Abstract
This paper presents the key mechanical properties of PVC fiber-reinforced concrete. Six concrete mixtures were produced using plastic fibers obtained from clear PVC sheets. Three concrete mixtures were made using 20 mm long PVC fibers, whereas the other three were prepared with 40 mm long PVC fibers. The fiber content was varied in the range of 0–1.5 wt.% of cement for each length of fiber. The fresh concrete mixtures were tested for workability in terms of the slump. The hardened concretes were tested for their compressive and splitting tensile strengths, flexural strength and toughness, static elastic modulus, and impact resistance and toughness. The effects of the fiber content and fiber length on the workability and above-mentioned mechanical properties were observed. In addition, the correlations between various mechanical properties were sought. The test results revealed that the workability of concrete was reduced for both fiber lengths as the fiber content increased. The compressive strength, flexural strength and toughness, elastic modulus, and impact resistance and toughness increased at up to 1 wt.% fiber content, then decreased for 1.5 wt.% fibers. A similar trend was also noticed for the splitting tensile strength, particularly in the case of 20 mm long PVC fibers. Compared to the fiber length, the fiber content exhibited a more pronounced effect on the mechanical properties of concrete. The optimum fiber content was 1 wt.%, which produced the best performance in this study. Furthermore, excellent correlations were observed for the tested mechanical properties of concrete, except for splitting tensile strength, which was not well-correlated with compressive strength.
1. Introduction
The global generation of plastic waste is expanding tremendously. If plastics are discarded rather than recycled, they constitute hazardous waste, as their pigments include numerous trace ingredients that are harmful and take hundreds of years to break down and decompose [1]. Even more concerning is that millions of tons of plastic waste enter the marine environment each year, creating a detrimental effect that many researchers have addressed [2,3,4,5,6,7,8]. Moreover, plastic waste causes severe troubles in wastewater treatment facilities and pollution of the groundwater [9]. Plastic recycling can alleviate the above issues and reduce the amount of waste disposal in landfills with significant contributions to the conservation of raw materials and energy savings [10].
Plastic fibers can be used in producing various construction materials. Different types of short plastic fibers, such as polyethylene terephthalate (PET), polypropylene (PP), high- and low-density polyethylene (PE), polyvinyl alcohol (PVA), polyvinyl chloride (PVC), nylon, aramid, and polyester, have been used in structural concrete members, shotcrete tunnel linings, concrete overlays, blast-resistant concrete, and rigid pavements [11,12,13,14,15]. They were also found to be effective at reinforcing asphaltic concrete when mixed with conventional asphalt [16,17,18]. Plastic fibers are utilized to increase the tensile strength of concrete and its resistance to cracking. Previous research concluded that plastic fibers are useful for improving the compressive strength, tensile strength, fracture toughness, ductility, absorption capacity, and blast wave resistance of concrete [11,14,19,20,21,22,23,24,25,26]. Plastic fibers can carry internal forces by resisting crack propagation and traveling over cracks, and thus improve the splitting tensile and flexural strengths of concrete [27]. The incorporation of plastic fibers into concrete improves its capacity to endure flexural stress. Table 1 includes the optimum percentage of various types of plastic fibers used in previous studies, considering the increments in the compressive and splitting tensile strengths of concrete. However, several researchers reported the decrement of compressive strength when plastic fibers were used in concrete [21,28,29,30,31,32,33,34,35]. Mohammed and Rahim [36] stated that the formation of flaws and pores within the concrete matrix due to the varying volume and length of plastic fibers leads to the development of cracks. Nili and Afroughsabet [37,38] observed a relatively large quantity of pores in the hardened concrete specimens due to the improper pouring and compaction of the fresh concrete, and consequently substantial reductions in their compressive and flexural strengths. The weak fiber–cement matrix interface can also be responsible for the decrease in the tensile strength of concrete [32,36,39]. In general, if a concrete is designed, mixed, poured, compacted, and cured properly, plastic fibers are expected to improve its mechanical performance even in adverse exposure conditions. It was found that the incorporation of PP fibers helps alleviate the loss of the flexural strength of concrete caused by high temperature and thermal shock; however, adding a high volume of plastic fibers into concrete increases the possibility of forming a weak plane, which can result in a detrimental effect on the overall composite behavior [40].
Table 1.
Optimum fiber content for different types of plastic fibers considering the compressive and splitting tensile strengths of concrete.
Most of the above-mentioned published papers focused on the compressive, flexural, and splitting tensile strengths of plastic fiber-reinforced concrete. In comparison, limited studies regarding the effect of plastic fibers on the impact resistance and toughness of concrete have been conducted. Bayasi and Zeng [54] investigated the impact resistance of concrete with PP fibers. Their study showed that PP fibers, particularly those with a length of 12.7 mm, considerably increased the impact resistance of concrete with a fiber content up to 0.5 vol.% of concrete. This improvement is due to the fibers’ capacity to intercept fractures and restrict crack propagation inside the concrete matrix, providing a three-dimensional mesh reinforcement. However, the impact resistance of concrete decreased for the increased fiber volume content beyond 0.5%. Foti and Paparella [55] studied the performance of the concrete reinforced with PET strips, which resulted in a ductile behavior of the slab that prevented complete failure, confirming the enhancement in the impact strength. Also, Soroushian et al. [56] analyzed the impact resistance of recycled plastic fibers; they reported an increase in the impact strength up to a fiber aspect ratio of 50, after which it declined. At the aspect ratio of 50, the tight interlocking of fibers with aggregates eliminated voids, resulting in a greater impact strength. From this perspective, additional research is necessary to gain a comprehensive understanding of the impact resistance of concrete reinforced with PVC fibers.
In summary, the literature review revealed that most of the previous studies examined the compressive, tensile, and flexural strength characteristics of non-PVC plastic fiber-reinforced concrete. In comparison, limited research was undertaken on the impact resistance of non-PVC and PVC fiber-reinforced concretes. The aim of this research consisted of investigating the impact behavior of PVC fiber-reinforced concrete along with its workability, compressive and splitting tensile strengths, and flexural strength and toughness. The impact performance of concrete was examined with respect to its resistance to the first crack and ultimate failure under repeated dynamic loading. In addition, the relationships between different mechanical properties were sought.
2. Research Significance
Several plastic fiber-reinforced concretes with adequate workability were produced in this study. PVC plastic fibers were added to produce the concrete mixtures. The mechanical performance of the concretes was examined, focusing on their compressive and splitting tensile strengths, flexural strength and toughness, and impact resistance and toughness. The test results showed that the above properties were improved by PVC fibers when used with a content of up to 1 wt.% of cement, although the workability was decreased. The overall research findings suggest that PVC fibers can be used in concrete for structural and non-structural applications. Such applications of PVC fibers will contribute to alleviating the critical issues that the world is currently facing due to the huge quantity of plastic waste.
