Abstract
Stalk strength is critical for reducing maize stalk lodging and maintaining grain yield. Ethephon has been widely applied to molding compact plant-type to reduce the lodging risk in maize production. However, there is little information on how ethephon regulates internode mechanical properties to improve maize stalk strength. Multiyear field experiments (2013–2017) were conducted to determine the effects of foliar-applied ethephon on summer maize internode morphological, chemical and mechanical characteristics. The hypothetical structural equation model was used to analyze the contribution of ethephon-induced changes of internode morphological and chemical traits to stalk mechanical strength. Ethephon significantly reduced the basal internode length, while increasing internode diameters and breaking resistance. Meanwhile, ethephon significantly increased the ratio of structural dry matter to total dry matter and the amount of structural dry matter per unit length and volume. Mechanical assays suggested that ethephon significantly altered geometric properties and increased the maximum bending moment, maximum failure force, while depressing the material properties. Furthermore, correlation and path analyses revealed strong correlations and significant contribution of internode morphological properties to stalk mechanical strength, respectively. These results support the conclusion that ethephon-induced morphology alteration played a major role in improving maize internode strength.
1. Introduction
Maize (Zea mays L.) is an important global cereal crop, and its greater production is required to meet growing food demands of the ever-increasing world population [1]. Globally, increasing planting density and nitrogen fertilizer application are very effective agronomic strategies to raise maize yield, but high density and excessive or inappropriate nitrogen application lead to an unreasonable canopy and weak stalks, which often increase lodging risk [2,3]. Generally, maize lodging occurs at both roots and stalks, and root lodging is caused by the failure of root anchorage which is affected by soil properties, root characteristics and pests [4,5]. Stalk lodging occurs most frequently at the basal internode above ground and bending or breaking mainly occurs at the 3rd to 5th basal elongation internodes [6,7,8,9]. Between 5 and 25% of annual maize yield loss is due to stalk lodging [10]. Numerous studies have demonstrated that stalk strength is a reliable predictor of lodging risk [11,12,13], and stalk strength is also one of the important agronomic traits linked to maize yield potential [14]. Accordingly, improving maize stalk strength—especially the basal internodes bending resistance—is critical for reducing lodging risk and advancing maize production [7,9].
It has been proven that stalk bending strength is closely related to the geometrical and material properties of the stalks in both cereals [3,15,16,17,18] and dicotyledonous crops [19,20]. For instance, lodging resistance is closely associated with basal internode length and stem diameter in barley and wheat [21,22,23,24,25]. In maize, stalk lodging positively correlates with plant height, ear height, number of internodes under the ear and length of basal internodes [26,27], but negatively correlates with basal internode diameter [6,8]. Meanwhile, stalk strength has a significantly positive relationship with the amount or distribution of structural chemical materials in maize internode [28,29]. Likewise, plants with lower lignin content display an insufficient level of fitness to increase stalk lodging risk in various crops [30]. Plants have high stem rigidity and lodging resistance through increasing lignin and cellulose content in rice internodes [18,31]. Moreover, the size of the secondary structure in the stem presents a strong relationship with stem lodging in barley (Hordeum vulgare L.) [21], wheat (Triticum aestivum L.) [23] and sunflower (Helianthus annuus L.) [20]. Similarly, Zuber et al. [32] reported that about 50 to 80% of the strength of maize stalk comes from the rind. In addition, 79% of the penetration resistance strength in maize basal internodes depends on the number of mechanical cell layers, the thickness of mechanical tissue and the ratio of cortex to internode cross-section [9].
Although the contribution of stem morphological and chemical traits to stem strength is disputable, it is generally recognized that stem strength is improved by genetic and agronomic strategies for modulating stem morphological and chemical traits in various plants. Based on the genetic diversity for stalk strength characteristics, the selection and breeding of lodging resistant varieties are very important and effective strategies to decrease the risk of lodging in crops [13,23,25,33]. For example, the selection and application of semi-dwarf traits have increased crop lodging resistance under higher plant density and fertilizer conditions, which contributed to the improvement of crop yield during the “Green Revolution” [34]. Meanwhile, agronomic management practices including planting density, irrigation and fertilization can regulate the morphological and chemical traits of maize stalk affecting stalk strength [27,35,36,37]. Furthermore, plant growth regulators have been demonstrated as an effective strategy to reduce the risk of lodging by modulating stalk morphological and chemical characteristics in crops [3,38].
Ethephon (2-chloroethy-phosphonic acid) as an ethylene-releasing compound is widely used for reducing plant height to decrease the risk of stalk lodging in cereal production including maize [39,40], wheat [38,41] and barley [42]. Mangieri et al. [20] reported that ethephon increases the thickness of primary and secondary structures in sunflower stems for improving lodging resistance. In addition, lignification of the xylem cell wall is enhanced by ethephon in the Pinus radiata D. Don stem [43]. Ethephon also regulates the deposition of cellulose and hemicelluloses in the basal internodes of maize [27]. Moreover, ethephon enhances the lodging resistance of maize stalk by increasing crushing strength and breaking force [27,44]. However, there is a weak relationship between lodging resistance and the cellulose and hemicellulose concentrations in ethephon-treated maize stalk [27]. Recent simulation studies showed that maize stalk bending strength is highly dependent on stalk morphology [45,46,47]. Above all, ethephon can regulate stalk strength involving the modulation of morphological and chemical traits, but it is still unclear how ethephon affects the mechanical characteristics of maize internode, and how ethephon-regulated internode morphological and chemical properties contribute to stalk strength. Furthermore, inappropriate application of ethephon often reduces maize grain yield [39,40,48]. Therefore, it is essential to explore the roles of ethephon in regulating the morphological and chemical traits of maize stalk to enhance stalk strength for better application in maize production.
The objective of the present study was to investigate the effects of ethephon on maize internode morphological, chemical and mechanical characteristics based on multiyear field experiments, and to further analyze the contribution of ethephon-modulating internode morphological and chemical traits to mechanical functionality for stalk strength. This research would be beneficial for evaluating the role of ethephon in improving maize stalk strength, which could promote efficient ethephon application in maize production.
2. Materials and Methods
2.1. Site Description
Field experiments were conducted from 2013 to 2017, in the summer maize growing seasons, at Wuqiao Experimental Station of China Agricultural University (37°41′ N, 116°37′ E) at Cangzhou, Hebei Province, China. Winter wheat (early-October to early-June) and summer maize (mid-June to early-October) rotation is the main crop rotation system in this region. The climate is temperate semi-arid monsoon with a mean annual temperature of 12.9 °C and precipitation of 562 mm (last 25 years average) which mainly occurred between July and August. The monthly rainfall and mean temperature for the five maize growing seasons and the 25-year average are shown in Figure 1, and the weather condition every ten days is shown in Table S1. The field soil is sandy clay loam with pH 8.6, 14.4 g kg−1 organic matter, 0.81 g kg−1 total N, 0.14 g kg−1 available K and 32.5 mg kg−1 available P at the top 20 cm soil layer.
Figure 1.
Monthly rainfall distribution (Bar) and mean temperature (Line) in 2013–2017 summer maize growing seasons and 25-year mean in Wuqiao, China.
