Abstract
This paper evaluates the response of streamflow in a Mediterranean medium-scaled basin under land-use and climate change scenarios and its plausible implication on the management of Boadella–Darnius reservoir (NE Spain). Land cover and climate change scenarios supposed over the next several decades were used to simulate reservoir inflow using the Regional Hydro-Ecologic Simulation System (RHESsys) and to analyze the future impacts on water management (2021–2050). Results reveal a clear decrease in dam inflow (−34%) since the dam was operational from 1971 to 2013. The simulations obtained with RHESsys show a similar decrease (−31%) from 2021 to 2050. Considering the ecological minimum flow outlined by water authorities and the projected decrease in reservoir’s inflows, different water management strategies are needed to mitigate the effects of the expected climate change.
1. Introduction
Water resources in the Mediterranean region are often overallocated and cannot meet the multiple demand for water for human activities including urban supply [1], irrigation [2,3], and tourism activities [4,5,6,7]. Most of the available water in this region has its source in mountain headwaters [8,9,10]. However, Mediterranean mountains have experienced substantial socioeconomic and environmental change during the last century. Of particular importance from a hydrologic perspective is a significant depopulation trend that led to land abandonment [11,12], triggering natural revegetation processes in the slopes [13]. The fields that had been cultivated several decades ago are now colonized by shrubs or forests with different degrees of succession as a function of the local environmental and climatic conditions (slope, orientation, elevation, etc.), and in many locations the revegetation process has been accelerated by afforestation initiatives [8]. Different studies have shown that these revegetation processes have had a strong impact on runoff production in the Mediterranean mountain regions [1,5,10] as well as CO2 fertilization with a high influence on future runoff at the global and basin scale [14,15].
The occurrence of extensive land cover changes, natural and man-made, coexists with climate change processes. Previous studies warn of the possible impact of precipitation decrease and increased atmospheric evaporative demand (AED) on the water resource availability of these regions [16,17]. The impact of global warming, mainly due to the increase in greenhouse gas emissions, has involved an increment of AED [18,19] and changes in snow accumulation and melting, factors that also explain the decrease of the streamflow [20] and the changes in the river regimes [21]. Other studies have focused on cross-sectoral impacts at both local/regional [22,23] and global scales [24], indicating severe water stress in areas such as the Mediterranean and water scarcity, even in areas where rapid adaptation processes could be carried out.
Precipitation and runoff in the Mediterranean region shows strong seasonality. High flows occur during winter and spring due to high precipitation and snowmelt, while there is a strong dry period in late spring and summer coinciding with the peak of demand due to agriculture and tourism. This substantial seasonal imbalance between water availability and demand has led to the development of a very dense network of dams and hydraulic infrastructure. Further, the Spanish Mediterranean coast has generally shown an increase in urban and tourist-related development in recent decades causing additional water scarcity, impacts that are likely to be intensified by climate change [25]. Under this socioeconomic context, the Mediterranean regions should take special care in the management of their water resources, as shown in [26,27].
In Spain, the development of a public water infrastructure has been a priority [28,29] since the 1950s. Currently, the number of dams in Spain is estimated to be around 1200, ref. [30] in order to meet summer water demands and to diminish the impact of the frequent meteorological drought and floods [31,32]. In general, reservoir management varies substantially with water use, climate, and capacity [31,33]. Reservoir management in Spain and much of the Mediterranean is based on a period of infilling from early autumn to mid spring, followed by water release during the warm and dry season [34,35].
Dam regulation rules have noticeably changed in the last two decades, as a consequence of reduced water resources [36]. Climate change projection point to a reduction of precipitation and an increase in AED [20] in Mediterranean regions. While previous studies have estimated declines in streamflow associated with changing climate drivers, in highly managed water systems such as those in Spain, the effects of climate change will also depend on the reservoir management and how trends of land use and revegetation in mountain headwater systems evolve. How climate, reservoir management, and land use combine to impact water availability remains poorly understood. Water resource managers need projections that included interactions in order to be able to (a) refine reservoir operating rules and (b) assess the need for water demand management.
This study analyzes the recent evolution of runoff and associated Boadella–Darnius dam operation in the Muga Basin (NE Spain), characterized by marked diversity of water uses (irrigation, water supply and tourism demand). Moreover, a modeling approach is used for quantifying future (2021–2050) water resource availability under climate and land cover scenarios and different dam management strategies. Therefore, this study provides the relationship between the reservoir management with the projections of water resources of a mountain basin under a scenario of climate change and another of land-use changes. It is verified that, with the foreseeable decrease in the runoff of a basin simulated with an eco-hydrological model, different types of management that can satisfy both the ecological flow and the demand for water must be found.
2. Materials and Methods
2.1. Study Area
The study area is the contributing catchment of the Muga and d’Armera rivers extending from the headwaters to the Boadella–Darnius dam (183.76 km2). The catchment is located in the Northeast Spain, near the Mediterranean Sea and close the border with France (Figure 1, red border). The reservoir has a capacity of 60.2 hm3 and an impounded ratio of 0.99, which means that the dam has a storage capacity of 99% of the long-term average annual runoff. It was built in 1969 and became operational in 1971 with three purposes: (i) flood-control, (ii) water supply to urban areas, and (iii) irrigation of more than 12,000 ha [37,38]. The reservoir is managed by the Catalan Water Agency, which is responsible for water planning and dictates the ecological river flows. The dam stores most of the water used in the rest of the Muga Basin (Figure 1, light grey). The streamflow has been recorded at three sites: two gauge stations (Boadella and Castelló d’Empúries (Figure 1a, white) and at the Boadella dam inflow/outflow since it started operating. The streamflow regime of the river is pluvio-nival, characterized by a short and low snow storage period from January to February, high flows during March–May and low flows in the summer. The annual peak flow occurs generally in autumn due to the heavy rainfall events at this time of year (Figure 1b). The total annual mean precipitation recorded in Darnius meteorological station (Figure 1a, yellow) is 634 mm year−1 (65% fall in spring and autumn) and the mean annual temperature is 15.3 °C (Figure 1c).
Figure 1.
(a) Study area; (b) monthly mean inflow in Darnius-Boadella dam; (c) ombroclimatic diagram.
The aforementioned mismatch of water resources in the summer between demand and water availability is higher due to the increase in tourist activity in this area. In fact, in Alt Empordà, the region in which the Muga Basin is located, population increase is notable (+93% between 1970 and 2016 [39]). There are also notable seasonal trends associated with summer tourism (the Alt Empordà region increases its population by 30% in the summer [39]), which means that water consumption increases considerably at that time of year. In [37], it was established that, in the Roses municipality (Figure 1), the water consumption in summer (July, August, and September) increased by a factor of 2.5.
The basin is mostly forested and dominated by the evergreen broadleaf forest (EBF), mainly composed of Quercus ilex and Quercus suber (58.4%), 19.6% is occupied by the evergreen needle forest (ENF) (Pinus halepensis, Pinus sylvestris, and Pinus nigra), and the broadleaf deciduous forest (DBF) (Fagus sylvatica and Castanea sativa) occupies approximately 14%. The rest of the basin is covered by crops (2.3%), shrubs (3.2%), and urban areas (0.4%) (Figure 2).
Figure 2.
Upper: Actual land-use scenario. Lower: Soils map: (A) Slow infiltration rates with a layer that impedes the downward movement (high runoff potential). (B) Moderate infiltration rates, moderately deep to deep, moderately well to well drained and a moderate rate of water transmission. (C) High infiltration rates, deep and well to excessively drained and a high rate of water transmission (low runoff potential). (D) Very slow infiltration rates, soils with a clay, shallow soils over nearly impervious materials.
