Abstract
The optimization of the symmetry of MTDC systems after a contingency is crucial for the stable and economic operation of the MTDC systems. In this paper, a multi-objective optimal control method for the power flow symmetry of MTDC systems for the large-scale integration of offshore wind farms is proposed. A mirror relationship between the available headroom of DC lines and VSCs and their actual power flow distribution performance is established. A corresponding symmetry index is established for the MTDC network, and the multi-objective optimization problem is converted into a series of single-objective problems by the normal boundary intersection method, and solved by the original dyadic interior point method, so as to obtain the Pareto optimal solution with uniform distribution. The compromise optimal solution is decided according to the entropy weight double-basis point method, which provides decision-making guidance for the operators. The simulation results show that the normal boundary intersection method can solve the multi-objective dynamic optimal control problem of the VSC-HVDC system quickly and efficiently, and improve the symmetry of the power flow in an MTDC network.
1. Introduction
In modern power systems, the concept of symmetry is pivotal in terms of optimizing power flow distribution and enhancing system stability [1,2]. Amidst the depletion of fossil fuel resources and the global focus on reducing greenhouse gas emissions, the past two decades have seen a significant rise in the use of sustainable energy sources in power generation [3,4,5,6]. Offshore wind power, with its high and consistent wind speeds, is expected to play a critical role in the transition to a low-carbon economy [7,8,9,10,11,12,13]. Two key technologies for integrating offshore wind farms into the existing AC grid include high-voltage AC systems and voltage source converter-based high-voltage DC (VSC-HVDC) grids. Among these, multi-terminal HVDC (MTDC) systems have emerged as the preferred solution due to their advantages in terms of the independent control of active and reactive power, undersea transmission capability, and flexible power flow management [1,14,15,16,17,18,19].
Classical control strategies for MTDC systems are typically classified into three categories: V-P control [20], voltage margin control [21], and DC voltage droop control [22,23,24,25,26]. V-P control adjusts DC voltage by selecting a primary VSC but faces significant limitations, especially if the DC voltage-controlled VSC fails [27]. Voltage margin control assigns control duties to slack buses but may lead to DC voltage oscillations [28,29]. To improve stability and reliability, distributed droop control is commonly used, enabling multiple VSCs to share voltage regulation and power distribution tasks [30]. The equivalent single-phase power flow model [31] for multiple converter stations connected to the AC grid is employed to simplify the analysis, focusing on the key dynamics of the DC grid and converter interactions, which are crucial for the multi-objective optimization of MTDC systems. The structure of the VSC-HVDC system is shown in Figure 1.
Figure 1.
Structure of the VSC-HVDC system: (a) VSC-HVDC converter station; (b) multi-terminal DC network; (c) the equivalent single-phase power flow model for multiple converter stations con-nected to the AC grid; (d) an MTDC system with offshore wind farm integration.
In an MTDC system, effective power sharing among DC lines and VSC stations is essential to avoid the DC lines and converter overloading and to mitigate the impact on connected AC systems, particularly under disturbances such as large power variation in OWFs and VSC outages [32,33,34,35,36]. When the DC lines and VSCs in the MTDC system distribute the power flow proportionally according to their respective ratings or available headroom, the capacity configuration of the system will be fully utilized to enhance the symmetry of the MTDC system, otherwise it is likely to lead to power flow overloading in the DC lines as well as in the converters, which corresponds to a decrease in the symmetry of the system. Several approaches have been proposed to improve the power sharing of the MTDC system. For example, adaptive droop control has been explored for frequency support and active power sharing [37], and methods optimizing the desired power shares to meet grid requirements have also been suggested [38].
In addition to power sharing control, system operators must also regulate the voltages of DC nodes to promote enhancement of the symmetry of the power flow in MTDC systems, especially in systems characterized by long transmission distances and large power flows [39,40]. The greater the deviation of the system DC voltage, the less symmetrical the system power flow will be, which will lead to MTDC system instability [41,42]. The interplay between droop constants and line resistance can significantly impact both voltage regulation and power sharing, yet achieving accurate control remains difficult with traditional methods [33,34]. In [41], an analytical method was proposed to evaluate the effects of droop parameters on DC voltage variation and power sharing after a VSC outage. However, the study did not provide a precise method for accurate power sharing among the droop-controlled VSCs. Achieving precise voltage regulation at all DC nodes complicates the implementation of effective power sharing control [42]. Traditional optimal control methods may face significant challenges when attempting to simultaneously regulate DC line power distribution, active VSC power sharing, and voltage control at all DC nodes. These methods struggle to offer the necessary degrees of freedom for multi-objective optimization [43]. Additionally, due to the dynamic nature of the offshore wind farm (OWF)-integrated systems and the complexity of contingencies, DC line power, active VSC power, and voltage are prone to reaching their limits, making it difficult for these methods to find optimal solutions that adequately balance the multiple objectives [44,45,46,47,48].
To address these limitations, this paper introduces a novel normal boundary intersection (NBI)-based control method. The NBI approach excels at resolving trade-offs in multi-objective optimization problems by transforming them into a single-objective problem, allowing for the simultaneous optimization of multiple goals. Unlike conventional control methods, which often lack sufficient control freedom, the NBI-based method provides greater flexibility in handling power sharing, DC voltage regulation, and DC line power distribution in MTDC systems with offshore wind integration. Furthermore, NBI offers more efficient exploration of the solution space and provides a precise characterization of trade-offs between conflicting objectives, especially in the context of high-dimensional, nonlinear power systems. This ensures better performance under dynamic conditions, such as the variability and uncertainty of wind power generation, resulting in more robust and feasible solutions. The main contributions of this paper are as follows:
- (1)
- This paper introduces a comprehensive approach to MTDC system control that balances multiple objectives to maintain the power flow symmetry of MTDC systems. This paper establishes a mirror relationship between the available headroom of DC lines and VSCs and their actual power flow distribution performance. A corresponding index is also established for the MTDC network to demonstrate the enhanced symmetry and stability of system power flow under the varying conditions of offshore wind integration.
- (2)
- The proposed voltage reference-based multi-objective optimal control method allows proportional power sharing according to converter capacity, distributes DC line power proportionally, and regulates the DC voltage at all nodes to their nominal values, achieving three objectives simultaneously without any trade-offs. It is also effective in various contingencies such as power fluctuations and converter outages.
- (3)
- The method employs the NBI framework, which enables precise control over DC line power distribution, VSC power sharing, and DC voltage regulation, overcoming the challenges posed by traditional methods such as control freedom limitations. This approach is particularly useful in scenarios where traditional techniques fail to provide analytic solutions.
