Simple Summary
Determining the ecological niche breadth of various organisms is a key objective in contemporary biological research. Studies of this type play a significant role in describing biotic interactions, which is becoming particularly important in the context of observed climate change. A method has been developed that enables the monitoring of the impact of climatic changes at the local level, in specific tree stands. The statistical foundations of the method enable the computation of errors of estimation. The method offers a high precision and explains approximately 80% of the variation in the niche breadth of bark beetles on natural traps, while the mean relative errors of estimation do not exceed 20%. The niche breadth parameter obtained from the derived regression equations may be used in models that describe—for example—the impact of observed climate change on the population dynamics of bark beetles. The results suggest a need for further research to derive regression equations for firs growing in different regions of Europe.
Abstract
Bark beetles are a significant link in the chain of diseases that lead to the accelerated dying of firs (Abies alba Mill.), a key species in the cultivation of stable mixed-tree stands. The aim of this work was to evaluate biotic interactions in populations of bark beetles that colonised natural traps made from firs. The tested hypothesis was that the niche breadth of the species increases with the increasing density of the population. The research was carried out in near-natural forests containing fir, growing in the Suchedniów-Oblęgorek Landscape Park in central Poland. Data were collected from 30 traps trees and 30 windfalls in the years 2010–2023. Cryphalus piceae Ratz. prefers heavily weakened trees, as shown by the fact that it colonised all of the natural traps, which lack any defensive reactions. The sampling method used in the study proved effective, as confirmed by the segregation of the niches of all of the bark beetles. Using nonlinear regression (linearisable model and piecewise linear regression), models were constructed that describe the niche breadths of the bark beetles. The niche parameter is correlated with the density of colonisation. The derived models explain around 77–84% of the variation in the niche breadth of bark beetles on natural traps. The mean relative errors of estimation do not exceed 20%. The niche breadth parameter obtained from the derived regression equations may be used in models that describe—for example—the impact of observed climate change on the population dynamics of bark beetles.
1. Introduction
The niche is an important concept in ecology, evolution, and conservation biology. A review of the literature [1,2] found that it is still largely unknown how the ecological niche breadth evolves, particularly how and how quickly the niche breadth expands. Field studies of how the niche breadth evolves are essential for providing mechanistic details and allowing the development of a comprehensive theory and improved prediction of biological responses under global change [1]. The niche breadth parameter can be evaluated on a global scale [3] or locally, in a specific tree stand [4]. A possible reason for the relatively small number of studies on bark beetles [5,6,7,8,9,10,11] is the large amount of work that they demand, and the associated economic costs. Such research requires the precise removal of bark from whole trees, combined with the simultaneous marking of egg galleries. This work is highly invasive, which severely restricts the possibilities of evaluating the niche breadth in protected areas.
Silver fir (Abies alba Mill.) is a key species in the cultivation of stable mixed-tree stands [12], and is an economically important coniferous tree [13]. For approximately 200 years, the gradual disappearance of fir from stands has been observed in Europe. The problem of fir regression is a complex one [14,15,16], but one of the main causes is reported to be the lack of adaptability of populations due to the low genetic variation [17,18,19]. There is also a wide discussion on the effect of observed climate change on the adaptive potential of fir [20]. Irrespective of differences in the assessment of the ecological plasticity of this species [12,21,22,23,24], the health of firs is impaired mainly under conditions of persistent water stress [25,26].
Among other organisms, weakened fir trees are attacked by bark beetles, chiefly Cryphalus piceae Ratz. and the species of the genus Pityokteines Fuchs [15]. These insects are a significant link in the chain of diseases that accelerate the dying of firs throughout their range [27,28,29,30,31]. In the case of favourable conditions of reproduction and a high population density, they may also attack healthy trees [32]. Hypotheses regarding the dieback of fir in the last century in Poland were described by Ukleja-Dobrowolska [33]. It is particularly visible in the Świętokrzyskie (Holy Cross) Mountains [34], where firs occur close to the northern limit of their natural range [35]. In more open stands, there are large numbers of windfalls, which provide breeding material for bark beetles [36].
Changes in climate parameters have both direct and indirect effects on insects [37,38,39,40]. Generally, in case of a significantly faster rate of reproduction, bark beetles adapt to new conditions more rapidly than the host trees. In addition to abiotic conditions, the population dynamics of forest insects are strongly affected by biotic interactions, including intraspecific and interspecific competition [41]. However, the combined impact of these factors, as well as their interactions, are still not well-understood [42,43,44]. In models that take into account biotic variables (competition, natural enemies, or phenotype), the proportion of unexplained variation may drop from 60% to below 30% [45,46,47,48]. Studies of eruption insects suggest that the main regulatory factors acting on non-outbreak and outbreak populations may differ significantly [49,50,51]. There is a clear lack of knowledge about the impact of a whole range of biotic variables on bark beetle population dynamics [39]. Additionally, for all eruptive insect model systems, it remains important to investigate how climate change alters insect biotic interactions and potentially the dynamics of the entire system [39,52].
It can be expected that intra- and interspecific competition would, respectively, expand and constrain the population niche breadth [53]. However, a review of the literature [54,55] indicates that this relationship is not as clear as had been assumed, and that further work is needed to extend what has been a simplistic but useful conceptual construct.
The goal of the present study was to describe the biotic interactions relating to bark beetles occurring on fir. The tested hypothesis was that the niche breadth increases with increasing population density.
The niche breadth parameter calculated from the derived regression equations may be used in models that describe, for example, the impact of climate factors on the population dynamics of bark beetles.
In addition, the effect of the type of the breeding material on the colonisation of A. alba by bark beetles was evaluated.
2. Materials and Methods
2.1. Study Area
The research was carried out within the Suchedniów-Oblęgorek Landscape Park (S-OLP) at 50°55′ N 20°45′ E, 200–400 m above sea level. The main resource of this Park is forests growing on fertile land, which occupy 91% of its area. The great majority of these are remnants of the former Holy Cross Primeval Forest (Puszcza Świętokrzyska). The Park’s forests contain all main tree species, with the largest contributions to the tree population coming from pine (Pinus sylvestris L., 50.2%), fir (Abies alba Mill., 26.6%), and beech (Fagus sylvatica L., 10%). Fir and beech occur here at the northern boundary of their range. The climatic conditions within the Park are characteristic of a mountain climate [56].
For the purposes of the study, stands containing fir were selected, distributed uniformly throughout the area of the Park. The maximum distance between stands containing fir trees was 1 km [57]. Data were collected in the years 2010–2023. Field inspections of the stands were carried out at the end of March each year, the aim of which was to select four fir windfalls with undamaged stems that had fallen in March (a total of 60 windfalls). Two of these were cut off from their roots, and branches were removed from their stems (a total 30 trees). The stems were then placed on supports made from a different species of tree, with a thickness of 20 cm (Figure 1A).
Figure 1.
(A) Abies alba windfall (B) used as a trap tree; letters U and L indicate the upper and lower section of the trap tree, respectively. Numbers 0–5, ..., 95–100 indicate the percentage units of the stem, respectively.
