Influence of the COVID-19 Pandemic on the Subjective Life Satisfaction of South Korean Adults: Bayesian Nomogram Approach
Abstract
:1. Introduction
2. Method
2.1. Subjects
2.2. Measurement
2.3. Bayesian Nomogram
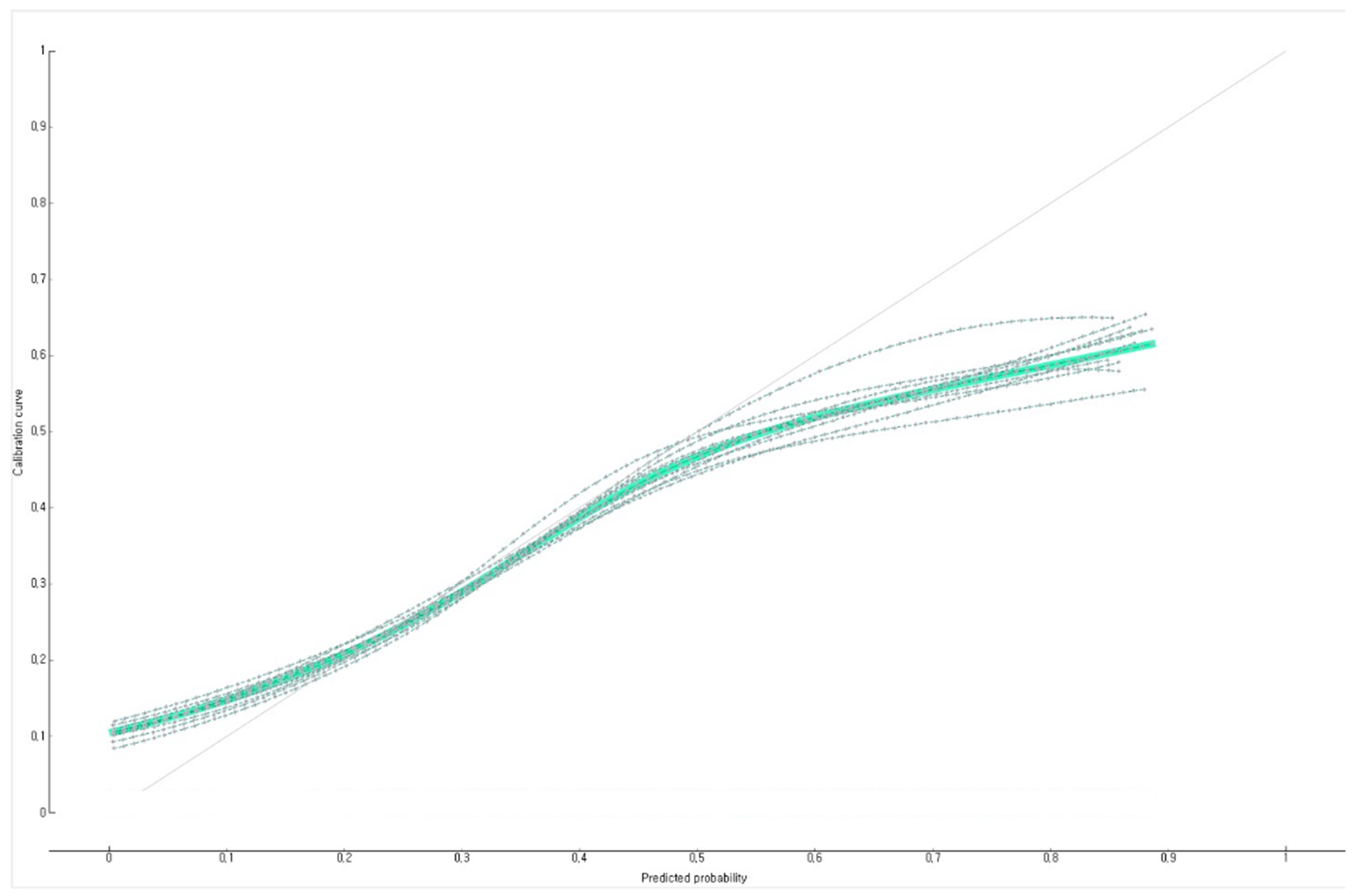
3. Results
3.1. General Characteristics of Subjects
3.2. Characteristics of Subjects Who Were Life Dissatisfied: Potential Factors
3.3. Development of Bayesian Nomogram for Predicting the Subjective Life Dissatisfaction of Korean Adults in COVID-19 Pandemic
4. Discussion
5. Conclusions
Funding
Institutional Review Board Statement
Informed Consent Statement
Conflicts of Interest
References
- Han, Q.; Zheng, B.; Daines, L.; Sheikh, A. Long-Term sequelae of COVID-19: A systematic review and meta-analysis of one-year follow-up studies on post-COVID symptoms. Pathogens 2022, 11, 269. [Google Scholar] [CrossRef] [PubMed]
- Byeon, H. Predicting high-risk groups for COVID-19 anxiety using adaboost and nomogram: Findings from nationwide survey in South Korea. Appl. Sci. 2021, 11, 9865. [Google Scholar] [CrossRef]
- Haider, S.; Smith, L.; Markovic, L.; Schuch, F.B.; Sadarangani, K.P.; Lopez Sanchez, G.F.; Lopez-Bueno, R.; Gil-Salmerón, A.; Rieder, A.; Tully, M.A.; et al. Associations between physical activity, sitting time, and time spent outdoors with mental health during the first COVID-19 lock down in Austria. Int. J. Environ. Res. Public Health 2021, 18, 9168. [Google Scholar] [CrossRef] [PubMed]
- Fujiwara, Y.; Nonaka, K.; Kuraoka, M.; Murayama, Y.; Murayama, S.; Nemoto, Y.; Tanaka, M.; Matsunaga, H.; Fujita, K.; Murayama, H.; et al. Influence of “Face-to-Face Contact” and “Non-Face-to-Face Contact” on the subsequent decline in self-rated health and mental health status of young, middle-aged, and older Japanese adults: Aa two-year prospective study. Int. J. Environ. Res. Public Health 2022, 19, 2218. [Google Scholar] [CrossRef]
- Lee, D.; Kim, J.; Kang, H. The emotional distress and fear of contagion related to Middle East Respiratory Syndrome (MERS) on general public in Korea. Korean J. Psychol. Gen. 2016, 35, 355–383. [Google Scholar] [CrossRef]
- Camfield, L.; Skevington, S.M. On subjective well-being and quality of life. J. Health Psychol. 2008, 13, 764–775. [Google Scholar] [CrossRef] [Green Version]
- Fernández-Ballesteros, R.; Zamarrón, M.D.; Ruíz, M.A. The contribution of socio-demographic and psychosocial factors to life satisfaction. Ageing Soc. 2001, 21, 25–43. [Google Scholar] [CrossRef]
- Lombardo, P.; Jones, W.; Wang, L.; Shen, X.; Goldner, E.M. The fundamental association between mental health and life satisfaction: Results from successive waves of a Canadian national survey. BMC Public Health 2018, 18, 1–9. [Google Scholar] [CrossRef] [Green Version]