2.2. Climatic and Hydrological Data
Daily precipitation and temperature data from available meteorological stations in the basin were obtained from the Spanish Meteorological Agency (AEMET). We selected the Darnius station, as it presents the most complete data series amongst the stations in the study domain (see location in Figure 1a) for the period 1992–2011. We also used projected daily maximum and minimum temperature and precipitation for the period 2012–2050 according to the scenario changes generated in the Third Report of Climate Change report of in Catalonia (TICCC) [40].
The precipitation and temperature series used are part of a database of greater spatial extension, which was built under the criteria of filling, quality control, and homogeneity test established in [41]. To summarize, as a first step, the series with more than 30 years of data were selected as candidate series, and the rest were used for the filling process, referred to as the reference series. Precipitation data were transformed into percentiles after removing zero values. Secondly, the correlation matrix between candidate series and the reference series (both transformed into percentiles) was calculated. Finally, the 10 reference series with the highest correlations with each of the candidates and which overlapped for at least three years were selected. For the candidate precipitation series, the gaps are filled with the average corresponding quantile of the 10 reference series with the best correlations. Once the candidate series was complete, the quantiles were converted to precipitation values. In the case of temperature series, the correlation matrix between the candidate and reference series was calculated (selected in the same way as for precipitation series), but the gaps were filled with a simple regression between the candidate and the reference series with the best correlations. Finally, 95 precipitation series and 76 temperature series were obtained for the entire database.
Monthly average values of daily maximum and minimum temperature and monthly precipitation accumulations were calculated and homogenized using HOMER [42]. HOMER contains as a preliminary detection tool the pair algorithm described in [43] and the two ANOVA correction factors presented by the same authors. The time inhomogeneities identified in the series were identified monthly, but the daily coefficients were interpolated and applied to correct the daily series according to [44].
Global climate models (GCMs) included in [45] were downscaled and regionalized following approaches used in previous regionalization projects for Spain [37]. In this regionalization process, the RCP4.5 emission scenario was considered to provide projections at 10 km through dynamic or statistical techniques for the periods 2021–2030 and 2041–2050. Projections indicate an average increase in annual temperature of 0.8 and 1.4 °C for 2012–2021 and 2031–2050 periods, respectively, for Catalonia [37]. Projected changes in average annual precipitation are estimated to be between −2.4 and −6.8% for the related periods [37].
Figure 3A shows the average river regime in the station of Boadella (Figure 1a, in white) between 1950 and 2013 and for two sub-periods pre- (1950–1970) and post-dam (1971–2013). The dam has completely changed the river regime from a maximum peak in autumn and spring before the dam period to a regime characterized by maximum flow in summer (Figure 3B).
Figure 3.
(A) Average river regimes in Boadella gauge station: blue bars: (1950–2013), blue line (1950–1970), and red line (1971–2013). (B) Average monthly values of inflows (blue), outflows (red), and storages (blue bars) in the reservoir of Boadella between 1971 and 2013.
The observed inflow, outflow, and volume dammed monthly data was selected yearly for the period 1971–2013 and a cluster analysis was conducted to identify the most common management strategies for the reservoir. Ward’s cluster method, similar to that used by [46], was used. This method is a hierarchical procedure in which, at each stage, the two clusters are joined together for which there is the smallest increase in the total value of the sum of the squares of differences, within each cluster, from each individual to the centroid of the cluster. Water demand (WD) monthly data is provided by Catalan Water Agency for the period 2002–2011. Table 1 shows the mean monthly regime of water demand in the Muga Basin downstream of the Boadella–Darnius reservoir.
Table 1.
Mean monthly water demand (hm3).
2.3. Spatial Data
The digital elevation model (DEM) was provided by the Catalan Cartographic and Geologic Institute of Catalonia. A land cover map has been developed based on the land cover map of Catalonia (MSCS) at the spatial scale of 1:50,000 (Figure 2, upper). The Spanish land-use system (SIOSE) [47] was used to enrich the MCSC information. In order to simplify the number of categories, we reclassified the different thematic information. Land cover scenarios for three periods (2021–2030, 2031–2040, and 2041–2050) were developed, based on the expected evolution of revegetation in the Pyrenees [36,48,49,50,51,52], and these were compared with a baseline or current land cover scenario.
In order to obtain the revegetation land-use scenario (RLU), an orographic criteria defined in [53] (Figure 4) was used. The experiment is based on a multi-criteria analysis (MCA) technique where the elevation, aspect, and slope maps were reclassified in groups of cells, where it is more probable to find each land cover type according to [53], assuming those areas are optimal. The results were combined to determine optimum areas for deciduous forests and were substituted gradually by linear progress if the actual land cover was ENF. The same process was applied for the transition from shrubland to ENF. The area corresponding to the different land-use scenarios and their differences are shown in Table 2.
Figure 4.
Land-use change scenarios 2002–2050. (A) Actual land-use scenario. (B) Step 1 = land-use scenario of 2021–2030. (C) Step 2 = land-use scenario of 2031–2040. (D) Step 3 = land-use scenario of 2041–2050.
Table 2.
The area of each scenario (actual land-use—A.L.U. and revegetation land-use—R.L.U.) and variation (%) with respect to A.L.U.
A soil map was generated using certain sources of soil information, including the soils map of Catalonia, the European soils map, data from soil profiles from specific studies, the European soils database [54,55], the Geologic map of Catalonia, a digital elevation map, and a carbon content map of forested soils of Spain. The result is based on the spatial correlation between the most important soil properties with environmental variables (climate, relief, or geology). A detailed methodology can be found in [56].
2.4. Regional Hydro-Ecological Simulation System (RHESsys)
RHESSys, a spatially distributed hydro-ecological model, was used to estimate streamflow. RHESSys [57] represents key hydrologic processes that are important for estimating both climate and land-use change impacts on streamflow, including vegetation transpiration, canopy, litter and soil evaporation, snowmelt, infiltration, and both vertical and lateral moisture redistribution. Hydrologic processes in RHESSys are fully coupled to a dynamic vegetation carbon and nitrogen cycling model. RHESSys is a spatial model that allows the user to choose the size and shape of the modeled unities in order to maximize spatial detail where it is most needed while maintaining computational efficiency. Radiation and climate forcing are varied spatially.
RHESsys has been previously applied and evaluated in a variety of settings to examine how both climate and land-use change impact streamflow. Previous applications have examined changes in snow and its implication on flow regimes [58], water balance [59], water management implications in a climate change context [36], the effect of the drought stress on forest mortality [60], and the runoff sensitivity to land cover changes in a mountain environment [61]. Further information on the RHESsys methodology can be found in [57].
RHESSys was calibrated for 2002–2011 by comparing observed and estimated monthly flows. (Note that RHESSys uses a daily time step, but flows are aggregated on a monthly basis for comparison.) The calibration scheme seeks to obtain parameter sets, in an iterative fashion, that yield simulated flows more similar than the observed flows. In this study, only two hydraulic parameters were calibrated: the decay of hydraulic conductivity with depth (m) and saturated soil hydraulic conductivity at the surface—Ksat0 (K). It is assumed that there is no optimum set of parameters, as is explained by the concept of equifinality [62,63]. For this reason, to reduce uncertainty, 1600 simulations were run modifying the parameters mentioned randomly, using a Monte Carlo approach. The election of the best parameters is based on the result of three statistics defined in [64] that capture different components of performance:
The Nash–Sutcliffe efficiency index [65], computed as in Equation (1), compares the data residual variance to the measured data variance:
Percent bias (PBIAS) in Equation (2) measures the average tendency of the simulated data to be larger or smaller than observed series [27]:
The RMSE–observation standard deviation ratio (RSR) is calculated as the ratio of the RMSE and the standard deviation of observed data (Equation (3)):
where n is the number of records, Yobs is the observed value for each month, Ysim is the simulated value for each month, and Ymean is the average observed value.
