Abstract
Background/Objectives: Continuous monitoring blood culture systems (CMBCSs) are revolutionary automated instruments that facilitate the rapid identification of pathogens in blood samples from patients with sepsis. However, with only a few CMBCSs being widely used as references, user dependency on these limited options has grown. In response, a new CMBCS was developed and compared with existing systems to evaluate microbial growth. Methods: HubCentra84 was compared to BacT/Alert® 3D and BACTEC™ FX. Staphylococcus aureus, Streptococcus pneumoniae, Escherichia coli, Pseudomonas aeruginosa, Bacteroides fragilis, and Candida albicans were selected as representative clinically infectious microorganisms. Colonies from pure cultures were diluted with 0.9% saline to create simulated sepsis specimens (SSSs). The SSSs were injected into dedicated culture bottles for each instrument. Thirty paired tests were performed for each strain. Results: Colony-forming units of the added SSSs were consistent according to bacteria, and all strains demonstrated robust growth in three CMBCSs. Time-to-positivity was uniformly observed according to the instruments used. The novel CMBCS detected the growth of the clinically significant bacteria S. aureus, S. pneumoniae, E. coli, and P. aeruginosa approximately 2 h faster than the other two systems. However, it was approximately 200 min slower for C. albicans and 3000 min for B. fragilis. Conclusions: The novel CMBCS demonstrates advantages in detecting the growth of common clinical bacteria. Although slow growth was detected for certain microorganisms, it successfully captured the growth of all tested microorganisms.
1. Introduction
Sepsis is an extremely dangerous and life-threatening disease with mortality rates increasing by 4% every hour of delayed treatment, emphasizing the importance of timely intervention [1,2]. Modern continuous-monitoring blood culture systems (CMBCSs) have provided faster and more reliable diagnostic results to address the limitations of traditional culture methods, which require continuous manual observation after inoculating the culture media. While systems such as BacT/Alert® 3D (bioMérieux, Marcy-l’Étoile, France) and BACTEC™ FX (Becton Dickinson and Company (BD), Franklin Lakes, NJ, USA) have been among the most widely used, these were initially developed in the 1970s [3,4,5].
In the BacT/Alert® system, bacterial growth is detected through pH changes caused by hydrogen ions produced from dissolved carbon dioxide in a culture bottle medium, requiring a colorimetric detector [6]. In contrast, the BACTEC™ FX system also detects hydrogen ions but measures dissolved carbon dioxide through a fluorescence reaction, necessitating separate excitation and emission filters for this fluorescence response [7]. Additionally, some devices employ a completely different method, measuring pressure changes within the bottle, which reflect gasses consumed and produced by microbial metabolism [8]. Although the specific detection mechanisms vary among systems, they all fundamentally confirm carbon dioxide production by microorganisms growing and dividing within the bottle.
While the CMBCS was designed to reduce time and labor significantly, this instrument demanded other essential resources, including a budget for optimal performance, infrastructure for reliable operation, and a suitable environment to contain consumables stably [9]. These requirements posed challenges to the optimal functioning of CMBCSs [10,11]. Consequently, smaller and more affordable systems have been developed and designed to meet the needs of these settings with limited space and financial resources [9]. Although fully automated systems offer convenience, relying solely on such systems means accepting the inevitable challenges associated with achieving faster detection times [4,12]. These challenges often include complex maintenance requirements and other operational issues that come with advanced automation technologies [12,13].
A broad range of microorganisms possess the potential to cause bloodstream infections. However, the World Health Organization (WHO) has prioritized certain infectious syndromes and focused surveillance efforts, via the Global Antimicrobial Resistance Surveillance System (GLASS), on eight core pathogens: Acinetobacter spp., Escherichia coli, Klebsiella pneumoniae, Salmonella spp., Staphylococcus aureus, Streptococcus pneumoniae, Shigella spp., and Neisseria gonorrhoeae [14]. Among the pathogens commonly identified in bloodstreams, S. aureus, S. pneumoniae, and E. coli are particularly significant, given their prevalence and clinical impact [15,16]. In the Republic of Korea, P. aeruginosa accounts for approximately 1.7% of Gram-negative bacterial blood stream infections, a percentage notable due to the pathogen’s multidrug resistance. This has positioned P. aeruginosa alongside S. aureus, S. pneumoniae, and E. coli as sepsis pathogens of persistent concern and critical for ongoing monitoring [15,16,17]. In terms of anaerobic bacteria, Bacteroides fragilis, an obligate anaerobe, requires a strictly anaerobic environment for cultivation and is commonly grown on blood agar plates [18]. B. fragilis was recognized as a prevalent clinical anaerobe associated with high mortality rates in several institutions in the Republic of Korea [19,20]. The WHO has also formally emphasized the need to address bloodstream infections caused by Candida species, with the Republic of Korea actively participating in this global initiative [21]. In a study by Won et al., Candida spp. were identified as the fifth most common cause of bloodstream infections, with C. albicans, C. tropicalis, C. glabrata, and C. parapsilosis frequently observed, especially among individuals over 60 years of age [22].
The identification and characterization of clinical microorganisms in the Republic of Korea are critical issues that have raised a significant amount of interest both among the nation and individuals. While CMBCSs in widespread use are designed for global applicability, a pressing issue has emerged concerning certain systems and media that exhibit notably high false positive rates [12]. In response to growing interest and demand, a domestic CMBCS was developed and tailored to the local environment and resources. This new system drew significant interest regarding its performance compared to existing automated systems, particularly in detecting clinically relevant microorganisms of national interest. This study analyzed whether the newly developed CMBCS demonstrates equivalent or superior time to positivity compared to existing systems for representative clinical strains.
