Source Apportionment and Assessment of Air Quality Index of PM2.5–10 and PM2.5 in at Two Different Sites in Urban Background Area in Senegal
Abstract
1. Introduction
2. Experiments
2.1. Sampling
2.2. Elemental Analysis
2.3. Black Carbon Analysis
- ϵ = Mass absorption coefficient in m2 g−1
- A = Filter collection area in cm2
- V = Volume of air sampled through the filter in m3
- Io’ Ro = Measured light transmission and reflection through blank (unexposed) filter
- I, R = Measured light transmission and reflection through filter after particle sampling.
2.4. PMF
2.5. Trajectory Analysis and Long-Range Transport
2.6. Air Quality Index (AQI)
- is the truncated concentration of pollutant p
- is the concentration breakpoint that is greater than or equal to
- is the concentration breakpoint that is less than or equal to
- is the AQI value corresponding to
- is the AQI value corresponding to
3. Results
3.1. Concentration Level of Particulate Matter
3.2. Elemental Concentration
3.3. Source Apportionment
3.4. The Role of Long-Range Transport
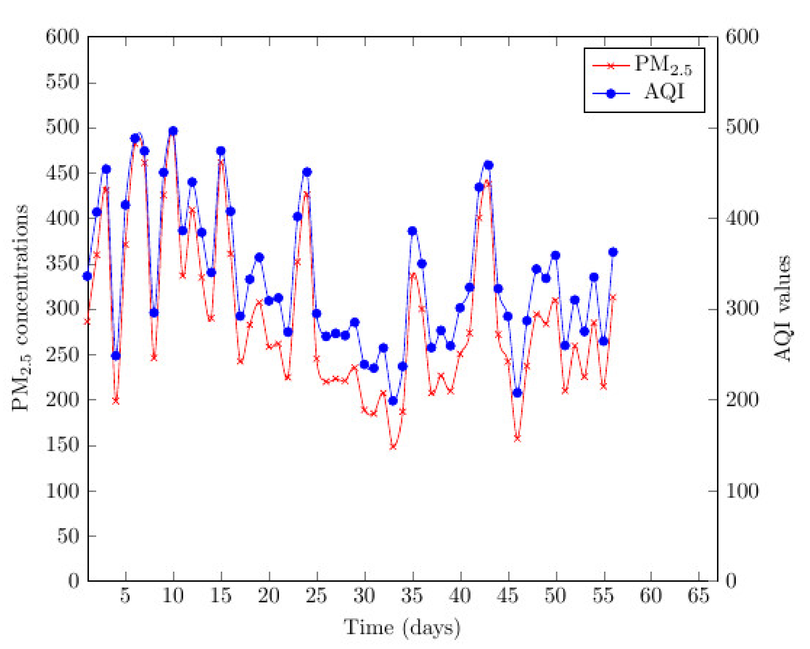
3.5. Air Quality Index (AQI)
4. Conclusions
Author Contributions
Funding
Institutional Review Board Statement
Informed Consent Statement
Data Availability Statement
Acknowledgments
Conflicts of Interest
References
- Elichegaray, C. Département Air à l’Agence de l’environnement et de la maîtrise de l’énergie (ADEME). Pollut. Atmosphérique 2001, 8. [Google Scholar]
- Li, W.; Bai, Z.; Liu, A.; Chen, J.; Chen, l. Characteristics for major PM2.5 components during winter in Tianjin, China. Aerosol Air Qual. Res. 2009, 9, 105–119. [Google Scholar] [CrossRef]
- Katsouyanni, K.; Touloumi, G.; Samoli, E.; Gryparis, A.; Le Tertre, A.; Monopolis, Y.; Rossi, G.; Zmirou, D.; Ballester, F.; Boumghar, A.; et al. Confounding and effect modification in the short-term effects of ambient particles on total mortality: Results from 29 European cities within the APHEA2 Project. Epidemiology 2001, 12, 521–531. [Google Scholar] [CrossRef] [PubMed]
- Liu, Y.; Daum, P.H. Anthropogenic aerosols: Indirect warming effect from dispersion forcing. Nature 2002, 419, 580–581. [Google Scholar] [CrossRef]
- Pandolfi, M.; Alastuey, A.; Pérez, N.; Reche, C.; Castro, I.; Shatalov, V.; Querol, X. Trends analysis of PM source contributions and chemical tracers in NE Spain during 2004–2014: A multi-exponential approach. Atmospheric Chem. Phys. 2016, 16, 11787–11805. [Google Scholar] [CrossRef]
- Manousakas, M.; Popovicheva, O.; Evangeliou, N.; Diapouli, E.; Sitnikov, N.; Shonija, N.; Eleftheriadis, K. Aerosol carbonaceous, elemental and ionic composition variability and origin at the Siberian High Arctic, Cape Baranova. Tellus B Chem. Phys. Meteorol. 2020, 72, 1–14. [Google Scholar] [CrossRef]
