Characteristics of Absorbing Aerosols in Mexico City: A Study of Morphology and Columnar Microphysical Properties
Abstract
1. Introduction
2. Materials and Methods
2.1. Study Region
2.2. Aerosol Sampling
2.3. TEM and SEM Micrographs
2.4. Fractal Dimension Analysis
2.5. AERONET Station in Mexico City
2.6. Aerosol Classification
3. Results
3.1. Morphology and Chemical Characteristics of Individual Particles
3.2. Fractal Distribution Curves
3.3. Aerosol Optical Parameters
3.4. Aerosol Size Distribution
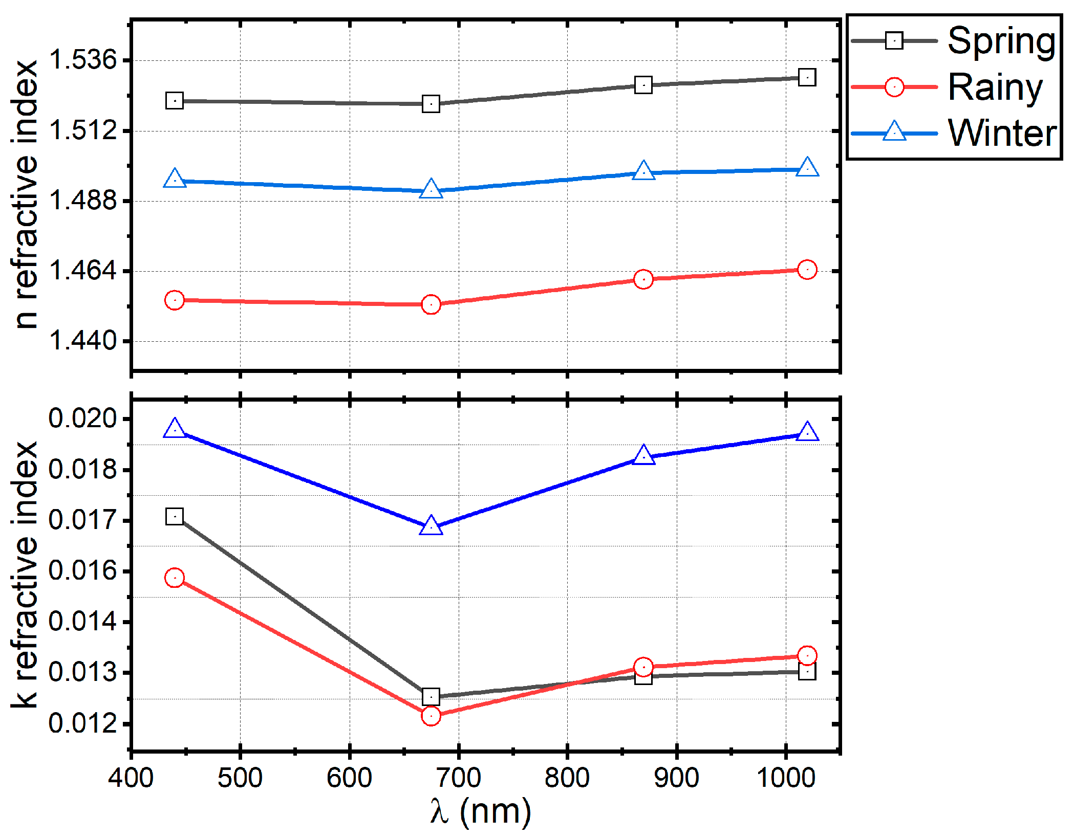
3.5. Complex Refractive Index
3.6. Aerosol Classification: Identification of Major Aerosol Types
4. Conclusions
Author Contributions
Funding
Institutional Review Board Statement
Informed Consent Statement
Data Availability Statement
Acknowledgments
Conflicts of Interest
References
- Bellouin, N.; Quaas, J.; Gryspeerdt, E.; Kinne, S.; Stier, P.; Watson-Parris, D.; Boucher, O.; Carslaw, K.S.; Christensen, M.; Daniau, A.L.; et al. Bounding Global Aerosol Radiative Forcing of Climate Change. Remote Sens. 2020, 58, 637. [Google Scholar] [CrossRef] [PubMed]
- Zhang, K.; Zhang, W.; Wan, H.; Rasch, P.J.; Ghan, S.J.; Easter, R.C.; Shi, X.; Wang, Y.; Wang, H.; Ma, P.L.; et al. Effective Radiative Forcing of Anthropogenic Aerosols in E3SM Version 1: Historical Changes, Causality, Decomposition, and Parameterization Sensitivities. Atmos. Chem. Phys. 2022, 22, 9129–9160. [Google Scholar] [CrossRef]
- Lohmann, U.; Feichter, J. Global Indirect Aerosol Effects: A Review. Atmos. Chem. Phys. 2005, 5, 715–737. [Google Scholar] [CrossRef]
- Dubovik, O.; King, M.D. A Flexible Inversion Algorithm for Retrieval of Aerosol Optical Properties from Sun and Sky Radiance Measurements. J. Geophys. Res. Atmos. 2000, 105, 20673–20696. [Google Scholar] [CrossRef]
- Nakayama, T.; Zhao, W.; Zhang, W. Measurements of Aerosol Optical Properties Using Spectroscopic Techniques. In Advances in Spectroscopic Monitoring of the Atmosphere; Elsevier: Amsterdam, The Netherlands, 2021; pp. 345–412. [Google Scholar] [CrossRef]
- Brasil, A.M.; Farias, T.L.; Carvalho, M.G. A Recipe for Image Characterization of Fractal-like Aggregates. J. Aerosol Sci. 1999, 30, 1113–1125. [Google Scholar] [CrossRef]
- Oh, C.; Sorensen, C.M. The Effect of Overlap between Monomers on the Determination of Fractal Cluster Morphology. J. Colloid Interface Sci. 1997, 193, 121–130. [Google Scholar] [CrossRef] [PubMed]
- Xiong, C.; Friedlander, S.K. Morphological Properties of Atmospheric Aerosol Aggregates. Proc. Natl. Acad. Sci. USA 2001, 98, 5825–5829. [Google Scholar] [CrossRef]
- Pang, Y.; Wang, Y.; Wang, Z.; Zhang, Y.; Liu, L.; Kong, S.; Liu, F.; Shi, Z.; Li, W. Quantifying the Fractal Dimension and Morphology of Individual Atmospheric Soot Aggregates. J. Geophys. Res. Atmos. 2022, 127. [Google Scholar] [CrossRef]
- Dye, A.L.; Rhead, M.M.; Trier, C.J. The Quantitative Morphology of Roadside and Background Urban Aerosol in Plymouth, UK. Atmos. Environ. 2000, 34, 1617–1624. [Google Scholar] [CrossRef]
