Abstract
We investigate the equilibrium structure and radial oscillations of strange quark stars admixed with fermionic dark matter. For strange quark matter, we employ a stiff equation of state from a color-superconductivity improved bag model. For dark matter, we adopt the cold free Fermi gas model. We rederive and numerically solve the radial oscillation equations of two-fluid stars based on general relativity, in which the dark matter and strange quark matter couple through gravity and oscillate with the same frequency. Our results show that the stellar maximum mass and radius are reduced by inclusion of dark matter. As to the fundamental mode of the radial oscillations, the frequency is also reduced comparing to pure strange stars, and reaches the zero point at the maximum stellar mass with . Therefore, the stability criteria and are consistent in our dark matter-mixed strange quark stars with a fixed fraction of dark matter. We also find a discontinuity of as functions of the stellar mass, in contrast to the continuous function in pure strange stars. And it is also accompanied with discontinuity of the oscillation amplitudes as well as a discontinuous in-phase-to-out-phase transition between oscillations of dark matter and strange quark matter.
1. Introduction
Benefiting from the pioneer work of F. Zwicky, who studied the dynamical properties of the Coma galaxy cluster in 1933 [1], and that of V. Rubin, who studied the galaxy rotation curves in 1970 [2], it has been realized that majority of the nonrelativistic matter in the present universe is not baryonic matter, but so-called dark matter (DM). According to the Plank satellite results [3], the universe is composed of baryonic matter and DM, with the remaining being dark energy. Most properties of DM are presently unknown, and a widely investigated hypothesis about DM is that it is made of an unknown type of particle within or beyond the standard model [4]. The determination of the elementary particles that play the role of DM in the Universe is one of the biggest challenges of particle physics and modern cosmology. There are many possible candidates for DM, like the axion, WIMP, etc. [4]. The WIMP means weakly interacted massive particles, especially some types of fermions predicted in extensions of the standard model including the supersymmetric particle, the neutralino, the gravitino, and the axino [5]. Despite the fact that many DM candidates have been proposed and studied by cosmologists and particle physicists [6,7], the origin and nature of DM still remain unknown.
Due to the widely existence in the Universe, it is also possible that DM could concentrate locally to form dark stars or concentrate together with normal stars to form admixed stars. Even if DM does not interact with ordinary matter directly, it may still have significant gravitational effects on the properties of the stars [8,9,10]. It provides a particular way to search DM.
Compact objects, such as white dwarfs, neutron stars (NSs), or black holes [11,12,13], are the final fate of stars, and characterized by ultra-high matter densities. Especially, the ultra-dense environment of NSs provide us unique opportunities to study the possibilities of the phase transition to quark matter, meson condensate, or other exotic matters. Among the various proposed models for NSs, a strange star (SS) is a hypothetical compact star, consisting of self-bound strange quark matter (SQM) [14,15,16,17]. SSs have been studied for more than half a century, though their existence is still uncertain. Excitingly, the recent discovery of compact stars like the millisecond pulsars SAX and , the X-ray burster , the X-ray pulsar Her , X-ray source , and the especially strangely light compact object HESS , are among the best candidates for SSs [18,19].
Thanks to the extreme internal conditions in compact stars that cannot be reached to Earth-based experiments, they comprise excellent cosmic laboratories to study, test, and constrain the properties of DM or other new physics. NSs admixed with DM have been widely investigated, with fermion or boson-type DM. A large number of studies focus on the impacts of DM on the mass and radius of NSs; see e.g., [20,21,22,23,24,25]. In addition, there have also been a lot of studies investigating the possibility of DM acquisition by NSs [26,27,28,29,30,31], DM influences on the cooling and evolution of NSs [32,33,34,35,36,37,38,39], on tidal deformability [40,41,42,43,44], and THE quadrupole moment Q [45,46,47] of NSs, as well as on the (non)radial oscillations of NSs [24,39,48,49,50,51]. Although not as comprehensively investigated as DM-admixed NSs, the properties of DM-admixed strange stars (DMASSs) have also been studied [52,53,54,55,56,57,58,59,60,61,62,63]. Various EOSs of SQM and DM are adopted and discussed. These studies show the important influences of DM on the structure of SSs.
It is well known that the stellar mass and radius depend crucially on the EOS. The study of radial oscillations of stars also provides us with a good opportunity to understand more about the EOS and reveal the secret of the internal structure, composition, and stability of the stars. Although the radial oscillation cannot be detected directly from the gravitational wave, it can be coupled with the gravitational wave to amplify the signal [64,65]. Moreover, binary neutron star mergers may form massive compact stars and emit short gamma-ray bursts. Radial oscillation can modulate the short gamma-ray burst, so the radial oscillation frequency may be indirectly observed in the short gamma-ray burst [66].
The radial oscillation equations of a compact star composed of one single fluid was first derived by Chandrasekhar [67], and then rewritten in various ways [68,69,70] to facilitate numerical solutions. When it comes to compact stars made of two perfect fluids, the pulsation equations became much more complicated. For DM-admixed NSs, pulsation equations with two coupled fluids are investigated in refs. [24,39,48] and much progress is made. Especially, refs. [24,71] derive a system of pulsation equations for compact stars made up of an arbitrary number of perfect fluids. Radial oscillations of DMASSs have also been studied in ref. [53,56,58]. However, an approximation with one-fluid formalism is used in these work, in which the coupling of the two fluid oscillations is neglected to simplify the calculation. To improve this situation, following the work of B. Kain in [24,71] on normal NSs admixed with DM, we rederive the radial oscillation equation for two-fluid systems in the framework of general relativity [68,72,73]. The derivation includes the coupled oscillations of the two fluids and their coupling with the perturbations of the metric. The aim of the present article is to study the effects of fermionic DM on the structure and radial oscillations of DMASSs.
Our work is organized as follows: After this introduction, we introduce the EOSs for SQM and DM, respectively, in Section 2. We extend the TOV equation to a two-fluid version for the hydrostatic equilibrium structure and present the derivation of pulsation equations of radial oscillations in Section 3. Numerical results of the equilibrium structure and radial oscillations of DMASSs are shown in Section 4. Finally, we draw the conclusions in Section 5. In present work, the speed of light in vacuum c, as well as the reduced Planck constant ℏ, are set to unity, .
2. Equation of State
2.1. Strange Quark Matter
In SSs, SQM is modeled as a relativistic gas of deconfined quarks. Inspired by color confinement and asymptotic freedom of QCD, the MIT bag model is widely used to describe the EOS of SQM, which in the massless cases have a simple form [15,74,75]:
with B being the bag constant representing the vacuum energy density. However, the simple version EOS in the MIT bag model is too soft, which cannot support a SS with 2 solar-mass to satisfy the recent observational constraint on massive NSs [76,77].
Alternatively, an improvement of the EOS for cold dense SQM was made by including the effects of color superconductivity [78,79,80]. Assuming the SQM in the color-flavor locked (CFL) phase, the modified EOS in CFL model [80] is given as follows:
with being the mass of strange quark, and the energy gap of the color superconductivity. It can provide a stiff-enough EOS for a massive SS. In the CFL model, the EOS is characterized by three parameters: B, , and . A total of 19 sets of the parameters were investigated in [80], 8 of which can support the maximum stellar mass higher than 2 solar-mass. In the following, we will take the set of parameters as
Since we focus on the effects of DM on SSs at present, we leave the study of the influence of the SQM parameters in future work.
2.2. Dark Matter
The properties of the DM particles are quite uncertain; even the masses of standard thermal WIMP could be between a few GeV and TeV [58]. In this work, we simply model the Fermionic dark matter inside the star as an ideal Fermi gas at zero temperature [81], and the energy density and the pressure are written as
where the Fermi wave number is related to the Fermion number density :
Integrating Equations (6) and (7) can immediately give an analytical expression for the pressure and energy density of an ideal Fermi gas [82] as follows:
where we have defined .
The only parameter in our model for DM is the dark particle mass (DPM), with a quite large parameter space [58]. In this work, we take the parameter DPM with GeV to include many more DM candidates.
3. Equilibrium Structure and Radial Oscillation of DMASSs
Due to the strong gravitational field in compact stars, their structure and dynamical evolution are ruled by the Einstein equation in general relativity,
where and represent the Ricci tensor and the energy momentum tensor, respectively. To describe the equilibrium structure and radial oscillations of a spherically symmetric star, we assume the metric with the form
where the metric functions and is written as
with the subscript ‘0’ for the equilibrium metric depending only on r, and for the perturbations depending also on t.
3.1. TOV Equations for Two-Fluid Stars
Ignoring rotations, a compact star can be regarded as a static spherically symmetric ideal fluid, and the metric functions keep only the static parts . Combining Einstein field equations with the hydrostatic equilibrium condition , One can obtain the Tolman–Oppenheimer–Volkoff (TOV) equation for an compact star with one fluid [83]:
where and are the pressure and energy density for the fluid in equilibrium, respectively. The TOV equation is closed complimenting with an EOS . And it is solved with the boundary conditions at the star center and , with a given central energy density. Then, the TOV equation can be integrated from to R, where , with R being the radius of the star and the total mass of the star. The metric function in the stars is determined by the boundary condition at the surface.