- Shimada, H.; Lee, S.; Bae, S.; Hotta, R. A new life satisfaction scale predicts depressive symptoms in a national cohort of older Japanese adults. Front. Psychiatry 2020, 11, 625. [Google Scholar] [CrossRef]
- Toraih, E.A.; Fawzy, M.S.; Hussein, M.H.; El-Labban, M.M.; Ruiz, E.M.L.; Attia, A.A.; Halat, S.; Moroz, K.; Errami, Y.; Zerfaoui, M.; et al. MicroRNA-based risk score for predicting tumor progression following radioactive iodine ablation in well-differentiated thyroid cancer patients: A propensity-score matched analysis. Cancers 2021, 13, 4649. [Google Scholar] [CrossRef]
- Byeon, H. Developing a predictive model for depressive disorders using stacking ensemble and naive bayesian nomogram: Using samples representing South Korea. Front. Psychiatry 2021, 12, 773290. [Google Scholar] [CrossRef] [PubMed]
- Karaismailoglu, E.; Karaismailoglu, S. Two novel nomograms for predicting the risk of hospitalization or mortality due to COVID-19 by the naïve bayesian classifier method. J. Med. Virol. 2021, 93, 3194–3201. [Google Scholar] [CrossRef]
- Kim, W.; Kim, K.S.; Park, R.W. Nomogram of naive bayesian model for recurrence prediction of breast cancer. Healthc. Inform. Res. 2016, 22, 89–94. [Google Scholar] [CrossRef] [PubMed] [Green Version]
- Zhou, J.; Lv, Y.; Mao, C.; Duan, J.; Gao, X.; Wang, J.; Yin, Z.; Shi, W.; Luo, J.; Kang, Q.; et al. Development and validation of a nomogram for predicting the 6-year risk of cognitive impairment among Chinese older adults. J. Am. Med. Dir. Assoc. 2020, 21, 864–871. [Google Scholar] [CrossRef] [PubMed]
- Kang, Y.W.; Ko, Y.S.; Kim, Y.J.; Sung, K.M.; Kim, H.J.; Choi, H.Y.; Sung, C.; Jeong, E. Korea community health survey data profiles. Osong. Public Health Res. Perspect. 2015, 6, 211–217. [Google Scholar] [CrossRef] [Green Version]
- Arslan, G.; Yıldırım, M.; Leung, M.M. Mediating effect of personal meaning in the prediction of life satisfaction and mental health problems based on coronavirus suffering. Front. Psychol. 2021, 12, 638379. [Google Scholar] [CrossRef]
- Cheng, T.C.; Kim, S.; Koh, K. The impact of COVID-19 on subjective well-being: Evidence from Singapore. IZA Discuss. Pap. 2020, 13702. [Google Scholar] [CrossRef]
- Duong, C.D. The impact of fear and anxiety of COVID-19 on life satisfaction: Psychological distress and sleep disturbance as mediators. Pers. Individ. Differ. 2021, 178, 110869. [Google Scholar] [CrossRef]
- Greyling, T.; Rossouw, S.; Adhikari, T. A tale of three countries: How did COVID-19 lockdown impact happiness? GLO Discuss. Pap. 2020, 584. Available online: https://hdl.handle.net/10419/221748 (accessed on 19 March 2022).
