Abstract
Microalgae offer a promising solution for efficiently treating high-nitrogen wastewater and recovering valuable nutrients. To optimize microalgae growth and nutrient assimilation, case-dependent studies are essential to demonstrate the process’s potential. This study aimed to evaluate the treatment capacity of high-nitrogen anaerobic digestion effluent as a nutrient source for a C. sorokiniana microalgal culture in a tubular photobioreactor. The study had two primary objectives: to assess how the concentration and composition of the digestate influence microalgae growth, and to identify the preferred nitrogen forms assimilated by the microalgae during long-term, continuous operation. A 20 L tubular airlift bioreactor was constructed and used in batch mode; various digestate concentrations were examined with ammonia nitrogen levels reaching to 160 mg/L. These experiments revealed a biomass growth rate of up to 130 mg/L/d and an ammonia nitrogen assimilation rate ranging from 8.3 to 12.5 mg/L/d. The presence of phosphorous proved essential for microalgae growth, and the growth entered a stationary phase when the initial phosphorous was fully assimilated. A nitrogen-to-phosphorous (N/P) ratio of 10 supported efficient species growth. While ammonia was the preferred nitrogen form for microalgae, they could also utilize alternative forms such as organic and nitrate nitrogen, depending on the specific digestate properties. The results from the continuous photobioreactor operation confirmed the findings from the batch mode, especially regarding the initial nitrogen and phosphorous content. An important condition for nearly complete ammonia removal was the influent dilution rate, to balance the nitrogen assimilation rate. Moreover, treated effluent was employed as dilution medium, contributing to a more environmentally sustainable water management approach for the entire process, at no cost to the culture growth rate.
1. Introduction
Wastewater management is becoming an issue of strategic importance, as population growth and rapid industrialization have eventually resulted in severe quantitative and qualitative threats to water resources. Conventional wastewater treatment plants are primarily designed to degrade organic compounds and ensure effluent quality in line with legislative guidelines. However, due to stricter discharge requirements aiming to prevent eutrophication and the worldwide shortage of nutrients, considerable efforts are focusing on the recovery and reuse of nitrogen and phosphorous from effluents, instead of their removal from wastewater [1]. According to the recent suggestion toward the recast of the 91/271 Urban Wastewater Treatment Directive [2], societal challenges emerged through the adoption of European Green Deal agreement, aiming to turn wastewater treatment processes into more circular systems, by focusing on nitrogen and phosphorous recovery. Toward that direction, the utilization of microalgae for bioremediation of wastewaters with the concomitant production of biomass has received growing attention due to its multiple benefits including: (1) simultaneous efficient N and P recovery via microalgal photosynthetic assimilation, (2) cost efficiency and environmentally sustainable operation since no additional chemicals are required, while oxygen formation, carbon dioxide bio-fixation, and metal ion reduction can be carried out at the same time, and (3) potential utilization of the harvested microalgal biomass for production of food, animal feed, biofuels, biofertilizers, and other sustainable bio-products [3,4,5].
Although considerable literature has been presented on the treatment of various wastewater streams by microalgae, the use of anaerobic digestion effluents (ADEs) derived from biogas plants as nutrient source is rather less explored [3,6]. Valorizing the nutrients in ADEs through the microalgae biomass production enables the sustainable management of these effluents, as the use of digestates in agriculture is currently limited due to nitrogen surplus and low annual loading thresholds: EU Regulation 2092/91 strictly limits the input of farmyard manure and residues to a maximum level of 170 kg N/ha/year [7]. However, the high level of ammonium nitrogen in these effluents, their opaqueness, and the highly variable chemical composition constitute major bottlenecks, making often ADEs unfavorable cultivation media for microalgae systems with unforeseen effects in cells composition [8].
The variation in the composition of ADEs from biogas plants treating livestock wastes primarily stems from the different raw materials employed in the AD process, the availability and the seasonality of the feedstocks, or the different animal diets adopted at each livestock plant [8]. Therefore, before implementing a full-scale microalgae process for ADE treatment, it is advisable to conduct an extensive case-dependent pilot scale study to identify an efficient operational regime. This approach ensures a consistent microalgae-based treatment process that can accommodate the great variation in effluent properties. On the other hand, appropriate dilution is necessary to eliminate the inherent coloring of ADEs and adjust the ammonia nitrogen concentration, which often exceeds 3 g/L, to acceptable levels. Nevertheless, effluent dilution to receive a feedstock for the microalgae cultivation with desired nitrogen content might require large volumes of water with certain quality, increasing thus the water footprint of the entire process. To mitigate increased water demand, especially in continuous microalgae cultivation, simultaneous recycling, and reuse of the treated effluent from the process can be employed [9,10].
Cultivating microalgae in continuous mode within photobioreactors is an aspirational approach to enhance productivity in microalgae cultivation processes. Extensive research has been dedicated to investigating microalgae cultivation using wastewater as growth medium under various operation modes including batch-wise, fed-batch, semi-continuous and continuous [11]. Nonetheless, most reports predominantly focus on batch and fed-batch cultivations. Despite the advantages of batch operation, such as ease of handling and low installation costs, it is not a practical process at full scale: important downtime (unproductive time) is required for reactor cleaning and startup between runs, which increases the demand for labor, water, and chemicals [12]. In commercial-scale production systems, long operation periods under optimum conditions are desired to ensure high biomass productivity and the economic feasibility of the process. Thus, exploring the potential of continuous microalgae cultivation using wastewater of variable composition as growth medium is of crucial importance for the establishment of an efficient and viable microalgae-wastewater treatment technology.
Furthermore, the use of anaerobic digestate as a low-cost nutrient source for microalgae growth represents a challenging approach, requiring considerable efforts for the selection of suitable microalgae strains and the implementation of appropriate operation conditions to efficiently recover nutrients and promote biomass production. In a laboratory study, Chlorella sorokiniana demonstrated superior performance in growing in diluted anaerobic digestate, showing a high nitrogen removal rate [13].
This study assessed the capability of the microalgae strain Chlorella sorokiniana for bioremediating anaerobic digestion effluents within an airlift tubular photobioreactor (ATPBR), in batch and continuous modes. Specific objectives included the investigation of the effect of initial nitrogen concentration and chemical composition of the digestate on microalgae growth, the study of nutrient assimilation rates, the identification of potential requirements for external nutrient sources to optimize cultivation, and the monitoring of nitrogen forms utilized by the species. The overarching goal was to demonstrate the continuous cultivation of the certain species in anaerobic digestate, evaluate the method’s performance potential and pinpoint critical operational conditions, to justify its feasibility for long operation periods.
2. Materials and Methods
2.1. Modular Photobioreactor Design
The study of microalgae cultivation took place in a horizontal airlift tubular photobioreactor (ATPBR) with a total working volume of 20 L, designed to facilitate culture circulation solely through air supply, without the use of external pumps. The system was constructed by 36 mm ID polymethyl methacrylate tubes (PMMA), according to the design suggested by Molina et al. [14]. This photobioreactor type has been used by several authors using artificial culture medium, or in its vertical formulation, for wastewater treatment [14,15].
The choice of tubular photobioreactor arrangement for bioremediation of ADEs constitutes the ideal geometry, permitting efficient penetration of the available light in all areas of the photosynthetic part and its successful utilization by microalgae cells, given the bearing turbidity/opaqueness of digestate. In addition, the airlift device ensures the circulation of the culture in the tubular part where photosynthesis takes place (solar radiation receiving part), and the removal of the excess dissolved oxygen in the degasser section produced during photosynthesis [14]. A pump is not required to circulate the culture and the desired liquid velocity is achieved exclusively via air supply.
The constructed system consisted of six 2 m long horizontal tubes connected through appropriate elbows, representing the light receiving part, a 2 L degasser placed 2 m higher than the horizontal unit level, and the interconnecting riser/downcomer tubes as shown in Figures S1 and S2. The degasser was constructed from 1 cm thick PMMA layers, with a 60° bottom slope for the settling and recirculation of biomass. The ratio of riser/downcomer lengths was 1.14 to ensure smooth nutrients flow at the system [14]. The volume distribution of the aqueous content in the different parts of the reactor corresponded to 18 L in the tubular part, including the light receiver and the downcomer-riser tubes, and 2 L in the degasser. With the selected configuration, the reactor dark zone represented less than 12% of the total volume of the unit [14]. Turbulent flow is ensured, given a Reynold number exceeding 3000.