In the DMASSs, assuming DM only interacts with SQM through gravity, the energy-momentum tensor in Equation (11) is the sum of two fluids:
with or d denoting SQM and DM, respectively. So, the total energy density and pressure are determined by the sum of the contributions of the two fluids. TOV equations for a two-fluid system can then be immediately written down based on the similarity between relativity and Newtonian structural equations [84,85]:
Variables with the superscript denote the sum of the two components. In general, and will drop to zero at and , respectively. The radius of the star R is then defined to be the outermost one, i.e., usually in this work. Of course, the mass of DMASSs is the total mass of SQM and DM, .
3.2. Radial Oscillation Equations of DMASSs
For investigating the radial oscillations of DMASSs, we introduce also the perturbations of each fluids as in Equation (13):
Including the dependence on r and t of the metric functions, the Einstein field equations lead to a number of equations that determine the metric functions and as follows:
where the prime and dot denotes the r-derivative and t-derivative, respectively. Neglecting all the perturbations, we can obtain the equations in the equilibrium,
Further including the linear order but neglecting higher-order contributions of the perturbations, one can obtain the linear homogeneous equations for the perturbations as
where represents the velocity of perturbed x fluids. The equations of motion for the perturbations can be obtained from :
In line with Chandrasekhar’s original derivation, we define
with denoting a Lagrange perturbation . Plugging this into Equation (31) and integrating it, one obtains
Then, Equation (32) can also be integrated to give
With the commonly used approximation that equilibrium is kept during radial oscillation [70], one has that
where is the speed of sound of the corresponding fluid. Then, Equation (36) can be rewritten as
where
is the adiabatic index for fluid x, which is given by the EOS in equilibrium.
Further inserting Equation (29) into Equation (33), we establish the equations for the independent functions and , which are linear homogeneous equations. By separations of the variables t and r, one can obtain a harmonic time dependence for all the eigenmodes of the perturbations, for example,
where is the eigenfrequency of the nth radial oscillation mode.
Differently from refs. [24,71] but inspired by Chanmugam’s work on single fluids in ref. [68], we similarly define dimensionless quantities ,. Note that is no longer an Euler perturbation but a Lagrange perturbation, which is connected through operator relation . With Equation (40) and the above definitions, we can further rewrite Equations (33) and (38) into the following form:
The other two equations for and can be obtained by exchanging the subscript q and d. Dropping the contributions of DM, the above equations will be naturally reduced to the single-fluid form of radial oscillations in ref. [68]. For regular solutions of Equations (41) and (42), two boundary conditions are required. The condition at the center is
while the Lagrange perturbation of the pressure should vanish at the surface, i.e.,
As a consequence, will be a finite quantity at the corresponding surface.
The above radial oscillation equations are of the Sturm–Liouville type, which generally have discrete eigenvalues , with the subscript as the number of nodes. Obviously, a negative indicates that the star is unstable under the given perturbation. Therefore, provides a criterion for the stability of a compact star.
4. Numerical Results
As stated above, DM and SQM interact with each other only through gravity; their EOS are given independently. In the following, similar to ref. [48], we introduce the DM mass fraction , which is defined as the ratio of the DM mass to the total mass of the mixed star . In this work, we focus on SQM dominant stars with small fractions of DM, i.e., we only investigate parameter space with .
4.1. Equilibrium Structure of DMASSs
In Figure 1, we show the energy density, speed of sound, and adiabatic index of SQM and DM as functions of pressure. In comparison, we also show the EOS of SQM with various bag-constants and with the MIT-bag model. Compared with the MIT-bag model, the CFL EOS of SQM is stiffer. The sound speed in the CFL model is higher than that in the MIT-bag model and slowly decreases as the pressure increases. The adiabatic index of SQM tends to be infinity at zero pressure and decreases quickly as pressure increases, with little difference in the two models. Compared with SQM, the EOS of DM is very soft, and even softer as the DPM increases. The sound speed of DM is always below the relativistic limit . It increases as pressure increases or as DPM decreases. The adiabatic index of DM is quite small compared with that of SQM, only around 1.5. It decreases slowly as pressure increases or as DPM increases.
Figure 1.
The energy density (upper panels), speed of sound (central panels), and adiabatic index (lower panels) of SQM (left panels) and DM (right panels) as functions of pressure, respectively.
In Figure 2, we show the R-M relations of SSs and dark matter stars with various EOSs. For the CFL model, we use the same parameters as ref. [80] and obtain similar results. Among the four EOSs, only the CFL model with gives the maximum mass of SSs higher than 2 solar mass. For the DM stars, the maximum mass is below 1 solar mass and decreases quickly as DPM increases. Similar results for pure DM stars can also be found in ref. [58] with weakly interacting DM.
Figure 2.
The mass−radius relations of pure SSs under various EOSs (left panel) and pure DMSs with various DPM (right panel).
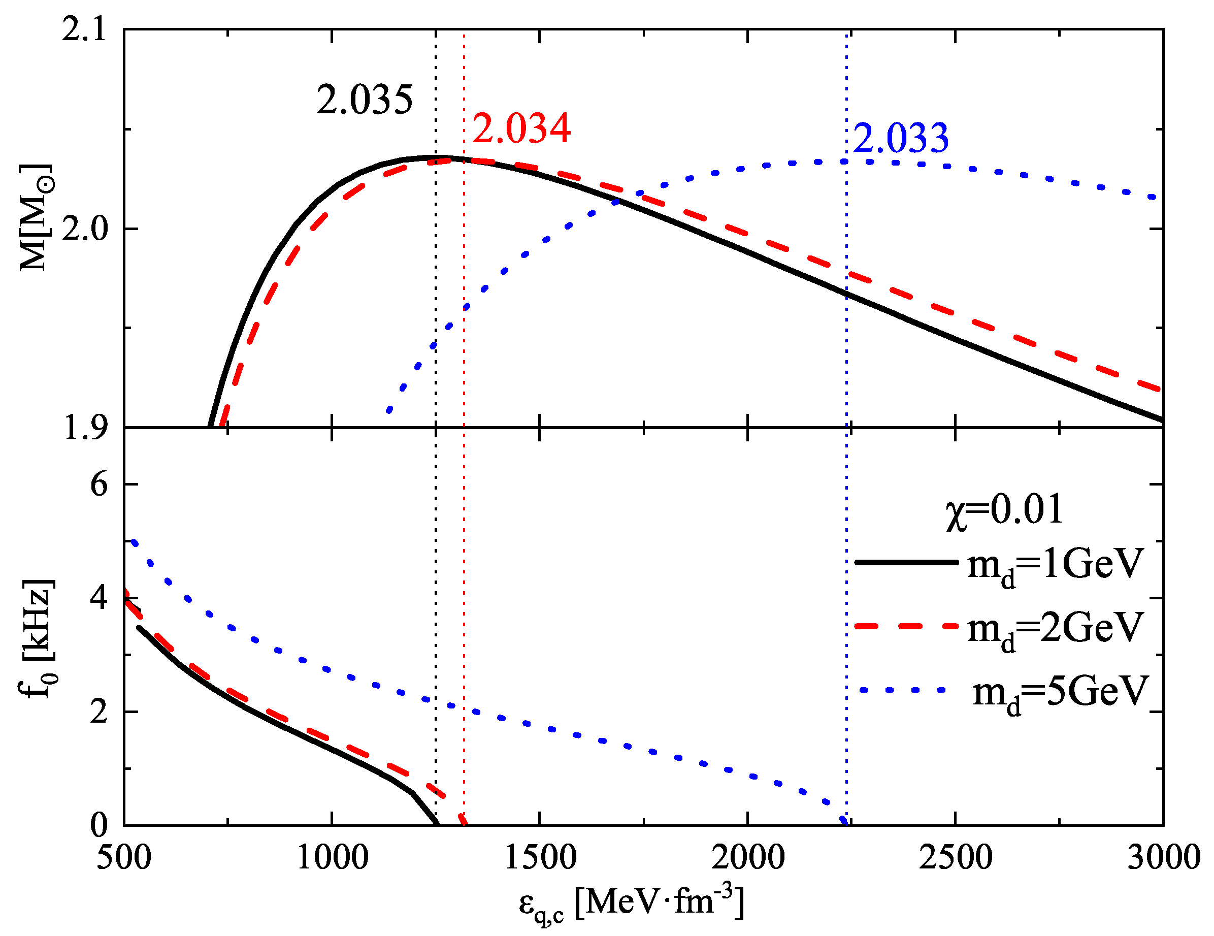
In Figure 3 we show the R-M relations of DMASSs, with GeV and various values of . In Table 1, we list more characterised values of DMASSs with various DPM and . Compared with pure SSs, the maximum masses of DMASSs is always reduced as the DM fraction increases up to . This result is also qualitatively consistent with the results of refs. [52,61] for fermionic DM, though our definition of the fraction of DM is different from their. As DPM increases, the maximum mass of DMASSs decreases more. In addition, when the mass is high, the radius of DMASSs of the same mass also decreases with the increase of . In contrast, when the mass of DMASSs is very low (indicated by the dotted line in Figure 3), the radius increase with the increase in . For these DMASSs, the radius of DM is larger than the radius of SQM, forming a DM halo. In comparison with the observations, our SSs and DMASSs can be marginally consistent with the observations, except the NICER results, but the deviations become larger when DPM or increase. Concerning the current pulsar observations, we mainly focus on massive DMASSs with small fractions of DM, i.e., DMASSs with DM cores.