- Guaita, R.; Pichiule, M.; Mate, T.; Linares, C.; Diaz, J. Short-term impact of particulate matter (PM2.5) on respiratory mortality in Madrid. Int. J. Environ. Health Res. 2011, 21, 260–274. [Google Scholar] [CrossRef]
- Halonen, J.I.; Lanki, T.; Tuomi, T.Y.; Tiittanen, P.; Kulmala, M.; Pekkanen, J. Particulate air pollution and acute cardiorespiratory hospital admissions and mortality among the elderly. Epidemiology 2009, 20, 143–153. [Google Scholar] [CrossRef]
- Perez, L.; Tobías, A.; Querol, X.; Pey, J.; Alastuey, A. Saharan dust, particulate matter and cause-specific mortality: A case-crossover study in Barcelona (Spain). Environ. Int. 2012, 48, 150–155. [Google Scholar] [CrossRef]
- Samoli, E.; Peng, R.; Ramsay, T.; Pipikou, M.; Touloumi, G.; Dominici, F.; Burnett, R.; Cohen, A.; Krewski, D.; Samet, J.; et al. Acute effects of ambient particulate matter on mortality in Europe and North America: Results from the APHENA Study. Environ. Health Perspect. 2008, 116, 1480–1486. [Google Scholar] [CrossRef]
- Cesari, D.; Donateo, A.; Conte, M.; Contini, D. Inter-comparison of source apportionment of PM10 using PMF and CMB in three sites nearby an industrial area in central Italy. Atmos. Res. 2016, 182, 282–293. [Google Scholar] [CrossRef]
- Freer-Smith, P.H.; Beckett, K.P.; Taylor, G. Deposition velocities to Sorbus aria, Acer campestre, Populus deltoides, Pinus nigra and Cupressocyparis leylandii for coarse, fine and ultra-fine particles in the urban environment. Environ. Pollut. 2005, 133, 157–167. [Google Scholar] [CrossRef] [PubMed]
- Cheung, K.; Daher, N.; Kam, W.; Shafer, M.M.; Ning, Z.; Schauer, J.J.; Sioutas, C. Spatial and temporal variation of chemical composition and mass closure of ambient coarse particulate matter (PM10–2.5) in the Los Angeles area. Atmos Environ. 2011, 45, 2651–2662. [Google Scholar]
- Psanis, C.; Triantafyllou, E.; Giamarelou, M.; Manousakas, M.; Eleftheriadis, K.; Biskos, G. Particulate matter pollution from aviation-related activity at a small airport of the Aegean Sea Insular Region. Sci. Total Environ. 2017, 596–597, 187–193. [Google Scholar] [CrossRef] [PubMed]
- Dall’Osto, M.; Querol, X.; Amato, F.; Karanasiou, A.; Lucarelli, F.; Nava, S.; Calzolai, G.; Chiari, M. Hourly elemental concentrations in PM2.5 aerosols sampled simultaneously at urban background and road site during SAPUSS—Diurnal variations and PMF receptor modelling. Atmos. Chem. Phys. 2013, 13, 4375–4392. [Google Scholar] [CrossRef]
- Shaka’, H.; Saliba, N.A. Concentration measurements and chemical composition of PM10–2.5 and PM2.5 at a coastal site in Beirut, Lebanon. Atmos. Environ. 2004, 38, 523–531. [Google Scholar] [CrossRef]
- Maenhaut, W.; Francois, F.; Cafmeyer, J. The Gent Stacked Filter Unit (Sfuj Sampler for the Collection of Atmospheric Aerosols in Two Size Fractions: Description and Instructions for Installation and Use); Report N°. NAHRES-19; IAEA: Vienna, Austria, 1993; pp. 249–263. [Google Scholar]
