Abstract
Herein, the absorption of CO2 by the TMG-based (TMG: 1,1,3,3-tetramethylguanidine) ionic liquids (ILs) and the absorbents formed by TMG ILs and ethylene glycol (EG) is studied. The TMG-based ILs used are formed by TMG and 4-fluorophenol (4-F-PhOH) or carvacrol (Car), and their viscosities are low at 25 °C. The CO2 uptake capacities of [TMGH][4-F-PhO] and [TMGH][Car] are low (~0.09 mol CO2/mol IL) at 25 °C and 1.0 atm. However, the mixtures [TMGH][4-F-PhO]-EG and [TMGH][Car]-EG show much higher capacities (~1.0 mol CO2/mol IL) than those of parent ILs, which is unexpected because of the low CO2 capacity of EG (0.01 mol CO2/mol EG) in the same conditions. NMR spectra and theoretical calculations are used to determine the reason for these unexpected absorption behaviors. The spectra and theoretical results show that the strong hydrogen bonds between the [TMGH]+ cation and the phenolate anions make the used TMG-based ILs unreactive to CO2, resulting in the low CO2 capacity. In the Ils-EG mixtures, the hydrogen bonds formed between EG and phenolate anions can weaken the [TMGH]+–anion hydrogen bond strength, so ILs-EG mixtures can react with CO2 and present high CO2 capacities.
1. Introduction
The increasing anthropogenic CO2 emissions are regarded as the main root of global warming and climate change, which poses a great threat to the environment. Cutting CO2 emissions has become an urgent issue today and has received substantial attention. A lot of technologies have been designed and applied to reduce CO2 emissions [1,2]. Among them, carbon capture technology plays a crucial role in curbing carbon emissions. Currently, alkanolamine-based aqueous solutions are widely used as CO2 capture absorbents to absorb CO2 in industrial gas streams, which can form carbamate species in the absorption process. Nonetheless, these alkanolamine-based methods suffer serious shortcomings, such as solvent degradation and their high energy cost to regenerate absorbents [3,4]. Therefore, it is also important to develop effective and efficient CO2 capture methods.
Ionic liquids (ILs) have gained considerable attention because of their fascinating properties, such as extremely low vapor pressure, low flammability, high ionic conductivity, and high thermal stability [5,6]. ILs are usually obtained by combining organic cations like ammonium, imidazolium, and phosphonium; inorganic or organic anions like chloride; and dicyanamide hexafluorophosphate. The characteristics of ILs can be tuned by changing the structures of the component ions and the cation–anion combinations to meet specific applications [7,8], which make them promising alternatives to traditional organic solvents and volatile molecular solvents in many areas of applications.
ILs have also been used as absorbents to capture CO2 and exhibit promising performance. Functionalized ILs which can chemically capture CO2 have received a great deal of interest owing to their high CO2 capture capacities [9,10,11]. Amino-functionalized ILs, which have amino groups on cations or anions, could absorb CO2 through the reaction between CO2 and amino groups by forming carbamate species [12]. Carboxylate-anion-functionalized ILs are also found to be reactive to CO2. For instance, the carboxylate-based IL 1-ethyl-3-methylimidazolium acetate ([Emim][Ac]) could chemically capture CO2 through the interactions between CO2 and N-heterocyclic carbene intermediate [13]. Moreover, azolide-based functionalized ILs containing aprotic heterocyclic anions (AHAs) [14,15,16], such as imidazolide, triazolide, 2-cyano-pyrrolide, and benzimidazolide, have also been developed to capture CO2. The basicity of azolide anions impacts both CO2 capacities and absorption enthalpies. Functionalized ILs with phenolic anions and hydroxypyridine anions are also used to absorb CO2. CO2 can react with the O atom of phenolic anions by forming carbonate species [17], while CO2 reacts with both the O and N atoms of hydroxypyridine anions to form carbonate species and carbamate species [18], respectively. In addition, ILs with imide anions are also used for CO2 capture, and the structures of imide anions greatly affect the CO2 chemisorption behaviors of ILs [19].
Protic ILs (PILs) have been developed as well for CO2 capture because the method for synthesizing them is relatively simple. They can be easily obtained just by mixing organic bases with organic/inorganic acids. The organic bases used to prepare PILs are usually superbases, such as 1,8-diazabicyclo-[5,4,0]undec-7-ene (DBU), 1,5-diazabicyclo [4.3.0]non-5-ene (DBN), 1,3,4,6,7,8-hexahydro-1-methyl-2H-pyrimido[1,2-α]-pyrimidine (MTBD), and 1,1,3,3-tetramethylguanidine (TMG). To date, the superbase-derived PILs have been widely explored to capture CO2, such as [MTBDH][Im](Im: imidazolide), [DBUH][Im], [DBNH][Im], [DBUH][Triz](Triz: 1,2,4-triazolide), [DBUH][PhO], and [TMGH][2-OP] [20,21,22,23,24]. Amine-based PILs are used to capture CO2 as well, such as [DMPDAH][Ac] ((3-dimethylamino)-1-propylammonium acetate), [DMEDAH][Pyr] (N,N-dimethylethylenediammonium pyrazolide), [DMEDAH][Im], and [MEAH][Im] (monoethanolammonium imidazolide) [25,26,27,28,29,30,31].
Herein, we investigate the CO2 capture by phenol-based PILs, namely [TMGH][4-F-PhO] (4-F-PhO: 4-fluorophenolate) and [TMGH][Car] (Car: carvacrolate). The CO2 capture by the solvents formed by the ILs and ethylene glycol (EG) is also studied. The CO2 capacities of [TMGH][4-F-PhO] and [TMGH][Car] are low at 25 °C and 1.0 atm. However, the mixtures [TMGH][4-F-PhO]-EG and [TMGH][Car]-EG exhibit a much higher capacity than [TMGH][4-F-PhO] and [TMGH][Car], although the CO2 capacities of both the ILs and EG are low in the same conditions. The results from NMR, FTIR, and theoretical calculations indicate that the CO2 absorption behaviors greatly depend on the hydrogen bond strength in the solvents.