Once calibration is completed, an independent data period (1992–2001) was chosen for validation. This involved a comparison of simulated and observed flows with no longer parameter optimization (Figure 5). In general, the validation can be considered high quality given the strong agreement between the observed and modeled data and the statistics, which were close to the calibration period (Table 3). In general, the statistics reveal that RHESsys accurately reproduces the dam inflow for the studied basin and the streamflow seasonality (Figure 6)
Figure 5.
Simulated (grey) and observed (black) monthly streamflow after parameter calibration.
Table 3.
Statistics obtained for calibration and validation periods.
Figure 6.
Mean monthly streamflow and precipitation for calibration/validation periods.
3. Results
3.1. Observed Hydrological Evolution and Dam Management
The evolution of measured streamflow (both gauge station and inflow dam; Figure 1) at the headwater of Muga Basin shows a clear decrease from each start to the end of each time series (Figure 7, Table 4). For the period 1971–2011, during which the reservoir was operative, inflow to the dam decreased, mainly for summer (66.7%), spring (33.3%), and winter (−30.8%) flows. At the annual scale, the reduction of streamflow is also noticeable (34.7%). The declines in seasonal flows at the Boadella gauge station (below the dam) are more marked in winter (50%), spring (60%), and autumn (96.7%) and at the annual scale (46.7%). However, the summer flows show a clear increase (50%), which reveals the influence of the dam management, since it is in that season (Table 1) when the water demand is higher (Figure 3).
Figure 7.
Observed annual streamflow at the Boadella gauge station (grey) and at the Boadella–Darnius dam inflow (blue).
Table 4.
Observed and simulated seasonally inflow variation under climate projection (RCP4.5) and its combined action with land-use change conditions (RCP4.5 + RLU). * Streamflow observed at Boadella gauge station. ** Inflow observed at Boadella–Darnius Dam inflow.
Two simulations have been carried out for the period 1992–2011 to assess the effect of vegetation on the flow: the VG simulation, with land-use cover used in the calibration process (Figure 4A), and the RVG simulation, with the land cover shown in Figure 4D, where a revegetation process is assumed. Figure 8 shows the VG and RVG simulations, and it is evident that the reduction in the annual average of the reservoir inflow between VG and RVG simulations (20.18%) is associated with the effect that the revegetation processes have on the flow.
Figure 8.
Simulated annual inflow with actual land use (VG) (in black) and with land-use change scenario (RVG) (in green).
The result of cluster analysis to derive different patterns of the dam management is shown in Figure 9. Three types of management were identified: Optimal (Cluster 1), Mean (Cluster 2), and Critical (Cluster 3), depending on the amount of water available both to satisfy demand and to maintain reservoir levels for the following season. Figure 9 shows the mean monthly regime for inflow (blue line), outflow (red line), storage (light blue bars), and water demand (black dashed line) in hm3. Cluster 1 is characterized by high winter inflow to the reservoir, since the outflow is below the inflow from October to January and is characterized by a rapid filling of the reservoir followed by storage that is maintained at the maximum level for a six-month period (February to July). This management pattern makes it possible to provide enough water to satisfy the water demand by irrigation, urban supply, and tourism in summer months. The pattern belonging to Cluster 2 also reaches the maximum storage of the dam before the summer months; however, due to the inflow being lower and later than it is in Cluster 1, the outflow is maintained at low levels from October to March to allow gradual reservoir filling in order to obtain the water amount needed for the summer. During these years, the summer water demands from different uses are also covered by the reservoir storages. In the third case (Cluster 3), the inflow is very low during the wet period, which leads to the maintenance of a minimum outflow at very low values, just above the water demand requirement to cover summer demands. Although this strategy ensures that water demand is satisfied in the summer, the dam storage is slightly above 20 hm3 at the end of the hydrological year, compromising the water availability at the beginning of the next year.
Figure 9.
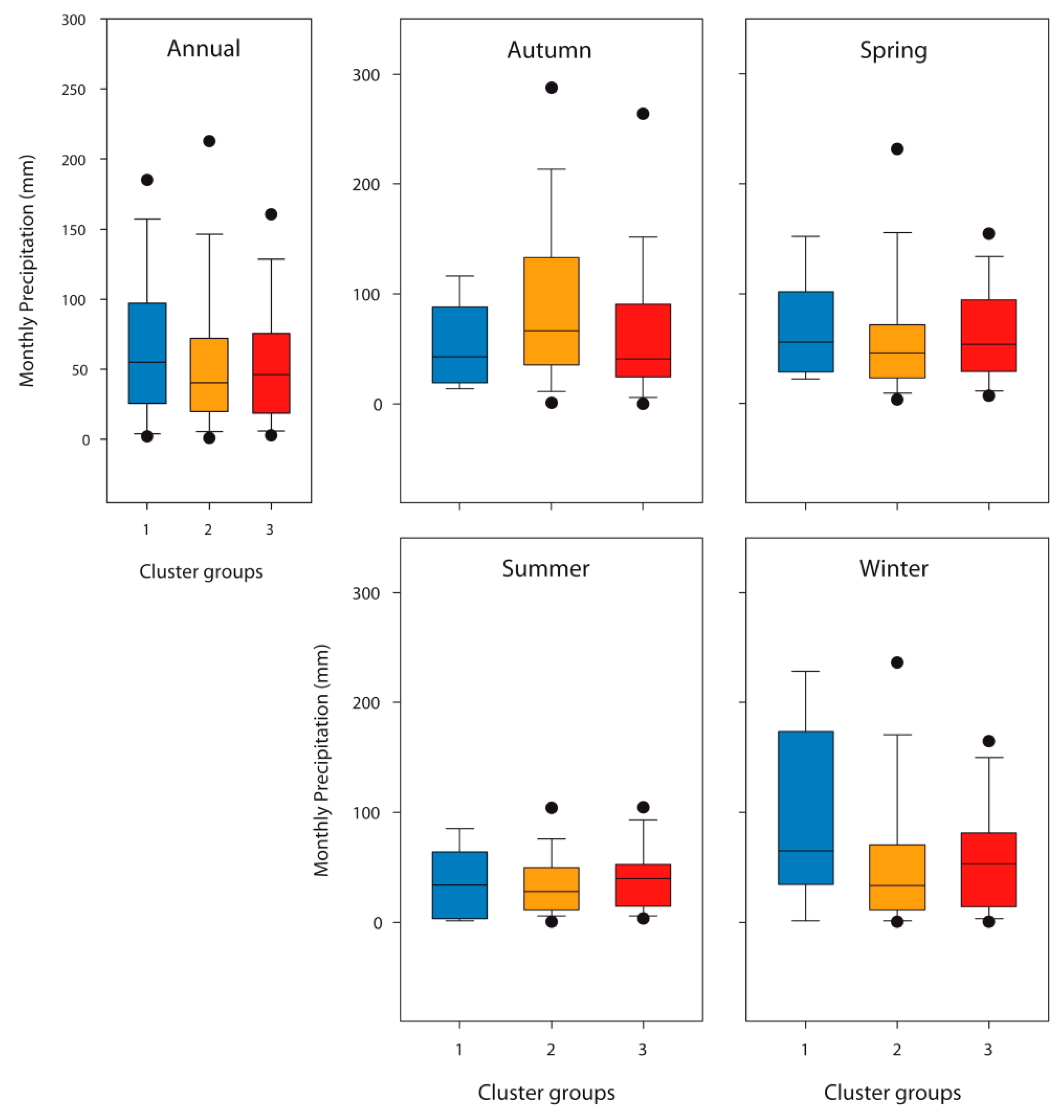
Relationship between Boadella–Darnius dam management strategy and annual and seasonal rainfall observed during the study period (Clusters 1, 2, and 3). Blue line: inflow; red line: outflow; light blue bars: storage; black dashed line: mean monthly water demand regime (2002–2011). Time sequence of the different cluster groups representing dam management strategies (down right).