- Chow, J.C. Critical review: Measurement methods to determine compliance with ambient air quality standards for suspended particles. J. Air Waste Manag. Assoc. 1995, 45, 320–382. [Google Scholar] [CrossRef]
- Wilson, W.E.; Chow, J.C.; Claiborn, C.; Fusheng, W.; Engelbrecht, J.; Watson, J.G. Monitoring of particulate matter outdoors. Chemosphere 2002, 49, 1009–1043. [Google Scholar] [CrossRef]
- Van Griekan, R.; Markowicz, A.; Veny, P. Current trends in the literature on x-ray emission spectrometry. X-ray Spectr. 1991, 20, 271–276. [Google Scholar]
- Dzubay, T.G.; Hines, L.E.; Stevens, R.K. Particle bounce errors in cascade impactors. Atmos. Environ. 1976, 10, 229–234. [Google Scholar] [CrossRef]
- Viana, M.; Kuhlbusch, T.A.J.; Querol, X.; Alastuey, A.; Harrison, R.M.; Hopke, P.K.; Winiwarter, W.; Vallius, M.; Szidat, S.; Prévôt, A.S.H.; et al. Source apportionment of particulate matter in Europe: A review of methods and results. J. Aerosol Sci. 2008, 39, 827–849. [Google Scholar] [CrossRef]
- Belis, C.A.; Pernigotti, D.; Pirovano, G.; Favez, O.; Jaffrezo, J.L.; Kuenen, J.; van Der Gon, H.G.; Reizer, M.; Riffault, V.; Alleman, L.Y.; et al. Evaluation of receptor and chemical transport models for PM10 source apportionment. Atmos. Environ. X 2020, 5, 100053. [Google Scholar] [CrossRef]
- Manousakas, M.; Diapouli, E.; Belis, C.A.; Vasilatou, V.; Gini, M.; Lucarelli, F.; Querol, X.; Eleftheriadis, K. Quantitative assessment of the variability in chemical profiles from source apportionment analysis of PM10 and PM2.5 at different sites within a large metropolitan area. Environ. Res. 2021, 192, 110257. [Google Scholar] [CrossRef] [PubMed]
- Paatero, P.; Tapper, U. Positive matrix factorization: A non-negative factor model with optimal utilization of error estimates of data values. Environmetrics 1994, 5, 111–126. [Google Scholar] [CrossRef]
- Johnson, T.M.; Guttikunda, S.; Wells, G.J.; Artaxo, P.; Bond, T.C.; Russell, A.G.; Watson, J.G.; West, J. Tools for Improving Air Quality Management, A Review of Top-Down Source Apportionment Techniques and Their Application in Developing Countries; ESMAP: Washington, DC, USA, 2011; p. 220. [Google Scholar]
- Amato, F.; Alastuey, A.; Karanasiou, A.; Lucarelli, F.; Nava, S.; Calzolai, G.; Severi, M.; Becagli, S.; Gianelle, V.L.; Colombi, C.; et al. AIRUSE-LIFEC: A harmonized PM speciation and source apportionment in five southern European cities. Atmos. Chem. Phys. 2016, 16, 3289–3309. [Google Scholar]
- Kanchan, K.; Gorail, A.K.; Pramila, G. A Review on Air Quality Indexing System. Asian J. Atmos. Environ. 2015, 9, 101–113. [Google Scholar] [CrossRef]
- Available online: http://www.denv.gouv.sn/index.php/air-et-climat/centre-de-gestion-de-la-qualite-de-l-air-cgqa/pollution (accessed on 7 August 2019).