2. Materials and Methods
2.1. Materials and Characterizations
TMG (98%) and EG (99.5%) were supplied by J&K Scientific Ltd. (Beijing, China). Carvacrol (98%) and 4-fluorophenol (99%) were obtained from Innochem (Beijing, China). EG and TMG were dried using 4 Å molecular sieve. CO2 (99.995%) was supplied by Beijing ZG Special Gases Sci. and Tech. Co., Ltd. (Beijing, China).
FTIR spectra were acquired on a Perkin–Elmer frontier spectrometer (PerkinElmer Corp., Waltham, MA, USA) equipped with an attenuated total reflection (ATR) accessory. 1H NMR (600 MHz) and 13C NMR (151 MHz) spectra were obtained on a Bruker spectrometer (Bruker Biospin, Karlsruhe, Germany), using DMSO-d6 as the internal reference. The viscosities of solvents were determined on an Anton Paar MCR92 (Anton Paar, Graz, Austria) viscometer at 25 °C. The melting points of ILs and IL-EG mixtures were measured by differential scanning calorimetry (DSC) using a Mettler Toledo DSC1 (Mettler Toledo, Greifensee, Switzerland) instrument at a heating rate of 10 °C/min under N2 atmosphere.
2.2. Synthesis of ILs and IL-EG Mixtures
In a round-bottom flask (10 mL), 4-F-PhOH or Car was mixed with TMG at an equimolar ratio. Then, the solution was stirred for about 2 h at 40 °C to obtain ILs.
In a round-bottom flask (25 mL), the IL ([TMGH][4-F-PhO] or [TMGH][Car]) was mixed with EG at desired molar ratios, and the IL-EG absorbents were obtained by stirring the mixtures for about 2 h at room temperature.
2.3. Absorption of CO2
The procedures of CO2 absorption can be found in our previous work [27].
2.4. Computational Methodology
All calculations were carried out using the Gaussian 09 suite of programs (version E.01) [32]. The geometries of all studied complexes were optimized using the M06-2x/aug-cc-pVDZ theoretical level [33,34], with frequency calculations conducted at the same level. Furthermore, the atoms-in-molecules (AIM) analysis [35] and atomic-dipole-moment-corrected Hirshfeld (ADCH) charge [36] calculations were performed using the Multiwfn program (version 3.8) [37], which were then visualized using the VMD package [38].
3. Results and Discussion
Figure 1 presents the CO2 uptake by [TMGH][4-F-PhO] and [TMGH][4-F-PhO]-EG used in this work. As can be seen in Figure 1, the CO2 capacity of [TMGH][4-F-PhO] is low (0.096 mol CO2/mol IL) at 25 °C and 1.0 atm. The CO2 capacity of EG is low as well (0.01 mol CO2/mol EG) in the same conditions (Supplementary Material Figure S1). Based on the CO2 capacities of [TMGH][4-F-PhO] and EG, it is reasonable to assume that the capacity of [TMGH][4-F-PhO]-EG will be similar to that of [TMGH][4-F-PhO]. Unexpectedly, the CO2 capacity of [TMGH][4-F-PhO]-EG is much higher than that of [TMGH][4-F-PhO]. The solvents [TMGH][4-F-PhO]:EG (1:2, molar ratio), (1:3), and (1:4) can absorb 0.97, 0.98, and 0.98 mol CO2/mol IL, respectively. It should be noted that the viscosity of [TMGH][4-F-PhO] is low at 25 °C (106 mPa·s), and the change in the viscosity of [TMGH][4-F-PhO] after uptake is not obvious. Therefore, the impact of the viscosity on the capacity can be neglected. The [TMGH][Car]-based systems show similar phenomena (Figure S2). [TMGH][Car] could absorb 0.097 mol CO2/mol IL. [TMGH][Car]:EG (1:2), (1:3), and (1:4) could absorb 0.99, 1.01, and 1.03 mol CO2/mol IL, respectively. The viscosity of [TMGH][Car] is as low as 58 mPa·s at 25 °C, and the change in the viscosity of [TMGH][Car] after uptake is not obvious as well. The capacity of [N4444]Cl:EG(1:2)([N4444]Cl: tetrabutylammonium chloride) is also measured, which is much lower (0.07 mol CO2/mol IL) than that of [TMGH][4-F-PhO]:EG (1:2) (0.97 mol CO2/mol IL) (Figure S1). The comparison of CO2 capacities by the solvents used in this work with other IL-based solvents is shown in Table S1. With the aim of clarifying the unusual absorption behaviors of the sorbents used, NMR, FTIR, and theoretical calculations are used to investigate intermolecular interactions.
Figure 1.
CO2 uptake by [TMGH][4-F-PhO]-EG and [TMGH][4-F-PhO] at 25 °C and 1.0 atm.
The NMR (1H and 13C) spectra of [TMGH][4-F-PhO]:EG (1:3) with and without CO2 are presented in Figure 2. There are two new proton signals at 3.48 (H-2) and 3.78 (H-3) ppm after CO2 capture in the 1H NMR spectra (Figure 2a), and three new carbon signals at 61.1 (C-2), 66.0 (C-3), and 157.3 (C-4) ppm can be found after capture in the 13C NMR spectra (Figure 2b). The above-mentioned new peaks suggest that CO2 reacts with EG in the solvent, forming EG-derived carbonate [39,40]. The peak at 157.3 (C-4) ppm is attributed to the carbonyl carbon of the carbonate species produced from the reaction between CO2 and EG [41]. For the [TMGH][Car]:EG (1:3) system, similar new hydrogen and carbon peaks can be detected as well in the NMR spectra after capture (Figure S3).
Figure 2.
The 1H (a) and 13C (b) NMR spectra of [TMGH][4−F−PhO]:EG (1:3) with and without CO2.
The NMR spectra of [TMGH][4-F-PhO] with and without CO2 are presented in Figure 3. In the 1H NMR spectra, the changes in the chemical shift in [TMGH][4-F-PhO]-based peaks are not obvious and no new peaks can be detected after capture. No new peaks can be found as well after capture in the 13C NMR spectra. The NMR results indicate that the reaction between [TMGH][4-F-PhO] and CO2 can be neglected. Similarly, the NMR spectra of [TMGH][Car] before and after CO2 also reveal that CO2 does not react with [TMGH][Car] (Figure S4).