Figure 3.
The mass−radius relations of DMASSs. We take the EOS of SQM as CFL−B100−ms0 150. DPM is taken as GeV, and the fractions of DM in DMASSs are taken from 0 to 0.2. The shaded portion shows the constraints on the mass–radius relation given by the heaviest pulsar observed PSR J0740+6620 [86], the light compact object HESS J1731-347 [19] and analyses of GW170817 [87] and NICER [88] observations.
Table 1.
Characteristic static properties of DMASSs with various DPMs [GeV] and fractions of DM. and R are in units of and km, respectively.
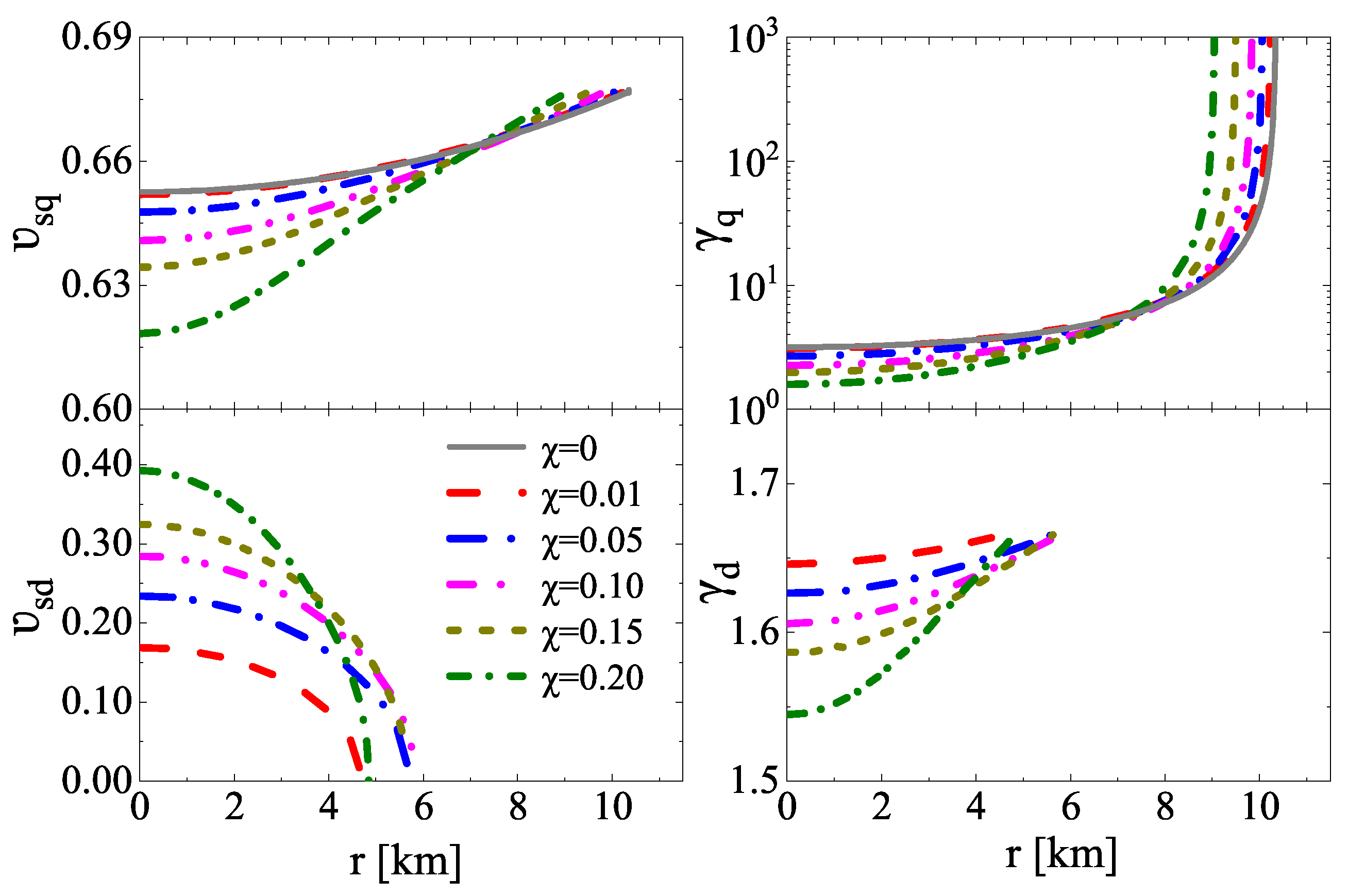
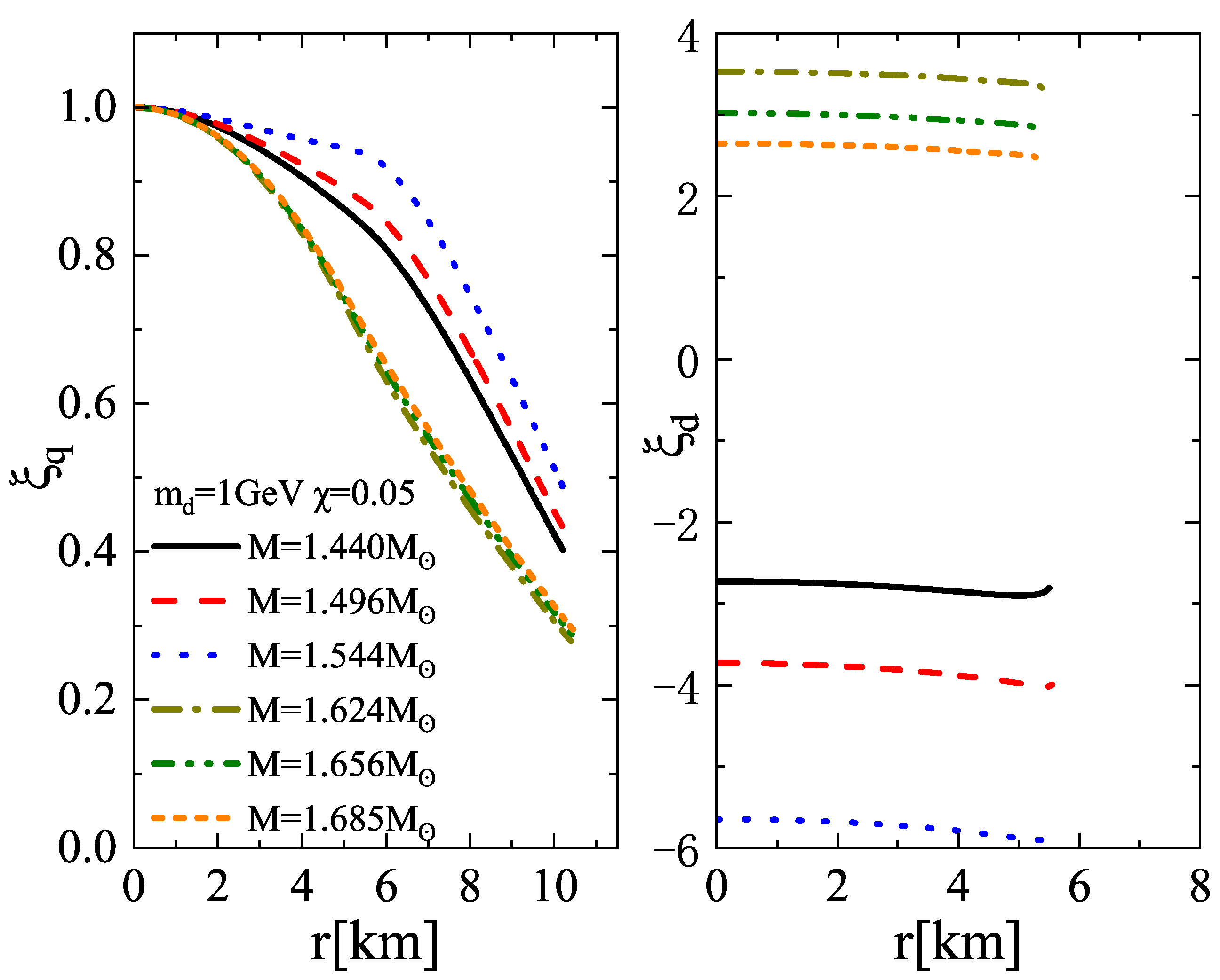
Further study of the radial oscillation of DMASSs also needs to know the adiabatic index inside the stars. In Figure 4, we show the profiles of the speed of sound and the adiabatic index of SQM and DM in DMASSs with . The sound speed of SQM is about 0.6 times the speed of light, varying little in DMASSs. The adiabatic index of SQM sharply rises near the surface of the stars, which is caused by the characteristics of the EOS at low pressure. The sound speed of DM quickly drops to 0 at the DM surface , with the central value increasing with the increase in . The adiabatic index of DM increases a little to the DM surface , while the central value decreases with the increase in .
Figure 4.
Profiles of speed of sound (left panels) and adiabatic index (right panels) of SQM (upper panels) and DM (lower panels) in SSs and DMASSs with 1.4. The is taken as 1 GeV and the fractions of DM are taken as , respectively.
4.2. Radial Oscillations and Stability
We now investigate the radial oscillations of DMASSs. In Figure 5, we show the amplitudes of the first (fundamental) radial oscillation eigenmode in a DMASS with GeV and various fractions of DM.