The trees prepared in this way will henceforth be referred to as “trap trees”. Such trees are used in the monitoring of bark beetles [58]. The remaining two windfalls were left without intervention until the time of the counting of bark beetle egg galleries in July. Before the entomological analysis, the roots and branches of the windfalls were cut from the stems (Figure 1B). The following operations were performed on each stem:
- Measurement of stem length and the diameters at the thicker and thinner ends. The average diameters at the thicker end for the trap trees (35.8 ± 6.9 SD) and the windfalls (33.7 ± 7.3 SD) were similar (t-test: t = 1.1109; df = 58; P = 0.2712). The average length of the trap trees (22.1 ± 1.96 SD) was greater than that of the windfalls (20.6 ± 2.5 SD) (t-test: t = 2.6780; df = 58; P = 0.0096);
- Division of the stems into units each covering 5% of the stem length (20 equal units). For each unit, the diameters at the thicker and thinner ends were measured;
- Division of the stems lengthwise into upper and lower sections.
In total, each stem was divided into 40 sections (20 units, two sections on each). Bark beetle egg galleries were counted separately on the bark of each section. To avoid damage to the bark during its removal from the stem, on each unit cuts were made on the circumference, the sides, and the upper and lower parts of the stem. Therefore, for each stem unit, four pieces of bark were collected. The infestation of individual stem sections was determined by counting (1) the number of nuptial chamber C. piceae, and (2) the number of egg galleries P. curvidens and P. spinidens.
- The nuptial chamber of C. piceae is approximately 0.5 cm long. Females deposit eggs in clusters. A female lays from 20 to 40 eggs. After hatching, larvae excavate 2–4 cm-long maternal galleries in all directions from the nuptial chamber [59].
- Egg gallery of P. curvidens: Males excavate nuptial chambers, from which females excavate two maternal galleries upward and downward. Later, these maternal galleries are divided into two arms to the right and to the left. Maternal galleries are about 5–10 cm long and 1 mm wide. They are mostly in the bark, but also visible on the wood [59].
- Egg gallery of P. spinidens is “star”-shaped. Maternal galleries (usually 3–8) are about 1 mm wide and 10 cm long. They start from the nuptial chamber and bend in a distance not shorter than 10 mm (egg gallery). Pupal chambers are in the sapwood or between the sapwood and bark [59].
The total density of bark beetle colonisation on each stem was calculated based on the number of egg galleries in all sections and the lateral surface area. The lateral surface area was calculated using the formulae given by Borkowski [11]. To equalise the real distributions of egg galleries on the stems, the method of distance-weighted least squares was applied [60].
2.2. Measures Used to Describe the Niche Breadth Parameters of Bark Beetles
2.2.1. Levin’s Measure of Niche Breadth [61]
The niche breadth B was standardised to a scale from 0 to 1 [62]:
The niche breadth index takes the value 1 if the use of the resources by a species is uniform along the entire length of the stems. The differences in the niche breadths of bark beetles on natural traps were compared using the Kruskal–Wallis test [63].
2.2.2. Index of Niche Overlap (Morisita’s Index) [64]
Differences between the niche overlaps of bark beetles were tested using the t-test for independent samples [63].
2.2.3. Proportional Similarity Index (PSi) [65]
A value of PSi < 0.7 indicates segregation of the niches of bark beetle species [66]. To evaluate the difference between theoretical and empirical values of PSi, the one-sample t-test was used [63].
2.3. Models for Bark Beetle Niches
The explanatory variables for the construction of the model represented parameters of colonisation (number of egg galleries/m2) and features of the stems (stem diameter in bark at the thicker end; diameter at breast height). Analysis of scatterplots for pairs of variables showed the dependence of niche breadth is dependent on the density of colonisation of stems by the beetles. These relationships are of curvilinear type. The nonlinear model for C. piceae was brought to a linear form by means of a logarithmic transformation (Equation (1)):
Piecewise linear regression (PLR) was used to describe the niche breadths of Pityokteines curvidens Germ. (Equation (2)) and Pityokteines spinidens Reitt. (Equation (3)):
where are the niche breadths of C. piceae, P. curvidens, and P. spinidens; a0 and a1 are parameters of the model; ln is natural logarithm; DCp, DPc, and DPs are the total densities of colonisation of stems by C. piceae, P. curvidens, and P. spinidens; and α is the breakpoint.
To find the minimum of the loss function, the method of quasi-Newton estimation was used [67]. The fit of the models was determined on the basis of the adjusted coefficient of determination () and the root mean square error (RMSE) [68,69]. The distribution of homoscedasticity of regression residuals and their conformance to normal distribution were analysed using White’s test [70] and the Shapiro–Wilk test [63].
3. Results
3.1. Colonisation of Firs by Bark Beetles
A total of 374,770 egg galleries of all of the major species of bark beetle was counted on the fir stems. C. piceae was the dominant species (n = 353,521 egg galleries, 94.20% of the total) and had colonised all of the fir stems. This species co-occurred mainly with bark beetles of the genus Pityokteines Fuchs. The frequencies of occurrence of P. curvidens on the trap trees and windfalls were, respectively, 57% and 90% (n = 12,121 egg galleries, 3.23% of the total), and those of P. spinidens were 37% and 80% (n = 9128 egg galleries, 2.43% of the total). Other species—Trypodendron lineatum L. and Pissodes piceae III.—were found with a very low frequency (20.0 and 16.7% of firs, respectively), together accounting for fewer than 0.2% of all egg galleries identified in the stems.
The differences in the levels of colonisation of trap trees and windfalls by the beetles were not significant (Kruskal–Wallis ANOVA: Hdf = 5 (n = 180) = 121.8434; P < 0.001; Figure 2).
Figure 2.
Bark beetle attack density; a, b: median marked with different letters indicate statistically significant differences among the bark beetle species (Kruskal–Wallis ANOVA; P < 0.001).
C. piceae and P. spinidens colonised stems along their entire length, but mainly on the thinner part (Figure 3A,B,E,F). P. curvidens colonised mainly the middle part of stems, excluding the tops (Figure 3C,D).
Figure 3.
Colonisation patterns by: Cryphalus piceae (A) trap trees and (B) windfalls, Pityokteines curvidens (C) trap trees and (D) windfalls, and Pityokteines spinidens (E) trap trees and (F) windfalls; solid line—smoothed infestation density (distance-weighted least squares).
The curve of the distribution of bark beetle egg galleries on the stems indicates a fall in density with increasing distance from the section with maximum colonisation. The distribution curve of P. spinidens egg galleries on windfalls exhibits two local extrema (Figure 3F). C. piceae prefers the lower part of stems (proportion p = 0.62; one-sample t-test: P < 0.05). Pityokteines species prefer the upper part of stems of trap trees (p = 0.70–0.72; one-sample t-test: P < 0.05), but do not display a similar preference on windfalls (one-sample t-test: P > 0.05).
3.2. Biotic Interactions
The niche breadth of C. piceae (Levins’ measure: 0.56–0.57) was 2–3 times greater than that of Pityokteines species (Levins’ measure: 0.17–0.25) (ANOVA: F5,133 = 20.8816; P < 0.001; post hoc Tukey LSD test). The differences in bark beetle niche breadths on trap trees and windfalls were not significant.