- Brodeur, A.; Clark, A.E.; Fleche, S.; Powdthavee, N. COVID-19, lockdowns and well-being: Evidence from google trends. J. Public Econ. 2021, 193, 104346. [Google Scholar] [CrossRef]
- Bidzan-Bluma, I.; Bidzan, M.; Jurek, P.; Bidzan, L.; Knietzsch, J.; Stueck, M.; Bidzan, M. A polish and German population study of quality of life, well-being, and life satisfaction in older adults during the COVID-19 pandemic. Front. Psychiatry 2020, 11, 585813. [Google Scholar] [CrossRef] [PubMed]
- Lee, D.H.; Kim, Y.J.; Lee, D.H.; Hwang, H.H.; Nam, S.K.; Kim, J.Y. The influence of public fear, and psycho-social experiences during the coronavirus disease 2019 (COVID-19) pandemic on depression and anxiety in South Korea. Korean J. Counsel. Psychother. 2020, 32, 2119–2156. [Google Scholar] [CrossRef]
- Yan, L.; Gan, Y.; Ding, X.; Wu, J.; Duan, H. The relationship between perceived stress and emotional distress during the COVID-19 outbreak: Effects of boredom proneness and coping style. J. Anxiety Disord. 2021, 77, 102328. [Google Scholar] [CrossRef] [PubMed]
- Rogowska, A.M.; Kuśnierz, C.; Ochnik, D. Changes in stress, coping styles, and life satisfaction between the first and second waves of the COVID-19 pandemic: A longitudinal cross-lagged study in a sample of university students. J. Clin. Med. 2021, 10, 4025. [Google Scholar] [CrossRef] [PubMed]
- Yu, H.; Li, M.; Li, Z.; Xiang, W.; Yuan, Y.; Liu, Y.; Li, Z.; Xiong, Z. Coping style, social support and psychological distress in the general Chinese population in the early stages of the COVID-19 epidemic. BMC Psychiatry 2020, 20, 1–11. [Google Scholar] [CrossRef]
- Lucas, R.E.; Fujita, F. Factors influencing the relation between extraversion and pleasant affect. J. Pers. Soc. Psychol. 2000, 79, 1039–1056. [Google Scholar] [CrossRef]
- Steel, P.; Schmidt, J.; Shultz, J. Refining the relationship between personality and subjective well-being. Psychol. Bull. 2008, 134, 138–161. [Google Scholar] [CrossRef]
- Amati, V.; Meggiolaro, S.; Rivellini, G.; Zaccarin, S. Social relations and life satisfaction: The role of friends. Genus 2018, 74, 1–18. [Google Scholar] [CrossRef]
- Taniguchi, H.; Potter, D.A. Who are your neighbors? neighbor relationships and subjective well-being in Japan. Appl. Res. Qual. Life 2016, 11, 1425–1443. [Google Scholar] [CrossRef]
- Choi, J.Y. COVID-19 in South Korea. Postgrad. Med. J. 2020, 96, 399–402. [Google Scholar] [CrossRef]
- Financial Service Committee. “Household Debt Management Plan”. Available online: https://www.fsc.go.kr/no010101/76740 (accessed on 20 February 2022).
