Climatic Variability in Altitude: Architecture, Thermal Comfort, and Safety along the Facade of a Residential Tower in the Mediterranean Climate
Abstract
1. Introduction
2. Background Studies
3. Materials and Methods
3.1. The Case-Study
- Floor 4 (West orientation): 4.65 m ground level floor-to-floor height + 3.1 (typical floor height) × 3 + a half floor = 4.65 + 9.3 + 1.6 = 15.55 m
- Floor 15 (South orientation): 4.65 m ground level floor-to-floor height + 3.1 (typical floor height) × 14 + a half floor = 4.65 + 43.4 + 1.6 = 49.65 m
- Floor 17 (West orientation): 4.65 m ground level floor-to-floor height + 3.1 (typical floor height) × 16 + a half floor = 4.65 + 49.6 + 1.6 = 55.85 m
- Floor 28 (West orientation): 4.65 m ground level floor-to-floor height + 3.1 (typical floor height) × 27 + a half floor = 4.65 + 83.7 + 1.6 = 89.95 m
3.2. Micro-Meteorological Measurements
4. Results
4.1. Summer Period
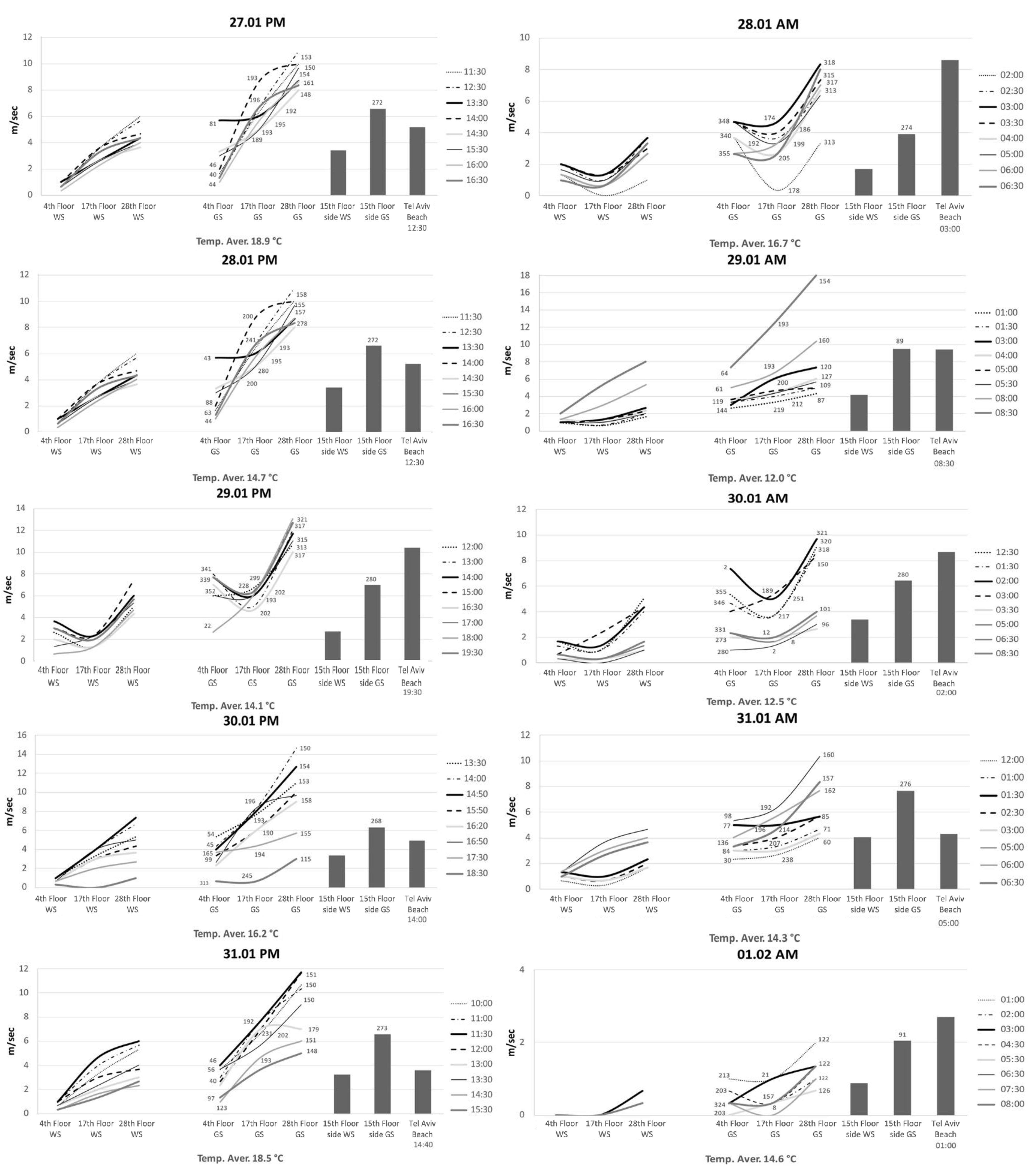
4.2. Winter Period
Diurnal Cycle of Hourly Air Velocities
4.3. Wind Comfort Criteria
4.4. Resident Survey
5. Discussion
6. Conclusions
Author Contributions
Funding
Data Availability Statement
Acknowledgments
Conflicts of Interest
References
- Cook, R.; Browning, B.; Garvin, C. Sustainability and energy considerations. In The Tall Buildings Reference Book; Routledge: London, UK, 2013; pp. 145–155. [Google Scholar]
- Donnolo, M.; Galatro, V.; Janes, L. Bank of America Tower at One Bryant Park: New York City, NY: Ventilation in Wonderland. High Perform. Build. 2014, pp. 51–58. Available online: http://www.hpbmagazine.org/attachments/article/11791/14Su-Bank-of-America-Tower-at-One-Bryant-Park-New-York-City-NY.pdf (accessed on 16 March 2019).
