Abstract
The applicability of ionic liquids has grown exponentially over the last few decades. This growth is due to the easy modification of these compounds formed by ions, through the proper choice of both moieties, and the possibility of introducing functional groups into their cations and anions. However, studies of their toxicity and effects on the environment remain scarce. This study analyses firstly the response to adding different concentrations of choline dihydrogen phosphate to the germination of seeds of eight plant species. It also examines the microbial population and the respiration of two soils with contrasting organic matter contents. Seeds were incubated in a Petri dish in a Phytotron with a photoperiod of 16 h under light at 24 °C and 8 h in darkness at 16 °C. The activity of microbial populations of untreated and treated soils was analysed by isothermal microcalorimetry at 25 °C. Basal soil respiration kinetics were measured at optimal moisture (80% of field water retention capacity) and temperature (25 °C) over 10 days. The results indicate that this compound has diverse effects on the different endpoints. Nevertheless, this compound can be classified as non-toxic considering its effects on seeds and on soil, at least in the medium- to long-term.
1. Introduction
Ionic liquids (ILs) are compounds formed entirely by ions which have low melting points. Almost two decades ago, Rogers and Seddon [1] predicted the explosion of the applicability of ILs during the following years. Today, the literature on these compounds is vast, and IL use comprises a wide range of applications including engineering, materials, science, biotechnology, pharmaceutics, and medicine [2].
The first great characteristic of ILs is its non-volatility. They were intended to substitute traditional industrial solvents, most of them volatile organic compounds, which represent the major source of environmental pollution in chemical industry [1]. For this reason, they have been called green fluids, although recent studies concluded that the toxicity of some ILs can be similar, or even higher, than that of traditional solvents [3,4].
Besides non-volatility, ILs possess other characteristic properties that include high thermal and chemical stability, high viscosity, a wide electrochemical window, and a thermochromism effect, among others. These properties, which are distinctive since the first generation of ILs, make them suitable candidates for use in very high- and very low-temperature applications such as lubrication [5] and the desulphurisation of fuels [6], batteries [7,8], fuel cells [9], optical sensors [10], and fluids in refrigeration systems [11], among others.
The latest generation of ILs also can include APIs (active pharmaceutical ingredients) in their structures (API-ILs) [12], with melting temperatures below body temperature (37 °C), avoiding common problems such as polymorphism. Thus, these new formulations are greatly effective in the development of novel pain-relieving medicines. In addition, the bioactivity of these next-generation ILs has also promoted their use in agriculture. In a recent review [13], the authors collected information on IL applicability, for example, in the extraction of natural products and the isolation and extraction of pesticides, including antimicrobials and fungicides [14,15].
Although IL applications are increasing, studies on toxicity—necessary for their suitable use, recovery, and recycling—are certainly insufficient, and sometimes contradictory, especially regarding the anion effect [16]. As pointed out previously, ILs are designed as green fluids and are practically harmless to the atmosphere. However, their ionic nature makes them water soluble in most cases, potentially causing persistence and toxicity in the environment at different levels [17]. It is important to highlight that ILs have the ability to break or modify the intramolecular hydrogen bonds within plant and microorganism cell walls and undergo structural changes by cross-linking with different chemical groups. Thus, understanding toxicity is a major challenge for science before the widespread applications of these compounds and their derivatives.
Sivapragasam et al. [16] summarise in their review the role of ionic nature on their toxicity, emphasising that the cationic moiety is the main contributor, while anions play a minor role in overall toxicity. These researchers also pointed out that aromatic rings, as imidazolium- and pyridinium-based ILs, alkyl chain length, and functionalisation in the side chain of cations can have important effects on toxicity, although it is highly dependent on the specific endpoint. In a previous work [18], some of these authors also indicated that anions showed a greater contribution to toxicity than cations in phosphonium- and ammonium-based ILs. Delgado-Medallo et al. [19] concluded that pyridinium-based ionic liquids and longer alkyl chain length lead to higher toxicity towards the bioluminescence of the bacterium Aliivibrio fischeri (A. fischeri). However, they also revealed that ILs with the TFSI (bistrifluoromethanesulfonilimide) anion present higher toxicity than thiocyanate or dicyanamide anions. In a recently published work by our research group [20], a study of 30 ILs using the bioluminescence of the bacteria A. fischeri as an endpoint, we observed that both anions and cations influence toxicity, with the alkyl length being a key factor that increases harmful effects with increasing chain size, except for FAP (tris(pentafluoroethyl) trifluorophosphate) anion-based ILs. We also found that TFSI anion-based ILs are the most toxic, while ammonium-based ILs are the least harmful, in total agreement with the conclusions of Mena et al. [21].
Recently, choline-based ILs have experienced a significant interest due to their high biocompatibility and applicability, as well as easy and economical synthesis. Among them, choline dihydrogen phosphate ([Chol][DHP]) has broad applicability, including in protein, DNA, and enzyme stabilization [22,23,24], piezo-electric biosensors [2], and growth media for Saccharomyces cerevisiae [25]. It is also used in electrochemical devices such as batteries, sensors, electrochromic and fuel cells [26], as an absorbent in heat pumps [27], in biomass pretreatment [28], the recovery of metals [29], drug delivery systems [30], and tissue engineering applications or human cell cultures [31,32].
Although this compound would not be classified as an IL according to the most classic and well-known classification, as its melting temperature is higher than 100 °C [33,34], its strong hydrogen bond network allows the formation of deep eutectic solvents (DESs) when mixed with other H-bond donor substances such as water, lowering the melting point and even leading to a liquid phase at room temperature [35].
Toxicity studies of [Chol][DHP] over A. fischeri marine bacteria [36,37] on mouse macrophage cells [38] and on S. cerevisiae [25] considered it practically harmless and biocompatible. Nevertheless, as mentioned earlier, the toxic effects are strongly dependent on the endpoint. Thus, ILs cannot be universally considered harmless to all biological/trophic levels.
To enhance and complete the study of the impact of this IL on the environment, this study pioneeringly analyses the ecotoxicity of choline dihydrogen phosphate in terms of three endpoints: seed germination inhibition of eight different plant species, the heat released by the microorganisms of two different soils (soil microcalorimetry), and soil microorganisms’ respiration (basal soil respiration) in two spiked soils with various aqueous concentrations of this compound.
2. Materials and Methods
2.1. Chemicals
The selected IL for this work is choline dihydrogenphosphate, [Chol][DHP]. Table 1 shows the complete and short name, CAS Registry number, chemical structure, molecular mass, purity, and supplier.
Table 1.
Identification names, CAS Registry number, chemical structure, molecular mass, purity, and supplier of selected ionic liquid.
2.2. Germination Response
To achieve the first objective, seed germination tests of six tree species and two herbaceous species after the addition of different amounts of [Chol][DHP] were carried out. The eight species, chosen by their wide geographical distributions worldwide [39], include the trees Eucalyptus globulus Labill., Pinus halepensis Mill., Pinus nigra Arnold., Pinus pinaster Aiton., Pinus sylvestris L., and Pinus radiata D. Don., as well as the herbaceous species Avena sulcata (Gay ex Boiss.) and Daucus carota L.
For each species, one control (0.0 g/L) and four different concentrations (0.1, 1, 10, and 100 g/L) in aqueous solutions of [Chol][DHP] were tested. Five replicates with 25 seeds per Petri dish were incubated for each species and treatment. The effect of the IL was tested on a total of 5000 seeds. Each replicate was incubated in a Petri dish on a double layer of filter paper in a Phytotron (Climas AGP890) with a photoperiod of 16 h under light at 24 °C and 8 h in darkness at 16 °C. Initially, 4 mL of each IL dose was added to each replicate. Petri dishes were watered with the amount of distilled water to keep the seeds moist. Germinated seeds were counted three times per week until the germination was completed in all species (45 days of incubation). The average germination percentage level was calculated for the data of all treatments tested. Also, the temporal distribution of germination and the average GT50 rate (time that each replicate took to reach 50% germination) were calculated, following the methodology of a previous work [40].