2. Materials and Methods
2.1. Microorganism Preparation
Our research aimed to evaluate the practical utility of this piece of equipment, HubCentra84 (HUFIT Inc., Chuncheon-si, Republic of Korea), in real-world settings by focusing on microorganisms of particular relevance in the Republic of Korea [16]. This analysis involved a selection of representative pathogens known to cause clinical infections, as well as microorganisms commonly used for quality control in laboratory instruments and consumables. Specifically, the Gram-positive bacteria selected for this study included S. aureus and S. pneumoniae, which are known to be frequent pathogens in clinical infections. For Gram-negative bacteria, E. coli and P. aeruginosa were chosen due to their clinical significance in various infections. Additionally, the study incorporated B. fragilis as a representative anaerobic bacterium and C. albicans as a fungal species to cover a broader spectrum of microbial types that the equipment may encounter in clinical settings. All strains were purchased from American Type Culture Collection and have been continuously managed in a laboratory through pure culture. Once these required microorganisms were identified, fresh pure cultures were prepared on the day prior to testing. For cultivating pure cultures, specific growth media were employed to optimize the growth conditions for each microorganism. For the Gram-positive bacteria, sheep blood agar, the name of which was BAP (BANDIO BioScience Co., Pocheon-si, Republic of Korea), was used, providing a suitable nutrient-rich environment. For the Gram-negative bacteria, including E. coli and P. aeruginosa, MacConkey agar named MAC (BANDIO BioScience Co.) was used to support selective growth and differentiation. B. fragilis, being an anaerobic bacterium, was cultured on BRUCELLA Blood Agar (BANDIO BioScience Co.), supplemented with the GasPak™ EZ Anaerobe Pouch System with an indicator (BD), which was placed with plate agar and enveloped within a pouch to maintain anaerobic conditions. Finally, C. albicans, as a fungal representative, was grown on Sabouraud Dextrose Agar with Chloramphenicol (SDAC) (BANDIO BioScience Co.), ensuring suitable conditions for fungal growth.
2.2. Instruments with Culture Bottles
HubCentra84 (HUFIT Inc.) was established in a clinical laboratory alongside BACTEC™ FX (BD) and BacT/Alert® 3D (bioMérieux), which are widely used CMBCSs. Each system was provided with a manufacturer-specific aerobic or anaerobic medium. In the BACTEC™ FX (BD), BACTEC™ Plus Aerobic/F Culture Vials (BD) and BACTEC™ Lytic/10 Anaerobic/F Culture Vials (BD) were used as aerobic and anaerobic media, respectively. Similarly, in BacT/Alert® 3D (bioMérieux), BACT/ALERT® SA (bioMérieux) served as aerobic media, while BACT/ALERT® SN (bioMérieux) was designated for an anaerobic culture bottle. Hubix A (HUFIT Inc.) and Hubix N (HUFIT Inc.) were used as the exclusive aerobic and anaerobic culture bottles, respectively, for HubCentra84 (HUFIT Inc.) (Table 1, Figures S1 and S2).
Table 1.
Details of compared systems.
2.3. Simulated Septic Specimen
In clinical microbiology laboratories, diagnostic specimens are typically prepared by suspending bacterial colonies in a solution calibrated according to the turbidity standards defined by McFarland [23,24]. However, during the early stages of sepsis, the colony-forming unit (CFU) levels in the bloodstream were notably low. In neonates, the CFU levels were often less than 10 CFU/mL, while in adults, they were generally under 100 CFU/mL [25,26]. To mimic these low bacterial concentrations observed in early sepsis, this study involved diluting samples to create simulated septic specimens (SSSs) (Figure 1).
Figure 1.
A schematic flow of the experiment. On the day of the experiment, the required SSS for each selected clinical representative microorganism is prepared in bulk, then aliquoted for each system to eliminate carryover contamination during inoculation. The remaining SSS after inoculation undergoes verification to ensure that the same CFU level of the pathogen is inoculated in each automated instrument. Additionally, bottles triggering a positive signal are subjected to identification of the growth microorganism to confirm consistency with the initially inoculated pathogen by matrix-assisted laser desorption/ionization time-of-flight mass spectrometry (MALDI ToF MS).
Various studies have reported that inoculating body fluids into culture bottles and observing them in CMBCSs demonstrated a high concordance rate with identification results from conventional culture methods [27,28,29,30]. This transformed approach had enabled clinical physicians to perform pathogen culture testing on a wide range of specimens. As the name implied, a CMBCS is a specialized system designed for diagnosing bloodstream infections, demonstrating superior detection performance with blood specimens [31]. Therefore, this experiment aimed to evaluate the system’s performance in challenging scenarios, such as with non-blood specimens, by preparing SSSs using pure cultured colonies suspended in 0.9% sodium chloride as 0.9% saline [32].
To standardize the bacterial solution concentration, the initial McFarland standard was set to 0.33 using the DENSICHEK® Plus Standards Kit (bioMérieux), providing a baseline for further dilution. In a preliminary test, starting at 0.33 McFarland and proceeding with two dilution steps—1000-fold and 4000-fold—proved to be the most rapid approach. Consequently, the dilution began roughly at 0.33 McFarland before progressing to SSS preparation. On each experimental day, culture bottles were prepared to receive 3 mL of the SSS, with the total volume of the SSS calculated according to the study’s requirements. The total volume of the SSS required for the day of experiment was prepared as a single bulk solution with adequate concentration according to the microorganism, and the time taken to dispense it into all bottles did not exceed 30 min, maintaining sample consistency.
2.4. CFU Verification and Growth Confirmation
A 5 mL syringe was used to inject an SSS into each culture bottle. Because of the differing nutrient composition of each medium, procedures were implemented to reduce the carryover contamination bias using syringes.