Figure 3.
The 1H (a) and 13C (b) NMR spectra of [TMGH][4-F-PhO] with and without CO2.
The interactions between solvents and CO2 are also disclosed using FTIR spectra. As shown in Figure 4a, there are two new peaks located at 1634 and 1289 cm−1 after CO2 uptake for the [TMGH][4-F-PhO]:EG (1:3) absorbent. The band at 1634 cm−1 is assigned to the C=O stretching mode of OCOO−, and the band centered at 1289 cm−1 can be due to the O-C-O stretching mode [39]. The FTIR results suggest the formation of carbonate species after absorption. Similar bands can be found as well in the FTIR spectra of [TMGH][4-F-PhO]:EG (1:2) and (1:4) after CO2 capture. For the [TMGH][Car]:EG (1:3) solvent, new bands centered at 1638 and 1288 cm−1 are observed after CO2 uptake (Figure S5a). However, in the spectra of [TMGH][4-F-PhO] after CO2 capture (Figure 4b), no new bands can be observed, indicating that the chemical interactions between [TMGH][4-F-PhO] and CO2 can be neglected. Similar to [TMGH][4-F-PhO], in the FTIR spectra of the [TMGH][Car] system, no new bands can be observed as well after capture (Figure S5b).
Figure 4.
The FTIR spectra of [TMGH][4−F−PhO]:EG (1:3) (a) and [TMGH][4−F−PhO] (b) before and after absorption.
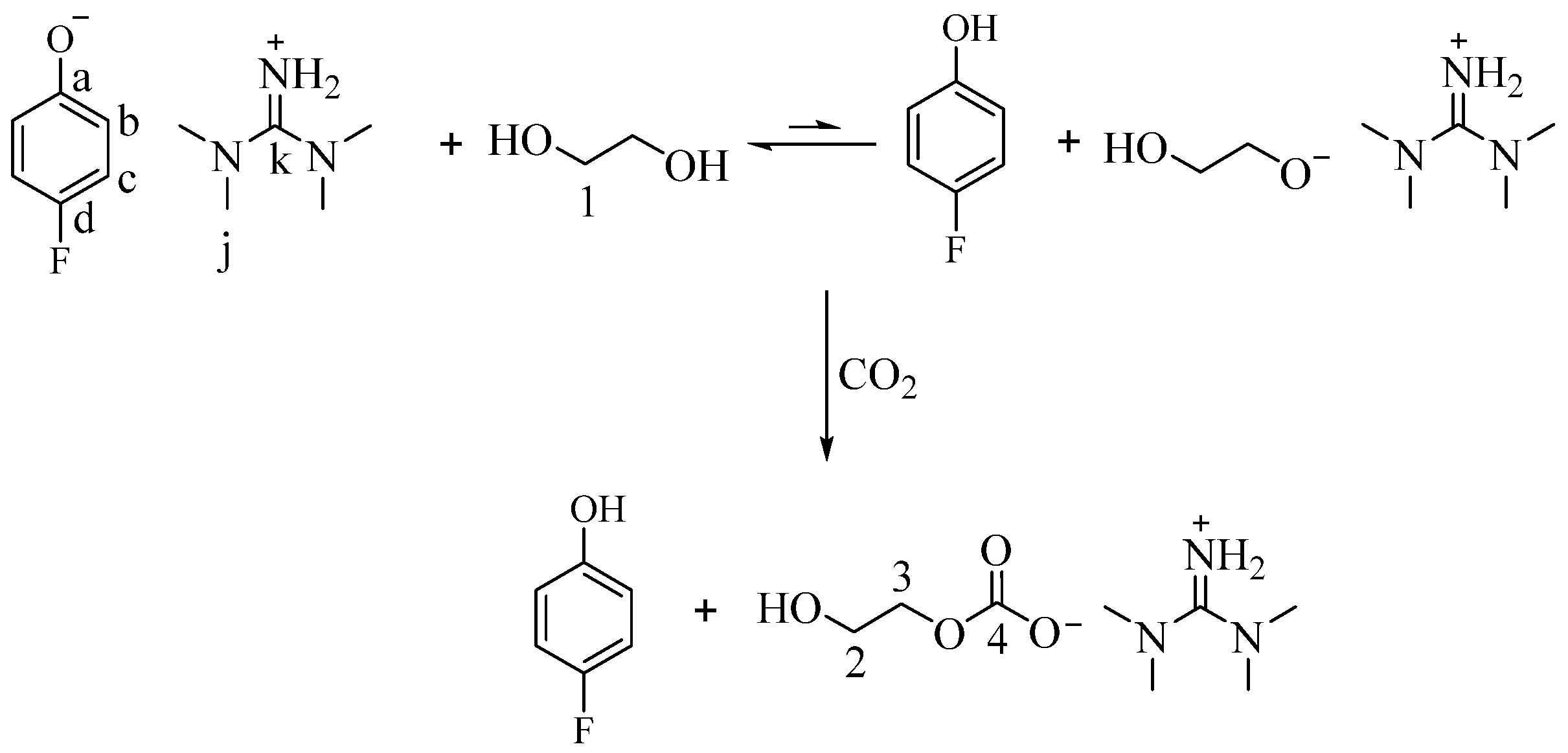
The possible carbon capture mechanisms by [TMGH][4-F-PhO]:EG (1:3) or [TMGH][Car]:EG (1:3) can be proposed according to the results discussed above. Scheme 1 shows the reaction mechanism between [TMGH][4-F-PhO]:EG (1:3) and CO2. In the [TMGH][4-F-PhO]:EG (1:3), the anion [4-F-PhO]− can deprotonate EG, forming the anion HO-CH2-CH2-O−. When CO2 is bubbled into [TMGH][4-F-PhO]:EG (1:3), the base HO-CH2-CH2-O− can attack CO2, resulting in the formation of a carbonate species derived from EG. The capture mechanism of [TMGH][Car]-EG is similar to that of [TMGH][4-F-PhO]-EG.