Irrespective of the type of breeding material, the two species of Pityokteines co-occurred on stems more frequently (Kruskal–Wallis ANOVA: Hdf=5 (n = 113) = 40.1342; P < 0.001). The degree of coexistence (Morisita’s index: 0.67) was approximately 3–5 times greater than in the case of resources shared with C. piceae (Morisita’s index: 0.13–0.25). The differences in the niche overlap of bark beetles on trap trees and windfalls were not significant (t-test: P > 0.05). The niches of the beetles were segregated. The values of the proportional similarity index (PSi) calculated for pairs of species (0.12–0.46) were below 0.7 (one-sample t-test: P < 0.05).
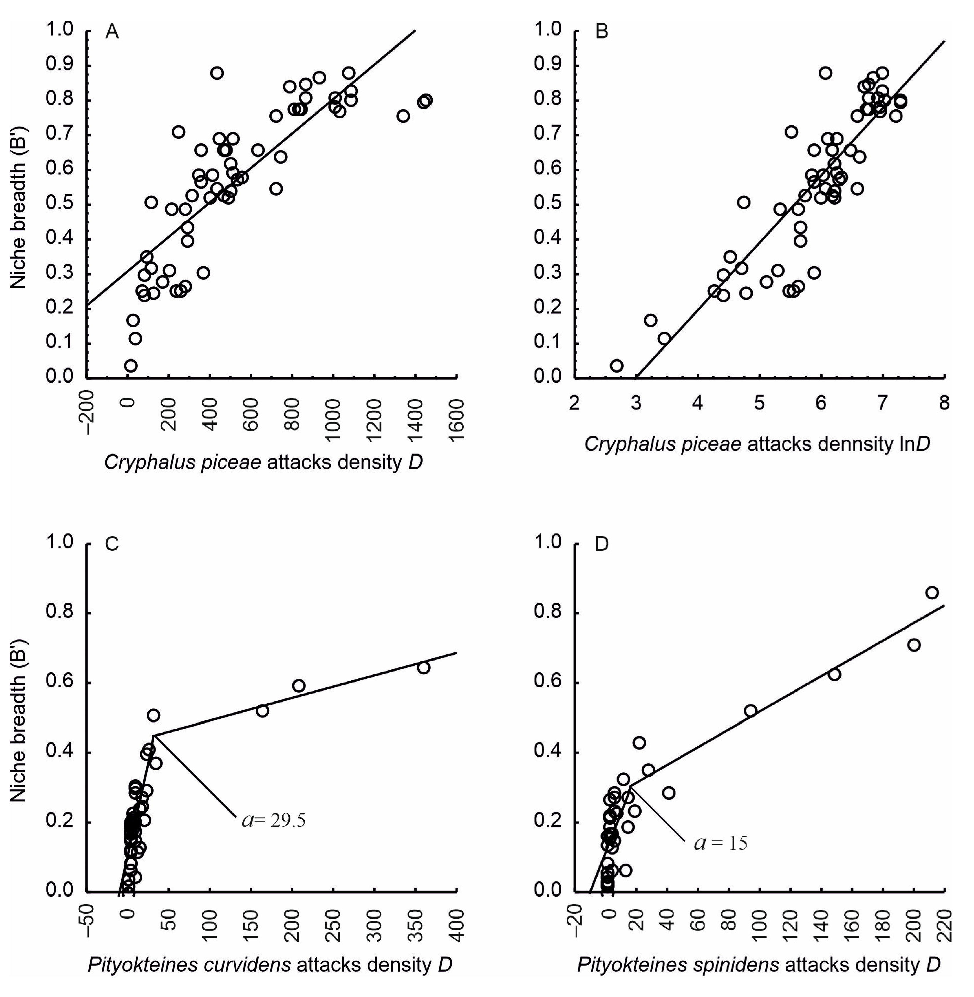
The results of the regression analysis indicate that there exist statistically significant dependences between the niche breadth (B’) and the density of colonisation of stems by bark beetles (D). This relationship is nonlinear (Figure 4). By means of a logarithmic transformation of the density of C. piceae colonisation (lnD), it was possible to bring the nonlinear regression model (Figure 4A; Equation (4)) to a linear form (Figure 4B; Equation (5)):
Figure 4.
Relationship between bark beetle attack density (number of egg galleries/m2) and niche breadth; (A,B)—Cryphalus piceae, (C)—Pityokteines curvidens and (D)—Pityokteines spinidens; a—breakpoint.
The values of model coefficients and their statistical evaluation for particular variables are shown in Table 1. Following transformation, all points lay along a straight line (Figure 4B), which improved the fit of the model (= 0.7669). All parameters of the model are significant (P < 0.001). The mean relative error of estimation is 18.7%. The positive value of the directional coefficient indicates that the niche breadth increases with the increasing density of the colonisation of stems by C. piceae.
Table 1.
Parameters and basic statistics of Equations (4)–(7).
For both species of Pityokteines, the dependence between the niche breadth and population density exhibits an abrupt change (Figure 4C,D). The niche breadth initially rises rapidly, but, above a certain point, the growth becomes slower. Based on a scatterplot analysis using logical operators, two separate linear regression equations were derived for each of P. curvidens (Equation (6)) and P. spinidens (Equation (7)):
The calculated value of the breakpoint of the regression line is 29.5 for P. curvidens and 15.0 for P. spinidens. The values of the adjusted coefficient of determination () exceed 80% (Table 1), which means that the constructed regression models with the determined breakpoints fit well to the observed data. The directional coefficients differ from zero and take positive values. The total loss function takes similar values: 0.1838 for P. curvidens and 0.2055 for P. spinidens.
Following the calculation of the parameters of the models, the residual values were analysed. The residual variance in the constructed models is constant, and the residual distribution conforms to a normal distribution (Table 2). The residual properties indicate that the models are correctly constructed.
Table 2.
Distribution of regression residuals.
4. Discussion
4.1. Tree Infestation
The physiological condition of trees is a key factor determining the species composition of the bark beetle populations that colonise them [71,72]. The species C. piceae prefers heavily weakened trees, in contrast to the species of the genus Pityokteines [73]. For this reason, all of the natural traps, which lack defensive reactions, were colonised by C. piceae, and some of them exclusively by that bark beetle species. The fact that Pityokteines occurred almost twice as frequently on the windfalls may indicate differences in the suitability of natural traps as food sources. Due to the partially preserved contact between the tree roots and the ground, windfalls maintain moisture in the phloem tissue for a longer time. For example, pine and spruce windfalls may be colonised in the next growing season [74,75,76]. We should exclude the possibility that the reason for the low density of the colonisation of natural traps by Pityokteines species in the S-OLP area was a low species population. Studies carried out in adjacent stands that had been weakened to differing degrees [77] showed that insect migrations at swarming time could lead to the colonisation of heavily weakened firs, provided that the conditions were suitable for them. Among bark beetles, the dispersal and flight behaviour are relatively well-studied in the case of Ips typographus L. [78] recaptured marked specimens at distances of up to 1600 m, and Duelli et al. [79] found specimens at distances of up to 500 m. A study by Botterweg [80] showed that the beetles are capable of flying a distance of up to 750 m in forests over the course of one day and found single specimens at a distance of 8 km from the forest. Adult T. piniperda L. may disperse over a distance of several kilometres during their spring flights, even over water, in search of host materials [81,82,83].
