Abstract
The phenomenon of “separation of people and land” between urbanized farmers and rural land hinders the optimal allocation of land resources and is not conducive to the development of agricultural modernization and the implementation of rural revitalization strategies. Although the “separation of three rights” in agricultural land partially solves this problem, it also causes social inequity in the phenomenon of urbanized wealthy farmers collecting rent from poor farmers who depend on the land for a living. The Chinese government carried out a pilot reform aimed at the withdrawal of urbanized farmers from contracted land, and proposed a paid withdrawal policy, but the reform results were unsatisfactory. Based on evolutionary game theory and prospect theory, this paper constructed a two-party evolutionary game model between the government and farmers and simulated the behavioral strategies of the government and farmers in the contracted land withdrawal problem. The results show that first, the initial probability of government policy choice will affect the decision-making behavior of the government and farmers. Second, when the government’s economic compensation for farmers is higher than the farmers’ ideal expectation for land withdrawal compensation, the implementation of individualized withdrawal policy has a positive effect on farmers’ willingness to withdraw from contracted land. Third, farmers’ emotional needs for land, farmers’ ideal economic compensation, and farmers’ risk aversion all impede farmers’ withdrawal from contracted land. The government’s implementation of individualized withdrawal policy can improve farmers’ willingness to withdraw from contracted land by reducing farmers’ concerns about unstable land rights, improving the government’s security compensation, and reducing farmers’ sensitivity to profit and loss.
1. Introduction
With the increase in non-agricultural employment opportunities in China, a large number of rural people have migrated to cities, which has led to the continuous improvement of China’s urbanization level. Since the reform and opening-up, China’s urbanization rate has increased from 17.9% in 1978 to 63.89% by the end of 2020 [1]. Urbanization inevitably leads to the “separation of people and land” between urbanized farmers and rural land, which also creates the problem of redistribution of land resources among the remaining rural population [2]. On the one hand, urbanized farmers continue to occupy rural land, which hinders the optimal allocation of land resources and is not conducive to the development of agricultural modernization and the implementation of rural revitalization strategies [3]. On the other hand, rural land is occupied in small, scattered plots and the land of farmers with different land withdrawal wishes crosses each other, leading to fragmentation of the land supply. Therefore, establishing an effective mechanism to withdraw contracted land for urbanized farmers has become an important part of the current rural land system reform.
Although the Chinese government has partially solved this problem by establishing and improving the land management right transfer market, under the system of separation of rural land contract rights and management rights, there are double dilemmas of “land rent erodes the profits of agricultural operations” and “farmers prefer to abandon their land rather than rent it out” [4]. In response to this problem, the Chinese government has begun to reform the rural land contractual management rights. In 2014, the Ministry of Agriculture and Rural Affairs took the withdrawal of rural land contractual management rights as one of the second batches of rural reform pilot tasks. In 2015, the General Office of the CPC Central Committee and the General Office of the State Council issued the “Comprehensive Implementation Plan for Deepening Rural Reforms”, which proposed “to carry out the pilot program of paid withdrawal of farmers’ land contractual management rights in some regions where conditions permit”. In 2016 and 2018, the “No. 1 central document” proposed to “safeguard the land contract right, homestead use right, and collective income distribution right for farmers who settle down in cities, and guide farmers to transfer the above-mentioned rights and interests voluntarily and with compensation in accordance with the law.” The newly revised “Rural land contract law of the People’s Republic of China“ in 2018 proposes that “during the contract period, if the contracting farmers enter the city to settle down, they shall be guided and supported to transfer the contracted land management rights within the collective economic organization in accordance with the law on the principle of voluntariness and compensation, or return the contracted land for contracting party”, which officially raises the system of paid withdrawal of contracted land to the legal level. However, as the reform progressed, the results of the pilot reform revealed a series of problems. For example, it is difficult to deepen the pilot project of contracted land withdrawal, the scope of the pilot project is limited, the reform results are not sustainable, and the compensation fund is insufficient [3].
There are three main academic views on the withdrawal of contracted land in rural China. Firstly, it is believed that farmers have land property rights and should “bring their land to the city” or “enter the city with shares” [5,6]. The scholars who hold the first view mainly emphasize the power of rural contracted land subjects based on jurisprudence, and then discuss the theoretical and practical significance of contracted land withdrawal. Zhang [7] argues that the government should respect farmers’ land property rights, let them decide whether to withdraw from rural land according to market-based approaches, and encourage them to “enter the city with shares”. Jin [8] argues that farmers are a vulnerable group and allowing farmers to bring their land to the city acta as security for their land rights. Some scholars also emphasize from a theoretical perspective that the free withdrawal of farmers from their land can circumvent the “land transfer dilemma” [9,10]. However, “bringing land to the city” has led to inefficiencies and inequities in withdrawing rural land [3,11,12]. Secondly, it is considered that the contracted land management right is based on membership in a collective economic organization. Therefore, the link between non-farm employment farmers or agricultural migrants with urban household registration and rural land should be severed [13,14,15,16]. If farmers who “leave the farm and go to the city” continue to keep their farmland, they will become “absentee landlords” in the new era who settle in the city but hold farmland [17], and the rent they receive for their farmland is essentially a plundering of rural wealth by the city [18]. Thirdly, it is believed that the government should guarantee farmers’ free choice rights and land property rights, and establish a mechanism to withdraw from contracted land in rural areas voluntarily and with compensation by the law, which is currently the main idea of the Chinese government on contracted land withdrawal reform [19,20]. Paid withdrawal is the comprehensive result of realistic needs, institutional reflection, and policy consideration [21,22]. At present, the system’s plans for the withdrawal of contracted land from the pilot reform are mainly divided into three types: “land-for-cash”, “land-for-share”, and “land-for-social security” [23]. It meets the needs of different farmers for the land withdrawal but also faces problems such as insufficient compensation for land withdrawal and uncertain industrial development [22,24]. The policy of voluntary and compensated withdrawal of contracted land was intended to allow farmers who were no longer dependent on the land to withdraw from it and to allow those who still needed land security to keep it, but the actual result has been the opposite of the policy objective [25]. Farmers’ willingness to withdraw from contracted land is very low. The main reasons for farmers’ reluctance to withdraw from contracted land are the land security function, the land withdrawal risk, the compensation level, and the policy design [26,27,28,29,30,31]. The kind of policy that should be adopted for the withdrawal of rural contracted land in China is still in the exploratory stage. Although some studies have begun to pay attention to the policy design of the current contracted land withdrawal pilot, they all focus on the study of the adaptability of different institutional schemes under the paid withdrawal policy. There is almost no research on why farmers are still reluctant to withdraw from contracted land under the paid withdrawal policy and the effectiveness of the government’s paid withdrawal policy. Moreover, most of the existing research on the withdrawal of rural contracted land in China is based on a static perspective, and there is no discussion of the interest game between the government and farmers in the problem of rural contracted land withdrawal from the dynamic evolution perspective.
In fact, in the process of contracted land withdrawal, the government and farmers will constantly adjust their strategies according to their experience, and eventually tend to a certain stable state. This is a gradual process, and evolutionary game theory can be used to explain this process. Smith and Price [32] were the first to propose an analytical framework of evolutionary game theory. At present, evolutionary game theory is being applied to the study of land problems [33,34]. Zhang and Yi [35] constructed a two-party evolutionary game model of the government and migrant workers to discuss the influencing factors and possible equilibrium paths for migrant workers in the process of giving up their rural contracted land and homesteads and obtaining urban household registration. Lin and Song [36] used evolutionary game theory to analyze the interaction mechanism of various factors that affect the strategic choice of rural land transfer subjects under the two situations of government intervention and non-intervention. Liu et al. [37] constructed an evolutionary game model under three government punishment mechanisms, and discussed the impact of different punishment mechanisms on farmers’ withdrawal from their homesteads. Xie et al. [38] constructed two evolutionary game models about the central government, local governments, and farmers, and analyzed the dynamic changes in the strategies of the three main players in the cultivated land protection process, and modeled the impact of external factors on their strategies. Although evolutionary game theory can be used to analyze the dynamic evolution process of multiple players’ strategies, there is a certain deviation in the calculation of the benefits of the different decisions of participants based on the expected utility. Prospect theory provides a systematic theoretical framework for explaining such deviation behavior [39]. Prospect theory has been applied in areas such as rural land acquisition [40], homestead transfer [41,42], and land reform [43]. Zhuang and Qi [44], based on prospect theory, constructed a homestead withdrawal compensation model to analyze the decision-making process of different types of farmers’ homestead withdrawal behavior. Wu and Zan [45] analyzed individual land-loss value perception and decision-making weight based on the “value function” and “weighting function” of prospect theory and proposed that compensation for land-lost farmers should pay attention to their psychological value.
The existing research provides a theoretical basis for this paper, but it has the following shortcomings: First, existing studies have used evolutionary game theory to analyze problems such as homestead withdrawal and land acquisition and it has been applied less to the problem of rural contracted land withdrawal in China. Second, the existing evolutionary game research on land issues is more based on expected utility theory and does not employ prospect theory to analyze the risk decision-making of game players. To fill these research gaps, based on evolutionary game theory and prospect theory, this paper constructs a two-party game model between the government and farmers, and conducts in-depth research on the decision-making behavior and the main factors that affect farmers’ withdrawal from contracted land. It mainly answers the following three questions: First, can the government’s paid withdrawal policy effectively promote farmers’ land withdrawal from contracted land? Second, under the paid withdrawal policy, what are the key factors hindering farmers’ land withdrawal? Third, what is the evolutionary stable state (ESS) in a replicated dynamic system consisting of the government and farmers?
The main research contributions of this paper are as follows: First, we propose a new collaborative development framework that integrates the government and farmers into a complex system. By studying the effectiveness of China’s rural contracted land withdrawal reform policy and the key factors of why farmers are reluctant to withdraw from contracted land, we provide a theoretical basis for the current rural land policy. Second, based on prospect theory to calculate farmers’ prospective utility, we incorporate farmers’ psychological and risk factors into our decision analysis, which can effectively improve the understanding of farmers’ contracted land withdrawal decisions.