- Rivellini, L.H.; Chiapello, I.; Tison, E.; Fourmentin, M.; Féron, A.; Diallo, A.; N’Diaye, T.; Goloub, P.; Canonaco, F.; Prévôt, A.S.; et al. Chemical characterization and source apportionment of submicron aerosols measured in Senegal during the 2015 SHADOW campaign. Atmos. Chem. Phys. 2017, 17, 10291–10314. [Google Scholar] [CrossRef]
- Ba, A.N.; Verdin, A.; Cazier, F.; Garcon, G.; Thomas, J.; Cabral, M.; Dewaele, D.; Genevray, P.; Garat, A.; Allorge, D.; et al. Individual exposure level following indoor and outdoor air pollution exposure in Dakar (Senegal). Environ. Pollut. 2019, 248, 397–407. [Google Scholar]
- Hopke, P.K.; Xie, Y.; Raunemaa, T.; Biegalski, S.; Landsberger, S.; Maenhaut, W.; Artaxo, P.; Cohen, D. Characterization of the Gent Stacked Filter Unit PM10 Sampler. Aerosol Sci. Technol. 1997, 27, 726–735. [Google Scholar] [CrossRef]
- Manousakas, M.; Diapouli, E.; Papaefthymiou, H.; Kantarelou, V.; Zarkadas, C.; Kalogridis, A.-C.; Karydas, A.G.; Eleftheriadis, K. XRF characterization and source apportionment of PM10 samples collected in a coastal city. X-ray Spectr. 2018, 47, 190–200. [Google Scholar]
- Cohen, D.D. Summary of Light Absorbing Carbon and Visibility Measurements and Terms. In ANSTO External Report ER-790; ANSTO: Sydney, Australia, 2020; ISBN 1 921268 32 8. [Google Scholar]
- Diapouli, E.; Kalogridis, A.; Markantonaki, C.; Vratolis, S.; Fetfatzis, P.; Colombi, C.; Eleftheriadis, K. Annual variability of black carbon concentrations originating from biomass and fossil fuel combustion for the suburban aerosol in Athens, Greece. Atmosphere 2017, 8, 234. [Google Scholar] [CrossRef]
- Manousakas, M.I.; Florou, K.; Pandis, S.N. Source Apportionment of Fine Organic and Inorganic Atmospheric Aerosol in an Urban Background Area in Greece. Atmosphere 2020, 11, 330. [Google Scholar] [CrossRef]
- Chueinta, W.; Hopke, P.K.; Paatero, P. Investigation of sources of atmospheric aerosol at urban and suburban residential areas in Thailand by positive matrix factorization. Atmos. Environ. 2000, 34, 3319–3329. [Google Scholar] [CrossRef]
- Paatero, P.; Hopke, P.K. Discarding or down weighting high-noise variables in factor analytic models. Anal. Chim. Acta. 2003, 490, 277–289. [Google Scholar] [CrossRef]
- Xie, Y.L.; Hopke, P.K.; Paatero, P.; Barrie, L.A.; Li, S.-M. Identification of source nature and seasonal variations of Arctic aerosol by positive matrix factorization. J. Atmos. Sci. 1999, 56, 249–260. [Google Scholar] [CrossRef]
- Carslaw, D.C.; Ropkins, K. Openair—An R package for air quality data analysis. Environ. Model. Softw. 2012, 27, 52–61. [Google Scholar] [CrossRef]
- Stein, A.F.; Draxler, R.R.; Rolph, G.D.; Stunder, B.J.B.; Cohen, M.D.; Ngan, F. Noaa’s hysplit atmospheric transport and dispersion modeling system. Bull. Am. Meteorol. Soc. 2015, 96, 2059–2077. [Google Scholar] [CrossRef]
- Rolph, G.; Stein, A.; Stunder, B. Real-time environmental applications and display system: READY. Environ. Model. Softw. 2017, 95, 210–228. [Google Scholar] [CrossRef]
- Stohl, A. Trajectory statistics—A new method to establish source-receptor relationships of air pollutants and its application to the transport of particulate sulfate in Europe. Atmos. Environ. 1996, 30, 579–587. [Google Scholar] [CrossRef]
- Senegalese Norm. 2018; ISO NS 05-062.