- Simmonds, P. American Society of Heating, Refrigerating and Air-Conditioning Engineers. ASHRAE Design Guide for Tall, Supertall, and Megatall Building Systems; American Society of Heating, Refrigerating and Air-Conditioning Engineers: Peachtree Corners, GA, USA, 2015. [Google Scholar]
- EU. Directive 2010/31/EU of the European Parliament and of the Council of 19 May 2010 on the Energy Performance of Buildings. Off. J. Eur. Union 2010, 153, 13–35. [Google Scholar]
- GBEE. About PlaNYC Green Buildings & Energy Efficiency. 2015. Available online: https://www1.nyc.gov/html/gbee/html/about/about.shtml (accessed on 10 February 2019).
- Voss, K.; Musall, E.; Lichtmeß, M. From Low-Energy to Net Zero-Energy Buildings: Status and Perspectives. J. Green Build. 2011, 6, 46–57. [Google Scholar] [CrossRef]
- Al-Kodmany, K. Sustainability and the 21st Century Vertical City: A Review of Design Approaches of Tall Buildings. Buildings 2018, 8, 102. [Google Scholar] [CrossRef]
- Ali, M.; Armstrong, P. Overview of Sustainable Design Factors in High-Rise Buildings. In Proceedings of the CTBUH 8th World Congress, Dubai, United Arab Emirates, 3–5 March 2008; Available online: http://grundfos.kernelglobal.dk/BLUEPRINT/BP_03_2011/GJP/3_DOWNLOAD_FILES/3_SPREAD3/B4/Future-high-rise-technology-water.pdf (accessed on 19 December 2019).
- Cangelli, E.; Fais, L. Energy and environmental performance of tall buildings: State of the art. Adv. Build. Energy Res. 2012, 6, 36–60. [Google Scholar] [CrossRef]
- Gültekin, A.B.; Yavaşbatmaz, S. Sustainable design of tall buildings. J. Croat. Assoc. Civ. Eng. 2013, 65, 449–461. [Google Scholar] [CrossRef]
- Holtermans, R.; Kok, N.; Pogue, D. International Green Building Adoption Index 2018. CBRE, 2018. Available online: https://static1.squarespace.com/static/57fa8eb0b3db2b529d44fa66/t/5ade1f3188251b9506c7b346/1524506429700/IGBAI2018.pdf (accessed on 13 March 2018).
- Long, M. Green Building Accelerates around the World, Poised for Strong Growth by 2021; USGBC: Washington, DC, USA, 2018; Available online: https://www.usgbc.org/articles/green-building-accelerates-around-world-poised-strong-growth-2021 (accessed on 8 March 2020).
- Wood, A.; Salib, R. Natural Ventilation in High-Rise Office Buildings; CTBUH Techical Guide; Routledge: London, UK, 2013; Available online: https://store.ctbuh.org/PDF_Previews/Reports/2012_CTBUHNaturalVentilationGuide_Preview.pdf (accessed on 16 February 2019).
- Calhoun, K.; Torbert, R. The Bank of America Tower—What Is and What Could Have Been. RMI OUTLET: Plug into New Ideas. 2013. Available online: http://blog.rmi.org/blog_2013_09_05_the_bank_of_america_tower (accessed on 15 March 2020).