3. Materials and Methods
3.1. Constituent Materials
Portland composite cement (PCC) with a strength grade of 42.5 N was used in the present study. The initial setting time of this cement was 160 min, and its early strength reached 20 MPa after 3 days. The specific gravity of PCC is 3.13. It consists of 65–79% clinker and 21–35% slag, fly ash, and limestone, with a 0–5% gypsum content. Coarse river sand (4.75 maximum size) and crushed stone (19 mm nominal maximum size) were used following the specifications given in ASTM C33/C33M−18 [57]. River sand was incorporated as fine aggregate (FA) whereas crushed stone was included as coarse aggregate (CA). Table 2 and Figure 1 depict the key physical properties and particle size distributions of the aggregates, respectively. Along with the cement and aggregates, normal tap water was used in preparing the concrete mixtures. Furthermore, clear PVC sheets (0.45 mm thick) were collected from a local garment factory and cut into small plastic fibers (Figure 2). The fibers were 20 mm and 40 mm in length with a width of 2 mm. They were used in the concrete mixtures by weight of cement. A third-generation polycarboxylate-based superplasticizer with a specific gravity of 1.07 was also used in all concrete mixtures.
Table 2.
Physical properties of aggregates.
Figure 1.
Particle size distribution of (a) coarse aggregate and (b) fine aggregate.
Figure 2.
Processing of plastic fibers (a) PVC sheets and (b) PVC fibers after cutting.
3.2. Mixture Proportions
The mixture design of the concretes was performed following ACI Committee 211.1 [58] for a target compressive strength of 20 MPa. The water-to-cement ratio was taken as 0.58. A total of seven concrete mixtures with the PVC fiber contents of 0%, 0.5%, 1%, and 1.5% by weight of cement were prepared. The polycarboxylate-based superplasticizer was used by 1 wt.% of cement to make the concrete mixtures workable for casting test specimens. Table 3 shows the mixture proportions of the control and PVC fiber-reinforced concretes.
Table 3.
Mixture proportions of the concretes for the target compressive strength of 20 MPa.
3.3. Methods for Testing
3.3.1. Workability Test
The slump test was performed to assess the workability of the freshly mixed concretes in accordance with ASTM C143 [59]. A slump cone was positioned on a stable, level surface, and the concrete sample was poured in three layers. The compaction of the individual concrete layer was achieved by tamping it 25 times with the specified rod. The vertical displacement between the initial and final heights of the concrete sample was used to measure the slump.
3.3.2. Compressive Strength, Splitting Tensile Strength, and Static Elastic Modulus Tests
Cylinder specimens of 100 mm 200 mm in size were tested for compressive strength [60], static elastic modulus [61], and splitting tensile strength [62], as shown in Figure 3. Triplicate specimens were used in compression and splitting tension tests whereas duplicate specimens were employed in elastic modulus test. All the prepared specimens were continuously water-cured for 28 days in a curing tank before testing. For determining the static elastic modulus (refer to Figure 4), the following Equation (1) was used.
where E = modulus of elasticity; S1 = stress corresponding to a longitudinal strain () of 0.00005; S2 = stress corresponding to 40% ultimate load; and longitudinal strain produced by .
Figure 3.
Tests for the (a) compressive strength, (b) static elastic modulus, and (c) splitting tensile strength of concrete.
Figure 4.
Stress–strain diagram of a concrete (PVCFRC 1) to determine its static elastic modulus.
3.3.3. Flexure Strength and Toughness Test
Simple beam specimens of 150 mm 150 mm 600 mm in size were prepared and tested for load-deflection behavior and flexural strength according to ASTM C293/C293M [63]. Triplicate beam specimens were tested for each concrete. Figure 5 shows the dimensions and test setup in a Universal Testing Machine (UTM) for flexure test. For the measurement of the mid-point deflection of beam specimen, a dial gauge was placed at its central bottom line. The area under the load-deflection behavior diagram was calculated graphically to determine the toughness of concrete.
Figure 5.
(a) Dimensions of the concrete beam specimens, (b) test setup for the flexural strength of concrete using beam specimens, and (c) a beam specimen after failure.
3.3.4. Impact Resistance and Toughness Test
The impact resistance of concrete was assessed using triplicate 150 mm 62.5 mm cylinder specimens in accordance with the test procedure introduced by the ACI Committee 544 [64]. The test apparatus (Figure 6a) included a typical compaction hammer weighing 4.5 kg with a drop of 45.7 cm, a 65.3 mm diameter steel ball, and a positioning device to retain the specimen. The experiment required dropping the hammer repeatedly on top of the concrete specimen while carefully observing the formation of cracks in the specimen and its eventual failure (Figure 6b). The number of blows of the hammer necessary before the first crack appeared, as well as the total number of blows required until the ultimate failure occurred, were recorded. The following formula (Equation (2)) provided by the ACI Committee 544 [64] was used to calculate the first crack and ultimate impact toughness of concrete.
where I = impact energy or toughness (J); N = number of blows required for fracture; M = mass of dropping hammer = 4.5 kg; g = acceleration due to gravity = 9.81 m/s2; and H = drop height = 0.457 m.
Figure 6.
(a) Test apparatus for impact test and (b) failure of the specimens after impact testing.
4. Results and Discussion
4.1. Workability of Concretes
The slump values of different concrete mixtures as a measure of their workability are presented in Figure 7. The design slump was 75–100 mm. However, the addition of the polycarboxylate-based superplasticizer by 1 wt.% of cement increased the slump value to 140 mm for the control concrete. The inclusion of PVC fibers showed a decrease in the workability of concrete resulting in a lower slump. Similar effects were observed from previous studies [31,42,47,53]. In the present study, up to 1 wt.% PVC fibers (20 mm and 40 mm in length), the slump value decreased to 80–95 mm, but it was still within the range of the design slump. A significant reduction in the slump was found when the PVC fiber content reached 1.5 wt.% (Figure 7). Also, a higher reduction was noticed for 20 mm long PVC fibers. A higher fiber volume content in a concrete mixture decreases the fluidity of its mortar component due to the increased water demand for the wetting of material surfaces and thus restrains the flow of concrete [30,31]. A lower fiber size can also increase the water demand for a given slump because of the increased surface area [30,31]. Moreover, PVC fibers have the potential to cluster together at a higher content, leading to a reduction in the concrete slump [41]. In this study, the slump was reduced to 40 mm and 25 mm for 1.5 wt.% 40 mm and 20 mm long fibers, respectively. Therefore, considering the workability of concrete, PVC fibers up to 1 wt.% of cement are recommended for use in the context of the present study.
Figure 7.
Effects of PVC fiber content and length on the workability of concrete.