- Vasilatou, V.; Manousakas, M.; Gini, M.; Diapouli, E.; Scoullos, M.; Eleftheriadis, K. Long Term Flux of Saharan Dust to the Aegean Sea around the Attica Region, Greece. Front. Mar. Sci. 2017, 4, 42. [Google Scholar] [CrossRef]
- Diapouli, E.; Popovicheva, O.; Kistler, M.; Vratolis, S.; Persiantseva, N.; Timofeev, M.; Kasper-Giebl, A.; Eleftheriadis, K. Physicochemical characterization of aged biomass burning aerosol after long-range transport to Greece from large scale wildfires in Russia and surrounding regions, Summer 2010. Atmos. Environ. 2014, 96, 393–404. [Google Scholar] [CrossRef]
- Zhang, N.; Cao, J.; Ho, K.; He, Y. Chemical characterization of aerosol collected at Mt. Yulong in wintertime on the southeastern Tibetan Plateau. Atmos. Res. 2012, 107, 76–85. [Google Scholar] [CrossRef]
- Sternbeck, J.; Sjodin, A.; Andreasson, K. Metal emissions from road traffic and the influence of resuspension—results from two tunnel studies. Atmos. Environ. 2002, 36, 4735. [Google Scholar] [CrossRef]
- Manousakas, M.; Papaefthymiou, H.; Diapouli, E.; Migliori, A.; Karydas, A.G.; Bogdanovic-Radovic, I.; Eleftheriadis, K. Assessment of PM2.5 sources and their corresponding level of uncertainty in a coastal urban area using EPA PMF 5.0 enhanced diagnostics. Sci. Total Environ. 2017, 574, 155–164. [Google Scholar] [CrossRef]
- Pateraki, S.; Manousakas, M.; Bairachtari, K.; Kantarelou, V.; Eleftheriadis, K.; Vasilakos, C.; Assimakopoulos, V.D.; Maggos, T. The traffic signature on the vertical PM profile: Environmental and health risks within an urban roadside environment. Sci. Total Environ. 2019, 646, 448–459. [Google Scholar] [CrossRef]
- Gunchin, G.; Manousakas, M.; Osan, J.; Karydas, A.G.; Eleftheriadis, K.; Lodoysamba, S.; Shagjjamba, D.; Migliori, A.; Padilla-Alvarez, R.; Streli, C.; et al. Three-year Long Source Apportionment Study of Airborne Particles in Ulaanbaatar Using X-ray Fluorescence and Positive Matrix Factorization. Aerosol Air Qual. Res. 2019, 19, 1056–1067. [Google Scholar] [CrossRef]
- Mintz, D. Technical Assistance Document for the Reporting of Daily Air Quality—The Air Quality Index (AQI); US-EPA: Washington, DC, USA, 2018; 454/B-18-007. [Google Scholar]
- Wang, L.; Zhang, P.; Tan, S.; Zhao, X.; Cheng, D.; Wei, W.; Su, J.; Pan, X. Assessment of urban air quality in China using air pollution indices (APIs). J. Air Waste Manag. 2013, 63, 170–178. [Google Scholar] [CrossRef]
- Yu, B.; Huang, C.M.; Liu, Z.H.; Wang, H.P.; Wang, L.L. A chaotic analysis on air pollution index change over past 10 years in Lanzhou, northwest China. Stochastic Environ. Res. 2011, 25, 643–653. [Google Scholar] [CrossRef]








| Sites | Hlm | Yoff | ||
|---|---|---|---|---|
| Particulate Matter Mean Median Maximum Minimum | PM2.5–10 246.16 207.80 538.47 123.55 | PM2.5 280.58 259.55 482.29 184.80 | PM2.5–10 240.03 203.81 501.89 22.24 | PM2.5 302.73 290.13 494.69 148.27 |
| BC | Na | Mg | Al | Si | P | S | Cl | K | Ca | Ti | Pb | |
|---|---|---|---|---|---|---|---|---|---|---|---|---|