A comparison of the density of colonisation of stems by C. piceae in the S-OLP area (more than 500 egg galleries/m2; Figure 2) and in heavily weakened stands in the Ojców National Park (550 egg galleries/m2) [77] confirms the continuing weakening of firs in the Holy Cross Mountains (Góry Świętokrzyskie) [84]. In stands where fir grows in optimum habitat conditions, the colonisation of stems is much lower, at approximately 98 egg galleries/m2 [85]. The above data indicate the significant role of C. piceae in accelerating the process of dying of fir stands in the Holy Cross Mountains. The similar level of colonisation of natural traps by C. piceae means that windfalls can be used to limit population numbers of this species. In the Holy Cross Mountains, this is a breeding material that occurs frequently and in large quantities [36].
4.2. Biotic Interactions
The sampling method adopted in this work is effective, as evidenced by the segregation of the niches of all bark beetles. This method is based on the assumption that an unspecified factor conditioning the colonisation of stems by bark beetles acts proportionally along the whole of the stem length and circumference. The factors used for the segregation of bark beetle niches have not always been fully effective. For example, bark thickness was not an effective factor for the segregation of bark beetle niches on spruce [6] or pine [7]. The sharing of a single ecological niche seems only to be an apparent phenomenon, and probably results from the insufficient precision of the adopted segregation factor. The infestation of stems may be irregular, as is confirmed by the local extrema in the colonisation of windfall stems by P. spinidens (Figure 3F) [36]. In such cases, or when there occur multiple species with similar ecological requirements, it is necessary to increase the precision of the segregation factor. For example, the length of the units into which the stem is divided may be reduced from 5% to 2.5% of the stem length (to obtain 40 equal parts instead of 20), and the number of sections in each unit may be increased from two to four (an upper and lower section and two side sections).
The study has confirmed the hypothesis that an increase in the population density leads to a larger niche breadth. Other potential factors have been excluded, such as the effect of the beetle’s body size [86] or the swarming date [7,87]. C. piceae, being the smallest beetle, could be expected to occupy the narrowest niche [86]; moreover, in the S-OLP area the bark beetle species swarm at similar times [88]. For the Pityokteines species, the relationship of the niche breadth with population density exhibits an abrupt change. At a low population density, the lack of competition means that the insects settle on stems over the entire range of their feeding optimum. However, above a certain threshold density (Figure 4C,D), competition increases, which causes some insects to colonise less preferred stem resources (Figure 3). Bark thickness may be a factor that limits the colonisation of the thickest part of a fir stem. It is a mechanical barrier that makes it more difficult for the beetles to burrow through to the phloem. A similar phenomenon has been observed in the case of Tomicus piniperda L., among others; for this species, pine bark with a thickness of over 30 mm presented a barrier to colonisation [89,90]. The dependence of the niche breadth on population density has been observed both for bark beetles [7,11] and for other groups of organisms [91,92,93].
The derived models explain around 77–84% of the variation in the niche breadth of bark beetles on natural traps. As the research indicates, increasing the precision of the method is possible, among other things, by including the bark thickness in the equation [6,7]. This parameter is a significant factor in the niche segregation of most species found on pine and spruce. Another factor in niche segregation could be stem moisture. The significant role of this parameter may be indicated by studies in which the precision of the segregation factor was increased from one (division of the stem into equal parts along the longitudinal axis) to two (division of the stem into equal parts along the longitudinal and transverse axes) dimensions [10]. In the first case, no niche segregation was found for Pityogenes bidentatus Herbst. and Hylurgops palliatus Gall. It could be related to the ecological specialisation regarding the moisture content of the breeding material of the two bark beetle species. In all the trap trees, egg galleries of H. palliatus were found to occur only in the lower sections, which is consistent with the ecological requirements of this species. H. palliatus is a hygrophilous organism, principally occurring in shaded and moist environments, and colonising stems along their entire length excluding branches. In contrast, P. bidentatus colonises stems along the entire circumference including branches [88].
The niches of bark beetles colonising fir stems are segregated, which suggests differences in the food preferences of these insects. Interspecific competition is minimised by means of spatial specialisation [94]. C. piceae and P. spinidens occur in the thinner part of stems, and P. curvidens in the central part [88]. Moreover, differences in the colonisation of the upper and lower parts of stems by particular species indicate that there are differences in their requirements regarding moisture. C. piceae prefers the lower part of the stem, where the moisture may be higher, while the Pityokteines species select the dryer upper part. The uniform colonisation of the circumference of the surface of windfall stems by species of Pityokteines results from the fact that they are situated higher above the ground. Unlike in the trap trees, the lower part of the stem loses moisture more rapidly, which favours its colonisation by these species.
In constructing models, data collected in natural and near-natural forests are of particular value. For this reason, methods being developed for measuring the niches of bark beetles should ensure the lowest possible degree of interference with the forest ecosystem. The fact that all of the windfalls were infested indicate that these may be successfully used as traditional traps instead of felling live trees, both in scientific research and in forestry.
The derived regression equations may be useful in constructing models that simulate the reactions of bark beetles to observed climate change. In spite of the wide study of bark beetles, data for only six species have been used to develop climate-driven phenology and ecosystem models [38]. The only species occurring in Europe for which such models have been constructed is I. typographus. Population densities can be estimated using the previously developed method for computing the density of bark beetle colonisation on fir windfalls [36,84,95]. The statistical foundations of this method enable the calculation of errors of estimation. It is also a low-invasive method, as it requires the removal of bark from only two-metre-long sections of stems, and it can, therefore, also be used in areas subject to strict protection.
Because the experiments were carried out over many years, the method may be expected to be more resistant to the effects of abiotic and biotic factors, which is of particular importance with regard to concerns about the possible influence of observed and forecasted changes in climatic conditions—particularly global warming—on the environment, including forest ecosystems. In Sweden, in 2005, T. piniperda was found to begin flying approximately three weeks earlier than in the 1970s [96]. This observation is supported by meteorological data showing that the first possible flight date (maximum temperature > 12 °C) also occurred correspondingly earlier during the last decade than in the 1970 [96]. Additionally, very few specimens of Tomicus minor Hart. were captured in traps or found in fallen trees in the storm area [76]. Compared with the distribution reported in Lekander et al. [97], this may indicate the beginning of a retraction of the species in southern Sweden. Both of these observations may be the first signs of a response to a warmer climate, but it remains to be seen whether they were merely random occurrences or the beginning of a trend.
5. Conclusions
1. C. piceae has great economic significance as a secondary pest in the Holy Cross Mountains (Góry Świętokrzyskie). Its ability to colonise material in a lying position in conditions where the health of firs is impaired may lead to mass reproduction. The similar parameters obtained for the colonisation of natural traps by C. piceae mean that it is possible to use windfalls in order to limit its population numbers. Trap trees should be laid out as an exceptional measure, in the case of the reproduction of this bark beetle in very large numbers.
2. The physiological condition of trees and spatial specialisation are the main mechanisms that minimise competition between bark beetle species on fir. Differences in feeding preferences enable them to make effective use of the limited food resources that the stems provide.
3. An analysis of the dependence of the niche breadth on the stem features and on the parameters of bark beetle colonisation revealed the most significant correlation in the case of gallery density. The values of coefficients of determination were significant: for C. piceae, = 0.7669; for P. curvidens, = 0.8065; and for P. spinidens, = 0.8433. The mean relative estimation errors did not exceed 20%.