2.2. Management Practices, Field Arrangement and Treatments
The local dominant summer maize variety, Zhengdan958 (Hybrid of Zheng58 × Chang7-2, produced by Henan Academy of Agricultural Sciences of China), was manually planted at 75000 plant ha−1 with 60 cm row space into 6 m × 8 m plots between June 18 and June 22. The prior crop was winter wheat before maize sowing in each year. Before planting, 150 kg ha−1 N, 90 kg ha−1 P2O5 and 90 kg ha−1 K2O were applied in one application as basal fertilizer sourcing from urea, calcium superphosphate and potassium sulfate, respectively, in each year. The fertilizers were broadcasted by hand and then incorporated into the soil to a depth of 15 cm by the rotary tiller (1GKN-250, Yungangxuangeng Machinery Co. Ltd., Lianyungang, China). In each maize growing season, 75 mm irrigation was conducted before fertilizers applied, and no irrigation was conducted during the whole growing season except for in 2014 when 75 mm irrigation was applied at the silking stage because of the low precipitation. Based on our previous studies [48,49] and preliminary experiments, ethephon treatment (ET) was conducted at a rate of 90 g ha−1. Powdery ethephon (85%, CAS. 16672-87-0, Quanfeng Biological Technology Co., Ltd., Anyang, China) was made into a 1.38 mM aqueous solution with Tween 20 (CAS. 9005-64-5, Sinopharm Chemical Reagent Co., Ltd, Shanghai, China) surfactant at 0.01% (v/v) and a total of 450 L ha−1 liquid was foliar applied on all leaves with an agricultural manual sprayer (3WBS-15, Luqiang Agricultural Equipment Co., Ltd, Taizhou, China) with single-hole (0.5 mm) hollow cone nozzle at V8 stage (when 8th leaf collar was visible according to [50]. The application pressure of the sprayer was 0.3–0.4 MPa. Deionized water with the same amount of Tween 20 was applied as a control (Ct). All treatments were applied on a clear day with no wind at 4:00 to 5:00 p.m. The experiment was a complete random design. Ten plots were set as repetition for each treatment, and the plots were randomly arranged. Four plots were used for morphological, mechanical and chemical assay (sampling plots) and six plots were used for yield determination (yield plots). Moreover, 85% nicosulfuron and atrazine wettable powder of 550 g ha−1 were used for weed controls at the V5 stage. Also, pests and disease controls were followed as: 40% carbofuran-thiram was used for seed coating (2000 mL per 100 kg seeds), 97% imidacloprid of 150 g ha−1 was used for resisting aphids at the V7 stage, and 3% furadan pelletized granule of 7.5 kg ha−1 for fending off corn borer moth (Ostrinia nubilalis (Hübner)) at V13.
2.3. Internode Morphology and Breaking Resistance Measurements
Thirty typical plants in each sampling plot were selected and signed at V10 stage for sampling at different growth stages. Six maize plants were harvested for morphological, mechanical and chemical composition analysis at V13, silking, grain filling (30 days after flowering, DAF), and harvesting stages in each growing season. The electronic vernier caliper was used to determine the internode length, maximum diameter and minimum diameter of each internode. Then, internode breaking resistance was measured using a stalk strength tester (YYD-1, Zhejiang Top Instrument Co. Ltd., Hangzhou, China) according to Reference [27]. The internode was laid horizontally on two alloy holder with 6 cm intervals, then the U-shaped probe of the tester was vertically aligned to the middle of the internode and the probe was pressed downwards with a constant speed until the internode was broken. The peak value of the force applied was recorded as the internode breaking resistance (unit = N). The mature plant height and ear height were measured at harvest stage
2.4. Chemical Composition Analysis
Corresponding internodes samples were oven-dried at 80 °C to constant weight for dry matter and then ground with the electric mill to pass through a 1 mm mesh for analyzing structural dry matter. Acid detergent lignin (ADL), acid detergent fiber (ADF) and neutral detergent fiber (NDF) content were determined with the ANKOM220 Fibre Analyzer (ANKOM Technol. Corp., Fairport, NY, USA) following Van Soest procedure [51]. Lignin content was equal to ADL content and cellulose content was calculated as the difference between ADF and ADL, then hemicellulose content was calculated as the difference between NDF and ADF [52].
2.5. Mechanical Analysis
Maize plants were anchored immovably on the ground by the root system, and the wind shakes the stalks freely from every direction as with most field crops [3]. Stalk failure often occurs in the direction of the minor axis of the stalk cross section based on our observations and the literature [46]. Therefore, a modified cantilever beam model was established to evaluate internode bending mechanical characteristics, in which the internode was assumed as a solid cylinder with ellipse cross-section and bend was controlled by force in the direction of the minor axis of the stalk cross-section. Six maize plants with at least 10 cm roots were harvested from the field and leaf sheaths were removed carefully without any damage to the internode. Intact stalks under the ear were packed with wet paper tower and cling film and were then deposited under room condition until measurement (finished in one day). Bending tests were performed using an electric universal testing machine (Model WDW-3020, Changchun Research Institute for Testing Machines Co., Ltd, Changchun, China) with the intact stalk modified from the procedure of Gou et al. [7]. From the 9th to the last internode under the ear, each internode was supported at the internode basal boundary where breaking usually happened [11]. Force was loaded at the apical side more than 200 mm away from the supporting point along the minimum diameter direction, and the certain distance (d, unit = mm) was over seven times greater than the minimum diameter for fitting to beam model. The free part was displaced at a constant rate of 20 mm min−1 up to rupture. A 1 kN load cell acquired the force and displacement data every 200 ms (millisecond) until the internode break, and the maximum failure force was recorded as fmax (unit = N). The slope of the force-displacement curve (flexibility Ø, unit = N mm−1) was obtained from the testing machine control system software supported by Excel (Microsoft Office 2009, Microsoft Corporation, Redmond, WA, USA). According to the cantilever beam model theory, the maximum bending moment which the ith internode could withstand (Mmax, defined as bending strength, unit = N m) was calculated according to the following equation:
Mmax = d × fmax,
Internode mechanical geometric and material properties were calculated according to the engineering beam theory as follows:
where σmax was the maximum bending stress (unit = MPa), Iy was the cross-sectional moment of inertia (unit = mm4), E was the Young’s module (unit = MPa), Dmax and Dmin was the maximum diameter and minimum diameter of each internode.
σmax = Mmax × (Dmin/2)/Iy,
Iy = π × Dmin3 × Dmax/64,
E = Ø × d3/3Iy,
If the applied force (F) were loaded at the top of the stalk (the 13th node at the V13 stage or the ear node after silking stage), maximum applied force (Fmaxi) would make stalk fails in ith internode, and Fmaxi was calculated according to the following equation:
where Ln was the length of the nth internode (similarly hereinafter).
The lowest Fmaxi from the 9th to 15th internode was the actual maximum load force (F’), and actual bending moment (M’) of each internode was calculated according to the following equation:
Internode penetration resistance was acquired with the same electric universal testing machine described above. A stainless steel needle with 1 mm diameter that tapered to a sharp point in a distance of 2 mm was used in the experiments. The needle was punctured into the rind about 5 mm at the one forth, middle and three forth portion of each internode at a constant rate of 40 mm min−1. A 100 N load cell acquired force and displacement data every 200 ms. The average of the maximum loading force at three portions was defined as the internode penetration resistance.