Before carrying out the analysis, this paper explains the concepts of “urbanized farmers” and “land withdrawal”. “Urbanized farmers” refer to farmers who have obtained the urban institutionalized social security (regardless of whether they have settled down) but still retain their contracted land. “Land withdrawal” means farmers who become citizens, withdraw from their contractual land management rights, and completely disassociate themselves from the land, which differs from the withdrawal of land ownership in countries with private land ownership.
The rest of this paper is structured as follows: Section 2 introduces the theoretical foundations of this paper and constructs a theoretical model. Section 3 presents the model construction and stability analysis. Section 4 presents the simulation experiments and analysis of the results. Section 5 discusses the findings of the study. Section 6 draws conclusions and makes recommendations.
2. Method
2.1. Theoretical Basis
2.1.1. Evolutionary Game Theory
Evolutionary game theory combines evolutionary ideas with game theory and uses the biological evolution principles to study the entire economy and society. Unlike classical games, evolutionary game theory holds that players are limited rather than fully rational due to the limited cognitive, perceptual, and expressive abilities of humans [46]. The evolutionary game theory takes groups as the research object and believes that the group has different strategies in the game. Still, more participants in the game process will adopt the strategy that can obtain higher benefits and eventually make the group stable in a certain state [47]. The analytical framework of evolutionary games mainly includes the following three parts: the payoff matrix of the participants, the replicative dynamic system, and the evolutionary stable state.
Payoff matrix. It refers to the profit of each strategy and natural state combination, one of the risk-based decision-making methods, by calculating the expected value of each decision-making scheme and taking the scheme with the largest expected value as the optimal decision-making scheme. The calculation of the expected value uses the income value of the decision plan in the natural state, multiplies it by the corresponding probability, and then adds it.
The replicative dynamic system. To investigate the dynamic adjustment process of the entire system, Taylor and Jonker [48] proposed the replicator dynamic (RD). It refers to a mechanism in which players with a simple imitation ability regarding dominant strategies and bounded rationality dynamically adjust strategies. Its core is that the more successful strategies in the population will gradually increase the number of individuals, which can be calculated by dynamic differential equations or differential equations [49].
Evolutionary stability strategies. In the game process, bounded rational game players cannot find the optimal strategy and equilibrium point from the beginning. Therefore, they need to learn constantly, imitate, and improve their strategies for themselves and others in the game [47].
2.1.2. Prospect Theory
Unlike the “rational man” hypothesis that has been used in economics for a long time, prospect theory explains the influence of irrational factors on human judgment and decision-making from people’s psychological and behavioral characteristics [50,51]. The theory holds that individuals will have different risk attitudes due to their different reference points for profit and loss. For the two game groups of the government and farmers, the government has absolute advantages in funds, information, and power, which can be assumed to be risk-neutral, and its strategy selection is based on expected returns. However, due to the weak risk resistance ability, the behavior of farmers is often difficult explain using the traditional expected utility theory. Prospect theory provides a systematic theoretical framework for explaining such deviant behaviors. The core of prospect theory is the value function and the decision weight function. The final choice of the decision-maker is based on the final value under different choices, which is determined by the value function and the weighting function as shown in Formulas (1) and (2):
Prospect theory suggests that people are valued through a value function when faced with future risk choices. The value function is a subjective evaluation used to measure people’s gains and losses relative to a reference point. This function has three important properties: reference dependence, loss aversion, and diminishing sensitivity. Reference dependence indicates that the perceived benefits people obtain in decision-making is the deviation of the actual benefit from the reference point benefit. Loss aversion indicates that people are more sensitive to losses than gains. Hence, the risk aversion factor in the value function. Diminishing sensitivity means that the greater the distance of people’s wealth from the reference level, the smaller the marginal amount of change in their value. As shown in Formula (2), represents the sensitivity of the decision-maker to gains and losses, , with a larger value of representing a more sensitive decision-maker. Regarding the shape of the value function, prospect theory indicates that when the result is a positive return, the return function is concave; when the result is a negative return, the return function is convex. The value function curve is shown in Figure 1.
Figure 1.
Value function curve.
Another important factor in determining the different options is the weight of each outcome. The weighting function in prospect theory is a nonlinear function of the objective probability of occurrence, and has the following characteristics: the weighting function is an increasing function of the objective probability , and , ; people usually overestimate low-probability events and underestimate high-probability events, and are not sensitive to changes in the probability in the intermediate stage. Specifically, when the probability is small, then ; when the probability is large, then . The curve of the weighting function is shown in Figure 2.
Figure 2.
Decision weight function curve.
In China’s rural contracted land withdrawal reform, the interests and needs of the government and farmers are different. Farmers hope to obtain better living conditions by withdrawing from contracted land. Still, the government not only wants to improve farmers’ living conditions but also the efficiency of contracted land withdrawal and achieve optimal allocation of resources between the supply and demand for land. When faced with a risk, the individual compares the actual utility with the utility at the reference point and makes a decision based on the results. Due to bounded rationality, it is difficult for the government and farmers to find the best strategy in a game. They can only gradually find the best strategy through continuous learning after many games. The process of finding the best strategy fits the analytical framework of evolutionary game theory, so the theory can be used to study the contracted land withdrawal system.
To sum up, both prospect theory and evolutionary game theory are based on the premise of bounded rationality. The combination of these two theories can reflect the decision-making psychology of the government and farmers in the face of uncertain profit and loss, and dynamically describe their strategic selection process. Moreover, we visualize the impact of different factors on their strategic choices using simulation techniques. Therefore, it is appropriate to use prospect theory and evolutionary game theory to study the changes in and influencing factors of the decision-making behavior of the government and farmers.
2.2. Theoretical Framework
During contracted land withdrawal, different game subjects constantly change their strategies by observing others’ strategies until they reach a stable state of maximizing their interests. Therefore, it is necessary to analyze the interest game relationship between the government and farmers in the conflict of rural contracted land withdrawal under different scenarios through an evolutionary game model.
As the policy maker of contracted land withdrawal, the government implements different policies to guide urbanized farmers to withdraw from their contracted land in order to gain the benefits of optimal allocation of land resources and socio-economic development. First, under the urban-rural dual structure, farmers who settle in cities automatically lose their collective membership and contract land. The village collectives reclaimed and redistributed contract land, creating an organized path of withdrawal from contracted land and effectively producing a system of withdrawal from contracted land without compensation [52]. Second, the newly amended Rural land contract law of the People’s Republic of China in 2018 emphasizes that farmers have the autonomy to withdraw from contracted land, creating an individualized path of withdrawal from contracted land, effectively producing a voluntary and compensated contracted land withdrawal system [53]. As the subject of the contracted land withdrawal policy, farmers’ strategies are influenced not only by the policy but also by psychological factors and risk tolerance. Rural contracted land has a security function centered on social security and unemployment security [54,55], and also carries farmers’ emotional needs, including rural social network relations and the ‘nostalgia’. Farmers are risk averse and more sensitive to losses and gains than the government, which means that the perceived loss of a farmer withdrawing from contracted land is greater than the actual loss of their withdrawal. Under the policy of paid withdrawal from contracted land, the withdrawal behavior of farmers also shows a risk preference for the compensation for land withdrawal. The limited attractiveness of the land withdrawal compensation to urban farmers is mainly due to the farmers’ tendency to preserve the value of their land as property and the low amount of government subsidies [23,56]. According to prospect theory, the farmers’ expected economic compensation for land withdrawal is the reference point for the benefits that the actual economic compensation for land withdrawal brings to the farmers. When the actual economic compensation for land withdrawal is lower than the expected economic compensation, the farmers’ perceived value of economic compensation for land withdrawal to the government is a negative benefit; when the actual economic compensation for land withdrawal is higher than the expected economic compensation, the farmers’ perceived value of economic compensation for land withdrawal to the government is a positive benefit. In addition, farmers who migrate to cities can enjoy urban household registration benefits, including career development, children’s education, and public services, while saving on farming or management costs. If farmers transfer their land out, they will have concerns about the instability of land property rights [57].
In the initial stage, the government and farmers do not cooperate due to positive externalities and information asymmetry. When the government implements an individualized withdrawal pathway policy and the farmer chooses not to withdraw from the contracted land, the government has to pay the costs of implementing the policy and does not obtain the economic and social benefits; the farmer continues to keep the land to obtain the benefits of land rent, land security, and emotional needs, but they need to pay the land management cost and the psychological cost of concerns about tenure instability. In the case of cost-benefit imbalance, the government will take the lead in breaking the situation and choose an organized withdrawal path policy. Under this policy environment, farmers who want to obtain urban household registration benefits must give up the benefits of land security, land rent, and emotional needs of the contracted land, and pay the migration cost. If the urban household registration benefits and urban wage income obtained by farmers after entering the city can offset the loss of entering the city, increasingly more farmers will learn and imitate this strategy, and eventually all farmers who want to enter the city will withdraw from the contracted land and realize a win-win situation for the government and farmers. If the benefits gained by the farmers after entering the city are lower than their losses, the farmers will be dissatisfied with this withdrawal policy, which may cause social instability. Under this negative social effect, the government will change its strategy and choose to implement an individualized withdrawal path policy. Therefore, farmers can obtain urban household registration benefits without leaving their contracted land. If the compensation received by the farmers for withdrawing from the contracted land meets their psychological expectations, the farmers will choose to withdraw from the contracted land, and the government and farmers will achieve a win-win situation. If the farmers’ psychological expectation of the government’s land withdrawal compensation is higher than the government’s compensation standard, the farmers will not withdraw from the contracted land. The government and farmers will continue to adjust their strategies until a stable equilibrium is reached.
Based on the above analysis, this paper integrated the government and farmers into the same dynamic evolutionary system, analyzed the game mechanism between the government and farmers in the process of contracted land withdrawal, and finally constructed the theoretical model, as shown in Figure 3.
Figure 3.