- Short, C.A.; Song, J.; Mottet, L.; Chen, S.; Wu, J.; Ge, J. Challenges in the low-carbon adaptation of China’s apartment towers. Build. Res. Inf. 2018, 46, 899–930. [Google Scholar] [CrossRef]
- Tong, Z.; Chen, Y.; Malkawi, A. Estimating natural ventilation potential for high-rise buildings considering boundary layer meteorology. Appl. Energy 2017, 193, 276–286. [Google Scholar] [CrossRef]
- Roaf, S.; Crichton, D.; Nicol, F. Natural Ventilation in High-Rise Office Buildings. In Adapting Buildings and Cities for Climate Change—A 21st Century Survival Guide, 2nd ed.; Elsevier Ltd.: Amsterdam, The Netherlands, 2009; pp. 205–236. Available online: http://library.uniteddiversity.coop/Ecological_Building/Adapting_Buildings_and_Cities_for_Climate_Change.pdf (accessed on 15 June 2019).
- Ahlfeldt, G.; McMillen, D.P. Tall Buildings and Land Values: Height and Construction Cost Elasticities in Chicago, 1870–2010. Rev. Econ. Stat. 2018, 100, 861–875. [Google Scholar] [CrossRef]
- Choi, H.S.; Ho, G.; Joseph, L.; Mathias, N. CTBUH Height Criteria. In Outrigger Design for High-Rise Buildings, 1st ed.; Routledge: Abingdon, UK, 2012; pp. 80–82. [Google Scholar] [CrossRef]
- Lotfabadi, P. Analyzing passive solar strategies in the case of high-rise building. Renew. Sustain. Energy Rev. 2015, 52, 1340–1353. [Google Scholar] [CrossRef]
- Lotfabadi, P. Solar considerations in high-rise buildings. Energy Build. 2015, 89, 183–195. [Google Scholar] [CrossRef]
- Torcellini, P.; Pless, S.; Deru, M.; Crawley, D. Zero Energy Buildings: A Critical Look at the Definition. In Proceedings of the ACEEE Summer Study, Pacific Grove, CA, USA, 14–18 August 2006; Available online: http://www.nrel.gov/docs/fy06osti/39833.pdf (accessed on 20 April 2019).
- Acero, J.A.; Koh, E.J.; Ruefenacht, L.A.; Norford, L.K. Modelling the influence of high-rise urban geometry on outdoor thermal comfort in Singapore. Urban Clim. 2021, 36, 100775. [Google Scholar] [CrossRef]
- Allegrini, J.; Carmeliet, J. Coupled CFD and building energy simulations for studying the impacts of building height topology and buoyancy on local urban microclimates. Urban Clim. 2017, 21, 278–305. [Google Scholar] [CrossRef]
- Forouzandeh, A. Numerical modeling validation for the microclimate thermal condition of semi-closed courtyard spaces between buildings. Sustain. Cities Soc. 2018, 36, 327–345. [Google Scholar] [CrossRef]
- Kubota, T.; Miura, M.; Tominaga, Y.; Mochida, A. Wind tunnel tests on the relationship between building density and pedestrian-level wind velocity: Development of guidelines for realizing acceptable wind environment in residential neighborhoods. Build. Environ. 2008, 43, 1699–1708. [Google Scholar] [CrossRef]
- Stavrakakis, G.; Tzanaki, E.; Genetzaki, V.; Anagnostakis, G.; Galetakis, G.; Grigorakis, E. A computational methodology for effective bioclimatic-design applications in the urban environment. Sustain. Cities Soc. 2012, 4, 41–57. [Google Scholar] [CrossRef]
- Anon. Minimum Design Loads for Buildings and Other Structures. In ANSI/ASCE Standard; (Issue 7 98); American Society of Civil Engineers: Reston, VA, USA, 2000. [Google Scholar] [CrossRef]
- Avini, R.; Kumar, P.; Hughes, S.J. Wind loading on high-rise buildings and the comfort effects on the occupants. Sustain. Cities Soc. 2018, 45, 378–394. [Google Scholar] [CrossRef]
- Dimoudi, A.; Kantzioura, A.; Zoras, S.; Pallas, C.; Kosmopoulos, P. Investigation of urban microclimate parameters in an urban center. Energy Build. 2013, 64, 1–9. [Google Scholar] [CrossRef]
- EN 1991-1-4; 2005 Wind Actions. EUROCODES: Brussels, Belgium, 2008.