4. The results suggest the desirability of further research to obtain regression equations for firs growing in different regions of Europe. The presented regression equations should be calibrated and adapted to local conditions of the colonisation of firs by bark beetles. The development of local regression equations will increase the accuracy of the method. Analogous regression equations may also be derived for other cambiophagous and xylophagous species.
Funding
This study was funded by The Ministry of Science and Higher Education in Poland (grant number PZP/2024/0394-SUPB.RN.24.199).
Data Availability Statement
The data presented in this study are available on request from the corresponding author.
Acknowledgments
The author would like to thank the workers of Forest District in Suchedniów and Zagnańsk for guidance and assistance in carrying out in this research.
Conflicts of Interest
The authors declare no conflict of interest.
References
- Sexton, J.P.; Montiel, J.; Shay, J.E.; Stephens, M.R.; Slatyer, R.A. Evolution of Ecological Niche Breadth. Ann. Rev. Ecol. Evol. Syst. 2017, 48, 183–206. [Google Scholar] [CrossRef]
- Carscadden, K.A.; Emery, N.C.; Arnillas, C.A.; Cadotte, M.W. Niche breadth: Causes and consequences for ecology, evolution, and conservation. Quart. Rev. Biol. 2020, 95, 179–214. [Google Scholar] [CrossRef]
- Peterson, A.T.; Soberón, J.; Pearson, R.G.; Anderson, R.P.; Martínez-Meyer, E.; Nakamura, M.; Araújo, M.B. Ecological Niches and Geographic Distributions, 1st ed.; Princeton University Press: Princeton, NJ, USA, 2011; pp. 1–326. [Google Scholar]
- Krebs, C.J. Niche measures and resource preferences. In Ecological Methodology; Krebs, C.J., Ed.; Harper & Row: New York, NY, USA, 2014; pp. 597–653. [Google Scholar]
- Paine, T.D.; Birch, M.C.; Švihra, P. Niche breadth and resource partitioning by four sympatric species of bark beetles (Coleoptera: Scolytidae). Oecologia 1981, 48, 1–6. [Google Scholar] [CrossRef] [PubMed]
- Grünwald, M. Ecological segregation of bark beetles (Coleoptera, Scolytidae) of spruce. Zeit. Angew. Entomol. 1986, 101, 176–187. [Google Scholar] [CrossRef]
- Amezaga, I.; Rodríguez, M.A. Resource partitioning of four sympatric bark beetles depending on swarming dates and tree species. For. Ecol. Manag. 1998, 109, 127–135. [Google Scholar] [CrossRef]
- Ayres, B.D.; Ayres, M.P.; Abrahamson, M.D.; Teale, S.A. Resource partitioning and overlap in three sympatric species of Ips bark beetles (Coleoptera: Scolytidae). Oecologia 2001, 128, 443–453. [Google Scholar] [CrossRef] [PubMed]
- Wallin, K.F.; Kolb, T.E.; Skov, K.R.; Wagner, M. Forest management treatments, tree resistance, and bark beetle resource utilization in ponderosa pine forests of northern Arizona. For. Ecol. Manag. 2008, 255, 3263–3269. [Google Scholar] [CrossRef]
- Borkowski, A.; Skrzecz, I. Ecological segregation of bark beetles (Col., Curculionidae, Scolytinae) in Scots pine. Ecol. Res. 2016, 31, 135–144. [Google Scholar] [CrossRef]
- Borkowski, A. Resource partitioning of Scots pine by pine shoot beetles in stands under conditions of stress. Forests 2021, 12, 1336. [Google Scholar] [CrossRef]
- Tinner, W.; Colombaroli, D.; Heiri, O.; Henne, P.D.; Steinacher, M.; Untenecker, J.; Vescovi, E.; Allen, J.R.K.; Carraro, G.; Conedera, M.; et al. The past ecology of Abies alba provides new perspectives on future responses of silver fir forests to global warming. Ecol. Monogr. 2013, 83, 419–439. [Google Scholar] [CrossRef]
- Rüegg, D. Im Glarner Schutzwald alle 60 m eine Weisstanne. Schw. Zeit. Forstw. 2015, 166, 40–41. [Google Scholar] [CrossRef]
- Elling, W.; Dittmar, C.; Pfaffelmoser, K.; Rötzer, T. Dendroecological assessment of the complex causes of decline and recovery of the growth of silver fir (Abies alba Mill.) in Southern Germany. For. Ecol. Manag. 2009, 257, 1175–1187. [Google Scholar] [CrossRef]
- Nagel, T.A.; Mikac, S.; Dolinar, M.; Klopcic, M.; Keren, S.; Svoboda, M.; Diaci, J.; Boncina, A.; Paulic, V. The natural disturbance regime in forests of the Dinaric Mountains: A synthesis of evidence. For. Ecol. Manag. 2017, 388, 29–42. [Google Scholar] [CrossRef]
- Dobrowolska, D.; Bončina, A.; Klumpp, R. Ecology and silviculture of silver fir (Abies alba Mill.): A review. J. For. Res. 2017, 22, 326–335. [Google Scholar] [CrossRef]
- Larsen, J.B. Das Tannensterben: Eine neue Hypothese zur KIärung des Hintergrundes dieser rätselhaften Komplexkrankheit der Weisstanne (Abies alba Mill.). Forstwiss. Centralbl. 1986, 105, 381–396. [Google Scholar] [CrossRef]
- Konnert, M.; Bergmann, F. The geographical distribution of genetic variation of silver fir (Abies alba, Pinaceae) in relation to its migration history. Plant Syst. Evol. 1995, 196, 19–30. [Google Scholar] [CrossRef]
- Sagnard, F.; Barberot, C.; Fady, B. Structure of genetic diversity in Abies alba Mill. from southwestern Alps: Multivariate analysis of adaptive and non-adaptive traits for conservation in France. For. Ecol. Manag. 2002, 157, 175–189. [Google Scholar] [CrossRef]
- Vitasse, Y.; Bottero, A.; Rebetez, M.; Conedera, M.; Augustin, S.; Brang, P.; Tinner, W. What is the potential of silver fir to thrive under warmer and drier climate? Eur. J. For. Res. 2019, 138, 547–560. [Google Scholar] [CrossRef]
- Henne, P.D.; Elkin, C.; Colombaroli, D.; Samartin, S.; Bugmann, H.; Heiri, O.; Tinner, W. Impacts of changing climate and land use on vegetation dynamics in a Mediterranean ecosystem: Insights from paleoecology and dynamic modeling. Landsc. Ecol. 2013, 28, 819–833. [Google Scholar] [CrossRef]
- Ruosch, M.; Spahni, R.; Joos, F.; Henne, P.D.; Knaap, W.O.; Tinner, W. Past and future evolution of Abies alba forests in Europe—Comparison of a dynamic vegetation model with palaeo data and observations. Glob. Chang. Biol. 2016, 22, 727–740. [Google Scholar] [CrossRef]
- Maiorano, L.; Cheddadi, R.; Zimmermann, N.E.; Pellissier, L.; Petitpierre, B.; Pottier, J.; Laborde, H.; Hurdu, B.I.; Pearman, P.B.; Psomas, A.; et al. Building the niche through time: Using 13,000 years of data to predict the effects of climate change on three tree species in Europe. Glob. Ecol. Biogeogr. 2013, 22, 302–317. [Google Scholar] [CrossRef]
- Zimmermann, N.E.; Schmatz, D.; Gallien, L.; Körner, C.; Huber, B.; Frehner, M.; Küchler, M.; Psomas, A. Répartition des espèces forestières et adéquation des stations. In Forêts et Changements Climatiques—Éléments pour des Stratégies D’adaptation; Pluess, A.R., Augustin, S., Brang, P., Eds.; Office Fédéral de L’environnement OFEV: Berne, Switzerland, 2016; pp. 205–228. Available online: https://www.dora.lib4ri.ch/wsl/islandora/object/wsl:10637 (accessed on 25 January 2024).