2.6. Grain Yield and Yield Components
At physiological maturity, in the plots for yield determination, all maize ears were harvested from two five-meter-rows in the middle of the plots. The samples were used for calculating yield, ear numbers and grain numbers. Grains were oven-dried at 80 °C to constant weight for grain weight determination. The grain weight and grain yield were standardized to 14% water content.
2.7. Statistics Analysis
The statistical significance of the difference between ethephon-treated and control internodes at each growth stage in each growing season was determined with a two-sample t-test at the 0.05 level of probability. A relative change ratio of internode morphological, chemical traits and breaking resistance after ethephon treatment ((ET-Ct)/Ct) was used for Pearson’s correlation analysis and path coefficient analysis with a structural equation model (SEM). Mechanical analysis data of all internodes measured were used for Pearson’s correlation analysis of different mechanical geometric properties and material properties. The SEM was conducted with a relative change ratio of internode geometric and material properties for estimating the contribution of different properties to improving internode bending strength under ethephon treatment. The ANOVA and Pearson’s correlation procedures were conducted using SAS software (V8, SAS Institute Inc., Cary, NC, USA). The path coefficient analysis procedure was conducted using WarpPLS 6.0 software [53]. The model suitability was evaluated on the basis of ten global model fit and quality indices viz. average path coefficient (APC), average R-squared (ARS), average adjusted R-squared (AARS), average block variance inflation factor (AVIF), average full collinearity VIF (AFVIF), Tenenhaus GoF (GoF), Simpson’s paradox ratio (SPR), r-squared contribution ratio (RSCR), statistical suppression ratio (SSR) and nonlinear bivariate causality direction ratio (NLBCDR). The r-squared coefficients (r2) were given for each endogenous latent variable indicating the percentage variability explained by the other independent latent variables that are hypothesized to affect it. The direct relationship between variables and internode breaking resistance was explained by the path coefficient as β-value explaining the effect of one variable on the other variable. The level of significance was given by the p-values, and the effect size of the path coefficient was given as ES, where, the values < 0.02, 0.02, 0.15, and 0.35 indicate too week, small, medium and large effect size, respectively.
3. Results
3.1. Ethephon Altered the Breaking Resistance and Morphological Traits of Basal Internode in Maize
To evaluate the role of ethephon in improving stalk strength, the morphological traits and breaking resistance of ethephon-treated internodes were analyzed under field conditions during the 2013 to 2017 growing seasons (Table 1). Ethephon significantly decreased the mature plant and ear heights compared to the control. Moreover, ethephon increased the breaking resistance of basal internode at V13, silking, grain filling and harvest stages, and significant differences between ethephon and the control were observed at the silking, grain-filling and harvest stages. Although the values of morphological traits were fluctuant among growth stages and years, ethephon significantly shortened the internode length by 12.6 to 46.7% compared to the control. However, ethephon could increase the maximum and minimum diameter of internode by 0.4 to 27.2% and 0.4 to 26.5% more than the control, respectively. Furthermore, the transverse area of ethephon-treated internode was greater by 3.1% to 34.0% than that of the control. Significant effects of year were observed in morphological traits and breaking resistance. The interaction between year and ethephon significantly affected internode morphological traits but did not affect the breaking resistance and plant height.
Table 1.
Effects of ethephon on the breaking resistance, the 9th internode morphological traits, plant height and ear height.
3.2. Ethephon Altered the Chemical Traits of Basal Internode in Maize
Ethephon significantly decreased the accumulation of internode total dry matter at different stages in the 2013 to 2015 growing seasons and the amount of total dry matter in ethephon-treated internodes was 5.6 to 25.9% less than that of the control (Table 2). The amount of structural dry matter, including hemicellulose and cellulose, was higher in ethephon-treated internodes than the control at the harvest stage in 2013 and 2014, while there was no significant difference between ethephon and control at other stages. Moreover, the amount of lignin in the whole internode was not significantly affected by ethephon. However, the ratio of structural dry matter to total dry matter was significantly increased by ethephon regardless of stages and years. Besides, internode total dry matter and chemical properties were greatly influenced by years, and the interaction between year and ethephon significantly affected the ratio of structural dry matter to total dry matter.
Table 2.
Effects of ethephon on the amount of total dry matter and structural dry matter in the whole 9th internode.
To assess the effects of ethephon-modulated internode morphological traits on regulating the deposition of structural dry matter, the amount of structural dry matter per unit length or volume was analyzed. Ethephon increased total dry matter and structural dry matter per unit length by 0.19 to 27.4% and 16.7 to 62.5% compared to the control at different growth stages in the 2013 to 2015 growing seasons, respectively (Table 3). Similarly, the amount of hemicellulose and cellulose per unit length in ethephon-treated internode were respectively higher by 13.5 to 70.3% and 21.0 to 56.3% than the control. Otherwise, ethephon also improved the amount of lignin per unit length but the difference was not significant between ethephon and the control except for at the harvest stage. Moreover, the amount of total dry matter per unit volume was decreased by ethephon in the 2014 and 2015 growing seasons. However, the amount of structural dry matter per unit volume was significantly increased by ethephon and similar variation trends were observed in the amount of hemicellulose, cellulose and lignin per unit volume (Table S2). Furthermore, the amount of total dry matter and structural dry matter per unit length or volume were significantly affected by years, while ethephon × year interaction significantly affected the amount of hemicellulose, cellulose, lignin and structural dry matter per unit length or volume.
Table 3.
Effects of ethephon on the amount per unit length of total dry matter and structural dry matter in maize 9th internodes.
3.3. Ethephon Affected the Mechanical Traits of Basal Internode
A modified cantilever beam model was utilized for further exploring the influence of ethephon on maize internode bending strength. The maximum bending moment (Mmax) of each internode decreased with the rise of internode order in both ethephon-treated and control plants (Figure 2A). However, ethephon significantly increased the maximum bending moment (Mmax) and actual bending moment (M’) of basal internodes at V13, silking and grain filling stages. Moreover, when the force exerted at the 13th node or ear node to make the stalk failure, the maximum failure force (Fmax) of basal internodes was greater respectively by 103.6, 25.9 and 16.3% than control at V13, silking and grain filling stages, and the broken position of whole plant presented at 11th internode (Figure 2B).
Figure 2.
Effects of ethephon (ET) on stalk bending properties. (a) Effects of ethephon on the maximum bending moment (Mmax, the black and white bar for the control (Ct) and ET, respectively) and actual bending moment (M’, solid and dotted line for Ct’ and ET’, respectively) in each basal internode at V13, silking and grain filling stage. (b) Effects of ethephon on maximum failure force (Fmax) of each internode and whole plant at V13, silking and grain filling stages. Fmax indicated maximum failure force of each internode and whole plant when exerting force at the ear node of the plant (at the 13th node at the V13 stage). Values with error bar were the mean ± SD (n = 6). The asterisk means the significant difference between ET and Ct in the same internode.
To further evaluate the roles of ethephon in regulating internode mechanical traits, the mechanical parameters were determined in different internodes at the grain filling stage in the 2013 to 2017 growing seasons. Ethephon improved the basal internodes moment of inertia, maximum bending moment, maximum failure force and slop of the force-displacement curve by 11.0 to 57.3%, 6.0 to 48.0%, 8.5 to 70.5% and 3.6 to 175.2% more than those of the control in each growing season, respectively (Table 4). However, ethephon decreased the values of internode bending stress, Young’s modulus and penetration resistance strength by 4.3 to 18.0%, 12.7 to 54.1%, and 19.1 to 24.3% compared to controls in the 2013 to 2017 growing seasons, respectively (Table 5). Furthermore, internode mechanical traits were significantly affected by years, while ethephon × year interaction significantly affected the internode length, flexibility and penetration resistance.