2. Flexible Power Flow Control of MTDC Network Using Normal Boundary Intersection Method
2.1. Adaptive Voltage Reference-Based Multi-Objective Optimal Control Framework
The framework of the proposed multi-objective optimal control method is shown in Figure 2. The physical layer consists of the offshore wind farms (OWFs), wind farm VSCs (WFVSCs), AC grids, grid-side VSCs (GSVSCs), and the MTDC system. The node number of the proposed is defined as #i, #j, #l and #k. The control layers include the primary layer with power controllers and droop controllers. The voltage reference is determined using the optimization method at the secondary layer. The WFVSCs operate under real power control, while the GSVSCs use adaptive droop control [17].
Figure 2.
The framework of the proposed adaptive voltage reference-based multi-objective optimal control method.
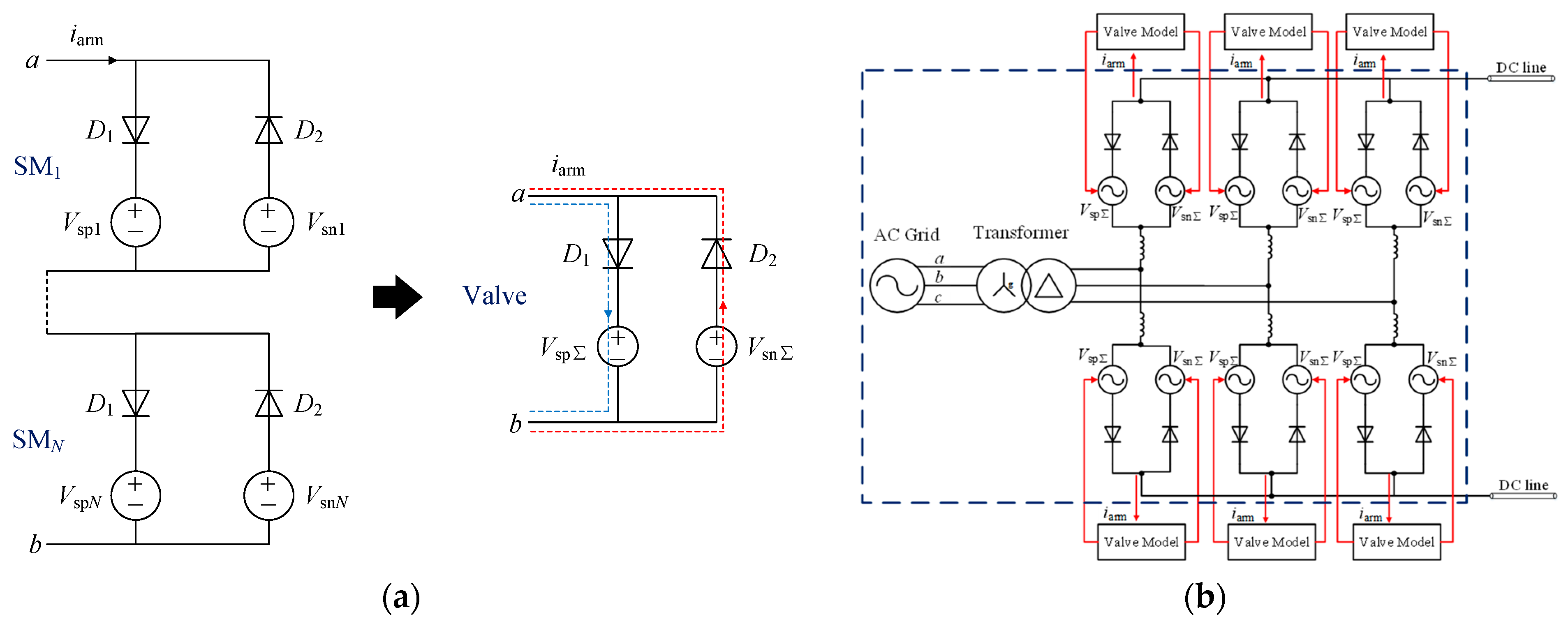
To model the behavior of an MTDC system with offshore wind integration, the MMC station is represented using switching functions that capture the submodules (SMs), which include switches, a capacitor, and a discharging resistor. The SM-equivalent circuit, shown in Figure 3a, includes ideal diodes D1 and D2, with voltages Vsp and Vsn corresponding to the capacitor and diode conduction. The series connection of the SMs is simplified using a valve-equivalent circuit, where the total source voltage is the sum of the individual SM voltages. The capacitor voltage of each SM is discretized using the Forward Euler method, as given in Equation (1), with parameters such as the FPGA time step (TFPGA), SM capacitance (CSM), switching state (SW), arm current (iarm), and discharging resistance (Rc). Importantly, the SM source voltages are computed in parallel on the FPGA, enabling real-time simulation of MMC valves with a large number of SMs.
Figure 3.
Equivalent circuit (a) MMC valve; (b) one-terminal MMC system.
The FPGA-based equivalent circuit for a terminal MMC system is shown in Figure 3b. The valve model interfaces with the electrical network, where the arm current is measured from the network, and the source voltages are computed using the valve models. This setup allows for the accurate simulation of fast transients during faults with small time steps. The wind turbine model is based on steady-state power characteristics, with output power defined by Equation (2). Here, TW represents turbine torque, is the air density, is the blade radius, and vm is the wind velocity. The power conversion efficiency (Cp) depends on the blade pitch angle and tip speed ratio , as shown in Equation (3), where is the mechanical angular velocity of the blade. The wind farm’s synchronous generator is connected to a rectifier and an inverter, modeled as voltage sources.
2.2. Power Flow Symmetry of VSC-HVDC System
In the actual MTDC system, each VSC and DC line has its own rated value and available headroom, and the post-contingency power flow burden should be proportionally and symmetrically distributed based on the above parameters. As can be seen in Figure 4, this work establishes a mirror-symmetric relationship between the actual power sharing value and the available headroom. The bottom layer represents the available headroom of the VSC or DC line, and the upper layer represents the actual power distribution performance. The upper boundary is the mirror value in (4). It is calculated based on the symmetrical relationship between the available headroom and the actual power sharing performance. If the upper boundary is lower than the mirror value, it will cause the waste of system power capacity, which will lead to the power overload anyway, and only the symmetric allocation can promote the full utilization of the available headroom of the system and improve the rationality of system power sharing. In order to comprehensively evaluate the symmetrical distribution of DC line power, converter power, and DC voltage in the MTDC system, the following system power flow symmetry error index, which is called the Symmetry of Power Flow Error (SMPFE), is expressed as:
where , , and are the weighing factors. is the available headroom of the DC line (i = 1, 2,…, ). is the available headroom of the VSC station (i = 1, 2,…, ). The subscript ‘_mirror’ represents the ideal value of power distribution calculated according to the symmetrical principle of available headroom–actual allocation. It is worth noting that is defined as the original voltage to achieve the goal of reducing the amount of voltage deviation in the MTDC grid.
