Abstract
The flowering loci of cabbage must be understood to boost their productivity. In this study, to clarify the flowering mechanisms of cabbage, we examined the three flowering repressors BoFLC1, 2 and 3, and the flowering regulators BoGI, BoCOOLAIR, and BoVIN3 of early (CAB1), middle (CAB3), and late (CAB5) flowering cabbage genotypes. Analysis of allele-specifically amplified genomic DNA and various sequence alignments demonstrated that maximal insertions and deletions influenced cabbage flowering behavior, notably in CAB3 and CAB5. Phylogenetic studies showed that BoFLC1, 2, and 3 in the CAB1, 3, and 5 genotypes had the highest homologies to other Brassica species, with CAB3 and 5 the most similar. Although CAB3 and CAB5 have comparable genetic patterns, flowering repressors and flowering regulators were investigated individually with and without vernalization to determine their minor flowering differences. The expression investigation revealed that vernalized CAB5 downregulated all BoFLC genes compared to CAB3 and, in contrast, CAB3 exhibited upregulated BoCOOLAIR. We hypothesized that the CAB3 BoFLC locus’ additional insertions may have led to BoCOOLAIR overexpression and BoFLC downregulation. This study sheds light on cabbage genotypes—particularly those of CAB1 and CAB5—and suggests that structural variations in BoFLC2 and 3 bind flowering regulators, such as COOLAIR, which may affect cabbage flowering time.
1. Introduction
In plants, regulation of flowering time is one of the most important events that significantly affects the synchronization of reproduction under favorable environmental conditions. Floral transition, which encompasses the vegetative-to-reproductive phase, is a vital developmental process that governs the timing of reproduction. The role of environmental (photoperiod and temperature) and endogenous factors (autonomous, gibberellins [GA], and aging) in flowering have been characterized in Arabidopsis [1,2,3,4]. Floral transitions like vernalization induced by cold temperature are widely present in long-day biennial and winter plants. This vernalization pathway comprises many genes that act as transcriptional and epigenetic silencing mechanisms to form a complex regulatory network that controls flowering time.
Brassicaceae are some of the most economically important crop species in horticulture and are cultivated mainly for their edible seeds, stems, leaves, and flowers. The economic value of Brassicaceae crops is heavily influenced by vernalization, which occurs when the plants are forced to bloom after experiencing cold temperatures. The early spring harvest of cabbage (heads) occurs in cultivars that bolt late and have high vernalization needs. For example, cabbage (Brassica oleracea var. capitata), a plant of this vernalization-induced flowering type, is insensitive to cold signals until it reaches a certain size (critical mass) and needs prolonged exposure to cold temperatures to flower. This might cause a delay in the breeding cycle [5]. Therefore, breeding late-flowering cabbages that are resistant to cold temperatures and bolting is of considerable interest to breeders and researchers [6,7]. Important vernalization-related molecular components such as flowering-related genes such as FLOWERING LOCUS C (FLC), FRIGIDA (FRI), and VERNALIZATION INSENSITIVE 3 (VIN3) are evolutionarily conserved between the spring and winter forms of Arabidopsis and Brassica crops [8,9,10,11,12]. The natural variation in flowering time between spring and winter forms is mostly associated with allelic variations in paralogs of the FLC locus, which has already been characterized in many Brassica species, including B. oleracea [13,14,15] B. rapa [16,17], and B. napus [18,19].
The BoFLC1, BoFLC2, and BoFLC3 genes, as well as the BoFLC5 pseudogene, are present in the reference genome of B. oleracea at Chromosome 9 (C9), C2, C3, and C3, respectively. [11,20,21]. In earlier studies, BoFLC2 was found to be the only main functional gene responsible for floral transitions [11,13]. Supporting this, mutations in BoFLC2 cause a loss of function in annual cauliflower varieties [14]. A recent genomic study showed that three BoFLCs delayed flowering in B. oleracea and suggested that these paralogs were functionally conserved as floral repressors [22]. However, the investigated mRNA expression characteristics revealed that BoFLC1 declined less markedly than the highly repressed genes BoFLC2 or 3 during vernalization [22]. In addition, an insertion mutation in intron 2 of BoFLC1 and its rapid downregulation under vernalization was strongly associated with the vernalization-dependent phenotype of an early flowering cabbage line. Allelic diversity and variations in FRI have also been closely linked to flowering or heading date variations in B. oleracea [23,24] and B. napus [25].
The formation of flower meristems and organ determination during vernalization-dependent floral signal integration is influenced by the chain regulation of FRI, FLC, FLOWERING LOCUS T (FT), and MADS-box transcription factor proteins such as SUPPRESSOR of OVEREXPRESSION of CONSTANS1 (SOC1) and LEAFY (LFY) [26,27]. In the autonomous and vernalization pathways, the antisense regulator Cold induced long antisense intragenic RNA (COOLAIR) along with GIGANTEA (GI) and VIN3 induce flowering by altering the expressions of FLC, FT, and SOC1 [28]. GI, a circadian clock-associated protein, is involved in various physiological processes, including the regulation of flowering time [29]. GI gene positively regulates CONSTANS (CO) and FT, suggesting a role in floral transition [30,31].
Under non-vernalization conditions, FLC expression is increased by an activator called FRI, which recruits chromatin modification factors to the FLC chromatin, thereby postponing flowering time. Natural antisense transcripts (NATs) play pivotal roles in the epigenetic silencing of FLC [32]. Vernalization induces the transcription of noncoding sense and antisense transcripts of Cold-assisted intronic non-coding RNA (COLDAIR) and COOLAIR from the first intronic and multi-exonic or promoter-adjacent 3′ regions in the FLC locus of Arabidopsis, respectively [33,34]. COLDAIR aids in the addition of repressive factors to FLC chromatin through its interaction with VIN3 by recruiting the PRC2-like complex, a group of polycomb proteins, to the histones of FLC [34]. Antisense transcripts of COOLAIR are produced independently of this but before FLC expression is decreased by the PRC2-like complex, repressing the sense transcripts of FLC [32].
To date, variations in the flowering times (early, mid, and late) and vernalization sensitivities among cabbage cultivars have been inadequately investigated. In this study, we characterized three BoFLC functional members—BoFLC1, BoFLC2, and BoFLC3—in early (CAB1)-, mid (CAB3)-, and late-flowering (CAB5) cabbage cultivars. We found that allelic variations in the BoFLC locus could alter vernalization sensitivity between cabbage cultivars. This also suggests that these allelic nucleotide variations may influence the epigenetic silencing of FLC, as noted in Arabidopsis. Therefore, we propose that the identification of cis polymorphisms in BoFLC1, BoFLC2, and BoFLC3 provides beneficial information for breeding late-flowering and cold-resistant Brassica crops.
2. Materials and Methods
2.1. Plant Materials and Growth Conditions
Three inbred lines or commercial cultivars i.e., 20FL-CAB1 (early-flowering, 140–150 days), 20FL-CAB3 (mid-flowering, 160–170 days), and 20FL-CAB5 (late-flowering, ≥190 days), with distinct flowering times (varying from 40–45 days) were derived from a domestic seed company (Joeun Seeds Co., Ltd., Goesan, Chungbuk, Republic of Korea) (Table S1). Seeds of all lines were sown and cultivated in a greenhouse (25 and 20 ˚C under 16 and 8 h light and dark conditions, respectively) for 30 days in April 2020 and then transplanted to the field. Sixty days after field transplantation, the head portions of the cabbages were removed and transferred to plastic pots (30 cm × 25 cm) containing a mixture of cocopeat and soil in a 1:1 ratio. A set of pots without vernalization (control) was allowed to grow under greenhouse conditions with 16 h of light at 25 °C and 8 h of dark at 18 °C. For vernalization treatment, pots were transferred to TOGA UGSR01 incubators (TOGA clean system, Yuseong, Daejeon, Republic of Korea) maintained at 4 °C with a 10 h/14 h light/dark cycle for 11 weeks. Leaf samples were collected from young leaves of three replicates of the three respective types of cabbage grown under both the control and vernalization conditions each week (0–11 weeks of vernalization). The collected leaf samples were quickly frozen in liquid nitrogen and stored at −80 °C for further use.