Table 4.
Effects of ethephon on geometrical features of maize internode mechanical properties and bending strength.
Table 5.
Effects of ethephon on material features of maize internode mechanical properties and maximum bending force when load at ear node.
3.4. Correlation and Path Coefficient Analysis for Internode Morphological and Chemical Traits on Breaking Resistance
Correlation analysis of internode morphological and chemical traits on breaking resistance was conducted with multi-year data (Figures S1 and S2). The morphological traits showed a weak negative correlation with internode breaking resistance, while the amount per unit length and per unit volume of total dry matter and structural dry matter had a positive correlation with internode breaking resistance. In addition, ethephon affected the slope of the regression lines of these relationships. For further highlighting the effects of ethephon and exploring the effects of ethephon-modified internode morphological and chemical traits on the improved internode breaking resistance, the relative change ratio of each parameter under ethephon treatment ((ET-Ct)/Ct) were used for correlation and regression analysis. The results suggested that breaking resistance presented strong correlations with maximum diameter (r = 0.56, p < 0.01), minimum diameter (r = 0.51, p < 0.01), and internode length (r = −0.71, p < 0.01) (Figure 3a, Table 5), but weak correlation with total dry matter (r = −0.32, p > 0.1), structural dry matter (r = 0.24, p > 0.3), cellulose (r = 0.18, p > 0.4) and lignin content (r = 0.25, p > 0.3) (Figure 3b, Table 6). However, the correlation coefficients of breaking resistance with amount per unit internode length of total dry matter (r = 0.56, p < 0.01), lignin (r = 0.47, p < 0.05), structural dry matter (r = 0.65, p < 0.01) and cellulose (r = 0.68, p < 0.01) were increased compared to the corresponding chemical traits alone (Figure 3c, Table 6).

Figure 3.
Relationships of internode morphology (a), total dry matter constituent (b) and dry matter amount per unit length (c) with internode breaking resistance under ethephon treatment. Values came from the relative change ratio under ethephon treatment ((ET-Ct)/Ct) in each parameter. ET, ethephon treatment; Ct, control.
Table 6.
Pearson’s correlations between relative change ratio ((ET-Ct)/Ct) of internode breaking resistance and the relative change ratio of internode morphological and chemical traits with the corresponding P value.
Furthermore, the SEM approach was used to dissect the contribution of internode morphological and chemical traits on internode breaking resistance. Ten global model fit and quality indices were given in Table S3, and the values were highly significant and within the acceptable limits indicating the good model fit for the proposed SEM. Generally, the model explained 70% (r2 = 0.70) of the variability in internode breaking resistance as a dependent variable under the influence of sole effects of internode morphological and chemical traits. The values of path coefficient (β value), p-values and the effect sizes for four direct effects were given in Figure 4. Internode length and internode minimum diameter had a significant path coefficient (β = −0.64, p < 0.001, and β = 0.31, p < 0.042 respectively) indicating major roles in internode breaking resistance. While structural dry matter showed a similar path coefficient but with no significance (β = 0.26, p = 0.079), and the maximum diameter had a very small path coefficient (β = 0.02, p = 0.467). Meanwhile, the effect size of internode length and minimum diameters were 0.456 and 0.179 indicated large effects and medium effects, respectively. The structural dry matter showed small effects (ES = 0.059) to breaking resistance while the maximum diameter had very weak effects to breaking resistance. In addition, cellulose content had the largest path coefficient and effect size (β = 0.54, p < 0.001, ES = 0.490) to the structural dry matter and lignin and hemicellulose contributed similarly to the structural dry matter with the similar path coefficient and effect size (β = 0.32, p = 0.037, ES = 0.229 and β = 0.31, p = 0.042, ES = 0.244 respectively).
Figure 4.
Hypothetical structural equation model (SEM) to describe the direct relationships among changes of morphological and chemical traits and internode breaking resistance with ethephon. R2 is the coefficient of determination indicating the variability explained for each dependent variable. β-values indicated the path coefficients. The level of significance are indicated by * (p < 0.05), ** (p < 0.01) and *** (p < 0.001). The ES is the effect size indicated by the path coefficient (β-value) as < 0.02 (too week), 0.02 (small effect), 0.15 (medium effect) and 0.35 (large effect).
3.5. Correlation and Path Coefficient Analysis of Internode Bending Mechanical Parameters
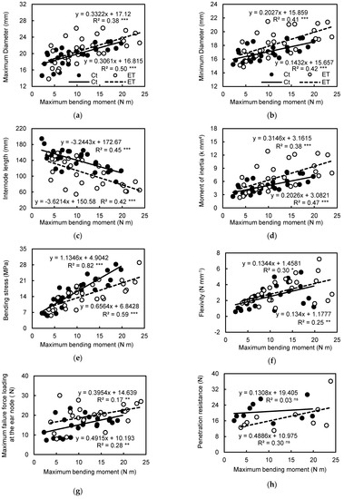
The internode bending strength was defined as the maximum bending moment supported by the internode at the failure location. Pearson’s correlation and linear regression analyses revealed significant positive correlation between internode bending strength and internode diameters, moment of inertia, bending stress, flexibility, maximum failure force loading at the ear node, respectively, while a significant negative correlation between maximum bending moment and internode length (Figure 5). Moreover, the bending stress had the highest r2 value of 0.82 (p < 0.0001) and 0.59 (p < 0.0001) among the mechanical parameters under control and ethephon-treated conditions, respectively. Not only was the linear regression line of ethephon treated group below the line of control, but the slope of the regression line of the ethephon-treated group was also about half that of the control group. Moreover, the r2 value of the internode maximum diameter, minimum diameter, internode length and moment of inertia ranged from 0.42 to 0.50 in the control group, and from 0.38 to 0.42 in the ethephon-treated group. In other words, the internode geometric properties had a medium strong correlation with the internode maximum bending moment. However, the correlation between internode bending moment and internode material properties, including penetration resistance and Young’s modulus, were weak.

Figure 5.
Pearson’s correlation of the maximum bending moment with internode maximum diameter (a), minimum diameter (b), internode length (c), moment of inertia (d), bending stress(e), flexibility (f), maximum failure force when load at the ear node (g), penetration resistance strength (h) and Young’s modulus (i), and the relationship between maximum bending stress and moment of inertia (j). Solid round represented Ct (control); hollow round represented ET (ethephon treatment). The solid line and dash line are regression line of Ct and ET respectively. ns, no significance, *, p < 0.05, **, p < 0.01, ***, p < 0.001.
In addition, a path analysis was conducted using the relative change ratio of mechanical properties under ethephon treatment ((ET-Ct)/Ct). The global model fitness and quality index suggested good fitness of this model (Table S4). The influence of mechanical properties described above explained 72 % and 51% of the variability in the maximum bending moment and bending stress respectively in this model. The moment of inertia and maximum bending stress had significant path coefficients of 0.71 (p < 0.001) and 0.64 (p < 0.001) to maximum bending moment and effect size of 0.275 and 0.349, respectively (Figure 6 and Table S4). However, the penetration resistance and Young’s modulus had not significant β-values of 0.13 and 0.22, respectively. Meanwhile, the moment of inertia had negative path coefficients of −0.43 (p = 0.004) and medium effect of 0.251 to maximum bending stress. Also, flexibility had a significant path coefficient of 0.42 (p = 0.049) to maximum bending stress, but not a significant path coefficient of 0.26 (p = 0.064) to maximum bending moment. Moreover, 99% of the variability in moment of inertia was explained under the influence of internode diameters and length, among which the minimum diameter had significant primary contribution with a path coefficient of 0.70 and effect size of 0.693.