- The entire SSS was divided into several culture bottles requiring inoculation;
- A single syringe was used to inoculate no more than five bottles;
- After the inoculation of one type of culture bottle, a new syringe was used;
- After 3 mL inoculation, 250 µL of the remaining divided sample was used to verify the actual CFU, of which the target range was <10 CFU/mL, by inoculating it onto the solid plate initially used for pure culture.
Culture bottles mounted on the same date were drawn out when a positive growth signal was detected. The bottles were then randomly selected by instrument and media type. Specimens were carefully drawn from the selected culture bottles and inoculated onto the same type of medium originally used for pure culture. This step ensured that any subsequent growth observed in these inoculations would be consistent with the conditions that the initial colonies had experienced, allowing for an accurate comparison of microbial growth and detection across samples. By re-culturing on the same medium, this study minimized variability that could have arisen from differences in media properties. After re-inoculation, the samples were monitored until visible colonies appeared on the medium. Once colony growth was established, each colony was subjected to identification using the MALDI Biotyper Smart System (Bruker Daltonics GmbH, Bremen, Germany). This method ensured consistency in identifying colonies from different bottles and media types, contributing to the comprehensive evaluation of the CMBCS instruments across a range of practical scenarios.
2.5. Statistical Analysis
To ensure statistically valid comparisons, 30 paired tests per microorganism were conducted for each system, resulting in 90 paired culture bottle tests per strain. The performance of each system was evaluated based on time-to-positivity detection. Because not all tests were performed on a single day, histograms of all results were gathered, and histograms of time to positivity were generated to verify consistency and normality across the test results. The performance of the systems was compared based on time to positivity. Therefore, the independent variable was a nominal value representing systems, while the dependent variable was a continuous value denoting time to positivity. The Wilcoxon rank-sum test was used to determine statistical significance, with a threshold of p < 0.05 set as the criterion for significance, and all analyses were performed using R software 4.4.2 (R Foundation for Statistical Computing, Vienna, Austria).
3. Results
The experimental schedule is presented in Table S1. The dilution factor and CFU concentration of SSSs for each bacterial strain are listed in Table S2. Although some media for CFU verification showed no colony growth (Figures S3–S8 show the actual inoculation images), all culture bottles showed positive growth signals. The confirmation of growth indicated that all strains inoculated on the same day were accurately identified as the intended strains.
S. aureus, S. pneumoniae, and E. coli grew in both aerobic and anaerobic media across all instruments. Consistently, among the three systems, P. aeruginosa grew in all aerobic media, whereas B. fragilis grew exclusively in anaerobic media. C. albicans grew in both aerobic and anaerobic bottles only in HubCentra84 (HUFIT Inc.), whereas it grew solely in aerobic media in the other two systems. For B. fragilis, time to positivity showed high reproducibility only in BACTEC™ FX (BD), with the other two instruments displaying distributions with low kurtosis (Figure 2A). S. aureus and E. coli exhibited faster time-to-positivity values in anaerobic media for all instruments, whereas S. pneumoniae exhibited faster time to positivity in aerobic media. C. albicans cultured in Hubix N (HUFIT Inc.) displayed faster time to positivity than C. albicans cultured in Hubix A (HUFIT Inc.) (Figure 2B).
Figure 2.
Time to positivity of continuous monitoring bacterial culture systems (CMBCSs). (A) A histogram illustrating the time-to-positivity values reported by each CMBCS after inoculation with simulated septic specimens prepared using clinically representative infection strains. The x axis denotes time to positivity, which is divided into 12 h intervals. The height of the column represents the number of positive signals within each interval. The column color indicates the media type. As the columns were semi-transparent, overlapping columns for the two media types were visible. (B) The box represents the interquartile range (IQR) of time-to-positivity values, and the bold horizontal line in the center of the box indicates the median. Whisker lines denote values extending up to 1.5xIQR from each boundary of the box. Black dots indicate outliers that fall beyond the whisker range. The box color specifies the inoculated strain and media type. A number of illustrated boxes mark the number of media types in which each strain grows. Abbreviations: instrument A, BacT/Alert® 3D (bioMérieux, Marcy-l’Étoile, France); instrument B, BACTEC™ FX (Becton Dickinson and Company (BD), Franklin Lakes, NJ, USA); instrument C, HubCentra84 (HUFIT Inc., Chuncheon-si, Republic of Korea); media A, aerobic; media N, anaerobic.