Theoretical framework. Notes: The blue dotted line represents the evolutionary trajectory of the farmer; the black dotted line represents the evolutionary trajectory of the government; ① and ② denote the evolutionary trajectory of the government’s implementation of the organized withdrawal path and the individualized withdrawal path, respectively; ③ and ④ denote the evolutionary trajectory of farmers opting to withdraw the contracted land and not to withdraw the contracted land, respectively.
2.3. Model Assumptions
Based on the status quo of rural contracted land withdrawal in China, the following assumptions are made about the costs and benefits to the government and farmers in the evolutionary game model:
Assumption 1. Both governments and farmers are bounded rational participants, and they must go through multiple games to make optimal strategies.
Assumption 2. In the withdrawal of rural contracted land, the government can choose to implement an organized withdrawal path, or they can choose to implement an individualized withdrawal path. The probabilities of the government implementing the two policies are and , respectively. Farmers can choose to withdraw from contracted land or they can choose not to withdraw from contracted land: the probability of farmers withdrawing from the contracted land is and the probability of not withdrawing from the contracted land is .
Assumption 3. Based on prospect theory, there is no difference between the perceived value and actual utility of the government and farmers for certain losses and gains. However, when losses and gains are uncertain, there is a difference between the perceived value and actual utility.
Assumption 4. Based on reference dependence theory, the government and farmers evaluate events according to their reference points. With different reference points, the perceived utility of decision-makers is also different. represents the difference between the actual profit of the player and the reference point after the event occurs, , where represents the expected profit or loss of the player under various strategies.
2.4. Prospect Theory-Based Return Matrix
In this study of contracted land withdrawal, since both the government and farmers have two strategies, there are four possible combinations of strategies.
- (1)
- Under the organized withdrawal path policy, the government does not compensate farmers for withdrawing from their contracted land. Farmers who choose to withdraw from contracted land will receive institutional benefits caused by the difference in urban and rural development and the household registration system, including personal career development, children’s education, and public services. For this, farmers have to pay a certain price, including land security income, land rent income obtained from the land transfer, etc. However, the strict household registration system may cause social problems, and the government will bear the resulting losses. Since the costs and benefits of farmers’ land withdrawal are uncertain, we use the prospect theory value function to measure the costs and benefits of farmers. The income of farmers and the government is expressed by Formulas (3) and (4), respectively:
Among them, represents the perceived utility of farmers’ urban wage income, , where is the probability of a farmer obtaining a job in the city after having an urban household registration, and is the farmer’s urban wage income. represents the perceived profit and loss of farmers who withdraw their land to obtain urban household registration benefits and lose land security benefits and land transfer benefits, , represents the urban household registration welfare, represents the land security income, represents the land rent income obtained from the land transfer, and represents the farmer’s emotional needs for farmland. is the cost of urban migration and is the government’s benefit from optimal allocation of land resources and social and economic development.
- (2)
- When the government chooses the organized withdrawal path, and the farmer does not withdraw the contracted land, the farmer can earn a wage income by working outside the home and receiving guaranteed land revenue and land rent. Still, there are costs associated with farming management, including the economic input, physical labor input, and time costs of farming. In addition, if farmers transfer land, they need to sign short-term or long-term land lease contracts with others, and the long-term land lease will cause concerns about the instability of land rights. The income of farmers and the government is expressed by Formulas (5) and (6), respectively:
Among them, represents the perceived utility of farmers’ urban wage income, , where is the probability that a farmer without an urban household registration obtains a job in the city. represents the perceived utility of farmers in obtaining land security benefits and land rent, . indicates the perceived utility of farmers not withdrawing from contracted land on farming management costs and fear of unstable land property rights, , is the cost of farming management, and is the psychological cost of worrying about unstable land property rights.
- (3)
- Under the individualized withdrawal path, the government needs to provide certain compensation to farmers who meet the withdrawal conditions and voluntarily withdraw, including economic compensation and guaranteed compensation. Farmers who choose to withdraw from contracted land can receive compensation from the government. Still, they also need to pay the price, including the loss of land security benefits and land rent from land transfer. Moreover, under the background of government-paid withdrawal, farmers expect economic compensation for withdrawing from contracted land. The reference point for the perceived utility of government economic compensation to farmers is the expected economic compensation for withdrawal. The income of farmers and the government is expressed by Formulas (7) and (8), respectively:
Among them, the specific meanings of and are as above, and represents the perceived utility of farmers’ compensation to the government’s economic compensation, , where is the government’s economic compensation for farmers and is the ideal economic compensation for farmers. represents the perceived utility of farmers to the government’s security compensation, , and is the government’s security compensation to farmers.
- (4)
- When the government chooses the individualized withdrawal path and the farmers choose not to withdraw from the land, the benefits of the farmers and the government are expressed by Formulas (9) and (10), respectively:
The payoff matrix of the government and farmers based on prospect theory is shown in Table 1.
Table 1.
The payoffs of the two-party players evolutionary game based on prospect theory.
3. Analysis of the Evolutionary Game
3.1. Model Solving
According to evolutionary game theory, the expected and average returns of the government and farmers under different strategies can be calculated. The specific calculation methods are as follows:
The expected returns of the government choosing the organized withdrawal path and the individualized withdrawal path are and , respectively, and the average return is , which are expressed by Formulas (11)–(13), respectively:
According to the above formula, the government’s replication dynamic equation is calculated, which can be expressed by Formula (14):
The expected returns of the farmers choosing to withdraw from the contracted land and not withdraw from the contracted land are and , respectively, and the average return is , which are expressed by Formulas (15)–(17), respectively:
Similarly, according to the above formula, the replication dynamic equation of farmers can be expressed by Formula (18):
According to the basic assumptions of evolutionary game theory, both sides of the game can make optimal strategies after multiple games. When the majority of individuals in the group choose the same strategy, the strategy is optimal. A replicated dynamical system is stable when the two players go through multiple games without changing their strategies. In a steady state, the strategic combination of all participants is a stable evolutionary strategy (ESS).
3.2. Stability Analysis of Dynamic Systems
In order to obtain the local stagnation point and the stable point (ESS) of the two players in the dynamic system, we set Formulas (14) and (18) to be 0, indicating that the strategies of the two players no longer change with time. At this time, the choice of each participant is the optimal strategy:
According to Formula (19), only when , or , the proportion of the government’s corresponding strategy is the local stagnation point of the game. Only when , or , the proportion of farmers’ corresponding strategies is the local stagnation point of the game. Therefore, the entire evolutionary dynamic system has five local stagnation points, which are , , , , and .
Evolutionary stable strategies must satisfy pure-policy Nash equilibria while other forms of Nash equilibria are unlikely to be stable strategies in the system [58]. represents the Nash equilibrium of the mixed strategy, which is unlikely to be the stable point of the system, so it will not be discussed in this article. According to the Lyapunov system stability theory, the eigenvalues of the Jacobian matrix can be used as the basis for judging the evolutionary stability of the other four local stationary points. At a certain point, if the eigenvalues of J are all less than 0, the stagnation point has asymptotic stability and is an evolutionary stable point; if the eigenvalues of J are all greater than 0, it is an unstable point; and if the eigenvalues of J are 1 or 2 greater than 0, it is a saddle point.
Based on the above analysis, the Jacobian matrix of the system can be calculated to determine whether the four local stagnation points are stable. By substituting the four points – into the Jacobian matrix of the system, four corresponding Jacobian matrices can be obtained, denoted as to , respectively, as shown in Formulas (20)–(23):
As shown above, the of and ( represents the eigenvalues of the second row and second column of the matrix) are opposite to each other. If is an evolutionary stable point, then must not be an evolutionary stable point. Similarly, the of and ( represents the eigenvalues of the second row and second column of the matrix) are opposite to each other. If is an evolutionary stable point, then must not be an evolutionary stable point. By comparing the eigenvalues of the four points, the system has the following two evolution states:
Case 1. and .
The constraint conditions of Case 1 indicate that (1) the cost of the government choosing the organized withdrawal path is lower than the cost of choosing the individualized withdrawal path and (2) the psychological expectation of farmers on the land withdrawal compensation amount is higher than the land withdrawal compensation amount paid by the government. Under these conditions, Table 2 presents the results of local stability analysis.
Table 2.
Analysis of the stability point of the game system in case 1.
Conclusions 1 can be drawn from the stability analysis results in Table 2.
Conclusions 1. Under the constraint conditions and , the stable strategies are ESS (0,0) and ESS (1,1), respectively.