2.2. Genomic DNA Extraction, PCR Amplification, and Sequencing of BoFLC Homologs
Genomic DNA was extracted from young leaves using a WizPrep Plant DNA Mini Kit (WizBiosolutions, Seongnam, Gyeonggi, Republic of Korea). According to the gene sequences of BoFLC1 (AM231517.1), BoFLC2 (AY306124.1), and BoFLC3 (AY306125.1) deposited in GenBank, allele-specific (AS) PCR primers (Table S2) were designed and used to amplify BoFLC-encoding genes in cabbage. PCR amplifications were conducted with gene-specific primers in a 50 μL reaction volume containing 100 ng of DNA, 0.5 μM of both forward and reverse oligos, 0.5 μM dNTP, 10x Ex Taq buffer, 0.8 units of Ex Taq polymerase (Takara, Shimogyo, Kyoto, Japan) and autoclaved water. PCR reactions were performed on a thermal cycler using the following program: one cycle of 30 s at 98 °C; 30 cycles of 30 s at 98 °C, 30 s at 60 °C, 3 min 30 s at 72 °C; and one cycle of 15 min at 72 °C. The PCR products were resolved on a 1% agarose gel in 1x TBE buffer, then stained with ethidium bromide and visualized under a UV transilluminator. The expected amplicons were excised from the gel and purified using a LaboPassTM Gel Extraction Kit (Cosmo Genetech, Seongdong, Seoul, Republic of Korea) as recommended by the manufacturer. To sequence the purified amplicons, 2000 bp contig primers flanking the entire gene were designed for each BoFLC locus using the Primer3Plus online tool. PCR amplicons were sequenced using an ABI3730XL sequencer (Macrogen Co., Gangnam, Seoul, Republic of Korea).
2.3. Sequence Analyses and Phylogenetic Analysis of BoFLC Homologs
The BoFLC1 genomic DNA sequences obtained in this study were deposited in the National Agricultural Biotechnology Information Center (NABIC; https://nabic.rda.go.kr/ (accessed on 20 April 2020)) database under the following numbers: NU-1420-000001 (BoFLC1 from CAB1) and NU-1425-000001 (BoFLC1 from CAB5). The sequencing results of nucleotide contigs were assembled, and comparative analysis among other BoFLC homologs to identify sequence variations (insertions and deletions) was conducted using the BioEdit (version 7.2.5) sequence alignment software (Ibis Biosciences, Carlsbad, CA, USA). The intron–exon organization of BoFLC homologs was predicted using the Gene Structure Display Server (GSDS2.0; http://gsds.cbi.pku.edu.cn/, version 2.0 (accessed on 12 April 2020)) by aligning the genomic sequences with their respective CDS sequences.
Multiple sequence alignments of the deduced amino acid sequences of the identified BoFLC homologs were performed using CLUSTAL multiple sequence alignment in MUSCLE with the default parameters (http://www.ebi.ac.uk/Tools/msa/muscle/, version 3.8 (accessed on 5 April 2020)). To analyze the evolutionary relationships among FLC homologs from different Brassica species, a maximum likelihood tree and neighbor-joining tree (1000 replicates) were constructed using a dataset of FLC genes containing 31 deduced amino acid sequences, including those from cabbage in this study and those from other Brassica species (B. rapa, B. nigra, B. oleracea, and B. napus) reported in previous studies (Table S3) [15,35]. The translated sequences of the whole coding regions of FLC were aligned using the MUSCLE method, and a tree was constructed using the neighbor-joining (NJ) method with MEGA version 10.0.5 and bootstrap analysis of 1000 replicates.
2.4. Extraction of mRNA and Expression Profiling of Flowering Genes
The leaf samples of three replicates from the two individual treatments (vernalized and non-vernalized) were subjected to total RNA isolation each week of treatment using the GeneAll Hybrid RNA purification kit (GeneAll Biotechnology, Songpa, Seoul, Republic of Korea), following the manufacturer’s instructions. A total of 1.5 μg of RNA was used to synthesize complementary DNA (cDNA) using the PrimeScript® RT reagent with a gDNA eraser kit (Takara, Shimogyo, Kyoto, Japan), following the directions provided by the manufacturer. To determine the expression profile of the flowering loci (BoFLC1, 2, and 3), and flowering regulator genes (BoGI, BoCOOLAIR, and BoVIN3), gene-specific primers were generated for qRT-PCR analysis using Primer3Plus (Table S2). Gene expression was determined using the Actin1 gene internal control system with the corresponding primers (Table S2). The qRT-PCR was conducted using a reaction mixture of 13 μL, consisting of 2 μL of cDNA template, 6 μL of 2x SYBR green Q master LaboPassTM (COSMOgenetech, Seongdong, Seoul, Republic of Korea), and 0.5 μM of gene-specific forward and reverse oligonucleotide primers. The CFX96 Real-Time PCR Detection System (Bio-Rad Richmond, Hercules, CA, USA) was used with the following parameters: initial denaturation cycle at 95 °C for 3 min, followed by 40 cycles of denaturation at 95 °C for 15 s, annealing at 60 °C for 20 s, and extension at 72 °C for 15 s. A cycle at 65 °C for 5 s was included, and a final cycle at 95 °C for 2 s was performed to detect primer specificity based on melt curve analysis. Three independent replicates were conducted to determine the relative expression levels of target gene transcripts. The reference gene β-Actin was used as an internal normalization control and normalization was performed using the 2−ΔΔCT method [36] using CFX Manager 2.3 software (Bio-Rad Richmond, Hercules, CA, USA). The 5th week untreated and cold-treated CAB1 cultivar (early flowering) samples were considered the control (the value of 1), or reference, samples for determining the expression values of target genes of non-treatment control and treated CAB3 (mid flowering) and CAB5 (late flowering) plants. The obtained data were further subjected to statistical analysis.
2.5. Statistical Analysis
To analyze statistically significant differences in the relative expression of genes, an ANOVA with Duncan’s multiple range test was performed using SPSS version 21.0.
3. Results
3.1. Molecular Characterization of BoFLC in Three Different Cabbage Lines with Divergent Flowering Times
Genomic DNA from approximately 3361 to 4384 bp for BoFLC1, BoFLC2, and 160 BoFLC3 along with coding sequences (CDSs) and an untranslated region of 594 bp were sequenced from cabbage lines with varying flowering times (Figure 1; Table S1). Various deletions and insertions were identified in the various introns of the respective cabbage DNA sequences compared with the DNA sequence of the reference, AY306124 (NCBI Gene bank ID).
Figure 1.
Insertion and deletion profiles of the BoFLC genes including BoFLC1 (A), BoFLC2 (B), and BoFLC3 (C) in the genomic DNA of the three flowering lines CAB1, 3, and 5 along with the structure of the reference gene AY306124.1.
The BoFLC1 gene sequence in all three flowering cabbage lines showed an insertion (687 and 67 bp) in intron 1 between 2500 and 3000 bp and another insertion in intron 2 between 3000 and 3500 bp. CAB3 and CAB5 exhibited four additional insertions (3, 9, 9, and 13 bp) between 1000 and 2000 bp, unlike CAB1. In BoFLC2, while CAB1 remained unchanged genotypically, CAB3 and CAB5 exhibited a similar type of insertion at approximately 2500 bp (9, 2, and 1 bp) in the sixth intron; furthermore, CAB3 carried two additional insertions within the sixth intron between 2500 and 3000 bp (9 bp). BoFLC3 exhibited two insertions (13 and 21 bp) in the first intron within 1000 bp in all three flowering types; consequently, the fifth intron of CAB3 possessed an additional insertion spanning from 2000 to 3000 bp (15 bp; Figure 1A–C).
In terms of the deletions in BoFLC genes in the respective cabbage flowering lines, BoFLC1 exhibited one deletion between 3500 and 4000 (70 bp) in the fifth intron and four deletions (40, 13, 29, and 78 bp) in the sixth intron of CAB1. The CAB3 and CAB5 lines exhibited three analogous deletions (23, 613, and 5 bp) in the first intron between 500 and 1000 bp, one deletion in the fifth intron (70 bp), and six deletions in the sixth intron (40, 5, 13, 29, and 13 bp). In contrast to CAB1, BoFLC2 in CAB3 and CAB5 each had two deletions (4 and 2 bp) in the sixth intron (between 2500 and 3000 bp) and one deletion (215 bp) in the first intron (between 500 and 100 bp). BoFLC3 exhibited three analogous deletions ranging from 0 to 1500 bp (2, 2, and 11 bp) in the first intron of each of the three cabbage flowering lines (Figure 1A–C).
A percent identity matrix for BoFLC1, BoFLC2, and BoFLC3 was generated by employing CLUSTAL multiple sequence alignment on the Brassica species genomic sequences (Tables S1 and S3). Single nucleotide polymorphisms (SNPs) and indels of FLC were abundant between cabbage genotypes. In genomic DNA, significant indels in introns were found in all of the FLC1, FLC2, and FLC3 genes; though in CDS, it was confirmed that the similarity between each gene was high (Figure 1).