To determine the statistical significance of the differences between treated samples and controls in seed germination and seedling growth, univariate linear models were performed. One overall analysis of variance (ANOVA) including species, chemical compound, and dose factors was performed with the percentage of germination and the GT50 data. Afterwards, independent analyses of variance tests were performed for each species. The Duncan tests were applied for post hoc comparisons when needed. Those cases in which there were not at least three replications were excluded from the analyses.
When the data did not meet normality or homogeneity of variance, they were transformed using the Root transformation, which allowed them to approach compliance with the conditions of the ANOVA.
2.3. Early Growth
The influence of [Chol][DHP] addition on early growth was also analysed in this work. The effect on the survival and the total length of the plants of the two herbaceous species, A. sulcata and D. carota, was analysed. These species were selected for this study because they are annual or perennial species [41] that develop very quickly and reach adulthood in a short time.
To obtain enough seedlings of the same age, a second round of germination tests was carried out with the 3 doses of [Chol][DHP] that resulted in the highest germination percentage: 0, 0.1, and 1 g/L.
In total, 6 Petri dishes with 200 seeds each were sown. The incubation of the seeds was maintained until obtaining at least 40 seedlings of each species and doses germinated on the same day. Then, the seedlings were transplanted into plastic pots with perlite and distilled water. Five replicates of each dose and species were made with 8 seedlings each in a pot. The seedlings were incubated under the same photoperiod as the seeds of the germination test. After 21 days of incubation, the plants were removed from the pots and their survival in each pot and total length of each plant was measured.
2.4. Soil Calorimetry and Basal Soil Respiration
2.4.1. Soils and Soil Characteristics
Two Galician soils were selected for this study, both developed over granite but under different land uses, so they had varying organic matter contents. Soil characteristics, particularly organic matter content and pH, can influence their response to exogenous compounds [42]. Consequently, establishing the toxicity of a specific IL in soils with different characteristics is essential, as it can influence the IL’s impact on soil functioning and, consequently, its toxicity. In this study, we selected soils with different organic matter contents (as it is one of the main properties influencing the toxicity of exogenous compounds), while keeping all other soil properties similar, to avoid confounding effects. One of the soils is a forest soil developed under oakwood vegetation (Negreira soil), and the other is an agricultural soil under maize cultivation (A Pedra soil). The forest soil is classified as an Umbrisol, while the agricultural soil is classified as a Regosol [43]. In both cases, the top 10 cm of the soil (A horizon) were collected after removing the litter layer (forest soil) and plant remains (agricultural soil). The soil samples were transported in isothermal bags to the laboratory, where they were sieved (<4 mm). A sub-sample of each soil was air-dried to determine general soil properties (and subsequently grinded to analyse the total C and N contents) and the remainder was stored at 4 °C until the beginning of the incubation experiment conducted to measure the soil basal respiration in soils spiked with different amounts of [Chol][DHP].
The main physical and chemical properties of the soils were determined in air-dried sub-samples. Total C and N contents of finely ground samples were determined in a CNH Elemental Analyser (LECO 628, LECO Corporation, Saint Joseph, MI, USA); soil pH was determined in a suspension in 1 M KCl (1:2.5 soil/solution ratio) as described by Guitián-Ojea & Carballas-Fernández [44]. Particle size distribution was determined using a Robinson pipette with Calgon as dispersant, after oxidation of the organic matter with H2O2 and eliminating with 1 M HCl the Al and Fe compounds contributing to aggregation [44], and the textural class was assigned according to the USDA soil texture classification [45]. Field water retention capacity was determined as the water retained by the soil at a potential of −30.39 kPa or pF 2.5, which was measured in undisturbed soil samples with a Richards plate-and-membrane apparatus [44]. The soil moisture content was determined after oven-drying the soil at 105 °C for 24 h.
The two soils had very similar physico-chemical characteristics, except for the organic matter content. Thus, both soils were acidic, with similar pH (3.51 and 3.73 for the forest and the agricultural soil, respectively) and sandy loam texture. The organic matter content was very high in the forest soil and much lower in the agricultural soil. Thus, the forest soil had a total C content of 11.91% and a total N content of 0.58%, while the agricultural soil had a total C content of 1.98% and a total N content of 0.17% (Table 2). Due to their different organic matter contents, the two soils also differed in their field water retention capacity (pF 2.5), which was much higher in the forest soil than in the agricultural soil (Table 2).
Table 2.
Main physico-chemical characteristics of the soils used in this study. Mean values ± standard deviations.
2.4.2. Soil Microcalorimetry
Different solutions of [Chol][DHP] were prepared by dilution with distilled water, to yield final concentrations of 0, 1, 10, 25, 50, and 75% (see Table 3). The moisture content of sieved soils was pre-adjusted to the required level of soil moisture, so that after adding the IL solution, the moisture content was 80% of the field water retention capacity (Table 2), i.e., 68.0 and 27.4% for the forest and the agricultural soil, respectively. The effect of adding different concentrations of the IL indicated in Table 3 on the microbial activity of these soils was studied by microcalorimetry. Experiments were performed using an isothermal microcalorimeter TAM III (TA-Instruments). This apparatus was used to evaluate the short-term effect of the addition of different amounts of ILs under closed and static experimental environments. Measurements were carried out at 25 °C in hermetically sealed 5 mL stainless steel ampoules closed with a Teflon-coated septum and a steel cap. Soil samples between 0.7 g and 1 g size at 80% of the field water retention capacity, treated with 0.2 mL of a glucose solution in water with a concentration of 6.25 g/L, which corresponds to 3.47 × 10−2 mol/L, to activate the metabolism of soil microorganisms, were used as controls. The heat released by the microorganisms was recorded until the glucose had been totally consumed [46]. Three replicates were performed for each case. The methodology is widely described in the literature [40,47].
Table 3.
IL percentage, mass, and molar concentration in water for the study of soil effects.
2.4.3. Basal Soil Respiration
The soils were then spiked with 0.1 mL of the different [Chol][DHP] solutions used for microcalorimetric study per gram of soil (equivalent to doses of 0, 1.05, 10.50, 26.25, 42.00, and 63.00 g of [Chol][DHP] kg−1 oven-dried soil) and kept at 20 °C for three days to maximise contact between the soil and the IL. This duration was chosen based on the results of prior experiments that indicated that the major modifications in soil biological and biochemical properties occur within 72 h of contamination [48,49,50]. Three days after adding the IL solutions to the soils, all the [Chol][DHP]-spiked soil samples were incubated to measure the basal soil respiration and respiration kinetics.
Basal soil respiration was determined in triplicate by static incubation [44]. Briefly, moist soil samples equivalent to 25 g of oven-dried soil were incubated in tightly closed Mason jars at 80% of the field water retention capacity and at 25 °C (optimal conditions) for 10 days. The CO2 produced was collected in 10 mL of a 1 M NaOH solution, which was then titrated against HCl with an automatic titrator. Two Mason jars with NaOH solution but no soil were also incubated under the same conditions to consider the CO2 in the jars. To estimate the kinetic of soil respiration, the NaOH solution was collected and titrated after 1, 2, 4, 7, and 10 days. On each occasion, the jars were left open for 30 min to allow for air replacement before fresh NaOH solution was added. However, for the IL-spiked soils, the volume and molarity of the NaOH was modified in some cases, depending on the evolution of the CO2 emitted by the soils, to ensure that there was enough NaOH to retain the CO2 emitted by the IL-spiked soils when it was very high.