An air compressor, connected to the lower part of the riser was used to supply 10 L/min of air required for the recirculation of the liquid in the reactor at 0.5 m/s. In addition, CO2 was supplied into the system at constant flow of 85 mL/min. Cool white LED strips (11 W/m) were used as light source placed on a board above the horizontal part of the reactor, providing a total intensity of 7000 lux on the surface of the tubes. A timer was used to adjust the photoperiod during the experiments to 16:8 h light: dark. The whole structure was installed into a constant temperature room, achieved by an air-conditioning system set at 25 °C.
The reactor was equipped with four in-line sensors that provided real-time measurements, including:
- A pH electrode located at the downcomer tube;
- Two dissolved oxygen electrodes (Greisinger OXY 3610 MP), placed at the riser before the air supply port and close to the endpoint of the downcomer prior the horizontal unit;
- A K-type temperature sensor placed at the downcomer.
All sensors were connected to a controller (PLC) and a data logger, serving as the monitoring and control unit.
2.2. Culture Media and PBR Operation
For the airlift photobioreactor studies, about 20 L of digestate samples were collected from the exit of a 1 MWel biogas plant, receiving waste from animal livestock production. The sample was immediately centrifuged at 5000× g for 10 min, filtered (Whatman Inc., Piscataway, NJ, USA, 150 mm, Grade 1, pore size 11 μm) and stored at −20 °C to avoid change of wastewater composition.
C. sorokiniana employed in this work isolated from the particular anaerobic digestion effluent according to the procedure described in a previous study [13]. Microalgae were cultured at 25 ± 2 °C in 2 L Erlenmeyer flasks in an incubating room under 1500 lux illumination, using a 16 h lighting period. Stock cultures were regenerated every 15 days in new flasks by inoculating fresh medium with the 15-day-old pre-culture at a volume ratio of approximately 1/10. The maintenance and regeneration of the stock cultures ensured the inoculation of all main cultures with a cell population of roughly the same physiology state and metabolic activity. All stock cultures were grown and maintained in BG-11 medium, containing nutrients (in g/L): NaNO3 1.5, K2HPO4·3H2O 0.04, MgSO4·7H2O 0.075, CaCl2·2H2O 0.036, citric acid 0.006, ammonium ferric citrate 0.006, Na2EDTA 0.001, Na2CO3 0.02; and trace elements (in mg/L): H3BO3 2.86, MnCl2·4H2O 1.81, ZnCl2 0.222, Na2MoO4·2H2O 0.391, CoCl·6H2O 0.05, CuSO4·5H2O 0.079. All nutrients and glasses were autoclaved at 121 °C for 20 min to prevent contamination at the early growth stage. Ammonium ferric citrate and trace elements solutions were filter sterilized (Whatman PTFE syringe filters, pore size 0.2 m).
Prior to reactor startup, cleaning of the system was carried out using 60 mL of 12% wt. sodium hypochlorite (NaClO) solution in 18 L tap water. The disinfectant solution was allowed to circulate in the entire unit for at least 48 h, following its removal by rinsing with tap water at least three times. In certain cases, the photobioreactor was disassembled and cleaned to avoid potential contamination of inner parts.
After cleaning, the reactor was filled with deionized water and ADE at volume ratios defined in each experimental study aiming to elaborate a feedstock with desired concentration of nutrients. At the following stage, air was supplied at the set flowrate, while monitoring of the medium properties including temperature (T), pH, and DO concentration was conducted. As soon as the operation conditions were stabilized, about 1.5 to 2 L of the containing solution was removed from the system and replaced by the same amount of preculture. Under these conditions, inoculum volume accounted for about 10% of the total working volume of the bioreactor while the initial number of cells was approximately 4,500,000 cells/mL. The operation of the reactor was then continuously monitored, while culture samples were received at certain times and were analyzed according to the procedure presented in the following paragraph.
Microalgae biomass received from the photobioreactor was harvested through filtration in a 0.4 μm ultrafiltration membrane (Kubota—Figure S3). The A4 shaped membrane was immersed in a 5 L PMMA tank downstream of the unit, filled with the reactor content. A peristaltic pump (harvesting pump, Shenghen LabV1, Shenghen pump yz1515x), connected to the membrane effluent port, was used to filtrate the liquid through membrane pores, while the biomass was concentrated in the membrane vessel. The configuration of the membrane system coupled to the photobioreactor is shown in Figure S4. In addition to batch operation described above, the photobioreactor could be operated in continuous mode by using the same peristaltic pump for the continuous addition of substrate at the horizontal part of the system. At that time, an equal amount of the content was overflowed from the degasser and fed to the membrane tank.
2.3. Analytical Measurements
Microalgae culture growth and the respective assimilation of nutrients were monitored by daily collection of samples from the reactor content. Optical density (OD) at 600 nm was measured using a UV-vis spectrophotometer (DR 3900, HACH). Determination of the biomass concentration, measured as dry cell weight (DCW), was carried out by filtering 15–40 mL of sample cultures through a pre-weighted glass microfiber filter (Whatman 934-AH, pore diameter 0.2 μm), dried at 50 °C overnight, and weighted. Microscopic observations of the culture were carried out using an optical microscope (Axion Star, Zeiss), to monitor the cells’ physiology and health status.
The concentrations of ammonium nitrogen (N-NH4), nitrate nitrogen (N-NO3), total nitrogen (TN) soluble phosphorus (P-PO4) and Chemical Oxygen Demand (COD) in the aqueous samples were determined using standard HACH cuvette tests in a UV-Vis spectrophotometer (DR 3900, HACH). Characterization of digestate in macronutrients and heavy metals was performed via Atomic Absorption Spectroscopy (AAS) (Shimadzu, AA-7000). All measurements were carried out in replicates and average values are presented in this work.
2.4. Estimation of Kinetic Parameters
During the batch operation of the photobioreactor, the net amounts of the produced microalgae biomass (DCWp, g/L), the average productivity (AP, mg/L/day), the nutrient recovery efficiency (REi, %) and the nutrient recovery rate (RRi, mg/L/d) were calculated according to the following equations:
where CI,i and CF,i correspond to the ‘i’ nutrient concentration (mg/L) in the culture medium at the beginning and at the end of a specific period (or the day that the measured concentration is zeroed), respectively; Δt (day) is the elapsed time of a specific period, and DCWF and DCWI represent the biomass concentrations at the corresponding time (Final and Initial).
During continuous operation, the biomass production rate (PR, mg/L/day), the nutrient recovery rate (RRi, mg/L/day), and input rate (IRi, mg/L/day) were calculated according to the following equations:
where DCWI and DCWF (mg/L) represent the biomass concentrations at the beginning and at the end of a specific time period, DCWC (mg/L) the value of dry cell mass withdrawn from the bioreactor (overflow), DCWΕ (mg/L) the increase in the biomass concentration due to condensation, CI,i and CF,i correspond to the ‘i’ nutrient concentration (mg/L) in the culture medium at the start and at the end of a specific time period (or the day that the measured concentration is zeroed), CC,I (mg/L) the concentration of the corresponding component added to the culture at a certain time, CΕ,i (mg/L) the increase in the concentration of the corresponding component due to condensation, IRADE (mL/min) the input rate of the ADE into the reactor, Ci,o (mg/L) the concentration of the corresponding component in the ADE, VI (L) the volume of the bioreactor, HF and HI (h) the final and the initial time slots during a specific period, and Χ (h) the time duration that continuous operation was turned off (8 h darkness on a daily basis).
It should be noted that the average PR and RR values were calculated during the exponential phase of microalgae growth.
2.5. Statistical Analysis
One-way analysis of variance (ANOVA) was applied to determine whether there were any statistically significant differences between variables in Minitab (Minitab LLC, State College, PA, USA). The significance of differences between the analyzed variables was determined with a Tukey’s test. In all of the tests, the adopted level of significance was p < 0.05.
3. Results and Discussion
3.1. Properties of Medium Substrate
The aim of the present work was the examination of the growth conditions of the microalgae strain, C. sorokiniana, using anaerobic digestate as nutrient feedstock, in an ATPBR unit. The particular effluent was collected from the exit of a full-scale anaerobic digestion unit and a great variation of its properties was expected, as a result of the different residues fed to the biogas plant and the various operation conditions applied. Table 1 summarizes the physicochemical properties of two raw ADE samples collected at different days, and their corresponding dilutions used as culture media in this study. For the sake of comparison, the composition of the standard culture medium, BG-11, is included in the table.
Table 1.
Composition of nutrient media used in the present study.
