Abstract
This paper investigates, experimentally and numerically, the shear strengthening of Normal Concrete (NC) beams using post-tensioning steel bars and Engineered Cementitious Composite (ECC) reinforced with chemically cured Palm Fronds (PFs). The benefits of strain-hardening ECC and the tensile strength of PFs cured with 6% wt Alkali NaOH solution beside post-tensioned bars have been employed herein. Seven full-scale Reinforced Concrete (RC) beams were fabricated and experimented with under three-point loading until failure. The test parameters include the strengthening technique, type, and configuration of the material used for strengthening. The strengthening process has been implemented through two techniques: Externally Bonded Reinforcement (EBR) and Near-Surface Mounted (NSM) Reinforcement. The strengthening materials have been configured and placed in horizontal, vertical, and inclined positions. The effectiveness of the strengthening methods has been evaluated by examining their cracking propagations, load-deflection responses, collapse modes, elastic stiffness, and absorbed energy. It was found that the proposed strengthening systems could significantly control the crack pattern and failure mode, and they could enhance the ultimate load amplitude up to 37% and 50% for NSM ECC with PFs and EBR post-tensioning steel bars, respectively. Nonlinear three-dimensional finite element models of the tested beams were developed and validated with the test data, where it was found that finite element models predict the structural performance of tested beams with a maximum error of only 2%.
    1. Introduction
Reinforced Concrete (RC) buildings often require strengthening due to the building aging or increasing the service loads due to the change of the occupancy type. Different strengthening techniques can be used, such as enlarging the section of the structural element using high-performance concrete (HPC) reinforced with extra reinforcement [,,,]. Unlike the ductile flexural failure mode, the shear counterpart can be presented with a brittle appearance. This brittleness can be attributed to its diagonal cracks induced by tensile stresses. Wider cracks with lower numbers are wildly formed for diagonal shear cracks compared to their flexural counterparts, particularly with Normal Concrete (NC) RC beams [,]. Hence, RC structures should be designed to suppress shear stresses in order to avoid brittle failure []. To guarantee ductile features, critical shear zones could be strengthened with any suitable generations of reinforced HPCs (RHPCs) with higher strain-hardening characteristics []. Ductile cementitious materials such as Engineered Cementitious Composite (ECC) exhibit excellent strain-hardening abilities, with multiple fine cracks with tight crack widths. Such reinforced cementitious materials offer excellent characteristics in re-distributing the external forces from the structural section to the new strengthened one [,,].
ECC is a new generation of HPC, which has been used for retrofitting RC structures due to its superior features. Unlike conventional concrete, ECC has significant flowability, offers superior strain-hardening abilities, characteristic durability, and a higher number of smaller crack widths [,]. Previous studies confirmed that the ECC tensile strain may range from 2.2% to 9%, which is about 200–800 times higher than traditional ones [,,]. Furthermore, Externally Bonded Reinforcement (EBR) [] and Near-Surface Mounted (NSM) techniques [,,,] are also often used to strengthen RC beams. Nilimaa et al. [] investigated the NSM Carbon Fiber-reinforced polymer (CFRP) strengthening technique in strengthening bridge girders in Kiruna (Sweden). The proposed strengthening technique was found to reduce strain at tensile reinforcements. Bukhari et al. [] also adopted the NSM technique to shear strengthen rectangular RC beams with a cross-section of 152 mm (width) × 305 mm (depth) × 3.352 m (length) using CFRP sheets, where it was found that the shear resistance of strengthened beams was significantly higher than the unstrengthened control beam, particularly for the specimen strengthened with the arrangement of CFRP sheets at 45°. Yapa and Lees [] also adopted the NSM technique for the shear strengthening of RC beams with a cross-section of 105 mm (width) × 280 mm (depth) × 2.4 m (length) using CFRP sheets, and they found this strengthening technique to be an efficient way for retrofitting purposes. In the study conducted by Grace et al. [], different FRP laminates were applied to strengthen RC beams using the NSM technique. It was reported that the deflection of the beams significantly decreased due to the FRP laminates, which resulted in an improved performance of the RC beams. Hamoda et al. [] examined the effectiveness of the EBR technique in the shear strengthening of RC deep beams with a cross-section of 150 mm (width) × 400 mm (depth) × 750 mm (length) using mesh covered with high-performance concrete. The test parameters include the types of mesh and the number of layers. It was reported that the proposed EBR technique using mesh covered with high-performance concrete remarkably improved the shear performance of the tested beams. Kesse and Lees [] examined the performance of the shear strengthening technique using pre-stressed CFRP straps for RC beams with a cross-section of 105 mm (width) × 280 mm (depth) × 1.2 m (length). The effects of the influence of the spacing of straps, the stiffness of straps, and the initial pre-stress level of the straps were examined. The ultimate load of the strengthened beams was found to be as high as 90% compared to the unstrengthened control beam. Yang et al. [] tested the shear performance of RC beams strengthened with pre-stressed steel plates. The test parameters considered in their study were the spacing of steel strips, the number of layers, and chamfered edges. It was found that the tough shear compression failure transformed into diagonal compression with small spacing. Also, the number of cracks increased with increasing the adequate layers.
In recent decades, abundant research has been conducted to investigate using natural vegetable fibers for RC elements. Despite being one of several types of environmental waste, the natural vegetable fibers could be utilized to improve concrete performance [,,]. Momoh et al. [] studied the performance of clamp-enhanced palm tendons’ RC. They tested the flexural strength of RC beams under four-point bending at 28, 56, and 112 days. The test results showed an improvement in the flexural strength for beams due to increasing the slip strength arising from the hose clamps. Betené et al. [] conducted an experimental study on two vegetable fibers to be used as reinforcement material. Those fibers are commercially named rhecktophyllum camerunense and ananas comosus. The results showed that the used fibers presented a remarkable enhancement of flexural stiffness. Fiore et al. [] studied the impact of the NaOH cure of Deccan hemp fiber with chemical epoxy. The outcomes revealed that the alkali curing enhanced the fiber–matrix interface surface adhesion, improved their compatibility with the hydrophobic polymer used as a matrix, and improved stress transformation.
Although abundant research has been carried out to understand shear strengthening using several materials and techniques, the uses of ECC reinforced with Palm Fronds (PFs) chemically cured with an Alkali NaOH solution, besides the post-tensioning system, have yet to be investigated. This investigation aims to estimate both post-tensioned steel bars and ECC reinforced with PFs for shear strengthening. The strengthening process has been implemented using Externally Bonded Reinforcement (EBR) and Near-Surface Mounted (NSM) techniques. Seven full-scale RC beams were experimented with under three-point loading, producing excessive shear stresses leading to failure. The strengthening technique, type, and configuration of the strengthening material are the main parameters investigated herein. Finally, finite element models (FEMs) were developed to simulate beams strengthened with ECC with PFs exploited experimentally.
2. Experimental Program
2.1. Details of the Tested Beams
A set of test series consisting of seven full-scale RC beams was tested under three-point loading until collapse. The geometric properties were the same for all beams including the beam’s width, height, and length of 150 mm, 400 mm, and 1700 mm, respectively. Based on the previous studies of Fayed et al. [], all beams were reinforced with five bars with a 16 mm diameter and three bars with a 12 mm diameter at the tension and compression zones, respectively. Stirrups with 8 mm diameter spaced each 120 mm along the beam length were used; however, the critically loaded shear span had a greater spacing of 166 mm, giving a smaller ratio to create a weak shear region to be strengthened. Overall dimensions and reinforcement details used for all the RC beams are shown in Figure 1 [].
 