- Bukhari, S.R.; Asim, S.; Ghani, M.U.; Muhammad, S.; Gani, N.; Ashraf, W. The effect of perceived stress on life satisfaction of general population in the time of COVID-19 pandemic. Rawal Med. J. 2021, 46, 11–13. [Google Scholar]
- Satici, B.; Gocet-Tekin, E.; Deniz, M.E.; Satici, S.A. Adaptation of the Fear of COVID-19 scale: Its association with psychological distress and life satisfaction in Turkey. Int. J. Ment. Health Addict. 2021, 19, 1980–1988. [Google Scholar] [CrossRef] [PubMed]
- Korea Institute for Health and Social Affairs. Diagnosing Social Cohesion Status; Korea Institute for Health and Social Affairs: Sejong, Korea, 2021. [Google Scholar]
- Oh, S. Changes in the Labor Market after COVID-19; Statistics Korea: Daejeon, Korea, 2020. [Google Scholar]
- Dinler, E.; Badat, T.; Kocamaz, D.; Yakut, Y. Evaluation of the physical activity, sleep quality, depression, and life satisfaction of university students during the COVID-19. Int. J. Disabil. Sports Health Sci. 2020, 3, 128–139. [Google Scholar] [CrossRef]
- Serafini, G.; Parmigiani, B.; Amerio, A.; Aguglia, A.; Sher, L.; Amore, M. The psychological impact of COVID-19 on the mental health in the general population. QJM 2020, 113, 531–537. [Google Scholar] [CrossRef] [PubMed]




| Variables | Life Dissatisfied | p | |
|---|---|---|---|
| Yes (n = 45,807) | No (n = 182,001) | ||
| Age | <0.001 | ||
| 19–29 | 1045 (22.1) | 2681 (77.9) | |
| 30–39 | 6673 (26.5) | 18,555 (73.5) | |
| 40–49 | 7829 (21.8) | 28,016 (78.2) | |
| 50–59 | 8987 (20.2) | 35,464 (79.8) | |
| 60+ | 16,558 (17.2) | 79,618 (82.8) | |
| Gender | <0.001 | ||
| Male | 18,573 (18.0) | 84,818 (82.0) | |
| Female | 27,234 (21.9) | 97,183 (78.1) | |
| Residential area type | <0.001 | ||
| Urban | 28,874 (22.5) | 99,621 (77.5) | |
| Rural | 16,933 (17.1) | 82,380 (82.9) | |
| Education level | <0.001 | ||
| Elementary school graduation or below | 7533 (15.2) | 42,174 (84.8) | |
| Middle school graduation | 4895 (19.2) | 20,582 (80.8) | |
| High school graduation | 13,943 (21.0) | 52,375 (79.0) | |
| College graduation or above | 19,370 (22.5) | 66,678 (77.5) | |
| Mean monthly household income | <0.001 | ||
| Less than KRW 1 million | 5095 (16.5) | 25,731 (83.5) | |
| KRW 1 to 3 million | 11,699 (20.3) | 46,032 (79.7) | |
| KRW 3 to 5 million | 9390 (21.1) | 35,164 (78.9) | |
| KRW 5 million or more | 10,107 (20.9) | 38,285 (79.1) | |
| Smoking | <0.001 | ||
| Current smoker | 7599 (20.4) | 29,654 (79.6) | |
| Past smoker | 7683 (18.4) | 33,983 (81.6) | |
| Non-smoker | 30,518 (20.5) | 118,346 (79.5) | |
| Regular exercise | 0.050 | ||
| No | 40,069 (20.2) | 158,517 (79.8) | |
| Yes | 5725 (19.7) | 23,359 (80.3) | |
| Subjective health level | 0.043 | ||
| Good | 21,764 (19.9) | 87,656 (80.1) | |
| Average | 17,837 (20.3) | 70,092 (79.7) | |
| Bad | 6204 (20.4) | 24,248 (79.6) | |
| Concerns about COVID-19 infection | <0.001 | ||
| Concerned | 35,262 (21.9) | 125,480 (78.1) | |
| Indifferent | 7035 (15.9) | 37,306 (84.1) | |
| Not concerned | 3508 (15.5) | 19,170 (84.5) | |