Figure 9 (down right) shows the temporal distribution of the different cluster groups representative of the dam management strategies. Two main periods are identified: (i) 1971–1995, where the three groups alternated with very few years associated with Cluster 3, and (ii) 1996–2012, where the frequency of the third cluster group has increased and the first management pattern is no longer used. In this period, Clusters 2 and 3 are more frequent and are associated with years with water restrictions for agricultural and human uses [32,66,67,68,69,70,71,72].
Figure 10 plots the annual and seasonal rainfall for the years of each cluster group. In Cluster 1, the quick filling in winter is associated with the rainfall in that season, as in the case of Cluster 2, where there is a clear association between the high autumn inflows with the autumn rainfall. In spring and summer, the rainfall patterns do not show clear differences between the cluster groups. This figure illustrates how rainfall is the main driver of the behavior of different reservoir management practices described before. However, the seasonal precipitation patterns of Cluster 3 (Figure 10) do not fully explain the low levels of inflow shown in Figure 9 (low left). Observing Figure 9 (low right), except for 1972–1974, Cluster 3 always appears after Cluster 2, explaining the importance of the reservoir storages for the following campaigns.
Figure 10.
Annual and seasonal rainfall distributed yearly according to the different cluster groups.
3.2. Simulation of Future Runoff and Implications for Water Management
Table 4 also shows the simulation of dam inflow for the 2012–2050 period under RCP4.5 projections and its combined action with the revegetation land-use scenario (RLU) (RCP4.5 + RLU). The simulation forced by RCP4.5 conditions shows a generalized decrease in annual flow (28%), and similarly under RCP4.5 + RLU (31.1%) suggesting that the decrease in annual flow will continue and that the expected revegetation process may have a direct effect on increasing declines. Thus, comparing the results of both scenarios, RCP4.5 and RCP4.5 + RLU, we see how in winter (41.1–42.1%, respectively), summer (10.9–13.0%, respectively), and autumn (62.9–63.0%, respectively) the declines are slightly higher due to the effect of revegetation. However, the seasonal pattern shows some differences from previous observed trends. Simulations project that spring streamflow will slightly decrease (4.5%), whereas winter and autumn flows will experience the greatest declines (63 and 42.1% respectively) instead of the change in the observed period where the highest decreases have been recorded in summer.
Figure 11 shows the mean monthly dam inflow simulated for the current, short-term, and mid-term future periods, under climate change conditions (RCP4.5, left plot) and under a combined action of climate and land-use change scenarios (RCP4.5 + RLU, right plot). The simulations under climate change conditions revealed a pattern similar to those of the control period (2002–2011) with a general mean decrease of about 10% (spring, summer, and winter) and a greater decrease in autumn for the mid-term period (29.6%). The RCP4.5 + RLU scenario shows a slightly larger decrease in streamflow. The mean decrease in spring, summer, and winter is about 12–13%, while in autumn changes are close to 30% for the period 2041–1050. A smaller decrease is estimated for January (from 3.9% at mid-term RCP4.5 to 8.8% under RCP4.5 + RLU), and there is an increase in January flow (4.9%) for RCP4.5 projections. The January flow increases (and smaller declines) likely reflect the contribution of earlier snowmelt. This trend is also shown in the RCP4.5 + RLU where the streamflow decrease is lower for long-term scenarios (4.4%) in comparison to short-term (8.8%). The highest decrease is in October–November (autumn) in the long term under both scenarios (36.7/26.7% and 34.9/29.6%, respectively). The mean values show that the revegetation processes can accentuate flow decreases, since under the RCP4.5 scenario the decrease is 14.3% and under RCP4.5 + RLU is 17%. Annually, a mean decrease of 11.1 and 14.7% is observed for short-term and mid-term time windows without consideration of land-use changes (RCP4.5). On the simulations under the RCP4.5 + RLU scenario the decrease projected for the same periods is 11.9 and 17% respectively.
Figure 11.
Mean seasonal dam inflow for simulated period for the current, short-term and mid-term future periods under climatic conditions (left) and under combined action of climatic and land-use change conditions (right).
The water management strategies described before may be compromised under the projected scenario for water management. Figure 12 shows observed and projected annual dam inflow for the period 1971–2050, considering both climate and land-use change scenarios. The dotted lines, black for 1971–2011 period and red for 2012–2050, show the average streamflow in each period, with a decrease of 27.7% from the observed period to the simulated one. This decrease is associated with the impact of the RCP4.5 + RLU scenario on streamflow, as explained below, and it could have strong implications on reservoir management in the future.
Figure 12.
Annual dam inflow (hm3) for observed period 1971–2011 (black line) and simulated 2012–2050 (red line). Dashed lines show the average of each period.
In order to understand how the expected decrease in the reservoir inflow may affect its own management, four experiments (management strategies) have been carried out, taking into account the simulated inflow for the period 2021–2050, water demand (WD), ecological flow (E), the sum of both (EWD), and the possibility of reservoir depletion. Strategy A is therefore characterized by the possibility of reservoir depletion and trying to satisfy the EWD demand. Otherwise, the management undertakes the extraction of only the minimum amount of water to meet the minimum ecological flow. In other words, if outflow cannot satisfy EWD, it will only extract E. Management Strategy B is exactly the same as Management Strategy A, but with the limit of the minimum reservoir established at 16,102 hm3 and the 0.05 percentile of the reservoir in the period 1971–2013. Management Strategy C establishes the same minimum reservoir as in Strategy B, but the output is only committed to satisfy the WD, dispensing with E. Thus, in the same way as in Strategy A, if the water output can meet the EWD, then only the WD will be extracted. Strategy D is exactly the same as Strategy C, but it allows reservoir levels to fall below the threshold.
The mean monthly reservoir storage for each of these strategies was calculated together with mean monthly, inflow, outflow, and EWD (Figure 13). In the upper left of each figure, the time series of monthly reservoir storage for the simulation period 2021–2050 is shown. Where there are differences in the minimum reservoir, 0 hm3 (enabling the depletion reservoir) in Strategies A and D and 16 hm3 (avoiding the depletion reservoir) in B and C can be observed. In the strategies in which the reservoir is depleted, the reserves for the following year are below 20 hm3 on average, which implies the need for sufficiently high inputs into the reservoir in the following year to avoid greater differences between EWD and outflow.
Figure 13.
Monthly mean reservoir storage for the simulation period 2021–2050: four experiments (management strategies) in the Boadella–Darnius dam (A) maintaining the outflow to satisfy EWD without limitations in water storage, (B) maintaining the outflow to satisfy EWD avoiding the reservoir depletion, (C) maintaining the outflow to satisfy WD, avoiding the reservoir depletion, and (D) maintaining the outflow to satisfy WD without limitations in water storage.