3. Results
3.1. Germination
3.1.1. Germination Percentage
The mean values of the germination percentage for each of the eight species after the addition of the four concentrations of the [Chol][DHP] and the corresponding control are summarised in Table 4. A significant reduction in germination as the dose increases was the general trend for all the species, although notable differences between them should be highlighted, especially between the tree species and the herbaceous species. In the two herbaceous species, the action of [Chol][DHP] was stronger, totally inhibiting germination with doses of 10 and 100 g/L. In the tree species, the 100 g/L dose was the only one that induced significant germination decreases for all the tree species. The 10 g/L dose only produced significant germination reductions in P. radiata seeds. The other doses resulted in percentages similar to those of the control treatment, with the exception of 0.1 g/L in P. halepensis which increased the germination of this species. Sometimes, small doses of ionic liquid resulted in germination stimulation; for example, [C4C1C1Im][OTf] at a dose of 0.01% produced a germination stimulation of P. radiata [51]. These results indicate that [Chol][DHP] is more harmless than other ionic liquids [40]; while [Chol][DHP] only produces total inhibition of germination with doses of 100 g/L in A. sulcata, D. carota, and P. halepensis, other ILs such as [C4C1Im][BF4] and [C3C1Im][NTf2] cause inhibition of germination in the six tree species studied at only 10 g/L [40]. These observations indicate that the inhibition of germination produced by [Chol][DHP] is less than that induced by other ILs in other herbaceous species [52].
Table 4.
Germination percentage and SE of every species and dose of [Chol][DHP]. In each species, different letters behind the date indicate significant differences between the control and the dose.
3.1.2. Temporal Distribution of Germination
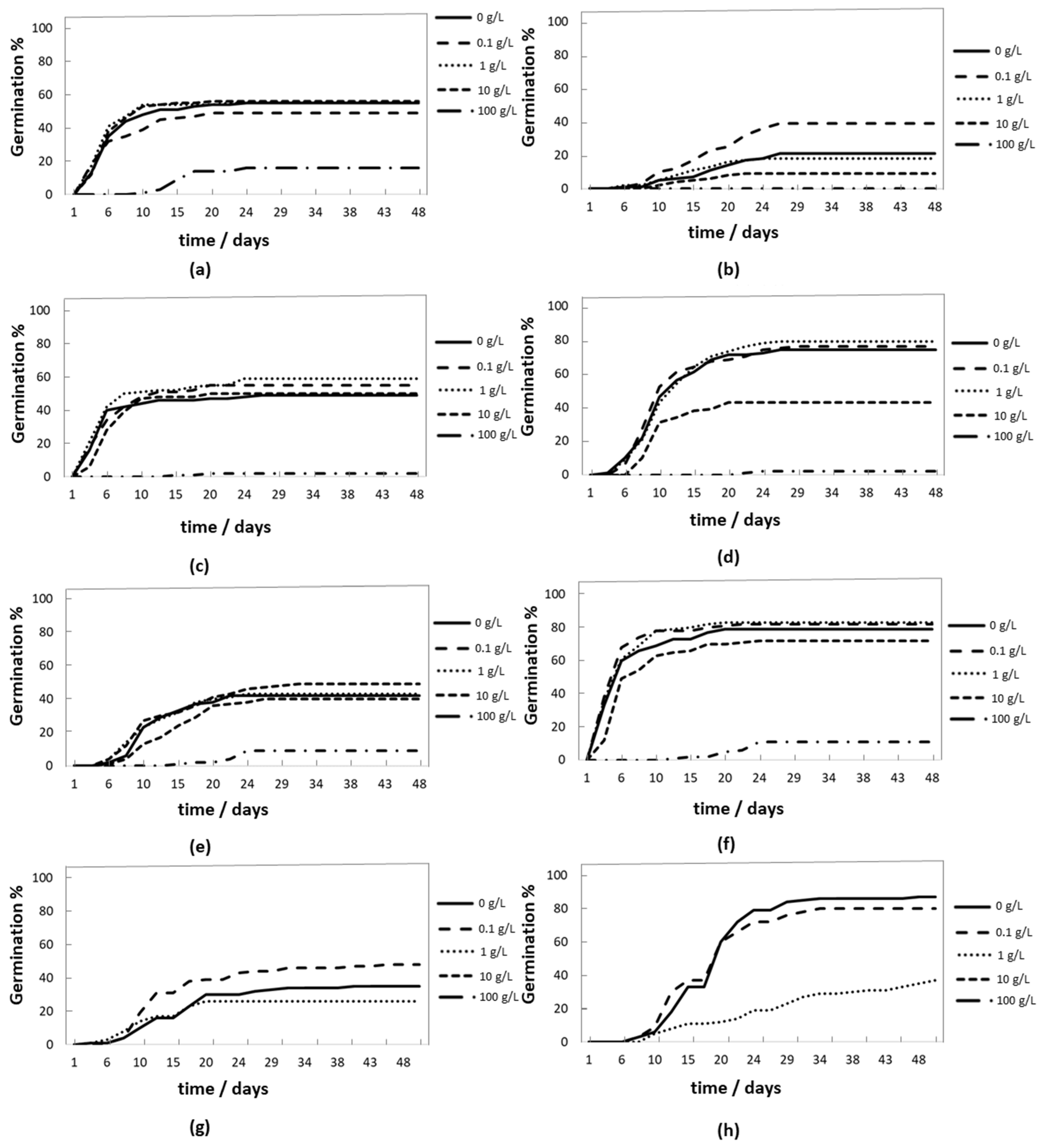
Figure 1 shows the temporal distribution of the germination of each of the species tested under [Chol][DHP], which is characteristic for each species, as usually happens in relation to other factors such as heat, smoke, or ash [53]. Doses of 0.1 and 1 g/L of [Chol][DHP] barely modified the temporal pattern of germination of the six tree species. However, the 1 g/L dose delayed and reduced the germination of D. carota and this effect was much more evident in A. sulcata. The dose of 10 g/L hardly modified the germination curves of E. globulus, P. nigra, P. pinaster, and P. sylvestris, but it reduced the curves of P. halepensis and P. radiata and totally annulled the germination of the two herbaceous species. The highest dose tested (100 g/L) led to large delays in the beginning of germination, even producing a total inhibition in P. hapensis and the studied herbaceous species. Similar behaviours were detected in seeds of A. sulcata and D. carota treated with [C4C1Im] [OTf] [53].
Figure 1.
Temporal distribution of germination percentage of the seeds of 6 tree and 2 herbaceous species: P. nigra (a), P. halepensis (b), P. silvestris (c), P. radiata (d), P. pinaster (e), E. glóbulus (f), D. carota (g), and A. sulcata (h) exposed to different doses of [Chol][DHP].
3.1.3. Germination Rate
The rate of germination (GT50) was different for each species, varying between 5.2 days for E. globulus control seeds and 18.0 days for A. sulcata control seeds (Table 5). Likewise, significant differences between the doses applied were detected; thus, the 100 g/L dose delayed germination in all tree species that showed some germination by increasing the GT50 by two or three times with regard to the control (p < 0.001). In P. halepensis, A. sulcata, and D. carota, there were not enough replicates to apply the statistical analysis, but the trends observed were the same. Other ILs such as [C4C1Im][BF4] and [C3C1Im][NTf2] also cause important delays in the germination of Pinus species [40]. The delay in germination presents significant ecological disadvantages for the species, as other species that quickly germinate can occupy vacant spaces, making survival challenging even if germination eventually occurs [54,55].
Table 5.
Germination speed (GT50) and SE of every species and for every dose of [Chol][DHP]. In each species, different letters behind the date indicate significant differences between the control and the dose.
3.1.4. Early Growth
Figure 2 and Figure 3 show the survival percentage of the seedlings and the average total length, respectively, of the two herbaceous species versus the concentration of [Chol][DHP]. The two species showed very high survival with the treatment 0 g/L: 95.8% in D. carota and 97.5% in A. sulcata. The 0.1 and 1 g/L doses did not modify the survival of A. sulcata, but it did lessen the survival of D. carota (p < 0.001). Highly significant differences were detected (p = 0.009) between the survival of D. carota and A. sulcata, when 0.1 and 1 g/L doses were applied, where the survival of the latter was higher.
