Abstract
Identifying the drivers of land use and cover change (LUCC) is crucial for sustainable land management. However, understanding spatial differentiation and conducting inter-regional comparisons of these drivers remains limited, particularly in regions like Malaysia, where complex interactions between human activities and natural conditions pose significant challenges. This study presents a novel analytical framework to examine the spatial variations and complexities of LUCC, specifically addressing the spatiotemporal patterns, driving factors, and pathways of LUCC in Malaysia from 2010 to 2020. Integrating the land use transfer matrix, GeoDetector model, and Structural Equation Modeling (SEM), we reveal a significant expansion of farmland and urban areas alongside a decline in forest cover, with notable regional variations in Malaysia. Human-driven factors, such as population growth and economic development, are identified as the primary forces behind these changes, outweighing the influence of natural conditions. Critically, the interactions among these drivers exert a stronger influence on LUCC dynamics in Malaysia than any single factor alone, suggesting increasingly complex LUCC predictions in the future. This complexity emphasizes the urgency of proactive, multifaceted, and region-specific land management policies to prevent irreversible environmental degradation. By proposing tailored land management strategies for Malaysia’s five subnational regions, this study addresses spatial variations in drivers and climate resilience, offering a strategic blueprint for timely action that can benefit Malaysia and other regions facing similar challenges in sustainable land management.
    1. Introduction
Malaysia, known for its rich biodiversity, faces mounting environmental and social challenges such as deforestation, emerging infectious diseases, heatwaves, and floods [,,,,]. Since 2000, Malaysia lost an average of 140,200 ha of forest annually, amounting to 0.65% of its total forest area []. This deforestation has led to devastating consequences, including the spread of diseases like the Nipah virus, which emerged due to forest fragmentation and livestock intensification [,]. Additionally, deforestation has accelerated carbon dioxide emissions, further exacerbating the risks of catastrophic extreme climate change [,,], which is expected to have severe effects on tropical developing countries like Malaysia. Projections indicate that by 2050, Malaysia will experience a 6.4 °C rise in average temperatures and a 10.6% increase in annual rainfall, leading to more frequent heatwaves and destructive floods []. The persistent forest degradation trends [,,] underscore the fragile nature of Malaysia’s commitment at the 1992 Rio Earth Summit to maintain at least 50% forest cover, highlighting the urgency for immediate action. In recognition of these challenges, the Malaysian government has placed an emphasis on balancing socio-economic development with environmental sustainability in its Twelfth Malaysia Plan (2021–2025) [,]. The plan highlights the importance of rational land use management, efficient resource utilization, and the development of resilient, green cities []. Understanding the spatio-temporal evolution and the driving mechanisms behind land use and cover change (LUCC) is crucial for achieving sustainable social development [,,,].
Globally, research on LUCC and its driving mechanisms offer important frameworks and methodologies that can be applied to Malaysia. Previous studies have focused on various aspects of LUCC, including spatio-temporal trends [,], driving factor identification [], modeling and forecasting [], and sustainable land management planning [,]. Among these, understanding the spatio-temporal patterns of LUCC is foundational, as it serves as the basis for further analysis and sustainable planning. Advanced spatial analysis tools such as Geographic Information Systems (GIS), remote sensing, and spatial modeling are commonly used to study historical LUCC and predict future trends []. For instance, Estoque et al. (2019) mapped potential futures for Southeast Asian forests [], while Potapov et al. (2022) analyzed changes in global cropland areas using satellite data []. As LUCC research evolves, identifying the drivers and processes behind LUCC has emerged as a critical challenge. LUCC is influenced by a range of socio-economic, geophysical, and institutional factors [,], including population growth, economic development, climate change, and policy interventions [,]. Human activities also directly and indirectly influence LUCC by altering natural systems, such as groundwater levels and precipitation patterns []. The interaction between human and natural drivers has led to the growing integration of socio-economic and biophysical processes in LUCC studies to provide more complex insights [].
Research on LUCC in Malaysia has primarily focused on urbanized and densely populated eastern hotspots like Penang and Selangor [,,,,]. These studies often address urbanization, agricultural expansion, or deforestation, with some exploring of regional-scale LUCC projections [,,,] and their impacts on natural environments, such as river water quality [,,], morphology [], and surface temperature [,]. However, most projections rely on driving factors derived from prior studies or empirical knowledge, often without systematic screening. Socio-economic indicators are frequently simplified to accessibility measures (e.g., distance to road, distance to lake/river, distance to forest edge, etc.), neglecting critical factors like population density and economic growth []. Inconsistencies in study periods, regions, and methodologies further hinder the development of a unified understanding of LUCC drivers [,]. While studies identify various drivers, such as urbanization [,], work force [], and distance to forest edge [], the lack the precise and robust analytical frameworks limits their ability to support effective, national-scale land management strategies. These gaps leave significant voids in understanding the broader, national-level LUCC drivers, thereby hindering the formulation of comprehensive land management strategies [,,].
To solve these gaps, this study aimed to explore the spatiotemporal evolution, driving factors, and pathways of LUCC in Malaysia from 2010 to 2020, providing valuable insights for policymakers to develop effective land management policies and regulations. Initially, we examined the spatial distribution, structure, and transfer trends of six land cover types (cropland, forest, grassland, urban, water, and others) in Malaysia at a 1 km resolution. Then, we employed the GeoDetector model to investigate the spatial heterogeneity among six natural and human factors (elevation, slope, temperature (Tem), precipitation (Pre), Gross Domestic Product (GDP), and population (Pop)) and LUCC, aiming to elucidate the key drivers influencing LUCC. Additionally, we explored the direct and indirect effects of human activities and climate change on LUCC through Structural Equation Modeling (SEM) []. Finally, we offered specific land management recommendations tailored for Malaysian decision-makers, aimed at promoting sustainable development, environmental conservation, and human well-being. GeoDetector identifies key interactions, while SEM provides a global perspective on broader structural relationships. Combining these methods enables a progression from localized insights to a systemic understanding, providing a multidimensional and robust framework for analyzing LUCC dynamics.
Based on the above research content, this study aimed to address the following three questions: (i) What are the regional variations and spatiotemporal trends in LUCC across Malaysia from 2010 to 2020, and how do these patterns differ from those identified in previous local-scale studies? (ii) How do interactions between human activities and natural conditions shape the spatial heterogeneity of LUCC drivers, and what are the direct and indirect effects of these factors? (iii) What tailored land management strategies can be proposed for different regions in Malaysia to address the key LUCC drivers, and how can these strategies provide insights for sustainable land management in other regions facing similar challenges?
This study is structured as follows: Section 2 describes the study area, providing essential geographical and socio-economic context. Section 3 outlines the data sources utilized in the analysis. Section 4 introduces the methodological framework, including the Land Use Transfer Matrix (LUTM), GeoDetector model, and SEM. Section 5 presents the results, focusing on land use dynamics, driving factor identification, and their interactions. Section 6 discusses the key findings and proposes adaptive land use planning strategies to address the observed challenges. Finally, Section 7 concludes with a summary of the main contributions, policy implications, and future research directions.
2. Study Area
Malaysia, located in the center of Southeast Asia, spans between 1°–7° N and 97°–120° E, covering approximately 3.3 × 105 km2. Comprising 13 states and 3 federal territories, Malaysia is geographically divided into two main regions by the South China Sea: Peninsular Malaysia and Borneo’s East Malaysia (Figure 1). The terrain of Peninsular Malaysia exhibits variation, featuring higher elevations in the north and lower elevations in the south. The coastal areas are characterized by alluvial plains, while the central region is predominantly mountainous. East Malaysia encompasses coastal regions, hills, valleys, and a mountainous interior. Beyond the evident geographical distinctions between Peninsular Malaysia and East Malaysia, notable differences also exist in terms of population and economic activity. Compared to Peninsular Malaysia, East Malaysia exhibited lower population density (about 1/5 of total population) and industrialization levels []. However, it boasts a larger land area and abundant natural resources, primarily timber, oil, and gas.
 
      
    
    Figure 1.
      Elevation and subregion distribution of Malaysia.
  