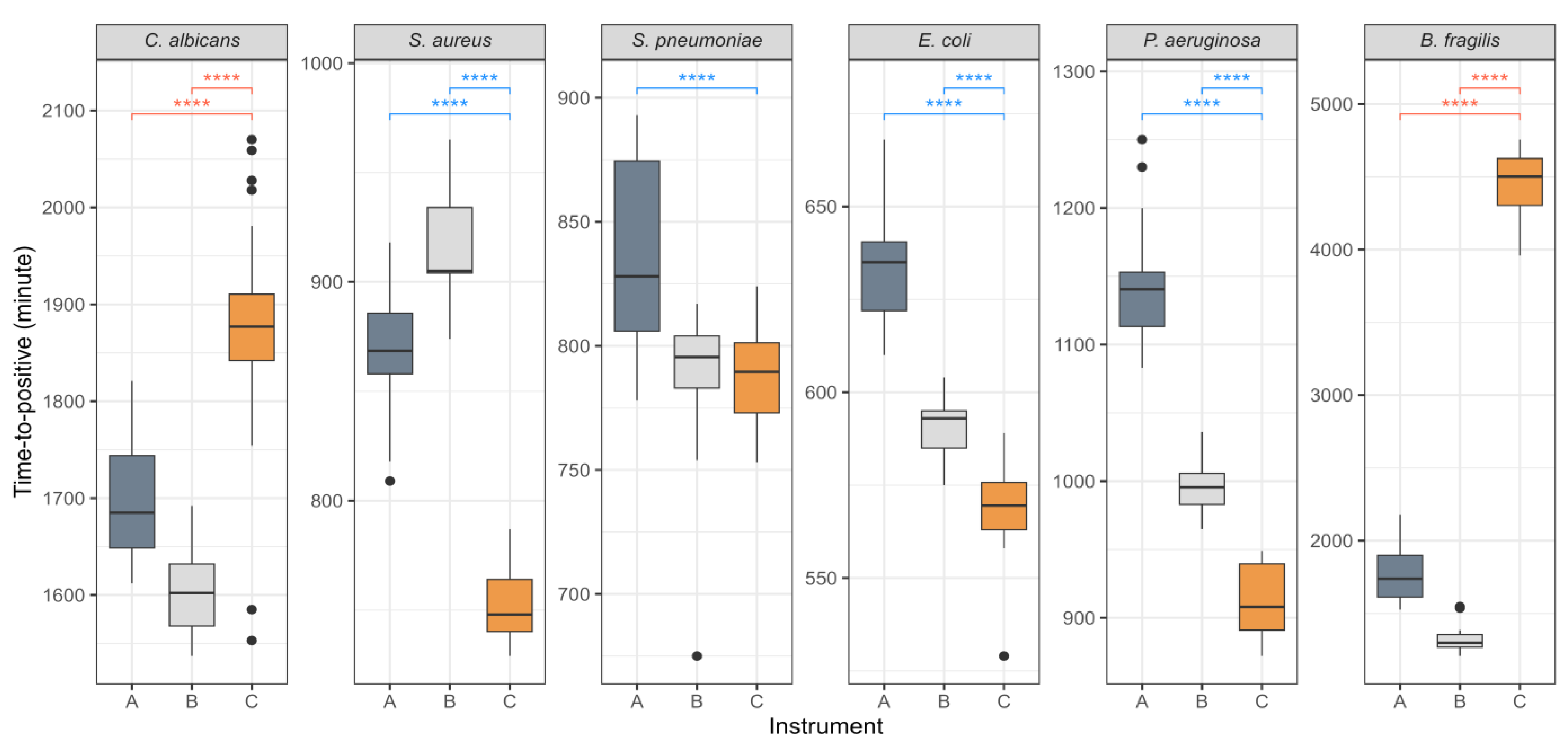
Blood cultures were performed in aerobic and anaerobic bottles. If either bottle signal is positive, the identification of the infectious pathogen can proceed more rapidly. For each strain, only the earliest time to positivity from each pair was selected for comparison (Figure 3). The strains representing Gram-positive and Gram-negative bacteria, S. aureus, S. pneumoniae, E. coli, and P. aeruginosa, demonstrated time-to-positivity values that were approximately 2 h faster in HubCentra84 (HUFIT Inc.) than in the other systems. Although C. albicans grew in both media types only in HubCentra84 (HUFIT Inc.), its time to positivity was 200–300 min slower than in the other two instruments. Notably, B. fragilis exhibited a delay of approximately 3000 min.
Figure 3.
The rapidity of time to positivity by instrument. The connecting brackets represent the instruments compared. The Wilcoxon rank-sum test is used to analyze the statistical significance of differences between instruments for time to positivity. Asterisks in brackets indicate p for time to positivity. All p values are <0.001; therefore, the values are the same in ****. The color of the statistical results varies according to the outcomes of instrument C, and the color of the box denotes the instrument. Abbreviations: instrument A, BacT/Alert® 3D (bioMérieux, Marcy-l’Étoile, France); instrument B, BACTEC™ FX (Becton Dickinson and Company (BD), Franklin Lakes, NJ, USA); instrument C, HubCentra84 (HUFIT Inc., Chuncheon-si, Republic of Korea).
4. Discussion
Microorganisms growing within culture bottles produced carbon dioxide, which consequently altered the medium environment. The principle of detecting these changes through engineering methods was applied in CMBCSs, with specific mechanisms differing by instrument. Typically, these systems measured dissolved carbon dioxide levels in the medium either through colorimetry or fluorescence reactions. Colorimetric methods were particularly integrated into newer instruments. Hardy et al. conducted a comparative analysis of four emerging CMBCS instruments manufactured in China, all of which utilized colorimetry [9]. The HubCentra84 system also operated on a colorimetric basis, contributing to component simplification within the device (Table 1). Nolte et al. analyzed the performance of an early BACTEC model, noting that the system incorporated excitation and emission filters to detect fluorescence reactions [7]. With the colorimetry, the detection component was positioned outside the culture bottle, enabling color changes to be observed through the outer material of the bottle itself. Chen et al. reported that technological advancements capable of addressing the enzyme-like activity of nanomaterials refined measurement techniques using colorimetry and fluorescence analysis for bioactive substances [33]. Among these, colorimetry, which required simpler hardware, achieved significant progress in diagnosing infectious diseases and antimicrobial resistance through a broader range of methods [34]. While this design could have been perceived as a potential obstacle, the simplified setup achieved a comparable or even enhanced performance relative to earlier systems, suggesting that it serves as a breakthrough in CMBCS technology.
The HubCentra84 (HUFIT Inc.) demonstrated considerable strength in detecting the growth of S. aureus, S. pneumoniae, E. coli, and P. aeruginosa, outperforming two alternative devices by reducing the detection time by up to two hours (Figure 2). However, C. albicans and B. fragilis exhibited a more delayed time to positivity compared to the two existing systems. Our research team hypothesized that this discrepancy was due to differences in media composition. C. albicans was typically recommended to be cultured in aerobic media [35]. This result aligned with our study, where C. albicans grew 100% only in the aerobic media of the two existing systems (Figure 2). Similar to how S. aureus inhibited growth in the presence of 1.0 M sodium chloride [36], C. albicans was affected by sodium ions at pH 8.0, which suppressed germ tube formation, while chloride ions further accelerated this suppression [37]. For this reason, these factors likely caused the delayed growth of C. albicans in aerobic media.
