0.609473 |
| CL redege | 0.570225 | 0.701512 | 0.664124 | 0.445287 | 0.595287 |
| RERVI | 0.570225 | 0.701512 | 0.664124 | 0.445287 | 0.595287 |
| MSR | 0.565123 | 0.673921 | 0.683771 | 0.540938 | 0.615938 |
| GNDVI | 0.56439 | 0.674483 | 0.671005 | 0.536626 | 0.611626 |
| RESAVI | 0.579167 | 0.68309 | 0.646354 | 0.536203 | 0.611203 |
| NDVI | 0.58551 | 0.646381 | 0.675319 | 0.535737 | 0.610737 |
| OSAVI | 0.567985 | 0.680344 | 0.65852 | 0.535616 | 0.610616 |
| NDRE | 0.534959 | 0.671784 | 0.659804 | 0.522182 | 0.597182 |
| NLI | 0.570495 | 0.634167 | 0.651207 | 0.418623 | 0.568623 |
| REDVI | 0.544432 | 0.682874 | 0.620386 | 0.515898 | 0.590898 |
| GSAVI | 0.541454 | 0.675127 | 0.626643 | 0.514408 | 0.589408 |
| RDVI | 0.529596 | 0.678018 | 0.631422 | 0.513012 | 0.588012 |
| EVI | 0.528911 | 0.676541 | 0.631005 | 0.512153 | 0.587153 |
| SAVI | 0.531446 | 0.671453 | 0.626435 | 0.409778 | 0.559778 |
| DVI | 0.480008 | 0.672627 | 0.600536 | 0.48439 | 0.55939 |
| VARI | 0.535538 | 0.557966 | 0.623586 | 0.472363 | 0.547363 |
| NGRDI | 0.486864 | 0.502667 | 0.565067 | 0.318199 | 0.468199 |
| ExR | 0.46088 | 0.416468 | 0.525257 | 0.367535 | 0.442535 |
| CIVE | 0.152012 | 0.302935 | 0.046913 | 0.167287 | 0.167287 |
| ExG | 0.144063 | 0.286297 | 0.031711 | 0.154024 | 0.154024 |
| GLCM Textures | AGB at Reviving Stage | AGB at Jointing Stage | AGB at Flowering Stage | AGB at Three Stages | Mean |
|---|---|---|---|---|---|
| B-mean | 0.255508 | 0.378815 | 0.375905 | 0.336743 | 0.336743 |
| B-variance | 0.383674 | 0.418238 | 0.108658 | 0.303523 | 0.303523 |
| B-homogeneity | 0.376917 | 0.568523 | 0.186872 | 0.377437 | 0.377437 |
| B-contrast | 0.301664 | 0.41255 | 0.160354 | 0.291523 | 0.291523 |
| B-dissimilarity | 0.370057 | 0.538382 | 0.182404 | 0.363614 | 0.363614 |
| B-entropy | 0.409686 | 0.59165 | 0.224437 | 0.408591 | 0.408591 |
| B-second moment | 0.380802 | 0.599646 | 0.22457 | 0.401673 | 0.401673 |
| B-correlation | 0.104566 | 0.421445 | 0.264365 | 0.263459 | 0.263459 |
| G-mean | 0.263346 | 0.53557 | 0.38294 | 0.393952 | 0.393952 |
| G-variance | 0.440451 | 0.578439 | 0.014476 | 0.344455 | 0.344455 |
| G-homogeneity | 0.46249 | 0.642588 | 0.101772 | 0.402284 | 0.402284 |