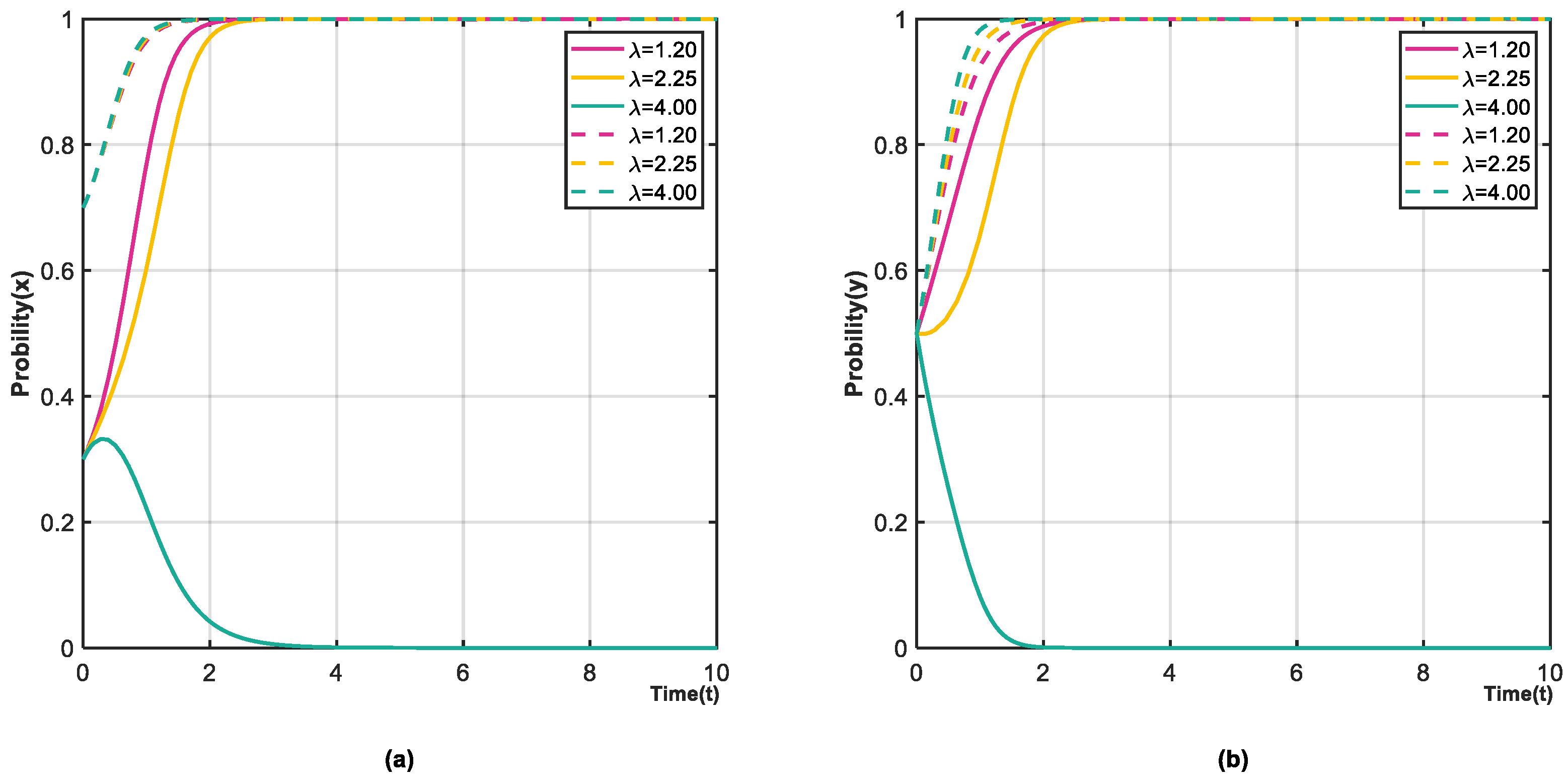
When the evolving system satisfies the constraints in Case 1, the system can reach local stability. To verify this conclusion, we use Matlab software to simulate the evolution of the strategies of government and farmers. Let the initial values of and be 0, and the dynamic evolution path of the game between the government and farmers under these conditions is obtained by running it as shown in Figure 4a. In order to further observe the evolutionary equilibrium trend of the group, the probabilities of the government choosing the organized withdrawal path policy () were set to 0.3, 0.5, and 0.7, respectively, representing three probabilities of low, medium, and high, respectively, and the evolution trend of the changes in the farmer group strategy () under different strategies of the government was obtained, as shown in Figure 3b–d. The parameter values are set as follows: , , , , , , , , , , , , , , , and .
Figure 4.
Game simulation of the government and farmers in case 1. (a) System evolution steady state. (b) When x = 0.3, the evolutionary steady state of farmers. (c) When x = 0.5, the evolutionary steady state of farmers. (d) When x = 0.7, the evolutionary steady state of farmers.
According to Figure 4a, the paths in the lower-left area all converge to the (0,0) point, indicating that when the strategy combination of the government and farmers is located in the lower-left area, the game process of the two will evolve into (individualized withdrawal path policy, not withdrawal from contracted land). On the contrary, all the paths in the upper-right converge to point (1,1), indicating that when the strategies of the government and farmers are located in the upper-right area, the game process will evolve into a state of (organized withdrawal path, withdrawal from contracted land). According to the evolution path diagram, the upper-right area is significantly larger than the lower-left area, indicating that if the government implements the organized withdrawal path policy, the probability of the system evolving to an ideal stable state is higher.
According to Figure 4b–d, the strategy choices of farmers are related to the strategies of government. When the probability that the government chooses to implement the organized withdrawal path is low (), 30% of the farmers will choose not to withdraw from the contracted land. Moreover, as the probability of the government implementing an organized withdrawal path increases, the proportion of farmers who choose to withdraw from contracted land increases. When the probability of the government implementing the organized withdrawal path is higher than 0.7, all farmers choose to withdraw from the contracted land. It shows that the swaying policy attitude will affect the determination of farmers to withdraw from the contracted land.
Case 2. and .
The constraint conditions of Case 1 indicate that (1) the cost of the government choosing an organized withdrawal path is higher than the cost of choosing an individual withdrawal path and (2) the psychological expectation of farmers on the land withdrawal compensation amount is lower than the land withdrawal compensation amount paid by the government. Under these conditions, Table 3 presents the results of local stability analysis.
Table 3.
Analysis of the stability point of the game system in Case 2.
Conclusions 2 can be drawn from the stability analysis results in Table 3.
Conclusions 2. Under the constraint conditions and , the stable strategy is ESS (0,1).
When the constraints in Case 2 are satisfied, the system has one and only one evolutionary stable point. Similarly, we use Matlab software to conduct simulation to verify this conclusion. To further observe the evolutionary equilibrium trend of the group, the probability x of the government choosing the organized withdrawal path policy is set to 0.3, 0.5, and 0.7, respectively, representing three probabilities of low, medium, and high. Figure 5b–d show the evolution trend of the farmer group strategy changes under different government strategies. The parameter values are set as follows: , , , , , , , , , , , , , , , .
Figure 5.
Game simulation of the government and farmers in Case 2. (a) System evolution steady state. (b) When x = 0.3, the evolutionary steady state of farmers. (c) When x = 0.5, the evolutionary steady state of farmers. (d) When x = 0.7, the evolutionary steady state of farmers.
As shown in Figure 5a, when the constraints of Case 1 are satisfied, there is one and only one system evolution stable point (0,1). According to Figure 5b–d, the higher the probability (1 − x) that the government implements the individualized withdrawal path, the faster the farmers choose to withdraw the contracted land.
3.3. Further Analysis in a Different Case
According to the above analysis, there are two cases for the dynamic evolution system. In different cases, when certain conditions are met, dynamic systems can eventually reach a certain evolutionary stable state. This section will further analyze the evolutionary stable state under different cases.
In Case 1, E1(1,1) and E4(0,0) are the evolutionary stable points. When the dynamic evolutionary system is stable at point E1(1,1), it means that the government implements an organized withdrawal path policy, and farmers choose to withdraw from the contracted land, at which point the respective interests of the government and the farmers are maximized. In the stable state of E1(1,1), farmers give up the benefits of land security, land rent, and emotional needs for land to obtain urban household registration benefits and urban wage income, among which the farmers’ emotional needs for land is the key factor preventing their withdrawal from contracted land. For farmers, the urban wage income is much higher than the land security income and land rent income, and the personal career development, children’s education, and public services obtained by entering the city can compensate for their emotional needs for land. For the government, on the one hand, farmers who withdraw from their contracted land and enter the city can obtain the urbanization system guarantee, avoiding the social instability caused by the forced withdrawal mechanism. On the other hand, farmers automatically give up their contracted land after obtaining urban household registration, which reduces the implementation cost of the government’s contracted land withdrawal policy. If the dynamic evolutionary system is stable at point E4(0,0), it means that the government implements an individualized withdrawal path, and farmers choose not to withdraw from the contracted land, at which point the respective interests of the government and the farmers are maximized. In the stable state of E4(0,0), the government gives certain compensation for the farmers who withdraw from the contracted land, but the farmers are unwilling to withdraw from the contracted land. For farmers, under the individualized withdrawal path policy, farmers do not need to withdraw from contracted land to obtain urban household registration benefits, which reduces the opportunity cost of farmers not to withdraw from contracted land. Moreover, the government’s land withdrawal compensation is lower than the farmers’ psychological expectations, and the contracted land carries the farmers’ feelings for their hometown, resulting in the cost of farmers’ contracted land withdrawal being higher than the cost of not withdrawing.
In case 2, E3(0,1) is evolutionary stable points, which means that the government implements an individualized withdrawal path, and farmers choose to withdraw from the contracted land, at which point the respective interests of the government and the farmers are maximized. In the stable state of E1(1,1), the government’s economic compensation for land withdrawal is the key factor for farmers to withdraw from contracted land. When the government’s economic compensation for land withdrawal is higher than the farmer’s ideal economic compensation for land withdrawal, the government’s individualized withdrawal policy has a positive effect on the farmer’s willingness to withdraw from the contracted land. On the one hand, farmers are risk-averse, and the government’s compensation for land withdrawal is higher than farmers’ psychological expectations, which reduces the risk of farmers’ withdrawal from contracted land. On the other hand, the economic and security compensation for land withdrawal provides funds for farmers who want to settle in the city at a certain point, offsetting their economic and emotional dependence on contracted land. For the government, as farmers receive land withdrawal compensation and settle in the city, the benefits of optimal allocation of land resources and socio-economic development are greater than the costs of implementing the individualized withdrawal policy. Therefore, the government chooses to implement the individualized withdrawal path.