- Okafor, C.V.; Okolie, K.C.; Cyril, M.E.; Okafor, C.P. Analysis of Wind Effect on High-Rise Building for Different Terrain Category. Eur. J. Eng. Technol. Res. 2017, 2, 23–30. [Google Scholar] [CrossRef]
- Robertson, L.E.; Naka, T. Tall Building Criteria and Loading; ASCE Publications: Reston, VA, USA, 1980. [Google Scholar]
- Taniike, Y. Interference mechanism for enhanced wind forces on neighboring tall buildings. J. Wind. Eng. Ind. Aerodyn. 1992, 42, 1073–1083. [Google Scholar] [CrossRef]
- Yang, F. High-Rise Urban Form and Environmental Performance—An Overview on Integrated Approaches to Urban Design for a Sustainable High-Rise Urban Future. Int. J. High-Rise Build. 2016, 5, 87–94. [Google Scholar] [CrossRef][Green Version]
- Elshaer, A.; Gairola, A.; Adamek, K.; Bitsuamlak, G. Variations in wind load on tall buildings due to urban development. Sustain. Cities Soc. 2017, 34, 264–277. [Google Scholar] [CrossRef]
- Liu, X.; Huang, B.; Li, R.; Zhang, J.; Gou, Q.; Zhou, T.; Huang, Z. Wind environment assessment and planning of urban natural ventilation corridors using GIS: Shenzhen as a case study. Urban Clim. 2022, 42, 101091. [Google Scholar] [CrossRef]
- Liu, Y.; Xu, Y.; Zhang, F.; Shu, W. A preliminary study on the influence of Beijing urban spatial morphology on near-surface wind speed. Urban Clim. 2020, 34, 100703. [Google Scholar] [CrossRef]
- Wang, W.; Wang, D.; Chen, H.; Wang, B.; Chen, X. Identifying urban ventilation corridors through quantitative analysis of ventilation potential and wind characteristics. Build. Environ. 2022, 214, 108943. [Google Scholar] [CrossRef]
- Chauhan, B.S.; Chakrabarti, A.; Ahuja, A.K. Study of wind loads on rectangular plan tall building under interference condition. Structures 2022, 43, 105–130. [Google Scholar] [CrossRef]
- Kim, J.-W.; Baik, J.-J.; Han, B.-S.; Lee, J.; Jin, H.-G.; Park, K.; Yang, H.; Park, S.-B. Tall-building effects on pedestrian-level flow and pollutant dispersion: Large-eddy simulations. Atmos. Pollut. Res. 2022, 13, 101500. [Google Scholar] [CrossRef]
- Boiné, K.; Demers, C.M.; Potvin, A. Spatio-temporal promenades as representations of urban atmospheres. Sustain. Cities Soc. 2018, 42, 674–687. [Google Scholar] [CrossRef]
- Deng, J.-Y.; Wong, N.H. Impact of urban canyon geometries on outdoor thermal comfort in central business districts. Sustain. Cities Soc. 2019, 53, 101966. [Google Scholar] [CrossRef]
- Zhao, H.; Xu, G.; Shi, Y.; Li, J.; Zhang, Y. The characteristics of dynamic and non-uniform thermal radiation experienced by pedestrians in a street canyon. Build. Environ. 2022, 222, 109361. [Google Scholar] [CrossRef]
- ASHRAE. Airflow around Buildings. In ASHARE Fundamentals; American Society of Heating, Refrigeration, and Air Conditioning Engineers: Peachtree Corners, GA, USA, 2009. [Google Scholar]
- NOAA; NASA; USAI. U.S. Standard Atmosphere 1976 (Vol. 1); National Oceanic and Atmospheric Administration: Washington, DC, USA; National Aeronautics and Space Administration: Washington, DC, USA; United States Air Force: Washington, DC, USA, 1976. [Google Scholar] [CrossRef]
- Ellis, P.G.; Torcellini, P.A. Simulating tall buildings using EnergyPlus. In Proceedings of the Ninth International Building Performance Simulation Association (IBPSA) Conference and Exhibition (Building Simulation 2005), Montréal, QC, Canada, 15–18 August 2005. [Google Scholar]
- Lotfabadi, P. High-rise buildings and environmental factors. Renew. Sustain. Energy Rev. 2014, 38, 285–295. [Google Scholar] [CrossRef]
- Saroglou, T.; Theodosiou, T.; Givoni, B.; Meir, I.A. Studies on the optimum double-skin curtain wall design for high-rise buildings in the Mediterranean climate. Energy Build. 2020, 208, 109641. [Google Scholar] [CrossRef]
- Saroglou, T.; Theodosiou, T.; Meir, I.A. Improving the Energy Efficiency of a Mediterranean High-Rise Envelope. CTBUH J. Int. J. Tall Build. Urban Habitat II. 2020, pp. 20–27. Available online: https://global.ctbuh.org/resources/papers/download/4301-improving-the-energy-efficiency-of-a-mediterranean-high-rise-envelope.pdf (accessed on 10 September 2020).
- Saroglou, T.; Itzhak-Ben-Shalom, H.; Meir, I.A. Pedestrian thermal perception: Studies around two high-rise buildings in the Mediterranean climate. Build. Res. Inf. 2021, 50, 171–191. [Google Scholar] [CrossRef]
- Feng, X.; Myint, S.W. Exploring the effect of neighboring land cover pattern on land surface temperature of central building objects. Build. Environ. 2016, 95, 346–354. [Google Scholar] [CrossRef]
- Leung, L.; Ray, S.D. New York City Energy Benchmarking Data Paper Type: Low-energy Tall Buildings? Room for Improvement as Demonstrated by New York City Energy Benchmarking Data. Int. J. High-Rise Build. 2013, 2, 285–291. Available online: http://global.ctbuh.org/resources/papers/download/2276-low-energy-tall-buildings-room-for-improvement-as-demonstrated-by-new-york-city-energy-benchmarking-data.pdf (accessed on 15 December 2018).