Ammonia nitrogen concentration in both batches of ADE exceeded 2 g/L because of a large percentage of poultry manure in the residues fed to the biogas plant. The inhibiting action of ammonia nitrogen at high concentrations is well known [13]; therefore, prior to using the respective streams directly as culture medium for the C. sorokiniana cultivation, two levels of dilution were tested, i.e., 3% and 5% for the first ADE batch and 5% and 7% for the second one, reducing the ammonia nitrogen concentration down to 107 or 175.4 and 115 or 150 mg/L, respectively. Although nitrogen in BG-11 is exclusively in the form of nitrate salt, nitrogen was measured in various forms in ADEs, mostly corresponding to ammonia, and to nitrates and organic nitrogen in substantially lower concentrations. Regarding phosphorous availability, both the raw effluents and consequently the diluted ones presented relatively low phosphate concentrations, resulting in N/P ratios considerably higher than the reported optimum limits [16].
3.2. Batch Kinetic Studies of C. sorokiniana
Batch kinetic studies under controlled conditions aim to identify the growth patterns of microalgae using various ADE concentrations, in comparison to the corresponding profiles demonstrated with the standardized medium BG-11. The target of this task was to determine the effect of different digestate dilutions, resulting in various nitrogen concentrations, on microalgae growth and nutrient recovery efficiency. The experimental conditions used in the batch kinetic studies are presented in Table 2. Membrane filtration was applied solely to the second effluent stream, ADE_2 (Figure S5). For experiments 3–5, initial phosphorus concentration was adjusted to desired values by the addition of appropriate volumes of an aqueous KH2PO4 solution, to reduce the initial N/P elemental ratio (ammonia nitrogen/total phosphorus) to values more favorable for microalgae growth.
Table 2.
Experimental conditions utilized during batch operation of the ATPBR.
Sterilization of wastewater when intended to be used for microalgae cultivation, is a major issue [17]. Thermal sterilization of digestates is a common technique used at laboratory scale, but it significantly increases the operation cost of large-scale microalgae applications. In addition, thermal treatment has been proved to affect effluent composition and characteristics, reducing the ammonia content due to stripping at elevated temperature, increasing the pH, total dissolved COD concentration, and phosphorus precipitation [13,18,19]. However, microalgae cultivation using non-sterilized wastewater as a substrate jeopardizes the microalgae culture contamination by bacteria, virus, and predatory zooplankton [20,21]. As a result, filter sterilization of diluted ADE was applied through an ultrafiltration membrane (0.4 μm) in the last experiments, to address rotifer contamination. Nevertheless, aseptic conditions were not applied in all runs, while unsterilized deionized water was used for ADE dilution.
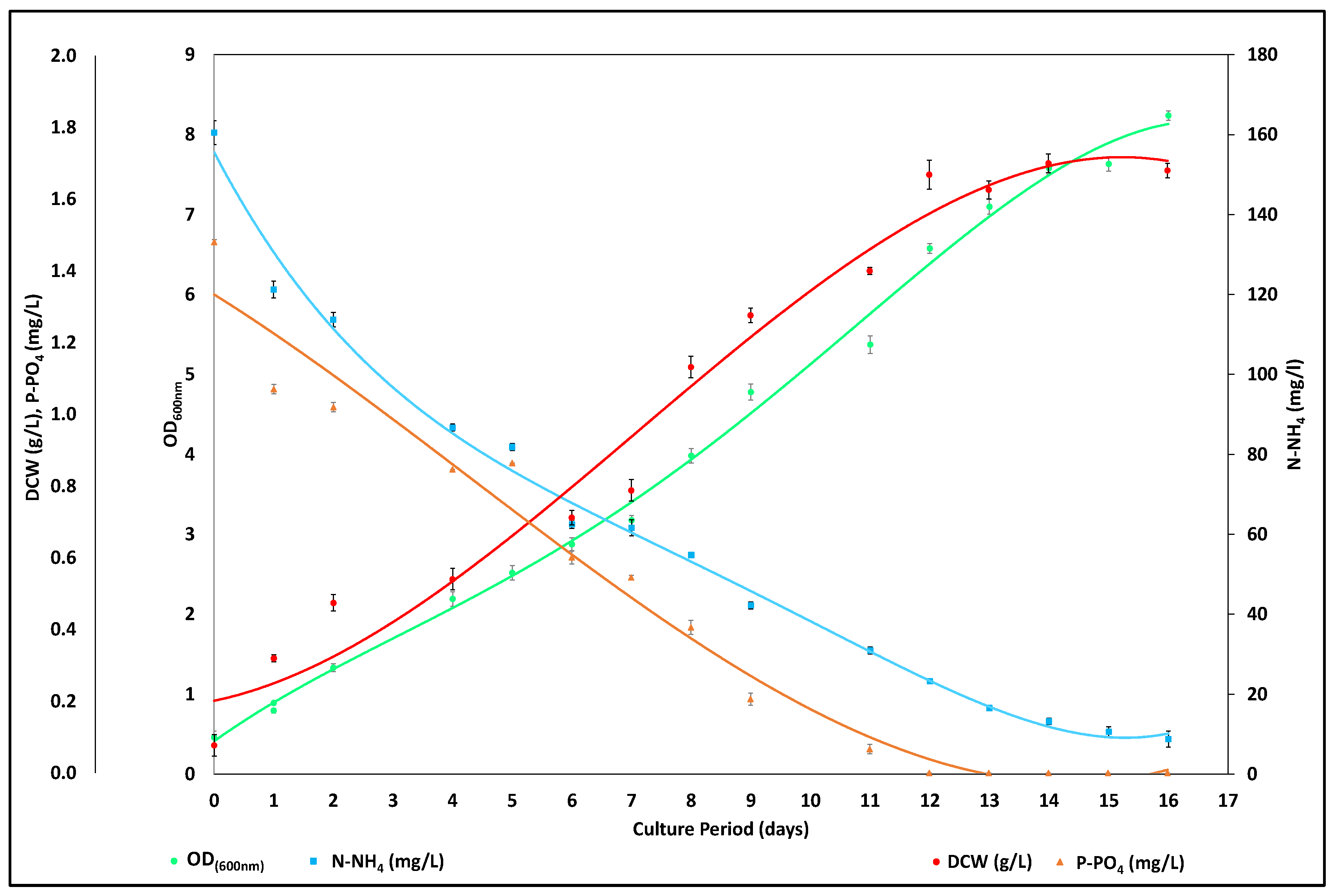
The growth pattern of the C. sorokiniana culture within the reference medium, BG-11, in the ATPBR is displayed in Figure 1. In particular, the culture growth is represented by the time profile of optical density (OD600nm) and dry cell weight (DCW), while the corresponding aqueous concentration of nitrogen and phosphorus is also juxtaposed.
Figure 1.
Microalgae growth and nutrients consumption as a function of time under C. sorokiniana cultivation in BG-11.
Throughout the entire cultivation period, culture growth occurred simultaneously with a continuous reduction in the nitrogen concentration in the aqueous phase. The maximum optical density and dry cell biomass values of 12.8 and 3.34 g/L, respectively, were recorded after 19 days of cultivation, associated to a 92.9% wt. consumption of N-NO3 corresponding to a total amount of 209 mg N-NO3 being recovered. On the other hand, the limited phosphorous of only 5.5 mg/L P-PO4 contained in the BG-11 medium was consumed within the first three days of the culture; this rapid phosphorous depletion in the medium is linked to an evident decline in the biomass productivity, which when calculated as an average value (AP) for the period from start point to the 3rd day it was found equal to 242.6 mg/L/day, while for the next five days from 3 to 8 it was found equal to 86.5 mg/L/day.
Phosphorous deficiency was addressed by a single-shot addition of an external phosphorous source (KH2PO4) to the culture within the ATPBR on the 8th day of cultivation replenishing the elemental phosphorous in the medium to the initial level (i.e., 5.5 mg/L). However, as shown in Figure 1, the measured aqueous phosphorus concentration at that time was only 2.7 mg/L due to the immediate uptake by the already dense cellular population. It has been observed that microalgae cells that have been adapted to a low P concentration are able to take up and store excess phosphorus whenever it becomes available under extremely fast kinetics, through a complex phenomenon known as “luxury uptake” or “starvation uptake” [22,23,24]. This response is well known in microalgae cultures subjected to phosphorus deprivation conditions. Undoubtedly, the phosphorous addition had a beneficial effect on the culture performance, which was reflected by the increase in the AP value from 20.9 mg/L/day, when calculated on the 8th day (before P addition), to 254.4 mg/L/day when calculated for days 8–10, which was comparable to the AP value measured initially.