- Macias, M.; Andreu, L.; Bosch, O.; Camarero, J.J.; Gutiérrez, E. Increasing aridity is enhancing silver fir Abies alba (Mill.) water stress in its South-Western distribution limit. Clim. Chang. 2006, 79, 289–313. [Google Scholar] [CrossRef]
- Rigling, A.; Stähli, M. Erkenntnisse aus der Trockenheit 2018 für die zukünftige Waldentwicklung. Schweiz. Z. Forstwes. 2020, 171, 242–248. Available online: https://www.dora.lib4ri.ch/wsl/islandora/object/wsl%3A24569 (accessed on 22 February 2024). [CrossRef]
- Urban, J. Diagnostics of bark beetles of the genus Pityokteines Fuchs important in forestry. J. For. Sci. 2002, 48, 329–341. [Google Scholar] [CrossRef]
- Serin, M.; Erdem, M.; Yuksel, B.; Akbulut, S. Determination of life cycles of bark beetles damaging efficiently on Fir (Abies bornmülleriana Mattf.) forests and preventive measures against their. Tech. Bul. 2005, 12, 1–84. [Google Scholar]
- Yildiz, O.; Eşen, D.; Akbulut, S. Effects of different ecological and silvicultural factors on beetle catches in the Turkish fir (Abies bornmülleriana Mattf.) ecosystems. J. Pest. Sci. 2007, 80, 145–150. [Google Scholar] [CrossRef]
- Pernek, M.; Lackovic, N. The role of bark beetles in silver fir decline and possible use of pheromone traps for the monitoring. Sum. List 2011, 135, 114–121. Available online: https://hrcak.srce.hr/72319 (accessed on 22 January 2024).
- Durand-Gillmann, M.; Cailleret, M.; Boivin, T.; Nageleisen, L.M.; Davi, H. Individual vulnerability factors of Silver fir (Abies alba Mill.) to parasitism by two contrasting biotic agents: Mistletoe (Viscum album L. ssp abietis) and bark beetles (Coleoptera: Curculionidae: Scolytinae) during a decline process. Ann. For. Sci. 2014, 71, 659–673. [Google Scholar] [CrossRef]
- Justesen, M.J.; Hansen, A.K.; Thomsen, I.M.; Byriel, D.B.; Ro-Poulsen, H.; Ravn, H.P. Contributions to the knowledge on biology and phenology of Cryphalus piceae (Coleoptera: Curculionidae: Scolytinae). Scand. J. For. Res. 2020, 35, 468–475. [Google Scholar] [CrossRef]
- Ukleja-Dobrowolska, D. Zamieranie jodły, wciąż nie wyjaśnione zjawisko. Sylwan 1989, 133, 59–67. [Google Scholar]
- Podlaski, R. Accuracy assessment of a small-area method for estimating the spatial distribution of the degree of tree damage. Environ. Monit. Assess. 2007, 135, 339–351. [Google Scholar] [CrossRef] [PubMed]
- Mauri, A.; de Rigo, D.; Caudullo, G. Abies alba in Europe: Distribution, habitat, usage and threats. In European Atlas of Forest Tree Species; San-Miguel-Ayanz, J., de Rigo, D., Caudullo, G., Durrant, T.H., Mauri, A., Eds.; Publication Office of the European Union: Luxembourg, 2016; pp. 7–9. Available online: https://www.researchgate.net/publication/299403032 (accessed on 22 January 2024).
- Podlaski, R.; Wojdan, D.; Żelezik, M. A quantitative approach for assessing bark beetle infestations: A study of Pityokteines spinidens Reitt. egg gallery densities in windthrown Abies alba Mill. Ecol. Ind. 2020, 109, 105789. [Google Scholar] [CrossRef]
- Bentz, B.J.; Régnière, J.; Fettig, C.J.; Hansen, E.M.; Hayes, J.L.; Hicke, J.A.; Kelsey, R.G.; Negrón, J.F.; Seybold, S.J. Climate change and bark beetles of the western United States and Canada: Direct and indirect effects. BioScience 2010, 60, 602–613. [Google Scholar] [CrossRef]
- Bentz, B.J.; Jönsson, A.M. Modeling bark beetle responses to climate. In Bark Beetles: Biology and Ecology of Native and Invasive Species; Vega, F.E., Hofstetter, R.W., Eds.; Elsevier: Amsterdam, The Netherlands, 2015; pp. 533–553. [Google Scholar]
- Biedermann, P.H.W.; Müller, J.; Grégoire, J.C.; Gruppe, A.; Hagge, J.; Hammerbacher, A.; Hofstetter, R.W.; Kandasamy, D.; Kolarik, M.; Kostovcik, M.; et al. Bark Beetle Population Dynamics in the Anthropocene: Challenges and Solutions. Trends Ecol. Evol. 2019, 34, 914–924. [Google Scholar] [CrossRef] [PubMed]
- Müller, M.; Olsson, P.O.; Eklundh, L.; Jamali, S.; Ardö, J. Features predisposing forest to bark beetle outbreaks and their dynamics during drought. For. Ecol. Manag. 2022, 523, 120480. [Google Scholar] [CrossRef]
- Thompson, J.N. The Coevolutionary Process, 1st ed.; University of Chicago Press: Chicago, IL, USA, 1994; pp. 1–383. [Google Scholar]
- Raffa, K.F.; Aukema, B.H.; Bentz, B.J.; Carroll, A.L.; Hicke, J.A.; Turner, M.G.; Romme, W.H. Cross-scale drivers of natural disturbances prone to anthropogenic amplification: The dynamics of bark beetle eruptions. Bioscience 2008, 58, 501–517. [Google Scholar] [CrossRef]
- Kausrud, K.L.; Økland, B.; Skarpaas, O.; Grégoire, J.C. Population dynamics in changing environments: The case of an eruptive forest pest species. Biol. Rev. 2012, 87, 34–51. [Google Scholar] [CrossRef] [PubMed]
- Weed, A.S.; Bentz, B.; Ayres, M.P. Population dynamics of bark beetles. In Bark Beetles: Biology and Ecology of Native and Invasive Species; Vega, F.E., Hofstetter, R.W., Eds.; Elsevier: Amsterdam, The Netherlands, 2015; pp. 157–176. [Google Scholar] [CrossRef]
- Marini, L.; Økland, B.; Jönsson, A.M.; Bentz, B.; Carroll, A.; Forster, B.; Grégoire, J.C.; Hurling, R.; Nageleisen, L.M.; Netherer, S.; et al. Climate drivers of bark beetle outbreak dynamics in Norway spruce forests. Ecography 2017, 40, 1426–1435. [Google Scholar] [CrossRef]
- Berryman, A.A. What causes population cycles of forest Lepidoptera? Trends Ecol. Evol. 1996, 11, 28–32. [Google Scholar] [CrossRef]
- Candau, J.N.; Fleming, R.A. Landscape-scale spatial distribution of spruce budworm defoliation in relation to bioclimatic conditions. Can. J. For. Res. 2005, 35, 2218–2232. [Google Scholar] [CrossRef]
- Friedenberg, N.A.; Sarkar, S.; Kouchoukos, N.; Billings, R.F.; Ayres, M.P. Temperature extremes, density dependence, and southern pine beetle (Coleoptera: Curculionidae) population dynamics in east Texas. Environ. Entomol. 2008, 37, 650–659. [Google Scholar] [CrossRef] [PubMed]
- Lindgren, B.S.; Raffa, K.F. Evolution of tree killing in bark beetles (Coleoptera: Curculionidae): Trade-offs between the maddening crowds and a sticky situation. Can. Entomol. 2013, 145, 471–495. [Google Scholar] [CrossRef]
- Hofstetter, R.W.; Bookwaiter, J.; Davis, T.; Klepzig, K.D. Symbiotic associations of bark beetles. In Bark Beetles: Biology and Ecology of Native and Invasive Species; Vega, F.E., Hofstetter, R.W., Eds.; Elsevier: Amsterdam, The Netherlands, 2015; pp. 209–245. [Google Scholar] [CrossRef]
- Wegensteiner, R.; Wermelinger, B.; Herrmann, M. Natural enemies of bark beetles: Predators, parasitoids, pathogens, and nematodes. In Bark Beetles: Biology and Ecology of Native and Invasive Species; Vega, F.E., Hofstetter, R.W., Eds.; Elsevier: Amsterdam, The Netherlands, 2015; pp. 247–304. Available online: https://www.dora.lib4ri.ch/wsl/islandora/object/wsl:12159 (accessed on 22 February 2024).