To investigate regional characteristics and differences in LUCC, we categorized Malaysia into five regions based on previous research, administrative boundaries, and geographical characteristics [,]: the Central Region (CR), Eastern Region (ER), Northern Region (NR), Southern Region (SR), and East Malaysia (EM) (Figure 1). CR includes Selangor, Melaka, and Negeri Sembilan, along with the federal territories of Kuala Lumpur and Putrajaya. ER comprises Kelantan, Terengganu, and Pahang. NR encompasses Perlis, Kedah, Penang, and Perak, while SR consists solely of Johor. EM covers Sabah, Sarawak, and the federal territory of Labuan.
3. Data Sources
The data utilized in this study consist of land use, socioeconomic, topographic, and climate datasets of Malaysia in 2010 and 2020.
(1) Land use data utilized in this study were obtained from the European Space Agency (ESA) via the Climate Change Initiative Land Cover (CCI-LC) project, which offers data at a spatial resolution of 300 m (https://www.esa-landcover-cci.org/ (accessed on 10 November 2024)). The dataset initially classifies land use types into 22 categories. According to the land categories of the Intergovernmental Panel on Climate Change (IPCC), we reclassified the land use data into six categories: cropland, forest, grassland, urban, water, and others (with less areas, such as sparse vegetation, wetland, shrubland, bare areas, lichens, mosses, and permanent snow and ice). To balance visual clarity and processing efficiency, we resampled the original land use data to a 1 km grid using ArcGIS, assigning each grid the predominant land use type from the original data it covered.
(2) Topographic data include elevation and slope. The elevation data were acquired from the ALOS World 3D model, a digital surface model captured by the Japan Aerospace Exploration Agency at a resolution of 30 m (https://www.eorc.jaxa.jp/ALOS/en/dataset/aw3d30/aw3d30_e.htm (accessed on 10 November 2024)). Based on this original data, the slope dataset for the study area was generated using the slope calculation tool in ArcGIS platform.
(3) Socioeconomic data comprise GDP and population. Leveraging the robust linear correlation between nighttime light intensity and economic activity [,,], we spatialized the GDP statistics obtained from the Department of Statistics Malaysia (https://dosm.gov.my/portal-main/home (accessed on 10 November 2024)) using the 15 arc-second resolution nighttime light data provided by the Earth Observation Group (https://eogdata.mines.edu/products/vnl/ (accessed on 10 November 2024)). Population density data were acquired from WorldPop Global Project at a 100 m resolution (https://www.worldpop.org/ (accessed on 10 November 2024)).
(4) Climate data, including precipitation and temperature, were resourced from the CRU TS at 0.5° resolution monthly gridded climate dataset, produced by the National Centre for Atmospheric Science (https://crudata.uea.ac.uk/cru/data/hrg/ (accessed on 10 November 2024)).
4. Methods
In this study, we proposed a comprehensive framework for analyzing LUCC and its driving factors and pathways (Figure 2). In this framework, Land Use Dynamic Degree (LUDD) and Land Use Transfer Matrix (LUTM) were used to quantify and elucidate the pattern and dynamic transfer direction of LUCC. Utilizing the GeoDetector model, we investigated the primary drivers of LUCC by discerning the contribution of independent variables (six natural and human factors) to dependent variables (LUCC). SEM was then utilized to uncover the direct and indirect pathways of key driving factors on LUCC. A comprehensive analysis of the intricate mechanisms behind LUCC through the above three aspects can ultimately yield valuable insights into sustainable land management. This section introduces the application of the above three methodologies in our study.
 
      
    
    Figure 2.
      Framework for investigating the driving mechanisms of LUCC.
  
4.1. Land Use Change
The LUDD serves as a key indicator for evaluating the intensity of LUCC, as highlighted in prior studies [,]. This includes the utilization of two main metrics: the Single Land Use Dynamic Degree (SLUDD) and the Integrated Land Use Dynamic Degree (ILUDD). SLUDD quantifies the spatio-temporal rate of change for specific land use types within the study area, while ILUDD explains the overall speed and extent of LUCC. SLUDD and ILUDD are expressed as follows:
      
        
      
      
      
      
    
      
        
      
      
      
      
    
        where  and  denote the areas occupied by a specific land use type at the beginning (in 2010) and end of the study period (in 2020), respectively.  represents the land area transferred from the i-type to the j-type,  signifies the initial area of the i-type at the beginning of the study period, n is the number of land use types within the study area (n = 6), and T represents the duration of the study period (T = 10).
The LUTM is typically utilized to measure changes in land use types across different time periods, which is defined as follows:
      
        
      
      
      
      
    
4.2. GeoDetector Model
The GeoDetector model is a widely employed statistical approach, comprising four modules: factor, interaction, risk, and ecological detectors []. It is based on the principle that if an independent variable significantly influences the dependent variable, their spatial distributions should exhibit alignment or similarity []. In this study, we utilized the first two modules of the model to detect the spatial heterogeneity and driving factors influencing the LUCC.
Factor Detector. It is utilized to evaluate the impact of the independent variable (X) on the dependent variable (Y). In this study, the dependent variable was LUCC, and the independent variables included elevation, slope, and the change of temperature, precipitation, GDP, and population from 2010 to 2020 (a detailed definition of indicators is described in Table 1). The explanatory capacity was quantified by a q-statistic, which is calculated using the following formula:
      
        
      
      
      
      
    
        where q represents the explanatory capacity of the independent variables X concerning the spatial heterogeneity of LUCC. The q-statistic ranges from 0 to 1, where a higher value indicates a stronger explanatory power of the factor on the spatial heterogeneity of the dependent variable. L denotes the number of classifications of variable X.  and  are the number of samples in the -th class of variable  and the total number of samples in this region, respectively.  and  are the variance of the -th class of factor  and the total regional variance, respectively.
 
       
    
    Table 1.
    Description of the six independent variables.
  
Interaction Detector. It aims to estimate how the interaction between the independent variables (X1 and X2) impacts the explanatory capacity of the dependent variable Y []. Categorized layers of X1 and X2 are spatially overlaid to create a combined categorical layer (X1∩X2), capturing all possible class combinations. Each unique combination represents a specific interaction between the two variables. The q-statistic for this combined layer (q(X1∩X2)) is then calculated using the same formula (Formula (4)) as for individual variables, quantifying the explanatory power of their interaction on the spatial variation of Y. By comparing q(X1∩X2) with the individual q-statistics (q(X1) and q(X2)), the interaction detector identifies and classifies the interaction into one of five types (Table 2), such as independent, weakened, or enhanced interactions (e.g., univariate or nonlinear enhancement).
 
       
    
    Table 2.
    Interaction types of independent variables.
  
To ensure adequate sample size and model calculation efficiency, we resampled both independent and dependent variables to an 8 km × 8 km grid using ArcGIS, resulting in a total of 5310 sampling points. For the topographic data, elevation and slope values were calculated as the mean values of the original grid, while the population density in the socio-economic data was averaged over the original grid. GDP values were summed across the original grid. We classified the independent variables by Jenks natural breaks method, a widely recognized method particularly suitable for factor discretization in geographical detector analysis []. These classifications were then input into the GeoDetector model to evaluate the influence of each independent variable on LUCC and to explore potential interaction mechanisms.
4.3. Structural Equation Modeling (SEM)
SEM is a powerful statistical technique that enables the simultaneous evaluation of complex relationships between observed and latent variables [,]. Its core principle is to reveal the causal relationships by constructing hypothetical path diagrams and estimating path coefficients []. Path coefficients, akin to regression coefficients, quantify how changes in one variable influence another. SEM decomposes effects into direct and indirect components: direct effects are represented by a single path coefficient linking variables, while indirect effects are mediated through intermediary variables. For example, if X influences Y through Z, the indirect effect is calculated as the product of the coefficients for X → Z and Z → Y. A positive coefficient indicates that as X increases, Y also increases; a negative coefficient suggests the opposite. SEM excels in analyzing both direct and indirect effects, making it ideal for studies involving interacting and interdependent factors []. Unlike traditional regression models, SEM not only handles multiple regression equations concurrently, but also integrates latent variables and causal pathways, enabling a more comprehensive analysis of interdependent systems [,].
In this study, we used AMOS 24.0 to construct the SEM, analyzing the impact pathways of both human and natural factors on LUCC. Human factors included in the model are population and urban coverage. To avoid multicollinearity and enhance model reliability, we conducted a correlation analysis and identified a strong direct correlation between elevation and slope (correlation coefficient = 0.723, p < 0.001), and between temperature and rainfall (correlation coefficient = 0.632, p < 0.001). Based on these findings, we retained elevation and temperature as the key natural factors through a process of dynamic adjustment. LUCC primarily reflects changes in cropland and forest land, the dominant land use types in Malaysia. Our SEM model integrates both direct effects—such as the impact of population growth or temperature changes on LUCC—and indirect effects, where human factors like urbanization or population growth alter natural conditions, such as temperature, and subsequently influence LUCC patterns. This approach highlights the significant impacts of human activities and natural factors on LUCC and identifies key causal pathways, offering theoretical support for regional land management policies.
AMOS 24.0 software provides rigorous testing and initial parameter estimation for the constructed SEM. We employed a cyclic dynamic regulation process of fitting, evaluation, and parameter adjustment until the model passed the statistical tests. The model’s output includes path coefficients, covariance, and error terms. Statistical test indicators include the Goodness of Fit Index (GFI), Adjusted Goodness of Fit Index (AGFI), Comparative Fit Index (CFI), Tucker–Lewis Index (TLI), and Root Mean Square Error of Approximation (RMSEA). Previous studies have shown that the SEM exhibits a better fit when GFI and AGFI are above 0.95, CFI and TLI exceed 0.9, and RMSEA is below 0.06 [,].
5. Results
5.1. Spatiotemporal Patterns of the LUCC in Malaysia
Examining the spatial distribution and area proportion of land use in Malaysia for 2010 and 2020, we observed that forest and cropland dominate as the main land use types (Figure 3a,b). In 2020, Malaysia was covered by 62.46% forest, 34.40% cropland, and 1.28% urban (Figure 3b). The largest contiguous forested zones were observed in Sabah, Sarawak, and regions bordering the Titiwangsa Mountain Range, which runs along the center of West Malaysia from north to south. Cropland was evenly distributed in Peninsular Malaysia, contrasting with its concentrated presence in coastal regions of East Malaysia (EM). Urban areas were mainly concentrated in the Central Region (CR), home to the capital city of Kuala Lumpur (Figure 3a). From 2010 to 2020, significant changes occurred in the areas of various land use types in Malaysia (Figure 3c). Notably, the forest area experienced the largest net decrease, amounting to 9386.38 km2, with an SLUDD of −0.43% (Table A1 in Appendix A). In contrast, other land use types witnessed an increase, with cultivated land experiencing the largest absolute expansion (7308.50 km2) and urban areas demonstrating the highest growth rate (38.49%).
 
