Positive Echocardiographic Association between Carotid Artery and Coronary Artery Diameter and Z-Score in a Mouse Model of Kawasaki Disease
Abstract
1. Introduction
2. Materials and Methods
2.1. Animals
2.2. LCWE Preparation
2.3. High-Resolution Echocardiography and Z-Score
2.4. Statistical Analysis
3. Results
3.1. Sonography Findings of the Coronary and Carotid Arteries
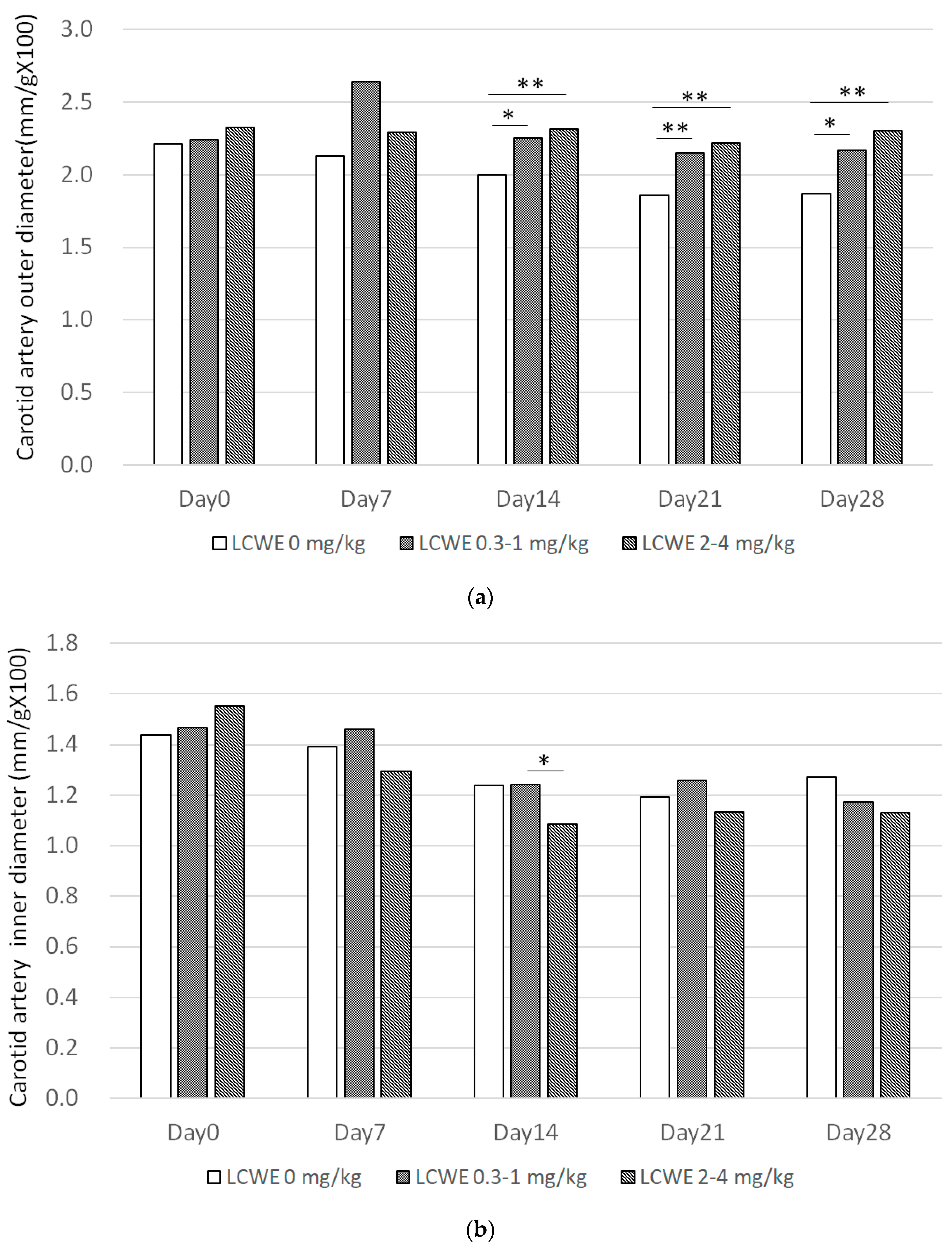
3.2. Carotid Artery and Aortic Artery in KD Mouse Model
3.3. Coronary Artery Diameter Significantly Increased in LCWE Mice
3.4. Z-Score in KD Mouse Model
4. Discussion
5. Conclusions
Author Contributions
Funding
Institutional Review Board Statement
Informed Consent Statement
Data Availability Statement
Conflicts of Interest
References
- McCrindle, B.W.; Rowley, A.H.; Newburger, J.W.; Burns, J.C.; Bolger, A.F.; Gewitz, M.; Baker, A.L.; Jackson, M.A.; Takahashi, M.; Shah, P.B.; et al. Diagnosis, Treatment, and Long-Term Management of Kawasaki Disease: A Scientific Statement for Health Professionals from the American Heart Association. Circulation 2017, 135, e927–e999. [Google Scholar] [CrossRef] [PubMed]
- Nakayama, H.; Inada, H.; Inukai, T.; Kondo, K.; Hirai, K.; Tsutsumi, T.; Adachi, Y.; Nagi-Miura, N.; Ohno, N.; Suzuki, K. Recombinant Human Soluble Thrombomodulin Suppresses Arteritis in a Mouse Model of Kawasaki Disease. J. Vasc. Res. 2022, 59, 176–188. [Google Scholar] [CrossRef] [PubMed]
- Kocatürk, B.; Lee, Y.; Nosaka, N.; Abe, M.; Martinon, D.; Lane, M.E.; Moreira, D.; Chen, S.; Fishbein, M.C.; Porritt, R.A.; et al. Platelets exacerbate cardiovascular inflammation in a murine model of Kawasaki disease vasculitis. JCI Insight 2023, 8, e169855. [Google Scholar] [CrossRef] [PubMed]
- Lin, I.C.; Suen, J.L.; Huang, S.K.; Huang, S.C.; Huang, H.C.; Kuo, H.C.; Wei, C.C.; Wang, F.S.; Yu, H.R.; Yang, K.D. Dectin-1/Syk signaling is involved in Lactobacillus casei cell wall extract-induced mouse model of Kawasaki disease. Immunobiology 2012, 218, 201–212. [Google Scholar] [CrossRef]