- Zhang, J.; Li, Z.; Wei, Y.; Hu, D. The impact of the building morphology on microclimate and thermal comfort-a case study in Beijing. Build. Environ. 2022, 223, 109469. [Google Scholar] [CrossRef]
- Fox, J. Tel Aviv’s Skyline in 2025. Sustainable City Blog. 2011. Available online: http://www.sustainablecityblog.com/2011/03/tel-avivs-skyline-in-2025/ (accessed on 25 April 2019).
- SI 1045. Thermal Insulation of Buildings. The Standards Institution of Israel: Tel Aviv, Israel, 2019.
- Bitan, A.; Rubin, S. Climatic Atlas of Israel for Physical and Environmental Planning and Design; Ramot Publishing: Tel Aviv, Israel, 1991. [Google Scholar]
- Hunt, J.; Poulton, E.; Mumford, J. The effects of wind on people; New criteria based on wind tunnel experiments. Build. Environ. 1976, 11, 15–28. [Google Scholar] [CrossRef]
- Melbourne, W. Criteria for environmental wind conditions. J. Wind Eng. Ind. Aerodyn. 1978, 3, 241–249. [Google Scholar] [CrossRef]
- Liu, J.; Niu, J.; Mak, C.M.; Xia, Q. Detached eddy simulation of pedestrian-level wind and gust around an elevated building. Build. Environ. 2017, 125, 168–179. [Google Scholar] [CrossRef]
- CTBUH. Calculating the Height of a Tall Building Where Only the Number of Stories Is Known. 2015. Available online: http://www.ctbuh.org/TallBuildings/HeightStatistics/HeightCalculator/tabid/1007/language/en-GB/Default.aspx (accessed on 10 April 2019).
- Blocken, B.B.; Carmeliet, J. Pedestrian Wind Environment around Buildings: Literature Review and Practical Examples. J. Therm. Envel. Build. Sci. 2004, 28, 107–159. [Google Scholar] [CrossRef]
- Lawson, T.V.; Penwarden, A.D. The effetcs of wind on people in the vicinity of buildings. In Proceedings of the 4th International Conference on Wind Effects on Buildings and Structures, London, UK, 10–13 September 1975; pp. 605–622. [Google Scholar]
- Cohen, P.; Potchter, O.; Matzarakis, A. Human thermal perception of Coastal Mediterranean outdoor urban environments. Appl. Geogr. 2013, 37, 1–10. [Google Scholar] [CrossRef]
- ASHRAE. Thermal Environmental Conditions for Human Occupancy; American Society of Heating, Refrigerating and Air-Conditioning Engineers (ANSI/ASHRAE) Standards: Peachtree Corners, GA, USA, 1992. [Google Scholar]
- Spagnolo, J.; de Dear, R. A field study of thermal comfort in outdoor and semi-outdoor environments in subtropical Sydney Australia. Build. Environ. 2003, 38, 721–738. [Google Scholar] [CrossRef]
- ASHRAE 2004–ANSI/ASHRAE Standard 55-2004. Thermal Environmental Conditions for Human Occupancy. American Society of Heating, Refrigerating and Air-Conditioning Engineers: Peachtree Corners, GA, USA, 2004; 2004.