Scheme 1.
The possible reaction mechanism between CO2 and [TMGH][4−F−PhO]−EG solvents used in this work.
Considering the above-mentioned findings, the possible reason for the unusual CO2 capture behaviors can be obtained. The pKa values of EG, [TMGH]+, and 4-F-PhOH are 15.1 [42], 13.0 [43], and 9.9 [44], respectively. [TMGH]+ is therefore a stronger acid and a stronger hydrogen bond donor in comparison to EG. The strength of ionic hydrogen bonds (IHBs) can be estimated using ΔpKa, which is the difference between the pKa values of hydrogen bond donors and the conjugated acid of bond acceptors. The hydrogen bond strength will increase with decreasing ΔpKa values [45,46]. Therefore, the hydrogen bond strength between [TMGH]+ and [4-F-PhO]− (ΔpKa = 3.1) is stronger than that between EG and the anion [4-F-PhO]− (ΔpKa = 5.2). The strong hydrogen bonds formed between [TMGH]+ and [4-F-PhO]− may cause IL [TMGH][4-F-PhO] to be chemically inert to CO2. As EG is introduced into [TMGH][4-F-PhO], EG will create hydrogen bonds with [4-F-PhO]−. In other words, EG will compete with [TMGH]+ in the solvents. The competition between EG and [TMGH]+ will reduce the hydrogen bond strength between [TMGH]+ and [4-F-PhO]−. The weakened hydrogen bond between [TMGH]+ and [4-F-PhO]− may increase the basicity of [4-F-PhO]−, so [TMGH][4-F-PhO]-EG systems are chemically active to CO2.
The hydrogen bonding interactions between [4-F-PhO]− and EG are confirmed by 1H NMR spectra (Figure 5a). The -OH proton of EG is at 4.54 ppm, and it shifts downfield to 5.79 ppm after EG is mixed with [TMGH][4-F-PhO], suggesting the creation of hydrogen bonds between the -OH proton and [4-F-PhO]−. The hydrogen on the benzene ring moves upfield from 6.69 ppm (H-b) for [TMGH][4-F-PhO] to 6.59 ppm (H-b) for [TMGH][4-F-PhO]:EG (1:3), and the H-c signal also shifts upfield. Furthermore, the signal of the C-a carbon moves downfield from 157.4 ppm in [TMGH][4-F-PhO] to 158.6 ppm in [TMGH][4-F-PhO]:EG (1:3) (Figure 5b). The changes in the aforementioned carbon and hydrogen signals indicate that the introduction of EG into [TMGH][4-F-PhO] weakens the hydrogen bond strength between [TMGH]+ and [4-F-PhO]−, which causes the redistribution of the electron densities of related atoms on the benzene ring.
Figure 5.
(a) The 1H NMR spectra of EG, [TMGH][4-F-PhO]:EG (1:3), [TMGH][4-F-PhO], and 4-F-PhOH; (b) 13C NMR spectra of [TMGH][4-F-PhO]:EG (1:3), [TMGH][4-F-PhO], and 4-F-PhOH.
Theoretical calculations are also used to gain further insights into the hydrogen bonds between EG and [TMGH][4-F-PhO]. The electrostatic potential (ESP) profiles of the anion [4-F-PhO]−, the cation [TMGH]+, and EG molecules upon their molecular surfaces are computed and depicted. Given that the dominant impetus behind the formation of attractive forces between these systems arises from their electrostatic interactions, this approach offers profound insights. Consequently, we mapped the ESP of the cation, anion, and EG on the van der Waals surface, as shown in Figure 6.
Figure 6.
The ESP on the vdW surface (isosurface = 0.001 a.u.) of anion [4−F−PhO]−, cation [TMGH]+, and Vs,max and Vs,min for ions and molecules.
In the case of the anion [4-F-PhO]−, the region of most negativity (−13.31 kcal/mol) manifests itself proximal to the oxygen atom, which can attributed to the presence of lone pair electrons. For the cation [TMGH]+, the regions of highest positivity are situated at the periphery of the hydrogen atoms within the amino group. This observation indicates a propensity for the establishment of robust hydrogen bonds, potentially involving the N-H covalent bond. As for the EG molecule, the oxygen atoms of hydroxyl groups exhibit the most substantial ESP values (−2.97 kcal/mol) due to the existence of lone pair electrons. Consequently, these O atoms are appropriate candidates for hydrogen bond acceptors. Conversely, the hydrogen atoms of hydroxyl groups show the most positive ESP value (+4.28 kcal/mol), rendering them appropriate candidates for hydrogen bond donors.
The atoms-in-molecules (AIM) analysis is employed to study hydrogen bond interactions. The AIM analysis, which relies on the identification of critical points (CPs) situated between neighboring atoms, effectively discerns and confirms the presence of the crucial interactions. Notably, an AIM analysis of all hydrogen bonds in the investigated systems results in the identification of CPs between the atoms involved, as illustrated in Figure 7 and Table 1. The corresponding hydrogen bond energies (EHB) can be obtained from the potential energy density (V) at the CPs [47]. For [TMGH][4-F-PhO] IL, the N-H∙∙∙O and C-H∙∙∙O hydrogen bonds are formed between [TMGH]+ and [4-F-PhO]−. The hydrogen bond energy of the N-H∙∙∙O hydrogen bond (−21.0 kcal/mol) is far larger (absolute value) than that of the C-H∙∙∙O bond (−3.3 kcal/mol), indicating that the hydrogen bond between the amine proton on the cation and the O atom on the anion is much stronger than that between the methyl proton on the cation and the O atom on the anion in [TMGH][4-F-PhO] [48]. As expected, the N-H∙∙∙O bond length (1.576Å) is much shorter than that of the C-H∙∙∙O bond (2.385 Å). The strong N-H∙∙∙O hydrogen bond may make [TMGH][4-F-PhO] unreactive to CO2.
Figure 7.
The hydrogen bonds in [TMGH][4-F-PhO] and [TMGH][4-F-PhO]-EG.