      
    
    Figure 3.
      Spatial distribution (a), composition structure (b), and Single Land Use Dynamic Degree (SLUDD) (c) of land use types in Malaysia from 2010 to 2020.
  
From 2010 to 2020, the LUCC in Malaysia was primarily characterized by the mutual transfer of forest and cropland, alongside the expansion of urban areas (Figure 4a and Figure 5a). Among these changes, the forest outflow area was the largest, covering 12,916.58 km2, accounting for 73.25% of the total outflow area (Table A3 in Appendix A). Of this area, 90.97% was transferred into cropland, mainly in Pahang, Kelantan, Sabah, Sarawak, and other coastal cities, while 7.11% was transferred into water, concentrated in the central Sarawak. The cropland outflow area was 4479.69 km2, with 37.07% converting to forest and 62.91% transferring into urban areas. The net increase in cropland area primarily depended on the replenishment of the forest area. The urban expansion zone stemmed from the cropland and forest, which amount to 1102.34 km2 and 87.24 km2 respectively, concentrated primarily in the coastal areas of West Malaysia. The other types of LUCC were small and dispersed (Figure 5a, Table A3).
 
      
    
    Figure 4.
      Land use transfer matrix in Malaysia (a), Central Region (CR) (b), Eastern Region (ER) (c), Northern Region (NR) (d), Southern Region (SR) (e), and East Malaysia (EM) (f) from 2010 to 2020.
  
 
      
    
    Figure 5.
      Spatial distribution of LUCC in Malaysia during 2010–2020 (a), and transition areas of the three main types of LUCC at the subnational level (b). Urban expansion consists of fives types of LUCC: Cropland → Urban, Forest → Urban, Grassland → Urban, Water → Urban, and Others → Urban.
  
At the subnational level, LUCC exhibited a similar pattern to that observed at the national level, including conversion from cropland to forest, conversion from forest to cropland, and urban expansion, yet each region exhibited distinct spatiotemporal characteristics (Figure 3 and Figure 4, and Table A2). Over the past decade, CR, SR, ER, and NR have all undergone significant urban expansion, with growth rates of 24.04%, 84.08%, 116.26%, and 43.01%, respectively. This expansion primarily occurred at the expense of cultivated land, accounting for 87.16%, 95.73%, 93.79%, and 96.87% of the total transfer area in the respective regions. Meanwhile, cropland and forest areas in these regions have been declined. The EM, forest-to-cropland conversion, especially in the flat western regions, has expanded cropland while decreasing forest coverage.
5.2. Driving Factors of LUCC
5.2.1. Factor Detection
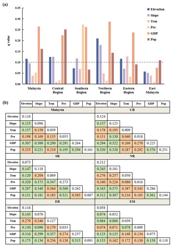
We assessed the explanatory capacity of six key factors (shown in Table 1) for LUCC in Malaysia between 2010 and 2020 through factor detection, as shown in Figure 6a. The results revealed that the explanatory capacity followed the order of GDP > Pop > Elevation > Slope > Pre > Tem. Statistical significance was assessed using q-values and p-values, with all six factors showing a statistically significant explanatory capacity (p < 0.05). GDP, Pop, and elevation exhibited the highest q-values, indicating relatively stronger explanatory power (Table A4). Notably, the dominant drivers of LUCC varied across regions in Malaysia (Figure 6a). In the CR, human activities, represented by a high q-value of 0.25 for Pop and 0.22 for GDP, were the main driving force of LUCC. In the SR, LUCC was primarily driven by factors such as Pre, GDP, and Slope, with respective q-values of 0.27, 0.26, and 0.12, emphasizing the common impact of climate change and economic activities. For the NR, factors like elevation, slope, economic growth, and population growth played significant roles in driving LUCC. In the ER, GDP emerged as the dominant driver of LUCC, with a q-value of 0.24. In the EM, the explanatory capacity of each factor was relatively low, with the q-values of the other factors other than GDP all below 0.1, indicating that the LUCC in the EM during 2010 to 2020 was not solely governed by individual factors.
 
      
    
    Figure 6.
      The impact of six drivers on LUCC. (a) Results of factor detection; (b) results of interactive detection. Green shading indicates the enhanced, double-factor type, while orange shading indicates the enhanced, nonlinear type. White cells represent the q-statistic values of single factors.
  
5.2.2. Interactive Detection
Figure 6b shows the results of interactive detection for LUCC-driving factors, showcasing enhanced interactions among all factors without identifying weakened types. This confirmed the complexity of LUCC as a process influenced by multiple interacting factors. The q-values for all detected interactions in Malaysia exceeded 0.1. Notably, interactions involving GDP exhibited the highest explanatory capacity, with values of 0.31 for GDP-Elevation, 0.30 for GDP-Slope, 0.30 for GDP-Tem, 0.29 for GDP-Pre, and 0.29 for GDP-Pop, indicating their significant joint influence on LUCC from 2010 to 2020.
At the subnational level, the interactive detection results revealed an enhanced interaction type (Figure 6b), indicating stronger interaction between the dominant driving factor and other factors affecting LUCC compared to a single factor. In the SR, for instance, Pre and GDP emerged as dominant drivers with q-values of 0.27 and 0.26, respectively. The interactions of Pre with Elevation, Slope, and Tem exhibited explanatory capacity of 0.32, 0.38, and 0.35, respectively, while the interactions of GDP with Elevation, Slope, Tem, and Pre showed explanatory capacities of 0.29, 0.35, 0.36, and 0.37, respectively, all surpassing their individual explanatory capacity. Although the interaction mechanism varied across regions, the joint effects of GDP, Pop, and other factors were notably influential, indicating their active roles in Malaysia’s LUCC.
5.3. Path Analysis and Modeling of Influential Factors
In this study, SEM was employed to analyze the interaction among human (population and urban coverage), natural (elevation and temperature), and LUCC (changes in cropland and forest land) factors. Empirical findings confirmed the model’s robustness (GFI = 0.995, AGFI = 0.982, CFI = 0.996, TLI = 0.989, and RMSEA = 0.047), with all path coefficients and factor loadings being statistically significant, indicating a strong fit between the hypothesized model and the observed data (Figure 7).
 
      
    
    Figure 7.
      The direct and indirect effects of human and natural factors on LUCC. All path coefficients and factor loadings are significant. Orange and red paths represent positive effects, while yellow paths indicate negative effects. Significant levels of each predictor are * p < 0.05, *** p < 0.001.
  