4.2. Compressive Strength of Concretes
The compressive strength of the concretes and the effect of PVC fibers noticed in this study are shown in Table 4 and Figure 8. The published literature reveals the inconsistent effect of plastic fibers on the compressive strength of concrete. Many past studies have shown that the incorporation of plastic fibers produced minimal to no improvement in the compressive strength of concrete [21,28,29,30,31,32,33,34,35,46,47,48,49,52,53]. In contrast, some researchers found a significant increment of the compressive strength when plastic fibers were incorporated into the concrete mixtures [42,43,50,51,54]. Such inconsistency can happen due to the differences in the mixture design, mixing, pouring, compaction, and curing of concrete. In the present study, the incorporation of 20 mm long PVC fibers into the concrete mixture at 1 wt.% resulted in the maximum increment of the compressive strength (25%). A similar effect was found for 1 wt.% 40 mm PVC fibers, which gave a 20% improvement in the compressive strength compared to the control concrete. This improvement is related to the distribution of the fibers throughout the concrete mixture. The use of the polycarboxylate-based superplasticizer helped to maintain an adequate workability, particularly up to 1 wt.% fiber content, which was conducive for a better distribution of the fibers in the concrete mixture. As a result, the fibers resisted the development of microcracks, requiring more time and energy for the specimens to collapse. However, when the PVC fiber content exceeded 1 wt.%, the reduction in the compressive strength was noticed. A reduction in the compressive strength can happen due to the reduced workability of concrete which may induce fiber aggregation and more air-voids in the concrete mixture [65].
Table 4.
Compressive, splitting tensile, and flexural strengths along with the elastic modulus and flexural toughness of different concretes.
Figure 8.
Effects of PVC fiber content and length on the (a) compressive strength and (b) % increment of compressive strength of concrete.
4.3. Elastic Modulus of Concretes
Elastic modulus () is an influential property of concrete that indicates its strain capacity. Table 4 and Figure 9 show the static elastic modulus of different concretes and the effect of PVC fibers. A few studies were conducted to examine the modulus of elasticity of plastic fiber-reinforced concrete and a decrease in the modulus of elasticity was found [66,67,68]. However, some researchers found an increment in the elastic modulus as well [36,41]. In this study, it was observed that PVC fibers up to a 1 wt.% fiber content enhanced the elastic modulus of concrete. For each length of PVC fibers, the maximum increase in the elastic modulus occurred for 1 wt.% fiber content, compared to the control concrete. In contrast, the elastic modulus of the concrete with 1.5 wt.% 20 mm or 40 mm long PVC fibers dropped, but it was still higher than that of the control concrete (Figure 9). Such an effect of PVC fibers on the elastic modulus of concrete is attributed to the same reasons, as discussed in the case of compressive strength. Furthermore, the static elastic modulus increases because the inclusion of fibers decreases the pre-cracked elastic deformation, and consequently enhances the load-carrying capacity of concrete [36], as observed from the results of the compressive strength.
Figure 9.
Effects of PVC fiber content and length on the static elastic modulus of concrete.
4.4. Splitting Tensile Strength of Concretes
The inclusion of fibers typically enhances the splitting tensile strength of concrete, as they can effectively transfer the tensile stress from weaker and cracked areas to themselves because of their higher strength under tension. Many past studies reported that non-PVC plastic fibers significantly improved the splitting tensile strength of concrete [41,42,44,45,46,47,50,51,52,53]. The results of the splitting tension test and the associated effect of PVC fibers observed in this study are shown in Table 4 and Figure 10. The test results revealed that the concrete containing 1 wt.% 20 mm long PVC fibers demonstrated the highest splitting tensile strength, while the incorporation of 40 mm long PVC fibers caused a slight decrease in the splitting tensile strength beyond 0.5 wt.% fiber content. For 1 wt.% fiber content, an approximate 13.7% increase in the splitting tensile strength was gained for 20 mm long PVC fibers (Figure 10). The fibers located perpendicularly in the splitting section of the specimen function as bridges, facilitating the transfer of stress within the concrete elements. As a result, the tensile stresses developed in the splitting section are sustained gradually with an increase in the tensile strength of fiber-reinforced concrete [69]. Furthermore, the percentage of compressive to splitting tensile strengths is shown in Figure 11. This percentage falls between 7.4% and 9.2%. The highest percentage was observed for 1 wt.% fiber content for both 20 mm and 40 mm long PVC fibers, as evident from Figure 11. In addition, it was noticed that the above percentage became higher for 20 mm long PVC fibers than 40 mm long PVC fibers (Figure 11) for the fiber content up to 1 wt.% of cement.
Figure 10.
Effects of PVC fiber content and length on the (a) splitting tensile strength and (b) % increment of splitting tensile strength of concrete.
Figure 11.
Influence of PVC fiber content on the percentage of compressive to tensile strengths of concrete.
4.5. Flexural Strength and Toughness of Concretes
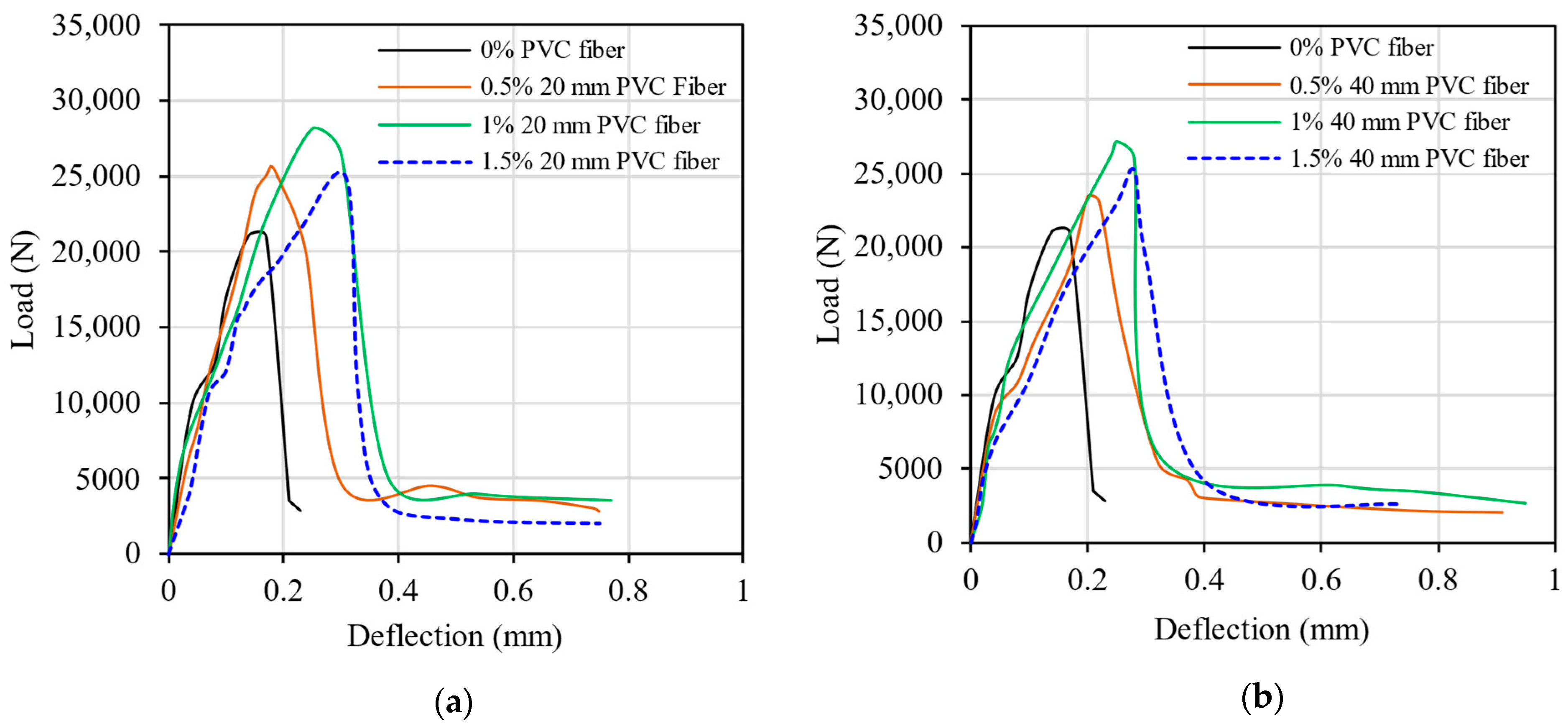
The load-deflection characteristics of different concretes obtained from the beam specimens subjected to center-point loading are illustrated in Figure 12. The post-peak deflection-softening behavior was observed in all PVC fiber-reinforced concretes. Notably, the concrete reinforced with 20 mm long PVC fibers exhibited a higher flexural peak load than the concrete reinforced with 40 mm long PVC fibers, particularly for 0.5 wt.% and 1 wt.% fiber contents. The load-carrying capacity and deflection of the concrete beams increased up to 1 wt.% fiber content. When the fiber content exceeded 1 wt.%, a reduction in the load-carrying capacity of the concrete beams was observed (Figure 12). However, the concrete beams still exhibited significant post-peak deflection, as compared to the control concrete beams. For 20 mm and 40 mm long PVC fibers, the deflection at the peak load increased by 28.6–121.4% and 42.9–100%, respectively. These findings indicate a substantial increase in the ductility of the concrete with PVC fibers.