Figure 6.
Hypothetical structural equation model (SEM) to describe the relationships among the changes of mechanical, geometric and material properties with ethephon application. R2 is the coefficient of determination indicating the variability explained for each dependent variable. β - values indicated the path coefficients. The level of significance are indicated by ms (marginal significance) (p ≈ 0.05), * (p < 0.05), ** (p < 0.01) and *** (p < 0.001). The ES is the effect size indicated by the path coefficient (β-values) as < 0.02 (too week), 0.02 (small effect), 0.15 (medium effect) and 0.35 (large effect).
3.6. Effects of Ethephon on Grain Yield and Yield Components
During the 2013 to 2017 growing seasons, no lodging occurred in either ethephon or control plots. There was no significant difference in ear number between ethephon and control among different growing seasons (Table 7). The multiyear mean grain yield was lower under the ethephon treatment than the control, but the difference was not significant between ethephon and control. Moreover, ethephon decreased grain number per ear and grain weight by 2.0 and 1.6% compared to the control, respectively. Otherwise, the grain number per ear, grain weight and yield were significantly affected by year, and a significant interaction between ethephon and year was obtained only in grain number.
Table 7.
Effects of ethephon on maize yield and yield component in 2013-2017 growing seasons.
4. Discussion
The North China Plain (NCP) produces almost one-third of maize output in China, and summer maize is the predominant maize planting model in this region. However, a typical temperate monsoon climate in NCP, with the summer maize growing in a high temperature and humid environment, often gives rise to keeping a high growth rate, while local farmers usually apply superfluous nitrogenous fertilizer and higher plant densities than is optimum in practice, which causes luxuriant growth leading to excessive plant height and weak mechanical features increasing the stalk’s susceptibility to lodging [2,54]. Moreover, stalk lodging is associated with morphological traits as well as environmental conditions and breaking usually arises from the mechanical failure of stalk tissue below the ear node before harvest [55]. Based on multiyear (2013−2017) field experiments, ethephon could significantly decrease plant and ear heights and basal internode length but increase the maximum and minimum diameter of basal internodes (Table 1), which leads to higher breaking resistance and bending strength of the internode compared to control (Table 1). Similarly, numerous studies revealed that ethephon remarkably increases crops’ lodging resistance by reducing plant height and basal internode length while increasing internode diameters and structural dry matter deposition in the internode [27,39,40,41,42]. However, internode breaking resistance and morphological parameters were also significantly affected by years, which led to weak correlations between internode breaking resistance and morphological parameters (Figure S1). For highlighting the roles of ethephon in internode properties regulation and eliminating weather effects, the relative change ratio of each parameter ((ET-Ct)/Ct) was used for further analysis. As expected, a strong correlation was observed between internode breaking resistance and internode length and diameters. These results indicated that the stable effects of ethephon altered internode properties was the reason for improved stalk strength among different growing seasons. Similar effects of the ethephon application on increasing crop stalk strength and lodging resistance are also approved as relatively stable in various species [20,38,41,42]. Thus, the modification of internode morphology played an important role in ethephon’s improvement of the stalk strength of maize.
In general, the strength of any structure rests with both material and morphology [3]. Several studies suggested that the size of the secondary structure and the content of structural dry matter may be important factors for improving stalk breaking resistance in maize [28,29], wheat [23], barley [21], sunflower [20] and rice [31]. In this study, weak positive correlations were observed between internode breaking resistance and the total dry matter and structural dry matter amount in the internode (Figure S2). Similarly, Kong et al. [56] suggested that there is a weak relationship between lodging resistance and cellulose and hemicellulose amount in the whole stalk. Based on the morphological traits, many researchers define the total weight per unit length as stalk density for predicting stalk strength [28,56,57]. Here, there were strong correlations between the breaking resistance and amount per unit length or volume of total dry matter and structural dry matter (Figure S2). Similar results were observed by Appenzeller et al. [28], who suggested that dry matter per unit length explained more than 50% variation in mechanical strength.
Ethylene can enhance lignin accumulation by regulating the lignin biosynthesis enzymes, such as phenylalanine ammonialyase, cinnamylalcohol dehydrogenase and peroxidase in bamboo shoot [58], transgenic tobacco plant [59] and mungbean roots [60]. Meanwhile, ethephon can improve breaking resistance by increasing the thickness of secondary structure and secondary tissue area in sunflowers [20], and increasing the deposition or allocation of hemicellulose, cellulose and lignin in maize [27]. In this study, ethephon significantly increased the ratio of structural dry matter to total dry matter in the internode and enhanced the amount per unit length and unit volume of structural dry matter including hemicellulose, cellulose and lignin (Table 3 and Table S2). Furthermore, the correlation coefficient between relative change ratio of internode morphological properties and breaking resistance were higher than the coefficient between the relative change ratio of breaking resistance and internode chemical properties (Figure 3 and Table 5). The path analysis also revealed that the alteration of morphological traits by ethephon contributed almost twice as much variation in internode breaking resistance as the alteration of chemical composition (Figure 4). These results indicated that ethephon enhanced stalk strength mainly by altering the morphological properties of basal internodes, and partly through regulating the deposition of structural dry matter. Our results also indicated that controlling the plant type could be more effective for decreasing crop lodging.
Mechanical parameters are approved and accepted as stalk strength predictors and the bending test has been widely used in plant biomechanics [3,24,46,61]. Although maize stalk sustains both bending and shear-compressive force under field condition, the bending stresses are many orders of magnitude greater than shear or compressional stresses [45]. Meanwhile, the bending test estimates not only the bending mechanical properties but also material properties including elasticity modulus (Young’s modulus), flexural stiffness (predicted by flexibility) by using data from bending experiments [11,12,25,62]. In the present study, ethephon could significantly increase the maximum bending moment, moment of inertia, maximum failure force, flexibility of internode and the maximum failure force when loading at the ear, but decrease the maximum bending stress, Young’s modulus and penetration resistance (Table 3). Generally, the maximum bending moment governs the internode bending failure as all structures and is usually defined as stalk bending strength [61]. Here, the maximum bending moment had a strong positive correlation with bending stress, and medium strong correlation with flexibility and geometric parameters including internode diameter and length, while having a weak correlation with Young’s modulus and penetration resistance (Figure 4). Path coefficient analysis suggested that ethephon-improved maximum bending moment was mainly attributed to the change of maximum bending stress and the moment of inertia. There were some indirect effects of moment of inertia on maximum bending stress in the effect size of maximum bending stress on maximum bending strength (Figure 6). Ethephon increased both maize stalk flexibility and structural dry matter, while these two properties relate with material rigidity [18,31]. Although alteration of material properties had a weak contribution to internode strength improvement, internode flexibility had a larger effect size than other material properties (Figure 5). Similarly, Robertson et al. [12] suggested that the predictive potential of internode flexibility for stalk strength has higher robustness than the predictive potential of rind penetration resistance.