Table 1.
The geometric and energetic data for the hydrogen bonds studied.
In the binary system [TMGH] [4-F-PhO]-EG, a complex network of hydrogen bonds is established. After the addition of EG into [TMGH] [4-F-PhO], the N-H∙∙∙O bond strength between [TMGH]+ and [4-F-PhO]− becomes weaker (−17.6 kcal/mol) compared with that (−21.0 kcal/mol) in pure [TMGH] [4-F-PhO]. The N-H∙∙∙O bond length also becomes longer from 1.576 Å in [TMGH] [4-F-PhO] to 1.620 Å in [TMGH] [4-F-PhO]-EG. Moreover, the O-H∙∙∙O hydrogen bond is also created between the proton of the -OH group and the O atom of the [4-F-PhO]− anion, and this O-H∙∙∙O hydrogen bond length is 1.677 Å. The calculated results above reveal that EG indeed competes with [TMGH]+ to form hydrogen bonds with [4-F-PhO]−, and this competition therefore reduces the N-H∙∙∙O bond strength. The above discussion presents an agreement between the theoretical results and experimental data.
The interactions between CO2 and [TMGH] [4-F-PhO] or [TMGH] [4-F-PhO]-EG are also investigated through theoretical calculations (Figure 8). The enthalpy change (∆H) for [TMGH] [4-F-PhO] + CO2 is −7.4 kcal/mol. However, the ∆H value for [TMGH] [4-F-PhO]-EG + CO2 is −15.8 kcal/mol. In other words, the interaction between CO2 and [TMGH] [4-F-PhO]-EG is much stronger than that between CO2 and [TMGH] [4-F-PhO], which is in agreement with the experimental results.
Figure 8.
The interactions between CO2 and absorbents: (a) [TMGH][4-F-PhO] + CO2; (b) [TMGH][4-F-PhO]-EG + CO2.
The reusability of [TMGH] [4-F-PhO]:EG (1:2) is also studied. The absorbed CO2 can be released by blowing N2 onto the absorbent at 70 °C, and [TMGH] [4-F-PhO]:EG (1:2) can be reused (Figure S6). The DSC curves of [TMGH] [4-F-PhO]-EG and [TMGH] [4-F-PhO] are shown in Figure S7. The melting points of [TMGH] [4-F-PhO]:EG (1:2), (1:3), and (1:4) are −62.6, −74.2, and −81.8 °C, respectively. These melting points are lower than those of [TMGH][4-F-PhO] (−48.2 °C) and EG (−11.5 °C) [39], suggesting that the solvents formed by EG and protic ionic liquid [TMGH][4-F-PhO] can be classified as deep eutectic solvents [28,39].
4. Conclusions
In summary, TMG-based ILs ([TMGH][4-F-PhO] and [TMGH][Car]) and Ils-EG mixtures are studied for CO2 capture. The NMR and FTIR results indicate that the TMG-based ILs studied in this work are chemically inert to CO2. Nevertheless, after mixing ILs with EG, the formed ILs-EG mixtures can chemically capture CO2, thus resulting in the higher CO2 capacities of ILs-EG absorbents than those of ILs. The NMR and theoretical calculation studies provide insights into the CO2 absorption behaviors, and the hydrogen bonds play an important role in tuning the CO2 absorption process. The strong hydrogen bonds between [TMGH]+ and phenolate anions are responsible for the ILs’ nonreactivity to CO2. The hydrogen bonds from EG weaken the bond between [TMGH]+ and phenolate anions, which causes ILs-EG solvents to be able to chemically capture CO2.
Supplementary Materials
The following supporting information can be downloaded at https://www.mdpi.com/article/10.3390/atmos15020229/s1. Figure S1: CO2 absorption by EG and [N4444]Cl:EG (1:2) at 25 °C and 1.0 atm; Figure S2: CO2 absorption by [TMGH][Car] and [TMGH][Car]-EG at 25 °C and 1.0 atm; Table S1: Comparison of CO2 capacities in this work with other IL-based solvents ([49,50,51,52,53,54,55,56,57,58]); Figure S3: The 1H (a) and 13C (b) NMR spectra of [TMGH][Car]:EG (1:3) before and after absorption; Figure S4: The 1H (a) and 13C (b) NMR spectra of [TMGH][Car] before and after absorption; Figure S5: The FTIR spectra of [TMGH][Car]:EG (1:3) (a) and [TMGH][Car] (b) before and after absorption. Figure S6: The absorption–desorption cycles of [TMGH][4-F-PhO]:EG (1:2): absorption, 20 °C; desorption, 70 °C; Figure S7: The DSC curves of [TMGH][4-F-PhO]-EG and [TMGH][4-F-PhO].
Author Contributions
Conceptualization, D.Y.; methodology, B.L., Y.Z., S.Z. and D.Y.; investigation, B.L., Y.Z., M.C., S.Z. and D.Y.; data curation, B.L., Y.Z. and M.C.; writing—original draft preparation, B.L. and Y.Z.; writing—review and editing, S.Z. and D.Y.; supervision, S.Z. and D.Y.; funding acquisition, S.Z. and D.Y. All authors have read and agreed to the published version of the manuscript.
Funding
This research was funded by the Fundamental Research Funds for the Central Universities, grant number 2652019111; the National Natural Science Foundation of China, grant number 22108111; the Natural Science Foundation of Yunnan Province, grant number 202101AU070021; the Natural Science Foundation of Kunming University of Science and Technology, grant number KKZ3202052038; and the Xingdian Talent Support Project, grant number YNQR-QNRC-2020-081.
Data Availability Statement
Data that support the findings of this study are available from the corresponding author upon reasonable request.
Conflicts of Interest
The authors declare no conflicts of interest.