| G-contrast | 0.351301 | 0.58 | 0.066428 | 0.332576 | 0.332576 |
| G-dissimilarity | 0.443063 | 0.634596 | 0.091914 | 0.389858 | 0.389858 |
| G-entropy | 0.477495 | 0.678356 | 0.193487 | 0.449779 | 0.449779 |
| G-second moment | 0.462594 | 0.661677 | 0.192347 | 0.438872 | 0.438872 |
| G-correlation | 0.088604 | 0.173788 | 0.298674 | 0.187022 | 0.187022 |
| R-mean | 0.387926 | 0.51212 | 0.479243 | 0.459763 | 0.459763 |
| R-variance | 0.394499 | 0.391043 | 0.154841 | 0.313461 | 0.313461 |
| R-homogeneity | 0.48694 | 0.565702 | 0.100006 | 0.384216 | 0.384216 |
| R-contrast | 0.332397 | 0.376809 | 0.155871 | 0.288359 | 0.288359 |
| R-dissimilarity | 0.457659 | 0.519438 | 0.113796 | 0.363631 | 0.363631 |
| R-entropy | 0.534486 | 0.545397 | 0.144141 | 0.408008 | 0.408008 |
| R-second moment | 0.535663 | 0.514121 | 0.109556 | 0.386447 | 0.386447 |
| R-correlation | 0.158629 | 0.201121 | 0.032156 | 0.130636 | 0.130636 |
| RE-mean | 0.132201 | 0.396876 | 0.288065 | 0.272381 | 0.272381 |
| RE-variance | 0.194844 | 0.594516 | 0.077066 | 0.288809 | 0.288809 |
| RE-homogeneity | 0.182223 | 0.633908 | 0.017202 | 0.277778 | 0.277778 |
| RE-contrast | 0.18159 | 0.587926 | 0.015383 | 0.261633 | 0.261633 |
| RE-dissimilarity | 0.183854 | 0.626614 | 0.001936 | 0.270802 | 0.270802 |
| RE-entropy | 0.182876 | 0.640674 | 0.099681 | 0.307744 | 0.307744 |
| RE-second moment | 0.182707 | 0.61765 | 0.093549 | 0.297969 | 0.297969 |
| RE-correlation | 0.070984 | 0.107349 | 0.084404 | 0.087579 | 0.087579 |
| NIR-mean | 0.414326 | 0.609602 | 0.236589 | 0.420172 | 0.420172 |
| NIR-variance | 0.108541 | 0.498171 | 0.143276 | 0.249996 | 0.249996 |
| NIR-homogeneity | 0.131848 | 0.580684 | 0.008005 | 0.240179 | 0.240179 |
| NIR-contrast | 0.092651 | 0.480113 | 0.089068 | 0.22061 | 0.22061 |
| NIR-dissimilarity | 0.114926 | 0.546111 | 0.054759 | 0.238599 | 0.238599 |
| NIR-entropy | 0.086882 | 0.610724 | 0.142421 | 0.280009 | 0.280009 |
| NIR-second moment | 0.079283 | 0.583196 | 0.143527 | 0.268669 | 0.268669 |
| NIR-correlation | 0.270412 | 0.334756 | 0.076529 | 0.227232 | 0.227232 |

References
- China National Coal Association. Available online: https://www.coalchina.org.cn/index.php?m=content&c=index&a=lists&catid=67 (accessed on 21 March 2024).