Path analysis revealed that human factors exert a dominant direct influence on LUCC (path coefficient: 0.15), surpassing both the direct impact of natural factors and the indirect influence of human factors mediated through natural elements. Natural factors exhibited minimal direct influence (path coefficient: 0.01), implying they play a foundational but not decisive role on LUCC. A significant negative correlation between human factors and natural factors (path coefficient: −0.20) indicated that areas with a higher population density and intensive urban use, especially in lower-elevation regions, substantially impact natural factors like slope and temperature. According to Muthén and Asparouhov (2015) [], the indirect path coefficient of human factors on LUCC is quantified as −0.002 by multiplying the direct path coefficient of human factors on natural factors with that of natural factors on LUCC. This value notably contrasted with the direct path coefficient of 0.15, emphasizing the relatively weaker indirect influence of human factors on LUCC compared to their direct impact. Additionally, the negative correlation between cropland and forest changes indicated that the expanding in agricultural land typically come at the expense of forested areas, highlighting the conflict between agricultural expansion and environmental conservation. These findings underscore the criticality of comprehending the complex interactions between human and natural factors in land management and planning.
6. Discussion
6.1. Potential Resolutions to Prevent Deforestation
To understand the dynamics of LUCC in Malaysia and address the conflict between development and environmental conservation for sustainable social progress, we analyzed the spatio-temporal patterns and dominant drivers of LUCC between 2010 and 2020 in Malaysia, integrating natural and human factors. The results showed that the main characteristics of LUCC in Malaysia were forest loss alongside cropland and urban expansion.
Over the past decade, nearly 12,000 km2 of forest was converted to other land use types in Malaysia, resulting in a 4.27% decline in forest area. This rate is slightly higher than the 2.63% forest loss reported in Selangor State by Baig et al. (2022) [], but significantly lower than the pre-2010 forest decline rates in most parts of Malaysia [,,]. The majority of this forest loss occurred in the ER and EM regions, which initially had higher forest cover but have become hotspots for plantation expansion. Additionally, the overall land cover change rate in these regions (ILUDD > 0.5280%) exceeded the national average (ILUDD = 0.5225%) (Table A2). Despite these significant changes, these areas have received limited attention in existing LUCC research in Malaysia. As many studies have pinpointed out, agricultural expansion, particularly the proliferation of palm oil plantations, is the primary driver of deforestation and forest conversion [,]. Presently, forests across the country exhibit varying degrees of degradation, leading to regional forest vulnerability, as observed in Kedah []. As the largest exporter of palm oil, Malaysia’s demand for palm oil plantations will continue to increase, posing an ongoing threat to the remaining forests as they continue to be cleared for plantations construction. Therefore, given the vital role of forests in carbon sequestration, mitigating greenhouse gas emissions, and combating climate change [], it is crucial to curb the expansion of palm oil plantations from forest, control deforestation rates, and promote sustainable forest management practices.
Urban expansion is another prominent feature of LUCC in Malaysia, with a national growth rate of 38.49%, slightly lower than Penang’s growth rate of 45.71% during the same period []. The ER region experienced the most substantial urban expansion, surpassing the already highly urbanized CR region. This shift highlights the changing spatial dynamics of urbanization across the country. Urban growth primarily encroaches on cropland, particularly in less urbanized regions, reflecting the increasing pressures of urban development on agricultural areas. However, uncontrolled urban expansion risks the loss of large amounts of urban green space and cropland, posing threats to ecosystems, food production, and living conditions [,]. Thus, controlling urbanization and promoting the sustainable urban development pose significant challenges for Malaysia in the future. Adopting a sustainable land use planning approach is imperative to safeguard a healthy and livable environment for the future.
6.2. Tailored and Distinct Land Planning Strategies for Malaysia
The dominant factors driving LUCC in Malaysia vary across regions due to differences in spatial distribution of natural and socio-economic variables. From 2010 to 2020, Malaysia experienced substantial economic growth, with GDP increasing by USD 84,647 million, mainly concentrated in Peninsular Malaysia (Figure A1e,f), where GDP emerged as the primary driver for LUCC. Regional factors such as increased precipitation in the SR (Figure A1d), the mountainous terrain of the NR (Figure A1a,b), and population expansion in the CR (Figure A1f) further shaped the LUCC patterns. These disparities call for tailored land management strategies to address regional-specific challenges and opportunities.
In the CR, a high population density and rapid urbanization drive significant land conversion through urban expansion and industrial growth. Sustainable urban planning should prioritize compact growth, green infrastructure, and the protection of natural and agricultural areas to maintain ecological balance while supporting development []. Collaboration among urban planners, government agencies, and local communities is crucial to managing urban expansion sustainably.
In the ER, the forest-to-cropland conversion is driven by the expansion of palm oil and rubber plantations. A dual approach is needed: implementing sustainable agricultural practices to reduce environmental degradation, and promoting afforestation and forest conservation initiatives. Financial incentives, such as subsidies for sustainable farming and reforestation projects, and strong regulatory frameworks, coupled with community-driven conservation programs, are essential for preserving ecological health [].
The NR, characterized by a diverse topography and agricultural importance, faces pressures from urban development and farming expansion. Land use zoning can help protect agricultural productivity and preserve coastal ecosystems. Effective coastal management strategies are vital to mitigate climate change impacts, including rising sea levels []. Regional collaboration among governments, agricultural stakeholders, and environmental organizations is key to sustainable management.
The SR is experiencing rapid industrialization and urbanization. Integrating smart growth principles into urban planning is essential for controlling urban sprawl and minimizing environmental impacts. Protecting natural habitats and integrating industrial development with environmental safeguards can balance economic growth with ecological preservation. Collaboration among governments, industries, and local communities is critical for fostering sustainable industrialization.
In the EM, abundant natural resources, such as timber, oil, and gas, drive frequent deforestation and agricultural expansion. Conservation strategies should focus on establishing protected areas, promoting sustainable harvesting practices, and engaging communities through conservation efforts. Empowering indigenous communities and leveraging traditional ecological knowledge can further enhance resource management and biodiversity preservation.
Overall, the land management plan should prioritize sustainable development, conservation of natural resources, and resilience to climate change across all regions of Malaysia. Given that LUCC in Malaysia primarily directly stems from urbanization and population growth, controlling these factors takes precedence to alleviate pressure on land resources. Strict urban planning and sustainable development policies can curb unplanned urban expansion and safeguard natural habitats effectively. Embracing some universal environmental sustainability practices such as green infrastructure development and renewable energy utilization is vital for promoting sustainable land use strategies. Moreover, fostering collaboration among government agencies, local communities, and stakeholders is indispensable for ensuring effective implementation and long-term success. Government agencies provide regulatory frameworks and resources, local communities contribute grassroots insights, and stakeholders offer expertise and funding. Public–private partnerships can align economic and environmental goals, ensuring sustainable and inclusive development. By tailoring strategies to each region’s unique characteristics, Malaysia can manage LUCC effectively while fostering sustainable development, conserving resources, and building resilience to climate change. Collaborative governance forms the foundation for achieving long-term environmental and socio-economic sustainability.
7. Conclusions
To investigate the spatio-temporal dynamics of LUCC and its complex driving factors in Malaysia, we developed an innovative framework that integrates the land use transfer matrix, GeoDetector model, and SEM. Our study reveals significant changes in Malaysia’s land use patterns from 2010 to 2020, marked by substantial increases in cropland and urban areas, accompanied by a decline in forest cover. The expansion of cropland primarily resulted from widespread deforestation, while urban growth encroached on cropland, particularly in economically developed and densely populated regions.
The combined findings from GeoDetector and SEM underscore the intricate dynamics of LUCC in Malaysia. GeoDetector identified GDP, population, and elevation as key drivers, with significant interaction effects amplifying their influence on LUCC. SEM further revealed the impact pathways, demonstrating that human factors, such as urbanization and population growth, exert dominant direct effects, while the direct effects of natural factors, such as elevation and temperature, and their indirect effects through human activities, were comparatively smaller. Notably, the interaction between human and natural factors exerts a stronger influence on LUCC than any individual factor, signaling an urgent need for region-specific land management strategies that can address these intricate dynamics. As changes in land use and environmental conditions intensify, the complexity of their interactions will only grow, making it increasingly difficult to implement effective interventions. Therefore, proactive measures are crucial to managing LUCC before these interactions become even more entangled, leading to irreversible environmental degradation and greater challenges in sustainable land management.
The comprehensive framework developed in this study underscores the importance of adopting a multi-dimensional approach to land planning and management, considering both human and environmental variations. By analyzing LUCC dynamics, identifying key drivers and their pathways, and examining their interactions, the framework serves as a robust tool for informed land use planning and decision-making in Malaysia and similar regions. Future research should capitalize on advancements in data collection and analytical techniques to refine methodologies for integrating diverse datasets and expanding the range of variables to include emerging socio-economic and environmental factors. This approach will facilitate a deeper understanding of LUCC drivers and better accommodate the rapid changes in technology, policy, and environmental conditions, offering valuable insights for sustainable land management in Malaysia and beyond.
Author Contributions
Conceptualization, G.Y.; methodology, G.Y., Y.Y. and L.H.; validation, L.H.; formal analysis, K.C.; resources, W.H.; writing—original draft preparation, K.C. and Y.Y.; writing—review and editing, K.C., L.H. and S.L.; visualization, K.C. and Y.Y.; supervision, G.Y. and L.H.; project administration, W.H.; funding acquisition, G.Y. and L.H. All authors have read and agreed to the published version of the manuscript.
Funding
This research was funded by the National Natural Science Foundation of China (42176216), Science Technology Department of Zhejiang Province (2022C15008, 2024C03235), National Key R&D Program of China (2023YFE0113100), Key Laboratory of Marine Ecosystem Dynamics Foundation of Ministry of Natural Resources (MED202001), Fujian Provincial Key Laboratory of Marine Ecological Conservation and Restoration Foundation (EPR2021003 and QNHX2210), China Postdoctoral Science Foundation (2023M743061), Science Foundation of Donghai Laboratory (DH-2023QH0006), and the project “Integrated Development of Offshore Wind and Fishery New Model” (CF-MEEC/TR/2023-12).
Data Availability Statement
Data supporting the key findings are provided within the results in main text and Appendix A of this article. Additional raw data are available from the corresponding author upon reasonable request.
Acknowledgments
We appreciate the valuable comments from the editors and reviewers.
Conflicts of Interest
The authors declare no conflicts of interest.
Appendix A
 
       
    
    Table A1.
    Area changes and SLUDD of each land use type in Malaysia from 2010 to 2020.
  