Figure 2.
Survival percentages and SE of D. carota and A. sulcata with the [Chol][DHP] doses tested. Different lowercase letters indicate differences between species treated with the same dose. Different capital letters indicate significant differences between doses applied to the same species.
Figure 3.
Total plant length and SE, in cm, reached by D. carota and A. sulcata with the [Chol][DHP] doses tested. Different lowercase letters indicate differences between species treated with the same dose. Different capital letters indicate significant differences between doses applied to the same species.
Figure 3 shows that the average total length of the D. carota plants that survived up to 21 days was greater (about 5 cm) than that of the A. sulcata plants (approximately 4 cm). The applied ANOVA detected significant differences between species (p = 0.008) but not between doses.
[Chol][DHP] did not affect the growth of the seedlings of the two herbaceous species studied nor the survival of A. sulcata, while only the highest dose reduced the survival of D. carota by 25%. The survival and length of A. sulcata and D. carota seedlings were barely modified with the 0.1 and 1 g/L doses of [Chol][DHP]. These variables could not be checked with higher doses because germination was completely inhibited, as previously indicated. Probably higher doses of [Chol][DHP] would limit both survival and growth of the seedlings, but in low doses [Chol][DHP] is practically harmless to plant growth. [52].
3.2. Soil Microcalorimetric Response
The power–time curves of the selected untreated soils, which reflect the activity of the microbial populations against time, are presented in Figure 4. This technique is currently used for detecting the toxic effects of different compounds in several bacteria and the behaviour is characterised by four different phases: lag, growth, stationary, and decline phases, as is widely described in the literature [25,56]. The microbial growth rate constant k could be obtained from the semilogarithmic conversion of heat flow rate in the growth phase (which usually exhibits exponential behaviour) according to Wang et al. [57], using the equation , where P is the thermal power and t is time.
Figure 4.
Power–time curves of the untreated soils of Negreira and A Pedra.
Important similarities and differences have been observed between both soils. Hence, the extent of the experiment (end of the decline phase) is similar, between 35 and 38 h, and the heat released by microorganisms during this time is comparable, although the shapes of the curves are very different. The main difference is that Negreira soil presents a curve with an almost null log phase, while A Pedra soil delays the beginning of the growth phase by approximately 10 h. Moreover, it is convenient to note that this last soil shows the highest microbial growth rate.
Figure 5 shows the microbial behaviour of both soils after adding the different concentrations of [Chol][DHP] and, for a better comparison, the corresponding curves for untreated soils are also included. Table 6 summarises the main parameters obtained from these curves: the normalised heat released by microorganisms, the time necessary for reaching the maximum of the curve, and the microbial growth rate.
Figure 5.
Power–time curves of Negreira (a) and A Pedra (b) soils treated with the different concentrations of [Chol][DHP] and the corresponding curve of untreated soils.
Table 6.
Results of the microcalorimetric experiments of Negreira and A Pedra soils, untreated and treated with the different concentrations of [Chol][DHP]; heat released by the microorganisms (Q), time to achieve the maximum of the power–time curve (tmax), and microbial growth rate (k).
All treated soil curves have an initial acute and narrow exothermic peak, which is analogous to the peak found in a previous work by our group analysing the effect of [C4C1Im][BF4] in two similar soils and which was associated with stress prior to the death of microorganisms as a consequence of adding this IL. This peak in [Chol][DHP] curves is less severe, indicating that despite an initial stress in soil microorganisms, they are able to survive and can metabolise this compound, in contrast to what happened after adding [C4C1Im][BF4], which tends to hydrolyse, releasing the fluoride ion and drastically decreasing the soil pH. As a result of this initial stress, the exponential growth phase is delayed by over 10 h after starting the experiment, resulting in an increase in the log phase, in particular for the most concentrated samples, although important differences between both soils treated with the doses of 50% and 75% (500 and 750 g[Chol][DHP]/LH20, respectively) can be observed. In the Negreira soil, despite the delay in the growth phase, the decline phase occurs at shorter times in the spiked samples than in the unspiked ones; therefore, the maximum of the power curves appears at shorter times (see Table 6). In contrast, adding higher doses of IL to the A Pedra soil causes a displacement of all the characteristic phases of microbial behaviour and a significant increase in the time needed to reach the maximum in the power–time curve.
In both soils, the heat released by microorganisms tends to decrease slightly, with a reduction limited to 20% after the addition of the most concentrated mixture (750 g[Chol][DHP]/LH20). Another important aspect to be underlined is how different the microbial growth rate behaves after adding the IL, which shows a tendency to increase in Negreira soil whereas the opposite happens in A Pedra soil.
3.3. Basal Soil Respiration
As expected, the untreated soil with higher organic matter content (Negreira) respired much more than the one with lower organic matter content (A Pedra soil) (Figure 6 and Figure 7). However, when analysing the total amount respired over the 10 day incubation period in relation to the total C content of each soil (specific mineralisation rate [58]), the relative amount of CO2-C emitted was equal in both cases (4.19 and 4.18 g CO2-C g−1 C 10 days−1, for A Pedra and Negreira soils, respectively), indicating that the specific microbial activity in both soils was similar, in concordance with the results of heat released by microorganisms obtained from the microcalorimetric studies.
Figure 6.
Kinetics of basal soil respiration in A Pedra (a) and Negreira (b) soils unspiked and spiked with the different amounts of [Chol][DHP].
Figure 7.
Total CO2-C emitted during the 10 days of incubation by A Pedra (a) and Negreira (b) soils unspiked and spiked with different amounts of [Chol][DHP].