Interestingly, C. albicans grew in the anaerobic media of HubCentra84 (HUFIT Inc.) but not in the anaerobic media of the other two systems. L-cysteine was known to undergo N-acetylation to form N-acetylcysteine (NAC), which has long been recognized for its mycolytic effects [38]. Phuengmaung et al. reported that NAC attenuated biofilm thickening in C. albicans, thereby inhibiting its proliferation [39]. However, several studies have consistently reported that NAC does not affect the growth of C. albicans, with recent findings revealing that high concentrations of NAC inhibit growth, while low concentrations promote it [40,41]. As shown in Table 1, the anaerobic media of HubCentra84 (HUFIT Inc.) contained L-cysteine. Although the exact concentration was unknown, it was hypothesized that a low concentration of L-cysteine in the anaerobic media might have facilitated the growth of C. albicans, resulting in faster time to positivity compared to the aerobic media.
Although Candida spp. generally exhibit robust growth in aerobic CMBCS bottles [5,42], the HubCentra84 (HUFIT Inc.) system successfully detected C. albicans growth in both aerobic and anaerobic bottles (Figure 2A), albeit with a four-hour delay compared to other systems (Figure 2B). The detection of C. albicans in anaerobic media suggests an extended environmental adaptability, allowing for the potential growth of other Candida species in CMBCSs, which could ultimately enhance pathogen identification in clinical laboratories. However, the delayed detection time, when compared to contemporary devices, underscores a limitation that warrants further attention. An increase in the detection efficiency of fungal pathogens, particularly in anaerobic settings, could play a critical role in improving patient outcomes by enabling earlier intervention.
A study by Menchinelli et al. demonstrated that B. fragilis could be effectively cultured in CMBCS bottles containing donated human blood, with typical growth detected after 30 h [4]. In this study, we used SSSs prepared with 0.9% saline rather than blood to conduct a comparative experiment among CMBCS instruments. Both the BACTEC™ FX (BD) and BacT/Alert® 3D (bioMérieux) systems generated time-to-positivity values within approximately 2000 min. In contrast, HubCentra84 (HUFIT Inc.) required around 5000 min to produce time to positivity (Figure 3). To explain the significant difference observed, we focused on the sodium thioglycolate present in the anaerobic media of HubCentra84 (HUFIT Inc.) (Table 1). Thiol and Brewer’s thioglycolate media have long been recognized as effective for cultivating B. fragilis [43]. However, Tamimi et al. previously reported that extremely low or high concentrations of sodium thioglycolate inhibited the growth of B. fragilis [44]. The fact that B. fragilis grew well only within a specific concentration range posed a significant challenge when using it as an additive in culture bottles. This was because the volume of blood collected varied greatly depending on the operator’s proficiency and the patient’s condition. Despite the confirmed rapid time to positivity for major clinical pathogens, the extended detection time for B. fragilis with HubCentra84 (HUFIT Inc.) presents a significant challenge.
Conducting blood culture tests in a clinical microbiology laboratory carried significant implications. It required various essential equipment, including instruments to culture, devices to identify, and systems to perform antimicrobial susceptibility testing on pathogens [45]. Leo et al. stated that with the commercialization of machine learning and next-generation sequencing, full automation in clinical microbiology laboratories has become possible; however, they emphasized once again the necessity of having fundamental equipment in place [45]. As shown in Table 1, HubCentra 84 (HUFIT Inc.) had half the instrument height of comparable devices, highlighting its compact, space-saving design. Furthermore, as observed in Figure S2, the modular configuration of the instrument allowed for efficient stacking and usage. Additionally, HubCentra 84 (HUFIT Inc.) was significantly lighter than other instruments, reducing the risk of damage during transport and installation. For newly established clinical microbiology laboratories initiating blood culture testing, the novel instrument represented an attractive option.
This study has some limitations. First, since CMBCSs were developed specifically for blood culture, their performance was optimal when the specimen was blood. The use of 0.9% saline instead of blood to prepare SSSs was a significant limitation. Kim et al. reported that B. fragilis was particularly well identified in blood specimens [46]. However, in actual clinical settings, the identification of pathogens in body fluids was also commonly performed using CMBCSs [27,28,29,30]. In this study, a more challenging scenario was simulated to comparatively analyze the systems’ performance. Nonetheless, future studies would need to incorporate artificial septic blood samples using actual blood specimens and evaluate the systems’ limit of detection for a more comprehensive assessment. Second, a variety of bacteria were not compared. In the modern era, with an aging population and a large number of therapeutically or pathogenically immunosuppressed patients, clinical laboratories have encountered a completely different spectrum of pathogens. Although six representative microorganisms were included, evaluating the utility of CMBCSs in contemporary clinical laboratories would have required testing a greater number of pathogens. Third, uniform CFU concentrations across the various samples were not tested. Although efforts were made to compare consistent CFU levels among CMBCSs, identical CFU counts across bacterial strains were not achieved. This limits the accuracy of the performance comparison for each strain. The detection limit of the system was determined by calibrating the dilution factor using a wide range of CFU concentrations. Fourth, actual blood samples from patients with sepsis were not used. Clinical blood specimens offer an ideal means to compare CMBCS performance. However, collecting an additional 20 mL of blood from patients with septic shock for experimental purposes raises ethical concerns. By further improving the performance of the CMBCS and confronting real-world assessments in clinical fields, a rigorous performance evaluation by end users could be achieved.