Table A1.
    Area changes and SLUDD of each land use type in Malaysia from 2010 to 2020.
      | Land Use Type | 2010 | 2020 | Change Area (km2) | SLUDD | ||
|---|---|---|---|---|---|---|
| Area (km2) | Proportion | Area (km2) | Proportion | |||
| cropland | 108,650.38 | 32.23% | 115,958.88 | 34.40% | 7308.50 | 0.67% | 
| forest | 219,959.52 | 65.24% | 210,573.14 | 62.46% | −9386.38 | −0.43% | 
| grassland | 173.99 | 0.05% | 295.49 | 0.09% | 121.50 | 6.98% | 
| urban | 3127.54 | 0.93% | 4331.44 | 1.28% | 1203.89 | 3.85% | 
| water | 5246.33 | 1.56% | 5965.63 | 1.77% | 719.29 | 1.37% | 
| others | 331.77 | 0.10% | 364.97 | 0.11% | 33.20 | 1.00% | 
 
       
    
    Table A2.
    ILUDD and area of land use types of subregions in Malaysia.
  
Table A2.
    ILUDD and area of land use types of subregions in Malaysia.
      | Area (km2) | CR | SR | NR | ER | EM | Whole | |
|---|---|---|---|---|---|---|---|
| cropland | 2010 | 9866.53 | 12,695.21 | 14,980.84 | 27,321.72 | 43,248.36 | 108,650.38 | 
| 2020 | 9520.94 | 12,644.59 | 14,712.22 | 29,223.76 | 49,311.84 | 115,958.88 | |
| forest | 2010 | 5918.30 | 6787.44 | 17,623.07 | 39,718.95 | 148,290.80 | 219,959.52 | 
| 2020 | 5916.39 | 6629.39 | 17,571.66 | 37,485.96 | 141,335.52 | 210,573.14 | |
| grassland | 2010 | 13.85 | 7.81 | 11.10 | 58.13 | 82.56 | 173.99 | 
| 2020 | 11.37 | 10.50 | 9.76 | 139.84 | 122.97 | 295.49 | |
| urban | 2010 | 1474.31 | 260.76 | 692.82 | 178.04 | 331.18 | 3127.54 | 
| 2020 | 1828.78 | 480.02 | 990.80 | 385.03 | 357.94 | 4331.44 | |
| water | 2010 | 133.58 | 188.78 | 621.51 | 739.00 | 510.21 | 5246.33 | 
| 2020 | 129.09 | 175.51 | 644.91 | 781.25 | 630.55 | 5965.63 | |
| others | 2010 | 0.00 | 0.00 | 0.00 | 0.00 | 1071.94 | 331.77 | 
| 2020 | 0.00 | 0.00 | 0.00 | 0.00 | 1776.24 | 364.97 | |
| ILUDD | 0.3955% | 0.3568% | 0.3595% | 0.5280% | 0.5827% | 0.5225% | |
 
       
    
    Table A3.
    Transfer matrix of land use in Malaysia from 2010 to 2020 (km2).
  
Table A3.
    Transfer matrix of land use in Malaysia from 2010 to 2020 (km2).
      | Region | 2010 | Cropland | Forest | Grassland | Urban | Water | Others | Total | |
|---|---|---|---|---|---|---|---|---|---|
| 2020 | |||||||||
| Whole Malaysia | cropland | 104,170.68 | 3354.27 | 0.00 | 1102.34 | 23.08 | 0.00 | 108,650.38 | |
| forest | 11,749.65 | 207,042.94 | 131.97 | 87.24 | 918.19 | 29.54 | 219,959.52 | ||
| grassland | 0.00 | 1.25 | 162.01 | 10.74 | 0.00 | 0.00 | 173.99 | ||
| urban | 0.00 | 0.00 | 0.00 | 3127.54 | 0.00 | 0.00 | 3127.54 | ||
| water | 38.55 | 171.46 | 1.32 | 3.48 | 5024.36 | 7.16 | 5246.33 | ||
| others | 0.00 | 3.22 | 0.19 | 0.09 | 0.00 | 328.27 | 331.77 | ||
| Total | 115,958.88 | 210,573.14 | 295.49 | 4331.44 | 5965.63 | 364.97 | 337,489.54 | ||
| Central Region | cropland | 9375.42 | 182.05 | 0.00 | 308.98 | 0.08 | 0.00 | 9866.53 | |
| forest | 145.27 | 5730.10 | 1.94 | 40.80 | 0.19 | 0.00 | 5918.30 | ||
| grassland | 0.00 | 0.20 | 9.43 | 4.22 | 0.00 | 0.00 | 13.85 | ||
| urban | 0.00 | 0.00 | 0.00 | 1474.31 | 0.00 | 0.00 | 1474.31 | ||
| water | 0.25 | 4.03 | 0.00 | 0.49 | 128.82 | 0.00 | 133.58 | ||
| others | 0.00 | 0.00 | 0.00 | 0.00 | 0.00 | 0.00 | 0.00 | ||
| Total | 9520.94 | 5916.39 | 11.37 | 1828.78 | 129.09 | 0.00 | 17,406.57 | ||
| Eastern Region | cropland | 26,558.44 | 562.29 | 0.00 | 194.14 | 6.85 | 0.00 | 27,321.72 | |
| forest | 2657.26 | 36,912.20 | 82.78 | 11.21 | 55.49 | 0.00 | 39,718.95 | ||
| grassland | 0.00 | 0.00 | 57.06 | 1.07 | 0.00 | 0.00 | 58.13 | ||
| urban | 0.00 | 0.00 | 0.00 | 178.04 | 0.00 | 0.00 | 178.04 | ||
| water | 8.06 | 11.47 | 0.00 | 0.57 | 718.90 | 0.00 | 739.00 | ||
| others | 0.00 | 0.00 | 0.00 | 0.00 | 0.00 | 0.00 | 0.00 | ||
| Total | 29,223.76 | 37,485.96 | 139.84 | 385.03 | 781.25 | 0.00 | 68,015.84 | ||
| Northern Region | cropland | 14,259.98 | 431.28 | 0.00 | 288.65 | 0.93 | 0.00 | 14,980.84 | |
| forest | 451.83 | 17,133.68 | 0.20 | 6.97 | 30.38 | 0.00 | 17,623.07 | ||
| grassland | 0.00 | 0.00 | 9.56 | 1.54 | 0.00 | 0.00 | 11.10 | ||
| urban | 0.00 | 0.00 | 0.00 | 692.82 | 0.00 | 0.00 | 692.82 | ||
| water | 0.41 | 6.69 | 0.00 | 0.82 | 613.59 | 0.00 | 621.51 | ||
| others | 0.00 | 0.00 | 0.00 | 0.00 | 0.00 | 0.00 | 0.00 | ||
| Total | 14,712.22 | 17,571.66 | 9.76 | 990.80 | 644.91 | 0.00 | 33,929.34 | ||
| Southern Region | cropland | 12,327.90 | 155.72 | 0.00 | 209.89 | 1.70 | 0.00 | 12,695.21 | |
| forest | 310.43 | 6462.06 | 3.29 | 8.56 | 3.10 | 0.00 | 6787.44 | ||
| grassland | 0.00 | 0.00 | 7.21 | 0.60 | 0.00 | 0.00 | 7.81 | ||
| urban | 0.00 | 0.00 | 0.00 | 260.76 | 0.00 | 0.00 | 260.76 | ||
| water | 6.27 | 11.61 | 0.00 | 0.20 | 170.71 | 0.00 | 188.78 | ||
| others | 0.00 | 0.00 | 0.00 | 0.00 | 0.00 | 0.00 | 0.00 | ||
| Total | 12,644.59 | 6629.39 | 10.50 | 480.02 | 175.51 | 0.00 | 19,940.01 | ||
| East Malaysia | cropland | 41,137.49 | 2001.05 | 0.00 | 97.43 | 12.40 | 0.00 | 43,248.36 | |
| forest | 8155.72 | 139,225.31 | 43.28 | 18.58 | 818.37 | 29.54 | 148,290.80 | ||
| grassland | 0.00 | 1.04 | 78.21 | 3.31 | 0.00 | 0.00 | 82.56 | ||
| urban | 0.00 | 0.00 | 0.00 | 510.21 | 0.00 | 0.00 | 510.21 | ||
| water | 18.63 | 104.90 | 1.29 | 0.93 | 945.47 | 0.72 | 1071.94 | ||
| others | 0.00 | 3.22 | 0.19 | 0.09 | 0.00 | 327.68 | 331.18 | ||
| Total | 49,311.84 | 141,335.52 | 122.97 | 630.55 | 1776.24 | 357.94 | 193,535.06 | ||
 
       
    
    Table A4.
    q-Statistics and p-values for the explanatory factors of LUCC in Malaysia (2010–2020).
  