3.2. Phylogenetic Relationships among B. oleracea and Other Brassica Species
We investigated the relationship between the amino acid sequences (NCBI) of BoFLC1 (CAJ77613), BoFLC2 (AAQ76275), BoFLC3 (CAJ77614), BrFLC1 (DQ866874.1), BrFLC2 (DQ866875.1), BrFLC3 (ABI30001.1), BnFLC1 (AAK70215.1), BnFLC2 (AAK70216.1), BnFLC3 (AAK70217.1), BniFLC (AIE38010.1), BcFLC (QCE32013.1), and BjFLC (AHY82602.1) by employing a neighbor-joining tree by protein levels (Figure 2). We used AtFLC (AT5G10140.1) as an outgroup. FLC homologs were distinguishable between B. oleracea (Bo), B. rapa (Br), B. napus (Bn), and B. nigra. The BoFLC1, BoFLC2, and BoFLC3 proteins of CAB1 were closely related to the known cabbage proteins. CAB3 and CAB5 were highly correlated with FLC homology, indicating that most of the correlations between the proteins of the FLC homologs of B. oleracea were high.
Figure 2.
Neighbor-joining tree showing phylogenetic relationships based on decoded BoFLC amino acid sequences among early- (CAB1), mid- (CAB3), and late (CAB5)-flowering cabbages. The GenBank accession number is shown in parentheses, and sequences were compared with the three cabbage genotypes used in our study. Bootstrap values ˃ 50% are shown above the branches. At, A. thaliana; Bc, B. carinata; Bj, B. juncea; Bn, B. napus; Bni, B. nigra; Bo, B. oleracea; Br, B. rapa.
B. oleracea plants (Tables S1 and S3), such as cabbage, kohlrabi, and broccoli, showed high genetic similarities, with CAB1-FLC1 and BR11-FLC1 exhibiting a homology of 99.1%, and CAB3 and CAB5-FLC1 showing a homology of 98.9% with BR11-FLC1. The homology between CAB1-FLC2 and KH8-FLC2 was very high, reaching 95.2%. Similarly, the homology between CAB3-FLC2 and BR11-FLC2 was 95.2%, while the homology between CAB5-FLC2 and BR11-FLC2 was 99.8%. The homology between KH8-FLC3 and CAB1, CAB3, and CAB5-FLC3 was 99.1% (Table S3).
3.3. Effects of Vernalization on Flowering Repressor (BoFLC1, BoFLC2, and BoFLC3) Expression Profiles
Multiple alignment and phylogenetic investigations determined that CAB3 and CAB5 share structural homology and carry a high number of indels. We thus selected those flowering lines for the gene expression analysis. For BoFLC-specific qRT-PCR transcript expression analysis, we created graphs depicting the expression in CAB3 and CAB5 and in the corresponding controls. The controls did not show significant differences in FLC homologs. However, the basic expression level in CAB5 was approximately two times higher than that in CAB3 in the control grown in a greenhouse.
Investigation of BoFLC gene expression in middle- and late-flowering genotypes of cabbage revealed that the FLC locus was suppressed in FLC1, FLC2, and FLC3 after being vernalized (Figure 3). This treatment significantly reduced the expression related to repression of flowering by approximately 0.5 and 1.0% for FLC1, by 0.5 and 1.5% for FLC2, and by 0.5 and 1.2% for FLC3 in CAB3 and CAB5, respectively. Our experimental results confirmed that BoFLC1 expression decreased rapidly in CAB3 and CAB5 following vernalization for approximately 8 weeks (Figure 3A,B). However, the expression did not continue to decrease, and BoFLC1 expression was maintained for 9 weeks in both cabbages under the vernalization treatment. BoFLC2 expression in both CAB3 and CAB5 cabbages began to decrease after approximately 7 weeks of vernalization (Figure 3C,D), and the expression values were maintained until 9 weeks. BoFLC3 in CAB5 showed identical suppression at 8 weeks, although vernalized plants exhibited substantial declines in expression starting from the 6th week (Figure 3E,F).
Figure 3.
mRNA expression patterns of three BoFLC homologs using cDNA from vernalization (dotted lines) and non-vernalization (solid lines) treatments between mid- (CAB 3) and late (CAB 5)- flowering cabbages. Relative expressions of BoFLC1 (top panels A,B), BoFLC2 (middle panels C,D), and BoFLC3 (bottom panels E,F) are shown for CAB 3 (left panels A,C,E, respectively) and CAB 5 (right panels B,D,F, respectively). Different letters indicate statistically significant differences in gene expression across vernalization according to Duncan’s multiple range test at p ≤ 0.05.
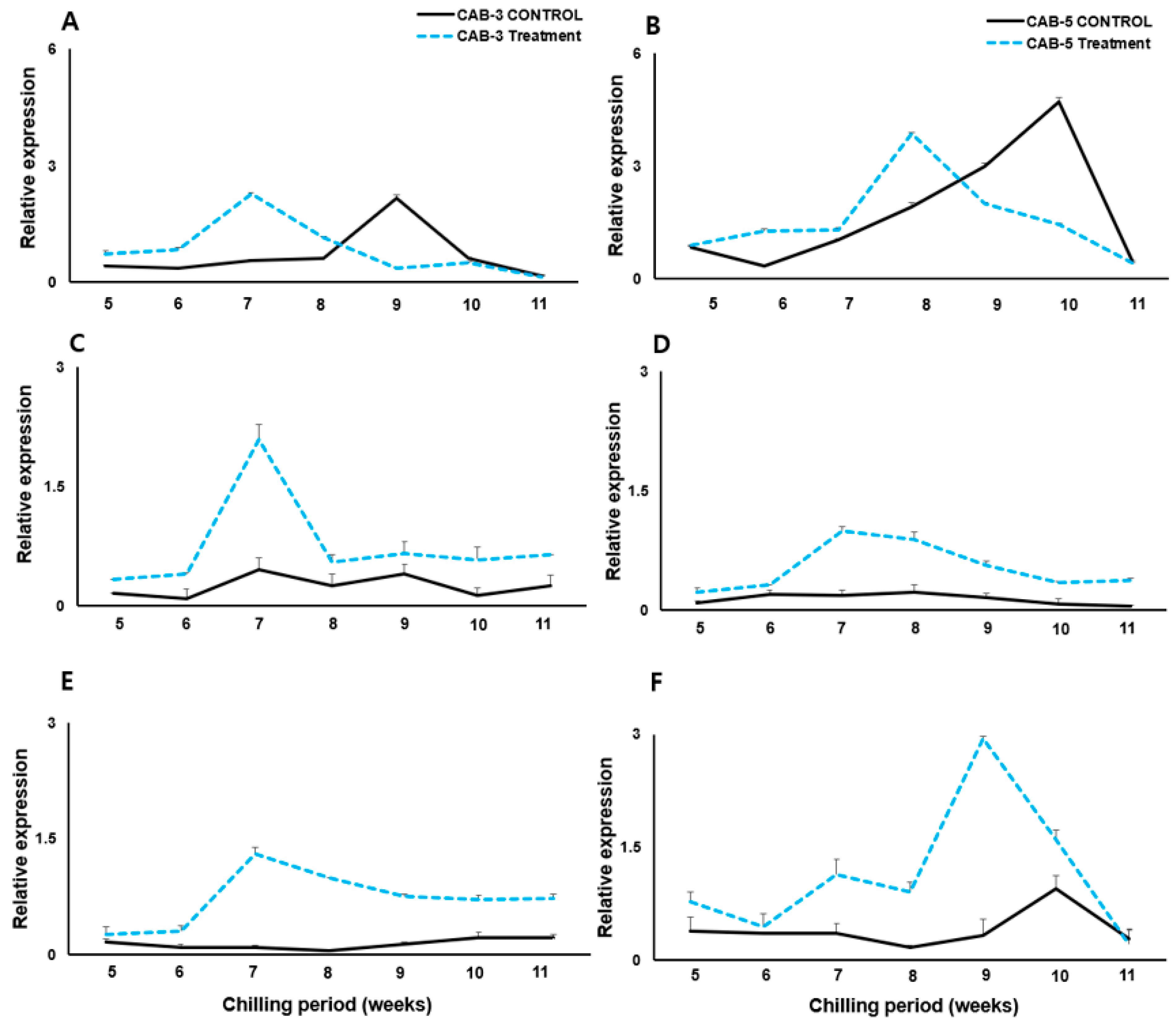
3.4. Effects of Vernalization on the Expression Profile of Flowering Regulators (BoGI, BoCOOLAIR, and BoVIN3)
We also performed qRT-PCR tests on BoGI, BoCOOLAIR, and BoVIN3 to explore the expression of genes related to flowering in CAB3 (Figure 4A,C,E), CAB5 (Figure 4B,D,F), and controls. The expression of BoGI in CAB3 peaked (2.8%; Figure 4A) at 7 weeks, whereas the control showed the highest expression at 9 weeks. The peak appeared approximately 2 weeks faster than for the control. For CAB5, the control exhibited the highest peak (5.0%) at 10 weeks (Figure 4B), while the vernalization-treated cabbage showed the highest peak (4.0%) at 8 weeks.