| Fear of death due to COVID-19 infection | <0.001 | ||
| Concerned | 22,008 (21.5) | 80,358 (78.5) | |
| Indifferent | 9685 (18.2) | 43,417 (81.8) | |
| Not concerned | 14,081 (19.5) | 58,091 (80.5) | |
| Concerns about criticism from others due to COVID-19 infection | <0.001 | ||
| Concerned | 36,300 (21.1) | 136,073 (78.9) | |
| Indifferent | 4844 (16.2) | 25,041 (83.8) | |
| Not concerned | 4619 (18.2) | 20,707 (81.8) | |
| Concerns about family’s COVID-19 infection (e.g., older adults and children) | <0.001 | ||
| Concerned | 37,916 (20.9) | 143,781 (79.1) | |
| Indifferent | 2603 (14.7) | 15,081 (85.3) | |
| Not concerned | 1872 (16.7) | 9350 (83.3) | |
| Concerns about economic damage (e.g., unemployment) due to COVID-19 | <0.001 | ||
| Concerned | 38,271 (21.4) | 140,703 (78.6) | |
| Indifferent | 4004 (15.2) | 22,364 (84.8) | |
| Not concerned | 3519 (15.7) | 18,854 (84.3) | |
| Number of meetings with friends or neighbors after the outbreak of COVID-19 | <0.001 | ||
| Increased | 152 (21.6) | 552 (78.4) | |
| Similar | 2874 (10.4) | 24,823 (89.6) | |
| Decreased | 40,049 (21.4) | 146,701 (78.6) | |
| Changes in sleeping hours after the COVID-19 pandemic | <0.001 | ||
| Increased | 6864 (29.4) | 16,484 (70.6) | |
| Similar | 32,533 (17.6) | 152,514 (82.4) | |
| Decreased | 6403 (33.0) | 12,993 (67.0) | |
| Variables | Crude Model | p | Adjusted Model | p |
|---|---|---|---|---|
| Age | ||||
| 19–29 (ref.) | 1.00 | 1.00 | ||
| 30–39 | 1.27 (1.17, 1.36) | <0.001 | 1.23 (1.12, 1.35) | <0.001 |
| 40–49 | 0.98 (0.91, 1.06) | 0.672 | 0.97 (0.89, 1.06) | 0.599 |
| 50–59 | 0.89 (0.83, 0.96) | 0.002 | 0.90 (0.82, 0.99) | 0.033 |
| 60+ | 0.73 (0.68, 0.78) | <0.001 | 0.88 (0.80, 0.96) | 0.007 |
| Gender | ||||
| Male (ref.) | 1.00 | 1.00 | ||
| Female | 1.28 (1.25, 1.31) | <0.001 | 1.38 (1.32, 1.43) | <0.001 |
| Residential area type | ||||
| Urban (ref.) | 1.00 | 1.00 | ||
| Rural | 0.70 (0.69, 0.72) | <0.001 | 0.81 (0.79, 0.83) | <0.001 |
| Education level | ||||
| Elementary school graduation or below (ref.) | 1.00 | 1.00 | ||
| Middle school graduation | 1.33 (1.28, 1.38) | <0.001 | 1.25 (1.19, 1.31) | <0.001 |
| High school graduation | 1.49 (1.44, 1.53) | <0.001 | 1.37 (1.30, 1.43) | <0.001 |
| College graduation or above | 1.62 (1.57, 1.67) | <0.001 | 1.44 (1.36, 1.52) | <0.001 |
| Mean monthly household income | ||||
| Less than KRW 1 million | 0.75 (0.72, 0.77) | <0.001 | 1.02 (0.97, 1.08) | 0.314 |
| KRW 1 to 3 million | 0.96 (0.93, 0.99) | 0.013 | 1.11 (1.06, 1.15) | <0.001 |
| KRW 3 to 5 million | 1.01 (0.98, 1.04) | 0.478 | 1.01 (0.97, 1.04) | 0.720 |
| KRW 5 million or more (ref.) | 1.00 | 1.00 | ||
| Smoking | ||||
| Current smoker (ref.) | 1.00 | 1.00 | ||
| Past smoker | 0.88 (0.85, 0.91) | <.001 | 0.92 (0.88, 0.97) | 0.001 |
| Non-smoker | 1.00 (0.97, 1.03) | 0.662 | 0.81 (0.78, 0.85) | <0.001 |
| Subjective health level | ||||
| Good (ref.) | 1.00 | 1.00 | ||
| Average | 1.02 (1.00, 1.05) | 0.029 | 1.03 (1.00, 1.06) | 0.019 |
| Bad | 1.03 (0.99, 1.06) | 0.063 | 1.18 (1.13, 1.23) | <0.001 |