The addition of the 1% [Chol][DHP] solution to the soil (1.05 mg kg−1 soil) had no effect on either the kinetics of basal soil respiration or the total amount of CO2-C emitted by either soil. However, for both soils, applications of 10% or more concentrated [Chol][DHP] solution (i.e., applications of 10.5 g [Chol][DHP] kg−1 soil and above) strongly affected both basal soil respiration and respiration kinetics, although the effect differed between the two soils (Figure 6 and Figure 7). In both soils, there was a strong increase in the amount of CO2-C emitted, accompanied by a delay in the timing of this increase, with the delay being more pronounced the higher the amount of [Chol][DHP] added to the soil. However, the timing of this increase varied between the two soils, with the response being much faster in the Negreira than in the A Pedra soil. These observations agree with the delay of the growth phase and the behaviour of tmax with the concentration of the IL in both soils in the microcalorimetric study. The increase in respiration after adding the 10% and 25% solutions to the Negreira soil was very rapid, with a peak in the amount of CO2-C emitted on the first day of incubation. Subsequently, the amount of CO2-C emitted decreased progressively until reaching levels similar to those of the unspiked soil. However, the basal respiration of the soil with the highest amounts of [Chol][DHP] (50 and 75% solutions) showed a longer delay and remained relatively high during most of the incubation period. In the soil treated with the 50% solution, respiration began to decline from the seventh day of incubation, while in the soil treated with the highest concentration of IL (75% solution), respiration continued to increase even after ten days of incubation (Figure 6). This suggests a substantial amount of mineralisable substrate remaining in the soil. In the A Pedra soil, the mineralisation kinetics follow a similar behaviour to that of the Negreira soil, but with a delay both in the time at which the increase in CO2 emission is initiated and at which it starts being reduced, tending to recover the emission values of the soil without the addition of IL (Figure 7). In fact, in the soil treated with the highest amount of IL (63 g [Chol][DHP] kg−1 soil), the lag period lasts 4 days and until that moment the CO2-C emission is extraordinarily low. Although from the fourth day of incubation, the C mineralisation increases, at the end of the incubation period it is still much lower compared to any of the lower doses and much lower than that observed for this dose in the Negreira soil (Figure 6). Consequently, the total amount of CO2-C emitted during the 10 days of incubation (accumulated CO2-C) differs significantly between the two soils, as does the amount emitted by each of the soils with different doses of IL (Figure 7). In the Negreira soil, an increased amount of CO2-C is emitted the higher the doses of IL added, reaching up to an amount of C equivalent to 76% of the total C added to the soil with [Chol][DHP] in the soil treated with the 50% IL solution (Table 7). However, it is remarkable that the soil treated with the highest dose (75% solution) exhibits a much lower total amount of CO2-C emitted compared to the soil treated with the 50% solution. Furthermore, proportionally in relation to the amount of C added, the emissions from the soil treated with the 75% solution are much lower than those from the soil treated with the 10, 25, and 50% IL solutions. In the A Pedra soil, although the amount of IL and, therefore, of C added to the soil is the same as in the Negreira soil, the total amount of CO2-C emitted by the soil treated with any of the doses of [Chol][DHP] is generally lower than those emitted by the Negreira soil, with the exception of the 10% and 25% doses. In other words, the addition of [Chol][DHP] to the soil causes a strong increase in basal soil respiration, but the intensity of this increase varies greatly depending on the soil, being much lower in the soil with the lowest organic matter content (A Pedra soil) than in the soil with the highest amount of organic matter (Negreira soil). The very low amount of CO2-C emitted by the A Pedra soil with the highest dose of IL (Figure 7) is also remarkable (only represents a 5% of the added carbon), but this is probably due to the fact the soil is still in the early stages of increasing mineralisation after the long lag period that occurred in this soil with this dose. There is no clear explanation for the difference between the rate of mineralisation in both soils and the proportion of C added to the soil that is mineralised. This could be related to different factors, such as the different relative proportion resulting from the addition of the same amounts of C, N, and P to the two soils, the imbalance between the three nutrients added (probably with a stronger effect in the soil with lower organic matter content), or the lower size and activity of microbial communities in A Pedra than in the Negreira soil. However, further investigation, beyond the scope of this work, is necessary to elucidate which, if any, of these factors explains this finding since the current data are insufficient to reach any conclusions in this regard.
Table 7.
Amounts of C, N, and P added with the different [Chol][DHP] solutions to the soils, and amount of IL per unit of oven-dried soil added with each of the [Chol][DHP] solutions.
As previously pointed out, the delay in the increase of the emission of CO2 observed both in Negreira and in A Pedra soils spiked with [Chol][DHP] is consistent with the delay observed in heat emission detected by microcalorimetry in this study. Similar results have also been observed by microcalorimetry [59,60] or by basal soil respiration [61] for these soils spiked with other ILs such as 1,3 dimethylimidazolium dimethylphosphate or ethylammonium nitrate (EAN), both pure and in saturated mixtures of IL and aluminium or lithium salts. The lag period has been attributed to the time that the soil microbial communities need to adapt to the new conditions due to the new substrates added with the ILs, and therefore the time that these microorganisms need before they start to take advantage of the new substrates.
The addition of [Chol][DHP] to the soils resulted in the addition of large amounts of carbon (C), nitrogen (N), and phosphorus (P) to the soil (see Table 7), leading to a large increase in the total C, N, and P contents of both soils. This increase was proportionally higher in the A Pedra soil than in the Negreira soil due to the lower organic matter content in the former than in the latter (Table 2). The lag observed in the increase in soil respiration after treatment with different doses of [Chol][DHP], especially for the highest doses, was probably due to a shift in the microbial populations owing to the addition of these large amounts of essential nutrients. The increase in soil respiration was facilitated by the addition of the three main macronutrients (C, N, and P) to the soil, thereby promoting the activity and growth of soil microorganisms. However, there was probably an imbalance in the amounts of these elements, which likely caused a shift in soil microbial communities to a fungi-dominated community, as was previously indicated for the same soils treated with pure EAN alone and saturated with lithium [61]. Although it was not possible to determine the structure and composition of the microbial communities in the soils treated with the different amounts of [Chol][DHP], the appearance of fungi was evident on the surface of both soils immediately after the start of incubation. The fungi were more abundant the higher the amount of IL added to the soil and increased rapidly throughout the incubation, so that by the end of the 10 day incubation, both soils were covered by a thick layer of white fungal mycelium (Figure 8). As also observed in other IL-treated soils [61], the high amounts of C present in the [Chol][DHP]-treated soils prevented the determination of microbial biomass C, which relies on the measurement of the C released after killing the microorganisms present in the soil [62]. Therefore, we were unable to determine whether there was an increase in the size of the microbial communities. However, the appearance of fungi clearly indicates an increase, at least in fungal communities. While it is not possible to determine whether there was also an increase in bacteria, the presence of [Chol][DHP] did not appear to be toxic to microbial populations. This is supported by the fact that none of the soils treated with [Chol][DHP] showed a reduction in basal soil respiration, which usually occurs for highly toxic compounds to a broad range of fungal and bacterial species. Future studies should analyse the structure and composition of microbial communities in soils treated with this compound to elucidate this issue. Nevertheless, although [Chol][DHP] appears to be non-toxic to soil microorganisms, the strong increase in soil respiration seems to reflect a transient state of high microbiological and biochemical activity, because [Chol][DHP] constitutes a degradable substrate capable of stimulating the proliferation of certain components of the soil microbiota [63].
Figure 8.
Soils from Negreira (left) and A Pedra (right) after 10 days of incubation, showing the fungi developed in both cases. In the Negreira soil, all doses of [Chol][DHP] added are shown (1, 10, 25, 50, and 75% from left to right, respectively), while in the case of the A Pedra soil only the sample with 50% of the IL added is shown.
4. Conclusions
In this work, we thoroughly studied the germination response of eight vegetable species and the microbial populations of two soils with different organic matter contents after adding different concentrations of choline dihydrogen phosphate ([Chol][DHP]. The main conclusions of this study are summarised as follows:
Low doses of [Chol][DHP] do not affect germination rate or germination dynamics. All species studied, except A. sulcata, maintain their germinative behaviour unaffected at doses of 1 g/L. The herbaceous species A. sulcata and D. carota are the most sensitive to the addition of [Chol][DHP].
After 21 days of germination, the survival of seedlings germinated in the presence of [Chol][DHP] was still high and similar to that of control seedlings. In general, the length of 21-day-old treated seedlings was similar to that of the corresponding control.
Although the two soils used for this study have very different organic matter contents, the heat released by the soil microorganisms in unspiked soil is similar in both soils, in agreement with the specific respiration, i.e., the amount of CO2-C emitted per C unit by both soils during the 10 days of the incubation. Nevertheless, the shape of the power–time curves of both untreated soils differ considerably. Thus, the agricultural and less rich in organic matter soil of A Pedra shows a lag phase of 10 h, which is null for the soil with high organic matter content of Negreira. In contrast, the A Pedra soil exhibits the highest microbial growth rate.
Both microcalorimetry and basal soil respiration showed that the addition of the different doses of [Chol][DHP] causes an initial stress of the soil microbial communities. According to the microcalorimetry results, this stress is weaker than that observed for other ILs. In addition, a delay in the log phase of the heat curves obtained by microcalorimetry was also observed, specifically for the soil with less organic matter treated with the highest concentrations of the IL. However, the reduction of heat released is very small, showing that soil microorganisms are able to rapidly metabolise [Chol][DHP], especially in the highly organic soil. This suggests that in the case of accidental spillage, soil microorganisms would survive and be able to degrade this compound. The results obtained by basal soil respiration are generally in agreement with those obtained by microcalorimetry. Thus, apart from the aforementioned initial stress of the microbial populations observed by both methods, basal soil respiration also shows a lag phase before a strong increase in soil respiration. This lag phase, longer in the soil with lower organic matter content, suggests a period of adaptation of the microbial communities before they start to degrade the applied [Chol][DHP]. It is very likely that this period is accompanied by a shift in the microbial communities towards a fungal-dominated community.