4. Simulation Analyses of the Evolutionary Game
This section discusses the sensitivity of key parameters in Scenario 1 and Scenario 2. Including the probability of farmers obtaining job opportunities after returning their land to the city , farmers’ concerns about instability in land tenure , farmers’ ideal economic compensation for returning land , government security compensation to farmers , farmers’ sensitivity to profit and loss , and farmers’ risk aversion degree , when simulating the sensitivity of a certain parameter, the other parameters are unchanged. The parameter settings in this paper are obtained through three channels: First, according to the evolution of the Chinese government’s policy on the issue of the withdrawal of contracted land. For example, the “Rural Land Contract Law” promulgated in 2003 supports the contracting party to take back the contracted land of farmers who have moved to the city while the newly revised “Rural Land Contract Law” in 2018 cancels the power of village collectives to adjust the land of urbanized farmers and encourages governments to carry out paid land withdrawal policies according to local conditions. Second, the author conducted field investigations in several villages in Hubei, Henan, and Zhejiang, and, based on the first-hand data obtained through interviews with villagers, to understand the influence of villagers on the ideal amount of compensation for land relinquishment and their concerns about the instability of land rights. Third, combining expert opinions in the field of agricultural land. According to the information obtained from the above three channels, this paper simplifies the data processing, and the specific parameters are set as follows: , , , , , , , , , , , , , , , and . In addition, based on the analysis in the previous section, the probability of the government implementing a certain policy will also affect the evolution results, so the probabilities of the government implementing different policies are set to 0.3 and 0.7, respectively. It is assumed that farmers have no special preference for withdrawing contracted land, so we set the initial probability of farmers to 0.5.
4.1. Farmers’ Emotional Needs for Farmland
To reflect the impact of farmers’ emotional needs for farmland on the system, we take the farmers’ emotional needs for farmland and the initial probability of the government as variables and keep the other variables unchanged. Under the above setting, the changing process of a replicated dynamic system is shown in Figure 6. Both the farmers’ emotional needs for farmland and the initial probability of the government have a significant impact on the evolution results of the government and farmers. The greater the farmer’s emotional needs for farmland, the more the government is inclined to choose the individualized withdrawal path policy, and the more inclined the farmer is to choose not to withdraw from the contracted land. However, the initial probability of the government choosing the organized withdrawal path policy hinders the cooperation between the government and farmers. The lower the initial probability of the government choosing the organized withdrawal path, the more likely the farmers are not to withdraw from the contracted land.
Figure 6.
The impact of farmers’ emotional needs for farmland. (a) The evolutionary trajectory of government. (b) The evolutionary trajectory of farmers.
According to prospect theory, farmers who choose to withdraw from the contracted land will lose their emotional sustenance for nostalgia and rural social network relations. Therefore, in the face of the loss of emotional needs caused by the withdrawal of the land, the farmers show a preference for risk, and finally choose not to withdraw from the contracted land. Instead, the land is left as a sustenance for “nostalgia” and a property that increases and preserves value.
4.2. Concerns about Instability in Land Tenure
There may be hidden danger in unstable land tenure when farmers who settle down in cities lease contracted land. To reflect the impact of farmers’ concerns about the instability in land tenure on the evolutionary system, we take farmers’ concerns about instability in land tenure and the government’s initial probability as variables and keep the other variables unchanged; the change process of the dynamic system is shown in Figure 7. The farmers’ concerns about instability in land tenure has a significant impact on the choice of the government and farmers. Farmers’ concerns about the instability of land tenure can accelerate the government’s policy of the organized withdrawal path and farmers’ withdrawal from contracted land. Under the condition that the government chooses the organized withdrawal path policy at a high initial probability, farmers’ concerns about instability in land tenure will not change the final choice of the government and farmers. The government always chooses an organized withdrawal path policy, and farmers always choose to withdraw from their contracted land. However, under the low initial probability, when , the government chooses the individualized withdrawal path policy, and the farmers choose not to withdraw from contracted land.
Figure 7.
The impact of the concerns about instability in land tenure on the system. (a) The evolutionary trajectory of government. (b) The evolutionary trajectory of farmers.
4.3. Farmers’ Ideal Economic Compensation
According to the field investigation, it is found that there is a difference between the economic compensation for land withdrawal implemented by governments and the ideal economic compensation for farmers. To reflect the impact of farmers’ ideal economic compensation on the evolutionary system, we take farmers’ ideal economic compensation and the government’s initial probability as variables and keep the other variables unchanged; the change process of the dynamic system as shown in Figure 8. The lower the farmers’ ideal economic compensation for withdrawing from land, the more the government is inclined to implement an organized withdrawal path, and the more farmers are inclined to choose to withdraw from the contracted land. Compared with the organized withdrawal path policy, farmers’ ideal economic compensation for land withdrawal has a greater impact on the government’s implementation of the individual withdrawal path policy. Suppose the government is more inclined to implement an organized withdrawal path policy (). Even if the ideal economic compensation for the farmer’s land retreat is four times the government’s current compensation amount , the farmer still chooses to withdraw from the contracted land. Suppose the government is more inclined to implement an individualized withdrawal path policy (). When farmers’ ideal economic compensation for withdrawing from land is lower than the government’s current compensation amount, the government’s implementation of individualized withdrawal paths will promote farmers’ withdrawal from contracted land, and farmers will choose to withdraw from contracted land. When farmers’ ideal economic compensation for withdrawing land is higher than the government’s current compensation amount, the government’s individualized withdrawal path policy has an inhibitory effect on farmers’ withdrawal from contracted land.
Figure 8.
The impact of farmers’ ideal economic compensation on the system. (a) The evolutionary trajectory of government. (b) The evolutionary trajectory of farmers.
4.4. Government Security Compensation
Land plays an important role in unemployment insurance and social security for farmers. This feature determines that the government’s implementation of the individualized withdrawal path policy cannot rely solely on economic compensation for the land withdrawal but also meet the other security needs of farmers, such as farmers’ needs for medical care and pensions. To analyze the impact on the system of the security compensation received by the farmers who have withdrawn from the land, we take the security compensation of the government to the farmers and the initial probability of the government as variables; the change process of the dynamic system is shown in Figure 9. The government’s compensation has a role in promoting farmers’ withdrawal from contracted land. When the probability of the government implementing the organized withdrawal path is high (), the government security compensation has little impact on the government and farmers. When the government has a high probability of implementing an individualized withdrawal path (), reducing farmers’ security compensation will reduce farmers’ willingness to withdraw from contracted land.
Figure 9.
The impact of government security compensation on the system. (a) The evolutionary trajectory of government. (b) The evolutionary trajectory of farmers.
4.5. Sensitivity of Farmers to Profit and Loss
According to prospect theory, people are risk-averse when faced with gains and risk-loving when faced with losses. To analyze the influence of farmers’ sensitivity to profit and loss on the system evolution results, we take farmers’ sensitivity to profit and loss and the government’s initial probability as variables. The change process of the dynamic replication system is shown in Figure 10. When the probability of the government implementing the organized withdrawal path is high , no matter how sensitive farmers are to profit and loss, the evolution state of the government and farmers will eventually be stable, which indicates that the government will eventually choose to implement the organized withdrawal path policy, and farmers finally choose to withdraw from the contracted land. The sensitivity of farmers to profit and loss affects the speed of reaching a steady state for both the government and farmers, but it has a greater impact on farmers. The greater the sensitivity of farmers to profit and loss, the faster the speed of farmers reaching a steady state, which indicates that farmers are very sensitive to the perceived utility of profit and loss. As farmers’ sensitivity to profit and loss increases, the psychological gap between farmers’ profit and loss also increases. When the probability of the government implementing the individualized withdrawal path is high , the impact of farmers’ sensitivity to profit and loss on the government and farmers increases significantly. When farmers are more sensitive to profit and loss, the government and farmers are still stable (organized withdrawal path policy, withdrawal from contracted land). When the sensitivity of farmers to profit and loss is low (), the government and farmers are stable in the state of (individualized withdrawal path policy, not withdrawal from contracted land). This shows that under the government’s individualized withdrawal path policy, farmers’ sensitivity to profit and loss has a greater impact on whether farmers choose to withdraw from contracted land.
Figure 10.
The impact of the sensitivity of farmers to profit and loss on the system. (a) The evolutionary trajectory of government. (b) The evolutionary trajectory of farmers.
4.6. Degree of Risk Aversion of Farmers
In China, farmers belong to the low-income group, so they are more risk-averse. indicates that farmers are more sensitive to losses than gains. In order to analyze the degree of farmers’ aversion to risk on the system evolution results, we take the risk aversion of farmers and the government’s initial probability as variables, and the change process of the replication dynamic system is shown in Figure 11. When the government tends to choose the organized withdrawal path , the government and farmers will eventually stabilize in the state of (organized withdrawal path policy, withdrawal from contracted land), and the degree of risk aversion of farmers has little effect on their evolutionary state. When the government chooses the individual withdrawal path , farmers with high risk aversion will choose not to withdraw from the contracted land, and the government will then choose to implement the individualized withdrawal path policy. The government and farmers are stable (individualized withdrawal path policy, not withdrawal from contracted land). If the degree of risk aversion of farmers is small, the government and farmers are still stable in the state of (organized withdrawal path policy, withdrawal from contracted land). It shows that when the government implements the individualized withdrawal path policy, the degree of risk aversion has a greater impact on farmers.
Figure 11.
The impact of the degree of risk aversion of farmers on the system. (a) The evolutionary trajectory of government. (b) The evolutionary trajectory of farmers.
5. Discussion Based on Prospect Theory
5.1. Key Factors Influencing Government Policy Choices
Before the reform of the contracted land paid withdrawal system, the Chinese government achieved effective contracted land withdrawal through an organized withdrawal path policy, which is the same as our simulation results (1,1). Under this policy, only farmers who have obtained urban household registration and institutionalized social security can withdraw from the contracted land. The land of farmers who settled in the city should be “withdrawn as much as possible”, and the village collective has the right to take back and re-allocate the land. The withdrawal path of contracted land based on the collective land system is legal and reasonable. On the one hand, the contracted land is allocated by the village collective to the farmers for free to ensure their survival and development. Therefore, it is reasonable to return the contracted land to the village collective for free when the farmers no longer rely on the land [3]. On the other hand, the organized withdrawal path follows the principle of fairness [59]. The government provides land security for farmers living in the countryside and institutionalized social security for citizens. Farmers who settled in the city can enjoy the institutionalized social security, and the village collective distributes the contracted land that has been withdrawn to the farmers who remain in the countryside for free, avoiding the unfair problem caused by the wealthy farmers charging rents to the poor farmers who rely on land security [3,17].