Figure 4.
mRNA expression patterns of the flowering regulator genes BoGI (GI, top panel A,B), BoCOOLAIR (middle panel C,D), and BoVIN3 (bottom panel E,F) between mid- (CAB 3) and late (CAB 5)-flowering cabbage lines under vernalization (dotted lines) and non-vernalization (solid lines) treatments. The relative expressions of GI, BoCOOLAIR, and BoVIN3 were compared for the mid-flowering CAB 3 line (left A,C,E) and late-flowering CAB 5 line (right B,D,F). The bars indicate standard errors of the means for each week of the vernalization treatment.
In terms of COOLAIR expression, both CAB3 (Figure 4C) and CAB5 (Figure 4D) under the vernalization treatment showed the highest expression levels at 7 weeks. This coincided with the time when the expression of the BoFLC gene began to decrease. In CAB3, COOLAIR increased rapidly at week 7, up to two-fold, and decreased rapidly thereafter. In contrast, in CAB5 (Figure 4D), COOLAIR increased more slowly, up to approximately 1.3-fold, and then gradually decreased. The CAB3 control showed the highest relative expression (approximately 0.4%) at 10 weeks, after which it decreased. In contrast, the CAB5 control showed a maximum peak at 8 weeks (0.1%), after which the expression slowly decreased.
The highest expression of BoVIN3 in vernalization-treated cabbages was observed at 7 weeks in CAB3 (Figure 4E) and at 9 weeks in CAB5 (Figure 4F), with expressions that were approximately 1.5- and 3-fold increased, respectively. In CAB3, expression slowly decreased after 7 weeks but was maintained after 9 weeks, whereas in CAB5 expression decreased continuously after 9 weeks. The CAB3 control showed the highest relative expression (0.2%) at 10 weeks, which was maintained until week 11. The CAB5 control showed a maximum peak at 10 weeks (1.0%), but expression immediately decreased thereafter.
This study employed a systematic approach to investigate the molecular mechanisms underlying the differential flowering behavior of cabbage genotypes (CAB3 and CAB5). This study examined the impact of vernalization-induced suppression of FLC loci in exclusively BoFLC1, BoFLC2, and BoFLC3, as well as the concurrent upregulation of flowering regulators such as BoGI, BoCOOLAIR, and BoVIN3.
4. Discussion
Vernalization naturally stimulates flowering in several plant species by exposing them to cold temperatures. Vernalization expedites the process of flowering by facilitating the transition from the growth of leaves and stems to the production of flowers. The organs that emerge from the shoot apex during this transition are determined by genes that regulate the characteristics of the shoot apical meristem. Throughout vegetative growth, the shoot apical meristem generates leaf primordia. During the initiation of reproductive development, the shoot apex transforms into an inflorescence meristem. Additionally, further meristems called flower primordia begin to emerge above each leaf primordium for the formation of different flower parts [36,37,38,39].
Floral repressors, such as FLC, serve to inhibit flowering, thus ensuring accurate reproductive timing and mitigating adverse effects on the reproductive success of plants. They establish complexes that coordinate responses to endogenous and environmental stimuli through interaction with inductive pathways. The decrease in FLC activity plays a crucial role in the vernalization response in plants. FLC plays a role in regulating the flowering response of plants exposed to vernalizing conditions (extended cold) [40,41,42]. Long-term cold initiates vernalization by causing FLC to be epigenetically silenced.
Li et al. [43] investigated the impact of vernalization on the flowering responses of B. oleracea var. capitata and A. thaliana by studying the FLC locus. The authors conducted a comprehensive investigation on the impact of a 215 bp insertion or deletion (indel) at intron I of the BoFLC2 gene in B. oleracea var. capitata during the process of vernalization-induced flowering. Okazaki et al. [11] examined and described the BoFLC gene and identified quantitative trait loci associated with flowering. Uptmoor et al. [44] developed a phenology model for predicting the flowering period of B. oleracea based on quantitative trait loci (QTL). Multiple researchers have investigated the impact of vernalization on the flowering responses mediated by FLC in various plant species, including A. thaliana [45,46,47,48,49,50,51,52], A. lyrate [53], B. rapa [16] B. napus [35], Sinapis alba [54], Beta vulgaris [55], and Triticum aestivum [56]. Among the many genes that impact flowering, FLC is the primary gene. The repressive effect of FLC on flowering in plants is consistent; however, vernalization introduces many variations in the action of FLC. FLC has frequent allelic variation, and its homologs have been considered strong candidates for regulating flowering time in other Brassicaceae species [57,58,59,60,61,62,63,64,65].
Our gene structure prediction uncovered the facts of the above studies in three FLC homologs—BoFLC1, BoFLC2, and BoFLC3—in three distinct flowering cultivars of B. oleracea var. capitata, with the indel aligned against the reference genome AM231517.1 (Figure 5). We found that, out of the three distinct flowering lines, the medium- (CAB3) and late (CAB5)- flowering cabbage lines had the highest rates of insertion and deletion in the BoFL1 gene, affecting the first, second, fifth, and sixth introns of those genes, respectively. For BoFLC2, both CAB3 and CAB5 had high indel levels in the first and sixth introns; CAB3 had two additional insertions. Although all flowering lines had the same indel in the BoFLC3 gene at the first intron, an extra insertion was found in the fifth intron of CAB3. These findings line up with the Li et al. [43] who mentioned as intron-specific mutations (insertion and deletion) in FLC may significantly modify cabbage flowering. We thus chose CAB3 and CAB5 as the maximum indel lines for measuring gene expression while they were subjected to vernalization. Based on indel identification, we speculate that the genotypical changes between CAB3 and CAB5, which had severe mutations in the respective FLC homologs, might be an important reason for the delayed flowering of these respective cabbage varieties. We believe that the unique mutation patterns in BoFLC2 and BoFLC3 may dramatically affect cabbage flowering.
Figure 5.
Schematic representation of FLC expression and suppression under control and vernalization conditions along with FLC regulator activity on three different BoFLC genes in CAB3 and CAB5 cabbages (w = weeks; green color arrows = CAB3 FLC expressions; red color arrows = CAB5 FLC expressions; maximum dotted lines = expression of BoFLC2; minimal dotted lines = expression of BoFLC3; solid lines = expression of BoFLC1).
Antisense COOLAIR is crucial for the coordinated switching of chromatin states in FLC during vernalization, a mechanism that connects transcriptional repression with epigenetic silencing through decreasing H3K36/K4 methylation and increasing H3K27me3 at the intragenic FLC nucleation site. Two proteins, VERNALIZATION 2 (VRN2) and VIN3, are also involved in the epigenetic suppression of FLC expression during vernalization. This mechanism of action is critical for comprehending the involvement of COOLAIR in the vernalization and epigenetic silencing of FLC [59,66].
COOLAIR IncRNAs exert functional repression of FLC sense expression during the early stages of cold exposure (vernalization) via many mechanisms, including direct association with FLC chromatin and modulation of H3K36me3, H3K4me3, and H3K27me3 levels. COOLAIR begins immediately after the primary sense transcript poly(A) site and ends either prematurely or continues into the FLC promoter region. Splicing of COOLAIR plays a crucial role in its functionality [67,68,69,70,71]. Several studies have examined the varying flowering responses resulting from intronic mutations in plants: the AG-to-AA mutation (COOLAIRAA) markedly reduces the splicing efficiency of the intron and increases the levels of FLC expression [67,68,69,70,71]. The naturally occurring large insertion in the first intron of BrFLC2 and BrFLC3 has been extensively studied [72]. This insertion leads to a weak suppression of cold sensitivity, which was demonstrated on the exceptionally delayed bolting cultivar (Tsukena No. 2) of B. rapa L. ssp. pekinensis (Chinese cabbage). Novel MADS-box genes and very late blooming variants were produced by intronic mutations such as insertion and deletion in A. arenosa [73,74].