- Noval Rivas, M.; Arditi, M. Kawasaki disease: Pathophysiology and insights from mouse models. Nat. Rev. Rheumatol. 2020, 16, 391–405. [Google Scholar] [CrossRef] [PubMed]
- Lehman, T.J.; Walker, S.M.; Mahnovski, V.; McCurdy, D. Coronary arteritis in mice following the systemic injection of group B Lactobacillus casei cell walls in aqueous suspension. Arthritis Rheumatol. 1985, 28, 652–659. [Google Scholar] [CrossRef]
- Zhang, X.X.; Du, Z.D.; Wen, S.G.; Sun, X.P. Echocardiographic Evaluation of Coronary Abnormalities and Cardiac Function in a Murine Model of Kawasaki Disease Using High-frequency Ultrasound. Chin. Med. J. 2017, 130, 1467–1474. [Google Scholar] [CrossRef]
- Lin, M.-T.; Chang, C.-H.; Hsieh, W.-C.; Chang, C.-E.; Chang, Y.-M.; Chen, Y.-C.; Hsu, J.-Y.; Huang, Y.-L.; Ma, J.-Y.; Sun, L.-C.; et al. Coronary Diameters in Taiwanese Children Younger than 6 Years Old: Z-Score Regression Equations Derived from Body Surface Area. Acta Cardiol. Sin. 2014, 30, 266–273. [Google Scholar] [PubMed]
- Lehman, T.J.; Mahnovski, V. Animal models of vasculitis. Lessons we can learn to improve our understanding of Kawasaki disease. Rheum. Dis. Clin. N. Am. 1988, 14, 479–487. [Google Scholar] [CrossRef]
- Wu, T.-H.; Kuo, H.-C.; Tain, Y.-L.; Lin, K.-M.; Kuo, H.-C.; Chien, S.-J. Common carotid artery intima-media thickness is useful for diagnosis of the acute stage of Kawasaki disease. BMC Pediatr. 2014, 14, 98. [Google Scholar] [CrossRef] [PubMed][Green Version]
- Yao, Y.; Yang, G.; Chen, Y. Carotid Intima-Media Thickness and Ankle-Brachial Index and Their Correlation with Coronary Artery Dilatation in Children with Kawasaki Disease. Evid. Based Complement. Altern. Med. 2021, 2021, 7372424. [Google Scholar] [CrossRef] [PubMed]
- Cheung, Y.F.; Wong, S.J.; Ho, M.H. Relationship between carotid intima-media thickness and arterial stiffness in children after Kawasaki disease. Arch. Dis. Child. 2007, 92, 43–47. [Google Scholar] [CrossRef] [PubMed]
- de Groot, E.; Hovingh, G.K.; Wiegman, A.; Duriez, P.; Smit, A.J.; Fruchart, J.-C.; Kastelein, J.J. Measurement of arterial wall thickness as a surrogate marker for atherosclerosis. Circulation 2004, 109, III33–III38. [Google Scholar] [CrossRef] [PubMed]