| Concerns about COVID-19 infection | ||||
| Concerned | 1.53 (1.47, 1.59) | <0.001 | 1.32 (1.24, 1.41) | <0.001 |
| Indifferent | 1.03 (0.98, 1.07) | 0.182 | 1.01 (0.94, 1.07) | 0.755 |
| Not concerned (ref.) | 1.00 | 1.00 | ||
| Fear of death due to COVID-19 infection | ||||
| Concerned | 1.13 (1.10, 1.15) | <0.001 | 0.98 (0.94, 1.02) | 0.290 |
| Indifferent | 0.92 (0.89, 0.94) | <0.001 | 0.88 (0.85, 0.92) | <0.001 |
| Not concerned (ref.) | 1.00 | 1.00 | ||
| Concerns about criticism from others due to COVID-19 infection | ||||
| Concerned | 1.19 (1.15, 1.23) | <0.001 | 1.02 (0.97, 1.07) | 0.396 |
| Indifferent | 0.86 (0.83, 0.90) | <0.001 | 0.91 (0.85, 0.97) | 0.006 |
| Not concerned (ref.) | 1.00 | 1.00 | ||
| Concerns about family’s COVID-19 infection (e.g., older adults and children) | ||||
| Concerned | 1.31 (1.25, 1.38) | <0.001 | 1.04 (0.96, 1.12) | 0.276 |
| Indifferent | 0.86 (0.80, 0.92) | <0.001 | 0.93 (0.84, 1.01) | 0.109 |
| Not concerned (ref.) | 1.00 | 1.00 | ||
| Concerns about economic damage (e.g., unemployment) due to COVID-19 | ||||
| Concerned | 1.45 (1.40, 1.51) | <0.001 | 1.31 (1.23, 1.38) | <0.001 |
| Indifferent | 0.96 (0.91, 1.01) | 0.098 | 1.05 (0.97, 1.12) | 0.183 |
| Not concerned (ref.) | 1.00 | 1.00 | ||
| Number of meetings with friends or neighbors after the outbreak of COVID-19 | ||||
| Increased | 1.01 (0.84, 1.20) | 0.925 | 1.06 (0.85, 1.34) | 0.575 |
| Similar | 0.42 (0.40, 0.44) | <0.001 | 0.52 (0.49, 0.54) | <0.001 |
| Decreased (ref.) | 1.00 | 1.00 | ||
| Changes in sleeping hours after the COVID-19 pandemic | ||||
| Increased | 0.84 (0.81, 0.88) | <0.001 | 0.86 (0.82, 0.91) | <0.001 |
| Similar | 0.43 (0.42, 0.44) | <0.001 | 0.49 (0.47, 0.51) | <0.001 |
| Decreased (ref.) | 1.00 | 1.00 |
Publisher’s Note: MDPI stays neutral with regard to jurisdictional claims in published maps and institutional affiliations. |
© 2022 by the author. Licensee MDPI, Basel, Switzerland. This article is an open access article distributed under the terms and conditions of the Creative Commons Attribution (CC BY) license (https://creativecommons.org/licenses/by/4.0/).
Share and Cite
Byeon, H. Influence of the COVID-19 Pandemic on the Subjective Life Satisfaction of South Korean Adults: Bayesian Nomogram Approach. Diagnostics 2022, 12, 761. https://doi.org/10.3390/diagnostics12030761
Byeon H. Influence of the COVID-19 Pandemic on the Subjective Life Satisfaction of South Korean Adults: Bayesian Nomogram Approach. Diagnostics. 2022; 12(3):761. https://doi.org/10.3390/diagnostics12030761
Chicago/Turabian StyleByeon, Haewon. 2022. "Influence of the COVID-19 Pandemic on the Subjective Life Satisfaction of South Korean Adults: Bayesian Nomogram Approach" Diagnostics 12, no. 3: 761. https://doi.org/10.3390/diagnostics12030761
APA StyleByeon, H. (2022). Influence of the COVID-19 Pandemic on the Subjective Life Satisfaction of South Korean Adults: Bayesian Nomogram Approach. Diagnostics, 12(3), 761. https://doi.org/10.3390/diagnostics12030761