Our findings showed several insertions and deletions in the BoFLC locus in different flowering cabbage genotypes, particularly in the first, fifth, and sixth introns. We assume that this might be an important factor in the varied flowering patterns through its influence on BoFLC and antisense BoCOOLAIR expression levels among the cabbages as Li et al. [43] identified.
A phylogenetic investigation by Okazaki et al. [11] demonstrated that the BoFLC2 clone in B. oleracea, which is a member of the FLC2 clade within the Brassica family, is 91% identical to BrFLC2. In addition, Lin et al. [75] demonstrated that BoFLC4 had a high degree of similarity with BrFLC4, at 98%. Schranz et al. [20] found three Brassica FLC homologs in B. oleracea: BoFLC1, BoFLC3, and BoFLC5. Our study confirms the high homology of BoFLC1, BoFLC2, and BoFLC3 in CAB1, CAB3, and CAB5 with the respective FLC homologs of B. rapa, B. napus, and B. nigra varieties. The percent identity matrix of the CDS multiple sequence alignment revealed a significant degree of sequence similarity across the various flowering B. oleracea plants (early, middle, and late flowering).
Our analysis of gene expression in both vernalized and non-vernalized forms of CAB3 and CAB5 revealed a significant decrease in the expression of all BoFLC genes, including BoFLC1, 2, and 3, under vernalized conditions. Furthermore, the drop in expression was particularly pronounced in all BoFLC loci in the CAB5 cabbage. In both CAB3 and CAB5, BoFLC1 expression decreased during the seventh week of vernalization, whereas that of BoFLC2 and BoFLC3 decreased during the sixth week. This time-dependent reduction in gene expression over time may be explained by sequence similarity of the corresponding gene (BoFLC1~3) CDS between the two cabbage lines, as well as the mutations in introns, which were validated using phylogenetic and multiple sequence alignment studies. Numerous investigations [76,77,78] have shown that the course of vernalization in Brassica species has a notable impact on flowering. Our investigation also indicates that the suppression of BoFLC genes plays a crucial role in this phenomenon. There is a suspicion that the presence of two insertions in the sixth intron of BoFLC2 and one insertion in the fifth intron of BoFLC3 of CAB3 may have contributed to the minimized suppression of BoFLC in CAB3. This suspicion is based on the observation that the suppression of FLC was more pronounced in CAB5 compared to CAB3. Several studies [33,59,61,67,68,69,70,71,79,80] in Arabidopsis and other Brassicaceae addressed similar results.
The alteration of chromatin structure by lncRNAs could be influenced both inside and beyond their transcriptional unit by base pairing, triplex formation with DNA or RNA, or under the guidance of proteins. The co-transcriptional regulation (cis) of COOLAIR in a large number of cells strongly induces the suppression of sense FLC transcription through a distinct interaction. The overexpression of COOLAIR occurs simultaneously with the suppression of a gene loop at FLC. This leads to maximum intragenic polycomb nucleation and an accelerated shutdown of sense transcription within 1 to 4 weeks. Antisense transcription and the existence of clusters of cis-tethered transcripts efficiently suppress the transcription of FLC. The repression of FLC transcription is essential for enabling polycomb-induced epigenetic switching [61,67,68,69,70,71].
The FLC locus produces two main types of COOLAIR isoforms through alternative splicing of antisense transcripts. These isoforms terminate at either the proximal site (sense intron 6, class I) or the distal site (sense promoter, class II) of the FLC locus. The expression of class I COOLAIR RNAs exhibits a more pronounced rate of rise compared to class II COOLAIR RNAs during vernalization [33,59,79,80]
Previous studies [76] have extensively documented the significance of alterations in FLC and COOLAIR expression, which result in variations in flowering. AtNDX, a homeodomain protein that regulates COOLAIR, is a set of antisense transcripts derived from the 3′ end of the Arabidopsis FLC. AtNDX binds to single-stranded DNA but not double-stranded DNA non-sequences in vitro and localizes to the heterochromatic region of the COOLAIR promoter in vivo. Single-stranded DNA has been detected in vivo as part of an RNA–DNA hybrid or R-loop covering the COOLAIR promoter. AtNDX-mediated R-loop stabilization represses COOLAIR transcription, which in turn modifies FLC expression. However, if the R-loop is not stable, COOLAIR cannot be inhibited, ultimately leading to a decrease in BoFLC expression. If differences in AtNDX-mediated R-loop stabilization occur due to differences in the introns of BoFLC, this will be an important factor in FLC expression.
According to Hung et al. [81], COOLAIR is an extended noncoding RNA (lncRNA) that is transcribed from the 3′ stop of the FLC gene in the opposite direction. COOLAIR can repress FLC expression by increasing histone H3 lysine 27 trimethylation (H3K27me3) levels at the FLC chromatin. However, COOLAIR is not always an exact antisense reproduction of the FLC gene, as it has different transcription sites (TSSs) and opportunity splicing patterns. Therefore, COOLAIR will have altered binding to the FLC locus depending on the series versions between one-of-a-kind flowering biotypes. For example, the FRI allele can have an effect on the TSSs and splicing of COOLAIR, resulting in special COOLAIR isoforms which have exceptional consequences on FLC repression. The authors additionally cited that WRKY63, a transcription factor, can bind to one-of-a-kind regions of the FLC locus and set off COOLAIR expression undern vernalization. These elements might also contribute to the altered binding of COOLAIR to the FLC locus. This transcriptional activation of flowering regulators such as COOLAIR and COLDAIR regulates vernalization-induced flowering [81].
Vernalized CAB3 and CAB5 exhibited early peak expression of BoGI for two weeks, whereas CAB3 and CAB5 displayed early peak expression of BoVIN3 for four and one week, respectively, about BoGI, BoCOOLAIR, and BoVIN3 compared to the control. BoCOOLAIR expression increased most significantly in CAB3, while BoVIN3 expression increased the most in CAB3 and CAB5 compared to the control. We obtained intriguing results by comparing expression levels of regulators (antisense of repressors) and flowering repressors. The precise time required for BoFLC to decrease was determined by the process of vernalization, which correlatedly upregulate the antisense regulators BoCOOLAIR, along with BoGI, and BoVIN3. This supports the importance of the cold condition, which significantly enhanced the expression of BoGI and BoVIN3 in the corresponding flowering cabbages, and highlights the strong correlation between flowering repressors and regulator expression during vernalization. This result supports the previous findings of the antisense-mediated suppression of FLC [33,58,79].
Our investigation determined that the CAB1 cabbage variety had the lowest number of genetic changes in comparison to the other two cabbage genotypes CAB3 and CAB5. Despite the difference in flowering times between CAB3 and CAB5 cabbage genotypes, their gene structures are similar, with the exception of two more insertions in the sixth intron of the BoFLC2 gene and one additional insertion in the fourth intron of the BoFLC3 gene in CAB3. Subsequently, we conducted vernalization-mediated gene expression studies on these two cabbage genotypes to examine the distinct flowering patterns seen in cabbages with comparable genetic makeups. Research results showed that CAB5 exhibited higher downregulation of all three BoFLC genes compared to CAB3. Even though the gene expression investigations of three flowering regulators (BoGI, BoCOOLAIR, and BoVIN3) revealed that CAB5 had the most significant influence on the expression of BoGI and BoVIN3, the comparatively earlier-flowering cabbage genotype CAB3 had the greatest impact (approximately two-fold) on BoCOOLAIR expression, which is ultimately needed for the suppression of BoFLC. Therefore, with all the facts mentioned above, we hypothesize that BoCOOLAIR likely had a significant influence on impeding BoFLC in the genetic variation of late-flowering and medium-flowering cabbage genotypes. In addition, we anticipate that the integration of three additional insertions into CAB3 might have contributed to the elevation of BoCOOLAIR levels and the inhibition of FLC. This work serves as a basis for future studies that aim to design cabbage varieties by modifying flowering in diverse Brassicaceae types using BoFLC-specific genome-editing techniques such as CRISPR-CAS9. Furthermore, markers for the selection of cultivars with varying blooming durations might be produced.
Supplementary Materials
The following supporting information can be downloaded at https://www.mdpi.com/article/10.3390/genes15020154/s1 and the National Agricultural Biotechnology Information Center (NABIC; https://nabic.rda.go.kr/ (accessed on 20 April 2020)). Table S1: List of cabbage, kohlrabi, and broccoli materials used in this study with their flowering time; Table S2: List of primers used in the molecular assessment of this study. Table S3: Percent identity matrix of CDS multiple sequence alignment for cabbages (FLC1-CA1, -CA3, and -CA5), kohlrabi (FLC2-KH7 and -KH8), and broccoli (FLC3-BR10 and -BR11) with different flowering times.