- Coccolo, S.; Kämpf, J.; Scartezzini, J.-L.; Pearlmutter, D. Outdoor human comfort and thermal stress: A comprehensive review on models and standards. Urban Clim. 2016, 18, 33–57. [Google Scholar] [CrossRef]
- Olwig, K.R. Life between Buildings: Using Public Space. Landsc. J. 1989, 8, 54–55. [Google Scholar] [CrossRef]
- Szűcs, Á. Wind comfort in a public urban space—Case study within Dublin Docklands. Front. Arch. Res. 2013, 2, 50–66. [Google Scholar] [CrossRef]
- Stathopoulos, T.; Wu, H.; Zacharias, J. Outdoor human comfort in an urban climate. Build. Environ. 2004, 39, 297–305. [Google Scholar] [CrossRef]
- Willemsen, E.; Wisse, J.A. Design for wind comfort in The Netherlands: Procedures, criteria and open research issues. J. Wind Eng. Ind. Aerodyn. 2007, 95, 1541–1550. [Google Scholar] [CrossRef]
- Nikolopoulou, M.; Baker, N.; Steemers, K. Thermal comfort in outdoor urban spaces: Understanding the human parameter. Sol. Energy 2001, 70, 227–235. [Google Scholar] [CrossRef]
- Nikolopoulou, M.; Steemers, K. Thermal comfort and psychological adaptation as a guide for designing urban spaces. Energy Build. 2003, 35, 95–101. [Google Scholar] [CrossRef]
- Blocken, B.; Stathopoulos, T.; van Beeck, J. Pedestrian-level wind conditions around buildings: Review of wind-tunnel and CFD techniques and their accuracy for wind comfort assessment. Build. Environ. 2016, 100, 50–81. [Google Scholar] [CrossRef]
- Melbourne, W.H.; Joubert, P.N. Problems of wind flow at the base of tall buildings. In Proceedings of the 3rd International Conference on Wind Effects on Building Structures, Tokyo, Japan; 1971; pp. 105–114. [Google Scholar]
- Yoshie, R.; Mochida, A.; Tominaga, Y.; Kataoka, H.; Harimoto, K.; Nozu, T.; Shirasawa, T. Cooperative project for CFD prediction of pedestrian wind environment in the Architectural Institute of Japan. J. Wind Eng. Ind. Aerodyn. 2007, 95, 1551–1578. [Google Scholar] [CrossRef]
- Adamek, K.; Vasan, N.; Elshaer, A.; English, E.; Bitsuamlak, G. Pedestrian level wind assessment through city development: A study of the financial district in Toronto. Sustain. Cities Soc. 2017, 35, 178–190. [Google Scholar] [CrossRef]
- Du, Y.; Mak, C.M. Improving pedestrian level low wind velocity environment in high-density cities: A general framework and case study. Sustain. Cities Soc. 2018, 42, 314–324. [Google Scholar] [CrossRef] [PubMed]
- Lawson, T.V. The Determination of the Wind Environment of a Building Complex before Construction; Report Number TVL 9025; Department of Aerospace Engineering, University of Bristol: Bristol, UK, 1990. [Google Scholar]
- NEN 8100. Netherlands Normalisation Institute, Wind Comfort en Wind Danger in the Built Environment. NEN: Delft, The Netherlands, 2006.
- Lawson, T.V. The Wind Environment of Buildings: A Logical Approach to the Establishment of Criteria. J. Wind. Eng. Ind. Aerodyn. 1973, 3, 93–105. [Google Scholar] [CrossRef]
- Penwarden, A. Acceptable wind speeds in towns. Build. Sci. 1973, 8, 259–267. [Google Scholar] [CrossRef]
- Nikolopoulou, M.; Lykoudis, S. Thermal comfort in outdoor urban spaces: Analysis across different European countries. Build. Environ. 2006, 41, 1455–1470. [Google Scholar] [CrossRef]
- Pearlmutter, D.; Jiao, D.; Garb, Y. The relationship between bioclimatic thermal stress and subjective thermal sensation in pedestrian spaces. Int. J. Biometeorol. 2014, 58, 2111–2127. [Google Scholar] [CrossRef]
- Givoni, B. Man, Climate and Architecture; Van Nostrand Reinhold: Washington, DC, USA, 1981. [Google Scholar]
- Saroglou, T.; Meir, I.A.; Theodosiou, T.; Givoni, B. Towards energy efficient skyscrapers. Energy Build. 2017, 149, 437–449. [Google Scholar] [CrossRef]
- Saroglou, T.; Theodosiou, T.; Givoni, B.; Meir, I.A. A study of different envelope scenarios towards low carbon high-rise buildings in the Mediterranean climate—Can DSF be part of the solution? Renew. Sustain. Energy Rev. 2019, 113, 109237. [Google Scholar] [CrossRef]
- Baxter, R.; Hastings, N.; Law, A.; Glass, E.J. The Vertical City: Rent Gradients and Spatial Structure Crocker. Anim. Genet. 2008, 39, 561–563. [Google Scholar] [CrossRef]
- Chau, K.W.; Wong, S.K.; Yiu, C.Y. The value of the provision of a balcony in apartments in Hong Kong. Prop. Manag. 2004, 22, 250–264. [Google Scholar] [CrossRef]
- Conroy, S.; Narwold, A.; Sandy, J. The value of a floor: Valuing floor level in high-rise condominiums in San Diego. Int. J. Hous. Mark. Anal. 2013, 6, 197–208. [Google Scholar] [CrossRef]
- Chin, T.-L.; Chau, K.; Ng, F. The Impact of the Asian Financial Crisis on the Pricing of Condominiums in Malaysia. J. Real Estate Lit. 2004, 12, 33–50. [Google Scholar] [CrossRef]
- Ong, S.E. Prepayment risk and holding period for residential mortgages in Singapore—Evidence from condominium transactions data. J. Prop. Investig. Finance 2000, 18, 586–602. [Google Scholar] [CrossRef]
- So, H.; Tse, R.; Ganesan, S. Estimating the influence of transport on house prices: Evidence from Hong Kong. J. Prop. Valuat. Investig. 1997, 15, 40–47. [Google Scholar] [CrossRef]
- Tyrväinen, L.; Miettinen, A. Property Prices and Urban Forest Amenities. J. Environ. Econ. Manag. 2000, 39, 205–223. [Google Scholar] [CrossRef]
- Zhao, W.-J.; Liu, E.-X.; Poh, H.J.; Wang, B.; Gao, S.-P.; Png, C.E.; Li, K.W.; Chong, S.H. 3D traffic noise mapping using unstructured surface mesh representation of buildings and roads. Appl. Acoust. 2017, 127, 297–304. [Google Scholar] [CrossRef]
- Benocci, R.; Bisceglie, A.; Angelini, F.; Zambon, G. Influence of traffic noise from local and surrounding areas on high-rise buildings. Appl. Acoust. 2020, 166, 107362. [Google Scholar] [CrossRef]
- Christian, S.; Richard, H.; Herwig, H.; Thomas, M.; Wolfgang, S.; Matheos, S.; Ifigenia, F.; Hans, E.; Heike, E.-K.; De Matos Mario Duarte Rogerio, B.Å. BESTFACADE—Best Practice for Double Skin Façades. 2008. Available online: http://scholar.google.com/scholar?hl=en&btnG=Search&q=intitle:Best+practice+for+double+skin+facades#1 (accessed on 11 April 2019).