- Xiao, W.; Fu, Y.; Wang, T.; Lv, X. Effects of land use transitions due to underground coal mining on ecosystem services in high groundwater table areas: A case study in the Yanzhou coalfield. Land Use Policy 2018, 71, 213–221. [Google Scholar] [CrossRef]
- Lechner, A.M.; Baumgartl, T.; Matthew, P.; Glenn, V. The Impact of Underground Longwall Mining on Prime Agricultural Land: A Review and Research Agenda. Land Degrad. Dev. 2016, 27, 1650–1663. [Google Scholar] [CrossRef]
- Liu, S.; Li, W. Indicators sensitivity analysis for environmental engineering geological patterns caused by underground coal mining with integrating variable weight theory and improved matter-element extension model. Sci. Total Environ. 2019, 686, 606–618. [Google Scholar] [CrossRef] [PubMed]
- Hu, Z.; Xiao, W.; Fu, Y. Introduction to Concurrent Mining and Reclamation for Coal Mines in China. In Mine Planning and Equipment Selection; Garsten, D., Raj, S., Eds.; Springer: Cham, Switzerland, 2014; pp. 781–789. [Google Scholar]
- Hu, Z.Q.; Li, J.; Zhao, Y.L. Problems, reasons and contermeasures for environmental quality and food safety in the overlapped areas of crops and mineral production. Sci. Technol. Rev. 2006, 3, 21–24. (In Chinese) [Google Scholar]
- Hu, X.; Li, X. Information extraction of subsided cultivated land in high-groundwater-level coal mines based on unmanned aerial vehicle visible bands. Environ. Earth Sci. 2019, 78, 413. [Google Scholar] [CrossRef]
- Xu, X.; Zhao, Y.; Hu, Z.; Yu, Y.; Shao, F. Boundary demarcation of the damaged cultivated land caused by coal mining subsidence. Bull. Eng. Geol. Environ. 2014, 73, 621–633. [Google Scholar] [CrossRef]
- Jiang, C.; Jiang, C.; Wang, Q.; Liu, H.; Li, D.; Zhu, Q.; Liu, F. Seasonal characteristics of groundwater discharge controlled by precipitation and its environmental effects in a coal mining subsidence lake, eastern China. Sci. Total Environ. 2024, 915, 170067. [Google Scholar] [CrossRef] [PubMed]
- Guo, W.B. Damage and Protection in Coal Mining; Emergency Management Press: Beijing, China, 2013. (In Chinese) [Google Scholar]
- Vishwakarma, A.K.; Behera, T.; Rai, R.; Sonkar, A.K.; Singh, A.P.; Shrivastva, B.K. Impact assessment of coal mining induced subsidence on native soil of South Eastern Coal Fields: India. Geomech. Geophys. Geo-Energy Geo-Resour. 2020, 6, 31. [Google Scholar] [CrossRef]
- Ren, H.; Xiao, W.; Zhao, Y.L.; Hu, Z.Q. Land damage assessment using maize aboveground biomass estimated from unmanned aerial vehicle in high groundwater level regions affected by underground coal mining. Environ. Sci. Pollut. Res. 2020, 27, 21666–21679. [Google Scholar] [CrossRef]
- Ahmed, M.; Else, B.; Eklundh, L.; Ardö, J.; Seaquist, J. Dynamic response of NDVI to soil moisture variations during different hydrological regimes in the Sahel region. Int. J. Remote Sens. 2017, 38, 5408–5429. [Google Scholar] [CrossRef]
- Xiao, W.; Chen, J.L.; Zhao, Y.L.; Hu, Z.Q.; Lv, X.J.; Zhang, S. Identify maize chlorophyll impacted by coal mining subsidence in high groundwater table area based on UVA remote sensing. J. China Coal Soc. 2019, 44, 295–306. (In Chinese) [Google Scholar] [CrossRef]