Figure 5.
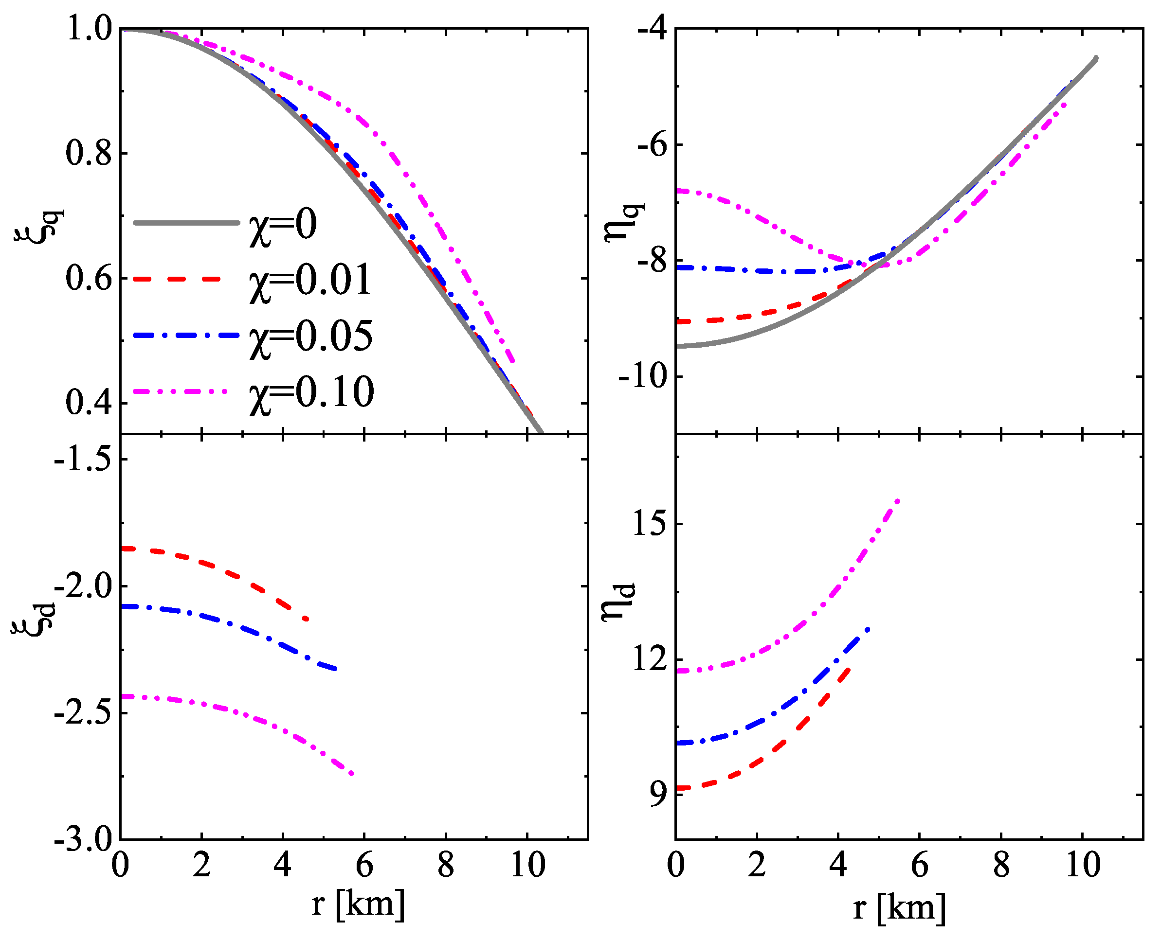
The amplitudes of radial displacement perturbation (left panels) and radial pressure perturbation (right panels) for SQM (upper panels) or DM (lower panels), dependent on radius in DMASSs and SSs with and GeV.
As can be seen from the figure, all have no nodes, as expected. The amplitudes of SQM are quantitatively similar to the results in ref. [56]. drops monotonously from the center to the surface, and it decreases a little slowly as increases. increases monotonously from the center to the surface when is quite small. However, the central value of increases as increases, while the surface value decreases a little. As a consequence, gradually becomes nonmonotonic, with a minimum around half of the radius. The amplitudes of DM and are at the same order as the amplitudes of SQM, but have the opposite signs of and , respectively. As the radius increases, and vary a little from center to the DM surface . With the increase in , the varying of and is monotonic, decreases, and increases.
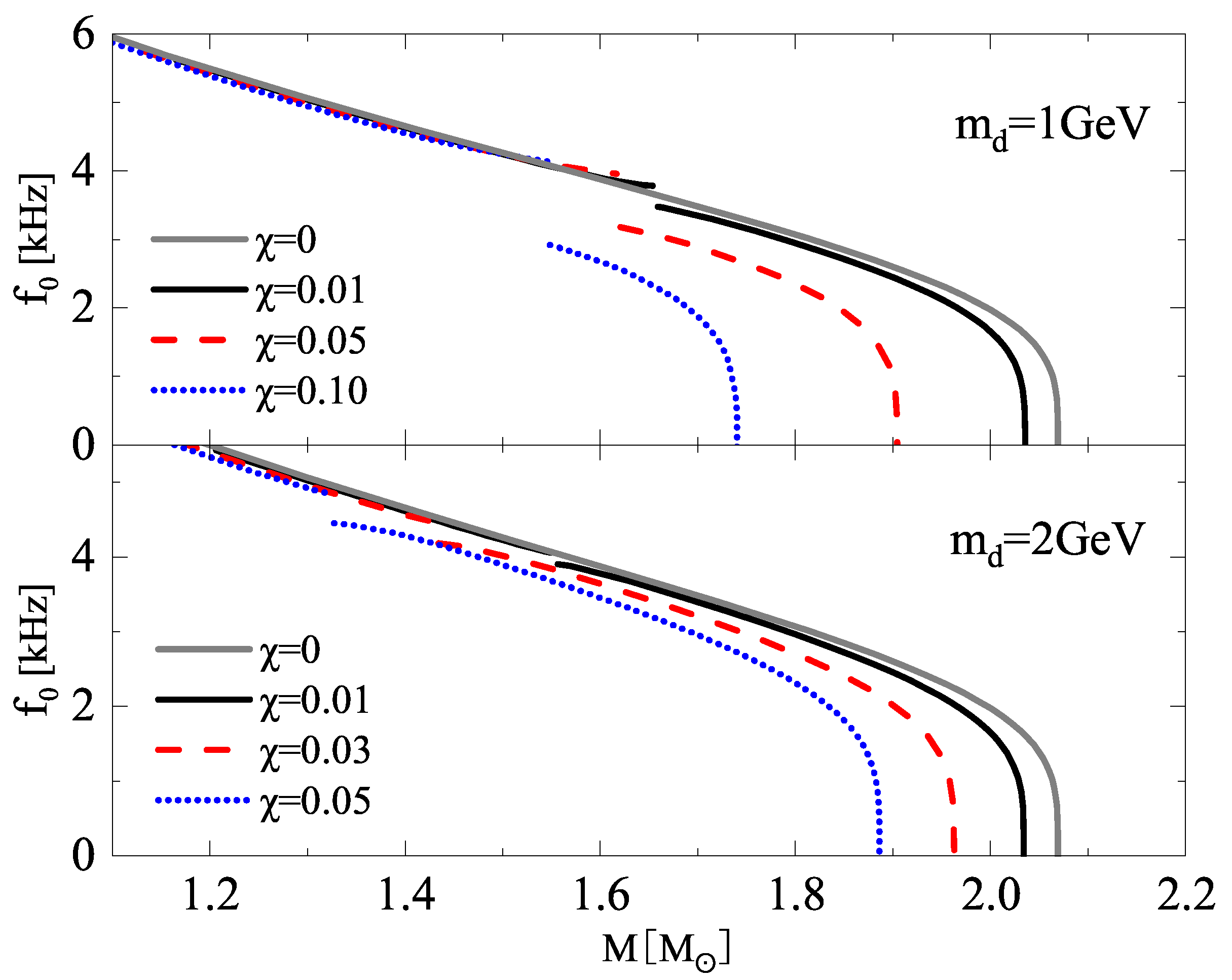
We further show the radial oscillation frequencies () as functions of DMASS masses in Figure 6. For pure SSs, decreases monotonically and continuously as the SS mass increases, and drops to 0 at the maximum mass. In comparison, when the stellar mass is low, the oscillation frequencies of DMASSs are almost the same as SSs, only slightly suppressed by DM, which is qualitatively similar to ref. [56]. However, in the high-mass region, DM significantly suppresses the radial oscillation frequencies of DMASSs. When the stellar mass approaches the maximum mass, the radial oscillation frequency of DMASSs also drops rapidly to 0. When the central pressure of SQM increases further, the mass of DMASSs decreases and the radial oscillation frequencies become negative, i.e., is no longer a real number. Then, a small perturbation of the star could increase exponentially, and the star becomes unstable.
Figure 6.
Fundamental mode frequency as function of DMASS mass with DPM GeV (upper panel) and GeV (lower panel) and various DM fractions.
For traditional neutron stars, the mass of neutron stars increases with the increase in central energy density, and is a commonly used stability criterion. Generally speaking, the radial oscillation frequency can be used as a more strict criterion for the stability of stars. Works have shown that the two criteria are usually consistent, except in some spacial cases [89,90,91,92].