In 2015, the Chinese government began to reform the contracted land withdrawal system. It gave farmers the right to withdraw from land, forming a paid individualized withdrawal path, which led to the unwillingness of farmers who settled in cities to withdraw from contracted land. This phenomenon is also consistent with our simulation results (0,0). Under this system, farmers who settle down in cities voluntarily withdraw from their contracted land, and they can obtain corresponding compensation, which weakens the land allocation function of the village collective and forms a market-oriented resource allocation method [60]. Based on the existing pilot reforms in China, the main reasons for the failure of the individualized withdrawal policy can be divided into the following aspects: First, from the perspective of those who have withdrawn from their land, government compensation for land withdrawal is generally less attractive [61]. On the one hand, China is in a period of urban expansion, and there is a lot of room for appreciating rural land. The economic conditions of farmers who settle down in cities are generally better, and they do not need emergency funds. Therefore, they are more willing to use the land as a property for appreciation and preservation [12,62]. On the other hand, based on non-economic factors such as emotions and social network, farmers are more willing to use the land as emotional sustenance and are reluctant to withdraw from the land [63,64]. The government’s compensation only considers the farmers’ economic costs, not the farmers’ emotional costs. Second, the dislocation of land supply and demand leads to low withdrawal efficiency. The principle of voluntary withdrawal leads to the fragmentation of the withdrawn land while the land demander needs concentrated and contiguous land. The village collective that loses the right to adjust and integrate the land cannot overcome the externality of the land transaction, reducing the efficiency of land withdrawal [65]. Third, the developed agricultural social services reduce the willingness of farmers to withdraw from contracted land. Farmers can outsource all aspects of agricultural production to specialized social service organizations. Farmers are freed from heavy agricultural labor and have ample time to engage in non-agricultural employment without leaving the land [66,67]. According to the simulation results and reform pilots, the organized withdrawal policy can efficiently and cost-effectively enable farmers who have settled in cities to withdraw from their contracted land. However, the individualized withdrawal policy implemented by the current government is hindered by farmers’ emotional needs and expectations for compensation for land withdrawal. Therefore, the government’s reform of the contracted land withdrawal system needs to fully consider the incomplete commodity properties of land and the complexity of land withdrawal.
According to the practice of land withdrawal from other countries, most countries currently implement private ownership of land, and only a few countries such as China, Cuba, and Vietnam currently adhere to public ownership of land. Among them, Vietnam, as a developing country adjacent to China, has the same social system and similar development stage as China, and displays obvious imprints of the “China Model” in its land system reform [68,69]. The land property rights in Vietnam have stable real right attributes, which are conducive to fair, free, and effective land withdrawal, forming a farmland withdrawal market, and creating preconditions for large-scale and modern agricultural operations [70]. Among the countries with private land ownership, Japan and Korea are “small farmer economies” similar to China [71]. These countries also face the problem of reallocation of rural land rights in the process of urbanization and industrialization [72]. Rural land ownership in countries with private ownership of land belongs to the farmers, which means that land withdrawal policies can only be guided and must have the full understanding and support of farmers, and cannot be enforced by measures of enforcement [73]. Specifically, the reallocation of land resources is based on the voluntary withdrawal rights of farmers, forming an individualized resource allocation model. The farmers’ attachment to the land and the fragmentation of the land have raised the transaction costs of land rights withdrawal, resulting in a failure to resolve resource allocation conflicts in the long-term [74,75]. In countries such as the United States, Australia, and Canada, land withdrawal is more efficient due to the weaker sociocultural attributes of land, more homogeneous land functions, and larger scale of arable land [76]. China’s land has social security functions and socio-cultural attributes that make it difficult to create a land withdrawal market. International experience shows that it is difficult to reallocate scattered private land rights through market means, and the individualized resource allocation mode cannot solve the problem of large-scale management of rural land after urbanization.
5.2. Key Factors Influencing Farmers to Withdraw from Contracted Land
With the advancement of urbanization, a large number of famers have become the urban population, requiring the establishment of a contracted land withdrawal system. In terms of the subject of contracted land withdrawal, farmers’ withdrawal from contracted land has gone through a stage from active withdrawal to passive withdrawal. During the stage of the government’s implementation of the organized withdrawal policy, farmers who settled in cities voluntarily gave up their contracted land in order to obtain urban household registration and institutionalized social security [77]. On the one hand, farmers obtaining urban household registration can bring many benefits, such as personal career development, children’s education, and public services [78]. On the other hand, with the further expansion of non-agricultural employment in China, the main income source for farmers is non-agricultural employment, and they spend less time and effort on agriculture [79]. However, land security income and land rent from land transfer account for a relatively low proportion of farmers’ income, and long-term lease of land may bring hidden dangers of unstable land rights [80]. Considering comprehensive interests, farmers who are less dependent on agriculture will voluntarily give up their contracted land.
At the stage of the government’s implementation of the individualized withdrawal policy, the government cancelled the policy of the village collective taking back the contracted land for free and advocated farmers withdraw from the contracted land voluntarily and with compensation. However, this practice actually led to the passive withdrawal of farmers based on the expectation of government compensation. Although the government proposes to withdraw from contracted land with compensation, the weak nature of agriculture determines that the government’s economic compensation for land withdrawal has limited attractiveness [81]. Moreover, the behavior of farmers in withdrawing their land is regulated by the market price mechanism. They measure the economic value of the land according to the market price and have ideal standards for the government’s economic compensation for land withdrawal. Many scholars have found through surveys that farmers’ expectations of economic compensation for land withdrawal are generally higher than the actual compensation for land withdrawal. Liu and Fang [82] conducted a survey on land withdrawal from 106 villages in the suburbs of Shanghai and found that nearly half (47.82%) of the farmers were unwilling to withdraw from their contracted land due to insufficient compensation. He et al. [83] found that the compensation standard based on the needs of farmers was about 53,000 yuan per person, which was higher than the current compensation standard in Chengdu. Zhang [84] found that according to a survey of 12 administrative villages in Bengbu City and Fuyang City, 38.3% of the farmers who were willing to withdraw from their contracted land hoped to be compensated at the market assessed price. According to prospect theory, farmers have a reference point for the perceived benefits of economic compensation for land withdrawal. When the government’s economic compensation for land withdrawal is lower than the ideal standard for farmers, farmers’ perceived benefits of the government’s implementation of paid withdrawal policies are negative. When it comes to losses, people prefer risk. Therefore, farmers choose not to withdraw from the contracted land in order to pursue the appreciation of the land [85]. Conversely, when the government’s economic compensation for land withdrawal is higher than the ideal standard of farmers, the government’s paid withdrawal policy has a positive effect on farmers. In addition, the current experience of China’s pilot reform of contracted land withdrawal shows that some farmers are very concerned about their livelihood security after withdrawing from contracted land, such as medical care and pensions. Therefore, some pilot areas proposed the form of “land for social security” to encourage farmers to withdraw from contracted land. A study showed that 65.34% of the sample farmers were willing to withdraw from the rural contracted land, and more than half (53.78%) of them were willing to exchange the rural contracted land for social security [82]. According to prospect theory, compared to economic compensation, security compensation is a definite benefit, and people are often risk-averse when faced with benefits. Therefore, the security compensation has a promoting effect on the farmers’ withdrawal from the contracted land.
6. Conclusions and Policy Implications
Currently, the Chinese government is exploring the withdrawal system of contracted land, trying to replace the organized withdrawal path with the individual withdrawal path. However, judging from the pilot reforms, the individualized withdrawal path does not match the non-commodified nature of the land, and the effect of the reform is unsatisfactory. The main conclusions are as follows:
- (1)
- When the government’s economic compensation for farmers’ land withdrawal is higher than the farmers’ ideal economic compensation for land withdrawal, implementing the individualized withdrawal path policy will promote farmers’ willingness to withdraw from contracted land. On the contrary, economic compensation for land withdrawal hinders farmers’ willingness to withdraw from contracted land.
- (2)
- The government’s economic compensation for farmers withdrawing from contracted land is significantly lower than their ideal expectation. Therefore, under the policy of individualized withdrawal paths, farmers choose not to withdraw from contracted land, and under the organized withdrawal path, farmers choose to withdraw the contracted land.
- (3)
- The initial probability of government policy implementation has an impact on whether farmers withdraw the contracted land, and the initial probability of government policy implementation and other variables have a common impact on the system’s evolution.
- (4)
- If the government is more inclined to implement an individualized withdrawal path policy, the farmers’ emotional needs, ideal economic compensation, and risk aversion degree will hinder farmers’ withdrawal from contracted land. The greater the impact of these factors on farmers, the more inclined the government is to implement individualized withdrawal path policies.
- (5)
- If the government is more inclined to implement an individualized withdrawal path policy, the farmers’ concerns about unstable land rights, and sensitivity to profit and loss, and the government’s security compensation will promote farmers’ withdrawal from contracted land. The greater the impact of these factors on farmers, the more inclined the government is to implement organized withdrawal path policy.
Based on the above research conclusions, this paper makes the following four policy recommendations:
- (1)
- Build a compensation mechanism for the withdrawal of contract rights under the dual support system of the government and the market. Firstly, the government should establish a scientific and effective land value assessment system. Secondly, it is recommended to implement the land withdrawal compensation policy, which is mainly based on market-based compensation and supplemented by government compensation. Finally, while protecting the rights and interests of farmers, it is also necessary to prevent land capitalization, avoid speculation about the value of agricultural land, and make farmers have reasonable expectations of the property attributes of agricultural land.
- (2)
- Establish a risk prevention mechanism for farmers to withdraw their land contract rights. To reduce the possible risks in terms of employment and social security after farmers withdraw from the land contract rights, it is necessary to ensure that farmers have jobs, incomes, and long-term family life security after withdrawing from the land contract rights. Vocational skills training should be strengthened for farmers who have withdrawn from contracted land to improve their employment ability in cities and guarantee their stable non-agricultural income.