Figure 12.
Load-deflection behavior of the concretes with (a) 20 mm and (b) 40 mm long PVC fibers.
The flexural strength magnitudes of the concretes were attained from their load-deflection curves (Table 4) and the associated effect of PVC fibers are shown in Figure 13. For a higher fiber content, the flexural strength of concrete increased due to its higher load-carrying capacity. A similar effect was observed in several past studies [21,28,51]. In the present study, the flexural strength of concrete increased by 33.3% and 28.9%, respectively, when 20 mm and 40 mm long PVC fibers were added by 1 wt.%. For both fiber lengths, the increase in flexural strength was below 20% for 1.5 wt.% PVC fibers, yet the flexural strength remained much higher than that of the control concrete. The observed enhancement in the flexural strength of concrete can be attributed to the role of PVC fibers in resisting the cracks within the tension zone of beam specimens. As the fibers stretch and bridge the cracks, they effectively distribute the applied load across the cracks. This mechanism leads to an increased capacity for energy absorption and internal stress relaxation, resulting in an overall improvement in the flexural strength [69].
Figure 13.
Effects of PVC fiber content and length on the (a) flexural strength and (b) % increase in flexural strength of concrete.
The flexural toughness (Tf) values of different concretes calculated from the areas under the load-deflection curves (Figure 12) are shown in Table 4. The effect of PVC fibers on the flexural toughness of concrete has been illustrated in Figure 14. This figure demonstrates that the flexural toughness of concrete increased in the presence of PVC fibers. Specifically, the increase in the flexural toughness ranged from 122% to 190.4% when 20 mm long PVC fibers were used in the concrete mixture with a content in the range of 0.5–1.5 wt.% of cement. Similarly, the increase in the flexural toughness ranged from 106.1% to 180.9% for the above fiber contents of 40 mm long PVC fibers. In both cases, the optimum content of PVC fibers to achieve the highest increase in the flexural toughness was 1 wt.%.
Figure 14.
Effects of PVC fiber content and length on the (a) flexural toughness and (b) % increase in flexural toughness of concrete.
4.6. Impact Resistance and Toughness of Concretes
Limited studies have investigated the effect of plastic fibers on the impact resistance and toughness of concrete. The present study examined several PVC fiber-reinforced concretes for their impact resistance and toughness using the test apparatus introduced by the ACI committee 544 [62]. The average numbers of blows required to cause the first visible crack and ultimate failure of the concrete specimens during the impact testing have been presented in Table 5. The incorporation of PVC fibers contributed to the extensive improvement in the impact resistance of concrete. The optimum fiber content of both 20 mm and 40 mm long PVC fibers was found to be 1 wt.% for increasing the impact resistance of concrete, as the concrete specimens required the highest number of blows for the first visible crack and ultimate failure.
Table 5.
First crack and ultimate impact resistance and toughness of different concretes.
The first crack and ultimate impact toughness values of the concretes are given in Table 5. Figure 15 presents the normalized first crack and ultimate impact toughness. This figure shows that incorporating 1 wt.% 20 mm long PVC fibers into the concrete mixture resulted in a 2.3 times increase in the first crack impact toughness and a 2.9 times increase in the ultimate impact toughness compared to the control concrete. However, when the fiber content was increased to 1.5 wt.%, a lower increase in the first crack and ultimate impact toughness was observed for the concretes containing 20 mm and 40 mm long PVC fibers.
Figure 15.
Normalized (a) first crack impact toughness and (b) ultimate impact toughness of concrete.