Author Contributions
Conceptualization, G.-J.L.; data curation, J.-Y.A., S.S., F.Y. and J.Y.; formal analysis, J.-Y.A., A.C. and S.S.; funding acquisition, G.-J.L.; investigation, J.-Y.A., S.S., F.Y. and J.Y.; methodology, K.-G.A. and G.-J.L.; project administration, G.-J.L.; resources, K.-G.A. and G.-J.L.; software, J.-Y.A. and S.S.; visualization, J.-Y.A.; writing—original draft, J.-Y.A., S.S. and A.C.; designing, A.C. and J.-Y.A.; writing—review and editing, K.-G.A. and G.-J.L. All authors have read and agreed to the published version of the manuscript.
Funding
This research was funded by the New Breeding Technologies Development Program (No. PJ016547), Rural Development Administration and by the project Development of New Varieties Breeding Technology with AI for Strengthening Food Sovereignty (No. RS-2023-00227464), Institute of Information & Communications Technology Planning & Evaluation (IITP), Ministry of Science and ICT (MSIT), Republic of Korea.
Institutional Review Board Statement
Not applicable.
Informed Consent Statement
Not applicable.
Data Availability Statement
Data are contained within the article or Supplementary Material.
Conflicts of Interest
Author Kyoung-Gu Ahn was employed by the company Joen Seed Co., Ltd. The remaining authors declare that the research was conducted in the absence of any commercial or financial relationships that could be construed as a potential conflict of interest.
References
- Ausín, I.; Alonso-Blanco, C.; Martínez-Zapater, J.M. Environmental regulation of flowering. Int. J. Develop. Biol. 2005, 49, 689–705. [Google Scholar]
- Fornara, F.; de Montaigu, A.; Coupland, G. SnapShot: Control of flowering in Arabidopsis. Cell 2010, 141, 550. [Google Scholar] [PubMed]
- Srikanth, A.; Schmid, M. Regulation of flowering time: All roads lead to rome. Cell. Mol. Life Sci. 2011, 68, 2013–2037. [Google Scholar] [PubMed]
- Andrés, F.; Coupland, G. The genetic basis of flowering responses to seasonal cues. Nat. Rev. Genet. 2012, 13, 627–639. [Google Scholar] [PubMed]
- Motoki, K.; Kinoshita, Y.; Hosokawa, M. Non-vernalization flowering and seed set of cabbage induced by grafting onto radish rootstocks. Front. Plant. Sci. 2019, 9, 1967. [Google Scholar] [PubMed]
- Mao, Y.; Wu, F.; Yu, X.; Bai, J.; Zhong, W.; He, Y. MicroRNA319a-Targeted Brassica rapa ssp. pekinensis TCP genes modulate head shape in Chinese cabbage by differential cell division arrest in leaf regions. Plant Physiol. 2014, 164, 710–720. [Google Scholar] [PubMed]
- Kitamoto, N.; Nishikawa, K.; Tanimura, Y.; Urushibara, S.; Matsuura, T.; Yokoi, S.; Takahata, Y.; Yui, S. Development of late-bolting F1 hybrids of Chinese cabbage (Brassica rapa L.) allowing early spring cultivation without heating. Euphytica 2017, 213, 292. [Google Scholar]
- Camargo, L.E.A.; Osborn, T.C. Mapping loci controlling flowering time in Brassica oleracea. Theor. Appl. Genet. 1996, 92, 610–616. [Google Scholar]
- Osborn, T.C.; Kole, C.; Parkin, I.A.P.; Sharpe, A.G.; Kuiper, M.; Lydiate, D.J.; Trick, M. Comparison of flowering time genes in Brassica rapa, B. napus and Arabidopsis thaliana. Genetics 1997, 146, 1123–1129. [Google Scholar]
- Gazzani, S.; Gendall, A.R.; Lister, C.; Dean, C. Analysis of the molecular basis of flowering time variation in Arabidopsis accessions. Plant Physiol. 2003, 132, 1107–1114. [Google Scholar]
- Okazaki, K.; Sakamoto, K.; Kikuchi, R.; Saito, A.; Togashi, E.; Kuginuki, Y.; Matsumoto, S.; Hirai, M. Mapping and characterization of FLC homologs and QTL analysis of flowering time in Brassica oleracea. Theor. Appl. Genet. 2007, 114, 595–608. [Google Scholar] [PubMed]
- Dittmar, E.L.; Oakley, C.G.; Ågren, J.; Schemske, D.W. Flowering time QTL in natural populations of Arabidopsis thaliana and implications for their adaptive value. Mol. Ecol. 2014, 23, 4291–4303. [Google Scholar] [PubMed]
- Razi, H.; Howell, E.C.; Newbury, H.J.; Kearsey, M.J. Does sequence polymorphism of FLC paralogues underlie flowering time QTL in Brassica oleracea? Theor. Appl. Genet. 2008, 116, 179–192. [Google Scholar] [PubMed]
- Ridge, S.; Brown, P.H.; Hecht, V.; Driessen, R.G.; Weller, J.L. The role of BoFLC2 in cauliflower (Brassica oleracea var. Botrytis L.) reproductive development. J. Exp. Bot. 2015, 66, 125–135. [Google Scholar] [PubMed]
- Abuyusuf, M.; Nath, U.K.; Kim, H.T.; Islam, M.R.; Park, J.I.; Nou, I.S. Molecular markers based on sequence variation in BoFLC1.C9 for characterizing early- and late-flowering cabbage genotypes. BMC Genet. 2019, 20, 151. [Google Scholar]
- Zhao, J.; Kulkarni, V.; Liu, N.; Pino Del Carpio, D.; Bucher, J.; Bonnema, G. BrFLC2 (FLOWERING LOCUS C) as a candidate gene for a vernalization response QTL in Brassica rapa. J. Exp. Bot. 2010, 61, 1817–1825. [Google Scholar] [PubMed]
- Wu, J.; Wei, K.; Cheng, F.; Li, S.; Wang, Q.; Zhao, J.; Bonnema, G.; Wang, X. A Naturally occurring InDel variation in BraA.FLC.b (BrFLC2) associated with flowering time variation in Brassica rapa. BMC Plant Biol. 2012, 12, 151. [Google Scholar]
- Tadege, M.; Sheldon, C.C.; Helliwell, C.A.; Stoutjesdijk, P.; Dennis, E.S.; Peacock, W.J. Control of flowering time by FLC orthologues in Brassica napus. Plant J. 2001, 28, 545–553. [Google Scholar]
- Hou, J.; Long, Y.; Raman, H.; Zou, X.; Wang, J.; Dai, S.; Xiao, Q.; Li, C.; Fan, L.; Liu, B.; et al. A tourist-like MITE insertion in the upstream region of the BnFLC. A10 gene is associated with vernalization requirement in rapeseed (Brassica napus L.). BMC Plant Biol. 2012, 12, 238. [Google Scholar]
- Schranz, M.E.; Quijada, P.; Sung, S.-B.; Lukens, L.; Amasino, R.; Osborn, T.C. Characterization and effects of the replicated flowering time gene FLC in Brassica rapa. Genetics 2002, 162, 1457–1468. [Google Scholar]
- Akter, A.; Itabashi, E.; Kakizaki, T.; Okazaki, K.; Denn, E.S.; Fujimoto, R. Genome triplication leads to transcriptional divergence of FLOWERING LOCUS C genes during vernalization in the genus Brassica. Front. Plant Sci. 2021, 11, 619417. [Google Scholar]
- Itabashi, E.; Shea, D.J.; Fukino, N.; Fujimoto, R.; Okazaki, K.; Kakizaki, T.; Ohara, T. Comparison of cold responses for orthologs of cabbage vernalization related genes. Hortic. J. 2019, 88, 462–470. [Google Scholar]
- Irwin, J.A.; Lister, C.; Soumpourou, E.; Zhang, Y.; Howell, E.C.; Teakle, G.; Dean, C. Functional alleles of the flowering time regulator FRIGIDA in the Brassica oleracea genome. BMC Plant Biol. 2012, 12, 21. [Google Scholar]
- Fadina, O.A.; Pankin, A.A.; Khavkin, E.E. Molecular characterization of the flowering time gene FRIGIDA in Brassica genomes A and C. Russ. J. Plant Physiol. 2013, 60, 279–289. [Google Scholar]