- Hlásny, T.; Krokene, P.; Liebhold, A.; Montagné-Huck, C.; Müller, J.; Qin, H.; Raffa, K.; Schelhaas, M.J.; Seidl, R.; Svoboda, M.; et al. Living with Bark Beetles: Impacts, Outlook and Management Options; From Science to Policy 8; European Forest Institute: Joensuu, Finland, 2019; Volume 33, pp. 1–52. [Google Scholar] [CrossRef]
- Bolnick, D.I.; Ingram, T.; Stutz, W.E.; Snowberg, L.K.; Lau, O.L.; Paull, J.S. Ecological release from interspecific competition leads to decoupled changes in population and individual niche width. Proc. R. Soc. B 2010, 277, 1789–1797. [Google Scholar] [CrossRef] [PubMed]
- Jones, A.W.; Post, D.M. Does intraspecific competition promote variation? A test via synthesis. Ecol. Evol. 2016, 6, 1646–1655. [Google Scholar] [CrossRef] [PubMed]
- Costa-Pereira, R.; Rudolf, V.H.W.; Souza, F.L.; Araújo, M.S. Drivers of individual niche variation in coexisting species. J. Anim. Ecol. 2018, 87, 1452–1464. [Google Scholar] [CrossRef] [PubMed]
- Olszewski, J.L.; Szałach, G.; Żarnowiecki, G. Klimat. In Monografia Świętokrzyskiego Parku Narodowego; Cieśliński, S., Kowalkowski, A., Eds.; ŚPN: Bodzentyn, Kraków, Poland, 2000; pp. 129–145. [Google Scholar]
- Forest Data Bank in Poland. Available online: https://www.bdl.lasy.gov.pl (accessed on 29 January 2024).
- Grégoire, J.C.; Evans, H.F. Damage and control of BAWBILT organisms an overview. In Bark and Wood Boring Insects in Living Trees in Europe, a Synthesis; Lieutier, F., Day, K.R., Battisti, A., Grégoire, J.C., Evans, H.F., Eds.; Springer: Dordrecht, The Netherlands, 2004; pp. 19–39. [Google Scholar]
- Kolk, A.; Starzyk, J.R. The Atlas of Forest Insect Pests, 1st ed.; The Polish Forest Research Institute: Warszawa, Poland, 1996; pp. 1–705. [Google Scholar]
- Anderson, V.L.; McLean, R.A. Design of Experiments: A Realistic Approach, 1st ed.; Taylor & Francis: London, UK, 2019; pp. 1–440. [Google Scholar] [CrossRef]
- Levins, R. Evolution in Changing Environments, 1st ed.; Princeton University Press: Princeton, NJ, USA, 1968; pp. 1–132. [Google Scholar]
- Hurlbert, S.H. The measurement of niche overlap and some relatives. Ecology 1978, 59, 67–77. [Google Scholar] [CrossRef]
- Sokal, R.R.; Rohlf, F.J. Biometry: The Principles and Practice of Statistics in Biological Research, 4th ed.; W.H. Freeman and Company: New York, NY, USA, 2013; pp. 1–915. [Google Scholar]
- Morisita, M. Measuring of interspecific association and similarity between communities. Mem. Faculty Sci. Kyushu Univ. Ser. E 1959, 3, 65–80. [Google Scholar]
- Bolnick, D.I.; Yang, L.H.; Fordyce, J.A.; Davis, J.M.; Svanbäck, R. Measuring individual-level resource specialization. Ecology 2002, 83, 2936–2941. Available online: https://climate.copernicus.eu/ (accessed on 15 January 2024). [CrossRef]
- Hutchinson, G.E. Homage to Santa Rosalia, or why are there so many kinds of Animals? Am. Nat. 1959, 93, 145–159. Available online: http://www.jstor.org/stable/2458768 (accessed on 7 January 2024). [CrossRef]
- Chong, E.K.P.; Żak, S.H. An Introduction to Optimization, 2nd ed.; Wiley: New York, NY, USA, 2001; pp. 1–476. [Google Scholar]
- Huang, S.; Yang, Y.; Wang, Y. A critical look at Procedures for Validating Growth and Yield Models. In Modelling Forest Systems; Amaro, A., Reed, D., Soares, P., Eds.; CABI: Oxford, UK, 2003; pp. 271–293. [Google Scholar]
- Temesgen, H.; Gadow, K. Generalized height-diameter models-an application for major tree species in complex stands of interior British Columbia. Eur. J. For. Res. 2004, 123, 45–51. [Google Scholar] [CrossRef]
- White, H.A. Heteroskedasticity-Consistent Covariance Matrix Estimator and a Direct Test for Heteroskedasticity. Econometrica 1980, 48, 817–838. [Google Scholar] [CrossRef]
- Borden, J.H. Disruption of semiochemical-mediated aggregation in bark beetles. In Insect Pheromone Research: New Directions; Cardé, R.T., Minks, A.K., Eds.; Springer: Boston, MA, USA, 1997; pp. 421–438. [Google Scholar]
- Sauvard, D. General biology of bark beetles. In Bark and Wood Boring Insects in Living Trees in Europe, a Synthesis; Lieutier, F., Day, K.R., Battisti, A., Grégoire, J.C., Evans, H.F., Eds.; Springer: Dordrecht, The Netherlands, 2004; pp. 63–89. [Google Scholar] [CrossRef]
- Pffefer, A.; Zumr, V. Communities of Coleoptera on the silver fir (Abies alba). Acta Entomol. Bohemoslov. 1983, 80, 1–9. [Google Scholar]
- Göthlin, E.; Schroeder, L.M.; Lindelöw, Ǻ. Attacks by Ips typographus and Pityogenes chalcographus on windthrown spruces (Picea abies) during the two years following a storm felling. Scand. J. For. Res. 2000, 15, 542–549. [Google Scholar] [CrossRef]
- Komonen, A.; Laatikainen, A.; Similä, M.; Martikainen, P. Ytimennävertäjien kasvainsyönti trombin kaataman suojelumännikön ympäristössä Höytiäisen saaressa Pohjois-Karjalassa. Mets. Aik. 2009, 2, 127–134. [Google Scholar] [CrossRef][Green Version]
- Öhrn, P.; Björklund, N.; Långström, B. Occurrence, performance and shoot damage of Tomicus piniperda in pine stands in southern Sweden after storm-felling. J. Appl. Entomol. 2018, 142, 854–861. [Google Scholar] [CrossRef]