In addition, maximum bending stress is defined as tissue strength, which also depends on both geometric and material parameters [45,47]. Cell wall lignification positively correlated with stem bending stress in rice [31]. In this study, internode bending stress was decreased by ethephon, although flexibility of internode increased. SEM of mechanical properties revealed that negative effects of the moment of inertia on maximum bending stress contributed more than the positive effects of flexibility (Figure 6). Ethephon-enhanced moment of inertia contributed more to bending stress than the improved flexibility, which could be the reason for the lower bending stress in ethephon-treated internode (Table 4 and Table 5). Von Forell et al. [45] observed similar results, that the modulation of maize internode bending stress is much more sensitive to changes in dimensions of the stalk cross-section than changes in material properties of stalk components. Above all, ethephon-induced geometric parameter changes influenced internode bending strength greater than alteration of structure material properties.
Although ethephon dramatically improved internode strength, ethephon decreased grain yield by 3.3% compared to the control in the present case in which no lodging occurred during the 2013 to 2017 growing seasons. Similar results were observed in previous studies on maize [39,40,63] and other cereal crops [41,42]. Nevertheless, our previous studies demonstrated that 90 g ha-1 ethephon application before V9 stage does not significantly affect grain yield [48]. Moreover, recent studies reported that novel plant growth regulators using ethephon as the main ingredient have positive effects on grain yield regardless of whether lodging occurs [36,44,64]. Considering the potential loss of 5–25% of yield caused by lodging [10], ethephon is still an effective way to reduce maize lodging risk under high N application and planting density conditions. Further studies should be conducted to explore the physiological and molecular mechanisms of ethephon on regulating ear and grain development for improving ethephon application in maize production.
5. Conclusions
Ethephon application significantly reduced basal internode length but increased internode diameters and the deposition of structural dry matter leading to higher internode breaking resistance. Meanwhile, the mechanical analysis further revealed that ethephon significantly increased the maximum bending moment, maximum failure force, flexibility and the maximum force when loading at the ear node, but decreased the bending stress, Young’s modulus, and penetration resistance. Correlation and path analysis suggested that ethephon-induced geometric alteration counteracted the weakness of material and contributed primarily to the improvement of the internode bending moment. In conclusion, ethephon improved internode strength mainly by improving morphological properties of basal internodes and partly by regulating chemical composition.
Supplementary Materials
The following are available online at https://www.mdpi.com/2073-4395/9/4/186/s1, Figure S1: Pearson’s correlation of internode breaking resistance with internode length, maximum diameter and minimum diameter, Figure S2: Pearson’s correlation of internode breaking resistance with internode dry matter, structure dry matter, total dry matter per unit length, structure dry matter per unit length, total dry matter per unit volume and structure dry matter per unit volume, Table S1: Rainfall and mean temperature in every ten days during 2013-2017 summer maize growing seasons and 25-year mean in Wuqiao, China, Table S2: Effects of ethephon on the amount per unit volume of total dry matter and structural dry matter in maize internodes, Table S3: Model fitness and quality indices of internode traits and breaking resistance for the proposed SEM, Table S4: Model fitness and quality indices of internode mechanical properties for the proposed SEM.
Author Contributions
Conceptualization, L.D., Z.L. and M.Z.; methodology, Y.Z., D.Y., W.W., X.Q. and M.Z.; formal analysis, Y.Z., Y.W., D.Y. and W.W.; investigation, Y.Z., Y.W. and D.Y.; writing—original draft preparation, Y.Z., Y.W., D.Y. and W.W.; writing—review and editing, Y.Z., X.Q., L.D., Z.L. and M.Z.; visualization, Y.Z.; project administration, M.Z.; funding acquisition, M.Z. and Z.L. All the authors agreed the final approval of the version to be published.
Funding
This research was funded by National Key Research and Development Program of China, grant number 2017YFD0300410, and Introduction of International Advanced Agricultural Science and Technology Program of Ministry of Agriculture, grant number 2011-G19.
Acknowledgments
The authors thank Xiaolin Jiang for instructing the operation of the electric universal testing machine in the Tsinghua University.
Conflicts of Interest
The authors declare no conflict of interest.
References
- Tilman, D.; Balzer, C.; Hill, J.; Befort, B.L. Global food demand and the sustainable intensification of agriculture. Proc. Natl. Acad. Sci. USA 2011, 108, 20260–20264. [Google Scholar] [CrossRef]
- Ciampitti, I.A.; Vyn, T.J. Physiological perspectives of changes over time in maize yield dependency on nitrogen uptake and associated nitrogen efficiencies: A review. Field Crop. Res. 2012, 133, 48–67. [Google Scholar] [CrossRef]
- Baker, C.J.; Sterling, M.; Berry, P. A generalised model of crop lodging. J. Theor. Biol. 2014, 363, 1–12. [Google Scholar] [CrossRef]
- Kriticos, D.J.; Reynaud, P.; Baker, R.H.A.; Eyre, D. Estimating the global area of potential establishment for the western corn rootworm (Diabrotica virgifera virgifera) under rain-fed and irrigated agriculture. Bull. OEPP 2012, 42, 56–64. [Google Scholar] [CrossRef]
- Bian, D.H.; Jia, G.; Cai, L.; Ma, Z.; Eneji, A.E.; Cui, Y.H. Effects of tillage practices on root characteristics and root lodging resistance of maize. Field Crop. Res. 2016, 185, 89–96. [Google Scholar] [CrossRef]
- Martin, M.J.; Russell, W.A. Correlated responses of yield and other agronomic traits to recurrent selection for stalk quality in a maize synthetic. Crop Sci. 1984, 24, 746–750. [Google Scholar]