The pattern shown in Figure 13 is similar across the four strategies. Outflow is relatively low between October and March, which allows for reservoir filling. There is a gradual increase in storage to meet the maximum water demand (EWD) for the month of July. According to the mean regime shown, none of the strategies meet this demand, although there are significant differences between them, as shown in Figure 14. In this figure, we have calculated the difference between the mean monthly outflow and the mean monthly EWD for the period 2021–2050, expressed as the percentage of outflow that satisfies (or not) the EWD. Although there are certain similarities between the four patterns, it is seen, as in the case of Strategy C, that EWD is not satisfied by more than 25% in the months of July and August, while in the other strategies, this value is between −25 and −20% (Strategies B and C) and between −20 and −10% (Strategies A and D). There are also notable differences between Strategies A–B and C–D, since in the first two (A–B) the demand to be satisfied is EWD, while in the other two (C–D) it is WD.
Figure 14.
Mean monthly differences between outflow and EWD (2021–2050) in the four experiments.
In addition, the number of months from 2021 to 2050 in which, in each of the strategies, the outputs cannot satisfy the different types of demand, EWD, WD, and E has been counted. Figure 15 shows how only Strategy A is able to satisfy the ecological flow in most months, and only in August (0.28%) and December (0.56%) could have a problem. The highest percentages of months that cannot meet any of the demands are in autumn (October–January) and summer (June–September). Spring is the season in which, in a greater number of months, all demands can be met, especially in March. This coincides with the time when the inflows are higher, so that the different strategies are able to meet the established demands without too much problem.
Figure 15.
Mean monthly percentage where the different water demands (EWD, WD, and E) are not met in the established strategies (A, B, C, and D).
Although the patterns shown in Figure 15 show a good number of months in which it is difficult to satisfy even the minimum ecological flow, it should be noted that we are talking about a range of non-compliance of between 0.28 and 2.7%, representing a total of 1–10 months.
Similar patterns can be observed between Strategies A and B on the one hand, and Strategies C and D on the other. Between Strategies A and B, a higher percentage is observed in Strategy B, an increase in months in which demands are not met, especially in the EWD of July and August. This is due to the minimum limit established: 16,102 hm3. Between Strategies C and D, there are a greater number of months in which none of the demands can be met. In Strategy C, there are more of such months, so that the depletion of the reservoir can be prevented.
4. Discussion
This work has focused on the effects of climate change, land-use changes, and the combined effect of both in the flow of a mountain basin. The peculiarity of this basin is that it ends up in a reservoir built, mainly, to satisfy the water demand for agricultural and tourist use, both of which have witnessed increased pressure in recent decades and have a marked seasonality. The observed flows, management strategies, and simulated flows have been analyzed under a possible scenario of change in climatic conditions and land use. We aimed at verifying whether current reservoir management patterns will be able to maintain future water demand, ecological flow, and the reservoir level. Many studies have used hydrologic modeling to estimate water management and the impacts of climate change on streamflow in Mediterranean regions [1,16,21,36,49,59]. Nevertheless, few studies have a combined projected streamflow using hydrological modeling with dam operation rules to check possible alternatives under the projected changes in climate, land use, and water demand. Our estimates are consistent with other studies that show a general decrease in runoff in the Mediterranean basin in the last few decades as a consequence of climate change processes but mostly as a consequence of land-use changes. We observed a substantial decrease of water inflows into the dam, which is particularly pronounced in the summer period. Precipitation has showed an important decrease (22.7% from 1995), with strong drought periods recorded during the first decade of the 21st century. Moreover, the increased atmospheric evaporative demand associated with the recorded temperature increase [20] and the decrease of the relative humidity [73] has been very pronounced [73]. The reported changes contributed to an increase in water demand by natural vegetation and crops, reducing water resource availability. Additionally, the natural revegetation process observed since the second half of the twentieth century as a consequence of depopulation and land abandonment [10,13] have reinforced the water demand, contributing to an explanation of the observed strong decrease in streamflow (as shown in Figure 8). The results show a decrease in annual inflow of the order of 20% associated with an increase in forest area (Table 1).
In addition to the decrease in streamflow, the basin shows a dramatic modification of the natural river regimes as a consequence of dam operations. Such changes are also found in many rivers in Spain that are strongly regulated. The main objective of the water regulation by such a dam was to meet the water demand during the summer season, which is characterized by a strong dryness [74]. Before the dam was constructed in 1969, the river flows were characterized by regimes driven by precipitation with maximum values during autumn and spring; however, after the dam was built, the average river regimes changed noticeably, with a maximum river flow peak during summer.
The use of a hydro-ecological model can properly reproduce the observed streamflow variability and simulate streamflow by forcing climate and land cover to change according to future scenarios. Simulated streamflow under the RCP4.5 climate scenario is projected to decrease by 11.1 and 14.7% for 2021–2030 and 2041–2050 with respect to the current climate, respectively. When combining climate and a Revegetation Land Use Scenario (RCP4.5 + RLU), the reduction of river flows is 11.9 and 17% for 2021–2030 and 2041–2050 with respect to current climate and land uses, confirming the direct effect of the vegetation change on river flows. These results in general agree with other studies based on forced hydrological models for the 20th century. A decrease in annual runoff of 13.9% in the Upper Aragon River has been detected [36], and a decrease of 19% has been observed [75]. However, when vegetation and climate scenarios were combined for the Aragon river (Pyrenees) in [36], the impact of changing vegetation was much higher (almost equaling the impact of climate change) as a consequence of the existence of much larger areas where revegetation is highly likely to occur compared to the present study.
Aside from the climate and land-use change, it is expected in the region an increase of the water demand that will reduce water availability [21,46]. The Boadella–Darnius reservoir is the main infrastructure to manage the water resources in the Muga Basin, so the study and knowledge of its management practices are essential to determine which management patterns may be plausible and sustainable in a future with more limited water resources. Our results show that, under the current management strategies, the maintenance of current water demands will not be possible under projected climate and land cover scenarios. Under this perspective, policies on water management must improve the efficiency through methods that ensure water availability for human activity but also for the maintenance of the ecological river flow. Although the construction of dams in the past was a solution for ensuring water supply during drought episodes, nowadays, with increasing water demand, a new water management concept focused on water saving and optimization is needed. Access to water resources in the Mediterranean often involves societal and political tensions, so strategies must be proposed in agreement with the scientific community, policy makers, and stakeholders in order to find sustainable and durable solutions.
5. Conclusions
This study highlights the effects of climate and land-use changes and the combined action on the streamflow of a Mediterranean mountain basin and the conclusions are as follows:
- The use of a hydro-ecological model can properly reproduce the observed streamflow variability.
- The use of a hydro-ecological model to force simulations according to future climate change and land cover scenarios is a good tool in the decision-making process.
- The results show a decrease in flows when future climate and land-use scenarios are considered.
- Current water demand cannot be predictably guaranteed under climate change and land-use projections. The experiments carried out in relation to the reservoir management show that, if the decrease in runoff continues in the future, it would be necessary to review the policies for water management and use.
Author Contributions
J.Z.-M. prepared the manuscript and interpreted the result; S.M.V.-S., J.I.L.-M., C.L.T., F.D.-C. and E.M.-T. gave important advices on methodology and providing suggestions on the revision of the manuscript; Resources, D.P., E.P. and R.S., Funding Acquisition, G.B.C. All authors reviewed the manuscript.