It should be noted that the effect of phosphorous depletion on C. sorokiniana culture growth was not observed in the lab-scale experiments in 250 mL flaks with the BG-11 medium [13]. This is presumably attributed to the slower dynamics of the flask-scale culture that exhibited a productivity of only 51.2 mg/L/day, which mitigated and concealed such an effect, compared to the average productivity of 165.3 mg/L/d recorded in the ATPBR. In general, the growth performance of C. sorokiniana in the bioreactor is expected to be better than the lab-scale experiments, due to (a) the optimized geometry of the arrangement that allows better penetration of light into the culture, (b) the greater light intensity (7000 lux compared to 1200 in lab-scale experiments) and (c) the higher CO2 supply (85 mL/min compared to 2.5 mL/min) that is expected to enhance the culture growth rate as well as the corresponding nutrients uptake rate.
The effect of digestate concentration on the C. sorokiniana culture medium was evaluated in terms of the growth profile and the nutrients’ recovery efficiency of the cellular population from the employed effluent. The respective results are shown in Figure 2 and Figure 3 for two different digestate concentrations 3% and 5%, respectively, for the first effluent stream ADE-1. It should be noted that the measured initial nutrient concentration was slightly lower than the values tabulated in Table 1, due to the addition of microalgae preculture in the system, resulting in approximately 10% dilution of the culture medium.
Figure 2.
Microalgae growth and nutrients consumption as a function of cultivation time under C. sorokiniana cultivation in 3% ADE_1.
Figure 3.
Microalgae growth and nutrients consumption as a function of cultivation time under C. sorokiniana cultivation in 5% ADE_1.
As shown in Figure 2, the relatively low content of phosphorous was consumed quite fast, resulting in P-PO4 deficiency after twenty-four hours of cultivation. Lack of phosphorous resulted in a stationary phase of the culture with almost constant values of biomass and optical density being recorded, while ammonium nitrogen was only slightly reduced during the next five days (gray boxes in Figure 2). Although phosphorus consists less than 1% of the biomass, it is essential for algal growth, involved in many cellular processes [25]. A phosphorous supplement to reach a concentration of 10 mg/L P-PO4 was applied to the culture, by the addition of a KH2PO4 solution on the sixth day of the cultivation period. The measured phosphorous concentration was 2.22 mg/L due to the “luxury uptake” phenomenon. After that point (Figure 2), an immediate, noteworthy enhancement in the biomass growth was recorded corresponding to an AP increase from 2.85 mg/L/day before P- addition, to 112.9 mg/L/day on the 8th day. This exponential growth continued until the 16th day of culture, when the low availability of N-NH4 resulted in almost stabilized optical density and biomass values. Ultimately, cultivation in 3% ADE_1 yielded 100% N-NH4 consumption and a final dry cell biomass content of 1.42 g/L.
Since phosphorous presence in an adequate amount is proved crucial for the enhanced microalgae growth and the efficient assimilation of nitrogen, the initial P-PO4 concentration was adjusted to 15.6 mg/L in Experiment 3 where the ADE-1 effluent was employed at a dilution level of 5%, corresponding to a N/P ratio equal to 10.3. Under these conditions, no lag phase in the culture growth was recorded, as demonstrated from Figure 3, and both optical density and dry biomass profiles exhibited a constantly rising trend from the first days of cultivation. The maximum value of OD600nm was 8.23 and the maximum dry cell mass produced was 1.73 g/L. Phosphorus was depleted after 12 days of cultivation, while the assimilation of ammonium nitrogen reached 94.5% of the initially loaded amount on the 16th day of cultivation, corresponding to 151.7 mg/L N-NH4 reduction. It should be noted that ammonia concentrations higher than 150 mg/L are often reported to have a potential inhibition effect on microalgae growth [26]; nevertheless, microalgae tolerance to increased N-NH4 concentrations is an ability that can be developed in a microalgae population under the combined influence of several culture parameters including turbidity and macro- and micro-nutrients concentration [13]. In the present study, although a dense digestate effluent was used resulting in a culture medium with the rather high ammonium nitrogen concentration of 160.5 mg/L N-NH4, no inhibition on the C. sorokiniana cells proliferation was observed.
The consumption of the various nitrogen forms, i.e., ammonia, nitrate, and organic nitrogen, during the cultivation of C. sorokiniana in media produced by the ADE-1 effluent stream diluted to 3% and 5% is demonstrated in Figure 4 and Figure 5, respectively.
As shown in the following figures, the primary nitrogen form that was selectively assimilated by microalgae was ammonium nitrogen. As long as N-NH4 was available, the other N sources, i.e., N-NO3 and organic nitrogen, were not consumed by microalgae cells. This is more obvious in Figure 5, where ammonium nitrogen was available during the whole cultivation period and reduction in N-NO3 and organic N was not recorded. However, in 3% ADE, the initial ammonia nitrogen concentration was completely consumed on the 17th day of cultivation, resulting in the consumption of the other forms of nitrogen, as revealed by the reduction in N-NO3 from 9.7 mg/L (13th day) to 1.7 mg/L (19th day). Similar capability of assimilating ammonia nitrogen has been reported for various microalgae species cultivated in anaerobic digestate, suggesting that nitrate and organic nitrogen play a very weak role in algae metabolism in the presence of ammonia nitrogen [18,27].
Figure 4.
Consumption of the different nitrogen forms by C. sorokiniana, as a function of cultivation time using 3% ADE_1.
Figure 4.
Consumption of the different nitrogen forms by C. sorokiniana, as a function of cultivation time using 3% ADE_1.

Figure 5.
Consumption of the different nitrogen forms by C. sorokiniana, as a function of cultivation time using 5% ADE_1.
Figure 5.
Consumption of the different nitrogen forms by C. sorokiniana, as a function of cultivation time using 5% ADE_1.

Cultivating C. sorokiniana in diluted ADE resulted in a substantial reduction in biomass production, with reductions of 57.5% and 48.2% observed at dilution levels of 3% and 5% of the effluent compared to using BG-11 medium. It is noteworthy that even though a phosphorus addition in the BG-11 and 3% ADE_1 tests occurred at different time points, a nearly equivalent amount of P-PO4 was made available to the cells, amounting to 11 mg P-PO4 in BG-11 and 12.1 mg P-PO4 in 3% ADE_1. However, the lower initial nitrogen content (as indicated in Table 1) in conjunction with the less favorable conditions in the diluted ADEs, compared to the standardized medium, may account for the observed reduction in cellular productivity. Conversely, when considering that a low phosphorous concentration did not significantly affect N-NO3 uptake in BG-11 (as shown in Figure 1), the average nitrogen removal rate of microalgae cultivated in BG-11 is akin to the corresponding value for cultivation in 5% digestate dilution (11.6 and 11.3 mg/L/day respectively).
In order to investigate the possible effect of the seasonal variation of the feedstock composition on the respective AD effluent composition, and the concomitant effect on microalgae cultivation, a digestate sample (ADE_2) with a lower ammonium content (as presented in Table 1), was used in batch experiments. Precisely, culture media mediums with N-NH4 concentration close to 100 mg/L and 150 mg/L were prepared by diluting the ADE_2 effluent to a level of 5% and 7%, respectively. The proposed research aims to discern the primary parameter influencing the function of the photobioreactor, specifically assessing the impact of either the dilution ratio or the ammonia nitrogen concentration of the substrate. To maintain a balanced N/P ratio, adjustments were made to ensure its proximity to 10 (as indicated in Table 1) through the introduction of suitable quantities of potassium phosphate solution. Furthermore, ADE_2 underwent filtration utilizing the ultrafiltration (UF) membrane to counteract issues associated with potential contamination by competing organisms present in the untreated effluent.
The culture performance in terms of microalgae biomass production and nutrients assimilation with the two media, 5% ADE-2 and 7% ADE-2, is displayed in Figure 6 and Figure 7, respectively. As shown in Figure 6, ammonium nitrogen was completely consumed within the first 12 days of cultivation, while phosphorus was depleted much earlier, already from the 7th day. The corresponding dry cell mass and optical density values increased concomitantly with ammonia nitrogen consumption, until no more N-NH4 was available, and then the culture entered at a stationary phase. The respective maximum biomass concentration attained was 1.5 g/L. Similar performance was observed when the cultivation was conducted with the 7% ADE_2 medium, as shown in Figure 7. Phosphorous and ammonium nitrogen depletion occurred on the 11th and 12th day of cultivation, respectively, signaling the onset of the stationary phase in the culture at a maximum DCW value of 1.6 g/L, indicating that the employed N-NH4 concentration, which was the largest examined one in the present study, did not reveal any inhibition effect.