References
- Zhang, Z.; Zheng, Y.; Qian, L.; Luo, D.; Dou, H.; Wen, G.; Yu, A.; Chen, Z. Emerging Trends in Sustainable CO2-Management Materials. Adv. Mater. 2022, 34, 2201547. [Google Scholar] [CrossRef] [PubMed]
- Madejski, P.; Chmiel, K.; Subramanian, N.; Kuś, T. Methods and Techniques for CO2 Capture: Review of Potential Solutions and Applications in Modern Energy Technologies. Energies 2022, 15, 887. [Google Scholar] [CrossRef]
- Aghel, B.; Janati, S.; Wongwises, S.; Shadloo, M.S. Review on CO2 capture by blended amine solutions. Int. J. Greenh. Gas Control 2022, 119, 103715. [Google Scholar] [CrossRef]
- Sun, S.; Sun, H.; Williams, P.T.; Wu, C. Recent advances in integrated CO2 capture and utilization: A review. Sustain. Energy Fuels 2021, 5, 4546–4559. [Google Scholar] [CrossRef]
- Wang, Y.; He, H.; Wang, C.; Lu, Y.; Dong, K.; Huo, F.; Zhang, S. Insights into Ionic Liquids: From Z-Bonds to Quasi-Liquids. JACS Au 2022, 2, 543–561. [Google Scholar] [CrossRef] [PubMed]
- Kaur, G.; Kumar, H.; Singla, M. Diverse applications of ionic liquids: A comprehensive review. J. Mol. Liq. 2022, 351, 118556. [Google Scholar] [CrossRef]
- Pei, Y.; Zhang, Y.; Ma, J.; Fan, M.; Zhang, S.; Wang, J. Ionic liquids for advanced materials. Mater. Today Nano 2022, 17, 100159. [Google Scholar] [CrossRef]
- Piatti, E.; Guglielmero, L.; Tofani, G.; Mezzetta, A.; Guazzelli, L.; D’Andrea, F.; Roddaro, S.; Pomelli, C.S. Ionic liquids for electrochemical applications: Correlation between molecular structure and electrochemical stability window. J. Mol. Liq. 2022, 364, 120001. [Google Scholar] [CrossRef]
- Zhang, R.; Ke, Q.; Zhang, Z.; Zhou, B.; Cui, G.; Lu, H. Tuning Functionalized Ionic Liquids for CO2 Capture. Int. J. Mol. Sci. 2022, 23, 11401. [Google Scholar] [CrossRef]
- Suo, X.; Fu, Y.; Do-Thanh, C.-L.; Qiu, L.-Q.; Jiang, D.-e.; Mahurin, S.M.; Yang, Z.; Dai, S. CO2 Chemisorption Behavior in Conjugated Carbanion-Derived Ionic Liquids via Carboxylic Acid Formation. J. Am. Chem. Soc. 2022, 144, 21658–21663. [Google Scholar] [CrossRef] [PubMed]
- Qiu, L.; Fu, Y.; Yang, Z.; Johnson, A.C.; Do-Thanh, C.-L.; Thapaliya, B.P.; Mahurin, S.M.; He, L.-N.; Jiang, D.-E.; Dai, S. Surpassing the Performance of Phenolate-derived Ionic Liquids in CO2 Chemisorption by Harnessing the Robust Nature of Pyrazolonates. ChemSusChem 2023, e202301329. [Google Scholar] [CrossRef] [PubMed]
- Yoon, B.; Voth, G.A. Elucidating the Molecular Mechanism of CO2 Capture by Amino Acid Ionic Liquids. J. Am. Chem. Soc. 2023, 145, 15663–15667. [Google Scholar] [CrossRef] [PubMed]
- Gurau, G.; Rodríguez, H.; Kelley, S.P.; Janiczek, P.; Kalb, R.S.; Rogers, R.D. Demonstration of Chemisorption of Carbon Dioxide in 1,3-Dialkylimidazolium Acetate Ionic Liquids. Angew. Chem. Int. Ed. 2011, 50, 12024–12026. [Google Scholar] [CrossRef] [PubMed]
- Wang, C.; Luo, X.; Luo, H.; Jiang, D.-e.; Li, H.; Dai, S. Tuning the Basicity of Ionic Liquids for Equimolar CO2 Capture. Angew. Chem. Int. Ed. 2011, 50, 4918–4922. [Google Scholar] [CrossRef]
- Seo, S.; Quiroz-Guzman, M.; DeSilva, M.A.; Lee, T.B.; Huang, Y.; Goodrich, B.F.; Schneider, W.F.; Brennecke, J.F. Chemically Tunable Ionic Liquids with Aprotic Heterocyclic Anion (AHA) for CO2 Capture. J. Phys. Chem. B 2014, 118, 5740–5751. [Google Scholar] [CrossRef]
- Seo, S.; DeSilva, M.A.; Xia, H.; Brennecke, J.F. Effect of Cation on Physical Properties and CO2 Solubility for Phosphonium-Based Ionic Liquids with 2-Cyanopyrrolide Anions. J. Phys. Chem. B 2015, 119, 11807–11814. [Google Scholar] [CrossRef]
- Wang, C.; Luo, H.; Li, H.; Zhu, X.; Yu, B.; Dai, S. Tuning the Physicochemical Properties of Diverse Phenolic Ionic Liquids for Equimolar CO2 Capture by the Substituent on the Anion. Chem. Eur. J. 2012, 18, 2153–2160. [Google Scholar] [CrossRef]
- Luo, X.; Guo, Y.; Ding, F.; Zhao, H.; Cui, G.; Li, H.; Wang, C. Significant Improvements in CO2 Capture by Pyridine-Containing Anion-Functionalized Ionic Liquids through Multiple-Site Cooperative Interactions. Angew. Chem. Int. Ed. 2014, 53, 7053–7057. [Google Scholar] [CrossRef]
- Huang, Y.; Cui, G.; Zhao, Y.; Wang, H.; Li, Z.; Dai, S.; Wang, J. Preorganization and Cooperation for Highly Efficient and Reversible Capture of Low-Concentration CO2 by Ionic Liquids. Angew. Chem. Int. Ed. 2017, 56, 13293–13297. [Google Scholar] [CrossRef]
- Wang, C.; Luo, H.; Jiang, D.-e.; Li, H.; Dai, S. Carbon Dioxide Capture by Superbase-Derived Protic Ionic Liquids. Angew. Chem. Int. Ed. 2010, 49, 5978–5981. [Google Scholar] [CrossRef]