Figure 4.
Diagram of the system’s available headroom and the symmetrical distribution of power flow.
2.3. Multiple VSC-HVDC Control Objectives
This paper addresses three conflicting control objectives for the MTDC system: minimizing voltage deviation and ensuring proportional distribution of both active VSC power and the line power. These objectives enable the MTDC system to quickly and flexibly adjust power flow following contingencies, such as significant power fluctuations from offshore wind farms and VSC station outages.
In order to calculate the line power sharing accuracy of the proposed method, the overall objective to achieve the symmetry of the distribution of DC line power according to the power headroom can be formulated as follows:
For the MTDC network, the minimization of the total VSC power sharing error is established as the second objective:
In addition to power sharing control, system operators must also regulate the voltages of DC nodes by minimizing the total voltage deviation to improve the power flow symmetry of the MTDC system. For all nodes of the MTDC network, the total voltage deviation is used as the third objective, and it is calculated as:
where represents the power rating of the GSVSCs; H is the vector of the available headroom (). and are the post-contingency voltage and original voltage vectors, respectively. and are the lower and upper voltage boundaries of the VSC. and represent the actual and rated power of the DC line.
2.4. Multi-Objective Adaptive Droop Control Optimization Model
This paper presents a multi-objective optimization framework for MTDC networks, employing an adaptive voltage reference strategy. The proposed model aims to simultaneously reduce voltage deviations and minimize power-sharing discrepancies across VSCs and DC transmission lines. The droop characteristics of the MTDC system are examined as outlined below [49]:
where and are the actual and reference active power of the VSC, is the droop constant of the VSC, and and are the actual DC voltage and voltage reference.
and represent the actual and reference active power injected by the VSC, respectively, and denotes the droop constant for the VSC.
The DC power of the DC node in (8) can be calculated as:
where indicates the number of DC nodes. The voltage and current upper and lower boundaries can be defined as follows:
where and are the lower and upper limits of the VSC. represents the current amplitude at the DC node. The constraint of DC line power is shown in (11):
where denotes the active power of the the DC line, and denotes the total number of lines in the MTDC network.
The key control variable in this optimization model is the reference voltage V* at the converter stations. As the adaptive droop control adjusts the reference voltage, the DC voltage across all nodes will also vary. Therefore, the DC voltage at each node can be considered to be a secondary control variable. The control variables are defined as:
where represents the number of VSCs using droop control.
2.5. Normal Boundary Intersection Method
The proposed adaptive voltage reference-based multi-objective control optimization model, described in (2)–(8), is challenging to solve directly. While the weighted sum method is commonly used to construct a trade-off surface, it has two major limitations: if the Pareto set is non-convex, points on the concave sections of the trade-off surface are overlooked, and, with uniform weights, the solutions are typically unevenly distributed across the criterion space. To address these issues, this paper employs the normal boundary intersection method, which achieves an evenly distributed set of points on the Pareto surface.
The multi-objective optimization model described by (2) to (8) is written in the following compact form [50]:
where is the overall objective of line power sharing, is the converter power sharing error, is the total voltage deviation, and g(x) and h(x) are the equality and inequality constraints, respectively.
The optimal solution is obtained when only the minimum of total fuel consumption is considered, which corresponds to the point as follows:
Similarly, the optimal solutions and can be obtained by considering only the minimum of and , respectively, corresponding to the points and . In the coordinate space formed by each objective function, the points , , and form the endpoints of the Pareto front, and the plane defined by them is called the utopian plane, as shown in Figure 3.
The steps to form the Pareto frontier surface are described as follows:
- (1)
- Specification of the objective function
To address the potential disparities in scale and magnitude between the objective functions, it is essential to normalize objective function (10) to ensure its values are confined within the range [0, 1], and the specification of the variables with an underscore “−”. After specification, the variables are distinguished by an underscore “−”, taking the objective function as an example:
where is the hypothetical optimum, known as the utopian point and is composed of minimum line power sharing error, minimum converter power distribution error, and minimum voltage deviation. is the hypothetical worst point, called the bottom point, which consists of the maximum line power sharing error, the maximum converter power distribution error, and the maximum voltage deviation of the three objective function values corresponding to the single-objective optimal points , , and :
where .
- (2)
- Generate uniformly distributed points on the utopian surface
Assume that the vector pointing from point to point is , the vector pointing from point to point is , and the vector pointing from point to point is , as shown in Figure 5. is divided into mk equal parts, so that the length of each equal part of the unit is , with k = 1, 2, 3. Any point on the utopian surface can be represented by a linear combination of the endpoints , , and , taking the point A as an example:
where , I( ) is rounding the function. The value of the parameter determines the distribution of points on the utopian surface. When , the value of is taken as shown in Figure 6.
Figure 5.
Utopia plane and Pareto front for the three-objective optimization model.
Figure 6.
Values of vector used in the generation of points on the utopian plane.
can also be written in the form of multiplication of the payment matrix and the equipartition vector , i.e.,
- (3)
- Find the Pareto optimal solution
The NBI method generates a uniformly distributed Pareto frontier by finding the intersection of the normal vector of the utopian surface with the boundary of the feasible domain in the objective function space. However, computing the normal vector for the utopian surface in 3D space is complex. Instead, a set of uniformly spaced parallel lines close to the normal direction can intersect with the utopian surface, and their intersections with the corresponding boundary of the feasible domain will also yield a uniformly distributed Pareto frontier. To simplify the calculation, the quasi-normal method is used, with the quasi-normal vector given by (20), which represents the vector from point A on the utopian surface to the corresponding point B on the Pareto front, as shown in Figure 3.
where . The form of the quasi-normal vector expressed in (17) is much simpler than that of the normal vector of the utopian surface, which helps to simplify the calculation. Moreover, the Pareto front defined by quasi-normal vectors remains unaffected when the objective functions are scaled by different coefficients. Therefore, the point B on the Pareto frontier can be determined using the following equation:
where d is the distance parameter. As d increases, the objective functions corresponding to the feasible solutions determined by are gradually improved. When d increases to the maximum value of dmax, each objective function reaches Pareto optimality. Therefore, given the vector of equidistant points , the multi-objective optimization problem in (10) can be converted into single-objective optimization problems by aiming to maximize the distance between points on the utopian surface and their corresponding points on the Pareto front, as follows:
By varying the values of , the multi-objective optimization problem is transformed into multiple single-objective optimization problems. These problems are addressed using the original pairwise interior point method, enabling the acquisition of a set of uniformly distributed Pareto-optimal solutions.