Figure 6.
Microalgae growth and nutrients consumption as a function of cultivation time, under C. sorokiniana cultivation in 5% ADE_2.
Figure 7.
Microalgae growth and nutrients consumption as a function of cultivation time under C. sorokiniana cultivation in 7% ADE_2.
The consumption pattern of the various nitrogen forms is shown in Figure 8 and Figure 9 for the 5% ADE_2 and 7% ADE_2 media, respectively, where it is demonstrated that ammonia nitrogen was not the sole N form consumed by microalgae: organic nitrogen content decreased the first days of cultivation, although N-NH4 was also available to cells, leading to a 64.3% reduction in initial concentration (19.9 mg N-organic consumed). Moreover, N-NO3 reduced during the cultivation period, especially after ammonium ions depletion. A similar pattern was observed in 7% ADE_2 cultivation where 80.8% organic N uptake was recorded along with N-NH4 reduction (Figure 9). However, nitrate nitrogen concentration remained constant as long as ammonium nitrogen was available, while it decreased from 29.8 to 2.5 mg/L from the 11th day to the end of the experiment.
Figure 8.
Consumption of the different nitrogen forms by C. sorokiniana, as a function of cultivation time using 5% ADE_2.
Figure 9.
Consumption of the different nitrogen forms by C. sorokiniana, as a function of cultivation time using 7% ADE_2.
As shown in Table 1, the composition of ADE_2 differs from the ADE_1, with ammonia nitrogen constituting about 75–78% of total nitrogen in ADE_1, while in ADE_2 ranged between 83.1 and 88.5%. It is possible that the different composition of digestate batches affected cells metabolism, allowing the consumption of specific sources of organic nitrogen in ADE_2. Microalgae species can consume both inorganic (N-NH4, N-NO3, N-NO2) and organic nitrogen sources (urea, amino acids, purines, etc.), with N-NH4 nitrogen being the preferred form due to the lower energy cost required for its assimilation by cells [28]. It has been reported that the preferred order of N utilization by microalgae is NH4 > NO3 > NO2 > N-organic (urea) [29]. In most studies that have been conducted using anaerobic digestate, the consumption pattern of total nitrogen follows a similar path to ammonia nitrogen consumption curve [30,31], while only few reports have been published on a total nitrogen uptake following another path than ammonia nitrogen bioremediation [32,33]. Nevertheless, different results reported may be attributed to the presence of other non-competing microorganisms in the culture that might break down the organic nitrogenous molecules, making nitrogen easily available to microalgae cells [34].
It should be highlighted that ammonium nitrogen removal was not caused by abiotic transformation but exclusively by microalgae bio-fixation, as the pH of the culture was maintained very close or under 7 and temperature at 25 ± 2 °C.
Overall, the average values of the biomass growth rate, ammonia nitrogen and phosphorous recovery rates, computed along the exponential phase of the culture, and the respective recovery efficiency, are presented in Table 3, for the various digestate concentrations. It is evident that average productivity and absolute maximum biomass content exhibited lower values when an effluent of lower initial N-NH4 content at low dilution was used. The average Ν-ΝH4 removal rates ranged from 8.3 to 8.8 mg/L/day for both ADE streams at initial nitrogen concentration of about 100 mg/L, while the corresponding value increased to about 11.3–12.5 mg/L/day at larger initial nitrogen concentrations, revealing an increase ranging from 36.1 to 42.1%. Nevertheless, nitrogen removal during microalgae cultivation in 5% and 7% ADE_2 resulted in 56.2% and 51.8% lower biomass production compared to BG-11. However, average nitrogen RR recorded in 7% ADE_2 was higher than the corresponding value in BG-11 (12.5 mg/L/d compared to 11.6 mg/L/d). From the above data, it became clear that the initial concentration of ammonia nitrogen in the culture medium reaching up to 160 mg/L resulted in a more efficient operation of the system with high biomass productivity and nutrient recovery rates, without causing toxicity to the culture of C. sorokiniana strain. Nevertheless, the addition of an external source of phosphorous is necessary to achieve a continuous growth of microalgae cells. In order to justify the beneficial role of the particular strain toward nitrogen assimilation from the anaerobic digestate effluent, the efficiency of the system was studied under a continuous operation mode of the ATPBR, utilizing the largest studied concentration of the digestate in the medium, 7%.
Table 3.
Average values of the produced biomass, cells growth rate, nutrient recovery rate, and respective recovery efficiency during the batch experiments carried out at the ATPBR.
3.3. C. sorokiniana Kinetics under Continuous Operation of the Air-Lift Photobioreactor
Based on the experimental findings during the batch operation of the airlift photobioreactor, the continuous cultivation mode was investigated by successively modifying the continuous operating conditions for a period of 52 days, in order to identify the most favorable ones in terms of medium loading rate and phosphorous adjustment. Precisely, the time schedule and the experimental conditions applied are presented in Table 4, while biomass growth and nitrogen consumption are shown in Figure 10, and the concentration of the various nitrogen forms in Figure 11.
Table 4.
Operation conditions used during the continuous operation of the ATPBR.
Figure 10.
Time profile of the microalgae biomass, N-NH4, and P-PO4 concentrations during the continuous operation of the ATPBR.
Figure 11.
Time profiles of various nitrogen form concentrations during the continuous operation of the ATPBR.
The operation of the reactor started by the batch-wise cultivation of C. sorokiniana, in accordance with the batch scale investigation (Experiment 5) using 7% ADE_2 with 135 mg/L initial N-NH4 concentration and adjustment of N/P to 10.6. This step lasted for 11 days until a microalgae biomass concentration of 1.4 g/L, an optical density of 5.8, and a residual N-NH4 concentration of 9.1 mg/L N-NH4 were reached. Continuous operation of the system started at day 11 by daily addition of 7% ADE_2 digestate utilizing a 16 h photosynthetic period. A culture dilution rate of 0.1 day−1 was implemented by adding 2 L/day of substrate with a simultaneous removal of equal volume of culture from the reactor by overflow from the degasser. However, considering both the progressive increase in the ammonium nitrogen concentration and the reduction in the OD values, it became clear that the applied dilution rate was higher than the specific growth rate of the culture resulting in microalgae washout.
In the following period (days 13–22), the system was operated with a dilution rate of 0.05 day−1 corresponding to a daily addition of 1 L of digestate. During that period, the overflow from the degasser was filtrated through the membrane and the resulting effluent was free of microalgae, containing N-NH4 < 5 mg/L and TN < 25 mg/L. This sample was reused as dilution water of the raw ADE-2 effluent, by replacing 32.3% of the required water, as an effort to reduce the use of fresh water and reinforce the sustainability perspective of the whole endeavor.
As shown in Figure 10, during the initial acclimation period along the batch operating mode of the system, culture growth and nitrogen consumption followed similar patterns to the ones that were observed during the batch operation of the reactor under the same conditions (Experiment 5). In the following period (day 11–13) of high influent loading (dilution rate 0.1 d−1), the reduction in biomass concentration was recorded in combination with a simultaneous accumulation of N-NH4.
In the context of continuous cultivation mode, the cell concentration within the culture is contingent upon the equilibrium between the specific growth rate of the microalgae and the applied dilution rate. Furthermore, the concentration of nutrients within the treated effluent is influenced by the equilibrium between the specific removal rate by the microalgae and the quantity of nutrients introduced into the system through continuous feeding. These conditions are depicted in Figure 11, illustrating the values of ammonium nitrogen removal rates (RR) for successive operational intervals of the system under batch and continuous modes (represented by blue and green data points), in conjunction with the input rate of N-NH4 during continuous cultivation. An analysis of the data within this graph reveals that the N-NH4 RR prior to the commencement of continuous mode (on day 11) amounted to 7 mg/L/day. During the subsequent two days, when the dilution rate was set at 0.1 day−1, the N-NH4 input rate increased to 15.1 mg/L/day. This discrepancy elucidates the challenges faced by the microalgae cells in managing the heightened influent nutrient content. Upon a reduction in the dilution rate to 0.05 day−1, there was an introduction of 141.8 mg/day N-NH4, or approximately 7.1 mg/L/day N-NH4, which closely aligned with the anticipated nitrogen assimilation capacity by the microalgae. During this period, a slight increase in ammonia nitrogen content was measured, reaching approximately 33.2 mg/L. As depicted in Figure 11, the nitrogen input rate via the influent was 7.0 mg/L/day, while the removal rate stood at 6.3 mg/L/day, resulting in the observed nitrogen accumulation, although no biomass washout was detected. Moreover, the replacement of a portion of the dilution water with treated water-effluent from the harvesting phase had no discernible impact on biomass, signifying the absence of significant toxicity that could be attributed to the accumulation of compounds with inhibitory effects on the microalgae culture.