- Lei, X.; Xu, Y.; Zhu, L.; Wang, X. Highly efficient and reversible CO2 capture through 1,1,3,3-tetramethylguanidinium imidazole ionic liquid. Rsc. Adv. 2014, 4, 7052–7057. [Google Scholar] [CrossRef]
- Zhu, X.; Song, M.; Xu, Y. DBU-Based Protic Ionic Liquids for CO2 Capture. ACS Sustain. Chem. Eng. 2017, 5, 8192–8198. [Google Scholar] [CrossRef]
- Gao, F.; Wang, Z.; Ji, P.; Cheng, J.-P. CO2 Absorption by DBU-Based Protic Ionic Liquids: Basicity of Anion Dictates the Absorption Capacity and Mechanism. Front. Chem. 2019, 6, 658. [Google Scholar] [CrossRef] [PubMed]
- Li, F.; Bai, Y.; Zeng, S.; Liang, X.; Wang, H.; Huo, F.; Zhang, X. Protic ionic liquids with low viscosity for efficient and reversible capture of carbon dioxide. Int. J. Greenh. Gas Control 2019, 90, 102801. [Google Scholar] [CrossRef]
- Oncsik, T.; Vijayaraghavan, R.; MacFarlane, D.R. High CO2 absorption by diamino protic ionic liquids using azolide anions. Chem. Commun. 2018, 54, 2106–2109. [Google Scholar] [CrossRef] [PubMed]
- Simons, T.J.; Verheyen, T.; Izgorodina, E.I.; Vijayaraghavan, R.; Young, S.; Pearson, A.K.; Pas, S.J.; MacFarlane, D.R. Mechanisms of low temperature capture and regeneration of CO2 using diamino protic ionic liquids. Phys. Chem. Chem. Phys. 2016, 18, 1140–1149. [Google Scholar] [CrossRef]
- Wang, X.; Wu, C.; Yang, D. CO2 Absorption Mechanism by Diamino Protic Ionic Liquids (DPILs) Containing Azolide Anions. Processes 2021, 9, 1023. [Google Scholar] [CrossRef]
- Mukesh, C.; Khokarale, S.G.; Virtanen, P.; Mikkola, J.-P. Rapid desorption of CO2 from deep eutectic solvents based on polyamines at lower temperatures: An alternative technology with industrial potential. Sustain. Energy Fuels 2019, 3, 2125–2134. [Google Scholar] [CrossRef]
- Xiong, W.; Shi, M.; Peng, L.; Zhang, X.; Hu, X.; Wu, Y. Low viscosity superbase protic ionic liquids for the highly efficient simultaneous removal of H2S and CO2 from CH4. Sep. Purif. Technol. 2021, 263, 118417. [Google Scholar] [CrossRef]
- Zailani, N.H.Z.O.; Yunus, N.M.; Ab Rahim, A.H.; Bustam, M.A. Experimental Investigation on Thermophysical Properties of Ammonium-Based Protic Ionic Liquids and Their Potential Ability towards CO2 Capture. Molecules 2022, 27, 851. [Google Scholar] [CrossRef]
- Ma, J.; Wang, Y.; Yang, X.; Zhu, M.; Wang, B. DFT Study on the Chemical Absorption Mechanism of CO2 in Diamino Protic Ionic Liquids. J. Phys. Chem. B 2021, 125, 1416–1428. [Google Scholar] [CrossRef]
- Frisch, M.T.; Trucks, G.W.; Schlegel, H.B.; Scuseria, G.; Robb, M.; Cheeseman, J.; Scalmani, G.; Barone, V.; Mennucci, B.; Petersson, G. Gaussian 09, Revision D. 01; Gaussian, Inc.: Wallingford, CT, USA, 2009. [Google Scholar]
- Zhao, Y.; Truhlar, D.G. The M06 suite of density functionals for main group thermochemistry, thermochemical kinetics, noncovalent interactions, excited states, and transition elements: Two new functionals and systematic testing of four M06-class functionals and 12 other functionals. Theor. Chem. Acc. 2008, 120, 215–241. [Google Scholar]
- Kendall, R.A.; Dunning, T.H.; Harrison, R.J., Jr. Electron affinities of the first—Row atoms revisited. Systematic basis sets and wave functions. J. Chem. Phys. 1992, 96, 6796–6806. [Google Scholar] [CrossRef]
- Bader, R.F.W. Atoms in molecules. Acc. Chem. Res. 1985, 18, 9–15. [Google Scholar] [CrossRef]
- Lu, T.; Chen, F. Atomic dipole moment corrected hirshfeld population method. J. Theor. Comput. Chem. 2012, 11, 163. [Google Scholar] [CrossRef]
- Lu, T.; Chen, F. Multiwfn: A multifunctional wavefunction analyzer. J. Comput. Chem. 2012, 33, 580–592. [Google Scholar] [CrossRef]
- Humphrey, W.; Dalke, A.; Schulten, K. VMD: Visual molecular dynamics. J. Mol. Graph. Model. 1996, 14, 33–38. [Google Scholar] [CrossRef] [PubMed]
- Lee, Y.-Y.; Penley, D.; Klemm, A.; Dean, W.; Gurkan, B. Deep Eutectic Solvent Formed by Imidazolium Cyanopyrrolide and Ethylene Glycol for Reactive CO2 Separations. ACS Sustain. Chem. Eng. 2021, 9, 1090–1098. [Google Scholar] [CrossRef]
- Wang, Z.; Wu, C.; Wang, Z.; Zhang, S.; Yang, D. CO2 capture by 1,2,3-triazole-based deep eutectic solvents: The unexpected role of hydrogen bonds. Chem. Commun. 2022, 58, 7376–7379. [Google Scholar] [CrossRef]
- Chen, M.; Xu, J. CO2 Capture Mechanism by Deep Eutectic Solvents Formed by Choline Prolinate and Ethylene Glycol. Molecules 2023, 28, 5461. [Google Scholar] [CrossRef]