- Guo, G.L.; Li, H.Z.; Zha, J.F.; Liu, W.K.; Hu, Q.F.; Wang, F.T.; Chen, C.; Zhang, P.P.; Zhang, H.J.; Zhang, Q.X. Research status and countermeasures of coordinated development of coal mining and cultivated land protection in the plain coal-cropland overlapped areas. Coal Sci. Technol. 2023, 51, 416–426. (In Chinese) [Google Scholar] [CrossRef]
- Person, R. Remote Mapping of Standing Crop Biomass for Estimation of the Productivity of the Short-Grass Prairie; Pawnee National: Grasslands, CO, USA, 1972. [Google Scholar]
- Devia, C.A.; Rojas, J.P.; Petro, E.; Martinez, C.; Mondragon, I.F.; Patino, D.; Rebolledo, M.C.; Colorado, J. High-Throughput Biomass Estimation in Rice Crops Using UAV Multispectral Imagery. J. Intell. Robot. Syst. 2019, 96, 573–589. [Google Scholar] [CrossRef]
- Pouri, K.; Mardeh, A.S.S.; Sohrabi, Y.; Soltani, A. Crop Phenotyping for Wheat Yield and Yield Components against Drought Stress. Cereal Res. Commun. 2019, 47, 383–393. [Google Scholar] [CrossRef]
- Hein, N.T.; Ciampitti, I.A.; Jagadish, S.V.K. Bottlenecks and opportunities in field-based high-throughput phenotyping for heat and drought stress. J. Exp. Bot. 2021, 72, 5102–5116. [Google Scholar] [CrossRef] [PubMed]
- Roth, L.; Streit, B. Predicting cover crop biomass by lightweight UAS-based RGB and NIR photography: An applied photogrammetric approach. Precis. Agric. 2018, 19, 93–114. [Google Scholar] [CrossRef]
- Maddikunta, P.K.R.; Hakak, S.; Alazab, M.; Bhattacharya, S.; Gadekallu, T.R.; Khan, W.Z.; Pham, Q.V. Unmanned Aerial Vehicles in Smart Agriculture: Applications, Requirements, and Challenges. IEEE Sens. J. 2021, 21, 17608–17619. [Google Scholar] [CrossRef]
- Matese, A.; Toscano, P.; Di Gennaro, S.F.; Genesio, L.; Vaccari, F.P.; Primicerio, J.; Belli, C.; Zaldei, A.; Bianconi, R.; Gioli, B. Intercomparison of UAV, Aircraft and Satellite Remote Sensing Platforms for Precision Viticulture. Remote Sens. 2015, 7, 2971–2990. [Google Scholar] [CrossRef]
- He, G.Q. Mining Subsidence Science; China University of Mining and Technology Press: Xuzhou, China, 1991. (In Chinese) [Google Scholar]
- Alaee, N.H.; Mozafari, A.; Mirzaee, M.; Faghihi, A.; Tolouei, K. Fuzzy evaluation method for the identification of subsidence susceptibility in an underground mine (case study in Tabas coal mine of Iran). Nat. Hazards 2019, 99, 797–806. [Google Scholar] [CrossRef]
- Yang, D.; Bian, Z. Comparison of the disturbance of soil physical quality indices between different underground mining stages in semi-arid regions of Western China. Environ. Earth Sci. 2022, 81, 354. [Google Scholar] [CrossRef]
- Yang, D.J.; Bian, Z.F.; Lei, S.G. Impact on soil physical qualities by the subsidence of coal mining: A case study in Western China. Environ. Earth Sci. 2016, 75, 652. [Google Scholar] [CrossRef]
- Liu, Y.; Lei, S.G.; Chen, X.Y.; Chen, M.; Zhang, X.Y.; Long, L.L. Disturbance mechanism of coal mining subsidence to typical plants in a semiarid area using O-J-I-P chlorophyll a fluorescence analysis. Photosynthetica 2020, 58, 1178–1187. [Google Scholar] [CrossRef]
- Haralick, R.M.; Shanmugam, K.; Dinstein, I. Textural Features for Image Classification. IEEE Trans. Syst. Man Cybern. 1973, 6, 610–621. [Google Scholar] [CrossRef]