After the 30th consecutive day, the cultivation system at its current state was appropriately modified in order to study the effect of phosphorous addition along a continuous operating mode. A certain volume of the reactor content was replaced by nutrient medium (7% ADE_2), and the system operation returned to the batch mode to enable the culture acclimation and attainment of the desired cell and nutrient concentration. The addition of phosphorus (day 36) resulted in an immediate increase in biomass growth, and as soon as sufficient culture growth was achieved, which raised the optical density and concentration to 5.0 and 1.3 g/L, respectively, at an ammonium nitrogen concentration of 18.6 mg/L, the continuous operation of the system started on day 41, applying a dilution rate of 0.05 d−1. In that case, the N/P ratio in the feeding medium was pre-adjusted to 10 by extra-phosphorous addition in the form of KH2PO4, while the treated effluent from the membrane was used to replace part of the required dilution water. The phosphorous input rate was 0.74 mg/L/day, while the phosphorous concentration in the reactor content was zeroed, corresponding to the complete removal of the P-PO4.
The adjustment of the N/P ratio in the feeding medium resulted in a substantial performance improvement of the system during its continuous operation, displayed as an increase in the recovery rate of ammonium nitrogen from 6.3 to 7.02 mg/L/day N- NH4, a value quite comparable to that of the feeding rate (7.1 mg/L/day N-NH4) as shown in Figure 12. In addition, both the optical density and the biomass concentration profiles in the period from day 41 to 52 presented a particularly stable pattern as shown in Figure 10, at average values 5 and 1.2 g/L, respectively.
Figure 12.
Ammonia nitrogen feeding and recovery rate by microalgae during the long-term operation of the ATPBR in continuous mode of operation.
During the reactor startup phase, conducted in a batch-wise operation, the nitrogen forms exhibited a consumption pattern akin to what was observed in the batch operation of the system during Experiment 5. Organic nitrogen was concurrently consumed with ammonium nitrogen, leading to an 80.1% reduction in the initial concentration, while the nitrate levels remained relatively constant. However, in the subsequent phase of continuous operation spanning from the 11th to the 30th day, without adjustment of the N/P ratio, there was an increase in organic nitrogen from 13 to 23.7 mg/L, accompanied by a rise in the concentration of N-NH4 from 9.1 to 33.2 mg/L. In contrast, the concentration of nitrate ions declined from 21.8 to 3.4 mg/L, resulting in only minor fluctuations in the total nitrogen concentration, as depicted in Figure 11. Nonetheless, following the adjustment of the N/P ratio, the metabolic pathway for nitrogen consumption by the microalgae shifted toward the utilization of ammonium nitrogen, while accumulation of organic nitrogen was observed, inevitably leading to an increase in the total nitrogen concentration.
3.4. Troubleshooting of the Airlift Photobioreactor Operation
During the experiments conducted using the non-sterilized digestate as culture medium, the presence of competitive microorganisms and specifically rotifers in the sample resulted in microalgae culture collapse. Rotifers are zooplankton microorganisms, representing ideal food for fish, existing in freshwater, effluents, and marine environments. Most of them can be reproduced asexually (parthenogenesis), producing eggs that can even remain inactive (resting eggs) for long periods of time and hatch when the conditions are favorable. Microalgae are the ideal food for rotifers, which can consume huge numbers of cells, bringing about the microalgae culture collapse within a very short time [35].
The choice of closed PBR is mainly based on the benefits of the system allowing easy cleaning and addition of a sterilized medium, preventing microalgae contamination. However, recent works demonstrated that this assumption is only partially correct, as in many cases microalgae cultures grown in closed systems are affected by various contaminants [36,37]. According to Huang et al. [38], in most of these cases, the water used for the medium was the source of contamination. In the present study, the origin of rotifers was attributed to the existence of a small number of eggs in the raw sample. Each time rotifer cells were observed in the culture by microscopic observation, the experimental device was disassembled, and the separate parts were thoroughly cleaned to ensure the complete removal of rotifers’ cells and eggs. In addition, in order to efficiently address the reactor contamination problem due to the presence of rotifers in the feedstock, the raw digestate sample was subjected to membrane ultrafiltration and used as stock for the preparation of the reactor influent [39]
Various measures to cope with rotifers in microalgal cultures have been reported, including the use of natural and chemical pesticides and anti-parasiticides [40,41,42], the increase in the concentration of specific element such as copper [43,44] or the effect of stress factors including increased pH and high salinity [39]. However, the data are not always encouraging, as the proposed methods cannot efficiently confront the rapid growth of rotifers seriously threatening the viability of microalgal cells. Few authors have reported the negative effect caused on rotifer population by increased levels of NH3 in the culture medium [45,46,47]. Although the indigenous toxicity of influent ammonia against the growth of rotifers has emerged as a promising outcome, it remains a difficult issue to be applied at full scale, since targeted wastewater streams, such as secondary municipal effluents, usually contain nitrate nitrogen, instead of ammonia source. However, cultivation of microalgae in NH4-rich effluents, such as the anaerobic digestate, might be beneficial, as non-ionized ammonia can be formed by a pH increase and continuous aeration of the medium. Such an option was preliminary applied in this work with promising rotifers inhibition results, although additional and more detailed work is required.
4. Conclusions
In conclusion, continuous cultivation of C. sorokiniana within an ATPBR can be effectively sustained over extended periods, concurrently involving the recirculation of treated effluent obtained from the harvesting phase. The outcomes of the continuous cultivation experiments underscore the pivotal roles played by both the influent’s dilution rate and the availability of phosphorus in enhancing the efficiency of microalgae bioremediation and the overall successful operation of the system. In the context of continuous operation, the decision regarding the dilution rate must be guided by the measured nitrogen recovery rate as determined in the batch mode cultivation. This approach aims to prevent both nitrogen accumulation in the medium and the potential washout of the culture. Simultaneously, the enhancement of ammonium nitrogen removal rates can be achieved by controlling the phosphorus availability within the influent stream. In addition, ensuring adequate phosphorus availability facilitates the effective assimilation of organic nitrogen by the microalgae.
Supplementary Materials
The following supporting information can be downloaded at: https://www.mdpi.com/article/10.3390/w16030485/s1, Figure S1: Conceptual diagram of the 20 L air-lift photobioreactor; Figure S2: Airlift tubular photobioreactor: solar receiver part (a,b), degasser (c); Figure S3: Ultrafiltration Membrane (UFM) System: (a) UFM vessel filled with sodium hypochlorite (NaClO) solution (b) UFM vessel—level sensors (inside the vessel)—inlet and harvesting peristaltic pumps (right) and (c) UFM vessel filled with microalgae culture during harvesting period; Figure S4: Schematic illustration of the ultrafiltration membrane system; Figure S5: 10% ADE before (a), after ultra-filtration (b), and during filter sterilization at UMF (c).
Author Contributions
P.P. performed and validated the experiments and collected the data; P.P wrote and edited the manuscript; P.S. and C.C. reviewed the manuscript; P.S. and C.C. supervised the experimental work and conceptualized the project; P.S. was the project administrator and responsible for funding acquisition. All authors have read and agreed to the published version of the manuscript.
Funding
This research has been co-financed by the European Union and Greek national funds through the Operational Program Competitiveness, Entrepreneurship and Innovation, under the call RESEARCH—CREATE—INNOVATE (project code: T1EDK-00406 -title «Innovative technologies for the elimination of NH3 toxicity in anaerobic fermentation to increase methane production»).
Data Availability Statement
Data are contained within the article.
Acknowledgments
The authors would like to thank the laboratories of research and analysis at Q-Lab for the characterization of digestate in macronutrients and heavy metals.
Conflicts of Interest
The authors declare no conflicts of interest. The funders had no role in the design of the study; in the collection, analyses, or interpretation of data; in the writing of the manuscript; or in the decision to publish the results.