- (3)
- Innovate governance strategies for emotional attachment to land. First, adhere to the principles that farmers are the main body, the government supports and guides, and the market allocates resources. It shall not violate the willingness of the contracted farmers, damage the rights and interests of farmers, or change the land use. Secondly, focus on the emotional and ritualistic nature of contracted land withdrawal measures, giving villagers a certain degree of choice and decision-making rights. Finally, implement emotional comfort strategies among farmers after withdrawing. Farmers can be allowed to withdraw from most of their land first and reserve a small portion to meet their emotional needs for land. Alleviate the villagers’ emotional needs for the land by organizing diverse community cultural activities.
- (4)
- Strengthen the village collective’s power to allocate land resources. Promoting the effective withdrawal of contracted land requires optimization of the collective land system under the new institutional environment and giving full play to the role of the collective land system. However, emphasizing the importance of the collective land system is not to return to the organized withdrawal path but to explore a more effective land withdrawal path through institutional innovation when the institutional environment has changed.
Author Contributions
M.T. is responsible for conceptualization, methodology, software, investigation, writing—original draft, and writing—review and editing. Y.Z. is responsible for writing—original draft, validation, formal analysis, and software. All authors have read and agreed to the published version of the manuscript.
Funding
Supported by the National Social Science Foundation of China (No. 21CJY049).
Institutional Review Board Statement
Not applicable.
Informed Consent Statement
Not applicable.
Data Availability Statement
The specific data of the survey samples cannot be made public.
Acknowledgments
We acknowledge the financial support of the National Social Science Foundation of China (No. 21CJY049).
Conflicts of Interest
The authors declare no conflict of interest.
References
- National Bureau of Statistics of China. Seventh National Population Census Bulletin (No. 7). 2021. Available online: http://www.stats.gov.cn/tjsj/tjgb/rkpcgb/qgrkpcgb/202106/t20210628_1818826.html (accessed on 1 May 2022).
- Xie, D. Economic and Social Transition and Rural Land Property Rights Change: Empirical Evidence of China. J. Huazhong Univ. Sci. Technol. (Soc. Sci. Ed.) 2020, 34, 74–84. [Google Scholar]
- Wang, H. The Path Evolution, Practical Dilemma and Reflection of Contracted Land Withdrawal. J. Nanjing Agric. Univ. (Soc. Sci. Ed.) 2022, 22, 126–134. [Google Scholar]
- Rural Economy Research Department, Development Research Center of the State Council. Reconstruction of Property Rights under Collective Ownership; China Development Press: Beijing, China, 2015.
- Huang, Z. Urbanisation and the ownership of ‘in-town’ collective land. Chin. J. Law 2014, 36, 47–62. [Google Scholar]
- Zhou, Q. Agricultural Land Ownership and Land Acquisition Systems—A Major Choice for China’s Urbanization. China Econ. Q. 2004, 4, 193–210. [Google Scholar]
- Zhang, L. Protection and realisation of property rights to land in the process of peasant citizenship. Macroeconomics 2011, 33, 13–17+41. [Google Scholar]
- Jin, L. Study on the protection of land rights and interests of peasants settling in cities in the context of urban-rural integration. Issues Agric. Econ. 2017, 38, 48–59. [Google Scholar]
- Wang, L.; Wang, C.; Li, Z. A study on the impact of farm household fragmentation on the willingness to withdraw from farmland contract management rights. China Land Sci. 2015, 29, 27–33. [Google Scholar]
- Liu, T.; Kong, X. Participating Willingness, Realize Mechanism and Land Usufruct Abdication in the Process of New Urbanization. Reform 2016, 29, 79–89. [Google Scholar]
- Wang, X. Amphibious urbanization: Another practical expression of peasants moving to the city—A study based on village Z in county P, Ningxia. Ningxia Soc. Sci. 2017, 36, 122–128. [Google Scholar]
- Zhou, N.; Cheng, W.; Zhang, L. Land rights and investment incentives: Evidence from China’s Latest Rural Land Titling Program. Land Use Policy 2022, 117, 106126. [Google Scholar] [CrossRef]
- Wen, T. China New Rural Development Report; Fujian People’s Publishing House: Fujian, China, 2010. [Google Scholar]
- He, X. The Logic of Land Rights: Where Is China’s Rural Land System Heading? China University of Political Science and Law Press: Beijing, China, 2010. [Google Scholar]
- Zhang, L. The Cultivator Has His Own Land: The Reality and Logic of China’s Arable Land System; China University of Political Science and Law Press: Beijing, China, 2012. [Google Scholar]
- Du, W.; Ren, D. Analysis of the legal basis for the withdrawal of rural land contract rights. China Land Sci. 2011, 25, 16–21. [Google Scholar]
- Guo, X. Returning the contracted land to the collective in the progress of farmer-worker citizenization and a new approach TO institutional reforming china. Econ. Theory Bus. Manag. 2014, 34, 14–23. [Google Scholar]
- Fei, X. Jiangcun Economy: The Life of a Chinese Farmer; The Commercial Press: Beijing, China, 2001. [Google Scholar]
- Zhong, Z.; Nie, J. On the Establishment of a Sound Mechanism for Withdrawal of Rural Land Contract Management Rights. Reform Econ. Syst. 2012, 30, 84–87. [Google Scholar]
- Huang, Y.; Zong, Z. Exit Mechanism for Rural Land Contracting and Management Rights in Urbanization Process. J. Northwest AF Univ. (Soc. Sci. Ed.) 2014, 14, 13–18. [Google Scholar]
- Wang, X.; Li, J.; Wang, Z.; Zhang, Z. The compensation mechanism about the rural land exit under the background of new urbanization. J. Arid Land Resour. Environ. 2016, 30, 19–24. [Google Scholar]
- Gao, Q.; Song, H. Study on the Exit Mechanism of Contractual Right of Rural Lands. J. Nanjing Agric. Univ. (Soc. Sci. Ed.) 2017, 17, 74–84. [Google Scholar]
- He, J.; Yang, Z. The Economic Compensation Model, the Characteristics of Farmer Households and the Exit of Land Contract Right. Jiangxi Soc. Sci. 2021, 41, 70–81. [Google Scholar]
- Ding, Y.; Wang, P.; Guo, X. Research on the Paid Exit Mechanism of Land Contract Management Right for Farmers with Different Endowments—Based on the Experience and Enlightenment of Shizhong District, Neijiang City, Sichuan Province. Rural Econ. 2019, 37, 57–64. [Google Scholar]
- Zou, Y. The Transmutation and Reconstruction of Collective Ownership under the Evolution of the Relationship between Industry and Agriculture and between Urban and Rural Areas. Economist 2022, 34, 99–108. [Google Scholar]
- Li, R.; Ye, X. Rural-Household Differentiation, Rural Land Circulation and the Withdrawal of Land Contract Right. Reform 2019, 32, 17–26. [Google Scholar]
- Wang, Z.; Yang, Q.; Li, B. Analysis of farmers’ rural land exit risk perceptions and their influencing factors: Empirical evidence from Chongqing. China Land Sci. 2015, 29, 81–88. [Google Scholar]
- Luo, B. The Institutional Change under the Circumstance of Farmland Security and Exit Conditions: Welfare Function to Property Function. Reform 2013, 24, 66–75. [Google Scholar]
- Liu, T.; Niu, L. Rural-household Differentiation, Willingness of Land Usufruct Abdication and Farmers’ Choice Preference. China J. Popul. Res. Environ. 2014, 24, 114–120. [Google Scholar]
- Duke, J.M.; Marisova, E.; Bandlerova, A.; Slovinska, J. Price repression in the Slovak agricultural land market—ScienceDirect. Land Use Policy 2004, 21, 59–69. [Google Scholar] [CrossRef]
- Dijk, T.V. Scenarios of Central European land fragmentation. Land Use Policy 2003, 20, 149–158. [Google Scholar] [CrossRef]
- Smith, J.; Price, G.R. The logic of animal conflict. Nature 1973, 246, 15–18. [Google Scholar] [CrossRef]
- Bao, H.; Yuan, D.; Zhuang, H. An Evolutionary Game Theory Analysis on Land Supervision and Land Speculation. China Land Sci. 2014, 28, 29–36+67. [Google Scholar]
- Guo, B.; Li, J.; Liu, S. Evolutionary Game Model on Competition and Cooperation Between Counties in Land-supplied Proces. Chin. J. Manag. Sci. 2015, 23, 77–85. [Google Scholar]
- Zhang, W.; Yi, Y. Evolutionary game theory analysis of migrant workers’ household registration reform: Chongqing as an example. J. Chongqing Univ. (Soc. Sci. Ed.) 2016, 22, 1–9. [Google Scholar]
- Lin, T.; Song, G. Evolutionary game analysis of farmland transfer strategy between stakeholders based on land—scale operation: Taking Keshan county as an example. J. Arid Land Resour. Environ. 2018, 32, 15–22. [Google Scholar]
- Liu, J.; Meng, W.; Li, Y.; Huang, B.; Zhang, B. Effective guide for behaviour of farmers in the withdrawal of rural homesteads: An evolutionary game-based study. Math. Biosci. Eng. 2022, 19, 7805–7825. [Google Scholar] [CrossRef]
- Xie, H.; Wang, W.; Zhang, X. Evolutionary game and simulation of management strategies of fallow cultivated land: A case study in Hunan province, China. Land Use Policy 2018, 71, 86–97. [Google Scholar] [CrossRef]