4.7. Correlations among Mechanical Properties of Concretes
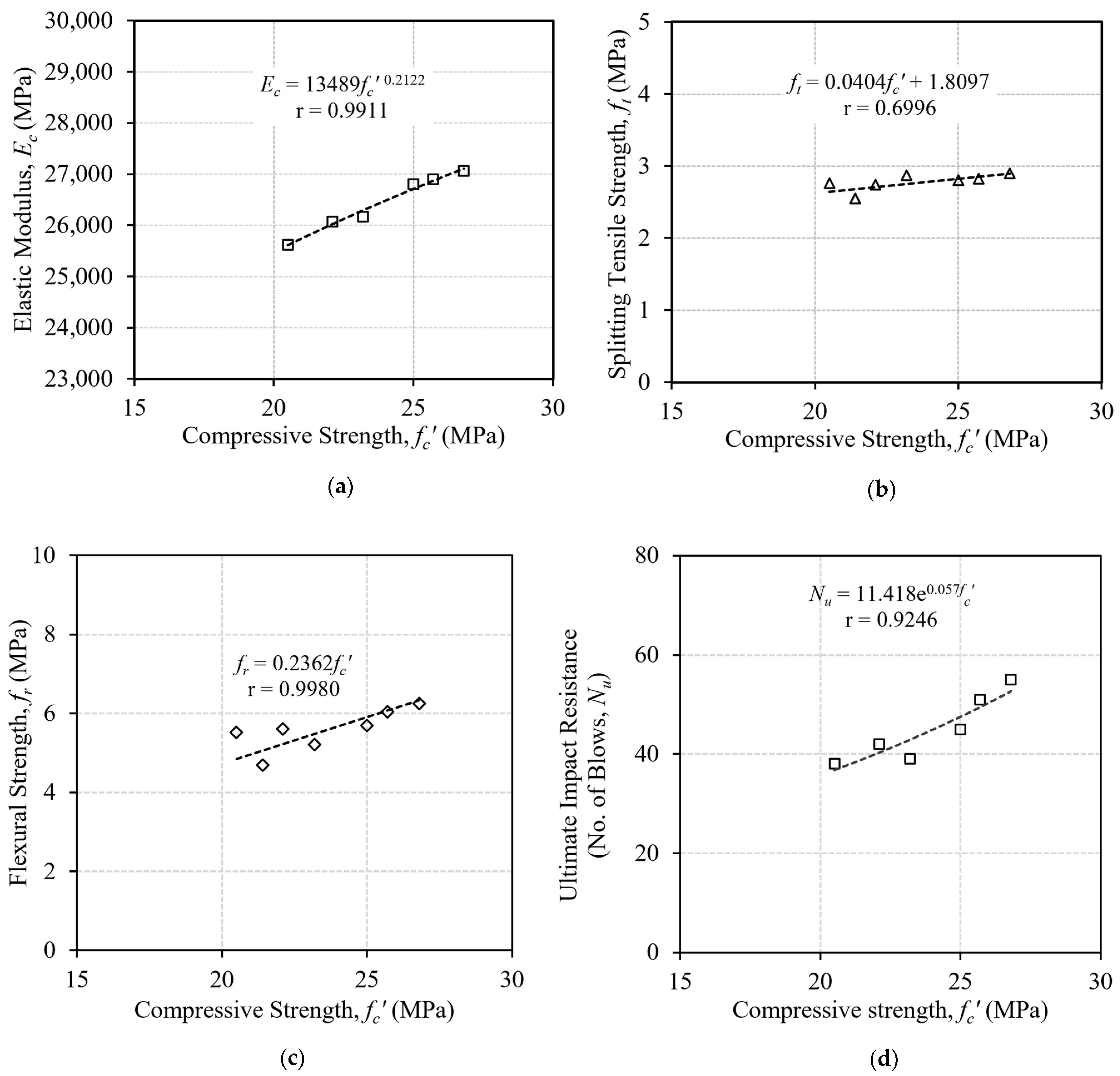
The correlations between the elastic modulus and compressive strength, splitting tensile and compressive strengths, flexural and compressive strengths, and impact resistance and compressive strength of PVC fiber-reinforced concrete are presented in Figure 16a–d. The elastic modulus and compressive strength of PVC fiber-reinforced concrete were found to be strongly correlated with a power relationship (Figure 16a). The correlation coefficient (r) for the power relationship was 0.9911, which indicates a strong correlation. A correlation coefficient greater than 0.70 indicates a strong correlation [70]. Such a strong correlation was observed because the variations in the compressive strength and elastic modulus with the fiber content followed a similar trend.
Figure 16.
Correlations of the compressive strength of concrete with its (a) elastic modulus, (b) splitting tensile strength, (c) flexural strength, and (d) ultimate impact resistance.
Interestingly, no strong correlation between the splitting tensile and compressive strengths of PVC fiber-reinforced concrete was found (Figure 16b). This is due to the reason that some differences between the effects of PVC fibers on the compressive and splitting tensile strengths of concrete were noticed (refer to Section 4.2 and Section 4.4).
An excellent correlation between the flexural and compressive strengths of PVC fiber-reinforced concrete was observed, as evident from Figure 16c. The relationship was linear with a correlation coefficient of 0.9980, which implies a strong correlation. Such a strong linear relationship was observed because both strengths varied with the fiber content following a similar trend. Furthermore, the ultimate impact resistance of PVC fiber-reinforced concrete was strongly correlated with its compressive strength, as can be seen in Figure 16d. However, the relationship was exponential, with a correlation coefficient of 0.9246.
The correlations among the flexural strength, flexural toughness, impact resistance, and impact toughness of PVC fiber-reinforced concrete were also examined. Figure 17a demonstrates the relationship between the flexural strength and ultimate impact resistance, whereas Figure 17b shows the correlation between the flexural toughness and ultimate impact toughness of PVC fiber-reinforced concrete. In both cases, strong relationships were found due to the same reason as already discussed above in this subsection. However, the former relationship was exponential whereas the latter was linear. The correlation coefficient was 0.9751 for the exponential relationship whereas it was 0.9824 for the linear relationship.
Figure 17.
Correlations of the (a) flexural strength and ultimate impact resistance, and (b) flexural toughness and ultimate impact toughness of concrete.
5. Conclusions
This study mainly examined the mechanical performance of PVC fiber-reinforced concrete focusing on its compressive, splitting tensile, flexure, and impact behaviors. Based on the findings of the experimental study, the following conclusions are drawn:
- At up to 1 wt.% inclusion of 20 mm and 40 mm long PVC fibers, the slump was reduced to 80–95 mm, which falls between the design slump of 75 mm and 100 mm. A significant reduction in the slump, indicating reduced workability, was observed when the PVC fiber content reached 1.5 wt.% of cement. The decrease in the slump was more pronounced with 20 mm long PVC fibers, primarily due to their higher surface area, which increased the water demand for the required workability of concrete. In the presence of PVC fibers, the water demand became higher for the wetting of material surfaces.
- The concretes including 1 wt.% PVC fibers showed optimal performance with respect to the compressive, splitting tensile and flexural strengths, impact resistance, and flexural and impact toughness. More importantly, the concrete mixtures containing 1 wt.% PVC fibers exhibited the highest flexural and impact (first crack and ultimate) toughness. This is mostly attributed to the larger ductility and energy absorption capacity of PVC fiber-reinforced concrete.
- The use of PVC fibers by more than 1 wt.% caused a decline in the mechanical properties of concrete due to a relatively low workability which can induce fiber aggregation and more air-voids in the concrete mixture. However, the concretes with 1.5 wt.% PVC fibers still performed better than the control concrete.
- The incorporation of PVC fibers enhanced the ductility of concrete and it increased with a higher quantity of fibers, as realized from the post-peak deflection behavior of the beam specimens tested under flexure.
- The effects of the fiber content on the mechanical properties of concrete were more pronounced than the fiber length. Based on the overall findings of the present study, the optimum fiber content was 1 wt.% for both fiber lengths.
- The compressive strength of concrete was strongly correlated with its elastic modulus, flexural strength, and impact resistance, since these properties followed similar trends regarding the effects of PVC fiber content and length. In contrast, no strong correlation was observed between the compressive and splitting tensile strengths of concrete, as the effects of PVC fibers on these two properties were different. Furthermore, excellent correlations were observed between the flexural strength and ultimate impact resistance. The flexural toughness was also strongly correlated with ultimate impact toughness. Strong relationships were noticed for these properties because they varied following a similar trend for the fiber contents and lengths used in this study.