Abbreviations
| Term | Meaning |
| AAS | Atomic absorption spectroscopy |
| ADE | Anaerobic digestion effluent |
| AP | Average productivity |
| ATPBR | Airlift tubular photobioreactor |
| CC | the concentration of the corresponding component added to the culture at a certain time |
| CF | the nutrient concentration in the culture medium at the end of a specific period (or the day that the measured concentration is zeroed) |
| CI | the nutrient concentration in the culture medium at the beginning of a specific period |
| CΕ | the change in the concentration of the corresponding component due to condensation |
| COD | Chemical oxygen demand |
| DCW | Dry cell weight |
| DCWC | dry cell mass withdrawn from the bioreactor by overflow |
| DCWF | the final biomass concentration at the corresponding time |
| DCWI | the initial biomass concentration at the corresponding time |
| DCWp | Produced microalgae biomass/dry cell weight |
| DCWΕ | the change in the biomass concentration due to condensation |
| DO | Dissolved oxygen |
| ID | Intermal diameter |
| IRADE | the input rate of the ADE into the reactor |
| IRi | Nutrient input rate |
| N/P | Nitrogen/phosphorus |
| PLC | Programmable logic controller |
| PMMA | Polymethyl methacrylate |
| PR | Biomass production rate |
| REi | Nutrient recovery efficiency |
| RRi | Nutrient recovery rate |
| T | Temperature |
| TN | Total nitrogen |
| VI | the volume of the bioreactor |
| Δt | the elapsed time of a specific period |
| HF | the final time slots during a specific period |
| HI | the initial time slots during a specific period |
| Χ | the number of times that continuous operation was turned off (8 h darkness on a daily basis) |
References
- Ye, Y.; Ngo, H.H.; Guo, W.; Chang, S.W.; Nguyen, D.D.; Zhang, X.; Zhang, Y.; Liang, S. Nutrient recovery from wastewater: From technology to economy. Bioresour. Technol. Rep. 2020, 11, 100425. [Google Scholar] [CrossRef]
- European Commission. Proposal for a Directive of the European Parliament and of the Council Concerning Urban Wastewater Treatment (Recast), COM (2022) 541 Final 2022/0345 (COD); European Commission: Brussels, Belgium, 2022; Available online: https://environment.ec.europa.eu/system/files/2022-10/Proposal%20for%20a%20Directive%20concerning%20urban%20wastewater%20treatment%20%28recast%29.pdf (accessed on 27 October 2022).
- Li, K.; Liu, Q.; Fang, F.; Luo, R.; Lu, Q.; Zhou, W.; Huo, S.; Cheng, P.; Liu, J.; Addy, M.; et al. Microalgae-based wastewater treatment for nutrients recovery: A review. Bioresour. Technol. 2019, 291, 121934. [Google Scholar] [CrossRef] [PubMed]
- Khan, M.I.; Shin, J.H.; Kim, J.D. The promising future of microalgae: Current status, challenges, and optimization of a sustainable and renewable industry for biofuels, feed, and other products. Microb. Cell Fact. 2018, 17, 36. [Google Scholar] [CrossRef]
- Osorio-Reyes, J.G.; Valenzuela-Amaro, H.M.; Pizaña-Aranda, J.J.P.; Ramírez-Gamboa, D.; Meléndez-Sánchez, E.R.; López-Arellanes, M.E.; Castañeda-Antonio, M.D.; Coronado-Apodaca, K.G.; Gomes Araújo, R.; Sosa-Hernández, J.E.; et al. Microalgae-Based Biotechnology as Alternative Biofertilizers for Soil Enhancement and Carbon Footprint Reduction: Advantages and Implications. Mar. Drugs 2023, 21, 93. [Google Scholar] [CrossRef] [PubMed]
- Uggetti, E.; Sialve, B.; Latrille, E.; Steyer, J.P. Anaerobic digestate as substrate for microalgae culture: The role of ammonium concentration on the microalgae productivity. Bioresour. Technol. 2014, 152, 437–443. [Google Scholar] [CrossRef] [PubMed]
- Dahlin, J.; Herbes, C.; Nelles, M. Biogas digestate marketing: Qualitative insights into the supply side. Resour. Conserv. Recycl. 2015, 104, 152–161. [Google Scholar] [CrossRef]
- Singh, M.; Reynolds, D.L.; Das, K.C. Microalgal system for treatment of effluent from poultry litter anaerobic digestion. Bioresour. Technol. 2011, 102, 10841–10848. [Google Scholar] [CrossRef]
- Zhu, L.; Li, Z.; Hiltunen, E. Microalgae Chlorella vulgaris biomass harvesting by natural flocculant: Effects on biomass sedimentation, spent medium recycling and lipid extraction. Biotechnol. Biofuels 2018, 11, 183. [Google Scholar] [CrossRef]
- Fret, J.; Roef, L.; Diels, L.; Tavernier, S.; Vyverman, W.; Michiels, M. Combining medium recirculation with alternating the microalga production strain: A laboratory and pilot scale cultivation test. Algal Res. 2020, 46, 101763. [Google Scholar] [CrossRef]
- Marbelia, L.; Bilad, M.R.; Passaris, I.; Discart, V.; Vandamme, D.; Beuckels, A.; Muylaert, K.; Vankelecom, I.F. Membrane photobioreactors for integrated microalgae cultivation and nutrient remediation of membrane bioreactors effluent. Bioresour. Technol. 2014, 163, 228–235. [Google Scholar] [CrossRef]
- Peter, A.P.; Koyande, A.K.; Chew, K.W.; Ho, S.H.; Chen, W.H.; Chang, J.S.; Krishnamoorthy, R.; Banat, F.; Show, P.L. Continuous cultivation of microalgae in photobioreactors as a source of renewable energy: Current status and future challenges. Renew. Sustain. Energy Rev. 2022, 154, 111852. [Google Scholar] [CrossRef]
- Psachoulia, P.; Schortsianiti, S.-N.; Lortou, U.; Gkelis, S.; Chatzidoukas, C.; Samaras, P. Assessment of Nutrients Recovery Capacity and Biomass Growth of Four Microalgae Species in Anaerobic Digestion Effluent. Water 2022, 14, 221. [Google Scholar] [CrossRef]
- Molina, E.; Fernández, J.; Acién, F.G.; Histi, Y. Tubular photobioreactor design for algal cultures. J. Biotechnol. 2001, 92, 113–131. [Google Scholar] [CrossRef] [PubMed]
- Bahadur, A.; Zubair, M.; Khan, M.B. Design, construction and evaluation of solarized airlift tubular photobioreactor. J. Phys. Conf. Ser. 2013, 439, 012036. [Google Scholar] [CrossRef]
- Choi, H.J.; Lee, S.M. Effect of the N/P ratio on biomass productivity and nutrient removal from municipal wastewater. Bioprocess Biosyst. Eng. 2015, 38, 761–766. [Google Scholar] [CrossRef] [PubMed]
- Cheng, J. Growth optimisation of microalga mutant at high CO2 concentration to purify undiluted anaerobic digestion effluent of swine manure. Bioresour. Technol. 2015, 177, 240–246. [Google Scholar] [CrossRef] [PubMed]
- Franchino, M.; Comino, E.; Bona, F.; Riggio, V.A. Growth of three microalgae strains and nutrient removal from an agro-zootechnical digestate. Chemosphere 2013, 92, 738–744. [Google Scholar] [CrossRef] [PubMed]
- Marjakangas, J.M.; Chen, C.-Y.; Lakaniemi, A.-M.; Puhakka, J.A.; Whang, L.-M.; Chang, J.-S. Selecting an indigenous microalgal strain for lipid production in anaerobically treated piggery wastewater. Bioresour. Technol. 2015, 191, 369–376. [Google Scholar] [CrossRef] [PubMed]
- Wang, H.; Zhang, W.; Chen, L.; Wang, J.; Liu, T. The contamination and control of biological pollutants in mass cultivation of microalgae. Bioresour. Technol. 2013, 128, 745–750. [Google Scholar] [CrossRef]
- Lage, S.; Toffolo, A.; Gentili, F.G. Microalgal growth, nitrogen uptake and storage, and dissolved oxygen production in a polyculture based-open pond fed with municipal wastewater in northern Sweden. Chemosphere 2021, 276, 130122. [Google Scholar] [CrossRef]