The synergy generated from the different methodologies used in this work to analyse the effect of [Chol][DHP] on soils is promising for the advancement of knowledge in this field, which can be applied to other ILs, despite the need for further work to delve deeper into these aspects.
Our results for [Chol][DHP] suggest that this compound can be classified as non-toxic and therefore can be a good option for use in the industrial and biomedical applications for which it had been proposed in previous studies, considering its physical and chemical properties.
Author Contributions
Conceptualisation, O.R., C.T.-C. and J.S.; methodology, Ó.C., T.S. and J.J.P.; software, O.R., C.T.-C. and J.S.; validation, Ó.C., T.S. and J.J.P.; formal analysis, O.R., C.T.-C. and J.S.; investigation, Ó.C., T.S. and J.J.P.; resources, O.R., C.T.-C. and J.S.; data curation, Ó.C., T.S. and J.J.P.; writing—original draft preparation, Ó.C., C.T.-C. and J.S.; writing—review and editing, O.R., C.T.-C., J.J.P. and J.S.; visualisation, O.R., C.T.-C. and J.S.; supervision, O.R., C.T.-C. and J.S.; project administration, O.R., C.T.-C. and J.S.; funding acquisition, O.R., C.T.-C., J.J.P. and J.S. All authors have read and agreed to the published version of the manuscript.
Funding
This research was funded by the Spanish Ministry of Economy and Competitiveness through the Network Ionic Systems for Energy Sustainability (SISE) RED2018─102679─T, the Spanish MICINN through project CGL2015-66857-C2-1-R, both co-financed by the FEDER Program, and by the Xunta de Galicia through the GRC ED431C 2020/10, GRC IN607A 2021/06IN, GRC ED431C 2023/19, and ED481D 2023/014 projects.
Data Availability Statement
The original contributions presented in the study are included in the article; further inquiries can be directed to the corresponding authors.
Acknowledgments
J.J. Parajó is grateful for the funding support of the I2C Postdoctoral Program of Xunta de Galicia. Ó. Cruz is financially supported by a collaboration agreement between the Xunta de Galicia and the University of Santiago de Compostela which regulates the “Campus Terra” Specialization Campus. The authors acknowledge V. Piñeiro (RIAIDT- USC) for their support in microcalorimetric experiences, A. Iglesias Tojo and S. García for technical assistance with the analysis of the soils, and F. Cabrera for his help in part of the laboratory work with herbaceous plants. The authors are also grateful to Diego Lopez-Cao for his services in editing and revising the English language of this manuscript.
Conflicts of Interest
The authors declare no conflicts of interest.
References
- Rogers, R.D.; Seddon, K.R. Ionic Liquids—Solvents of the Future? Science 2003, 302, 792–793. [Google Scholar] [CrossRef]
- Barbosa, P.; Campos, J.; Turygin, A.; Shur, V.Y.; Kholkin, A.; Barros-Timmons, A.; Figueiredo, F.M. Piezoelectric Poly(Lactide) Stereocomplexes with a Cholinium Organic Ionic Plastic Crystal. J. Mater. Chem. C Mater. 2017, 5, 12134–12142. [Google Scholar] [CrossRef]
- Santos, A.G.; Ribeiro, B.D.; Alviano, D.S.; Coelho, M.A.Z. Toxicity of Ionic Liquids toward Microorganisms Interesting to the Food Industry. RSC Adv. 2014, 4, 37157–37163. [Google Scholar] [CrossRef]
- Studzińska, S.; Buszewski, B. Study of Toxicity of Imidazolium Ionic Liquids to Watercress (Lepidium Sativum L.). Anal. Bioanal. Chem. 2009, 393, 983–990. [Google Scholar] [CrossRef]
- Otero, I.; López, E.R.; Reichelt, M.; Villanueva, M.; Salgado, J.; Fernández, J. Ionic Liquids Based on Phosphonium Cations As Neat Lubricants or Lubricant Additives for a Steel/Steel Contact. ACS Appl. Mater. Interfaces 2014, 6, 13115–13128. [Google Scholar] [CrossRef]
- Gutiérrez, A.; Atilhan, M.; Aparicio, S. Theoretical Study of Oil Desulfuration by Ammonium-Based Deep Eutectic Solvents. Energy Fuels 2018, 32, 7497–7507. [Google Scholar] [CrossRef]
- Salgado, J.; Parajó, J.J.; Villanueva, M.; Rodríguez, J.R.; Cabeza, O.; Varela, L.M. Liquid Range of Ionic Liquid—Metal Salt Mixtures for Electrochemical Applications. J. Chem. Thermodyn. 2019, 134, 164–174. [Google Scholar] [CrossRef]
- Gómez-González, V.; Docampo-Álvarez, B.; Montes-Campos, H.; Otero, J.C.; Lago, E.L.; Cabeza, O.; Gallego, L.J.; Varela, L.M. Solvation of Al3+ Cations in Bulk and Confined Protic Ionic Liquids: A Computational Study. Phys. Chem. Chem. Phys. 2018, 20, 19071–19081. [Google Scholar] [CrossRef]
- MacFarlane, D.R.; Tachikawa, N.; Forsyth, M.; Pringle, J.M.; Howlett, P.C.; Elliott, G.D.; Davis, J.H.; Watanabe, M.; Simon, P.; Angell, C.A. Energy Applications of Ionic Liquids. Energy Environ. Sci. 2014, 7, 232–250. [Google Scholar] [CrossRef]
- Cabeza, O.; Varela, L.M.; Rilo, E.; Segade, L.; Domínguez-Pérez, M.; Ausín, D.; de Pedro, I.; Fernández, J.R.; González, J.; Vazquez-Tato, M.P.; et al. Synthesis, Microstructure and Volumetry of Novel Metal Thiocyanate Ionic Liquids with [BMIM] Cation. J. Mol. Liq. 2019, 283, 638–651. [Google Scholar] [CrossRef]
- Lorenzo, M.; Vilas, M.; Verdía, P.; Villanueva, M.; Salgado, J.; Tojo, E. Long-Term Thermal Stabilities of Ammonium Ionic Liquids Designed as Potential Absorbents of Ammonia. RSC Adv. 2015, 5, 41278–41284. [Google Scholar] [CrossRef]
- Shamshina, J.L.; Rogers, R.D. Are Myths and Preconceptions Preventing Us from Applying Ionic Liquid Forms of Antiviral Medicines to the Current Health Crisis? Int. J. Mol. Sci. 2020, 21, 6002. [Google Scholar] [CrossRef]
- Wang, Z.; Qin, X.; Dong, H.; Liang, Y.; Huo, Z.; Qian, K.; Yang, F. Applications of Ionic Liquids in the Field of Agriculture: A Review. Agriculture 2023, 13, 2279. [Google Scholar] [CrossRef]
- Cojocaru, O.A.; Shamshina, J.L.; Gurau, G.; Syguda, A.; Praczyk, T.; Pernak, J.; Rogers, R.D. Ionic Liquid Forms of the Herbicide Dicamba with Increased Efficacy and Reduced Volatility. Green Chem. 2013, 15, 2110–2120. [Google Scholar] [CrossRef]
- Pendleton, J.N.; Gilmore, B.F. The Antimicrobial Potential of Ionic Liquids: A Source of Chemical Diversity for Infection and Biofilm Control. Int. J. Antimicrob. Agents 2015, 46, 131–139. [Google Scholar] [CrossRef]