- Rouse, J.W.; Haas, R.H.; Deering, D.W.; Schell, J.A.; Harlan, J.C. Monitoring the Vernal Advancement and Retrogradation (Green Wave Effect) of Natural Vegetation; Great Plains Corridor; NASA: Washington, DC, USA, 1973. [Google Scholar]
- Zheng, H.B.; Cheng, T.; Zhou, M.; Li, D.; Yao, X.; Tian, Y.C.; Cao, W.X.; Zhu, Y. Improved estimation of rice aboveground biomass combining textural and spectral analysis of UAV imagery. Precis. Agric. 2019, 20, 611–629. [Google Scholar] [CrossRef]
- Jiang, Z.Y.; Huete, A.R.; Didan, K.; Miura, T. Development of a two-band enhanced vegetation index without a blue band. Remote Sens. Environ. 2008, 112, 3833–3845. [Google Scholar] [CrossRef]
- Yue, J.B.; Yang, G.J.; Tian, Q.J.; Feng, H.K.; Xu, K.J.; Zhou, C.Q. Estimate of winter-wheat above-ground biomass based on UAV ultrahigh-ground-resolution image textures and vegetation indices. ISPRS J. Photogramm. Remote Sens. 2019, 150, 226–244. [Google Scholar] [CrossRef]
- Gitelson, A.A.; Kaufman, Y.J.; Merzlyak, M.N. Use of a green channel in remote sensing of global vegetation from EOS-MODIS. Remote Sens. Environ. 1996, 58, 289–298. [Google Scholar] [CrossRef]
- Maimaitijiang, M.; Ghulam, A.; Sidike, P.; Hartling, S.; Maimaitiyiming, M.; Peterson, K.; Shavers, E.; Fishman, J.; Peterson, J.; Kadam, S.; et al. Unmanned Aerial System (UAS)-based phenotyping of soybean using multi-sensor data fusion and extreme learning machine. ISPRS J. Photogramm. Remote Sens. 2017, 134, 43–58. [Google Scholar] [CrossRef]
- Gitelson, A.A.; Gritz, Y.; Merzlyak, M.N. Relationships between leaf chlorophyll content and spectral reflectance and algorithms for non-destructive chlorophyll assessment in higher plant leaves. J. Plant Physiol. 2003, 160, 271–282. [Google Scholar] [CrossRef]
- Liu, Y.; Sun, Q.; Huang, Y.; Feng, H.K.; Wang, J.J.; Yang, G.J. Estimation of potato above ground biomass based on UAV multispectral images. Spectrosc. Spectr. Anal. 2021, 41, 2549–2555. (In Chinese) [Google Scholar]
- Gitelson, A.A. Wide Dynamic Range Vegetation Index for Remote Quantification of Biophysical Characteristics of Vegetation. J. Plant Physiol. 2004, 161, 165–173. [Google Scholar] [CrossRef] [PubMed]
- Han, L.; Yang, G.; Dai, H.; Xu, B.; Yang, H.; Feng, H.; Li, Z.; Yang, X. Modeling maize above-ground biomass based on machine learning approaches using UAV remote-sensing data. Plant Methods 2019, 15, 10. [Google Scholar] [CrossRef] [PubMed]
- Goel, N.S.; Qin, W. Influences of canopy architecture on relationships between various vegetation indices and LAI and Fpar: A computer simulation. Remote Sens. Rev. 1994, 10, 309–347. [Google Scholar] [CrossRef]
- Li, B.Y.; Wang, W.; Bai, L.; Chen, N.C.; Wang, W. Estimation of aboveground vegetation biomass based on Landsat-8 OLI satellite images in the Guanzhong Basin, China. Int. J. Remote Sens. 2019, 40, 3927–3947. [Google Scholar] [CrossRef]
- Sripada, R.P.; Heiniger, R.W.; White, J.G.; Weisz, R. Aerial color infrared photography for determining late-season nitrogen requirements in corn. Agron. J. 2005, 97, 1443–1451. [Google Scholar] [CrossRef]