3. Multi-Objective Optimized Decision-Making
In engineering applications, each VSC has a single voltage reference value, and the scheduler must select a compromise optimal solution from the Pareto front. This paper employs the entropy weight two-basis point method, which incorporates subjective weight adjustments, to provide decision-making guidance for dispatchers [51]. First, objective weights are derived using the entropy weight method, considering the degree of difference among Pareto optimal solutions. These weights are then subjectively adjusted based on dispatcher experience or actual electricity demand. This approach not only reflects the subjective preferences of dispatchers but also objectively considers the significance of each objective function, providing a solid theoretical foundation for selecting the optimal point. A model is constructed using M optimal points on the Pareto front, and a comprehensive evaluation is carried out as follows [52]:
- (1)
- Construction of an evaluation matrix : for the three objective functions considered in this study, an evaluation matrix is formulated based on M Pareto optimal solutions.
- (2)
- Normalization of data: due to variations in scale and magnitude among the objective functions, the original data are standardized using the following normalization equation:
- (3)
- Calculation of entropy-based weights for each objective function: The entropy-based weight vector, denoted as , quantifies the variation across solutions for each objective, representing the informational contribution of each objective function. The entropy weight for each objective (i = 1,2,3) is determined using the formula provided in (26):
- (4)
- Using the subjective weights of the scheduler , i = 1, 2, 3, find the corrective weight coefficients . As can be seen, takes into account both the experience of the scheduler and the entropy weights, which reflect the degree of variability of different solutions on the Pareto frontier.
- (5)
- Create a weighted specific evaluation matrix
It can be seen that the maximum and minimum values in the i-th row of correspond to the most and least desirable scenarios of the i-th target, respectively.
- (6)
- Determination of double-base points:
The ideal point is shown in (28):
The negative ideal point is calculated in (29):
- (7)
- Evaluation of the relative closeness for each Pareto optimal solution: the relative closeness of each Pareto optimal solution is calculated to measure its proximity to the ideal solution:
| Algorithm 1: NBI-based for selecting the best droop setting for the multi-objective optimization of the VSC-HVDC system | |
| 1 | Initialize objective functions , and . |
| 2 | Solve for the optimal solution in the case of single-objective optimization , and . |
| 3 | Constitute Utopia plane and Pareto optimal surface for a three-objective case. |
| 4 | For i = 1 to M do: |
| 5 | Objective function specification processing . |
| 6 | Establishment of utopian points and the hypothetical worst point(the bottom point) . |
| 7 | Generate evenly distributed points on the utopian surface: |
| 8 | Pareto optimal solution by quasi-normal vector method . |
| 9 | Converting a multi-objective optimization problem into a single-objective optimization problem with the objective of maximizing the distance between a point on the utopian surface and a point on the corresponding Pareto frontier: |
| 10 | Obtain a series of uniformly distributed Pareto optimal points by solving a series of single-objective optimization problems. |
| 11 | end for |
| 12 | For i=1 to M do: |
| 13 | Establishment of an evaluation matrix: |
| 14 | Specification processing of data: |
| 15 | Calculate the entropy weight of each objective function: |
| 16 | Use of subjective weights of dispatchers: |
| 17 | Create a weighted specific evaluation matrix . |
| 18 | Establishment of double base points and . |
| 19 | Calculate the relative closeness of each Pareto optimal solution and select the Pareto optimal solution with the largest relative closeness as the compromise optimal solution: |
| 20 | end for |
4. Case Studies
A five-terminal VSC-based multi-terminal DC (MTDC) system integrating offshore wind farms is used to validate the proposed autonomous control strategies for converter power sharing and DC pilot voltage regulation, as shown in Figure 7. The MTDC network is modeled in MATLAB/Simulink using the SimPowerSystems Blockset with OPAL-RT’s RT-LAB libraries. Two offshore wind farms are connected to VSC-3 and VSC-5, and the other VSCs are linked to three different AC systems. The wind farm converters use a real power regulation scheme, while the grid-side converters employ a DC voltage droop control strategy. Each VSC is modeled with the average value representation of a modular multilevel converter (MMC). DC cables are modeled using the RT-LAB/ARTEMIS Blockset, with cable and VSC parameters provided in Table 1, Table 2 and Table 3. VSCs 1 and 2 use MMCs with half-bridge structure, while the other VSCs use MMCs with a full-bridge structure. Converter loss coefficients are provided in Table 4, and DC voltage limits are set between 640 kV and 600 kV. Initially, WFVSC-3′s power output shifts from −750 MW to −400 MW due to wind power variation.
Figure 7.
Diagram of the test system.
Table 1.
DC cable rated power and length.
Table 2.
DC cable parameter.
Table 3.
VSC station parameter.
Table 4.
VSC converter loss coefficients.
The proposed control method is validated through its application in two scenarios: an increase in wind farm generation (Case 1) and a GSVSC outage (Case 2).