- Sivapragasam, M.; Moniruzzaman, M.; Goto, M. An Overview on the Toxicological Properties of Ionic Liquids toward Microorganisms. Biotechnol. J. 2020, 15, 1900073. [Google Scholar] [CrossRef]
- Thuy Pham, T.P.; Cho, C.-W.; Yun, Y.-S. Environmental Fate and Toxicity of Ionic Liquids: A Review. Water Res. 2010, 44, 352–372. [Google Scholar] [CrossRef]
- Sivapragasam, M.; Jaganathan, J.R.; Levêque, J.-M.; Moniruzzaman, M.; Abdul Mutalib, M.I. Microbial Biocompatibility of Phosphonium- and Ammonium-Based Ionic Liquids. J. Mol. Liq. 2019, 273, 107–115. [Google Scholar] [CrossRef]
- Delgado-Mellado, N.; Ayuso, M.; Villar-Chavero, M.M.; García, J.; Rodríguez, F. Ecotoxicity Evaluation towards Vibrio Fischeri of Imidazolium- and Pyridinium-Based Ionic Liquids for Their Use in Separation Processes. SN Appl. Sci. 2019, 1, 896. [Google Scholar] [CrossRef]
- Parajó, J.J.; Santiago-Alonso, A.; Vallet, P.; Teijeira, T.; Emeterio, R.S.; Villanueva, M.; Salgado, J. Comprehensive Analysis of the Acute Toxicity of Ionic Liquids Using Microtox® Bioassays. Appl. Sci. 2024, 14, 2480. [Google Scholar] [CrossRef]
- Mena, I.F.; Diaz, E.; Palomar, J.; Rodriguez, J.J.; Mohedano, A.F. Cation and Anion Effect on the Biodegradability and Toxicity of Imidazolium– and Choline–Based Ionic Liquids. Chemosphere 2020, 240, 124947. [Google Scholar] [CrossRef]
- Fujita, K.; MacFarlane, D.R.; Noguchi, K.; Ohno, H. Choline Dihydrogen Phosphate. Acta Crystallogr. Sect. E 2009, 65, o709. [Google Scholar] [CrossRef]
- Foureau, D.M.; Vrikkis, R.M.; Jones, C.P.; Weaver, K.D.; MacFarlane, D.R.; Salo, J.C.; McKillop, I.H.; Elliott, G.D. In Vitro Assessment of Choline Dihydrogen Phosphate (CDHP) as a Vehicle for Recombinant Human Interleukin-2 (RhIL-2). Cell Mol. Bioeng. 2012, 5, 390–401. [Google Scholar] [CrossRef]
- Sivapragasam, M.; Moniruzzaman, M.; Goto, M. Recent Advances in Exploiting Ionic Liquids for Biomolecules: Solubility, Stability and Applications. Biotechnol. J. 2016, 11, 1000–1013. [Google Scholar] [CrossRef]
- Sivapragasam, M.; Wilfred, C.D.; Jaganathan, J.R.; Krishnan, S.; Ab Wan Karim Ghani, W.A.W. Choline-Based Ionic Liquids as Media for the Growth of Saccharomyces Cerevisiae. Processes 2019, 7, 471. [Google Scholar] [CrossRef]
- Rana, U.A.; Vijayaraghavan, R.; MacFarlane, D.R.; Forsyth, M. Plastic Crystal Phases with High Proton Conductivity. J. Mater. Chem. 2012, 22, 2965–2974. [Google Scholar] [CrossRef]
- Sánchez, P.B.; García, J.; Salgado, J.; González-Romero, E. Studies of Volumetric and Transport Properties of Ionic Liquid–Water Mixtures and Its Viability To Be Used in Absorption Systems. ACS Sustain. Chem. Eng. 2016, 4, 5068–5077. [Google Scholar] [CrossRef]
- Gadilohar, B.L.; Shankarling, G.S. Choline Based Ionic Liquids and Their Applications in Organic Transformation. J. Mol. Liq. 2017, 227, 234–261. [Google Scholar] [CrossRef]
- Barrios, E.A.; Curreri, P.A.; Karr, L.J. Oxygen Extraction from Regolith Using Ionic Liquids; NASA Marshall Space Flight Center: Huntsville, AL, USA, 2011. [Google Scholar]
- Gomes, J.M.; Silva, S.S.; Reis, R.L. Biocompatible Ionic Liquids: Fundamental Behaviours and Applications. Chem. Soc. Rev. 2019, 48, 4317–4335. [Google Scholar] [CrossRef]
- Banerjee, K.; Rasheeda, K.; Tarannum, A.; Fathima, N.N. Structural and Mechanical Behavior of Type-I Collagen Fibrils in Presence of Induced Electrostatic Interactions through Ionic Liquids. Biophys. Chem. 2024, 307, 107192. [Google Scholar] [CrossRef]
- Tateishi-Karimata, H.; Sugimoto, N. Choline Dihydrogen Phosphate Destabilizes G-Quadruplexes and Enhances Transcription Efficiency In Vitro and in Cells. ACS Omega 2024, 9, 5675–5682. [Google Scholar] [CrossRef]
- Parajó, J.J.; Villanueva, M.; Troncoso, J.; Salgado, J. Thermophysical Properties of Choline and Pyridinium Based Ionic Liquids as Advanced Materials for Energy Applications. J. Chem. Thermodyn. 2020, 141, 105947. [Google Scholar] [CrossRef]
- Paschoal, V.H.; Ribeiro, M.C.C. Phase Transitions of Choline Dihydrogen Phosphate: A Vibrational Spectroscopy and Periodic DFT Study. J. Chem. Phys. 2024, 160, 094507. [Google Scholar] [CrossRef]
- Kudłak, B.; Owczarek, K.; Namieśnik, J. Selected Issues Related to the Toxicity of Ionic Liquids and Deep Eutectic Solvents—A Review. Environ. Sci. Pollut. Res. 2015, 22, 11975–11992. [Google Scholar] [CrossRef]
- Hernández-Fernández, F.J.; Bayo, J.; Pérez de los Rios, A.; Vicente, M.A.; Bernal, F.J.; Quesada-Medina, J. Discovering Less Toxic Ionic Liquids by Using the Microtox Toxicity Test. Ecotoxicol. Environ. Saf. 2015, 116, 29–33. [Google Scholar] [CrossRef]
- Ventura, S.P.M.; e Silva, F.A.; Gonçalves, A.M.M.; Pereira, J.L.; Gonçalves, F.; Coutinho, J.A.P. Ecotoxicity Analysis of Cholinium-Based Ionic Liquids to Vibrio Fischeri Marine Bacteria. Ecotoxicol. Environ. Saf. 2014, 102, 48–54. [Google Scholar] [CrossRef]
- Weaver, K.D.; Kim, H.J.; Sun, J.; MacFarlane, D.R.; Elliott, G.D. Cyto-Toxicity and Biocompatibility of a Family of Choline Phosphate Ionic Liquids Designed for Pharmaceutical Applications. Green Chem. 2010, 12, 507–513. [Google Scholar] [CrossRef]
- Richardson, D.M. Ecology and Biogeography of Pinus. JoVeg Sci. 2000, 100, 599–602. [Google Scholar] [CrossRef]
- Salgado, J.; Parajó, J.J.; Teijeira, T.; Cruz, O.; Proupín, J.; Villanueva, M.; Rodríguez-Añón, J.A.; Verdes, P.V.; Reyes, O. New Insight into the Environmental Impact of Two Imidazolium Ionic Liquids. Effects on Seed Germination and Soil Microbial Activity. Chemosphere 2017, 185, 665–672. [Google Scholar] [CrossRef]
- Basanta, M.; Díaz Vizcaíno, E.; Casal, M.; Morey, M. Diversity Measurements in Shrubland Communities of Galicia (NW Spain). Vegetatio 1989, 82, 105–112. [Google Scholar] [CrossRef]
- Bello, D.; Trasar-Cepeda, C.; Leirós, M.C.; Gil-Sotres, F. Modification of Enzymatic Activity in Soils of Contrasting PH Contaminated with 2,4-Dichlorophenol and 2,4,5-Trichlorophenol. Soil Biol. Biochem. 2013, 56, 80–86. [Google Scholar] [CrossRef]