| Mean | 3.6 | 0.57 | 0.11 | 1.26 | 3.10 | 0.13 | 0.50 | 2.19 | 0.37 | 5.71 | 0.2 | 0.13 |
| Stdev | 0.47 | 0.18 | 0.03 | 0.21 | 0.51 | 0.03 | 0.05 | 0.36 | 0.03 | 0.61 | 0.02 | 0.03 |
| V | Cr | Mn | Fe | Co | Ni | Cu | Zn | Br | Rb | Sr | Ba | |
| Mean | 0.01 | 0.01 | 0.01 | 2.17 | 0.002 | 0.01 | 0.03 | 0.07 | 0.01 | 0.013 | 0.03 | 0.02 |
| Stdev | 0.001 | 0.001 | 0.004 | 0.233 | 0.001 | 0.001 | 0.003 | 0.009 | 0.002 | 0.003 | 0.003 | 0.004 |
| These Breakpoints | Equal This AQI | This Category | ||||||
|---|---|---|---|---|---|---|---|---|
| O3 (ppm) 8-h | O3 (ppm) 1-h | PM2.5 (μg m−3) 24-h | PM2.5–10 (μg m−3) 24-h | CO (ppm) 8-h | SO2 (ppb) 1-h | NO2 (ppb) 1-h | AQI | |
| 0.000–0.054 | - | 0.0–12.0 | 0–54 | 0.0–4.4 | 0–35 | 0–53 | 0–50 | Good |
| 0.055–0.070 | - | 12.1–35.4 | 55–154 | 4.5–9.4 | 36–75 | 54–100 | 51–100 | Moderate |
| 0.071–0.085 | 0.125–0.164 | 35.5–55.4 | 155–254 | 9.5–12.4 | 76–185 | 101–360 | 101–150 | Unhealthy for Sensitive Groups |
| 0.086–0.105 | 0.165–0.204 | 55.5–150.4 | 255–354 | 12.5–15.4 | (186–304) | 361–649 | 151–200 | Unhealthy |
| 0.106–0.200 | 0.205–0.404 | 150.5–250.4 | 355–424 | 15.5–30.4 | (305–604) | 650–1249 | 201–300 | Very unhealthy |
| 0.405–0.504 | 250.5–350.4 | 425–504 | 30.5–40.4 | (605–804) | 1250–1649 | 301–400 | Hazardous | |
| 0.505–0.604 | 350.5–500.4 | 505–604 | 40.5–50.4 | (805–1004) | 1650–2049 | 401–500 | Hazardous | |
Publisher’s Note: MDPI stays neutral with regard to jurisdictional claims in published maps and institutional affiliations. |
© 2021 by the authors. Licensee MDPI, Basel, Switzerland. This article is an open access article distributed under the terms and conditions of the Creative Commons Attribution (CC BY) license (http://creativecommons.org/licenses/by/4.0/).
Share and Cite
Kebe, M.; Traore, A.; Manousakas, M.I.; Vasilatou, V.; Ndao, A.S.; Wague, A.; Eleftheriadis, K. Source Apportionment and Assessment of Air Quality Index of PM2.5–10 and PM2.5 in at Two Different Sites in Urban Background Area in Senegal. Atmosphere 2021, 12, 182. https://doi.org/10.3390/atmos12020182
Kebe M, Traore A, Manousakas MI, Vasilatou V, Ndao AS, Wague A, Eleftheriadis K. Source Apportionment and Assessment of Air Quality Index of PM2.5–10 and PM2.5 in at Two Different Sites in Urban Background Area in Senegal. Atmosphere. 2021; 12(2):182. https://doi.org/10.3390/atmos12020182
Chicago/Turabian StyleKebe, Moustapha, Alassane Traore, Manousos Ioannis Manousakas, Vasiliki Vasilatou, Ababacar Sadikhe Ndao, Ahmadou Wague, and Konstantinos Eleftheriadis. 2021. "Source Apportionment and Assessment of Air Quality Index of PM2.5–10 and PM2.5 in at Two Different Sites in Urban Background Area in Senegal" Atmosphere 12, no. 2: 182. https://doi.org/10.3390/atmos12020182
APA StyleKebe, M., Traore, A., Manousakas, M. I., Vasilatou, V., Ndao, A. S., Wague, A., & Eleftheriadis, K. (2021). Source Apportionment and Assessment of Air Quality Index of PM2.5–10 and PM2.5 in at Two Different Sites in Urban Background Area in Senegal. Atmosphere, 12(2), 182. https://doi.org/10.3390/atmos12020182