4.1. Case1: Power Increase in OWF Generation
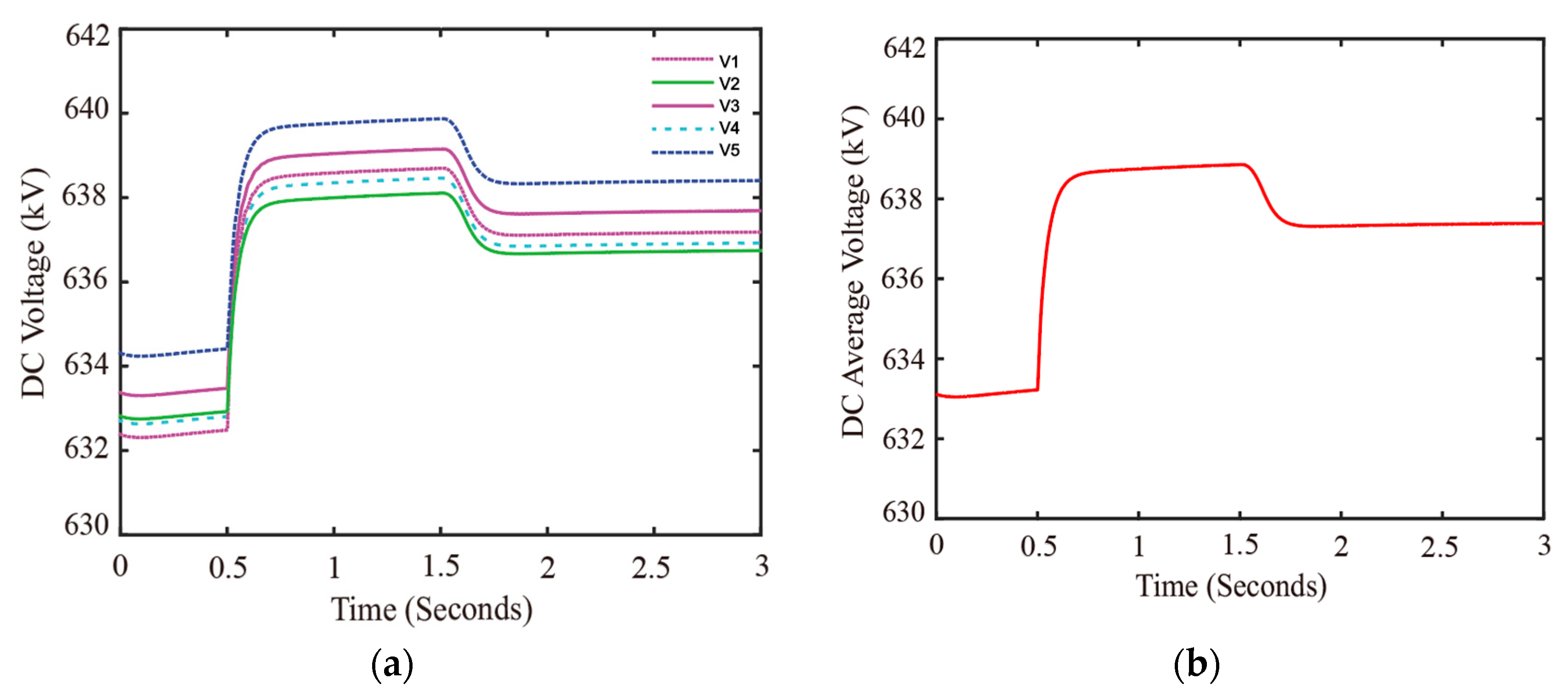
In Case A, the proposed control method effectively balances DC line and VSC power while maintaining the DC voltage during increased wind power generation. At t = 0.5 s, the active power of VSC-5 increases from −500 MW to −750 MW. The dynamic optimal scheduling Pareto frontier, showing power fluctuations due to offshore wind, is presented in Figure 8. The control method is activated at t = 1.5 s. The results for the DC line powers, DC voltages, VSC voltages, DC powers, and SMPFE under the proposed control system are shown in Figure 9, Figure 10, Figure 11, and Figure 12, respectively.
Figure 8.
Pareto front and utopian plane under power increase at VSC-5.
Figure 9.
DC line power under increase at VSC-5: (a) powers of DC lines 5-1 and line 5-4; (b) powers of DC lines 3-2, 1-2, 1-3, 1-4, and 3-4.
Figure 10.
DC voltage and DC average voltage under power increase at VSC-5 (a) DC voltages; (b) DC average voltage.
Figure 11.
DC powers under power increase at VSC-5.
Figure 12.
SMPFE of Case A.
4.2. GSVSC Outage
In Case B, the proposed control strategy is applied to achieve proportional power sharing and DC voltage regulation across all nodes after a grid-side VSC (GSVSC) outage. Specifically, VSC-2 suffers an outage at t = 0.5 s, and the control is activated at t = 1s. The pareto front and utopian plane under VSC-2 outage is shown in Figure 13. Figure 14, Figure 15, Figure 16 and Figure 17 present the results, including DC line power flows, DC voltage levels, average VSC voltages, DC power distribution, and the computed SMPFE under the proposed method.
Figure 13.
Pareto front and utopian plane under VSC-2 outage.
Figure 14.
DC line powers under VSC-2 outage.
Figure 15.
DC voltage and DC average voltage under VSC-2 outage: (a) DC voltages; (b) DC average voltage.
Figure 16.
DC power under VSC-2 outage.
Figure 17.
SMPFE of Case B.
4.3. Analysis of Compromise Optimal Solution of Entropy Weight Two-Basis Point Method
The subjective weight can be selected according to the dispatcher’s preference. In this paper, assuming , the modified weight coefficients of each objective function under Case 1 and 2 determined by the entropy weight two-base point method are shown in Table 5. It can be seen that among the three objective functions, the difference between the points of the Pareto optimal solution caused by the symmetric distribution of the line power flow is the largest; then, this objective plays the largest role in the comprehensive evaluation, so the compromise optimal solution is the largest. In this case, the selection of the compromise optimal solution will favor the point with the smaller error in the symmetrical distribution of line power flow.
Table 5.
The modified weight coefficients of each objective function.
The Pareto optimal solutions are ranked, and the solution with the highest relative closeness is chosen as the compromise optimal solution for decision-making. The location of this solution on the Pareto front is depicted in Figure 11, with the corresponding values of each objective function presented in Table 6. The values of the three objective functions were established as Symmetric Error Value 1 (SME1), Symmetric Error Value 2 (SME2), and Symmetric Error Value 3 (SME3), respectively.
Table 6.
=The values of each objective function at the compromise optimal solution.
For Case1, the SME1 corresponding to the compromise optimal solution is only 0.174% higher than the minimal SME1 of line power, while the SME2 and SME3 are 5.663% and 1.832% higher than the single-objective optimization value, respectively. For Case2, the SME1 corresponding to the compromise optimal solution is 1.174% higher than the minimal SME1 under the single-optimization case, while the SME2 and SME3 are only 1.124% and 2.012% higher than the single-objective optimization value, respectively. It can be seen that the compromise optimal solution is obviously closer to the ideal utopian point, and it is a higher quality optimization solution on the Pareto frontier.
5. Discussion
The dynamic simulation results before and after activating the proposed NBI-based control are presented in Figure 9, Figure 10 and Figure 11. In Figure 9a, following a power increase at VSC-5, DC line 5-1’s power rises from 318.1 MW to 461.6 MW, exceeding its 430 MW limit, while DC line 5-4 increases from 188.7 MW to 296.6 MW, remaining within its capacity. After activating the control at t= 1.5 s, the power of both lines is nearly proportionally shared, with power sharing errors of 0.55% and 0.70%, ensuring all DC line powers stay within their limits, as shown in Figure 9a,b. Figure 10 and Figure 11 illustrate the DC voltage and power profiles, respectively, with all converter DC powers remaining within rated values.
The proposed control significantly improves the ability to share the power burden of droop-controlled VSCs, distribute the power of DC lines, and regulate DC voltage, as shown in Figure 9, Figure 10 and Figure 11. Specifically, Figure 11 highlights that with the active power increase in VSC-5, traditional droop control causes an imbalanced power distribution among VSCs-1, 2, and 4, with VSC-1 having more headroom, while VSC-4 exceeds its 400 MW limit and VSC-2 nearly reaches its limit. After activating the NBI-based control at t = 1.5 s, the active powers of the VSCs are shared proportionally to their headroom, ensuring all stay within their limits. Figure 10 shows that the DC voltage rises with the active power change in VSC-5, approaching 640 kV. However, after activating the proposed control, the voltage increase is mitigated, and the DC voltages across all nodes are adjusted closer to their original values. The optimization of the three objectives is illustrated in Figure 14, showing a significant decrease in the SMPFE.