- DeCarlo, P.F.; Slowik, J.G.; Worsnop, D.R.; Davidovits, P.; Jimenez, J.L. Particle Morphology and Density Characterization by Combined Mobility and Aerodynamic Diameter Measurements. Part 1: Theory. Aerosol Sci. Technol. 2004, 38, 1185–1205. [Google Scholar] [CrossRef]
- Carabali, G.; Castro, T.; De La Cruz, W.; Peralta, O.; Varela, A.; Amelines, O.; Rivera, M.; Ruiz-Suarez, G.; Torres-Jardón, R.; Martines-Quiroz, E.; et al. Morphological and Chemical Characterization of Soot Emitted during Flaming Combustion Stage of Native-Wood Species Used for Cooking Process in Western Mexico. J. Aerosol Sci. 2016, 95, 1–14. [Google Scholar] [CrossRef]
- Carabali, G.; Mamani-Paco, R.; Castro, T.; Peralta, O.; Herrera, E.; Trujillo, B. Optical Properties, Morphology and Elemental Composition of Atmospheric Particles at T1 Supersite on MILAGRO Campaign. Atmos. Chem. Phys. 2012, 12, 2747–2755. [Google Scholar] [CrossRef]
- Zhang, Y.; Li, Z.; Zhang, Y.; Li, D.; Qie, L.; Che, H.; Xu, H. Estimation of Aerosol Complex Refractive Indices for Both Fine and Coarse Modes Simultaneously Based on AERONET Remote Sensing Products. Atmos. Meas. Tech. 2017, 10, 3203–3213. [Google Scholar] [CrossRef]
- Smirnov, A.; Holben, B.N.; Eck, T.F.; Dubovik, O.; Slutsker, I. Cloud-Screening and Quality Control Algorithms for the AERONET Database. Remote Sens. Environ. 2000, 73, 337–349. [Google Scholar] [CrossRef]
- Dubovik, O.; Holben, B.; Eck, T.F.; Smirnov, A.; Kaufman, Y.J.; King, M.D.; Tanré, D.; Slutsker, I. Variability of Absorption and Optical Properties of Key Aerosol Types Observed in Worldwide Locations. J. Atmos. Sci. 2002, 59, 590–608. [Google Scholar] [CrossRef]
- Moffet, R.C.; Prather, K.A. In-Situ Measurements of the Mixing State and Optical Properties of Soot with Implications for Radiative Forcing Estimates. Proc. Natl. Acad. Sci. USA 2009, 106, 11872–11877. [Google Scholar] [CrossRef]
- Holben, B.N.; Eck, T.F.; Slutsker, I.; Tanré, D.; Buis, J.P.; Setzer, A.; Vermote, E.; Reagan, J.A.; Kaufman, Y.J.; Nakajima, T.; et al. AERONET—A Federated Instrument Network and Data Archive for Aerosol Characterization. Remote Sens. Environ. 1998, 66, 1–16. [Google Scholar] [CrossRef]
- Holben, B.N.; Tanré, D.; Smirnov, A.; Eck, T.F.; Slutsker, I.; Abuhassan, N.; Newcomb, W.W.; Schafer, J.S.; Chatenet, B.; Lavenu, F.; et al. An Emerging Ground-Based Aerosol Climatology: Aerosol Optical Depth from AERONET. J. Geophys. Res. Atmos. 2001, 106, 12067–12097. [Google Scholar] [CrossRef]
- Carabali, G.; Estévez, H.R.; Valdés-Barrón, M.; Bonifaz-Alfonzo, R.; Riveros-Rosas, D.; Velasco-Herrera, V.M.; Vázquez-Gálvez, F.A. Aerosol Climatology over the Mexico City Basin: Characterization of Optical Properties. Atmos. Res. 2017, 194, 190–201. [Google Scholar] [CrossRef]
- Mora, M.; Braun, R.A.; Shingler, T.; Sorooshian, A. Analysis of Remotely Sensed and Surface Data of Aerosols and Meteorology for the Mexico Megalopolis Area between 2003 and 2015. J. Geophys. Res. Atmos. 2017, 122, 8705–8723. [Google Scholar] [CrossRef]