- Huete, A.R. A soil-adjusted vegetation index (SAVI). Remote Sens. Environ. 1988, 25, 295–309. [Google Scholar] [CrossRef]
- Brinkhoff, J.; Dunn, B.W.; Robson, A.J.; Dunn, T.S.; Dehaan, R.L. Modeling Mid-Season Rice Nitrogen Uptake Using Multispectral Satellite Data. Remote Sens. 2019, 11, 1837. [Google Scholar] [CrossRef]
- Rondeaux, G.; Steven, M.; Baret, F. Optimization of soil-adjusted vegetation indices. Remote Sens. Environ. 1996, 55, 95–107. [Google Scholar] [CrossRef]
- Bendig, J.; Yu, K.; Aasen, H.; Bolten, A.; Bennertz, S.; Broscheit, J.; Gnyp, M.L.; Bareth, G. Combining UAV-based plant height from crop surface models, visible, and near infrared vegetation indices for biomass monitoring in barley. Int. J. Appl. Earth Obs. Geoinf. 2015, 39, 79–87. [Google Scholar] [CrossRef]
- Barnes, E.M.; Clarke, T.; Richards, S.E.; Colaizzi, P.D.; Haberland, J.; Kostrzewski, M.; Waller, P.M.; Choi, C.Y.; Riley, E.; Thompson, T.L.; et al. Coincident detection of crop water stress, nitrogen status and canopy density using ground-based multispectral data. In Proceedings of the Fifth International Conference on Precision Agriculture, Bloomington, MN, USA, 16–19 July 2000. [Google Scholar]
- Yue, J.B.; Yang, G.J.; Li, C.C.; Li, Z.H.; Wang, Y.J.; Feng, H.K.; Xu, B. Estimation of Winter Wheat Above-Ground Biomass Using Unmanned Aerial Vehicle-Based Snapshot Hyperspectral Sensor and Crop Height Improved Models. Remote Sens. 2017, 9, 708. [Google Scholar] [CrossRef]
- Al-Gaadi, K.A.; Hassaballa, A.A.; Tola, E.; Kayad, A.G.; Madugundu, R.; Assiri, F.; Alblewi, B. Characterization of the spatial variability of surface topography and moisture content and its influence on potato crop yield. Int. J. Remote Sens. 2018, 39, 8572–8590. [Google Scholar] [CrossRef]
- Mann, H.B. Nonparametric tests againsts trend. Econometrica 1945, 13, 245. [Google Scholar] [CrossRef]
- Zhang, H.; Ma, C.; Guo, W.; Li, T. Dynamic Monitoring of Winter Wheat Health in Mining Subsidence Areas by Combined Active and Passive Remote Sensing Technology. Land 2023, 12, 2079. [Google Scholar] [CrossRef]
- Blachowski, J.; Milczarek, W. Analysis of surface changes in the Walbrzych hard coal mining grounds (SW Poland) between 1886 and 2009. Geol. Q. 2014, 58, 353–367. [Google Scholar] [CrossRef]
- Feng, Y.; Wang, J.M.; Bai, Z.K.; Reading, L. Effects of surface coal mining and land reclamation on soil properties: A review. Earth-Sci. Rev. 2019, 191, 12–25. [Google Scholar] [CrossRef]
- Lei, S.G.; Ren, L.X.; Bian, Z.F. Time-space characterization of vegetation in a semiarid mining area using empirical orthogonal function decomposition of MODIS NDVI time series. Environ. Earth Sci. 2016, 75, 516. [Google Scholar] [CrossRef]
- Féret, J.B.; Gitelson, A.A.; Noble, S.D.; Jacquemoud, S. PROSPECT-D: Towards modeling leaf optical properties through a complete lifecycle. Remote Sens. Environ. 2017, 193, 204–215. [Google Scholar] [CrossRef]
- Jacquemoud, S.; Verhoef, W.; Baret, F.; Bacour, C.; Zarco-Tejada, P.J.; Asner, G.P.; François, C.; Ustin, S.L. PROSPECT plus SAIL models: A review of use for vegetation characterization. Remote Sens. Environ. 2009, 113, S56–S66. [Google Scholar] [CrossRef]