      
    
    Figure 1.
      Reinforcement details of the tested beams [].
  
The parameters investigated herein were the strengthening technique, type, and configuration of the strengthening material. The two shear-strengthening systems used herein were Engineered Cementitious Composite reinforced with chemically cured Palm Fronds and post-tensioned steel bars. The materials for strengthening have been configured and placed in horizontal, vertical, and inclined positions. To evaluate the investigated variables, control NC beams were constructed to be compared. Considering these parameters, all the instrumented beams associated with the control were divided into two series, as tabulated in Table 1.
 
       
    
    Table 1.
    Test matrix.
  
The first beam group, G1, had four RC beams, B0, P-E-H, P-E-V, and P-E-I, as detailed in Table 1. Schematic details of these beams are provided in Figure 2. The control beam B0 was constructed without retrofitting. In the naming of the beams, the first and second letters (P and E) refer to the PFs and ECC, respectively, while the third letter (H, V, or I) refers to the horizontal, vertical, and inclined configuration of Palm Fronds, respectively. This group depended on the NSM technique for the strengthening process. The current group was set to assess the impact of ECC reinforced with cured PFs, as an economically wasted material, on shear resistance.

 
      
    
    Figure 2.
      Schematic details of beams in group G1: (a) Beam P-E-H, (b) Beam P-E-V, and (c) Beam P-E-I.
  