Table A4.
    q-Statistics and p-values for the explanatory factors of LUCC in Malaysia (2010–2020).
      | Elevation | Slope | Tem | Pre | GDP | POP | |
|---|---|---|---|---|---|---|
| q-statistic | 0.115721 | 0.095682 | 0.038523 | 0.052651 | 0.264238 | 0.161397 | 
| p-value | 0.000 | 0.000 | 0.000 | 0.000 | 0.000 | 0.000 | 
 
      
    
    Figure A1.
      Spatial distribution of six driving factors in Malaysia.
  
References
- Wang, Y.; Hollingsworth, P.M.; Zhai, D.; West, C.D.; Green, J.M.H.; Chen, H.; Hurni, K.; Su, Y.; Warren-Thomas, E.; Xu, J.; et al. High-Resolution Maps Show That Rubber Causes Substantial Deforestation. Nature 2023, 623, 340–346. [Google Scholar] [CrossRef] [PubMed]
- Raihan, A.; Begum, R.A.; Nizam, M.; Said, M.; Pereira, J.J. Dynamic Impacts of Energy Use, Agricultural Land Expansion, and Deforestation on CO2 Emissions in Malaysia. Environ. Ecol. Stat. 2022, 29, 477–507. [Google Scholar] [CrossRef]
- Cooper, D.J.; Rajahram, G.S.; William, T.; Jelip, J.; Mohammad, R.; Benedict, J.; Alaza, D.A.; Malacova, E.; Yeo, T.W.; Grigg, M.J.; et al. Plasmodium Knowlesi Malaria in Sabah, Malaysia, 2015–2017: Ongoing Increase in Incidence Despite Near-Elimination of the Human-Only Plasmodium Species. Clin. Infect. Dis. 2020, 70, 361–367. [Google Scholar] [CrossRef] [PubMed]
- Muhammad, M.K.I.; Hamed, M.M.; Harun, S.; Sa’adi, Z.; Sammen, S.S.; Al-Ansari, N.; Shahid, S.; Scholz, M. Heatwaves in Peninsular Malaysia: A Spatiotemporal Analysis. Sci. Rep. 2024, 14, 4255. [Google Scholar] [CrossRef]
- Maqtan, R.; Othman, F.; Wan Jaafar, W.Z.; Sherif, M.; El-Shafie, A. A Scoping Review of Flash Floods in Malaysia: Current Status and the Way Forward. Nat. Hazards 2022, 114, 2387–2416. [Google Scholar] [CrossRef]
- Raihan, A.; Mohd Said, M.N.; Syed Abdullah, S.M. Climate Change Mitigation Options in the Forestry Sector of Malaysia. J. Kejuruter. 2018, 1, 89–98. [Google Scholar] [CrossRef]
- Yong, M.-Y.; Lee, S.-C.; Ngui, R.; Lim, Y.A.-L.; Phipps, M.E.; Chang, L.-Y. Seroprevalence of Nipah Virus Infection in Peninsular Malaysia. J. Infect. Dis. 2020, 221, S370–S374. [Google Scholar] [CrossRef]
- Li, Y.; Brando, P.M.; Morton, D.C.; Lawrence, D.M.; Yang, H.; Randerson, J.T. Deforestation-Induced Climate Change Reduces Carbon Storage in Remaining Tropical Forests. Nat. Commun. 2022, 13, 1964. [Google Scholar] [CrossRef]
- Abera, T.A.; Heiskanen, J.; Maeda, E.E.; Muhammed, M.A.; Bhandari, N.; Vakkari, V.; Hailu, B.T.; Pellikka, P.K.E.; Hemp, A.; van Zyl, P.G.; et al. Deforestation Amplifies Climate Change Effects on Warming and Cloud Level Rise in African Montane Forests. Nat. Commun. 2024, 15, 6992. [Google Scholar] [CrossRef]
- Gatti, L.V.; Basso, L.S.; Miller, J.B.; Gloor, M.; Gatti Domingues, L.; Cassol, H.L.G.; Tejada, G.; Aragão, L.E.O.C.; Nobre, C.; Peters, W.; et al. Amazonia as a Carbon Source Linked to Deforestation and Climate Change. Nature 2021, 595, 388–393. [Google Scholar] [CrossRef]
- Hazir, M.H.M.; Kadir, R.A.; Gloor, E.; Galbraith, D. Effect of Agroclimatic Variability on Land Suitability for Cultivating Rubber (Hevea Brasiliensis) and Growth Performance Assessment in the Tropical Rainforest Climate of Peninsular Malaysia. Clim. Risk Manag. 2020, 27, 100203. [Google Scholar] [CrossRef]
- Wan Mohd Jaafar, W.S.; Abdul Maulud, K.N.; Muhmad Kamarulzaman, A.M.; Raihan, A.; Md Sah, S.; Ahmad, A.; Saad, S.N.M.; Mohd Azmi, A.T.; Jusoh Syukri, N.K.A.; Razzaq Khan, W. The Influence of Deforestation on Land Surface Temperature—A Case Study of Perak and Kedah, Malaysia. Forests 2020, 11, 670. [Google Scholar] [CrossRef]
- Yan, J.; Gao, S.; Xu, M.; Su, F. Spatial-Temporal Changes of Forests and Agricultural Lands in Malaysia from 1990 to 2017. Environ. Monit. Assess. 2020, 192, 803. [Google Scholar] [CrossRef]
- Masum, K.M.; Mansor, A.; Sah, S.A.M.; Lim, H.S. Effect of Differential Forest Management on Land-Use Change (LUC) in a Tropical Hill Forest of Malaysia. J. Environ. Manag. 2017, 200, 468–474. [Google Scholar] [CrossRef]
- Hassan, M.A.; Farid, M.A.A.; Zakaria, M.R.; Ariffin, H.; Andou, Y.; Shirai, Y. Palm Oil Expansion in Malaysia and Its Countermeasures through Policy Window and Biorefinery Approach. Environ. Sci. Policy 2024, 153, 103671. [Google Scholar] [CrossRef]
- Ng, J.S.C.; Chervier, C.; Ancrenaz, M.; Naito, D.; Karsenty, A. Recent Forest and Land-Use Policy Changes in Sabah, Malaysian Borneo: Are They Truly Transformational? Land Use Policy 2022, 121, 106308. [Google Scholar] [CrossRef]
- Nchare, K.; Vitouley, M.; Mbih, R. Sustainable Land Management in Mali. Geogr. Sustain. 2024, 5, 382–391. [Google Scholar] [CrossRef]
- Chen, P.; Wang, S.; Liu, Y.; Wang, Y.; Li, Z.; Wang, Y.; Zhang, H.; Zhang, Y. Spatio-Temporal Patterns of Oasis Dynamics in China’s Drylands between 1987 and 2017. Environ. Res. Lett. 2022, 17, 064044. [Google Scholar] [CrossRef]
- Wei, W.; Wang, N.; Yin, L.; Guo, S.; Bo, L. Spatio-Temporal Evolution Characteristics and Driving Mechanisms of Urban–Agricultural–Ecological Space in Ecologically Fragile Areas: A Case Study of the Upper Reaches of the Yangtze River Economic Belt, China. Land Use Policy 2024, 145, 107282. [Google Scholar] [CrossRef]
- Hong, C.; Burney, J.A.; Pongratz, J.; Nabel, J.E.M.S.; Mueller, N.D.; Jackson, R.B.; Davis, S.J. Global and Regional Drivers of Land-Use Emissions in 1961–2017. Nature 2021, 589, 554–561. [Google Scholar] [CrossRef]
- Liu, L.; Liang, Y.; Hashimoto, S. Integrated Assessment of Land-Use/Coverage Changes and Their Impacts on Ecosystem Services in Gansu Province, Northwest China: Implications for Sustainable Development Goals. Sustain. Sci. 2020, 15, 297–314. [Google Scholar] [CrossRef]
- Wicke, B.; Sikkema, R.; Dornburg, V.; Faaij, A. Exploring Land Use Changes and the Role of Palm Oil Production in Indonesia and Malaysia. Land Use Policy 2011, 28, 193–206. [Google Scholar] [CrossRef]
- Abdullah, A.Y.M.; Masrur, A.; Adnan, M.S.G.; Baky, M.A.A.; Hassan, Q.K.; Dewan, A. Spatio-Temporal Patterns of Land Use/Land Cover Change in the Heterogeneous Coastal Region of Bangladesh between 1990 and 2017. Remote Sens. 2019, 11, 790. [Google Scholar] [CrossRef]
- Berihun, M.L.; Tsunekawa, A.; Haregeweyn, N.; Meshesha, D.T.; Adgo, E.; Tsubo, M.; Masunaga, T.; Fenta, A.A.; Sultan, D.; Yibeltal, M. Exploring Land Use/Land Cover Changes, Drivers and Their Implications in Contrasting Agro-Ecological Environments of Ethiopia. Land Use Policy 2019, 87, 104052. [Google Scholar] [CrossRef]
- Noszczyk, T. A Review of Approaches to Land Use Changes Modeling. Hum. Ecol. Risk Assess. Int. J. 2019, 25, 1377–1405. [Google Scholar] [CrossRef]