- Liu, Y.; Feng, H.K.; Yue, J.B.; Jin, X.L.; Fan, Y.G.; Chen, R.Q.; Bian, M.B.; Ma, Y.P.; Song, X.Y.; Yang, G.J. Improved potato AGB estimates based on UAV RGB and hyperspectral images. Comput. Electron. Agric. 2023, 214, 108260. [Google Scholar] [CrossRef]
- Gnyp, M.L.; Bareth, G.; Li, F.; Lenz-Wiedemann, V.I.S.; Koppe, W.G.; Miao, Y.X.; Hennig, S.D.; Jia, L.L.; Laudien, R.; Chen, X.P.; et al. Development and implementation of a multiscale biomass model using hyperspectral vegetation indices for winter wheat in the North China Plain. Int. J. Appl. Earth Obs. Geoinf. 2014, 33, 232–242. [Google Scholar] [CrossRef]
- Reddersen, B.; Fricke, T.; Wachendorf, M. A multi-sensor approach for predicting biomass of extensively managed grassland. Comput. Electron. Agric. 2014, 109, 247–260. [Google Scholar] [CrossRef]
- Fu, Y.Y.; Wang, J.H.; Yang, G.J.; Song, X.Y.; Xu, X.G.; Feng, H.K. Band Depth Analysis and Partial Least Square Regression Based Winter Wheat Biomass Estimation Using Hyperspectral Measurements. Spectrosc. Spectr. Anal. 2013, 33, 1315–1319. [Google Scholar] [CrossRef]
- Hu, X.; Niu, B.B.; Li, X.J.; Min, X.Y. Unmanned aerial vehicle (UAV) remote sensing estimation of wheat chlorophyll in subsidence area of coal mine with high phreatic level. Earth Sci. Inform. 2021, 14, 2171–2181. [Google Scholar] [CrossRef]
- Wang, Z. Analysis of Surface Movement and Deformation of the First Mining Face in Tang Jiahui Coal Mine. Master’s Dissertation, Anhui University of Science and Technology, Huainan, China, 2016. (In Chinese). [Google Scholar]
- Pan, D.J.; Zhang, N.; Zhao, Y.M.; Lei, S.G. Characteristics and mesoscopic mechanics of vegetation roots damage induced by mining in western mining area. J. China Coal Soc. 2017, 42, 373–380. (In Chinese) [Google Scholar] [CrossRef]
- Botyanszka, L.; Zivcak, M.; Chovancek, E.; Sytar, O.; Barek, V.; Hauptvogel, P.; Halabuk, A.; Brestic, M. Chlorophyll Fluorescence Kinetics May Be Useful to Identify Early Drought and Irrigation Effects on Photosynthetic Apparatus in Field-Grown Wheat. Agronomy 2020, 10, 1275. [Google Scholar] [CrossRef]













| Working Face | Coal Seam Thickness (m) | Burial Depth (m) | Length (m) | Width (m) | Mining Rate (m/d) | Status | Start Mining Time | Stop Mining Time |
|---|---|---|---|---|---|---|---|---|
| No. 16091 | 6.85 | 450 | 1475 | 145 | 7 | Has been mined | 15 November 2021 | 31 May 2022 |
| No. 16111 | 6.79 | 450 | 1475 | 150 | 7 | Being mined | 27 September 2022 | 29 April 2023 |
| No. 16131 | --- | 450 | 1400 | 170 | -- | To be mined | --- | --- |
| Different Area | Stages | Number of Samples | Mean (t/ha) | Max (t/ha) | Min (t/ha) | Standard Deviation | Coefficient of Variation (%) |
|---|---|---|---|---|---|---|---|
| Mining-affected area | Reviving | 49 | 9.75 | 18.55 | 4.01 | 3.11 | 31.86 |
| Jointing | 50 | 14.39 | 21.12 | 8.44 | 3.03 | 21.08 | |
| Flowering | 49 | 23.14 | 32.17 | 14.15 | 4.01 | 17.32 | |
| Control group | Reviving | 9 | 11.47 | 15.28 | 7.68 | 2.11 | 18.43 |
| Jointing | 10 | 16.01 | 20.76 | 13.07 | 3.05 | 19.08 | |
| Flowering | 10 | 28.09 | 33.98 | 21.17 | 3.94 | 15.09 |