Funding
This research was funded by LIFE Programme| EU LIFE (LIFE12ENV/ES/000536).
Acknowledgments
We would like to thank the Spanish Meteorological State Agency (AEMET), the Meteorologica Service of Catalonia (MeteoCat-SMC), and the Agència Catalana del Aigua (ACA) for providing the climatic and streamflow databases used in this study. This work has been supported by research projects: “LIFE12 ENV/ES/000536-Demonstration and validation of innovative methodology for regional climate change adaptation in the Mediterranean area (LIFE MEDACC)”, financed by the LIFE programme of the European Commission; PCIN-2015-220 and CGL2014-52135-C03-01, financed by the Spanish Commission of Science and Technology and FEDER; IMDROFLOOD, financed by the Water Works 2014, INDECIS, which is part of ERA4CS, an ERA-NET initiated by JPI Climate and also funded by FORMAS (Sweden), DLR(Germany), BMWFW(Austria), IFD (Denmark), MINECO(Spain), and ANR (France), with co-funding by the European Union (Grant 690462).
Conflicts of Interest
The authors declare no conflict of interest.
References
- García-Ruiz, J.M.; López-Moreno, J.I.; Vicente-Serrano, S.M.; Lasanta–Martínez, T.; Beguería, S. Mediterranean water resources in a global change scenario. Earth Sci. Rev. 2011, 105, 121–139. [Google Scholar] [CrossRef]
- Union, P.O. of the E. Water Resources in Europe in the Context of Vulnerability: EEA 2012 State of Water Assessment. Available online: https://publications.europa.eu/en/publication-detail/-/publication/7350bcdf-4c66-4d0e-80e5-b14efe881707/language-en (accessed on 21 August 2018).
- Iglesias, A.; Garrote, L.; Diz, A.; Schlickenrieder, J.; Martin-Carrasco, F. Re-thinking water policy priorities in the Mediterranean region in view of climate change. Environ. Sci. Policy 2011, 14, 744–757. [Google Scholar] [CrossRef]
- Llamas, M.R.; Custodio, E.; de la Hera, A.; Fornés, J.M. Groundwater in Spain: Increasing role, evolution, present and future. Environ. Earth Sci. 2015, 73, 2567–2578. [Google Scholar] [CrossRef]
- Wisser, D.; Frolking, S.; Douglas, E.M.; Fekete, B.M.; Vörösmarty, C.J.; Schumann, A.H. Global irrigation water demand: Variability and uncertainties arising from agricultural and climate data sets. Geophys. Res. Lett. 2008, 35. [Google Scholar] [CrossRef]
- Morote, Á.-F.; Hernández, M.; Rico, A.-M. Causes of domestic water consumption trends in the city of Alicante: Exploring the links between the housing bubble, the types of housing and the socio-economic factors. Water 2016, 8, 374. [Google Scholar] [CrossRef]
- Rico-Amoros, A.M.; Olcina-Cantos, J.; Saurí, D. Tourist land use patterns and water demand: Evidence from the Western Mediterranean. Land Use Policy 2009, 26, 493–501. [Google Scholar] [CrossRef]
- Viviroli, D.; Weingartner, R.; Messerli, B. Assessing the Hydrological Significance of the World’s Mountains. Mt. Res. Dev. 2003, 23, 32–40. [Google Scholar] [CrossRef]
- Viviroli, D.; Archer, D.R.; Buytaert, W.; Fowler, H.J.; Greenwood, G.B.; Hamlet, A.F.; Huang, Y.; Koboltschnig, G.; Litaor, M.I.; López-Moreno, J.I.; et al. Climate change and mountain water resources: Overview and recommendations for research, management and policy. Hydrol. Earth Syst. Sci. 2011, 15, 471–504. [Google Scholar] [CrossRef]
- García-Ruiz, J.M.; López-Moreno, J.I.; Lasanta Martínez, T.; Vicente Serrano, S.M.; González-Sampériz, P.; Valero-Garcés, B.L.; Sanjuán, Y.; Beguería, S.; Nadal-Romero, E.; Lana-Renault, N.; et al. Los efectos geoecológicos del cambio global en el Pirineo Central español: Una revisión a distintas escalas espaciales y temporales. Pirineos 2015, 170. [Google Scholar] [CrossRef]
- García-Ruiz, J.M.; Lana-Renault, N. Hydrological and erosive consequences of farmland abandonment in Europe, with special reference to the Mediterranean region—A review. Agric. Ecosyst. Environ. 2011, 140, 317–338. [Google Scholar] [CrossRef]
- Martínez, T.L. El Paisaje de Campos Abandonados en Cameros Viejo: (Sistema Ibérico, La Rioja); Instituto de Estudios Riojanos: Logroño, España, 2014; ISBN 84-9960-071-9. [Google Scholar]
- Lasanta-Martínez, T.; Vicente-Serrano, S.M.; Cuadrat-Prats, J.M. Mountain Mediterranean landscape evolution caused by the abandonment of traditional primary activities: A study of the Spanish Central Pyrenees. Appl. Geogr. 2005, 25, 47–65. [Google Scholar] [CrossRef]
- Davie, J.C.S.; Falloon, P.D.; Kahana, R.; Dankers, R.; Betts, R.; Portmann, F.T.; Wisser, D.; Clark, D.B.; Ito, A.; Masaki, Y.; et al. Comparing projections of future changes in runoff from hydrological and biome models in ISI-MIP. Earth Syst. Dynam. 2013, 4, 359–374. [Google Scholar] [CrossRef]
- Betts, R.A.; Alfieri, L.; Bradshaw, C.; Caesar, J.; Feyen, L.; Friedlingstein, P.; Gohar, L.; Koutroulis, A.; Lewis, K.; Morfopoulos, C.; et al. Changes in climate extremes, fresh water availability and vulnerability to food insecurity projected at 1.5 °C and 2 °C global warming with a higher-resolution global climate model. Phil. Trans. R. Soc. A 2018, 376, 20160452. [Google Scholar] [CrossRef] [PubMed]
- López-Moreno, J.I.; Beniston, M.; García-Ruiz, J.M. Environmental change and water management in the Pyrenees: Facts and future perspectives for Mediterranean mountains. Glob. Planet. Chang. 2008, 61, 300–312. [Google Scholar] [CrossRef]
- Polade, S.D.; Gershunov, A.; Cayan, D.R.; Dettinger, M.D.; Pierce, D.W. Precipitation in a warming world: Assessing projected hydro-climate changes in California and other Mediterranean climate regions. Sci. Rep. 2017, 7, 10783. [Google Scholar] [CrossRef] [PubMed]
- Eliades, M.; Bruggeman, A.; Lubczynski, M.W.; Christou, A.; Camera, C.; Djuma, H. The water balance components of Mediterranean pine trees on a steep mountain slope during two hydrologically contrasting years. J. Hydrol. 2018, 562, 712–724. [Google Scholar] [CrossRef]
- Wang, K.; Liang, S. Global atmospheric downward longwave radiation over land surface under all-sky conditions from 1973 to 2008. J. Geophys. Res. 2009, 114. [Google Scholar] [CrossRef]