The second beam group, G2, had four beams: B0, Pr-H, Pr-V, and Pr-I, as tabulated in Table 1. Schematic details of these beams are given in Figure 3. Besides the master non-strengthened beam B0, three beams were strengthened using post-tensioning steel bars. The three beams, Pr-H, Pr-V, and Pr-I, were labeled representing the tested variables as follows: the post-tensioning was presented through the first letters of Pr, while H, V, and I point to the horizontal, vertical, and inclined position of the steel bars, respectively. This group aimed to investigate using EBR post-tensioned steel bars as a shear-strengthening method.

 
      
    
    Figure 3.
      Schematic details of beams in group G2: (a) Beam Pr-E-H, (b) Beam Pr-E-V, and (c) Beam Pr-E-I.
  
2.2. Material Characteristics, Details of Mix Proportion, and Specimens’ Construction
Normal Concrete (NC) with the mix design given in Table 2 was used for constructing all RC beams. In addition, flowable ECC was used to re-cover the beams in the first group. The mix proportions of ECC are described in Table 2. The concrete compressive strength (fc′) presented in Table 1 was obtained from testing three cylindrical samples with a 150 mm and 300 mm diameter and height, respectively, on the day of experimentation. In addition, tensile tests with a 0.10 mm/min loading rate were carried out on dog-bone specimens for each concrete type, as shown in Figure 4a, to depict the tensile stress–strain response.
 
       
    
    Table 2.
    Concrete mix design (kg/m3).
  

 
      
    
    Figure 4.
      Uniaxial tensile tests of (a) concrete, (b) steel bars, (c) test set-up for PF, and (d) failure mode of PF.
  
The Palm Fronds’ leaves with a thickness of 5 mm were collected from the same tree for testing purposes, and they were trimmed to a width of 20 mm. The alkaline treatment adopted in this study was based on the previous study performed by Delzendehrooy et al. []. PFs were cured for 48 h with 6% wt Alkali NaOH solution. The curing was considered according to the room temperature and relative humidity of 23 °C and 56%, respectively.
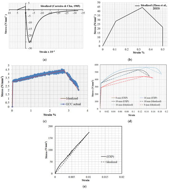
Tensile coupon tests were implemented for three samples of each steel bar and PFs, as shown in Figure 4b,c. Figure 4d shows the failure shape of the PF under tension. Based on the tensile coupon tests carried out on three samples of PFs, unremarkable differences in the ultimate strength were observed. This may be because these fronds were taken from one palm tree, and they were cured to the same curing condition. The obtainable stress–strain curves captured experimentally for the used materials were then idealized, as shown in Figure 5, so they can be used later for numerical modeling.
 
      
    
    Figure 5.
      Stress–strain curves of the used materials. (a) Compressive/tensile performance of NC [], (b) compressive performance of ECC [], (c) tensile performance of ECC, (d) tensile performance of steel bars, and (e) tensile performance of Palm Fronds.
  
The first beam group depended on the NSM regime for strengthening preparation, which was carried out as shown in Figure 6. To achieve that, 25 mm grooves were made in vertical, horizontal, and inclined positions on both sides of the strengthened zone of the tested beams using a cutter machine, as seen in Figure 6b. For compatibility purposes, the existing concrete, newly added PFs, and ECC must be bonded together perfectly. To ensure a perfect bonding between the existing concrete and the new ECC layer, the grooves were roughened as much as possible. The cured strips of PFs were then completely bonded along the prefabricated specified grooves using chemical epoxy applied on three inner sides sandwiching the PFs, followed by some tiny patches being externally added, as shown in Figure 6c. Finally, ECC was applied up to the beam’s surface to cover and level the removed part up to the outer beam’s surface. The thickness of the epoxy was just to fill the groove; however, the ECC was employed just to re-cover and level the removed part up to the outer beam’s surface, as shown in Figure 6. It should be noted that the width of the PF strip was about 20 mm, and in order to fill the grooves, two strips were used giving two Palm Fronds with 40 mm to be rested easily over the epoxy that existed inside the groove.

 
      
    
    Figure 6.
      Preparation of the strengthening process using PFs and ECC for group G1; (a) the chemical curing of the Palm Fronds with a 6% wt Alkali NaOH solution; (b) the removal of the concrete cover; (c) the bonding of PFs using epoxy; (d) the re-covering of the beam’s surface using ECC; and (e) the leveling of the ECC cover.
  