- De Foy, B.; Varela, J.R.; Molina, L.T.; Molina, M.J. Rapid Ventilation of the Mexico City Basin and Regional Fate of the Urban Plume. Atmos. Chem. Phys. 2006, 6, 2321–2335. [Google Scholar] [CrossRef]
- Jáuregui, E. The Climate of the Mexico City Air Basin: Its Effects on the Formation and Transport of Pollutants. In Urban Air Pollution and Forests; Fenn, M.E., de Bauer, L.I., Hernández-Tejeda, T., Eds.; Ecological Studies; Springer: New York, NY, USA, 2002; Volume 156, pp. 86–117. [Google Scholar] [CrossRef]
- Marple, V.A.; Rubow, K.L.; Behm, S.M. A Microorifice Uniform Deposit Impactor (Moudi): Description, Calibration, and Use. Aerosol Sci. Technol. 1991, 14, 434–436. [Google Scholar] [CrossRef]
- Carabali, G.; Villanueva-Macias, J.; Ladino, L.A.; Álvarez-Ospina, H.; Raga, G.B.; Andraca-Ayala, G.; Miranda, J.; Grutter, M.; Silva, M.M.; Riveros-Rosas, D. Characterization of Aerosol Particles during a High Pollution Episode over Mexico City. Sci. Rep. 2021, 11, 22533. [Google Scholar] [CrossRef] [PubMed]
- Mandelbrot, B. How Long Is the Coast of Britain? Statistical Self-Similarity and Fractional Dimension. Science 1967, 156, 636–638. [Google Scholar] [CrossRef] [PubMed]
- Mamani-Paco, R.M.; Helble, J.J. Particle Size and Time of the Day Influences on the Morphology Distributions of Atmospheric Fine Particles at the Baltimore Supersite. Atmos. Environ. 2007, 41, 8021–8029. [Google Scholar] [CrossRef]
- Eck, T.F.; Holben, B.N.; Reid, J.S.; Mukelabai, M.M.; Piketh, S.J.; Torres, O.; Jethva, H.T.; Hyer, E.J.; Ward, D.E.; Dubovik, O.; et al. A Seasonal Trend of Single Scattering Albedo in Southern African Biomass-Burning Particles: Implications for Satellite Products and Estimates of Emissions for the World’s Largest Biomass-Burning Source. J. Geophys. Res. Atmos. 2013, 118, 6414–6432. [Google Scholar] [CrossRef]
- Gobbi, G.P.; Kaufman, Y.J.; Koren, I.; Eck, T.F. Classification of Aerosol Properties Derived from AERONET Direct Sun Data. Atmos. Chem. Phys. 2007, 7, 453–458. [Google Scholar] [CrossRef]
- Rios, B.; Díaz-Esteban, Y.; Raga, G.B. Smoke Emissions from Biomass Burning in Central Mexico and Their Impact on Air Quality in Mexico City: May 2019 Case Study. Sci. Total Environ. 2023, 904, 166912. [Google Scholar] [CrossRef]
- Retama, A.; Ramos-Cerón, M.; Rivera-Hernández, O.; Allen, G.; Velasco, E. Aerosol Optical Properties and Brown Carbon in Mexico City. Environ. Sci. Atmos. 2022, 2, 315–334. [Google Scholar] [CrossRef]
- Chew, B.N.; Campbell, J.R.; Reid, J.S.; Giles, D.M.; Welton, E.J.; Salinas, S.V.; Liew, S.C. Tropical Cirrus Cloud Contamination in Sun Photometer Data. Atmos. Environ. 2011, 45, 4041–4058. [Google Scholar] [CrossRef]
- Raga, G.B.; Baumgardner, D.; Castro, T.; Martínez-Arroyo, A.; Navarro-González, R. Mexico City Air Quality: A Qualitative Review of Gas and Aerosol Measurements (1960–2000). Atmos. Environ. 2001, 35, 553–562. [Google Scholar] [CrossRef]