- Wang, N.; Qian, W.; Suppanz, I.; Wei, L.; Mao, B.; Long, Y.; Meng, J.; Müller, A.E.; Jung, C. Flowering time variation in oilseed rape (Brassica napus L.) is associated with allelic variation in the FRIGIDA homologue BnaA. FRI. a. J. Exp. Bot. 2011, 62, 5641–5658. [Google Scholar] [PubMed]
- Blázquez, M.A.; Green, R.; Nilsson, O.; Sussman, M.R.; Weigel, D. Gibberellins promote flowering of Arabidopsis by activating the LEAFY promoter. Plant Cell 1998, 10, 791–800. [Google Scholar]
- Nilsson, O.; Lee, I.; Blázquez, M.A.; Weigel, D. Flowering-time genes modulate the response to LEAFY activity. Genetics 1998, 150, 403–410. [Google Scholar]
- Sharma, N.; Geuten, K.; Giri, B.S.; Varma, A. The molecular mechanism of vernalization in Arabidopsis and cereals: Role of flowering locus C and its homologs. Physiol. Plant 2020, 170, 373–383. [Google Scholar]
- Mizoguchi, T.; Wright, L.; Fujiwara, S.; Cremer, F.; Lee, K.; Onouchi, H.; Mouradov, A.; Fowler, S.; Kamada, H.; Putterill, J.; et al. Distinct roles of GIGANTEA in promoting flowering and regulating circadian rhythms in Arabidopsis. Plant Cell 2005, 17, 2255–2270. [Google Scholar]
- Kardailsky, I.; Shukla, V.K.; Ahn, J.H.; Dagenais, N.; Christensen, S.K.; Nguyen, J.T.; Chory, J.; Harrison, M.J.; Weigel, D. Activation tagging of the floral inducer FT. Science 1999, 286, 1962–1965. [Google Scholar]
- Jung, J.H.; Seo, Y.H.; Pil, J.S.; Reyes, J.L.; Yun, J.; Chua, N.H.; Park, C.M. The GIGANTEA-regulated microRNA172 mediates photoperiodic flowering independent of CONSTANS in Arabidopsis. Plant Cell 2007, 19, 2736–2748. [Google Scholar] [CrossRef] [PubMed]
- Zhang, J.; Mujahid, H.; Hou, Y.; Nallamilli, B.R.; Peng, Z. Plant Long NcRNAs: A New frontier for gene regulatory control. Am. J. Plant. Sci. 2013, 4, 1038–1045. [Google Scholar] [CrossRef]
- Swiezewski, S.; Liu, F.; Magusin, A.; Dean, C. Cold-induced silencing by long antisense transcripts of an Arabidopsis polycomb target. Nature 2009, 462, 799–802. [Google Scholar]
- Heo, J.B.; Sung, S. Vernalization-mediated epigenetic silencing by a long intronic noncoding RNA. Science 2011, 331, 76–79. [Google Scholar] [PubMed]
- Schiessl, S.V.; Quezada-Martinez, D.; Tebartz, E.; Snowdon, R.J.; Qian, L. The vernalisation regulator FLOWERING LOCUS C is differentially expressed in biennial and annual Brassica napus. Sci. Rep. 2019, 9, 14911. [Google Scholar] [CrossRef] [PubMed]
- Zou, X.; Suppanz, I.; Raman, H.; Hou, J.; Wang, J.; Long, Y.; Jung, C.; Meng, J. Comparative analysis of FLC homologues in Brassicaceae provides insight into their role in the evolution of oilseed rape. PLoS ONE 2012, 7, e45751. [Google Scholar]
- Sheldon, C.C.; Jean Finnegan, E.; Dennis, E.S.; James Peacock, W. Quantitative effects of vernalization on FLC and SOC1 expression. Plant J. 2006, 45, 871–883. [Google Scholar] [PubMed]
- Shindo, C.; Aranzana, M.J.; Lister, C.; Baxter, C.; Nicholls, C.; Nordborg, M.; Dean, C. Role of FRIGIDA and FLOWERING LOCUS C in determining variation in flowering time of Arabidopsis. Plant Physiol. 2005, 138, 1163–1173. [Google Scholar] [CrossRef]
- Trevaskis, B.; Hemming, M.N.; Dennis, E.S.; Peacock, W.J. The molecular basis of vernalization-induced flowering in Cereals. Trends Plant Sci. 2007, 12, 352–357. [Google Scholar] [CrossRef]
- Yant, L.; Mathieu, J.; Schmid, M. Just Say No: Floral repressors help Arabidopsis bide the time. Curr. Opin. Plant Biol. 2009, 12, 580–586. [Google Scholar]
- Jarillo, J.A.; Piñeiro, M. Timing is everything in plant development. The central role of floral repressors. Plant Sci. 2011, 181, 364–378. [Google Scholar] [CrossRef] [PubMed]
- Gu, X.; Le, C.; Wang, Y.; Li, Z.; Jiang, D.; Wang, Y.; He, Y. Arabidopsis FLC clade members form flowering-repressor complexes coordinating responses to endogenous and environmental cues. Nat. Commun. 2013, 4, 1947. [Google Scholar] [CrossRef] [PubMed]
- Li, Q.; Peng, A.; Yang, J.; Zheng, S.; Li, Z.; Mu, Y.; Chen, L.; Si, J.; Ren, X.; Song, H. A 215-bp indel at intron i of BoFLC2 affects flowering time in Brassica oleracea var. capitata during vernalization. Theor. Appl. Genet. 2022, 135, 2785–2797. [Google Scholar] [CrossRef] [PubMed]
- Uptmoor, R.; Li, J.; Schrag, T.; Stützel, H. Prediction of flowering time in Brassica oleracea using a quantitative trait loci-based phenology model. Plant Biol. 2012, 14, 179–189. [Google Scholar] [CrossRef] [PubMed]
- Sheldon, C.C.; Hills, M.J.; Lister, C.; Dean, C.; Dennis, E.S.; Peacock, W.J. Resetting of FLOWERING LOCUS C expression after epigenetic repression by vernalization. Proc. Natl. Acad. Sci. USA 2008, 105, 2214–2219. [Google Scholar] [CrossRef] [PubMed]
- Rouse, D.T.; Sheldon, C.C.; Bagnall, D.J.; Peacock, W.J.; Dennis, E.S. FLC, a repressor of flowering, is regulated by genes in different inductive pathways. Plant J. 2002, 29, 183–191. [Google Scholar] [CrossRef] [PubMed]
- Michaels, S.D.; Amasino, R.M. Loss of FLOWERING LOCUS C activity eliminates the late-flowering phenotype of FRIGIDA and autonomous pathway mutations but not responsiveness to vernalization. Plant Cell 2001, 13, 935–941. [Google Scholar] [CrossRef]
- Zhang, H.; Van Nocker, S. The vernalization independence 4 gene encode a novel regulator of flowering locus C. Plant J. 2002, 31, 663–673. [Google Scholar] [CrossRef]
- Jean Finnegan, E.; Kovac, K.A.; Jaligot, E.; Sheldon, C.C.; James Peacock, W.; Dennis, E.S. The downregulation of FLOWERING LOCUS C (FLC) expression in plants with low levels of DNA methylation and by vernalization occurs by distinct mechanisms. Plant J. 2005, 44, 420–432. [Google Scholar] [CrossRef]
- Salathia, N.; Davis, S.J.; Lynn, J.R.; Michaels, S.D.; Amasino, R.M.; Millar, A.J. FLOWERING LOCUS C-dependent and-independent regulation of the circadian clock by the autonomous and vernalization pathways. BMC Plant Biol. 2006, 6, 10. [Google Scholar] [CrossRef]
- Choi, K.; Kim, J.; Hwang, H.J.; Kim, S.; Park, C.; Kim, S.Y.; Lee, I. The FRIGIDA complex activates transcription of FLC, a strong flowering repressor in Arabidopsis, by recruiting chromatin modification factors. Plant Cell 2011, 23, 289–303. [Google Scholar] [CrossRef] [PubMed]
- Nakamura, M.; Mozgova, I.; Hennig, L. Lost Memories of Winter: Breaking the FLC Silence. Mol. Plant 2017, 10, 1477–1479. [Google Scholar] [CrossRef] [PubMed]
- Kemi, U.; Niittyvuopio, A.; Toivainen, T.; Pasanen, A.; Quilot-Turion, B.; Holm, K.; Lagercrantz, U.; Savolainen, O.; Kuittinen, H. Role of vernalization and of duplicated FLOWERING LOCUS C in the perennial Arabidopsis lyrata. New Phytol. 2013, 197, 323–335. [Google Scholar] [CrossRef] [PubMed]
- D’Aloia, M.; Tocquin, P.; Périlleux, C. Vernalization-induced repression of FLOWERING LOCUS C stimulates flowering in sinapis alba and enhances plant responsiveness to photoperiod. New Phytol. 2008, 178, 755–765. [Google Scholar] [CrossRef] [PubMed]