- Zhang, Z.; Wang, X.; Zhang, Y.; Gao, Y.; Liu, Y.; Sun, X.; Zhi, J.; Yin, S. Simulating Land Use Change for Sustainable Land Management in Rapid Urbanization Regions: A Case Study of the Yangtze River Delta Region. Landsc. Ecol. 2023, 38, 1807–1830. [Google Scholar] [CrossRef]
- Scherzinger, F.; Schädler, M.; Reitz, T.; Yin, R.; Auge, H.; Merbach, I.; Roscher, C.; Harpole, W.S.; Blagodatskaya, E.; Siebert, J.; et al. Sustainable Land Management Enhances Ecological and Economic Multifunctionality under Ambient and Future Climate. Nat. Commun. 2024, 15, 4930. [Google Scholar] [CrossRef]
- Chaminé, H.I.; Pereira, A.J.S.C.; Teodoro, A.C.; Teixeira, J. Remote Sensing and GIS Applications in Earth and Environmental Systems Sciences. SN Appl. Sci. 2021, 3, 870. [Google Scholar] [CrossRef]
- Estoque, R.C.; Ooba, M.; Avitabile, V.; Hijioka, Y.; DasGupta, R.; Togawa, T.; Murayama, Y. The Future of Southeast Asia’s Forests. Nat. Commun. 2019, 10, 1829. [Google Scholar] [CrossRef]
- Potapov, P.; Turubanova, S.; Hansen, M.C.; Tyukavina, A.; Zalles, V.; Khan, A.; Song, X.-P.; Pickens, A.; Shen, Q.; Cortez, J. Global Maps of Cropland Extent and Change Show Accelerated Cropland Expansion in the Twenty-First Century. Nat. Food 2022, 3, 19–28. [Google Scholar] [CrossRef]
- Song, X.-P.; Hansen, M.C.; Stehman, S.V.; Potapov, P.V.; Tyukavina, A.; Vermote, E.F.; Townshend, J.R. Global Land Change from 1982 to 2016. Nature 2018, 560, 639–643. [Google Scholar] [CrossRef] [PubMed]
- Jin, X.; Jin, Y.; Mao, X. Ecological Risk Assessment of Cities on the Tibetan Plateau Based on Land Use/Land Cover Changes—Case Study of Delingha City. Ecol. Indic. 2019, 101, 185–191. [Google Scholar] [CrossRef]
- Dang, A.N.; Kawasaki, A. Integrating Biophysical and Socio-Economic Factors for Land-Use and Land-Cover Change Projection in Agricultural Economic Regions. Ecol. Model. 2017, 344, 29–37. [Google Scholar] [CrossRef]
- Wu, X.; Wang, S.; Fu, B.; Liu, Y.; Zhu, Y. Land Use Optimization Based on Ecosystem Service Assessment: A Case Study in the Yanhe Watershed. Land Use Policy 2018, 72, 303–312. [Google Scholar] [CrossRef]
- He, C.; Zhang, J.; Liu, Z.; Huang, Q. Characteristics and Progress of Land Use/Cover Change Research during 1990–2018. J. Geogr. Sci. 2022, 32, 537–559. [Google Scholar] [CrossRef]
- Moullec, F.; Asselot, R.; Auch, D.; Blöcker, A.M.; Börner, G.; Färber, L.; Ofelio, C.; Petzold, J.; Santelia, M.E.; Schwermer, H.; et al. Identifying and Addressing the Anthropogenic Drivers of Global Change in the North Sea: A Systematic Map Protocol. Environ. Evid. 2021, 10, 19. [Google Scholar] [CrossRef]
- Azari, M.; Billa, L.; Chan, A. Multi-Temporal Analysis of Past and Future Land Cover Change in the Highly Urbanized State of Selangor, Malaysia. Ecol. Process. 2022, 11, 2. [Google Scholar] [CrossRef]
- Stiepani, J.; Gillis, L.G.; Chee, S.Y.; Pfeiffer, M.; Nordhaus, I. Impacts of Urbanization on Mangrove Forests and Brachyuran Crabs in Penang, Malaysia. Reg. Environ. Chang. 2021, 21, 69. [Google Scholar] [CrossRef]
- Tan, K.C.; Lim, H.S.; MatJafri, M.Z.; Abdullah, K. Landsat Data to Evaluate Urban Expansion and Determine Land Use/Land Cover Changes in Penang Island, Malaysia. Environ. Earth Sci. 2010, 60, 1509–1521. [Google Scholar] [CrossRef]
- Baig, M.F.; Mustafa, M.R.U.; Baig, I.; Takaijudin, H.B.; Zeshan, M.T. Assessment of Land Use Land Cover Changes and Future Predictions Using CA-ANN Simulation for Selangor, Malaysia. Water 2022, 14, 402. [Google Scholar] [CrossRef]
- Akomolafe, G.F.; Rosazlina, R. Land Use and Land Cover Changes Influence the Land Surface Temperature and Vegetation in Penang Island, Peninsular Malaysia. Sci. Rep. 2022, 12, 21250. [Google Scholar] [CrossRef] [PubMed]
- Rafaai, N.H.; Abdullah, S.A.; Hasan Reza, M.I. Identifying Factors and Predicting the Future Land-Use Change of Protected Area in the Agricultural Landscape of Malaysian Peninsula for Conservation Planning. Remote Sens. Appl. Soc. Environ. 2020, 18, 100298. [Google Scholar] [CrossRef]
- Mahamud, M.A.; Samat, N.; Tan, M.L.; Chan, N.W.; Tew, Y.L. Prediction of Future Land Use Land Cover Changes of Kelantan, Malaysia. Int. Arch. Photogramm. Remote Sens. Spat. Inf. Sci. 2019, XLII-4-W16, 379–384. [Google Scholar] [CrossRef]
- Shehab, Z.N.; Jamil, N.R.; Aris, A.Z.; Shafie, N.S. Spatial Variation Impact of Landscape Patterns and Land Use on Water Quality across an Urbanized Watershed in Bentong, Malaysia. Ecol. Indic. 2021, 122, 107254. [Google Scholar] [CrossRef]
- Razali, A.; Syed Ismail, S.N.; Awang, S.; Praveena, S.M.; Zainal Abidin, E. Land Use Change in Highland Area and Its Impact on River Water Quality: A Review of Case Studies in Malaysia. Ecol. Process. 2018, 7, 19. [Google Scholar] [CrossRef]
- Camara, M.; Jamil, N.R.; Abdullah, A.F.B. Impact of Land Uses on Water Quality in Malaysia: A Review. Ecol. Process. 2019, 8, 10. [Google Scholar] [CrossRef]
- Kang, C.S.; Kanniah, K.D. Land Use and Land Cover Change and Its Impact on River Morphology in Johor River Basin, Malaysia. J. Hydrol. Reg. Stud. 2022, 41, 101072. [Google Scholar] [CrossRef]
- How Jin Aik, D.; Ismail, M.H.; Muharam, F.M. Land Use/Land Cover Changes and the Relationship with Land Surface Temperature Using Landsat and MODIS Imageries in Cameron Highlands, Malaysia. Land 2020, 9, 372. [Google Scholar] [CrossRef]
- Olaniyi, A.O.; Abdullah, A.M.; Ramli, M.F.; Alias, M.S. Assessment of Drivers of Coastal Land Use Change in Malaysia. Ocean. Coast. Manag. 2012, 67, 113–123. [Google Scholar] [CrossRef]
- Jaafar, O.; Mastura, S.S.; Sood, A.M. Land Use and Deforestation Modelling of River Catchments in Klang Valley Malaysia. Sains Malays. 2009, 38, 655–664. [Google Scholar]
- Olaniyi, A.; Abdullah, A.; Ramli, M.; Sood, A. Assessing the Effects of Socio—Economic Factors on Agricultural Land Use in Malaysia. Elixir Agric. 2011, 37, 3790–3797. [Google Scholar]
- Rahaman, Z.A.; Kafy, A.-A.; Faisal, A.-A.-; Al Rakib, A.; Jahir, D.M.A.; Fattah, M.A.; Kalaivani, S.; Rathi, R.; Mallik, S.; Rahman, M.T. Predicting Microscale Land Use/Land Cover Changes Using Cellular Automata Algorithm on the Northwest Coast of Peninsular Malaysia. Earth Syst. Environ. 2022, 6, 817–835. [Google Scholar] [CrossRef]
- Haregeweyn, N.; Tsunekawa, A.; Tsubo, M.; Fenta, A.A.; Ebabu, K.; Vanmaercke, M.; Borrelli, P.; Panagos, P.; Berihun, M.L.; Langendoen, E.J.; et al. Progress and Challenges in Sustainable Land Management Initiatives: A Global Review. Sci. Total Environ. 2023, 858, 160027. [Google Scholar] [CrossRef]