- Chen, K.Y.; Zannino, D.; Curtis, N.; Cheung, M.; Burgner, D. Increased aortic intima-media thickness following Kawasaki disease. Atherosclerosis 2017, 260, 75–80. [Google Scholar] [CrossRef] [PubMed]










Disclaimer/Publisher’s Note: The statements, opinions and data contained in all publications are solely those of the individual author(s) and contributor(s) and not of MDPI and/or the editor(s). MDPI and/or the editor(s) disclaim responsibility for any injury to people or property resulting from any ideas, methods, instructions or products referred to in the content. |
© 2024 by the authors. Licensee MDPI, Basel, Switzerland. This article is an open access article distributed under the terms and conditions of the Creative Commons Attribution (CC BY) license (https://creativecommons.org/licenses/by/4.0/).
Share and Cite
Shih, W.-L.; Yeh, T.-M.; Chen, K.-D.; Leu, S.; Kuo, H.-C. Positive Echocardiographic Association between Carotid Artery and Coronary Artery Diameter and Z-Score in a Mouse Model of Kawasaki Disease. Diagnostics 2024, 14, 145. https://doi.org/10.3390/diagnostics14020145
Shih W-L, Yeh T-M, Chen K-D, Leu S, Kuo H-C. Positive Echocardiographic Association between Carotid Artery and Coronary Artery Diameter and Z-Score in a Mouse Model of Kawasaki Disease. Diagnostics. 2024; 14(2):145. https://doi.org/10.3390/diagnostics14020145
Chicago/Turabian StyleShih, Wen-Ling, Tsung-Ming Yeh, Kuang-Den Chen, Steve Leu, and Ho-Chang Kuo. 2024. "Positive Echocardiographic Association between Carotid Artery and Coronary Artery Diameter and Z-Score in a Mouse Model of Kawasaki Disease" Diagnostics 14, no. 2: 145. https://doi.org/10.3390/diagnostics14020145
APA StyleShih, W.-L., Yeh, T.-M., Chen, K.-D., Leu, S., & Kuo, H.-C. (2024). Positive Echocardiographic Association between Carotid Artery and Coronary Artery Diameter and Z-Score in a Mouse Model of Kawasaki Disease. Diagnostics, 14(2), 145. https://doi.org/10.3390/diagnostics14020145