Figure 14 demonstrates that after activating the proposed control method, all DC line powers remain within their limits, with each line distributing power according to available headroom, enhancing power flow symmetry. Figure 15a,b show a noticeable voltage increase when VSC-2 fails at t= 0.5 s. After the control is activated at t =1 s, the voltage rise is mitigated, and the DC voltages across all nodes are adjusted closer to their original steady-state values. Figure 16 highlights that, under the VSC-2 failure, VSC-4 becomes overloaded while VSC-1 retains significant headroom. Upon activation of the NBI-based method, the active power imbalance from the VSC-2 outage is proportionally redistributed between VSCs 1 and 4 based on the available headroom. Similarly to Case A, the method successfully achieves proportional and symmetrical power distribution, active power sharing, and voltage control, with a minimal SMPFE value after the disturbance. As shown in Figure 17, the SMPFE initially peaks at 21.87%, but drops by about 18.2% following the activation of the control. With the reduction in the established SMPFE, the symmetry of the power flow distribution of the MTDC system is significantly improved, and the power of the VSC and DC lines can be proportionally and symmetrically distributed in accordance with reasonable rules, making full use of their available headroom, reducing the risk of the power flow overloading the HVDC system after a contingency, and promoting safe and symmetrical operation of the system.
6. Conclusions
This paper presents a novel control strategy for achieving power flow symmetry in converter power sharing, line power distribution, and DC voltage regulation in DC grids with large-scale offshore wind integration. The proposed method is validated using a multi-objective optimization model and the voltage droop control scheme. Dynamic simulations, including disturbances such as power fluctuations in the wind farm VSC and grid-side VSC outages, demonstrate the effectiveness of the approach. The NBI method is used to generate uniformly distributed Pareto fronts in three-dimensional space, providing dispatchers with more precise decision-making data. Results show that the method enables proportional and symmetrical power sharing and line power distribution according to the available headroom, enhancing the symmetry of power flow in MTDC systems. Crucially, this method functions independently, eliminating the need for a centralized controller or a global power flow solution. Future work will explore the sensitivity of DC voltage reference adjustments in relation to DC line power distribution, VSC power sharing and voltage regulation, as well as expanding the simulation to include additional contingency scenarios, such as DC line disconnection and topology changes, to further assess the robustness of the proposed method.
Author Contributions
Conceptualization, Y.Z. and Y.F.; methodology, Y.F.; software, Y.Z.; writing—original draft preparation, Y.Z. and Y.F.; writing—review and editing, Y.Z., Y.F., T.X., Y.L. and X.D.; visualization, C.Y. and H.C., supervision, Y.Z. and Y.F. All authors have read and agreed to the published version of the manuscript.
Funding
This work was supported by the National Natural Science Foundation of China under Grant 52207083.
Data Availability Statement
Data are available upon reasonable request to the corresponding author.
Conflicts of Interest
Author Yilei Li was employed by the company State Grid Nanjing Power Supply Company. The remaining authors declare that the research was conducted in the absence of any commercial or financial relationships that could be construed as a potential conflict of interest.
Nomenclature
The main symbols appearing in this paper are defined below.
| MTDC | Multi-Terminal DC |
| VSC | Voltage Source Converter |
| OWF | Offshore Wind Farm |
| VSC-HVDC | Voltage Source Converter-Based High-Voltage Direct Current |
| NBI | Normal Boundary Intersection |
| SMPFE | Symmetry of Power Flow Error |
References
- Wu, M.; Ma, D.; Xiong, K.; Yuan, L. Deep Reinforcement Learning for Load Frequency Control in Isolated Microgrids: A Knowledge Aggregation Approach with Emphasis on Power Symmetry and Balance. Symmetry 2024, 16, 322. [Google Scholar] [CrossRef]
- Wu, D.; Wu, L.; Wen, T.; Li, L. Microgrid Operation Optimization Method Considering Power-to-Gas Equipment: An Improved Gazelle Optimization Algorithm. Symmetry 2024, 1, 83. [Google Scholar]
- Chen, X.; Hu, Q.; Zhang, Y.; Song, M.; Wu, Z.; Xiong, J. POMDP-Based Dispatch Scheme for Residential Distributed Energy Resources Under Customer Fatigue Consideration. IEEE Trans. Smart Grid 2024, 15, 5665–5677. [Google Scholar]
- Zhang, Y.; Zou, B.; Jin, X.; Luo, Y.; Song, M.; Ye, Y.; Hu, Q.; Chen, Q.; Zambroni, A.C. Mitigating power grid impact from proactive data center workload shifts: A coordinated scheduling strategy integrating synergistic traffic-data-power networks. Appl. Energy 2025, 377, 124697. [Google Scholar]
- Zou, B.; Zhang, Y.; Chen, Q.; Hu, Q.; Hu, X.; Shi, J.; Li, Z.; Wang, Q. Low-carbon Economic Schedule of the H2 DRI-EAF Steel Plant Integrated with a Power-to-hydrogen System Driven by Blue Hydrogen and Green Hydrogen. IET Renew. Power Gen. 2024, 18, 3839–3854. [Google Scholar]
- Qian, T.; Liang, Z.; Chen, S.; Hu, Q.; Wu, Z. A Tri-Level Demand Response Framework for EVCS Flexibility Enhancement in Coupled Power and Transportation Networks. IEEE Trans. Smart Grid 2024, 16, 598–611. [Google Scholar]