- Kutralam-Muniasamy, G.; Pérez-Guevara, F.; Roy, P.D.; Elizalde-Martínez, I.; Shruti, V.C. Impacts of the COVID-19 Lockdown on Air Quality and Its Association with Human Mortality Trends in Megapolis Mexico City. Air Qual. Atmos. Health 2021, 14, 553–562. [Google Scholar] [CrossRef] [PubMed]
- Saha, A.; Moorthy, K.K. Impact of Precipitation on Aerosol Spectral Optical Depth and Retrieved Size Distributions: A Case Study. J. Appl. Meteorol. 2004, 43, 902–914. [Google Scholar] [CrossRef]
- Moffet, R.C.; de Foy, B.; Molina, L.T.; Molina, M.J.; Prather, K.A. Measurement of ambient aerosols in northern Mexico City by single particle mass spectrometry. Atmos. Chem. Phys. 2008, 8, 4499–4516. [Google Scholar] [CrossRef]
- Karydis, V.A.; Tsimpidi, A.P.; Lei, W.; Molina, L.T.; Pandis, S.N. Formation of Semivolatile Inorganic Aerosols in the Mexico City Metropolitan Area during the MILAGRO Campaign. Atmos. Chem. Phys. 2011, 11, 13305–13323. [Google Scholar] [CrossRef]
- Wagner, R.; Ajtai, T.; Kandler, K.; Lieke, K.; Linke, C.; Müller, T.; Schnaiter, M.; Vragel, M. Complex Refractive Indices of Saharan Dust Samples at Visible and near UV Wavelengths: A Laboratory Study. Atmos. Chem. Phys. 2012, 12, 2491–2512. [Google Scholar] [CrossRef]
- Wang, S.; Fang, L.; Gu, X.; Yu, T.; Gao, J. Comparison of Aerosol Optical Properties from Beijing and Kanpur. Atmos. Environ. 2011, 45, 7406–7414. [Google Scholar] [CrossRef]
- Li, Z.; Gu, X.; Wang, L.; Li, D.; Xie, Y.; Li, K.; Dubovik, O.; Schuster, G.; Goloub, P.; Zhang, Y.; et al. Aerosol Physical and Chemical Properties Retrieved from Ground-Based Remote Sensing Measurements during Heavy Haze Days in Beijing Winter. Atmos. Chem. Phys. 2013, 13, 10171–10183. [Google Scholar] [CrossRef]
- Cheng, T.; Xu, C.; Duan, J.; Wang, Y.; Leng, C.; Tao, J.; Che, H.; He, Q.; Wu, Y.; Zhang, R.; et al. Seasonal Variation and Difference of Aerosol Optical Properties in Columnar and Surface Atmospheres over Shanghai. Atmos. Environ. 2015, 123, 315–326. [Google Scholar] [CrossRef]
- McConnell, C.L.; Formenti, P.; Highwood, E.J.; Harrison, M.A.J. Using Aircraft Measurements to Determine the Refractive Index of Saharan Dust during the DODO Experiments. Atmos. Chem. Phys. 2010, 10, 3081–3098. [Google Scholar] [CrossRef]
- Greed, G.; Haywood, J.M.; Milton, S.; Keil, A.; Christopher, S.A.; Gupta, P.; Highwood, E.J. Aerosol Optical Depths over North Africa: 2. Modeling and Model Validation. J. Geophys. Res. Atmos. 2008, 113, D00C005. [Google Scholar] [CrossRef]
- Raut, J.C.; Chazette, P. Vertical Profiles of Urban Aerosol Complex Refractive Index in the Frame of ESQUIF Airborne Measurements. Atmos. Chem. Phys. 2008, 8, 901–919. [Google Scholar] [CrossRef]
- Beekmann, M.; Prévôt, A.S.H.; Drewnick, F.; Sciare, J.; Pandis, S.N.; Denier Van Der Gon, H.A.C.; Crippa, M.; Freutel, F.; Poulain, L.; Ghersi, V.; et al. In Situ, Satellite Measurement and Model Evidence on the Dominant Regional Contribution to Fine Particulate Matter Levels in the Paris Megacity. Atmos. Chem. Phys. 2015, 15, 9577–9591. [Google Scholar] [CrossRef]