This study has provided valuable insights into the impact resistance and other attributes of PVC fiber-reinforced concrete, as well as the relationships among different mechanical properties. However, it is important to acknowledge certain limitations of this study. The properties of PVC fibers, such as the tensile strength and percentage of elongation, should be determined to correlate with the behavior of concrete during different mechanical tests of the specimens containing various amounts of fiber. Additionally, the chemical treatment of PVC fibers can be performed to increase the adhesion of the fibers which will certainly provide better bonding within the concrete mixture. Despite these limitations, the present study contributes to the growing body of knowledge in the field of fiber-reinforced concrete and opens avenues for further research.
6. Recommendations
It is recommended to conduct further experiments to collect data after shorter curing periods, such as 3, 7, and 14 days, to better understand the early strength development of PVC fiber-reinforced concrete. This could provide valuable insights into the behavior of this concrete during the initial stages of curing. Again, future investigations could explore alternative curing methods, including self-curing, to assess their impact on the mechanical properties and long-term performance of PVC fiber-reinforced concrete. Comparing the effects of different curing techniques could contribute to optimizing the properties and durability of concrete. Additionally, the influence of temperature on the properties of PVC fiber-reinforced concrete remained unexplored in this study. A recommended area of future research is to investigate the effect of varying temperatures on the mechanical behavior and structural integrity of PVC fiber-reinforced concrete. This is particularly relevant for real-world applications where the concrete may be exposed to temperature fluctuations. Lastly, expanding the scope of this research to consider practical applications and structural performance under various loading conditions could further enhance the understanding of the suitability of using PVC plastic fibers in concrete for construction projects.
Author Contributions
Conceptualization, T.I. and M.S.; methodology, R.A.R., B.C. and A.A.M.; validation, T.I. and M.S.; formal analysis, T.I., M.S., R.A.R., B.C. and A.A.M.; investigation, T.I., M.S., R.A.R., B.C. and A.A.M.; resources, T.I.; data curation, R.A.R., B.C. and A.A.M.; writing—original draft preparation, T.I., M.S., R.A.R., B.C. and A.A.M.; writing—review and editing, T.I. and M.S.; visualization, T.I., M.S., R.A.R., B.C. and A.A.M.; supervision, T.I. and M.S.; project administration, T.I. All authors have read and agreed to the published version of the manuscript.
Funding
The authors state that they did not receive any funds, grants, or other types of support while preparing this article.
Data Availability Statement
The data were generated during the experimental study and are contained within the article.
Conflicts of Interest
The authors declare no conflict of interest.
References
- Huysman, S.; De Schaepmeester, J.; Ragaert, K.; Dewulf, J.; De Meester, S. Performance indicators for a circular economy: A case study on post-industrial plastic waste. Resour. Conserv. Recycl. 2017, 120, 46–54. [Google Scholar] [CrossRef]
- Eriksen, M.; Lebreton, L.C.M.; Carson, H.S.; Thiel, M.; Moore, C.J.; Borerro, J.C.; Galgani, F.; Ryan, P.G.; Reisser, J. Plastic pollution in the world’s oceans: More than 5 trillion plastic pieces weighing over 250,000 tons afloat at sea. PLoS ONE 2014, 9, e111913. [Google Scholar] [CrossRef] [PubMed]
- Jambeck, J.R.; Geyer, R.; Wilcox, C.; Siegler, T.R.; Perryman, M.; Andrady, A.; Narayan, R.; Law, K.L. Marine pollution. Plastic waste inputs from land into the ocean. Science 2015, 347, 768–771. [Google Scholar] [CrossRef]
- Sussarellu, R.; Suquet, M.; Thomas, Y.; Lambert, C.; Fabioux, C.; Pernet, M.E.J.; Le Goïc, N.; Quillien, V.; Mingant, C.; Epelboin, Y.; et al. Oyster reproduction is affected by exposure to polystyrene microplastics. Proc. Natl. Acad. Sci. USA 2016, 113, 2430–2435. [Google Scholar] [CrossRef]
- Green, D.S.; Boots, B.; O’Connor, N.E.; Thompson, R. Microplastics affect the ecological functioning of an important biogenic habitat. Environ. Sci. Technol. 2017, 51, 68–77. [Google Scholar] [CrossRef]
- MacArthur, D.E. Beyond plastic waste. Science 2017, 358, 843. [Google Scholar] [CrossRef]
- Lamb, J.B.; Willis, B.L.; Fiorenza, E.A.; Couch, C.S.; Howard, R.; Rader, D.N.; True, J.D.; Kelly, L.A.; Ahmad, A.; Jompa, J.; et al. Plastic waste associated with disease on coral reefs. Science 2018, 359, 460–462. [Google Scholar] [CrossRef]
- Jiang, B.; Yu, J.; Liu, Y. The environmental impact of plastic waste. J. Environ. Earth Sci. 2020, 2, 26–35. [Google Scholar] [CrossRef]
- Sivakumar, K. Negative impacts of plastic pollution—A major threat to our environment. Oceanogr. Fish. Open Access J. 2018, 8, 45–47. [Google Scholar] [CrossRef]
- Siddique, R.; Khatib, J.; Kaur, I. Use of recycled plastic in concrete: A review. Waste Manag. 2008, 28, 1835–1852. [Google Scholar] [CrossRef] [PubMed]
- Kanda, T.; Li, V.C. Interface property and apparent strength of high-strength hydrophilic fiber in cement matrix. J. Mater. Civ. Eng. 1998, 10, 5–13. [Google Scholar] [CrossRef]
- Cengiz, O.; Turanli, L. Comparative evaluation of steel mesh, steel fibre and high-performance polypropylene fibre reinforced shotcrete in panel test. Cem. Concr. Res. 2004, 34, 1357–1364. [Google Scholar] [CrossRef]
- Aulia, T.B. Effects of polypropylene fibers on the properties of high-strength concretes. Lacer 2002, 7, 43–59. Available online: https://www.researchgate.net/publication/292307093 (accessed on 10 October 2022).