5. Conclusions
Our study compared the performance of existing CMBCSs with that of a newly developed automated blood culture system. Efforts were made to ensure the coherence, consistency, and plausibility of the comparative results. The findings revealed that the new CMBCS demonstrated earlier growth detection for clinically common bacteria, such as S. aureus, S. pneumoniae, E. coli, and P. aeruginosa, compared with other systems. However, further performance improvements are deemed necessary for C. albicans, a pathogen of recent concern, and B. fragilis, which is frequently encountered in clinical laboratories. The emergence of novel systems, the advancement of stagnant performances, and the recognition of limitations are all expected to contribute significantly to improvements in clinical microbiology.
Supplementary Materials
The following supporting information can be downloaded at: https://www.mdpi.com/article/10.3390/diagnostics15040468/s1, Table S1: Test schedules; Table S2: Preparation of microorganism; Figure S1: Brochure for HubCentra84 for foreign customers; Figure S2: Exterior of HubCentra84; Figure S3: Verification of colony-forming units of Candida albicans; Figure S4: Verification of colony-forming units of Staphylococcus aureus; Figure S5: Verification of the colony-forming unit of Streptococcus pneumoniae; Figure S6: Verification of the colony-forming units of Escherichia coli; Figure S7: Verification of Colony-forming units of Pseudomonas aeruginosa; Figure S8: Verification of colony-forming units of Bacteroides fragilis.
Author Contributions
Conceptualization, Y.U. and K.A.; methodology, K.A.; software, S.H.; validation, Y.U.; formal analysis, K.A.; investigation, K.A.; resources, D.M.S.; data curation, K.A.; writing—original draft preparation, K.A.; writing—review and editing, Y.U. and K.A.; visualization, K.A. and T.L.; supervision, K.A.; project administration, Y.U. All authors have read and agreed to the published version of the manuscript.
Funding
This research received no external funding.
Institutional Review Board Statement
This study adhered to the principles of the Declaration of Helsinki and was approved by the Institutional Review Board of Yonsei University Wonju Severance Christian Hospital (approval no. CR324334; on 10 September 2024; Wonju-si, Republic of Korea).
Informed Consent Statement
The Institutional Review Board (IRB) granted an exemption from informed consent, and the research was conducted accordingly.
Data Availability Statement
The data analyzed in this research are available upon request from the corresponding author.
Conflicts of Interest
The authors declare no conflicts of interest.
References
- Han, X.; Spicer, A.; Carey, K.A.; Gilbert, E.R.; Laiteerapong, N.; Shah, N.S.; Winslow, C.; Afshar, M.; Kashiouris, M.G.; Churpek, M.M. Identifying high-risk subphenotypes and associated harms from delayed antibiotic orders and delivery. Crit. Care Med. 2021, 49, 1697–1705. [Google Scholar] [CrossRef] [PubMed]
- Seymour, C.W.; Gesten, F.; Prescott, H.C.; Friedrich, M.; Iwashyna, T.J.; Phillips, G.S.; Lemeshow, S.; Osborn, T.; Terry, K.M.; Levy, M.M. Time to treatment and mortality during mandated emergency care for sepsis. N. Engl. J. Med. 2017, 376, 2235–2244. [Google Scholar] [CrossRef] [PubMed]
- Ryan, M.R.; Murray, P.R. Historical evolution of automated blood culture systems. Clin. Microbiol. Newsl. 1993, 15, 105–108. [Google Scholar] [CrossRef]
- Menchinelli, G.; Liotti, F.M.; Fiori, B.; Angelis, G.D.; D’Inzeo, T.; Giordano, L.; Posteraro, B.; Sabbatucci, M.; Sanguinetti, M.; Spanu, T. In vitro evaluation of BACT/ALERT® VIRTUO®, BACT/ALERT 3D®, and BACTEC™ FX automated blood culture systems for detection of microbial pathogens using simulated human blood samples. Front. Microbiol. 2019, 10, 221. [Google Scholar] [CrossRef]
- Li, G.; Sun, J.; Pan, S.; Li, W.; Zhang, S.; Wang, Y.; Sun, X.; Xu, H.; Ming, L. Comparison of the performance of three blood culture systems in a Chinese tertiary-care hospital. Front. Cell. Infect. Microbiol. 2019, 9, 285. [Google Scholar] [CrossRef]
- Thorpe, T.C.; Wilson, M.L.; Turner, J.E.; DiGuiseppi, J.L.; Willert, M.; Mirrett, S.; Reller, L.B. Bact/Alert: An automated coloimetric microbial detection system. J. Clin. Microbiol. 1990, 28, 1608–1612. [Google Scholar] [CrossRef]
- Nolte, F.S.; Williams, J.M.; Jerris, R.C.; Morello, J.A.; Leitch, C.D.; Matushek, S.; Schwabe, L.D.; Dorigan, F.; Kocka, F.E. Multicenter clinical evaluation of a continuous monitoring blood culture system using fluorescent-sensor technology (BACTEC 9240). J. Clin. Microbiol. 1993, 31, 552–557. [Google Scholar] [CrossRef]
- Mirrett, S.; Hanson, K.E.; Reller, L.B. Controlled clinical comparison of VersaTREK and BacT/ALERT blood culture systems. J. Clin. Microbiol. 2006, 45, 229–302. [Google Scholar] [CrossRef]
- Hardy, L.; Vermoesen, T.; Genbrugge, E.; Natale, A.; Franquesa, C.; Gleeson, B.; Ferreyra, C.; Dailey, P.; Jacobs, J. Affordable blood culture systems from China: In vitro evaluation for use in resource-limited settings. EBioMedicine 2024, 101, 105004. [Google Scholar] [CrossRef]
- Ombelet, S.; Natale, A.; Ronat, J.B.; Vandenberg, O.; Jacobs, J.; Hardy, L. Considerations in evaluating equipment-free blood culture bottles: A short protocol for use in low-resource settings. PLoS ONE 2021, 17, e0267491. [Google Scholar] [CrossRef]
- Ombelet, S.; Barbé, B.; Affolabi, D.; Ronat, J.B.; Lompo, P.; Lunguya, O.; Jacobs, J.; Hardy, L. Best practices of blood cultures in low- and middle-income countries. Front. Med. 2019, 6, 131. [Google Scholar] [CrossRef] [PubMed]
- Uh, Y.; Jang, I.H.; Park, S.D.; Kim, K.S.; Seo, D.M.; Yoon, K.J.; Choi, H.K.; Kim, Y.K.; Kim, H.Y. Factors influencing the false positive signals of continuous monitoring blood culture system. Ann. Clin. Microbiol. 2014, 17, 58–64. (In Korean) [Google Scholar] [CrossRef]
- Ahn, K.; Ahn, J.H.; Kim, J.; Lee, J.H.; Hwang, G.Y.; Yoo, G.; Yoon, K.J.; Uh, Y. A new bacterial growth graph pattern analysis to improve positive predictive value of continuous monitoring blood culture system. J. Med. Syst. 2018, 42, 189. [Google Scholar] [CrossRef]
- Global Antimicrobial Resistance and Use Surveillance System (GLASS). Global Antimicrobial Resistance and Use Surveillance System (GLASS) Report 2022; World Health Organization: Geneva, Switzerland, 2022; p. 10. Available online: https://www.who.int/publications/i/item/9789240062702 (accessed on 3 January 2025).