- Wei, S.; Zhang, H.; Xu, Z.; Lin, G.; Lin, Y.; Liang, X.; Ling, J.; Wee, A.K.S.; Lin, H.; Zhou, Y.; et al. Coastal Urbanization May Indirectly Positively Impact Growth of Mangrove Forests. Commun. Earth Environ. 2024, 5, 608. [Google Scholar] [CrossRef]
- Jawa, C.R.; Jumaat, S.A. Modeling and Analysis of Electrical Generating from Biogas Produced by Municipal Solid Waste at Parit Raja. Mater. Today Proc. 2021, 41, 122–126. [Google Scholar] [CrossRef]
- Abdul Shakor, A.S.; Pahrol, M.A.; Mazeli, M.I. Effects of Population Weighting on PM10 Concentration Estimation. J. Environ. Public Health 2020, 2020, 1561823. [Google Scholar] [CrossRef]
- Prasad, V.; Abdullah, M.; Nordin, F.; Subha, S.T. Prevalence, Causes and Treatments of Allergic Rhinitis in Malaysia: A Literature Review. Egypt. J. Otolaryngol. 2022, 38, 170. [Google Scholar] [CrossRef]
- Akiyama, Y. Analysis of Light Data on the DMSP/OLS Satellite Image Using Existing Spatial Data for Monitoring Human Activity in Japan. ISPRS Ann. Photogramm. Remote Sens. Spat. Inf. Sci. 2012, I–2, 25–30. [Google Scholar] [CrossRef]
- Liu, Z.; He, C.; Zhang, Q.; Huang, Q.; Yang, Y. Extracting the Dynamics of Urban Expansion in China Using DMSP-OLS Nighttime Light Data from 1992 to 2008. Landsc. Urban Plan. 2012, 106, 62–72. [Google Scholar] [CrossRef]
- Forbes, D.J. Multi-Scale Analysis of the Relationship between Economic Statistics and DMSP-OLS Night Light Images. GIScience Remote Sens. 2013, 50, 483–499. [Google Scholar] [CrossRef]
- Ning, J.; Liu, J.; Kuang, W.; Xu, X.; Zhang, S.; Yan, C.; Li, R.; Wu, S.; Hu, Y.; Du, G.; et al. Spatiotemporal Patterns and Characteristics of Land-Use Change in China during 2010–2015. J. Geogr. Sci. 2018, 28, 547–562. [Google Scholar] [CrossRef]
- Zhou, Y.; Li, X.; Liu, Y. Land Use Change and Driving Factors in Rural China during the Period 1995-2015. Land Use Policy 2020, 99, 105048. [Google Scholar] [CrossRef]
- Wang, J.; Li, X.; Christakos, G.; Liao, Y.; Zhang, T.; Gu, X.; Zheng, X. Geographical Detectors-Based Health Risk Assessment and Its Application in the Neural Tube Defects Study of the Heshun Region, China. Int. J. Geogr. Inf. Sci. 2010, 24, 107–127. [Google Scholar] [CrossRef]
- Wang, W.; Yang, Y. Spatial-Temporal Differentiation Characteristics and Driving Factors of China’s Energy Eco-Efficiency Based on Geographical Detector Model. J. Clean. Prod. 2024, 434, 140153. [Google Scholar] [CrossRef]
- Wang, J.; Xu, C. Geodetector: Principle and Prospective. Acta Geogr. Sin. 2017, 72, 116–134. [Google Scholar] [CrossRef]
- Cao, F.; Ge, Y.; Wang, J.-F. Optimal Discretization for Geographical Detectors-Based Risk Assessment. GIScience Remote Sens. 2013, 50, 78–92. [Google Scholar] [CrossRef]
- Tarka, P. An Overview of Structural Equation Modeling: Its Beginnings, Historical Development, Usefulness and Controversies in the Social Sciences. Qual. Quant. 2018, 52, 313–354. [Google Scholar] [CrossRef]
- Hair, J.F.; Hult, G.T.M.; Ringle, C.M.; Sarstedt, M.; Danks, N.P.; Ray, S. An Introduction to Structural Equation Modeling. In Partial Least Squares Structural Equation Modeling (PLS-SEM) Using R: A Workbook; Hair, J.F., Jr., Hult, G.T.M., Ringle, C.M., Sarstedt, M., Danks, N.P., Ray, S., Eds.; Springer International Publishing: Cham, Switzerland, 2021; pp. 1–29. ISBN 978-3-030-80519-7. [Google Scholar]
- Thorson, J.T.; Maureaud, A.A.; Frelat, R.; Mérigot, B.; Bigman, J.S.; Friedman, S.T.; Palomares, M.L.D.; Pinsky, M.L.; Price, S.A.; Wainwright, P. Identifying Direct and Indirect Associations among Traits by Merging Phylogenetic Comparative Methods and Structural Equation Models. Methods Ecol. Evol. 2023, 14, 1259–1275. [Google Scholar] [CrossRef]
- Tian, L.; Chen, J.; Yu, S.X. Coupled Dynamics of Urban Landscape Pattern and Socioeconomic Drivers in Shenzhen, China. Landsc. Ecol. 2014, 29, 715–727. [Google Scholar] [CrossRef]
- Lee, S.; Lee, B. The Influence of Urban Form on GHG Emissions in the U.S. Household Sector. Energy Policy 2014, 68, 534–549. [Google Scholar] [CrossRef]
- Fan, Y.; Chen, J.; Shirkey, G.; John, R.; Wu, S.R.; Park, H.; Shao, C. Applications of Structural Equation Modeling (SEM) in Ecological Studies: An Updated Review. Ecol. Process. 2016, 5, 19. [Google Scholar] [CrossRef]
- Shi, D.; Lee, T.; Maydeu-Olivares, A. Understanding the Model Size Effect on SEM Fit Indices. Educ. Psychol. Meas. 2018, 79, 310–334. [Google Scholar] [CrossRef] [PubMed]
- Muthén, B.; Asparouhov, T. Causal Effects in Mediation Modeling: An Introduction With Applications to Latent Variables. Struct. Equ. Model. Multidiscip. J. 2015, 22, 12–23. [Google Scholar] [CrossRef]
- Shevade, V.S.; Loboda, T.V. Oil Palm Plantations in Peninsular Malaysia: Determinants and Constraints on Expansion. PLoS ONE 2019, 14, e0210628. [Google Scholar] [CrossRef]
- Raihan, A.; Begum, R.A.; Mohd Said, M.N.; Pereira, J.J. Assessment of Carbon Stock in Forest Biomass and Emission Reduction Potential in Malaysia. Forests 2021, 12, 1294. [Google Scholar] [CrossRef]
- Alkama, R.; Cescatti, A. Biophysical Climate Impacts of Recent Changes in Global Forest Cover. Science 2016, 351, 600–604. [Google Scholar] [CrossRef]
- Marzuki, A.; Jais, A.S. Urbanisation and the Concerns for Food Secutiry in Malaysia. Plan. Malays. 2020, 18, 202–217. [Google Scholar] [CrossRef]
- Wang, Q.; Guan, Q.; Lin, J.; Luo, H.; Tan, Z.; Ma, Y. Simulating Land Use/Land Cover Change in an Arid Region with the Coupling Models. Ecol. Indic. 2021, 122, 107231. [Google Scholar] [CrossRef]
- Hanna, E.; Comín, F.A. Urban Green Infrastructure and Sustainable Development: A Review. Sustainability 2021, 13, 11498. [Google Scholar] [CrossRef]
- Assede, E.S.P.; Orou, H.; Biaou, S.S.H.; Geldenhuys, C.J.; Ahononga, F.C.; Chirwa, P.W. Understanding Drivers of Land Use and Land Cover Change in Africa: A Review. Curr. Landsc. Ecol. Rep. 2023, 8, 62–72. [Google Scholar] [CrossRef]
- Déguénon, S.D.D.M.; Adade, R.; Teka, O.; Aheto, D.W.; Sinsin, B. Sea-Level Rise and Flood Mapping: A Review of Models for Coastal Management. Nat. Hazards 2024, 120, 2155–2178. [Google Scholar] [CrossRef]
| Disclaimer/Publisher’s Note: The statements, opinions and data contained in all publications are solely those of the individual author(s) and contributor(s) and not of MDPI and/or the editor(s). MDPI and/or the editor(s) disclaim responsibility for any injury to people or property resulting from any ideas, methods, instructions or products referred to in the content. | 
© 2024 by the authors. Licensee MDPI, Basel, Switzerland. This article is an open access article distributed under the terms and conditions of the Creative Commons Attribution (CC BY) license (https://creativecommons.org/licenses/by/4.0/).