- Meena, A.; Surendranath, A.; Ramana, P.V. Assessment of mechanical properties and workability for polyethylene terephthalate fiber reinforced concrete. Mater. Today Proc. 2022, 50, 2307–2314. [Google Scholar] [CrossRef]
- Dong, C.; Zhang, Q.; Chen, C.; Jiang, T.; Guo, Z.; Liu, Y.; Lin, S. Fresh and hardened properties of recycled plastic fiber reinforced self-compacting concrete made with recycled concrete aggregate and fly ash, slag, silica fume. J. Build. Eng. 2022, 62, 105384. [Google Scholar] [CrossRef]
- Usman, N.; Masirin, M.I.M. Performance of asphalt concrete with plastic fibres. In Use of Recycled Plastics in Eco-Efficient Concrete; Woodhead Publishing: Sawston, UK, 2019; pp. 427–440. [Google Scholar] [CrossRef]
- Ahmadinia, E.; Zargar, M.; Karim, M.R.; Abdelaziz, M.; Shafigh, P. Using waste plastic bottles as additive for stone mastic asphalt. Mater. Des. 2011, 32, 4844–4849. [Google Scholar] [CrossRef]
- Kalantar, Z.N.; Karim, M.R.; Mahrez, A. A review of using waste and virgin polymer in pavement. Constr. Build. Mater. 2012, 33, 55–62. [Google Scholar] [CrossRef]
- Nelson, P.K.; Li, V.C.; Kamada, T. Fracture toughness of micro-fiber reinforced cement composites. J. Mater. Civ. Eng. 2002, 14, 384–391. [Google Scholar] [CrossRef]
- Mu, B.; Li, Z.; Peng, J. Short fiber-reinforced cementitious extruded plates with high percentage of slag and different fibers. Cem. Concr. Res. 2000, 30, 1277–1282. [Google Scholar] [CrossRef]
- Ochi, T.; Okubo, S.; Fukui, K. Development of recycled PET fiber and its application as concrete-reinforcing fiber. Cem. Concr. Compos. 2007, 29, 448–455. [Google Scholar] [CrossRef]
- Reddy, K.C.; Giribabu, B. Assessment of recycled waste fiber and BC soil on the performance of hybrid concrete: Reaction and subsequent sulfuric acid exposure. Innov. Infrastruct. Solut. 2023, 8, 114. [Google Scholar] [CrossRef]
- Piryaei, M.; Komasi, M.; Hormozinejad, Y. Experimental evaluation on behavior of poly propylene fiber-reinforced concrete containing poly carboxylate ether and E205 additives. Constr. Build. Mater. 2022, 347, 128142. [Google Scholar] [CrossRef]
- Revathi, S.; Kumar, P.S.; Suresh, D.; Anwar, S.T. Behaviour of concrete with PET bottles as fibers & silica fume as partial replacement of cement. Mater. Today Proc. 2023, in press. [Google Scholar] [CrossRef]
- Singh, K. Partial replacement of cement with polyethylene terephthalate fiber to study its effect on various properties of concrete. Mater. Today Proc. 2021, 37, 3270–3274. [Google Scholar] [CrossRef]
- Smaoui, H.; Trabelsi, A.; Kammoun, Z.; Aouicha, B. Mechanical, physical, blast waves and ballistic impact resistance properties of a concrete incorporating thermally treated PET inclusions. Constr. Build. Mater. 2023, 365, 130088. [Google Scholar] [CrossRef]
- Ahmed, H.U.; Faraj, R.H.; Hilal, N.; Mohammed, A.A.; Sherwani, A.F.H. Use of recycled fibers in concrete composites: A systematic comprehensive review. Compos. Part B Eng. 2021, 215, 108769. [Google Scholar] [CrossRef]
- Marthong, C.; Marthong, S. An experimental study on the effect of PET fibers on the behavior of exterior RC beam-column connection subjected to reversed cyclic loading. Structures 2016, 5, 175–185. [Google Scholar] [CrossRef]
- Yin, S.; Tuladhar, R.; Riella, J.; Chung, D.; Collister, T.; Combe, M.; Sivakugan, N. Comparative evaluation of virgin and recycled polypropylene fibre reinforced concrete. Constr. Build. Mater. 2016, 114, 134–141. [Google Scholar] [CrossRef]
- Khatab, H.R.; Mohammed, S.J.; Hameed, L.A. Mechanical properties of concrete containing waste fibers of plastic straps. IOP Conf. Ser. Mater. Sci. Eng. 2019, 557, 012059. [Google Scholar] [CrossRef]
- Bhogayata, A.C.; Arora, N.K. Fresh and strength properties of concrete reinforced with metalized plastic waste fibers. Constr. Build. Mater. 2017, 146, 455–463. [Google Scholar] [CrossRef]
- Mehvish, F.; Ahmed, A.; Saleem, M.M.; Saleem, M.A. Characterization of concrete incorporating waste polythene bags fibers. Pak. J. Eng. Appl. Sci. 2020, 26, 93–101. Available online: https://journal.uet.edu.pk/ojs_old/index.php/pjeas/article/view/2046 (accessed on 15 October 2022).
- Fraternali, F.; Spadea, S.; Berardi, V.P. Effects of recycled PET fibres on the mechanical properties and seawater curing of Portland cement-based concretes. Constr. Build. Mater. 2014, 61, 293–302. [Google Scholar] [CrossRef]
- Jain, A.; Siddique, S.; Gupta, T.; Jain, S.; Sharma, R.K.; Chaudhary, S. Evaluation of concrete containing waste plastic shredded fibers: Ductility properties. Struct. Concr. 2021, 22, 566–575. [Google Scholar] [CrossRef]
- Borg, R.P.; Baldacchino, O.; Ferrara, L. Early age performance and mechanical characteristics of recycled PET fibre reinforced concrete. Constr. Build. Mater. 2016, 108, 29–47. [Google Scholar] [CrossRef]
- Mohammed, A.A.; Rahim, A.A.F. Experimental behavior and analysis of high strength concrete beams reinforced with PET waste fiber. Constr. Build. Mater. 2020, 244, 118350. [Google Scholar] [CrossRef]
- Nili, M.; Afroughsabet, V. The effects of silica fume and polypropylene fibers on the impact resistance and mechanical properties of concrete. Constr. Build. Mater. 2010, 24, 927–933. [Google Scholar] [CrossRef]
- Nili, M.; Afroughsabet, V. Combined effect of silica fume and steel fibers on the impact resistance and mechanical properties of concrete. Int. J. Impact Eng. 2010, 37, 879–886. [Google Scholar] [CrossRef]
- Foti, D. Preliminary analysis of concrete reinforced with waste bottles PET fibers. Constr. Build. Mater. 2011, 25, 1906–1915. [Google Scholar] [CrossRef]
- Francioso, V.; Moro, C.; Castillo, A.; Velay-Lizancos, M. Effect of elevated temperature on flexural behavior and fibers-matrix bonding of recycled PP fiber-reinforced cementitious composite. Constr. Build. Mater. 2021, 269, 121243. [Google Scholar] [CrossRef]
- Thomas, L.M.; Moosvi, S.A. Hardened properties of binary cement concrete with recycled PET bottle fiber: An experimental study. Mater. Today Proc. 2020, 32, 632–637. [Google Scholar] [CrossRef]
- Adda, H.M.; Slimane, M. Study of concretes reinforced by plastic fibers based on local materials. Int. J. Eng. Res. Afr. 2019, 42, 100–108. [Google Scholar] [CrossRef]
- Al-Hadithi, A.I.; Noaman, A.T.; Mosleh, W.K. Mechanical properties and impact behavior of PET fiber reinforced self-compacting concrete (SCC). Compos. Struct. 2019, 224, 111021. [Google Scholar] [CrossRef]
- Matar, P.; Zéhil, G.P. Effects of polypropylene fibers on the physical and mechanical properties of recycled aggregate concrete. J. Wuhan Univ. Technol. Mater. Sci. Ed. 2019, 34, 1327–1344. [Google Scholar] [CrossRef]
- Das, C.S.; Dey, T.; Dandapat, R.; Mukharjee, B.B.; Kumar, J. Performance evaluation of polypropylene fibre reinforced recycled aggregate concrete. Constr. Build. Mater. 2018, 189, 649–659. [Google Scholar] [CrossRef]
- Khalid, F.S.; Irwan, J.M.; Ibrahim, M.H.W.; Othman, N.; Shahidan, S. Performance of plastic wastes in fiber-reinforced concrete beams. Constr. Build. Mater. 2018, 183, 451–464. [Google Scholar] [CrossRef]
- Setiawan, A.A.; Philip, F.J.; Permanasari, E. Mechanical properties of waste plastic banner fiber reinforced concrete. J. Teknol. 2018, 80, 113–119. [Google Scholar] [CrossRef]
- Sanjaykumar, B.; Daule, S.N. Use of plastic fiber in the concrete. Int. J. Civ. Eng. 2017, 4, 4–7. [Google Scholar] [CrossRef]
- Venugopal, B.; Sumitha, V.; Tamilarasan, A.; Kalaimani, R. Fibre reinforced concrete using domestic waste plastics as fibres. Int. J. Sci. Res. Publ. 2016, 6, 373–380. Available online: www.ijsrp.org (accessed on 9 October 2022).