- Attia, S. Evaluation of adaptive facades: The case study of Al Bahr Towers in the UAE. Qsci. Proc. 2017, 2016, 8. [Google Scholar] [CrossRef]
- Capeluto, G. Adaptability in envelope energy retrofits through addition of intelligence features. Arch. Sci. Rev. 2019, 62, 216–229. [Google Scholar] [CrossRef]
- Niu, J. Some significant environmental issues in high-rise residential building design in urban areas. Energy Build. 2004, 36, 1259–1263. [Google Scholar] [CrossRef]
- Ali, M.M.; Armstrong, P.J. Strategies for Integrated Design of Sustainable Tall Buildings. University of Illinois at Urbana-Champaign School of Architecture, 2006; pp. 1–22. Available online: http://www.aia.org/aiaucmp/groups/ek_public/documents/pdf/aiap080038.pdf (accessed on 20 February 2019).
- Ali, M.M.; Moon, K.S. Structural Developments in Tall Buildings: Current Trends and Future Prospects. Arch. Sci. Rev. 2007, 50, 205–223. [Google Scholar] [CrossRef]
- Oldfield, P.; Trabucco, D.; Wood, A. Five energy generations of tall buildings: An historical analysis of energy consumption in high-rise buildings. J. Arch. 2009, 14, 591–613. [Google Scholar] [CrossRef]












| Parameters | Sensor | Measurement Range | Accuracy | Resolution |
|---|---|---|---|---|
| Air temperature (°C) | HOBO S-THB-M002 | −40 °C to 75 °C | ±0.21 °C from 0° to 50 °C | 0.02 °C at 25 °C |
| Relative humidity (%) | HOBO S-THB-M002 | 0–100% | ±2.5% from 10% to 90% | 0.1% RH |
| Wind speed (m/s) | HOBO S-WCF-M003 | 0 to 76 m/s | ±1.1 m/s or ±5% of reading | 0.5 m/s (1.1 mph) |
| Gust speed (m/s) | HOBO S-WCF-M003 | 0 to 76 m/s | ±1.1 m/s or ±5% of reading | 0.5 m/s (1.1 mph) |
| Wind direction (°) | HOBO S-WCF-M003 | 0 to 355° | ±7 degrees | 1 degree |
| Tripod | HSW 2 m Tripod Tower | |||
| The Lawson Wind Comfort Criteria | NEN 8100 Wind Comfort Criteria | Land Beaufort Scale Wind Speed at 1.75 Height | Effect | |
|---|---|---|---|---|
| (m/s) | ||||
| >25 | >20 | 14.6–17.1 | Dangerous to walk People blown over | Strong Gale Poor traversing |
| >20 | Unacceptable to walk | |||
| 10–12 | 10 | 12.1–14.5 | Fast walking Great difficulty with balance | Near Gale Moderate traversing |
| 8–10 | 9.8–12 | Pedestrian transit. Inconvenience felt when walking | ||
| 6–8 | 7.6–9.7 | Walking, Sightseeing. Hair blown straight, difficult to walk steadily | Strong Breeze Moderate strolling | |
| 6 | 5 | 5.6–7.5 | Short periods of standing/sitting Force of wind felt on body | Gentle Breeze/Moderate Breeze/Fresh Breeze Moderate: Sitting |
| 4 | 2.5 | 3.9–5.5 | Long periods of standing/sitting Raises dust, hair disarranged | |
| 2.4 3.8 | Hair disturbed/clothing flaps | |||
| <3.9 | <2.5 | 1.1–2.3 | Acceptable for sedentary activities. Wind felt on face | Calm/Light Air/Light Breeze Good: Walking strolling sitting |
| 0–1.0 | No noticeable wind | |||
| South—Leeward Façade | West—Windward Façade | |||
|---|---|---|---|---|
| 15th Floor | 4th Floor | 17th Floor | 28th Floor | |
| Opening balcony glass doors for ventilation | ||||
| 1. A few times a day | V | |||
| 2. Once day | V | V | ||
| 3. Sometimes | ||||
| 4. Few times | V | |||
| 5. Not at all | ||||
| Perception of light | ||||
| 1. Very strong | V | V | V | |
| 2. Strong | ||||
| 3. Neutral/Pleasant | V | |||
| 4. Weak | ||||
| 5. No light | ||||
| Is the balcony in use in Winter? | ||||
| 1. Daily | V | V | ||
| 2. From time to time | V | |||
| 3. Not at all | V | |||
| Is the balcony in use in Summer? | ||||
| 1. Daily | V | V | V | |
| 2. From time to time | ||||
| 3. Not at all | V | |||
| How much time do you spend on the balcony? | ||||