- Tariq, S.; ul-Haq, Z.; Nawaz, H.; Mehmood, U.; Babar, Z. Remote Sensing of Aerosols Due to Biomass Burning over Kanpur, Sao-Paulo, Ilorin, and Canberra. J. Atmos. Chem. 2023, 80, 1–52. [Google Scholar] [CrossRef]












| Season | 2022 | 2023 |
|---|---|---|
| Winter | January 18–20 | January 24–26 |
| Spring | May 03–05 | May 7–9 |
| Rainy | August 16–18 | August 15–17 |
| Site | n | k | AOD (550 nm) | AE | Date of Studies | Reference |
|---|---|---|---|---|---|---|
| Beijing, China | 1.48 | 0.010–0.013 | 0.56–1.58 | 0.88–1.22 | 2005–2009, 2011–2012, 2014–2015 | [14,39,40] |
| Kanpur, India | 1.40–1.48 | 0.014–0.015 | 0.50–0.95 | 1.35–042 | 2011–2012 | [39] |
| Shanghai, China | 1.39–1.45 | 0.007–0.014 | 0.72 | 1.10–1.60 | 2010–2012 | [41] |
| Sahara, Africa | 1.53 | 0.0014 | 0.1–0.6 | - | 2006 | [42,43] |
| Paris, France | 1.51 (532 nm) | 0.017 (532 nm) | 0.15 | - | 2000, 2009–2010 | [44,45] |
| Sao Paulo, Brazil | 1.44 | 0.014 | 0.14–0.53 | 0.85–1.58 | 2007 | [46] |
| Mexico City | 1.49 | 0.017 | 0.33 | 1.41 | This study |
Disclaimer/Publisher’s Note: The statements, opinions and data contained in all publications are solely those of the individual author(s) and contributor(s) and not of MDPI and/or the editor(s). MDPI and/or the editor(s) disclaim responsibility for any injury to people or property resulting from any ideas, methods, instructions or products referred to in the content. |
© 2024 by the authors. Licensee MDPI, Basel, Switzerland. This article is an open access article distributed under the terms and conditions of the Creative Commons Attribution (CC BY) license (https://creativecommons.org/licenses/by/4.0/).
Share and Cite
Carabali, G.; Juárez-Sánchez, F.; Liñan-Abanto, R.N.; Estévez, H.; Valdés-Barrón, M.; Bonifaz-Alfonso, R.; Riveros-Rosas, D.; González-Cabrera, A. Characteristics of Absorbing Aerosols in Mexico City: A Study of Morphology and Columnar Microphysical Properties. Atmosphere 2024, 15, 108. https://doi.org/10.3390/atmos15010108
Carabali G, Juárez-Sánchez F, Liñan-Abanto RN, Estévez H, Valdés-Barrón M, Bonifaz-Alfonso R, Riveros-Rosas D, González-Cabrera A. Characteristics of Absorbing Aerosols in Mexico City: A Study of Morphology and Columnar Microphysical Properties. Atmosphere. 2024; 15(1):108. https://doi.org/10.3390/atmos15010108
Chicago/Turabian StyleCarabali, Giovanni, Faustino Juárez-Sánchez, Rafael N. Liñan-Abanto, Héctor Estévez, Mauro Valdés-Barrón, Roberto Bonifaz-Alfonso, David Riveros-Rosas, and Adriana González-Cabrera. 2024. "Characteristics of Absorbing Aerosols in Mexico City: A Study of Morphology and Columnar Microphysical Properties" Atmosphere 15, no. 1: 108. https://doi.org/10.3390/atmos15010108
APA StyleCarabali, G., Juárez-Sánchez, F., Liñan-Abanto, R. N., Estévez, H., Valdés-Barrón, M., Bonifaz-Alfonso, R., Riveros-Rosas, D., & González-Cabrera, A. (2024). Characteristics of Absorbing Aerosols in Mexico City: A Study of Morphology and Columnar Microphysical Properties. Atmosphere, 15(1), 108. https://doi.org/10.3390/atmos15010108