- Kim, H.; Park, J.S.; Kim, D.; Kim, H.J.; Shin, J.H.; Kim, Y.A.; Uh, Y.; Kim, S.H.; Shin, J.H.; Jeong, S.H.; et al. Standardization of an antimicrobial resistance surveillance network through data management. Front. Cell. Infect. Microbiol. 2024, 14, 1411145. [Google Scholar] [CrossRef]
- Kim, D.; Yoon, E.J.; Hong, J.S.; Choi, M.H.; Kim, H.S.; Kim, Y.R.; Kim, Y.A.; Uh, Y.; Shin, K.S.; Shin, J.H.; et al. Major bloodstream infection-causing bacterial pathogens and their antimicrobial resistance in South Korea, 2017–2019: Phase I report from Kor-GLASS. Front. Microbiol. 2022, 12, 799084. [Google Scholar] [CrossRef]
- Lee, H.; Yoon, E.J.; Kim, D.; Jeong, S.H.; Won, E.J.; Shin, J.H.; Kim, S.H.; Shin, J.H.; Shin, K.S.; Kim, Y.A.; et al. Antimicrobial resistance of major clinical pathogens in South Korea, May 2016 to April 2017: First one-year report from Kor-GLASS. Euro Surveill. 2018, 23, 1800047. [Google Scholar] [CrossRef]
- Martin, T.; Aziz, H. Bacteroides fragilis: A case study of bacteremia and septic arthritis. Clin. Lab. Sci. 2009, 22, 131–135. [Google Scholar] [PubMed]
- Roh, K.H.; Kim, S.; Kim, C.K.; Yum, J.H.; Kim, M.S.; Yong, D.; Lee, K.; Kim, J.M.; Chong, Y. Resistance trends of Bacteroides fragilis group over an 8-year period, 1997–2004, in Korea. Korean J. Lab. Med. 2009, 29, 293–298. [Google Scholar] [CrossRef]
- Park, Y.; Lee, Y.; Kim, M.; Choi, J.Y.; Young, D.; Jeong, S.H. Recent trends of anaerobic bacteria isolated from clinical specimens and clinical characteristics of anaerobic bacteremia. Infect. Chemother. 2009, 41, 216–223. [Google Scholar] [CrossRef]
- Global Antimicrobial Resistance Surveillance System (GLASS). Early Implementation Protocol for the Inclusion of Candida spp.; World Health Organization: Geneva, Switzerland, 2019; p. 5. Available online: https://www.who.int/publications/i/item/WHO-WSI-AMR-2019.4 (accessed on 3 January 2025).
- Won, E.J.; Choi, M.J.; Jeong, S.H.; Kim, D.; Shin, K.S.; Shin, J.H.; Kim, Y.R.; Kim, H.S.; Kim, Y.A.; Uh, Y.; et al. Nationwide surveillance of antifungal resistance of Candida bloodstream isolates in South Korean Hospitals: Two year report from Kor-GLASS. J. Fungi 2022, 8, 996. [Google Scholar] [CrossRef]
- McFarland, J. The nephelometer: An instrument for estimating the number of bacteria in suspensions used for calculating the opsonic index and for vaccines. JAMA 1907, 14, 1176–1178. [Google Scholar] [CrossRef]
- Zapata, A.; Ramirez-Arcos, S. A comparative study of McFarland turbidity standars and the densimat photometer to determine bacterial cell density. Curr. Microbiol. 2015, 70, 907–909. [Google Scholar] [CrossRef]
- Reier-Nilsen, T.; Farstad, T.; Nakstad, B.; Lauvrak, V.; Steinbakk, M. Comparison of broad range 16S rDNA PCR and conventional blood culture for diagnosis of sepsis in the newborn: A case control study. BMC Pediatr. 2009, 9, 5. [Google Scholar] [CrossRef] [PubMed]
- Yagupsky, P.; Nolte, F.S. Quantitative aspects of septicemia. Clin. Microbiol. Rev. 1990, 3, 269–279. [Google Scholar] [CrossRef] [PubMed]
- Çetin, E.S.; Kaya, S.; Demirici, M.; Aridogan, B.C. Comparison of the BACTEC blood culture system versus conventional methods for culture of normally sterile body fluids. Adv. Ther. 2007, 24, 1271–1277. [Google Scholar] [CrossRef] [PubMed]
- Bourbeau, P.; Riley, J.; Heiter, B.J.; Master, R.; Young, C.; Pierson, C. Use of BacT/Alert blood culture system for culture of sterile body fluids other than blood. J. Clin. Microbiol. 1998, 36, 3273–3277. [Google Scholar] [CrossRef]
- Udayan, U.; Dias, M. Evaluation of BACTEC™ blood culture system for culture of normally sterile body fluids. Indian J. Crit. Care Med. 2014, 18, 829–830. [Google Scholar] [CrossRef]
- Park, S.D.; Uh, Y.; Jang, I.H.; Hong, M.; Lee, H.G.; Lee, K.S.; Lee, D.H. Evaluation of blood culture system for culture of body fluids. J. Lab. Med. Qual. Assur. 2015, 37, 23–28. [Google Scholar] [CrossRef][Green Version]
- K121455–510(k) Premarket Notification–DA. Available online: https://www.accessdata.fda.gov/cdrh_docs/pdf12/K121455.pdf (accessed on 3 January 2025).