- Hossen, M.B. Determination of Optimum Fiber Content for Fiber Reinforced Micro Concrete. Master’s Thesis, Civil and Structural Engineering Thesis, Department of Civil Engineering, Bangladesh University of Engineering and Technology, Dhaka, Bangladesh, 2016. Available online: http://lib.buet.ac.bd:8080/xmlui/bitstream/handle/123456789/4497/Full%20Thesis.pdf?sequence=1&isAllowed=y (accessed on 12 October 2022).
- Pešić, N.; Živanović, S.; Garcia, R.; Papastergiou, P. Mechanical properties of concrete reinforced with recycled HDPE plastic fibres. Constr. Build. Mater. 2016, 115, 362–370. [Google Scholar] [CrossRef]
- Nibudey, R.N.; Nagarnaik, P.B.; Parbat, D.K.; Pande, A.M. Strengths prediction of plastic fiber reinforced concrete (M30). Int. J. Eng. Res. Appl. 2013, 3, 1818–1825. Available online: www.ijera.com (accessed on 12 October 2022).
- Prahallada, M.C.; Prakash, K. Strength and workability characteristics of waste plastic fibre reinforced concrete produced from recycled aggregates. Int. J. Eng. Res. Appl. 2011, 1, 1791–1802. Available online: www.ijera.com (accessed on 10 October 2022).
- Bayasi, Z.; Zeng, J. Properties of polypropylene fiber reinforced concrete. ACI Mater. J. 1993, 90, 605–610. [Google Scholar] [CrossRef]
- Foti, D.; Paparella, F. Impact behavior of structural elements in concrete reinforced with PET grids. Mech. Res. Commun. 2014, 57, 57–66. [Google Scholar] [CrossRef]
- Soroushian, P.; Plasencia, J.; Ravanbakhsh, S. Assessment of reinforcing effects of recycled plastic and paper in concrete. ACI Mater. J. 2003, 100, 203–207. [Google Scholar] [CrossRef]
- ASTM C33/C33M−18; Standard Specification for Concrete Aggregates. ASTM International: West Conshohocken, PA, USA, 2018. [CrossRef]
- ACI Committee 211.1; Standard Practice for Selecting Proportions for Normal, Heavyweight, and Mass Concrete (ACI 211.1R-02). American Concrete Institute: Farmington Hills, MI, USA, 2002.
- ASTM C143/143 M; Standard Test Method for Slump of Hydraulic-Cement Concrete. ASTM International: West Conshohocken, PA, USA, 2010. Available online: https://www.astm.org/ (accessed on 12 February 2018).
- ASTM C39/C39M; Standard Test Method for Compressive Strength of Cylindrical Concrete Specimens. ASTM International: West Conshohocken, PA, USA, 2021. [CrossRef]
- ASTM C469/C469M; Standard Test Method for Static Modulus of Elasticity and Poisson’s Ratio of Concrete in Compression. ASTM International: West Conshohocken, PA, USA, 2022. [CrossRef]
- ASTM C496/C 496M; Standard Test Method for Splitting Tensile Strength of Cylindrical Concrete Specimens. ASTM International: West Conshohocken, PA, USA, 2004. [CrossRef]
- ASTM C293/C293M; Standard Test Method for Flexural Strength of Concrete (Using Simple Beam with Center-Point Loading). ASTM International: West Conshohocken, PA, USA, 2016. [CrossRef]
- ACI 544.2R; Measurement of Properties of Fiber Reinforced Concrete. American Concrete Institute: Farmington Hills, MI, USA, 1999.
- Mastali, M.; Dalvand, A. The impact resistance and mechanical properties of self-compacting concrete reinforced with recycled CFRP pieces. Compos. Part B Eng. 2016, 92, 360–376. [Google Scholar] [CrossRef]
- Alshkane, Y.M.; Rafiq, S.K.; Boiny, H.U. Correlation between destructive and non-destructive tests on the mechanical properties of different cement mortar mixtures incorporating polyethylene terephthalate fibers. Sulaimani J. Eng. Sci. 2017, 4, 67–73. [Google Scholar] [CrossRef]
- Al-Hadithi, A.I.; Abbas, M.A. The effects of adding waste plastic fibers on the mechanical properties and shear strength of reinforced concrete beams. Iraqi J. Civ. Eng. 2018, 12, 110–124. [Google Scholar] [CrossRef]
- Kim, S.B.; Yi, N.H.; Kim, H.Y.; Kim, J.H.J.; Song, Y.C. Material and structural performance evaluation of recycled PET fiber reinforced concrete. Cem. Concr. Compos. 2010, 32, 232–240. [Google Scholar] [CrossRef]
- Awal, A.S.M.A.; Mohammadhosseini, H. Green concrete production incorporating waste carpet fiber and palm oil fuel ash. J. Clean. Prod. 2016, 137, 157–166. [Google Scholar] [CrossRef]
- Moore, D.S.; Kirkland, S. The Basic Practice of Statistics; WH Freeman: New York, NY, USA, 2007. [Google Scholar]
Disclaimer/Publisher’s Note: The statements, opinions and data contained in all publications are solely those of the individual author(s) and contributor(s) and not of MDPI and/or the editor(s). MDPI and/or the editor(s) disclaim responsibility for any injury to people or property resulting from any ideas, methods, instructions or products referred to in the content. |
© 2023 by the authors. Licensee MDPI, Basel, Switzerland. This article is an open access article distributed under the terms and conditions of the Creative Commons Attribution (CC BY) license (https://creativecommons.org/licenses/by/4.0/).
