| 1. Less than 15 min | V | V | ||
| 2. 15–30 min | V | |||
| 3. 60 min | ||||
| 4. More than 60 min | V | |||
| 15th Floor | 4th Floor | 17th Floor | 28th Floor |
|---|---|---|---|
| What is the purpose of the balcony for you? | |||
| Mainly for storage | Gardening and resting | Resting and hosting | No purpose |
| What objects are on the porch? | |||
| Baby carrier, equipment (tied down) | Flowerpots, a chair table, a cat litter box | Plants, chairs and table (tied down) | No objects |
| Are there shutters in the apartment? External, internal, both? Are these automatic? | |||
| Internal, not automatic | No | Internal, not automatic | Automatic external shutters |
| Have you encountered wind gusts, whistles, infiltrations problems, noise? | |||
| Frequent strong winds. All balcony items need to be secured. Noise and whistle noises are also present. | Barely—only on very stormy evenings in winter. | Windows are not used for ventilation, because of noise and harsh weather phenomena. A lot of noise is present from the highway and train station all day. | Everything—wind, air, noise, whistles. |
| Have you noticed changes between the seasons? | |||
| Extreme weather during winter | Almost no infiltration. Slightly more in winter when it is stormy. | In the transition seasons strong winds at dusk. | Wind infiltration mainly during winter. |
| Additional comments | |||
| Prefer natural ventilation over A/C. If not too hot/cold glass doors open and remain open as long as possible. | In the evening the wind is stronger than in the day | Prefer to smoke outside. The most difficult hours are in the summer from noon onwards (western sun), and in the winter the wind gusts in the morning and at dusk. | There is a lot of noise all day from the highway and train station. The windows are mostly closed because it is very cold. |
Disclaimer/Publisher’s Note: The statements, opinions and data contained in all publications are solely those of the individual author(s) and contributor(s) and not of MDPI and/or the editor(s). MDPI and/or the editor(s) disclaim responsibility for any injury to people or property resulting from any ideas, methods, instructions or products referred to in the content. |
© 2023 by the authors. Licensee MDPI, Basel, Switzerland. This article is an open access article distributed under the terms and conditions of the Creative Commons Attribution (CC BY) license (https://creativecommons.org/licenses/by/4.0/).
Share and Cite
Saroglou, S.; Itzhak-Ben-Shalom, H.; Meir, I.A. Climatic Variability in Altitude: Architecture, Thermal Comfort, and Safety along the Facade of a Residential Tower in the Mediterranean Climate. Buildings 2023, 13, 1979. https://doi.org/10.3390/buildings13081979
Saroglou S, Itzhak-Ben-Shalom H, Meir IA. Climatic Variability in Altitude: Architecture, Thermal Comfort, and Safety along the Facade of a Residential Tower in the Mediterranean Climate. Buildings. 2023; 13(8):1979. https://doi.org/10.3390/buildings13081979
Chicago/Turabian StyleSaroglou, Soultana (Tanya), Hofit Itzhak-Ben-Shalom, and Isaac A. Meir. 2023. "Climatic Variability in Altitude: Architecture, Thermal Comfort, and Safety along the Facade of a Residential Tower in the Mediterranean Climate" Buildings 13, no. 8: 1979. https://doi.org/10.3390/buildings13081979
APA StyleSaroglou, S., Itzhak-Ben-Shalom, H., & Meir, I. A. (2023). Climatic Variability in Altitude: Architecture, Thermal Comfort, and Safety along the Facade of a Residential Tower in the Mediterranean Climate. Buildings, 13(8), 1979. https://doi.org/10.3390/buildings13081979