- Dong, J.; Jiang, Y.; Liu, D.; Dou, X.; Liu, Y.; Peng, S. Promoting dynamic pricing implementation considering policy incentives and electricity retailers’ behaviors: An evolutionary game model based on prospect theory. Energy Policy 2022, 167, 113059. [Google Scholar] [CrossRef]
- Li, H.; Huang, X.; Kwan, M.-P.; Bao, H.X.; Jefferson, S. Changes in farmers’ welfare from land requisition in the process of rapid urbanization. Land Use Policy 2015, 42, 635–641. [Google Scholar] [CrossRef] [Green Version]
- Kong, X.; Liu, Y.; Jiang, P.; Tian, Y.; Zou, Y. A novel framework for rural homestead land transfer under collective ownership in China. Land Use Policy 2018, 78, 138–146. [Google Scholar] [CrossRef]
- Li, J.; Lo, K.; Zhang, P.; Guo, M. Reclaiming small to fill large: A novel approach to rural residential land consolidation in China. Land Use Policy 2021, 109, 105706. [Google Scholar] [CrossRef]
- Feng, L.; Bao, H.X.; Jiang, Y. Land reallocation reform in rural China: A behavioral economics perspective. Land Use Policy 2014, 41, 246–259. [Google Scholar] [CrossRef] [Green Version]
- Zhuang, J.; Qi, B. Decision-Making of Different Types of Farmers’ Homestead Exit Behavior from the Perspective of Prospect Theory. J. Agro-For. Econ. Manag. 2022, 21, 87–94. [Google Scholar]
- Wu, Z.; Zan, Z. Theoretical Analysis of Land Loss Compensation from the Perspective of Prospect Theory. J. Agrotech. Econ. 2014, 11, 4–13. [Google Scholar]
- Tuyls, K.; Nowé, A. Evolutionary game theory and multi-agent reinforcement learning. Knowl. Eng. Rev. 2005, 20, 63–90. [Google Scholar] [CrossRef]
- Adami, C.; Schossau, J.; Hintze, A. Evolutionary game theory using agent-based methods. Phys. Life Rev. 2016, 19, 1–26. [Google Scholar] [CrossRef]
- Taylor, P.D.; Jonker, L.B. Evolutionary stable strategies and game dynamics. Math. Biosci. 1978, 40, 145–156. [Google Scholar] [CrossRef]
- Friedman, D. Evolutionary economics goes mainstream: A review of the theory of learning in games. J. Evol. Econ. 1998, 8, 423–432. [Google Scholar] [CrossRef]
- Booij, A.S.; Van Praag, B.; Van De Kuilen, G. A parametric analysis of prospect theory’s functionals for the general population. Theory Decis. 2010, 68, 115–148. [Google Scholar] [CrossRef]
- Barberis, N.C. Thirty years of prospect theory in economics: A review and assessment. J. Econ. Perspect. 2013, 27, 173–196. [Google Scholar] [CrossRef] [Green Version]
- Qu, F.; Ma, X.; Guo, G. Institutional Logic and Major Contribution of Centennial Land Policy to Political Order, Economic Development and National Governance. J. Manag. World 2021, 37, 1–15. [Google Scholar]
- Fan, C.; Tan, J.; Lei, J. A Comparative Study on the Modes of Paid Exit of Farmers’ Contracted Land. Rural Econ. 2017, 5, 37–41. [Google Scholar]
- Zhu, W.; Luo, B. Rural Land Price Illusion: Farmland Market Failure Triggered by Differences in Value Evaluation: An Analysis Based on Survey Data from 9 Provinces. China Rural Surv. 2018, 5, 67–81. [Google Scholar]
- Xu, Z.; Ning, K.; Zhong, F.; Ji, Y. New Rural Pension Insurance and Land Transfer: Can Institutional Pension Replace Land Pension? Based on the Perspectives of Family Demographic Structure and Liquidity Constraint. J. Manag. World 2018, 34, 86–97+180. [Google Scholar]
- Zhang, X.; Zhao, J. The Exit of Rural Contracted Land: Theoretical Logic and Choice Preference. Rural Econ. 2019, 11, 53–59. [Google Scholar]
- Dong, D.; Gu, S.; Shen, F. Analysis on the Driving Factors of Rural Residential Area Expansion in Traditional Agricultural Region: Based on the Survey in Pingdu County, Shandong Province. China Land Sci. 2011, 25, 73–78. [Google Scholar]
- Friedman, D. On economic applications of evolutionary game theory. J. Evol. Econ. 1998, 8, 15–43. [Google Scholar] [CrossRef] [Green Version]
- Liu, L. The concept of “Absentee Landlord” should be used with Cautionon: Concurrently Discussing the Protection of the Legal Land Rights and interests of Rural Migrant Farmers. J. Guizhou Norm. Univ. (Soc. Sci.) 2021, 6, 70–78. [Google Scholar]
- Wang, H. Study on the Withdrawal System and Reform Dilemma of Contracted Land from the Perspective of Collective Ownership. Economist 2020, 32, 76–84. [Google Scholar]
- Wang, P.; Ding, Y.; Guo, X. Withdrawal of farmland contract management rights under the background of “separation of three rights”: Interest demands, interest structure and conflict of interests. Rural Econ. 2021, 39, 25–31. [Google Scholar]
- Jiang, R.; Xiao, L.; Jia, J. migrant workers’ willingness, behavior and transformation in urban settlement from family perspective: The moderating effect of housing situation. Northwest Popul. J. 2018, 39, 112–118+126. [Google Scholar]
- Liu, T.; Wu, G. Do agricultural mechanization and farmland leasing emhance farmers’ willingness of land usufrust abdication? J. China Agric. Univ. (Soc. Sci.) 2021, 38, 123–133. [Google Scholar]
- Wang, J.; Xu, Y.; Zou, L.; Wang, Y. Does Culture Affect Farmer Willingness to Transfer Rural Land? Evidence from Southern Fujian, China. Land 2021, 10, 594. [Google Scholar] [CrossRef]
- Wang, S.; Li, D.; Li, T.; Liu, C. Land use transitions and farm performance in China: A perspective of land fragmentation. Land 2021, 10, 792. [Google Scholar] [CrossRef]
- Zheng, Y.; Luo, J. Why Farmers Are Unwilling to Transfer Land: Interpretating Reasons behind Their Behavior. Economist 2019, 31, 104–112. [Google Scholar]
- Liu, T. Agricultural mechanization, nonfarm work and farmers’ willingness to abdicate contracted land. China Popul. Resour. Environ. 2016, 26, 62–68. [Google Scholar]
- Ye, Q.; He, L. Experience and Enlightenment of Promoting Rural Land Reform in Vietnam. World Agric. 2015, 37, 143–146. [Google Scholar]
- Nguyen, H.L.; Duan, J.; Zhang, G.Q. Land Politics under Market Socialism: The State, Land Policies, and Rural–Urban Land Conversion in China and Vietnam. Land 2018, 7, 51. [Google Scholar] [CrossRef] [Green Version]
- Fforde, A. Vietnamese agriculture: Changing property rights in a mature collectivized agriculture. In Communist Agriculture; Routledge: London, UK, 2004; pp. 117–141. [Google Scholar]
- Fan, S.; Chan-Kang, C. Is small beautiful? Farm size, productivity, and poverty in Asian agriculture. Agric. Econ. 2005, 32, 135–146. [Google Scholar] [CrossRef] [Green Version]
- Jeon, Y.-D.; Kim, Y.-Y. Land reform, income redistribution, and agricultural production in Korea. Econ. Dev. Cult. Chang. 2000, 48, 253–268. [Google Scholar] [CrossRef]
- Gui, H. Reconstruction of the relationship between people and land in rural areas and the release of land management rights——Institutional choice from the perspective of urbanization. Study Explor. 2018, 41, 68–80. [Google Scholar]
- Boyce, J.K.; Rosset, P.; Stanton, E.A. Land reform and sustainable development. Reclaiming Nat. Environ. Justice Ecol. Restor. 2005, 9, 127–150. [Google Scholar]
- İşcan, T.B. Redistributive land reform and structural change in Japan, South Korea, and Taiwan. Am. J. Agric. Econ. 2018, 100, 732–761. [Google Scholar] [CrossRef]
- Breustedt, G.; Glauben, T. Driving forces behind exiting from farming in Western Europe. J. Agric. Econ. 2007, 58, 115–127. [Google Scholar] [CrossRef]
- Zhang, X.; Liu, H. Analysis of the Factors Affecting the Contracted-land Withdrawal of the Farmers Who Left the Countryside. West Forum 2013, 23, 1–10. [Google Scholar]
- Mallee, H. China’s household registration system under reform. Dev. Chang. 1995, 26, 1–29. [Google Scholar] [CrossRef]
- Cao, D.; Zhou, M. The Abdication of Land Contract Right: Policy Evolution, Connotation and Key Problem. Issues Agric. Econ. 2021, 42, 17–27. [Google Scholar]
- Mwangi, E. Subdividing the commons: Distributional conflict in the transition from collective to individual property rights in Kenya’s Maasailand. World Dev. 2007, 35, 815–834. [Google Scholar] [CrossRef]
- Liu, L.; Liu, Z.; Gong, J.; Wang, L.; Hu, Y. Quantifying the amount, heterogeneity, and pattern of farmland: Implications for China’s requisition-compensation balance of farmland policy. Land Use Policy 2019, 81, 256–266. [Google Scholar] [CrossRef]
- Liu, T.; Fang, Z. The choice of rural contracted land exit in the process of urbanization: A case study of the suburbs of Shanghai. Chongqing Soc. Sci. 2018, 15, 15–23. [Google Scholar]
- He, Y.; Ran, R.; Yin, Q.; Liu, Y.; Dai, X. Study on the compensation standard of land contract management right withd rawal*—Based on the survey OF farmers’ needs. Chin. J. Agric. Resour. Reg. Plan. 2018, 39, 231–236. [Google Scholar]
- Zhang, Y. The Willingness, Compensation Demands and Policy Suggestions of Farmers’ Withdrawal from Land Contract Management Right. Acad. J. Zhongzhou 2020, 42, 39–45. [Google Scholar]
- Zhou, T.; Koomen, E.; Ke, X. Determinants of farmland abandonment on the urban–rural fringe. Environ. Manag. 2020, 65, 369–384. [Google Scholar] [CrossRef] [Green Version]
Publisher’s Note: MDPI stays neutral with regard to jurisdictional claims in published maps and institutional affiliations. |
© 2022 by the authors. Licensee MDPI, Basel, Switzerland. This article is an open access article distributed under the terms and conditions of the Creative Commons Attribution (CC BY) license (https://creativecommons.org/licenses/by/4.0/).