- Zhang, Y.; Qian, W.; Ye, Y.; Li, Y.; Tang, Y.; Long, Y.; Duan, M. A novel non-intrusive load monitoring method based on ResNet-seq2seq networks for energy disaggregation of distributed energy resources integrated with residential houses. Appl. Energy 2023, 349, 121703. [Google Scholar]
- Hu, J.; Liu, X.; Shahidehpour, M.; Xia, S. Optimal Operation of Energy Hubs with Large-Scale Distributed Energy Resources for Distribution Network Congestion Management. IEEE Trans. Sustain. Energy 2021, 12, 1755–1765. [Google Scholar] [CrossRef]
- Xiao, D.; Lin, Z.; Chen, H.; Hua, W.; Yan, J. Windfall profit-aware stochastic scheduling strategy for industrial virtual power plant with integrated risk-seeking/averse preferences. Appl. Energy 2024, 357, 122460. [Google Scholar] [CrossRef]
- Qian, T.; Liang, Z.; Shao, C.; Guo, Z.; Hu, Q.; Wu, Z. Unsupervised learning for efficiently distributing EVs charging loads and traffic flows in coupled power and transportation systems. Appl. Energy 2025, 377, 124476. [Google Scholar] [CrossRef]
- Popat, M.; Wu, B.; Liu, F.; Zargari, N. Coordinated Control of Cascaded Current-source Converter Based Offshore Wind Farm. IEEE Trans. Sustain. Energy 2012, 3, 557–565. [Google Scholar]
- Xiao, D.; Chen, H.; Cai, W.; Wei, C.; Zhao, Z. Integrated Risk Measurement and Control for Stochastic Energy Trading of a Wind Storage System in Electricity Markets. Prot. Control Mod. Power Syst. 2023, 8, 60. [Google Scholar]
- Zhang, F.; Bieber, L.; Zhang, Y.; Li, W.; Wang, L. A Multi-Port DC Power Flow Controller Integrated with MMC Stations for Offshore Meshed Multi-Terminal HVDC Grids. IEEE Trans. Sustain. Energy 2023, 14, 1676–1691. [Google Scholar] [CrossRef]
- Chang, Y.; Cai, X. Hybrid Topology of a Diode-Rectifier-Based HVDC System for Offshore Wind Farms. IEEE J. Emerg. Sel. Top. Power Electron. 2019, 7, 2116–2128. [Google Scholar] [CrossRef]
- Zhang, Y.; Ge, Y.; Wang, S.; Pan, W.; Feng, Y.; Qiu, P. Research on the Optimal Operation of a Prosumer Micro Energy Network Centred on Data Centres. IET Renew. Power Gen. 2024, 18, 3869–3889. [Google Scholar]
- Castro, L.M.; Acha, E. On the dynamic modeling of marine VSC-HVDC power grids including offshore wind farms. IEEE Trans. Sustain. Energy 2020, 11, 2889–2900. [Google Scholar]
- Kou, P.; Liang, D.; Wu, Z.; Ze, Q.; Gao, L. Frequency Support From a DC-Grid Offshore Wind Farm Connected Through an HVDC Link: A Communication-Free Approach. IEEE Trans. Energy Convers. 2018, 33, 1297–1310. [Google Scholar]
- Nami, A.; Rodriguez-Amenedo, J.L.; Arnaltes, S.; Cardiel-Alvarez, M.A.; Baraciarte, R.A. Control of the Parallel Operation of DR-HVDC and VSC-HVDC for Offshore Wind Power Transmission. IEEE Trans. Power Deliv. 2022, 37, 1682–1691. [Google Scholar]
- Wang, L.; Thi, M.S.-N. Stability Analysis of Four PMSG-Based Offshore Wind Farms Fed to an SG-Based Power System Through an LCC-HVDC Link. IEEE Trans. Ind. Electron. 2013, 60, 2392–2400. [Google Scholar]
- Li, Z.; Yang, L.; Xu, Y. A Dynamics-Constrained Method for Distributed Frequency Regulation in Low-Inertia Power Systems. Appl. Energy 2023, 344, 121256. [Google Scholar]
- Wang, W.; Shi, X.; Wu, G.; Cao, Y. Interaction Between Grid-Forming Converters with AC Grids and Damping Improvement Based on Loop Shaping. IEEE Trans. Power Syst. 2023, 39, 1905–1917. [Google Scholar]
- Abdelwahed, M.A.; El-Saadany, E.F. Power Sharing Control Strategy of Multiterminal VSC-HVDC Transmission Systems Utilizing Adaptive Voltage Droop. IEEE Trans. Sustain. Energy 2016, 8, 605–615. [Google Scholar]
- Liu, H.; Wang, Y.; Wang, M.; Guo, Y.; Wang, J.; Shen, G.; Liao, G. Small-Signal Analysis of DC Microgrid and Multi-Objective Optimization Segmented Droop Control Suitable for Economic Dispatch. J. Mod. Power Syst. Clean. Energy 2020, 8, 564–572. [Google Scholar] [CrossRef]
- Wang, Y.; Wen, W.; Wang, C.; Liu, H.; Zhan, X.; Xiao, X. Adaptive Voltage Droop Method of Multiterminal VSC-HVDC Systems for DC Voltage Deviation and Power Sharing. IEEE Trans. Power Deliv. 2018, 34, 169–176. [Google Scholar]
- Wang, W.; Li, Y.; Cao, Y.; Häger, U.; Rehtanz, C. Adaptive droop control of VSC-MTDC system for frequency support and power sharing. IEEE Trans. Power Syst. 2017, 33, 1264–1274. [Google Scholar]
- Vennelaganti, S.G.; Chaudhuri, N.R. Stability Criterion for Inertial and Primary Frequency Droop Control in MTDC Grids with Implications on Ratio-based Frequency Support. IEEE Trans. Power Syst. 2020, 35, 3541–3551. [Google Scholar]
- Zhang, Y.; Wang, L.; Li, W. Autonomous DC Line Power Flow Regulation Using Adaptive Droop Control in HVDC Grid. IEEE Trans. Power Deliv. 2020, 36, 3550–3560. [Google Scholar]
- Haileselassie, T.M.; Uhlen, K. Impact of DC Line Voltage Drops on Power Flow of MTDC Using Droop Control. IEEE Trans. Power Syst. 2012, 27, 1441–1449. [Google Scholar]
- Shi, N.; Cheng, R.; Liu, L.; Wang, Z.; Zhang, Q.; Reno, M.J. Data-Driven Affinely Adjustable Robust Volt/VAr Control. IEEE Trans. Smart Grid 2024, 15, 247–259. [Google Scholar]
- Wang, Y.; Qiu, F.; Liu, G.; Lei, M.; Yang, C.; Wang, C. Adaptive Reference Power Based Voltage Droop Control for VSC-MTDC Systems. J. Mod. Power Syst. Clean. Energy 2023, 11, 381–388. [Google Scholar]
- Davari, M.; Mohamed, Y.A.-R.I. Robust Droop and DC-Bus Voltage Control for Effective Stabilization and Power Sharing in VSC Multiterminal DC Grids. IEEE Trans. Power Electron. 2018, 33, 4373–4395. [Google Scholar] [CrossRef]