- ISSS Working Group RB 1998. World Reference Base for Soil Resources. Introduction, 1st ed.; Acco: Leuwen, Belgium, 1998. [Google Scholar]
- Guitián-Ojea, F.G.; Carballas -Fernández, T. Técnicas de Análisis de Suelos; Pico Sacro Editorial: Santiago de Compostela, Spain, 1976. [Google Scholar]
- USDA (United States Department of Agriculture). Soil Survey Manual: Soil Science Division Staff. In Agriculture Handbook 18; United States Department of Agriculture: Washington, DC, USA, 2017. [Google Scholar]
- Wadsö, L.; Gómez Galindo, F. Isothermal Calorimetry for Biological Applications in Food Science and Technology. Food Control 2009, 20, 956–961. [Google Scholar] [CrossRef]
- Núñez-Regueira, L.; Rodríguez-Añón, J.A.; Proupín-Castiñeiras, J.; Núñez-Fernández, O. Microcalorimetric Study of Changes in the Microbial Activity in a Humic Cambisol after Reforestation with Eucalyptus in Galicia (NW Spain). Soil Biol. Biochem. 2006, 38, 115–124. [Google Scholar] [CrossRef]
- Ucha, C.; Reyes, O.; Salgado, J.; Trasar-Cepeda, C.; Bello, D. Toxic Effects of [BMIM][BF4] on Early Growth of Eucalyptus Globulus Labill. In Proceedings of the 21th International Electronic Conference Synthetic Organic Chemistry, Sciforum Electronic Conference Series, On-line; Seijas, J.A., Vázquez Tato, M.P., Eds.; MDPI: Basel, Switzerland, 2017; Volume 21, p. f006-1. [Google Scholar]
- Bello, D.; Nogueira, J.; Salgado, J.; Reyes, O.; Trasar-Cepeda, C. Germination and Development of Lepidium Sativum L. And Eucalyptus Globulus Labill in Two Different Soils Spiked with the Ionic Liquid [C1C1Im][DMP]. Fresenius Environ. Bull. 2019, 28, 924–929. [Google Scholar]
- Bello, D.; Trasar-Cepeda, C.; Leirós, M.C.; Gil-Sotres, F. Evaluation of Various Tests for the Diagnosis of Soil Contamination by 2,4,5-Trichlorophenol (2,4,5-TCP). Environ. Pollut. 2008, 156, 611–617. [Google Scholar] [CrossRef]
- Ucha, C.; Reyes, O.; Trasar-Cepeda, C.; Salgado, J.; Parajó, J.J. Effects of Ethylimidazolium Nitrate and the Aluminum Nitrate Salt Mixtures on Germination of Three Forest Species. Proc. West Mark. Ed. Assoc. Conf. 2019, 41, 55. [Google Scholar] [CrossRef]
- Ma, L.; Lin, Q.; Song, Y.; Zhao, B.; Fan, M. Toxic Effect of Three Imidazole Ionic Liquids on Two Terrestrial Plants. Open Life Sci. 2020, 15, 466–475. [Google Scholar] [CrossRef]
- Reyes, O.; Salgado, J. Effect of the Ionic Liquid [BMIN][OTf] on Germination and Early Growth of D. Carota and A. Sulcata and on Soil Microbial Activity of an Oakland. In Proceedings of the ECSOC-20: The 20Th International Electronic Conference On Synthetic Organic Chemistry, Bratislava, Slovakia, 1–30 November 2016. [Google Scholar] [CrossRef]
- Reyes, O.; Cruz, O.; García, J.; Arán, D.; Fuentes, R.; Riveiro, S.; Casal, M. Especies Invasoras e Incendios Forestales En El NW de La Península Ibérica. In Proceedings of the Ecología de la Regeneración de Zonas Incendiadas, Sevilla, Spain, 21–23 March 2018; Academia de Ciencias Sociales y del Medio Ambiente de Andalucía: Sevilla, Spain, 2018; pp. 75–87. [Google Scholar]
- Cruz, O.; Riveiro, S.F.; Arán, D.; Bernal, J.; Casal, M.; Reyes, O. Germinative Behaviour of Acacia Dealbata Link, Ailanthus Altissima (Mill.) Swingle and Robinia Pseudoacacia L. in Relation to Fire and Exploration of the Regenerative Niche of Native Species for the Control of Invaders. Glob. Ecol. Conserv. 2021, 31, e01811. [Google Scholar] [CrossRef]
- She, W.W.; Yao, J.; Wang, F.; Cai, M.M.; Wang, J.W.; Song, C.S. A Combination Method to Study the Effects of Petroleum on Soil Microbial Activity. Bull. Environ. Contam. Toxicol. 2013, 90, 34–38. [Google Scholar] [CrossRef]
- Wang, F.; Yao, J.; Chen, H.; Zhou, Y.; Chen, Y.; Chen, H.; Gai, N.; Zhuang, R.; Tian, L.; Maskow, T.; et al. Microcalorimetric Measurements of the Microbial Activities of Single- and Mixed-Species with Trivalent Iron in Soil. Ecotoxicol. Environ. Saf. 2009, 72, 128–135. [Google Scholar] [CrossRef]
- Leirós, M.C.; Trasar-Cepeda, C.; Seoane, S.; Gil-Sotres, F. Dependence of Mineralization of Soil Organic Matter on Temperature and Moisture. Soil Biol. Biochem. 1999, 31, 327–335. [Google Scholar] [CrossRef]
- Sixto, T.; Ucha, C.; Trasar-Cepeda, C.; Reyes, O.; Salgado, J. Effects of Three Ionic Liquids on Microbial Activity of an Organic Soil. Microcalorimetric Study. Proc. West Mark. Ed. Assoc. Conf. 2019, 9, 8. [Google Scholar] [CrossRef]
- Ucha, C.; Reyes, O.; Trasar-Cepeda, C.; Salgado, J.; Parajó, J.J. Ecotoxicological Evaluation of Ethylammonium Nitrate and Aluminium Salt Mixture. Chem. Proc. 2021, 3, 85. [Google Scholar] [CrossRef]
- Sixto, T.; Priano, M.E.; Reyes, O.; Parajó, J.J.; Salgado, J.; Trasar-Cepeda, C. Does Soil Organic Matter Affect the Impact of the Ionic Liquid Ethylammonium Nitrate in the Pure State and as Mixture with Lithium Salt on Basal Soil Respiration? Chem. Proceed. 2021, 3, 93. [Google Scholar] [CrossRef]
- Vance, E.D.; Brookes, P.C.; Jenkinson, D.S. An Extraction Method for Measuring Soil Microbial Biomass C. Soil Biol. Biochem. 1987, 19, 703–707. [Google Scholar] [CrossRef]
- Trasar-Cepeda, C.; Leirós, M.C.; Seoane, S.; Gil-Sotres, F. Limitations of Soil Enzymes as Indicators of Soil Pollution. Soil Biol. Biochem. 2000, 32, 1867–1875. [Google Scholar] [CrossRef]
Disclaimer/Publisher’s Note: The statements, opinions and data contained in all publications are solely those of the individual author(s) and contributor(s) and not of MDPI and/or the editor(s). MDPI and/or the editor(s) disclaim responsibility for any injury to people or property resulting from any ideas, methods, instructions or products referred to in the content. |
© 2024 by the authors. Licensee MDPI, Basel, Switzerland. This article is an open access article distributed under the terms and conditions of the Creative Commons Attribution (CC BY) license (https://creativecommons.org/licenses/by/4.0/).