- Solovchenko, A.E.; Ismagulova, T.T.; Lukyanov, A.A.; Vasilieva, S.G.; Konyukhov, I.V.; Pogosyan, S.I.; Lobakova, E.S.; Gorelova, O.A. Luxury phosphorus uptake in microalgae. J. Appl. Phycol. 2019, 31, 2755–2770. [Google Scholar] [CrossRef]
- Solovchenko, A.; Khozin-Goldberg, I.; Selyakh, I.; Semenova, L.; Ismagulova, T.; Lukyanov, A.; Mamedov, I.; Vinogradova, E.; Karpova, O.; Konyukhov, I.; et al. Phosphorus starvation and luxury uptake in green microalgae revisited. Algal Res. 2019, 43, 101651. [Google Scholar] [CrossRef]
- Su, Y. Revisiting carbon, nitrogen, and phosphorus metabolisms in microalgae for wastewater treatment. Sci. Total Environ. 2021, 762, 144590. [Google Scholar] [CrossRef]
- Yaakob, M.A.; Mohamed, R.M.S.R.; Al-Gheethi, A.; Aswathnarayana, G.R.; Ambati, R.R. Influence of nitrogen and phosphorus on microalgal growth, biomass, lipid, and fatty acid production: An overview. Cells 2021, 10, 393. [Google Scholar] [CrossRef]
- Collos, Y.; Harrison, P.J. Acclimation and toxicity of high ammonium concentrations to unicellular algae. Mar. Pollut. Bull. 2014, 80, 8–23. [Google Scholar] [CrossRef] [PubMed]
- Tan, F.; Wang, Z.; Zhouyang, S.; Li, H.; Xie, Y.; Wang, Y.; Zheng, Y.; Li, Q. Nitrogen and phosphorus removal coupled with carbohydrate production by five microalgae cultures cultivated in biogas slurry. Bioresour. Technol. 2016, 221, 385–393. [Google Scholar] [CrossRef]
- Kumar, A.; Bera, S. Revisiting nitrogen utilization in algae: A review on the process of regulation and assimilation. Bioresour. Technol. Rep. 2020, 12, 100584. [Google Scholar] [CrossRef]
- Perez-Garcia, O.; Escalante, F.M.E.; de-Bashan, L.E.; Bashan, Y. Heterotrophic Cultures of Microalgae: Metabolism and Potential Products. Water Res. 2011, 45, 11–36. [Google Scholar] [CrossRef] [PubMed]
- Ji, F.; Liu, Y.; Hao, R.; Li, G.; Zhou, Y.; Dong, R. Biomass Production and Nutrients Removal by a New Microalgae Strain Desmodesmus sp. in Anaerobic Digestion Wastewater. Bioresour. Technol. 2014, 161, 200–207. [Google Scholar] [CrossRef]
- Zheng, H.; Wu, X.; Zou, G.; Zhou, T.; Liu, Y.; Ruan, R. Cultivation of Chlorella vulgaris in Manure-Free Piggery Wastewater with High-Strength Ammonium for Nutrients Removal and Biomass Production: Effect of Ammonium Concentration, Carbon/Nitrogen Ratio and pH. Bioresour. Technol. 2019, 273, 203–211. [Google Scholar] [CrossRef]
- Kobayashi, N.; Noel, E.A.; Barnes, A.; Watson, A.; Rosenberg, J.N.; Erickson, G.; Oyler, G.A. Characterization of Three Chlorella Sorokiniana Strains in Anaerobic Digested Effluent from Cattle Manure. Bioresour. Technol. 2013, 150, 377–386. [Google Scholar] [CrossRef]
- Min, M.; Wang, L.; Li, Y.; Mohr, M.J.; Hu, B.; Zhou, W.; Chen, P.; Ruan, R. Cultivating Chlorella sp. in a Pilot-Scale Photobioreactor Using Centrate Wastewater for Microalgae Biomass Production and Wastewater Nutrient Removal. Appl. Biochem. Biotechnol. 2011, 165, 123–137. [Google Scholar] [CrossRef]
- Ziganshina, E.E.; Bulynina, S.S.; Ziganshin, A.M. Growth characteristics of Chlorella sorokiniana in a photobioreactor during the utilization of different forms of nitrogen at various temperatures. Plants 2022, 11, 1086. [Google Scholar] [CrossRef] [PubMed]
- Pulgarin, A.; Decker, J.; Chen, J.; Giannakis, S.; Ludwig, C.; Refardt, D.; Pick, H. Effective removal of the rotifer Brachionus calyciflorus from a Chlorella vulgaris microalgal culture by homogeneous solar photo-Fenton at neutral pH. Water Res. 2022, 226, 119301. [Google Scholar] [CrossRef] [PubMed]
- Forehead, H.I.; O’Kelly, C.J. Small doses, big troubles: Modeling growth dynamics of organisms affecting microalgal production cultures in closed photobioreactors. Bioresour. Technol. 2013, 129, 329–334. [Google Scholar] [CrossRef]
- Carney, L.T.; Lane, T.W. Parasites in algae mass culture. Front. Microbiol. 2014, 5, 278. [Google Scholar] [CrossRef] [PubMed]
- Huang, Y.; Li, L.; Liu, J.; Lin, W. Botanical pesticides as potential rotifer-control agents in microalgal mass culture. Algal Res. 2014, 4, 62–69. [Google Scholar] [CrossRef]
- Zhu, Z.; Jiang, J.; Fa, Y. Overcoming the Biological Contamination in Microalgae and Cyanobacteria Mass Cultivations for Photosynthetic Biofuel Production. Molecules 2020, 25, 5220. [Google Scholar] [CrossRef]
- Marcial, H.S.; Hagiwara, A. Effect of diazinon on life stages and resting egg hatchability of rotifer Brachionus plicatilis. Hydrobiologia 2007, 593, 219–225. [Google Scholar] [CrossRef]
- Sarma, S.S.S.; Nandini, S.; Flores, J.L.G. Effect of Methyl Parathion on the Population Growth of the Rotifer Brachionus patulus (O. F. Müller) under Different Algal Food (Chlorella vulgaris) Densities. Ecotox Environ. Safe 2001, 48, 190–195. [Google Scholar] [CrossRef]
- Van Ginkel, S.W.; Igou, T.; Hu, Z.; Narode, A.; Cheruvu, S.; Doi, S.; Johnston, R.; Snell, T.; Chen, Y. Taking advantage of rotifer sensitivity to rotenone to prevent pond crashes for algal-biofuel production. Algal Res. 2015, 10, 100–103. [Google Scholar] [CrossRef]
- Park, S.; Van Ginkel, S.W.; Pradeep, P.; Igou, T.; Yi, C.; Snell, T.; Chen, Y. The Selective Use of Hypochlorite to Prevent Pond Crashes for Algae-Biofuel Production. Water Environ. Res. 2016, 88, 70–78. [Google Scholar] [CrossRef] [PubMed]
- Pradeep, V.; Van Ginkel, S.; Park, S.; Igou, T.; Yi, C.; Fu, H.; Johnston, R.; Snell, T.; Chen, Y. Use of Copper to Selectively Inhibit Brachionus calyciflorus (Predator) Growth in Chlorella kessleri (Prey) Mass Cultures for Algae Biodiesel Production. Int. J. Mol. Sci. 2015, 16, 20674–20684. [Google Scholar] [CrossRef] [PubMed]
- Thomas, P.K.; Dunn, G.P.; Passero, M.; Feris, K.P. Free ammonia offers algal crop protection from predators in dairy wastewater and ammonium-rich media. Bioresour. Technol. 2017, 243, 724–730. [Google Scholar] [CrossRef]
- Bentley, C.D.; Carroll, P.M.; Watanabe, W.O.; Riedel, A.M. Intensive rotifer production in a pilot-scale continuous culture recirculating system using nonviable microalgae and an ammonia neutralizer. J. World Aquacult. Soc. 2008, 39, 625–635. [Google Scholar] [CrossRef]
- de Araujo, A.B.; Hagiwara, A.; Snell, T.W. Effect of unionized ammonia, viscosity and protozoan contamination on reproduction and enzyme activity of the rotifer Brachionus rotundiformis. In Rotifera IX, Proceedings of the IXth International Rotifer Symposium, Khon Kaen, Thailand, 16–23 January 2000; Springer: Amsterdam, The Netherlands, 2000; pp. 363–368. [Google Scholar]
Disclaimer/Publisher’s Note: The statements, opinions and data contained in all publications are solely those of the individual author(s) and contributor(s) and not of MDPI and/or the editor(s). MDPI and/or the editor(s) disclaim responsibility for any injury to people or property resulting from any ideas, methods, instructions or products referred to in the content. |
© 2024 by the authors. Licensee MDPI, Basel, Switzerland. This article is an open access article distributed under the terms and conditions of the Creative Commons Attribution (CC BY) license (https://creativecommons.org/licenses/by/4.0/).