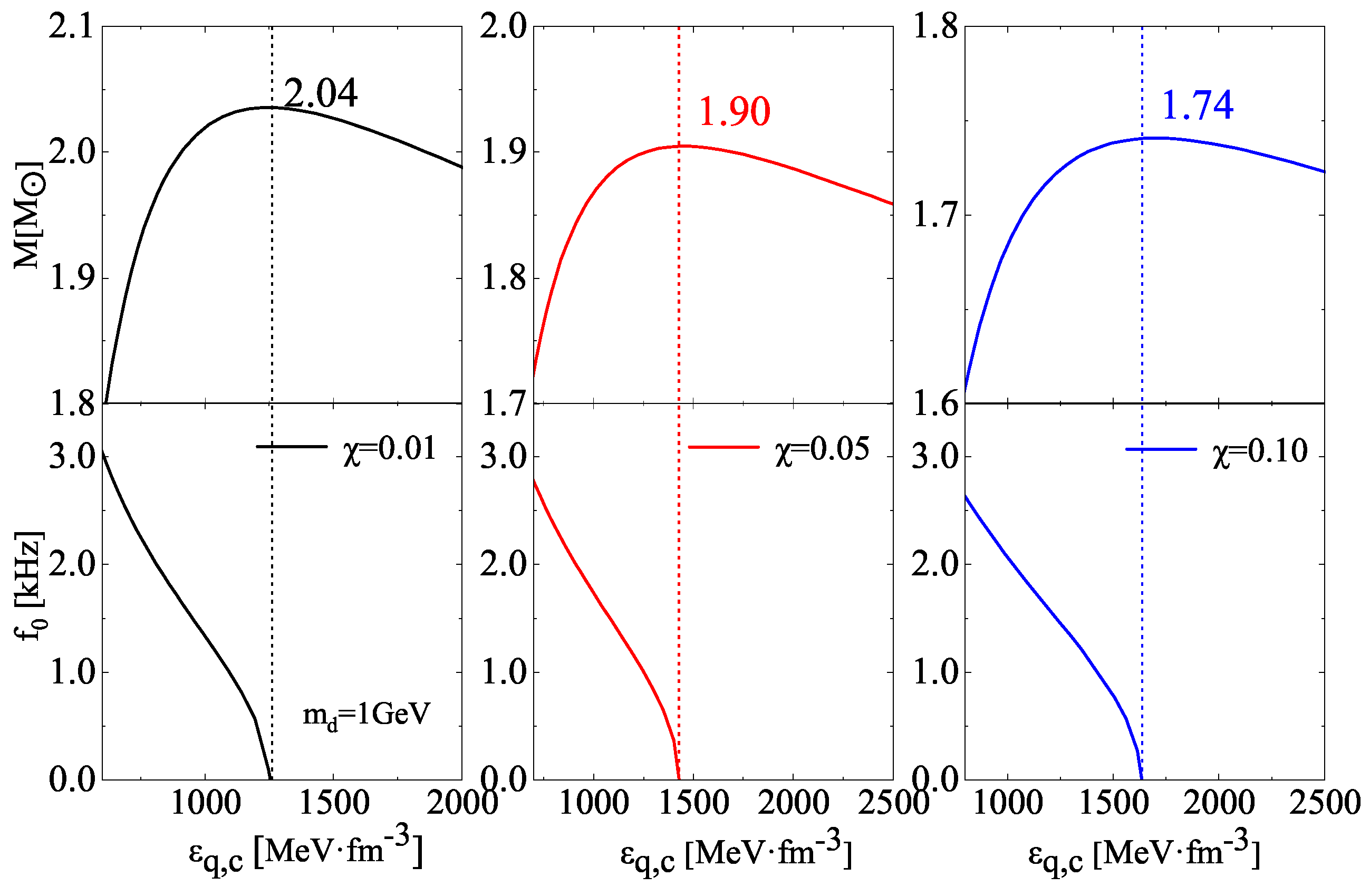
To investigate the consistency of the two criteria in DMASSs with two fluids, we show the dependence of the DMASSs’ mass and radial oscillation frequency on the central energy density of SQM in Figure 7 and Figure 8. In Figure 7, we take DPM GeV, and the DM fractions , and , respectively. On can see that the central energy density at which the radial oscillation frequencies cross zero in the lower panel correspond exactly with the points in the upper panel. Also, the points with the numerical maximum masses on the M-R curves are consistent with these critical points. In Figure 8, we show results with a fixed fraction of DM but various DPMs. Again, the points with radial oscillation frequency are consistent with points of . Finally, we can draw the conclusion that the stability critical criterion of single-fluid stars can be appropriately extended to DMASSs, with fixed DM fractions. Similar behavior of the frequency curves and the same conclusions on the critical stability points could also be seen in ref. [21] for DM-admixed NSs. The results of DMASSs in ref. [58] are different, which show at masses lower than the maximum mass. It is might due to the approximation of the one-fluid oscillation equation, which violates the consistency with the two-fluid TOV equations.
Figure 7.
The dependence of stellar mass (upper panel) and radial oscillation frequency (lower panel) on the central energy density of SQM in DMASSs. We take DPM GeV, and the mass fraction of DM , respectively.
Figure 8.
The dependence of mass (upper panel) and radial oscillation frequency (lower panel) on the central energy density of SQM in DMASSs with various DPMs. The DPM GeV respectively, and the mass fraction of DM is .
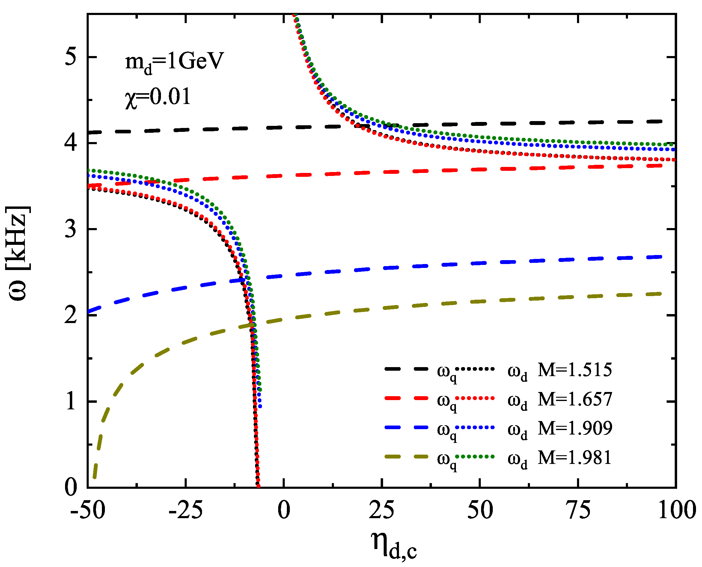
It is noted that the radial oscillation frequencies of DMASSs as shown in Figure 6 are discontinuous at certain masses , different from the continuous function in pure SSs. In order to understand the cause of such a discontinuity, we carefully analyze the process of solving the radial oscillation equations. We use the so-called shooting method to solve the linear homogeneous differential eigenequations. Firstly, we choose arbitrarily without loss of generality, with determined according to Equation (43). Then, we choose a test value of , with determined according to Equation (44). Now, we have two boundary conditions in Equations (45) and (46) for the DM surface and SQM surface, which give two frequencies and , respectively. In Figure 9, we show the frequencies and as functions of the test , with various masses around . The crosses of and determine the solution of the whole system, i.e., and . However, we find that has two discontinuous branches as a function of test . intersects with the higher branch of in the low-mass region, but with the lower branch in the high-mass region, which leads to the discontinuity of of DMASSs.
Figure 9.
The frequencies and as functions of the test for various masses of DMASSs. We take DPM GeV and .