- Gou, L.; Huang, J.; Sun, R.; Ding, Z.; Dong, Z.; Zhao, M. Variation characteristic of stalk penetration strength of maize with different density-tolerance varieties. Trans. CSAE 2010, 26, 156–162. [Google Scholar]
- Cheng, F.L.; Du, X.; Liu, M.X.; Jin, X.L.; Cui, Y.H. Lodging of summer maize and the effects on grain yield. J. Maize Sci. 2011, 19, 105–108. [Google Scholar]
- Xue, J.; Zhao, Y.S.; Gou, L.; Shi, Z.G.; Yao, M.N.; Zhang, W.F. How high plant density of maize affects basal internode development and strength formation. Crop Sci. 2016, 56, 3295–3306. [Google Scholar] [CrossRef]
- Flint-Garcia, S.A.; Jampatong, C.; Darrah, L.L.; McMullen, M.D. Quantitative trait locus analysis of stalk strength in four maize populations. Crop Sci. 2003, 43, 13–22. [Google Scholar] [CrossRef]
- Robertson, D.J.; Smith, S.L.; Gardunia, B.W.; Cook, D.D. An improved method for accurate phenotyping of corn stalk strength. Crop Sci. 2014, 54, 2038–2044. [Google Scholar] [CrossRef]
- Robertson, D.J.; Lee, S.Y.; Julias, M.; Cook, D.D. Maize stalk lodging: Flexural stiffness predicts strength. Crop Sci. 2016, 56, 1711–1718. [Google Scholar] [CrossRef]
- Ma, D.L.; Xie, R.Z.; Liu, X.; Niu, X.K.; Hou, P.; Wang, K.R.; Lu, Y.L.; Li, S.K. Lodging-related stalk characteristics of maize varieties in China since the 1950s. Crop Sci. 2014, 54, 2805–2814. [Google Scholar] [CrossRef]
- Peiffer, J.A.; Flint-Garcia, S.A.; De Leon, N.; McMullen, M.D.; Kaeppler, S.M.; Buckler, E.S. The genetic architecture of maize stalk strength. PLoS ONE 2013, 8, e67066. [Google Scholar] [CrossRef]
- Crook, M.J.; Ennos, A.R. Stem and root characteristics associated with lodging resistance in four winter wheat cultivars. J. Agric. Sci. 1994, 123, 167–174. [Google Scholar] [CrossRef]
- Berry, P.M.; Sterling, M.; Baker, C.J.; Spink, J.; Sparkes, D.L. A calibrated model of wheat lodging compared with field measurements. Agric. For. Meteorol. 2003, 119, 167–180. [Google Scholar] [CrossRef]
- Berry, P.M.; Spink, J.H.; Sterling, M.; Pickett, A.A. Methods for rapidly measuring the lodging resistance of wheat cultivars. J. Agron. Crop Sci. 2003, 189, 390–401. [Google Scholar] [CrossRef]
- Zhang, W.J.; Wu, L.M.; Ding, Y.F.; Weng, F.; Wu, X.R.; Li, G.H.; Liu, Z.H.; Tang, S.; Ding, C.Q.; Wang, S.H. Top-dressing nitrogen fertilizer rate contributes to decrease culm physical strength by reducing structural carbohydrate content in japonica rice. J. Integr. Agric. 2016, 15, 992–1004. [Google Scholar] [CrossRef]
- Hall, A.J.; Sposaro, M.M.; Chimenti, C.A. Stem lodging in sunflower: Variations in stem failure moment of force and structure across crop population densities and post-anthesis developmental stages in two genotypes of contrasting susceptibility to lodging. Field Crop. Res. 2010, 116, 46–51. [Google Scholar] [CrossRef]
- Mangieri, M.A.; Mantese, A.I.; Alvarez Schurmann, A.; Chimenti, C.A. Effects of ethephon on anatomical changes in sunflower (Helianthus annuus L.) stems associated with lodging. Crop Pasture Sci. 2016, 67, 988–999. [Google Scholar] [CrossRef]
- Dunn, G.J.; Briggs, K.G. Variation in culm anatomy among barley cultivars differing in their lodging resistance. Can. J. Bot.-Rev. Can. Bot. 1989, 67, 1838–1843. [Google Scholar] [CrossRef]
- Zuber, U.; Winzeler, H.; Messmer, M.M.; Keller, M.; Keller, B.; Schmid, J.E.; Stamp, P. Morphological traits associated with lodging resistance of spring wheat (Triticum aestivum L.). Agron. Crop Sci.-Z. Acker Pflanzenbau 1999, 182, 17–24. [Google Scholar] [CrossRef]
- Kelbert, A.J.; Spaner, D.; Briggs, K.G.; King, J.R. Screening for lodging resistance in spring wheat breeding programmes. Plant Breed. 2004, 123, 349–354. [Google Scholar] [CrossRef]
- Berry, P.M.; Sterling, M.; Mooney, S.J. Development of a model of lodging for barley. J. Agron. Crop Sci. 2006, 192, 151–158. [Google Scholar] [CrossRef]
- Berry, P.M.; Sylvester-Bradley, R.; Berry, S. Ideotype design for lodging-resistant wheat. Euphytica 2007, 154, 165–179. [Google Scholar] [CrossRef]
- Esechie, H.A. Relationship of stalk morphology and chemical-composition to lodging resistance in maize (Zea Mays L) in a rainforest zone. J. Agric. Sci. 1985, 104, 429–433. [Google Scholar] [CrossRef]
- Ye, D.L.; Zhang, Y.S.; Al-Kaisi, M.M.; Duan, L.S.; Zhang, M.C.; Li, Z.H. Ethephon improved stalk strength associated with summer maize adaptations to environments differing in nitrogen availability in the North China Plain. J. Agric. Sci. 2016, 154, 960–977. [Google Scholar] [CrossRef]
- Appenzeller, L.; Doblin, M.; Barreiro, R.; Wang, H.Y.; Niu, X.M.; Kollipara, K.; Carrigan, L.; Tomes, D.; Chapman, M.; Dhugga, K.S. Cellulose synthesis in maize: Isolation and expression analysis of the cellulose synthase (CesA) gene family. Cellulose 2004, 11, 287–299. [Google Scholar] [CrossRef]
- Chen, Y.X.; Chen, J.; Zhang, Y.F.; Zhou, D.W. Effect of harvest date on shearing force of maize stems. Livest. Sci. 2007, 111, 33–44. [Google Scholar] [CrossRef]
- Pedersen, J.F.; Vogel, K.P.; Funnell, D.L. Impact of reduced lignin on plant fitness. Crop Sci. 2005, 45, 812–819. [Google Scholar] [CrossRef]
- Zhang, J.; Li, G.; Song, Y.; Liu, Z.; Yang, C.; Tang, S.; Zheng, C.; Wang, S.; Ding, Y. Lodging resistance characteristics of high-yielding rice populations. Field Crop. Res. 2014, 161, 64–74. [Google Scholar] [CrossRef]
- Zuber, M.S.; Colbert, T.R.; Darrah, L.L. Effect of recurrent selection for crushing strength on several stalk components in maize. Crop Sci. 1980, 20, 711–717. [Google Scholar] [CrossRef]
- Hu, H.X.; Liu, W.X.; Fu, Z.Y.; Homann, L.; Technow, F.; Wang, H.W.; Song, C.L.; Li, S.T.; Melchinger, A.E.; Chen, S.J. QTL mapping of stalk bending strength in a recombinant inbred line maize population. Theor. Appl. Genet. 2013, 126, 2257–2266. [Google Scholar] [CrossRef]
- Khush, G.S. Green revolution: The way forward. Nat. Rev. Genet. 2001, 2, 815–822. [Google Scholar] [CrossRef]
- Li, B.; Zhang, J.W.; Cui, H.Y.; Jin, L.B.; Dong, S.T.; Liu, P.; Zhao, B. Effects of potassium application rate on stem lodging resistance of summer maize under high yield conditions. Acta Agron. Sin. 2012, 38, 1286–1294. [Google Scholar] [CrossRef]
- Zhang, Q.; Zhang, L.; Evers, J.; van der Werf, W.; Zhang, W.; Duan, L. Maize yield and quality in response to plant density and application of a novel plant growth regulator. Field Crop. Res. 2014, 164, 82–89. [Google Scholar] [CrossRef]