- Wang, P.; Deng, N.; Zhang, X.-P. Droop Control for a Multi-Line Current Flow Controller in Meshed Multi-Terminal HVDC Grid Under Large DC Disturbances. IEEE Power Energy Technol. Syst. J. 2018, 5, 35–46. [Google Scholar]
- Dong, H.; Xu, Z.; Song, P.; Tang, G.; Xu, Q.; Sun, L. Optimized Power Redistribution of Offshore Wind Farms Integrated VSC-MTDC Transmissions After Onshore Converter Outage. IEEE Trans. Ind. Electron. 2017, 64, 8948–8958. [Google Scholar] [CrossRef]
- Sun, K.; Xiao, H.; Pan, J.; Liu, Y. VSC-HVDC Interties for Urban Power Grid Enhancement. IEEE Trans. Power Syst. 2021, 36, 4745–4753. [Google Scholar] [CrossRef]
- Adeuyi, O.D.; Cheah-Mane, M.; Liang, J.; Jenkins, N. Fast Frequency Response from Offshore Multiterminal VSC–HVDC Schemes. IEEE Trans. Power Deliv. 2017, 32, 2442–2452. [Google Scholar]
- Raza, A.; Dianguo, X.; Yuchao, L.; Xunwen, S.; Williams, B.W.; Cecati, C. Coordinated Operation and Control of VSC Based Multiterminal High Voltage DC Transmission Systems. IEEE Trans. Sustain. Energy 2016, 7, 364–373. [Google Scholar] [CrossRef]
- Ambia, M.N.; Meng, K.; Xiao, W.; Al-Durra, A.; Dong, Z.Y. Adaptive Droop Control of Multi-Terminal HVDC Network for Frequency Regulation and Power Sharing. IEEE Trans. Power Syst. 2021, 36, 566–578. [Google Scholar]
- Zhang, Y.; Shotorbani, A.M.; Wang, L.; Li, W. A Combined Hierarchical and Autonomous DC Grid Control for Proportional Power Sharing with Minimized Voltage Variation and Transmission Loss. IEEE Trans. Power Deliv. 2022, 37, 3213–3224. [Google Scholar]
- Rouzbehi, K.; Miranian, A.; Luna, A.; Rodriguez, P. DC Voltage Control and Power Sharing in Multiterminal DC Grids Based on Optimal DC Power Flow and Voltage-Droop Strategy. IEEE J. Emerg. Sel. Top. Power Electron. 2014, 2, 1171–1180. [Google Scholar] [CrossRef]
- Xiao, L.; Xu, Z.; An, T.; Bian, Z. Improved Analytical Model for the Study of Steady State Performance of Droop-Controlled VSC-MTDC Systems. IEEE Trans. Power Syst. 2017, 32, 2083–2093. [Google Scholar] [CrossRef]
- Zhang, Y.; Meng, X.; Shotorbani, A.M.; Wang, L. Minimization of AC-DC Grid Transmission Loss and DC Voltage Deviation Using Adaptive Droop Control and Improved AC-DC Power Flow Algorithm. IEEE Trans. Power Syst. 2021, 36, 744–756. [Google Scholar] [CrossRef]
- Wang, Z.; He, J.; Xu, Y.; Zhang, F. Distributed Control of VSC-MTDC Systems Considering Tradeoff Between Voltage Regulation and Power Sharing. IEEE Trans. Power Syst. 2020, 35, 1812–1821. [Google Scholar] [CrossRef]
- Zhang, Y.; Shotorbani, A.M.; Wang, L.; Li, W. Distributed Voltage Regulation and Automatic Power Sharing in Multi-Terminal HVDC Grids. IEEE Trans. Power Syst. 2020, 35, 3739–3752. [Google Scholar] [CrossRef]
- Li, B.; Li, Q.; Wang, Y.; Wen, W.; Li, B.; Xu, L. A Novel Method to Determine Droop Coefficients of DC Voltage Control for VSC-MTDC System. IEEE Trans. Power Deliv. 2020, 35, 2196–2211. [Google Scholar] [CrossRef]
- Zhang, F.; Gu, W.; Zhang, Y.; Wang, L.; Li, W. General Linearized Model of Voltage Source Converter with Fixed Nodal Admittance Matrix. IEEE Trans. Power Electron. 2024, 39, 12143–12148. [Google Scholar] [CrossRef]
- Gu, Z.; Pan, G.; Gu, W.; Qiu, H.; Lu, S. Robust optimization of scale and revenue for integrated power-to-hydrogen systems within energy, ancillary services, and hydrogen markets. IEEE Trans. Power Syst. 2023, 39, 5008–5023. [Google Scholar] [CrossRef]
- Pan, G.; Gu, W.; Gu, Z.; Lin, J.; Zhou, S.; Wu, Z.; Lu, S. Feasibility of Scaling up the Cost-Competitive and Clean Electrolytic Hydrogen Supply in China. Engineering 2024, 39, 154–165. [Google Scholar] [CrossRef]
- Kirakosyan, A.; El-Saadany, E.F.; Moursi, M.S.E.; Al Hosani, K. DC Voltage Regulation and Frequency Support in Pilot Voltage Droop-Controlled Multiterminal HVdc Systems. IEEE Trans. Power Deliv. 2018, 33, 1153–1164. [Google Scholar] [CrossRef]
- Zhang, Y.; Qian, W.; Shao, J.; Zhang, F.; Wang, L.; Hu, Q.; Li, W. Adaptive Voltage Reference Based Controls of Converter Power Sharing and Pilot Voltage in HVDC System for Large-Scale Offshore Wind Integration. IEEE Open J. Power Energy 2024, 11, 55–67. [Google Scholar] [CrossRef]
- Zhang, C.; Xu, Y.; Zhang, R. Multi-Objective Adaptive Robust Voltage/VAR Control for High-PV Penetrated Distribution Networks. IEEE Trans. Smart Grid 2020, 11, 5288–5300. [Google Scholar] [CrossRef]
- Pan, C.; Shao, C.; Hu, B.; Xie, K.; Li, C.; Ding, J. Modeling the Reserve Capacity of Wind Power and the Inherent Decision-Dependent Uncertainty in the Power System Economic Dispatch. IEEE Trans. Power Syst. 2023, 38, 4404–4417. [Google Scholar] [CrossRef]
- Roman, C.; Rosehart, W. Evenly Distributed Pareto Points in Multi-Objective Optimal Power Flow. IEEE Trans. Power Syst. 2006, 21, 1011–1012. [Google Scholar] [CrossRef]
Disclaimer/Publisher’s Note: The statements, opinions and data contained in all publications are solely those of the individual author(s) and contributor(s) and not of MDPI and/or the editor(s). MDPI and/or the editor(s) disclaim responsibility for any injury to people or property resulting from any ideas, methods, instructions or products referred to in the content. |
© 2025 by the authors. Licensee MDPI, Basel, Switzerland. This article is an open access article distributed under the terms and conditions of the Creative Commons Attribution (CC BY) license (https://creativecommons.org/licenses/by/4.0/).
