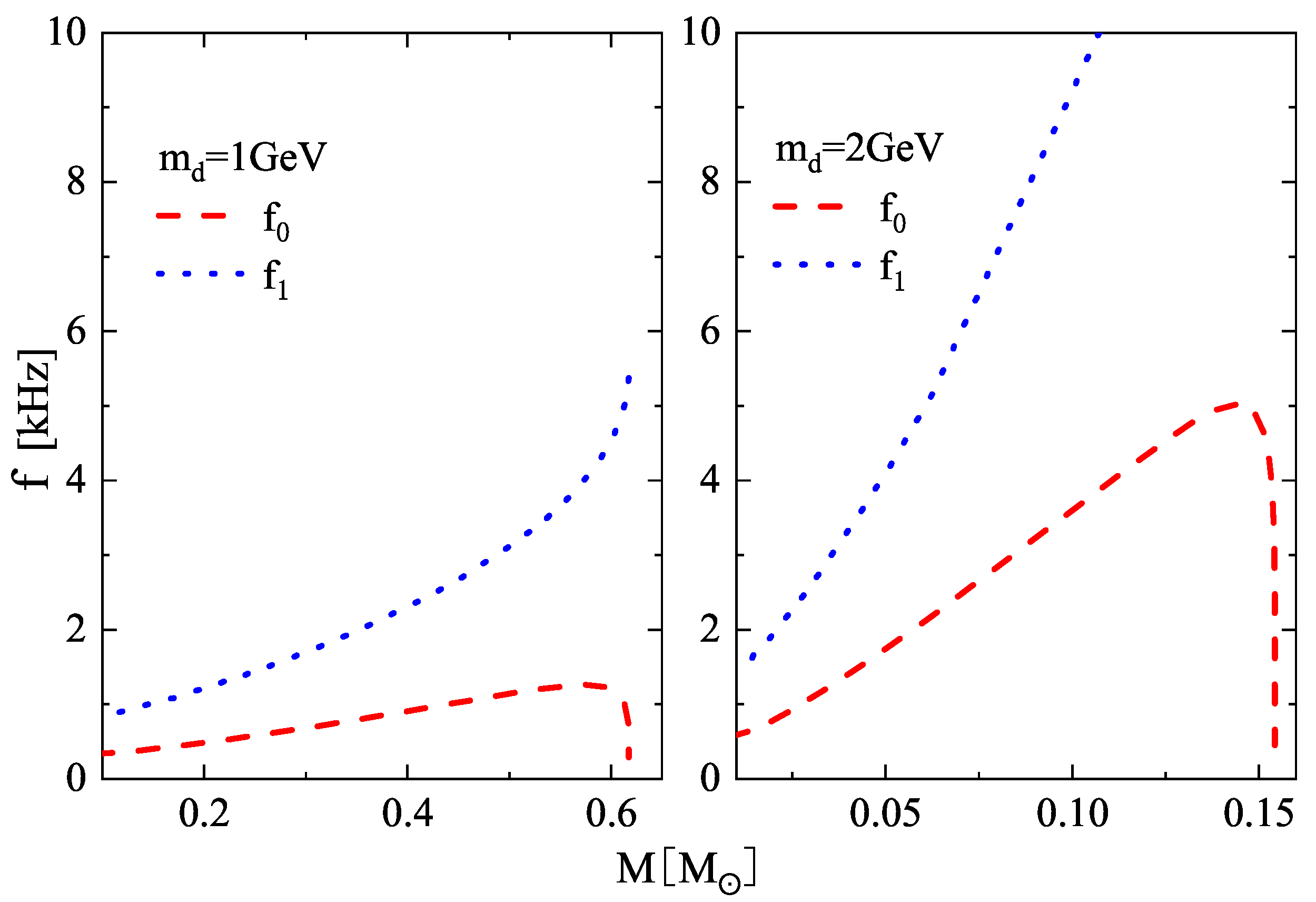
Regarding to the mechanism for the discontinuity in the radial oscillation frequencies of DMASSs, a possible explanation may come from the coupling between different oscillation modes of pure DM stars and the fundamental mode of SSs. We show both the fundamental mode frequency and the first excited mode frequency of pure DM stars in Figure 10. One can see that the of DM stars is just slightly higher than . In the high-mass region, of SSs are small and close to of DM stars, and they couple to produce a small oscillation frequency of a DMASS. However, in the low-mass region, of SSs increases to be much higher than that of DM stars, and is closer to of DM stars. This may result in that of SSs prefers to couple with of DM stars, producing a larger of a DMASS. In a word, of SSs may select to couple with () of DM stars in the high (low)-mass region, which leads to the discontinuity of oscillation frequencies in different mass regions of DMASSs. Moreover, as compared to the case with smaller DPM as shown in the left panel, and of DM stars are higher for larger DPM as shown in right panel. This is consistent with the corresponding discontinuities in of DMASSs, which also emerge at higher values for larger DPM, as shown in Figure 6.
Figure 10.
The radial oscillation frequencies of the first and second mode and of pure DM stars as function of stellar mass with DPM GeV (left panel) and GeV (right panel).
In addition, the discontinuities in frequency of DMASSs also accompany with discontinuities in the oscillation amplitudes. Figure 11 shows the radial oscillation amplitudes and as functions of radius of DMASSs with masses around with GeV and . One can see that as radial oscillation frequencies vary discontinuously around , the corresponding amplitudes and also vary discontinuously. In particular, the amplitude of DM is positive in the high-mass region, which is in-phase with the amplitude of SQM . increases with the decrease in stellar mass, but suddenly becomes negative, i.e., out-phase with when entering the low-mass region. This sudden transition from in-phase to out-phase oscillations may also be relevant to the change of coupling modes, as mentioned above.
Figure 11.
The dependence of radial oscillation amplitudes of SQM (left panel) and DM (right panel) on radius in DMASSs. We take 3 stellar masses lower or higher than , respectively.
5. Discussion and Summary
In this work, we investigated the equilibrium structure and radial oscillations of SSs admixed with small fractions of fermionic DM. The EOS of SQM is obtained from a color superconductivity improved model—the CFL quark model, while the EOS of DM is introduced as an ideal Fermi gas at zero temperature. In the framework of general relativity, we derived the TOV equations and radial oscillation equations for two-fluid systems, in which DM and QM interact through only gravity (metric functions). The radial oscillations of SQM and DM are coupled to each other through the oscillation of metric functions, and have a common oscillation frequency. Combining the EOS for SQM and DM, we solved the two-fluid version TOV equations for the equilibrium structure and the radial oscillation equations of DMASSs.
We found that the maximum mass of DMASSs decreases as the fraction of DM or the mass of the dark particle increases. The radius of DMASSs with the same mass also decreases as the fraction of DM increases, except in the very-low-mass region. With a fixed DM fraction, the fundamental mode radial oscillation frequency deviates little from that of pure SS in low-mass cases, but decreases more quickly to zero at the maximum mass of DMASSs. Our results show that the zero point of is consistent with the point , which shows the consistency of the two stability criteria in DMASSs with a fixed fraction of DM. Moreover, we found a discontinuity in the radial oscillation frequency as a function of the mass of DMASSs, which is different from that in pure SSs. Meanwhile, the discontinuity of at is accompanied with a discontinuity of the radial oscillation amplitudes. DM oscillates in-phase with SQM in the high-mass region, but out-phase with SQM in the low-mass region. These discontinuities may be because that of SSs selects to couple with () of DM stars in the high (low)-mass region.
In this work, we only focus on DMASSs with small fractions of DM and show results of the fundamental mode of the radial oscillations of DMASSs. We will further investigate the higher radial oscillation modes as well as the effects of larger fractions of DM in DMASSs in the future. As to more realistic EOSs of SQM and different properties of DM, as well as their influences on the stars, we also leave these studies to future work.
Author Contributions
Y.Z. is the lead author and T.-T.S., J.-B.W., Z.-Y.Z. and H.C. contributed significantly to the mathematical calculation and theoretical proof of this work. All authors have read and agreed to the published version of the manuscript.
Funding
We acknowledge financial support from the National Natural Science Foundation
of China (Grant Nos. 12205260).
Data Availability Statement
The data presented in this study are available on request from the corresponding author due to college regulations.
Acknowledgments
We acknowledge financial support from the National Natural Science Foundation of China (Grant Nos. 12205260).
Conflicts of Interest
The authors declare no conflicts of interest.