- Ballinger, P.; Long, F.A. Acid Ionization Constants of Alcohols. II. Acidities of Some Substituted Methanols and Related Compounds. J. Am. Chem. Soc. 1960, 82, 795–798. [Google Scholar] [CrossRef]
- Tshepelevitsh, S.; Kütt, A.; Lõkov, M.; Kaljurand, I.; Saame, J.; Heering, A.; Plieger, P.G.; Vianello, R.; Leito, I. On the Basicity of Organic Bases in Different Media. Eur. J. Org. Chem. 2019, 2019, 6735–6748. [Google Scholar] [CrossRef]
- Bijloo, G.J.; Rekker, R.F. Some Critical Remarks Concerning the Inductive Parameter σI Part III: Parametrization of the Ortho Effect in Benzoic Acids and Phenols. Quant. Struct. Act. Relatsh. 1984, 3, 91–96. [Google Scholar] [CrossRef]
- Gilli, P.; Pretto, L.; Bertolasi, V.; Gilli, G. Predicting Hydrogen-Bond Strengths from Acid−Base Molecular Properties. The pKa Slide Rule: Toward the Solution of a Long-Lasting Problem. Acc. Chem. Res. 2009, 42, 33–44. [Google Scholar] [CrossRef] [PubMed]
- Grabowski, S.J. What is the Covalency of Hydrogen Bonding? Chem. Rev. 2011, 111, 2597–2625. [Google Scholar] [CrossRef] [PubMed]
- Espinosa, E.; Molins, E.; Lecomte, C. Hydrogen bond strengths revealed by topological analyses of experimentally observed electron densities. Chem. Phys. Lett. 1998, 285, 170–173. [Google Scholar] [CrossRef]
- Aquino, A.J.A.; Tunega, D.; Haberhauer, G.; Gerzabek, M.H.; Lischka, H. Solvent Effects on Hydrogen Bonds: A Theoretical Study. J. Phys. Chem. A 2002, 106, 1862–1871. [Google Scholar] [CrossRef]
- Zhang, N.; Huang, Z.; Zhang, H.; Ma, J.; Jiang, B.; Zhang, L. Highly Efficient and Reversible CO2 Capture by Task-Specific Deep Eutectic Solvents. Ind. Eng. Chem. Res. 2019, 58, 13321–13329. [Google Scholar] [CrossRef]
- Cui, G.; Lv, M.; Yang, D. Efficient CO2 absorption by azolide-based deep eutectic solvents. Chem. Commun. 2019, 55, 1426–1429. [Google Scholar] [CrossRef] [PubMed]
- Wang, Z.; Wang, Z.; Huang, X.; Yang, D.; Wu, C.; Chen, J. Deep eutectic solvents composed of bio-phenol-derived superbase ionic liquids and ethylene glycol for CO2 capture. Chem. Commun. 2022, 58, 2160–2163. [Google Scholar] [CrossRef]
- Wang, Z.; Wang, Z.; Chen, J.; Wu, C.; Yang, D. The Influence of Hydrogen Bond Donors on the CO2 Absorption Mechanism by the Bio-Phenol-Based Deep Eutectic Solvents. Molecules 2021, 26, 7167. [Google Scholar] [CrossRef] [PubMed]
- Fu, H.; Wang, X.; Sang, H.; Liu, J.; Lin, X.; Zhang, L. Highly efficient absorption of carbon dioxide by EG-assisted DBU-based deep eutectic solvents. J. CO2 Util. 2021, 43, 101372. [Google Scholar] [CrossRef]
- Nie, M.-N.; Wang, Z.; Niu, Q.-H.; Dai, J.-X.; Wang, Q.-Q.; Peng, J.-S.; Ji, P. Acidity Scale in a Choline Chloride- and Ethylene Glycol-Based Deep Eutectic Solvent and Its Implication on Carbon Dioxide Absorption. J. Org. Chem. 2023, 88, 5368–5376. [Google Scholar] [CrossRef] [PubMed]
- Klemm, A.; Vicchio, S.P.; Bhattacharjee, S.; Cagli, E.; Park, Y.; Zeeshan, M.; Dikki, R.; Liu, H.; Kidder, M.K.; Getman, R.B.; et al. Impact of Hydrogen Bonds on CO2 Binding in Eutectic Solvents: An Experimental and Computational Study toward Sorbent Design for CO2 Capture. ACS Sustain. Chem. Eng. 2023, 11, 3740–3749. [Google Scholar] [CrossRef]
- Jiang, B.; Ma, J.; Yang, N.; Huang, Z.; Zhang, N.; Tantai, X.; Sun, Y.; Zhang, L. Superbase/Acylamido-Based Deep Eutectic Solvents for Multiple-Site Efficient CO2 Absorption. Energy Fuels 2019, 33, 7569–7577. [Google Scholar] [CrossRef]
- Mei, K.; He, X.; Chen, K.; Zhou, X.; Li, H.; Wang, C. Highly Efficient CO2 Capture by Imidazolium Ionic Liquids through a Reduction in the Formation of the Carbene–CO2 Complex. Ind. Eng. Chem. Res. 2017, 56, 8066–8072. [Google Scholar] [CrossRef]
- Luo, X.-Y.; Chen, X.-Y.; Qiu, R.-X.; Pei, B.-Y.; Wei, Y.; Hu, M.; Lin, J.-Q.; Zhang, J.-Y.; Luo, G.-G. Enhanced CO2 capture by reducing cation–anion interactions in hydroxyl-pyridine anion-based ionic liquids. Dalton Trans. 2019, 48, 2300–2307. [Google Scholar] [CrossRef]
Disclaimer/Publisher’s Note: The statements, opinions and data contained in all publications are solely those of the individual author(s) and contributor(s) and not of MDPI and/or the editor(s). MDPI and/or the editor(s) disclaim responsibility for any injury to people or property resulting from any ideas, methods, instructions or products referred to in the content. |
© 2024 by the authors. Licensee MDPI, Basel, Switzerland. This article is an open access article distributed under the terms and conditions of the Creative Commons Attribution (CC BY) license (https://creativecommons.org/licenses/by/4.0/).