- Vicente-Serrano, S.M.; Zabalza-Martínez, J.; Borràs, G.; López-Moreno, J.I.; Pla, E.; Pascual, D.; Savé, R.; Biel, C.; Funes, I.; Azorin-Molina, C.; et al. Extreme hydrological events and the influence of reservoirs in a highly regulated river basin of northeastern Spain. J. Hydrol. Reg. Stud. 2017, 12, 13–32. [Google Scholar] [CrossRef]
- Morán-Tejeda, E.; Lorenzo-Lacruz, J.; López-Moreno, J.I.; Rahman, K.; Beniston, M. Streamflow timing of mountain rivers in Spain: Recent changes and future projections. J. Hydrol. 2014. [Google Scholar] [CrossRef]
- Koutroulis, A.G.; Grillakis, M.G.; Daliakopoulos, I.N.; Tsanis, I.K.; Jacob, D. Cross sectoral impacts on water availability at +2 °C and +3 °C for east Mediterranean island states: The case of Crete. J. Hydrol. 2016, 532, 16–28. [Google Scholar] [CrossRef]
- Harrison, P.A.; Holman, I.P.; Cojocaru, G.; Kok, K.; Kontogianni, A.; Metzger, M.J.; Gramberger, M. Combining qualitative and quantitative understanding for exploring cross-sectoral climate change impacts, adaptation and vulnerability in Europe. Reg. Environ. Chang. 2013, 13, 761–780. [Google Scholar] [CrossRef]
- Hanasaki, N.; Fujimori, S.; Yamamoto, T.; Yoshikawa, S.; Masaki, Y.; Hijioka, Y.; Kainuma, M.; Kanamori, Y.; Masui, T.; Takahashi, K.; et al. A global water scarcity assessment under Shared Socio-economic Pathways & ndash; Part 1: Water use. Hydrol. Earth Syst. Sci. 2013, 17, 2375–2391. [Google Scholar] [CrossRef]
- Villar-Navascués, R.A.; Pérez-Morales, A. Factors Affecting Domestic Water Consumption on the Spanish Mediterranean Coastline. Prof. Geogr. 2018, 70, 513–525. [Google Scholar] [CrossRef]
- Grillakis, M.G.; Koutroulis, A.G.; Seiradakis, K.D.; Tsanis, I.K. Implications of 2 °C global warming in European summer tourism. Clim. Serv. 2016, 1, 30–38. [Google Scholar] [CrossRef]
- Koutroulis, A.G.; Papadimitriou, L.V.; Grillakis, M.G.; Tsanis, I.K.; Wyser, K.; Betts, R.A. Freshwater vulnerability under high end climate change. A pan-European assessment. Sci. Total Environ. 2018, 613–614, 271–286. [Google Scholar] [CrossRef] [PubMed]
- Ministerio de Obras Públicas (MOPU). Inventario de Presas Españolas 1986; Dirección General de Obras Hidráulicas, Centro de Publicaciones, Secretaría General Técnica, Ministerio de Obras Públicas y Urbanismo: Madrid, Spain, 1988; p. 95. [Google Scholar]
- Santos, A.O. De aguas, tierras y políticas hidráulicas en la España contemporánea. Vínculos Historia 2012, 1, 73–94. [Google Scholar]
- Desarrollo, Situación Actual y Perspectivas de Futuro de Las Presas en España. Available online: https://www.miteco.gob.es/gl/agua/temas/seguridad-de-presas-y-embalses/desarrollo/default.aspx (accessed on 1 October 2018).
- Batalla, R.J.; Gómez, C.M.; Kondolf, G.M. Reservoir-induced hydrological changes in the Ebro River basin (NE Spain). J. Hydrol. 2004, 290, 117–136. [Google Scholar] [CrossRef]
- Bayés Bruñol, C.; Ribas Palom, A.; Saurí Pujol, D. Sequías y prensa regional en la cuenca del río Muga (Girona). Geographicalia 2016, 123. [Google Scholar] [CrossRef]
- Williams, G.P.; Wolman, M.G. Downstream Effects of Dams on Alluvial Rivers; United States Government Printing Office: Washington, DC, USA, 1984. [Google Scholar]
- Döll, P.; Fiedler, K.; Zhang, J. Global-scale analysis of river flow alterations due to water withdrawals and reservoirs. Hydrol. Earth Syst. Sci. 2009, 13, 2413–2432. [Google Scholar] [CrossRef]
- Aus der Beek, T.; Flörke, M.; Lapola, D.M.; Schaldach, R.; Voß, F.; Teichert, E. Modelling historical and current irrigation water demand on the continental scale: Europe. Adv. Geosci. 2010, 27, 79–85. [Google Scholar] [CrossRef]
- López-Moreno, J.I.; Zabalza, J.; Vicente-Serrano, S.M.; Revuelto, J.; Gilaberte, M.; Azorin-Molina, C.; Morán-Tejeda, E.; García-Ruiz, J.M.; Tague, C. Impact of climate and land use change on water availability and reservoir management: Scenarios in the Upper Aragón River, Spanish Pyrenees. Sci. Total Environ. 2014, 493, 1222–1231. [Google Scholar] [CrossRef] [PubMed]
- I Pujol, D.S.; Pujolar, M.V.; Palom, A.R. Gestión del agua y conflictividad social en la cuenca del río Muga (Alt Empordá). Geographicalia 2000, 59–76. [Google Scholar]
- Bernils, J.M. Los riegos del Ampurdán. Revista de Gerona 1963, 25, 12–27. [Google Scholar]
- Institut d’Estadística de Catalunya. Available online: https://www.idescat.cat/?lang=es (accessed on 1 July 2018).
- Martín-Vide, J. Tercer Informe Sobre el Canvi Climàtic a Catalunya; Institut d’Estudis Catalans i Generalitat de Catalunya: Barcelona, Spain, 2016; ISBN 978-84-393-9448-8. [Google Scholar]
- Vicente-Serrano, S.M.; Beguería, S.; López-Moreno, J.I.; García-Vera, M.A.; Stepanek, P. A complete daily precipitation database for northeast Spain: Reconstruction, quality control, and homogeneity. Int. J. Clim. 2010, 30, 1146–1163. [Google Scholar] [CrossRef]
- Mestre, O.; Domonkos, P.; Picard, F.; Auer, I.; Robin, S.; Lebarbier, E.; Böhm, R.; Aguilar, E.; Guijarro, J.A.; Vertacnik, G.; et al. HOMER: A homogenization software—Methods and applications. Idöjárás 2013, 117, 47–67. [Google Scholar]
- Caussinus, H.; Mestre, O. Detection and correction of artificial shifts in climate series. J. R. Stat. Soc. Ser. C (Appl. Stat.) 2004, 53, 405–425. [Google Scholar] [CrossRef]
- Vincent, L.A.; Zhang, X.; Bonsal, B.R.; Hogg, W.D. Homogenization of Daily Temperatures over Canada. J. Clim. 2002, 15, 1322–1334. [Google Scholar] [CrossRef]
- IPCC Fifth Assessment Synthesis Report. Available online: http://ar5-syr.ipcc.ch/ (accessed on 21 August 2018).
- López-Moreno, J.I.; Beguería, S.; García-Ruiz, J.M. The Management of a Large Mediterranean Reservoir: Storage Regimens of the Yesa Reservoir, Upper Aragon River Basin, Central Spanish Pyrenees. Environ. Manag. 2004, 34, 508–515. [Google Scholar] [CrossRef] [PubMed]
- Documento Técnico SIOSE 2015. Available online: http://www.siose.es/SIOSEtheme-theme/documentos/pdf/Doc_tec_SIOSE2011_v1.1.pdf (accessed on 1 October 2018).