References
- Ehlers, J. Editorial note to: F. Zwicky The redshift of extragalactic nebulae. Gen. Relativ. Gravit. 2008, 41, 203–206. [Google Scholar] [CrossRef]
- Rubin, V.C.; Ford, W.K., Jr. Rotation of the Andromeda Nebula from a Spectroscopic Survey of Emission Regions. Astrophys. J. 1970, 159, 379–403. [Google Scholar] [CrossRef]
- Ade, P.A.; Aghanim, N.; Arnaud, M.; Ashdown, M.; Aumont, J.; Baccigalupi, C.; Banday, A.J.; Barreiro, R.B.; Bartlett, J.G.; Bartolo, N.; et al. Planck 2015 results. XIII. Cosmological parameters. Astron. Astrophys. 2016, 594, A13. [Google Scholar]
- Billard, J.; Boulay, M.; Cebrián, S.; Covi, L.; Fiorillo, G.; Green, A.; Kopp, J.; Majorovits, B.; Palladino, K.; Petricca, F.; et al. Direct detection of dark matter—APPEC committee report. Rep. Prog. Phys. 2022, 85, 056201. [Google Scholar] [CrossRef] [PubMed]
- Baltz, E.A. Dark matter candidates. New J. Phys. 2004, C040802, L002. [Google Scholar]
- Taoso, M.; Bertone, G.; Masiero, A. Dark Matter Candidates: A Ten-Point Test. J. Cosmol. Astropart. Phys. 2008, 3, 22. [Google Scholar] [CrossRef]
- Turck-Chieze, S.; Lopes, I. Solar-stellar astrophysics and dark matter. Res. Astron. Astrophys. 2012, 2012, 1107–1138. [Google Scholar] [CrossRef]
- Li, A.; Huang, F.; Xu, R.X. Too massive neutron stars: The role of dark matter? Astropart. Phys. 2012, 37, 70–74. [Google Scholar] [CrossRef]
- Li, X.Y.; Wang, F.Y.; Cheng, K.S. Gravitational effects of condensate dark matter on compact stellar objects. J. Cosmol. Astropart. Phys. 2012, 2012, 31. [Google Scholar] [CrossRef]
- Panotopoulos, G. How compact stars challenge our view about dark matter. In Proceedings of the 22nd Workshop What Comes Beyond the Standard Models, Bled, Slovenia, 6–14 July 2019; Volume 2012, p. 31. [Google Scholar]
- Shapiro, S.L.; Teukolsky, S.A. Black Holes, White Dwarfs, and Neutron Stars: The Physics of Compact Objects; John Wiley & Sons: Hoboken, NJ, USA, 1983. [Google Scholar]
- Leahy, D.; Ouyed, R. Supernova SN2006gy as a first ever Quark Nova? Mon. Not. Roy. Astron. Soc. 2008, 387, 1193. [Google Scholar] [CrossRef]
- Leahy, D.; Ouyed, R. Predictions for signatures of the quark-nova in superluminous supernovae. arXiv 2009, arXiv:0911.5424. [Google Scholar]
- Witten, E. Cosmic Separation of Phases. Phys. Rev. D 1984, 30, 272–285. [Google Scholar] [CrossRef]
- Farhi, E.; Jaffe, R.L. Strange Matter. Phys. Rev. D 1984, 30, 2379. [Google Scholar] [CrossRef]
- Ivanenko, D.D.; Kurdgelaidze, D.F. Hypothesis concerning quark stars. Astrophysics 1965, 1, 251–252. [Google Scholar] [CrossRef]
- Itoh, N. Hydrostatic Equilibrium of Hypothetical Quark Stars. Prog. Theor. Phys. 1970, 44, 291. [Google Scholar] [CrossRef]
- Lattimer, J.M. The nuclear equation of state and neutron star masses. Ann. Rev. Nucl. Part. Sci. 2012, 62, 485–515. [Google Scholar] [CrossRef]
- Doroshenko, V.; Suleimanov, V.; Pühlhofer, G.; Santangelo, A. A strangely light neutron star. NATAS 2022, 6, 1444. [Google Scholar]
- Henriques, A.B.; Liddle, A.R.; Moorhouse, R.G. Combined Boson—Fermion Stars: Configurations and Stability. Nucl. Phys. B 1990, 337, 737–761. [Google Scholar] [CrossRef]
- Leung, S.C.; Chu, M.C.; Lin, L.M. Dark-matter admixed neutron stars. Phys. Rev. D 2011, 84, 107301. [Google Scholar] [CrossRef]
- Tolos, L.; Schaffner, B.J.; Dengler, Y. Dark Compact Planets. Phys. Rev. D 2015, 92, 123002. [Google Scholar] [CrossRef]
- Del, P.A.; Deliyergiyev, M.; Le, D.M. Solution to the hyperon puzzle using dark matter. Phys. Dark Universe 2020, 30, 100622. [Google Scholar]
- Kain, B. Dark matter admixed neutron stars. Phys. Rev. D 2021, 103, 043009. [Google Scholar] [CrossRef]
- Das, H.; Kumar, A.; Kumar, B.; Biswal, S.; Patra, S. Impacts of dark matter on the curvature of the neutron star. J. Cosmol. Astropart. Phys. 2021, 2021, 007. [Google Scholar] [CrossRef]
- Lopes, I.; Casanellas, J.; Eugenio, D. The capture of dark matter particles through the evolution of low-mass stars. Phys. Rev. D 2011, 83, 063521. [Google Scholar] [CrossRef]
- Del, P.A.; Le, D.M.; Deliyergiyev, M. Neutron Stars and Dark Matter. Universe 2020, 6, 222. [Google Scholar] [CrossRef]
- Bell, N.F.; Busoni, G.; Motta, T.F.; Robles, S.; Thomas, A.W.; Virgato, M. Nucleon Structure and Strong Interactions in Dark Matter Capture in Neutron Stars. Phys. Rev. Lett. 2021, 127, 111803. [Google Scholar] [CrossRef]
- Maity, T.N.; Queiroz, F.S. Detecting bosonic dark matter with neutron stars. Phys. Rev. D 2021, 104, 083019. [Google Scholar] [CrossRef]
- Anzuini, F.; Bell, N.F.; Busoni, G.; Motta, T.F.; Robles, S.; Thomas, A.W.; Virgato, M. Improved treatment of dark matter capture in neutron stars III: Nucleon and exotic targets. J. Cosmol. Astropart. Phys. 2021, 2021, 056. [Google Scholar] [CrossRef]
- Bose, D.; Maity, T.N.; Ray, T.S. Neutrinos from captured dark matter annihilation in a galactic population of neutron stars. J. Cosmol. Astropart. Phys. 2022, 2022, 001. [Google Scholar] [CrossRef]
- Kouvaris, C. WIMP annihilation and cooling of neutron stars. Phys. Rev. D 2008, 77, 023006. [Google Scholar] [CrossRef]
- Bertone, G.; Fairbairn, M. Compact stars as dark matter probes. Phys. Rev. D 2008, 77, 043515. [Google Scholar] [CrossRef]
- Gonzalez, D.; Reisenegger, A. Internal heating of old neutron stars: Contrasting different mechanisms. Astron. Astrophys. 2010, 522, A16. [Google Scholar] [CrossRef]
- Bertoni, B.; Nelson, A.E.; Reddy, S. Dark Matter Thermalization in Neutron Stars. Phys. Rev. D 2013, 88, 123505. [Google Scholar] [CrossRef]
- Garani, R.; Gupta, A.; Raj, N. Observing the thermalization of dark matter in neutron stars. Phys. Rev. D 2021, 103, 043019. [Google Scholar] [CrossRef]
- Coffey, J.; McKeen, D.; Morrissey, D.E.; Raj, N. Neutron star observations of pseudoscalar-mediated dark matter. Phys. Rev. D 2022, 106, 115019. [Google Scholar] [CrossRef]
- Fujiwara, M.; Hamaguchi, K.; Nagata, N.; Zheng, J.M. Capture of electroweak multiplet dark matter in neutron stars. Phys. Rev. D 2022, 106, 055031. [Google Scholar] [CrossRef]
- Gleason, T.; Brown, B.; Kain, B. Dynamical evolution of dark matter admixed neutron stars. Phys. Rev. D 2022, 105, 023010. [Google Scholar] [CrossRef]
- Quddus, A.; Panotopoulos, G.; Kumar, B.; Ahmad, S.; Patra, S.K. GW170817 constraints on the properties of a neutron star in the presence of WIMP dark matter. J. Phys. G 2020, 47, 095202. [Google Scholar] [CrossRef]
- Leung, K.L.; Chu, M.C.; Lin, L.M. Tidal deformability of dark matter admixed neutron stars. Phys. Rev. D 2022, 105, 123010. [Google Scholar] [CrossRef]
- Karkevandi, D.R.; Shakeri, S.; Sagun, V.; Ivanytskyi, O. Bosonic dark matter in neutron stars and its effect on gravitational wave signal. Phys. Rev. D 2022, 105, 023001. [Google Scholar] [CrossRef]
- Dengler, Y.; Schaffner, B.J.; Tolos, L. Second Love number of dark compact planets and neutron stars with dark matter. Phys. Rev. D 2022, 105, 043013. [Google Scholar] [CrossRef]
- Collier, M.; Croon, D.; Leane, R.K. Tidal Love numbers of novel and admixed celestial objects. Phys. Rev. D 2022, 106, 123027. [Google Scholar] [CrossRef]
- Yagi, K.; Yunes, N. I-Love-Q Relations in Neutron Stars and their Applications to Astrophysics, Gravitational Waves and Fundamental Physics. Phys. Rev. D 2013, 88, 023009. [Google Scholar] [CrossRef]
- Yagi, K.; Yunes, N. Approximate Universal Relations for Neutron Stars and Quark Stars. Phys. Rep. 2017, 681, 1–72. [Google Scholar] [CrossRef]
- Godzieba, D.A.; Gamba, R.; Radice, D.; Bernuzzi, S. Updated universal relations for tidal deformabilities of neutron stars from phenomenological equations of state. Phys. Rev. D 2021, 103, 063036. [Google Scholar] [CrossRef]
- Leung, S.C.; Chu, M.C.; Lin, L.M. Equilibrium Structure and Radial Oscillations of Dark Matter Admixed Neutron Stars. Phys. Rev. D 2012, 85, 103528. [Google Scholar] [CrossRef]
- Routaray, P.; Quddus, A.; Chakravarti, K.; Kumar, B. Probing the impact of WIMP dark matter on universal relations, GW170817 posterior, and radial oscillations. Mon. Not. R. Astron. Soc. 2023, 525, 5492–5499. [Google Scholar] [CrossRef]
- Routaray, P.; Das, H.C.; Sen, S.; Kumar, B.; Panotopoulos, G.; Zhao, T.Q. Radial oscillations of dark matter admixed neutron stars. Phys. Rev. D 2023, 107, 103039. [Google Scholar] [CrossRef]