- Li, H.; Sun, S.; Yap, J.Q.; Chen, J.; Qian, Q. 0.9% saline is neither normal nor physiological. J. Zhejiang Univ. Sci. B. 2016, 17, 181–187. [Google Scholar] [CrossRef]
- Chen, G.Y.; Chai, T.Q.; Wang, J.L.; Yang, F.Q. Recent advances in the colorimetric and fluorescence analysis of bioactive small-molecule compounds based on the enzyme-like activity of nanomaterials. J. Pham. Biomed. Anal. 2023, 236, 115695. [Google Scholar] [CrossRef]
- Celik, C.; Kalin, G.; Cetinkaya, Z.; Ildiz, N.; Ocsoy, I. Recent advances in colorimetric tests for the detection of infectious diseases and antimicrobial resistance. Diagnostics 2023, 13, 2427. [Google Scholar] [CrossRef] [PubMed]
- Tomazin, R.; Pliberšek, T.; Valenčak, A.O.; Matos, T. Different BD BACTEC™ blood culture bottle types for the detection of fungi in simulated sterile body fluid samples. Diagnostics 2023, 13, 1699. [Google Scholar] [CrossRef] [PubMed]
- Ochiai, T. Salt-sensitive growth of Staphylococcus aureus: Stimulation of salt-induced autolysis by multiple environmental factors. Microbiol. Immunol. 1999, 43, 705–709. [Google Scholar] [CrossRef]
- Northrop, F.D.; Ljubojevic, S.; Davies, J.M. Influence of Na+ and anions on the dimorphic transition of Candida albicans. Microbiology 1997, 143, 3757–3765. [Google Scholar] [CrossRef][Green Version]
- Aldini, G.; Altomare, A.; Baron, G.; Vistoli, G.; Carini, M.; Baosani, L.; Sergio, F. N-Acetylcycteine as an antioxidant and disulphide breaking agent: The reasons why. Free Radic. Res. 2018, 52, 751–762. [Google Scholar] [CrossRef]
- Phuengmaung, P.; Somparn, P.; Panpetch, W.; Singkham-In, U.; Wannigama, D.L.; Chatsuwan, T.; Leelahavanichkul, A. Coexistence of Pseudomonas aeruginosa with Candida albicans enhances biofilm thickness through alginate-related extracellular matrix but is attenuated by N-acetyl-L-cycteine. Front. Cell. Infect. Microbiol. 2020, 10, 594336. [Google Scholar] [CrossRef]
- Wain, W.H.; Price, M.F.; Cawson, R.A. A re-evaluation of the effect of cysteine or Candida albicans. Sabouraoudia 1975, 13, 74–82. [Google Scholar] [CrossRef]
- Nunes, T.S.B.S.; Rosa, L.M.; Vega-Chacón, Y.; de Oliveira Mima, E.G. Fungistatic action of N-acetylcysteine on Candida albicans biofilms and its interaction with antifungal agents. Microorganisms 2020, 8, 980. [Google Scholar] [CrossRef]
- Choe, K.W.; Lim, Y.K.; Lee, M.K. Comparison of new and old BacT/ALERT aerobic bottles for detection of Candida species. PLoS ONE 2023, 18, e0288674. [Google Scholar] [CrossRef]
- Shanson, D.C.; Singh, J. Effect of adding cysteine to brain-heart infusion broth on the isolation of Bacteriodes fragilis from experimental blood cultures. J. Clin. Pathol. 1981, 34, 221–223. [Google Scholar] [CrossRef]
- Tamimi, H.A.; Hiltbrand, W.; Loercher, H. Some growth requirements of Bacteroides fragilis. J. Bacteriol. 1960, 80, 472–476. [Google Scholar] [CrossRef] [PubMed]
- Leo, S.; Cherkaoui, A.; Renzi, G.; Schrenzel, J. Mini review: Clinical routine microbiology in the era of automation and digital health. Front. Cell. Infect. Microbiol. 2020, 10, 582028. [Google Scholar] [CrossRef]
- Jieun, K.; Lee, Y.; Park, Y.; Kim, M.; Choi, J.Y.; Yong, D.; Jeong, S.H.; Lee, K. Anaerobic bacteremia: Impact of inappropriate therapy on mortality. Infect. Chemother. 2016, 48, 91–98. [Google Scholar] [CrossRef]
Disclaimer/Publisher’s Note: The statements, opinions and data contained in all publications are solely those of the individual author(s) and contributor(s) and not of MDPI and/or the editor(s). MDPI and/or the editor(s) disclaim responsibility for any injury to people or property resulting from any ideas, methods, instructions or products referred to in the content. |
© 2025 by the authors. Licensee MDPI, Basel, Switzerland. This article is an open access article distributed under the terms and conditions of the Creative Commons Attribution (CC BY) license (https://creativecommons.org/licenses/by/4.0/).