- Bauló, U.; Miquel, J.; Rius, J.; Poch, R.M. Monitorización de los cambios de uso del suelo en la cabecera de cuenca de la Ribera Salada mediante fotografía aérea y SIG (El Solsonés, Lleida, España). Pirineos 1999, 153–154, 101–122. [Google Scholar]
- Gallart, F.; Llorens, P. Catchment management under environmental change: Impact of land cover change on water resources. Water Intern. 2003, 28, 334–340. [Google Scholar] [CrossRef]
- Poyatos, R.; Latron, J.; Llorens, P. Land use and land cover change after agricultural abandonment: The case of a Mediterranean mountain area (Catalan Pre-Pyrenees). Mt. Res. Dev. 2003, 23, 362–368. [Google Scholar] [CrossRef]
- Vicente-Serrano, S.M.; Lasanta, T.; Romo, A. Analysis of spatial and temporal evolution of vegetation cover in the Spanish Central Pyrenees: Role of human management. Environ. Manag. 2004, 34, 802–818. [Google Scholar] [CrossRef] [PubMed]
- Lasanta, T.; Nadal-Romero, E.; Errea, M.P. The footprint of marginal agriculture in the Mediterranean mountain landscape: An analysis of the Central Spanish Pyrenees. Sci. Total Environ. 2017, 599–600, 1823–1836. [Google Scholar] [CrossRef] [PubMed]
- Gracia, C.; Ibáñez, J.J.; Burriel, J.A.; Mata, T.; Vayreda, J. Inventari Ecològic i Forestal de Catalunya—IEFC. Available online: http://www.creaf.uab.es/iefc/ (accessed on 21 August 2018).
- Panos Paganos The European soil database. GEO Connexion 2006, 5, 32–33.
- Panagos, P.; Van Liedekerke, M.; Jones, A.; Montanarella, L. European Soil Data Centre: Response to European policy support and public data requirements. Land Use Policy 2012, 29, 329–338. [Google Scholar] [CrossRef]
- Soil Map (Muga Basin). Available online: http://medacc-life.eu/sites/medacc-life.eu/files/platform_data/suelos_muga.pdf (accessed on 1 July 2018).
- Tague, C.L.; Band, L.E. RHESSys: Regional Hydro-Ecologic Simulation System—An Object-Oriented Approach to Spatially Distributed Modeling of Carbon, Water, and Nutrient Cycling. Earth Interact. 2004, 8, 1–42. [Google Scholar] [CrossRef]
- Godsey, S.E.; Kirchner, J.W.; Tague, C.L. Effects of changes in winter snowpacks on summer low flows: Case studies in the Sierra Nevada, California, USA. Hydrol. Process. 2014, 28, 5048–5064. [Google Scholar] [CrossRef]
- Morán-Tejeda, E.; Zabalza, J.; Rahman, K.; Gago-Silva, A.; López-Moreno, J.I.; Vicente-Serrano, S.; Lehmann, A.; Tague, C.L.; Beniston, M. Hydrological impacts of climate and land-use changes in a mountain watershed: Uncertainty estimation based on model comparison. Ecohydrology 2015, 8, 1396–1416. [Google Scholar] [CrossRef]
- Vicente-Serrano, S.M.; Camarero, J.J.; Zabalza, J.; Sangüesa-Barreda, G.; López-Moreno, J.I.; Tague, C.L. Evapotranspiration deficit controls net primary production and growth of silver fir: Implications for Circum-Mediterranean forests under forecasted warmer and drier conditions. Agric. For. Meteorol. 2015, 206, 45–54. [Google Scholar] [CrossRef]
- Mohammed, I.N.; Tarboton, D.G. Simulated watershed responses to land cover changes using the Regional Hydro-Ecological Simulation System. Hydrol. Process. 2014, 28, 4511–4528. [Google Scholar] [CrossRef]
- Gupta, H.V.; Sorooshian, S.; Yapo, P.O. Toward improved calibration of hydrologic models: Multiple and noncommensurable measures of information. Water Resour. Res. 1998, 34, 751–763. [Google Scholar] [CrossRef]
- Yapo, P.O.; Gupta, H.V.; Sorooshian, S. Multi-objective global optimization for hydrologic models. J. Hydrol. 1998, 204, 83–97. [Google Scholar] [CrossRef]
- Moriasi, D.N.; Arnold, J.G.; van Liew, M.W.; Bingner, R.L.; Harmel, R.D.; Veith, T.L. Model Evaluation Guidelines for Systematic Quantification of Accuracy in Watershed Simulations. Trans. ASABE 2007, 50, 885–900. [Google Scholar] [CrossRef]
- Nash, J.E.; Sutcliffe, J.V. River flow forecasting through conceptual models part I—A discussion of principles. J. Hydrol. 1970, 10, 282–290. [Google Scholar] [CrossRef]
- Bague, G. La Generalitat Extiende Las Restricciones Por La Sequía a La Muga. El Pais 2005. Available online: https://elpais.com/diario/2005/08/17/catalunya/1124240838_850215.html (accessed on 1 July 2018).
- La Sequía se Ceba en el Alt Empordà. Available online: https://elpais.com/diario/2008/06/05/catalunya/1212628038_850215.html (accessed on 1 July 2018).
- Carles Bayés Bruñol Caracterització geogràfica de les sequeres a la conca del riu Muga (1950–2001). Treballs de la Societat Catalana de Geografìa 2005, 58, 7–33.
- David Pavón Gamero L’embassament de Boadella i els usos de l’aigua a la conca de la Muga: Quaranta anys d’història (1969–2009). Estudis d’Història Agrària 2012, 24, 269–291.
- La Sequía Obliga a 19 Municipios Catalanes a Abastecerse de Agua con Camiones Cisterna. Available online: https://www.abc.es/hemeroteca/historico-18-01-2007/abc/Sociedad/la-sequia-obliga-a-19-municipios-catalanes-a-abastecerse-de-agua-con-camiones-cisterna_163977104111.html (accessed on 1 July 2018).
- Els Pagesos Reclamen Solucions a Les Restriccions de Reg a La Conca de La Muga. Available online: https://www.naciodigital.cat/ecodiari/noticia/6199/pagesos/reclamen/solucions/restriccions/reg/conca/muga/&mobil=1 (accessed on 1 July 2018).
- Los Aiguamolls de l’Empordà Sufren La Peor Sequía del Siglo. Available online: https://elpais.com/ccaa/2018/02/03/catalunya/1517683767_589242.html (accessed on 1 July 2018).
- Vicente-Serrano, S.M.; Azorin-Molina, C.; Sanchez-Lorenzo, A.; Morán-Tejeda, E.; Lorenzo-Lacruz, J.; Revuelto, J.; López-Moreno, J.I.; Espejo, F. Temporal evolution of surface humidity in Spain: Recent trends and possible physical mechanisms. Clim. Dyn. 2014, 42, 2655–2674. [Google Scholar] [CrossRef]
- Marcos, R.; Llasat, M.C.; Quintana-Seguí, P.; Turco, M. Seasonal predictability of water resources in a Mediterranean freshwater reservoir and assessment of its utility for end-users. Sci. Total Environ. 2017, 575, 681–691. [Google Scholar] [CrossRef] [PubMed]
- Lorenzo-Lacruz, J.; Vicente-Serrano, S.M.; López-Moreno, J.I.; Morán-Tejeda, E.; Zabalza, J. Recent trends in Iberian streamflows (1945–2005). J. Hydrol. 2012, 414–415, 463–475. [Google Scholar] [CrossRef]
© 2018 by the authors. Licensee MDPI, Basel, Switzerland. This article is an open access article distributed under the terms and conditions of the Creative Commons Attribution (CC BY) license (http://creativecommons.org/licenses/by/4.0/).