- Hong, B.; Ren, Z.Z.; Wu, C.; Mu, X.L. Impacts of symmetry energy slope on the oscillation frequencies of neutron stars with short-range correlation and admixed dark matter. Class. Quantum Gravity 2023, 40, 125007. [Google Scholar] [CrossRef]
- Mukhopadhyay, P.; Schaffner, B.J. Quark stars admixed with dark matter. Phys. Rev. D 2016, 93, 083009. [Google Scholar] [CrossRef]
- Panotopoulos, G.; Lopes, I. Radial oscillations of strange quark stars admixed with condensed dark matter. Phys. Rev. D 2017, 96, 083013. [Google Scholar] [CrossRef]
- Lopes, I.; Panotopoulos, G. Dark matter admixed strange quark stars in the Starobinsky model. Phys. Rev. D 2018, 97, 024030. [Google Scholar] [CrossRef]
- Panotopoulos, G.; Lopes, I. Millisecond pulsars modeled as strange quark stars admixed with condensed dark matter. Int. J. Mod. Phys. D. 2018, 27, 1850093. [Google Scholar] [CrossRef]
- Panotopoulos, G.; Lopes, I. Radial oscillations of strange quark stars admixed with fermionic dark matter. Phys. Rev. D 2018, 98, 083001. [Google Scholar] [CrossRef]
- Yang, S.H.; Pi, C.M.; Zheng, X.P. Strange stars with a mirror-dark-matter core confronting with the observations of compact stars. Phys. Rev. D 2021, 104, 083016. [Google Scholar] [CrossRef]
- Jiménez, J.C.; Fraga, E.S. Radial oscillations of quark stars admixed with dark matter. Universe 2022, 8, 34. [Google Scholar] [CrossRef]
- Sen, D.; Guha, A. Vector dark boson mediated feeble interaction between fermionic dark matter and strange quark matter in quark stars. Mon. Not. R. Astron. Soc. 2022, 517, 518–525. [Google Scholar] [CrossRef]
- Ferreira, O.; Fraga, E.S. Strange magnetars admixed with fermionic dark matter. J. Cosmol. Astropart. Phys. 2023, 4, 12. [Google Scholar] [CrossRef]
- Lopes, L.L.; Das, H.C. Strange stars within bosonic and fermionic admixed dark matter. J. Cosmol. Astropart. Phys. 2023, 5, 34. [Google Scholar] [CrossRef]
- Pi, C.M.; Yang, S.H. Strange stars confronting with the observations: Non-Newtonian gravity effects, or the existence of a dark-matter core. Astron. Nachr. 2023, 344, e220083. [Google Scholar] [CrossRef]
- Yang, S.H.; Pi, C.M.; Zheng, X.P.; Weber, F. Confronting Strange Stars with Compact-Star Observations and New Physics. Universe 2023, 9, 202. [Google Scholar] [CrossRef]
- Passamonti, A.; Bruni, M.; Gualtieri, L.; Nagar, A.; Sopuerta, C.F. Coupling of radial and axial nonradial oscillations of compact stars: Gravitational waves from first-order differential rotation. Phys. Rev. D 2006, 73, 084010. [Google Scholar] [CrossRef]
- Passamonti, A.; Stergioulas, N.; Nagar, A. Gravitational waves from nonlinear couplings of radial and polar nonradial modes in relativistic stars. Phys. Rev. D 2007, 75, 084038. [Google Scholar] [CrossRef]
- Chirenti, C.; Miller, M.C.; Strohmayer, T.; Camp, J. Searching for hypermassive neutron stars with short gamma-ray bursts. Astrophys. J. Lett. 2019, 884, L16. [Google Scholar] [CrossRef]
- Chandrasekhar, S. The Dynamical Instability of Gaseous Masses Approaching the Schwarzschild Limit in General Relativity. Astrophys. J. 1964, 140, 417–433. [Google Scholar] [CrossRef]
- Chanmugam, G. Radial oscillations of zero-temperature white dwarfs and neutron stars below nuclear densities. Astrophys. J. 1977, 217, 799–808. [Google Scholar] [CrossRef]
- Gondek, D.; Haensel, P.; Zdunik, J.L. Radial pulsations and stability of protoneutron stars. Astron. Astrophys. 1997, 325, 217–227. [Google Scholar]
- Kokkotas, K.D.; Ruoff, J. Radial oscillations of relativistic stars. Astron. Astrophys. 2001, 366, 565–572. [Google Scholar] [CrossRef]
- Kain, B. Radial oscillations and stability of multiple-fluid compact stars. Phys. Rev. D 2020, 102, 023001. [Google Scholar] [CrossRef]
- Comer, G.L.; Langlois, D.; Lin, L.M. Quasinormal modes of general relativistic superfluid neutron stars. Phys. Rev. D 1999, 60, 104025. [Google Scholar] [CrossRef]
- Andersson, N.; Comer, G.L. Relativistic fluid dynamics: Physics for many different scales. Living Rev. Relativ. 2007, 10, 1. [Google Scholar] [CrossRef]
- Chodos, A.; Jaffe, R.L.; Johnson, K.; Thorn, C.B.; Weisskopf, V.F. A New Extended Model of Hadrons. Phys. Rev. D 1974, 9, 3471–3495. [Google Scholar] [CrossRef]
- Chodos, A.; Jaffe, R.L.; Johnson, K.; Thorn, C.B. Baryon Structure in the Bag Theory. Phys. Rev. D 1974, 10, 2599. [Google Scholar] [CrossRef]
- Demorest, P.B.; Pennucci, T.; Ransom, S.; Roberts, M.; Hessels, J. A two-solar-mass neutron star measured using Shapiro delay. Nature 2010, 467, 1081–1083. [Google Scholar] [CrossRef] [PubMed]
- Margalit, B.; Metzger, B.D. Constraining the maximum mass of neutron stars from multi-messenger observations of GW170817y. Astrophys. J. Lett. 2017, 850, L19. [Google Scholar] [CrossRef]
- Lugones, G.; Horvath, J.E. Color flavor locked strange matter. Phys. Rev. D 2002, 66, 074017. [Google Scholar] [CrossRef]
- Flores, C.V.; Lugones, G. Radial oscillations of color superconducting self-bound quark stars. Phys. Rev. D 2010, 82, 063006. [Google Scholar] [CrossRef]
- Flores, C.V.; Lugones, G. Constraining color flavor locked strange stars in the gravitational wave era. Phys. Rev. C 2017, 95, 025808. [Google Scholar] [CrossRef]
- Cipolletta, F.; Cherubini, C.; Filippi, S.; Rueda, J.A.; Ruffini, R. Fast Rotating Neutron Stars with Realistic Nuclear Matter Equation of State. Phys. Rev. D 2015, 92, 023007. [Google Scholar] [CrossRef]
- Diener, J.P.W. Relativistic mean-field theory applied to the study of neutron star properties. arXiv 2008, arXiv:0806.0747. [Google Scholar]
- Oppenheimer, J.R.; Volkoff, G.M. On massive neutron cores. Phys. Rev. 1939, 55, 374–381. [Google Scholar] [CrossRef]
- Ciarcelluti, P.; Sandin, F. Have neutron stars a dark matter core? Phys. Lett. B 2011, 695, 19–21. [Google Scholar] [CrossRef]
- Zhang, K.; Huang, G.Z.; Tsao, J.S.; Lin, F.L. GW170817 and GW190425 as hybrid stars of dark and nuclear matter. Eur. Phys. J. C 2022, 82, 366. [Google Scholar] [CrossRef]
- Cromartie, H.T.; Fonseca, E.; Ransom, S.M.; Demorest, P.B.; Arzoumanian, Z.; Blumer, H.; Brook, P.R.; DeCesar, M.E.; Dolch, T.; Ellis, J.A.; et al. Relativistic Shapiro delay measurements of an extremely massive millisecond pulsar. Nat. Astron. 2020, 4, 72–76. [Google Scholar] [CrossRef]
- Acernese, F.A.; Agathos, M.; Agatsuma, K.; Aisa, D.; Allemandou, N.; Allocca, A.; Amarni, J.; Astone, P.; Balestri, G.; Ballardin, G.; et al. Advanced Virgo: A second-generation interferometric gravitational wave detector. Class. Quantum Gravity 2014, 332, 024001. [Google Scholar] [CrossRef]
- Riley, T.E.; Watts, A.L.; Bogdanov, S.; Ray, P.S.; Ludlam, R.M.; Guillot, S.; Arzoumanian, Z.; Baker, C.L.; Bilous, A.V.; Chakrabarty, D.; et al. A NICER view of PSR J0030+0451: Millisecond pulsar parameter estimation. Astrophys. J. Lett. 2019, 887, L21. [Google Scholar] [CrossRef]
- Arbañil, J.D.; Malheiro, M. Equilibrium and stability of charged strange quark stars. Phys. Rev. D 2015, 92, 084009. [Google Scholar] [CrossRef]
- Pereira, J.P.; Flores, C.V.; Lugones, G. Phase transition effects on the dynamical stability of hybrid neutron stars. Astrophys. J. 2018, 860, 12. [Google Scholar] [CrossRef]
- Gonçalves, V.P.; Lazzari, L. Impact of slow conversions on hybrid stars with sequential QCD phase transitions. Eur. Phys. J. C 2022, 82, 288. [Google Scholar] [CrossRef]
- Rau, P.B.; Sedrakian, A. Two first-order phase transitions in hybrid compact stars: Higher-order multiplet stars, reaction modes, and intermediate conversion speeds. Phys. Rev. D 2023, 107, 103042. [Google Scholar] [CrossRef]
Disclaimer/Publisher’s Note: The statements, opinions and data contained in all publications are solely those of the individual author(s) and contributor(s) and not of MDPI and/or the editor(s). MDPI and/or the editor(s) disclaim responsibility for any injury to people or property resulting from any ideas, methods, instructions or products referred to in the content. |
© 2024 by the authors. Licensee MDPI, Basel, Switzerland. This article is an open access article distributed under the terms and conditions of the Creative Commons Attribution (CC BY) license (https://creativecommons.org/licenses/by/4.0/).