- Reeves, P.A.; He, Y.; Schmitz, R.J.; Amasino, R.M.; Panella, L.W.; Richards, C.M. Evolutionary conservation of the FLOWERING LOCUS C-Mediated vernalization response: Evidence from the sugar beet (Beta vulgaris). Genetics 2007, 176, 295–307. [Google Scholar] [CrossRef] [PubMed]
- Sharma, N.; Ruelens, P.; D’Hauw, M.; Maggen, T.; Dochy, N.; Torfs, S.; Kaufmann, K.; Rohde, A.; Geuten, K. A Flowering locus C Homolog is a vernalization-regulated repressor in brachypodium and is cold regulated in wheat. Plant Physiol. 2017, 173, 1301–1315. [Google Scholar] [CrossRef] [PubMed]
- Guo, Y.L.; Todesco, M.; Hagmann, J.; Das, S.; Weigel, D. Independent FLC mutations as causes of flowering-time variation in Arabidopsis thaliana and Capsella rubella. Genetics 2012, 192, 729–739. [Google Scholar] [CrossRef]
- Marquardt, S.; Raitskin, O.; Wu, Z.; Liu, F.; Sun, Q.; Dean, C. Functional consequences of splicing of the antisense transcript COOLAIR on FLC transcription. Mol. Cell 2014, 54, 156–165. [Google Scholar] [CrossRef]
- Csorba, T.; Questa, J.I.; Sun, Q.; Dean, C. Antisense COOLAIR mediates the coordinated switching of chromatin states at FLC during vernalization. Proc. Natl. Acad. Sci. USA 2014, 111, 16160–16165. [Google Scholar] [CrossRef]
- Berry, S.; Dean, C. Environmental perception and epigenetic memory: Mechanistic insight through FLC. Plant J. 2015, 83, 133–148. [Google Scholar] [CrossRef]
- Rosa, S.; Duncan, S.; Dean, C. Mutually exclusive sense-antisense transcription at FLC facilitates environmentally induced gene repression. Nat. Commun. 2016, 7, 13031. [Google Scholar] [CrossRef] [PubMed]
- Whittaker, C.; Dean, C. The FLC locus: A platform for discoveries in epigenetics and adaptation. Annu. Rev. Cell Dev. Biol. 2017, 33, 555–575. [Google Scholar] [CrossRef] [PubMed]
- Pajoro, A.; Severing, E.; Angenent, G.C.; Immink, R.G.H. Histone H3 lysine 36 methylation affects temperature-induced alternative splicing and flowering in plants. Genome Biol. 2017, 18, 1235. [Google Scholar] [CrossRef] [PubMed]
- Tian, Y.; Zheng, H.; Zhang, F.; Wang, S.; Ji, X.; Xu, C.; He, Y.; Ding, Y. PRC2 recruitment and H3K27me3 deposition at FLC require FCA binding of COOLAIR. Sci. Adv. 2019, 5, 4. [Google Scholar] [CrossRef] [PubMed]
- Qi, H.D.; Lin, Y.; Ren, Q.P.; Wang, Y.Y.; Xiong, F.; Wang, X.L. RNA splicing of FLC modulates the transition to flowering. Front Plant. Sci. 2019, 10, 1625. [Google Scholar] [CrossRef] [PubMed]
- Wood, C.C.; Robertson, M.; Tanner, G.; Peacock, W.J.; Dennis, E.S.; Helliwell, C.A. The Arabidopsis thaliana vernalization response requires a polycomb-like protein complex that also includes VERNALIZATION INSENSITIVE 3. Proc. Natl. Acad. Sci. USA 2006, 103, 14631–14636. [Google Scholar] [CrossRef] [PubMed]
- Guttman, M.; Rinn, J.L. Modular regulatory principles of large non-coding RNAs. Nature 2012, 482, 339–346. [Google Scholar] [CrossRef]
- Bonasio, R.; Shiekhattar, R. Regulation of transcription by long noncoding RNAs. Annu. Rev. Genet. 2014, 48, 433–455. [Google Scholar] [CrossRef]
- Goff, L.A.; Rinn, J.L. Linking RNA biology to lncRNAs. Genome Res. 2015, 25, 1456–1465. [Google Scholar] [CrossRef]
- Ulitsky, I.; Bartel, D.P. lincRNAs: Genomics, evolution, and mechanisms. Cell 2013, 154, 26–46. [Google Scholar] [CrossRef]
- Liu, F.; Marquardt, S.; Lister, C.; Swiezewski, S.; Dean, C. Targeted 3′ processing of antisense transcripts triggers Arabidopsis FLC chromatin silencing. Science 2010, 327, 94–97. [Google Scholar] [CrossRef] [PubMed]
- Kitamoto, N.; Yui, S.; Nishikawa, K.; Takahata, Y.; Yokoi, S. A Naturally occurring long insertion in the first intron in the Brassica rapa FLC2 gene causes delayed bolting. Euphytica 2014, 196, 213–223. [Google Scholar] [CrossRef]
- Wang, J.; Tian, L.; Lee, H.S.; Chen, Z.J. Nonadditive regulation of FRI and FLC loci mediates flowering-time variation in Arabidopsis Allopolyploids. Genetics 2006, 173, 965–974. [Google Scholar] [CrossRef] [PubMed]
- Nah, G.; Jeffrey Chen, Z. Tandem Duplication of the FLC locus and the origin of a new gene in Arabidopsis related species and their functional implications in allopolyploids. New Phytol. 2010, 186, 228–238. [Google Scholar] [CrossRef] [PubMed]
- Lin, S.I.; Wang, J.G.; Poon, S.Y.; Su, C.L.; Wang, S.S.; Chiou, T.J. Differential regulation of FLOWERING LOCUS C expression by vernalization in cabbage and Arabidopsis. Plant Physiol. 2005, 137, 1037–1048. [Google Scholar] [CrossRef] [PubMed]
- Sun, Q.; Csorba, T.; Skourti-Stathaki, K.; Proudfoot, N.J.; Dean, C. R-loop stabilization represses antisense transcription at the Arabidopsis FLC locus. Science 2013, 340, 619–621. [Google Scholar] [CrossRef] [PubMed]
- Zheng, Y.; Luo, L.; Liu, Y.; Yang, Y.; Wang, C.; Kong, X.; Yang, Y. Effect of vernalization on tuberization and flowering in the tibetan turnip is associated with changes in the expression of FLC homologues. Plant Divers. 2018, 40, 50–56. [Google Scholar] [CrossRef]
- Kim, S.Y.; Park, B.S.; Kwon, S.J.; Kim, J.; Lim, M.H.; Park, Y.D.; Kim, D.Y.; Suh, S.C.; Jin, Y.M.; Ahn, J.H.; et al. Delayed flowering time in Arabidopsis and Brassica rapa by the overexpression of FLOWERING LOCUS C (FLC) homologs isolated from Chinese cabbage (Brassica rapa L. ssp. pekinensis). Plant Cell Rep. 2007, 26, 327–336. [Google Scholar] [CrossRef]
- Liu, F.; Quesada, V.; Crevillén, P.; Bäurle, I.; Swiezewski, S.; Dean, C. The Arabidopsis RNA-binding protein FCA requires a lysine-specific demethylase 1 homolog to downregulate FLC. Mol. Cell 2007, 28, 398–407. [Google Scholar] [CrossRef]
- Eom, H.; Park, S.J.; Kim, M.K.; Kim, H.; Kang, H.; Lee, I. TAF15B, involved in the autonomous pathway for flowering, represses transcription of FLOWERING LOCUS C. Plant J. 2017, 93, 79–91. [Google Scholar] [CrossRef]
- Hung, F.-Y.; Shih, Y.-H.; Lin, P.-Y.; Feng, Y.-R.; Li, C.; Wu, K. WRKY63 transcriptional activation of COOLAIR and COLDAIR regulates vernalization-induced flowering. Plant Physiol. 2022, 190, 532–547. [Google Scholar] [CrossRef] [PubMed]
Disclaimer/Publisher’s Note: The statements, opinions and data contained in all publications are solely those of the individual author(s) and contributor(s) and not of MDPI and/or the editor(s). MDPI and/or the editor(s) disclaim responsibility for any injury to people or property resulting from any ideas, methods, instructions or products referred to in the content. |
© 2024 by the authors. Licensee MDPI, Basel, Switzerland. This article is an open access article distributed under the terms and conditions of the Creative Commons Attribution (CC BY) license (https://creativecommons.org/licenses/by/4.0/).