| Vegetation Index | Expression | Reference | Biomass Estimation Application |
|---|---|---|---|
| Normalized-difference vegetation index | NDVI = (NIR − R)/(NIR + R) | [29] | Rice [30] |
| Enhanced vegetation index | EVI = 2.5 × (NIR − R)/(NIR + 2 × R + 1) | [31] | Winter wheat [32] |
| Green normalized-difference vegetation index | GNDVI = (NIR − G)/(NIR + G) | [33] | Soybean [34]; rice [30] |
| Green chlorophyll index | CL green = NIR/G − 1 | [35] | Rice [30] |
| Ratio vegetation index | RVI = NIR/R | [16] | Potato [36] |
| Wide dynamic-range vegetation index | WDRVI = (0.1NIR − R)/(0.1NIR + R) | [37] | Maize [38] |
| Non-linear index | NLI = (NIR × NIR − R)/(NIR × NIR + R) | [39] | Grass, shrub, and forest [40] |
| Green soil-adjusted vegetation index | GSAVI = 1.5 × (NIR − G)/(NIR + G+0.5) | [41] | This work |
| Soil-adjusted vegetation index | SAVI = 1.5 × (NIR − R)/(NIR + R+0.5) | [42] | This work |
| Modified seasonal ratio | MSR = (NIR/R − 1)/(NIR/R + 1)0.5 | [43] | Potato [36] |
| Red-edge soil-adjusted vegetation index | RESAVI = 1.5 × (NIR − RE)/(NIR + RE + 0.5) | [41] | This work |
| Optimized soil-adjusted vegetation index | OSAVI = 1.16(NIR − RE)/(NIR + RE + 0.16) | [44] | Winter wheat [32]; barley [45] |
| Normalized-difference red edge | NDRE = (NIR − RE)/(NIR + RE) | [46] | This work |
Disclaimer/Publisher’s Note: The statements, opinions and data contained in all publications are solely those of the individual author(s) and contributor(s) and not of MDPI and/or the editor(s). MDPI and/or the editor(s) disclaim responsibility for any injury to people or property resulting from any ideas, methods, instructions or products referred to in the content. |
© 2024 by the authors. Licensee MDPI, Basel, Switzerland. This article is an open access article distributed under the terms and conditions of the Creative Commons Attribution (CC BY) license (https://creativecommons.org/licenses/by/4.0/).
Share and Cite
Lyu, X.; Zhang, H.; Chen, Z.; Jiao, Y.; Du, W.; Zhang, X.; Luo, J.; Zhang, E. Winter Wheat Aboveground-Biomass Estimation and Its Dynamic Variation during Coal Mining—Assessing by Unmanned Aerial Vehicle-Based Remote Sensing. Agronomy 2024, 14, 1330. https://doi.org/10.3390/agronomy14061330
Lyu X, Zhang H, Chen Z, Jiao Y, Du W, Zhang X, Luo J, Zhang E. Winter Wheat Aboveground-Biomass Estimation and Its Dynamic Variation during Coal Mining—Assessing by Unmanned Aerial Vehicle-Based Remote Sensing. Agronomy. 2024; 14(6):1330. https://doi.org/10.3390/agronomy14061330
Chicago/Turabian StyleLyu, Xiaoxuan, Hebing Zhang, Zhichao Chen, Yiheng Jiao, Weibing Du, Xufei Zhang, Jialiang Luo, and Erwei Zhang. 2024. "Winter Wheat Aboveground-Biomass Estimation and Its Dynamic Variation during Coal Mining—Assessing by Unmanned Aerial Vehicle-Based Remote Sensing" Agronomy 14, no. 6: 1330. https://doi.org/10.3390/agronomy14061330
APA StyleLyu, X., Zhang, H., Chen, Z., Jiao, Y., Du, W., Zhang, X., Luo, J., & Zhang, E. (2024). Winter Wheat Aboveground-Biomass Estimation and Its Dynamic Variation during Coal Mining—Assessing by Unmanned Aerial Vehicle-Based Remote Sensing. Agronomy, 14(6), 1330. https://doi.org/10.3390/agronomy14061330