- Zabecki, W. Reakcje kambio—I ksylofagicznych owadów na imisje przemysłowe w drzewostanach jodłowych Ojcowskiego Parku Narodowego. Prądnik 1990, 1, 167–174. [Google Scholar]
- Weslien, J.; Lindelöw, Å. Trapping a local population of spruce bark beetles Ips typographus (L.): Population size and origin of trapped beetles. Hol. Ecol. 1989, 12, 511–514. [Google Scholar] [CrossRef]
- Duelli, P.; Zahradnik, P.; Knižek, M.; Kalinova, B. Migration in spruce bark beetles (Ipstypographus L.) and the efficiency of pheromone traps. J. Appl. Entomol. 1997, 121, 297–303. [Google Scholar] [CrossRef]
- Botterweg, P.F. Dispersal and flight behaviour of the spruce bark beetle Ips typographus in relation to sex, size and fat content. Zeit. Angew. Entomol. 1982, 94, 466–489. [Google Scholar] [CrossRef]
- Nuorteva, M.; Nuorteva, P. The infestation of timber by bark beetles (Col., Scolytidae) and their natural enemies in the Finnish south-western archipelago. Ann. Entomol. Fenn. 1968, 34, 56–65. [Google Scholar]
- Nilssen, A.C. Spatial attack pattern of the bark beetle Tomicus piniperda L. (Col., Scolytidae). Nor. J. Entomol. 1978, 25, 171–175. [Google Scholar]
- Lieutier, F.; Långström, B.; Faccoli, M. The Genus Tomicus. In Bark and Wood Boring Insects in Living Trees in Europe, a Synthesis; Lieutier, F., Day, K.R., Battisti, A., Grégoire, J.C., Evans, H.F., Eds.; Springer: Dordrecht, The Netherlands, 2004; pp. 371–426. [Google Scholar]
- Podlaski, R.; Borkowski, A. Method for estimating density of Cryphalus piceae (Ratz.) brood galleries using a regression model. J. Appl. Entomol. 2009, 133, 402–409. [Google Scholar] [CrossRef]
- Witrylak, M. Biologia, ekologia i znaczenie gospodarcze wgryzonia jodłowca Cryphalus piceae (Ratz.) (Coleoptera, Scolytidae) w górskich drzewostanach Leśnego Zakładu Doświadczalnego w Krynicy. Sylwan 1995, 139, 51–66. [Google Scholar]
- Price, P.W. Insect Ecology, 3rd ed.; Wiley: New York, NY, USA, 1997; pp. 1–872. [Google Scholar]
- Inbar, M.; Wool, D. Phloem-feeding specialists sharing a host tree: Resource partitioning minimises interference competition among galling aphid species. Oikos 1995, 73, 109–119. [Google Scholar] [CrossRef]
- Szujecki, A. Ecology of Forest Insects, 2nd ed.; Springer: Dordrecht, The Netherlands, 2012; pp. 1–602. [Google Scholar] [CrossRef]
- Jamin, J.K. Contribution à l’étude du dépérissement provoqué par les coléoptères scolytides sur le pin sylvestre en région centre . Ecol. Nat. Ing. Tech. Eaux For. 1977, 1–84. Available online: https://infodoc.agroparistech.fr/index.php?lvl=notice_display&id=97146 (accessed on 15 January 2024).
- Saarenmaa, H. Modeling the spatial pattern and intraspecific competition in Tomicus piniperda (Coleoptera: Scolytidae). Commun. Inst. For. Fenn. 1983, 118, 1–40. Available online: http://urn.fi/URN:ISBN:951-40-0634-8 (accessed on 30 January 2024).
- Huss, M.; Byström, P.; Persson, L. Resource heterogeneity, diet shifts and intra-cohort competition: Effects on size divergence in YOY Fish. Oecologia 2008, 158, 249–257. Available online: https://www.jstor.org/stable/40309743 (accessed on 23 April 2024). [CrossRef] [PubMed]
- Araújo, M.S.; Bolnick, D.I.; Layman, C.A. The ecological causes of individual specialisation. Ecol. Lett. 2011, 14, 948–958. [Google Scholar] [CrossRef] [PubMed]
- Xia, Y.; Li, Y.; Zhu, S.; Li, J.; Li, S.; Li, X. Individual dietary specialization reduces intraspecific competition, rather than feeding activity, in black amur bream Megalobrama terminalis. Sci. Rep. 2020, 10, 17961. [Google Scholar] [CrossRef] [PubMed]
- Raffa, K.F.; Grégoire, J.C.; Lindgren, B.S. Natural history and ecology of bark beetles. In Bark Beetles: Biology and Ecology of Native and Invasive Species; Vega, F.E., Hofstetter, R.W., Eds.; Elsevier Academic Press: Amsterdam, The Netherlands, 2015; pp. 1–40. [Google Scholar] [CrossRef]
- Podlaski, R.; Borkowski, A. Estimating stem infestation density of Pityokteines curvidens (Germ.) on windfalls: A statistical approach. J. Pest. Sci. 2009, 82, 357–365. [Google Scholar] [CrossRef]
- Öhrn, P. Seasonal Flight Patterns of the Spruce Bark Beetle (Ips typographus) in Sweden. Phenology, Voltinism and Development. Licentiate Thesis, Swedish University of Agricultural Sciences, Uppsala, Sweden, 2012. [Google Scholar]
- Lekander, B.; Bejer-Petersen, B.; Kangas, E.; Bakke, A. The distribution of bark beetles in the Nordic countries. Acta Entomol. Fenn. 1977, 32, 252. [Google Scholar]
Disclaimer/Publisher’s Note: The statements, opinions and data contained in all publications are solely those of the individual author(s) and contributor(s) and not of MDPI and/or the editor(s). MDPI and/or the editor(s) disclaim responsibility for any injury to people or property resulting from any ideas, methods, instructions or products referred to in the content. |
© 2024 by the author. Licensee MDPI, Basel, Switzerland. This article is an open access article distributed under the terms and conditions of the Creative Commons Attribution (CC BY) license (https://creativecommons.org/licenses/by/4.0/).