- Bian, D.H.; Liu, M.X.; Niu, H.F.; Wei, Z.B.; Du, X.; Cui, Y.H. Effects of nitrogen application times on stem traits and lodging of summer maize (Zea mays L.) in the Huang-Huai-Hai Plain. Sci. Agric. Sin. 2017, 50, 2294–2304. [Google Scholar]
- Wiersma, J.J.; Dai, J.; Durgan, B.R. Optimum timing and rate of trinexapac-ethyl to reduce lodging in spring wheat. Agron. J. 2011, 103, 864–870. [Google Scholar] [CrossRef]
- Norberg, O.S.; Mason, S.C.; Lowry, S.R. Ethephon influence on harvestable yield, grain quality, and lodging of corn. Agron. J. 1988, 80, 768–772. [Google Scholar] [CrossRef]
- Shekoofa, A.; Emam, Y. Plant growth regulator (ethephon) alters maize (Zea mays L.) growth, water use and grain yield under water stress. J. Agric. 2008, 7, 41–48. [Google Scholar] [CrossRef]
- Simmons, S.R.; Oelke, E.A.; Wiersma, J.V.; Lueschen, W.E.; Warnes, D.D. Spring wheat and barley responses to ethephon. Agron. J. 1988, 80, 829–834. [Google Scholar] [CrossRef]
- Moes, J.; Stobbe, E.H. Barley treated with ethephon.1. yield components and net grain-yield. Agron. J. 1991, 83, 86–90. [Google Scholar] [CrossRef]
- Ramos, P.; Herrera, R. Anatomical changes of xylem cells in stem of Pinus radiata seedlings exposed to inclination and ethylene. Biol. Plant. 2013, 57, 525–530. [Google Scholar] [CrossRef]
- Xu, C.L.; Gao, Y.B.; Tian, B.J.; Ren, J.H.; Meng, Q.F.; Wang, P. Effects of EDAH, a novel plant growth regulator, on mechanical strength, stalk vascular bundles and grain yield of summer maize at high densities. Field Crop. Res. 2017, 200, 71–79. [Google Scholar] [CrossRef]
- Von Forell, G.; Robertson, D.; Lee, S.Y.; Cook, D.D. Preventing lodging in bioenergy crops: A biomechanical analysis of maize stalks suggests a new approach. J. Exp. Bot. 2015, 66, 4367–4371. [Google Scholar] [CrossRef]
- Robertson, D.J.; Julias, M.; Gardunia, B.W.; Barten, T.; Cook, D.D. Corn stalk lodging: A forensic engineering approach provides insights into failure patterns and mechanisms. Crop Sci. 2015, 55, 2833–2841. [Google Scholar] [CrossRef]
- Robertson, D.J.; Julias, M.; Lee, S.Y.; Cook, D.D. Maize stalk lodging: Morphological determinants of stalk strength. Crop Sci. 2017, 57, 926–934. [Google Scholar] [CrossRef]
- Wang, H.Y.; Zhang, M.C.; Chen, X.W.; Niu, X.X.; Su, H.; Dong, X.H. Effects of ethephon on Dry matter accumulation in summer corn seeds and related physiological mechanism inquiry. J. Maize Sci. 2013, 21, 57–61. [Google Scholar]
- Wei, X.Y.; Zhang, M.C.; Li, Z.H.; Duan, L.S. Differences in responding sensitivity to ethephon among different maize genotypes. Acta Agron. Sin. 2011, 37, 1819–1827. [Google Scholar] [CrossRef]
- Abendroth, L.J.; Elmore, R.W.; Boyer, M.J.; Marlay, S.K. Corn Growth and Development; PMR 1009; Iowa State University Extension: Ames, IA, USA, 2011; pp. 5–6. [Google Scholar]
- Van Soest, P.J.; Robertson, J.B.; Lewis, B.A. Methods for dietary fiber, neutral detergent fiber, and nonstarch polysaccharides in relation to animal nutrition. J. Dairy Sci. 1991, 74, 3583–3597. [Google Scholar] [CrossRef]
- Mani, S.; Tabil, L.G.; Sokhansanj, S. Effects of compressive force, particle size and moisture content on mechanical properties of biomass pellets from grasses. Biomass Bioenergy 2006, 97, 1420–1426. [Google Scholar] [CrossRef]
- Kock, N. A note on how to conduct a factor-based PLS-SEM analysis. Int. J. e-Collab. 2015, 11, 1–9. [Google Scholar] [CrossRef]
- Berry, P.M.; Sterling, M.; Spink, J.H.; Baker, C.J.; Sylvester-Bradley, R.; Mooney, S.J.; Tams, A.R.; Ennos, A.R. Understanding and reducing lodging in cereals. Adv. Agron. 2004, 84, 217–271. [Google Scholar]
- Duvick, D.N.; Cassman, K.G. Post-green revolution trends in yield potential of temperate maize in the north-central United States. Crop Sci. 1999, 39, 1622–1630. [Google Scholar] [CrossRef]
- Kong, E.Y.; Liu, D.C.; Guo, X.L.; Yang, W.L.; Sun, J.Z.; Li, X.; Zhan, K.H.; Cui, D.Q.; Lin, J.X.; Zhang, A.M. Anatomical and chemical characteristics associated with lodging resistance in wheat. Crop J. 2013, 1, 43–49. [Google Scholar] [CrossRef]
- Niklas, K.J. Influence of tissue density-specific mechanical-properties on the scaling of plant height. Ann. Bot. 1993, 72, 173–179. [Google Scholar] [CrossRef]
- Luo, Z.S.; Xu, X.L.; Cai, Z.Z.; Yan, M. Effects of ethylene and 1-methylcyclopropene (1-MCP) on lignification of postharvest bamboo shoot. Food Chem. 2007, 105, 521–527. [Google Scholar] [CrossRef]
- Sitbon, F.; Hennion, S.; Little, C.H.A.; Sundberg, B. Enhanced ethylene production and peroxidase activity in IAA-overproducing transgenic tobacco plants is associated with increased lignin content and altered lignin composition. Plant Sci. 1999, 141, 165–173. [Google Scholar] [CrossRef]
- Huang, W.N.; Liu, H.K.; Zhang, H.H.; Chen, Z.; Guo, Y.D.; Kang, Y.F. Ethylene-induced changes in lignification and cell wall-degrading enzymes in the roots of mungbean (Vigna radiata) sprouts. Plant Physiol. Biochem. 2013, 73, 412–419. [Google Scholar] [CrossRef]
- Robertson, D.J.; Smith, S.L.; Cook, D.D. On measuring the bending strength of septate grass stems. Am. J. Bot. 2015, 102, 5–11. [Google Scholar] [CrossRef]
- Verma, V.; Worland, A.J.; Sayers, E.J.; Fish, L.; Caligari, P.D.S.; Snape, J.W. Identification and characterization of quantitative trait loci related to lodging resistance and associated traits in bread wheat. Plant Breed. 2005, 124, 234–241. [Google Scholar] [CrossRef]
- Gao, Z.; Liang, X.G.; Zhang, L.; Lin, S.; Zhao, X.; Zhou, L.L.; Shen, S.; Zhou, S.L. Spraying exogenous 6-benzyladenine and brassinolide at tasseling increases maize yield by enhancing source and sink capacity. Field Crop. Res. 2017, 211, 1–9. [Google Scholar] [CrossRef]
- Zhang, W.Q.; Yu, C.X.; Zhang, K.; Zhou, Y.Y.; Tan, W.M.; Zhang, L.Z.; Li, Z.H.; Duan, L.S. Plant growth regulator and its interactions with environment and genotype affect maize optimal plant density and yield. Eur. J. Agron. 2017, 91, 34–43. [Google Scholar] [CrossRef]
© 2019 by the authors. Licensee MDPI, Basel, Switzerland. This article is an open access article distributed under the terms and conditions of the Creative Commons Attribution (CC BY) license (http://creativecommons.org/licenses/by/4.0/).