The strengthening procedure for the second group involved the application of a pre-stressing method, which was designed to utilize the EBR technique, as illustrated in Figure 7. The fixed-end plate zones were perforated on the concrete side surfaces, and chemical epoxy was applied to attach the steel plates to the beam’s body securely. Figure 7d describes the manual pre-stressing process by inserting threaded steel bars through perforated rigid steel plates positioned at specific points. Subsequently, steel nuts were manually turned with a wrench to achieve the target tension load, which was estimated using a steel strain gauge, as demonstrated in Figure 7d. The assigned pre-tension load was taken as 90 kN, which was close to the cracking load obtained from testing the control beam Bo (see Table 3). The reason for applying a pre-tension load close to the cracking load of the control beam Bo was because it was the maximum load that existed in the elastic range. Additionally, the simple post-tensioned technique adopted in this study would not withstand extra loads, otherwise premature failure might occur at the fixed plate zone. For each beam, all six bars were tensioned one bar at a time, giving a total pre-stressing force that was close to 90 kN. With this pre-tensioned load, the proposed shear zone would be able to resist two-thirds of the jacking force, calculated as about 60 kN.
 
      
    
    Figure 7.
      Strengthening implementation using external post-tensioning steel bars of group G2: (a) Beam Pr-H, (b) Beam Pr-V, (c) Beam Pr-I, and (d) manual post-tensioning procedure.
  
 
       
    
    Table 3.
    Test results.
  
2.3. Test Set-Up and Instrumentation
The prefabricated beams were tested after 28 days of curing at the structural laboratory of Kafrelsheikh University, Egypt. Employing twin girder overhead steel cranes, all beams were leveled on two pinned supports. All beams rested over two identical manufactured pinned supports, while the jacking load was placed at the third point of span length on the upper surface, creating a critical shear span on the left side of the beam. Figure 8 shows the schematic and view details for the axial test rig. The Linear Variable Differential Transformer (LVDT) was positioned just at the bottom surface of the beam where the hydraulic jack existed to estimate the critical deflection values shown in Figure 8. Three PI-shape displacement transducers were utilized to measure the crack width obtained within each gauge length on the concrete surface. Two of them were placed perpendicular to the expected path of the shear crack, which can be depicted at the line connecting the edge of the loading plate to that of the outer support. All transducers were linked to the data logger system to deliver the measured signals, converting them into recorded values. All beams were tested with an identical incremental load of about 5.00 kN until collapse. Within each load increment, formed cracks were labeled and deflection values were recorded.
 
      
    
    Figure 8.
      Test setup of the beams. (a) Geometric details and (b) the view of the experimental set-up.
  
3. Test Results and Discussions
In this section, the collapse modes, cracking and ultimate load, load-deflection responses, and energy absorption for the experimented beams are discussed. Table 3 summarizes the test findings regarding the loads recorded at the cracking and ultimate stages (Pcr and Pu, respectively), together with their associated deflection values (Δcr and Δu, respectively) and the width of the cracks at the cracking stage (wcr). The crack patterns and collapse mode for all tested beams are presented in Figure 9, Figure 10 and Figure 11.
 
      
    
    Figure 9.
      Typical crack and failure pattern for the control beam.
  

 
      
    
    Figure 10.
      Crack patterns and failure modes for group G1 strengthened with NSM PFs and ECC: (a) P-E-H; (b) P-E-V; and (c) P-E-I.
  
 
      
    
    Figure 11.
      Crack patterns and failure modes for post-tensioned group G2: (a) Pr-H, (b) Pr-V, and (c) Pr-I.
  
3.1. Crack Pattern and Collapse Modes
Generally, the control NC beam subjected to shear stresses formed major inclined cracks appearing diagonally at the mid-depth of the shear zone at the line connecting the load location and the support, as evidenced by beam B0 shown in Figure 9. It was found that the first visible hairline crack was recognized at a load close to 82 kN (about 44% of Pu). Then, the significant crack opening gradually widened, associated with small cracks extending towards the steel plates. Just before collapse, all diagonal cracks impressed with a wider opening width, leading to damage to the concrete strut and, consequently, beam failure, as presented in Figure 9. Table 3 illustrates that B0 achieved Pu of about 186 kN.
Beams strengthened with ECC reinforced with Palm Fronds presented a crack pattern that is identified in Figure 10. At the beginning, a few light hair cracks slightly formed around the interfacial ECC strips and NC surface as an indication of load transferring into the strengthening layer. It should be mentioned that the presence of ECC could tighten the first crack width within the range of 30% to 37% compared to the non-strengthened control beam. After that, very slight hair cracks were detected at the mid-shear span zone, especially at the non-strengthened regions located in between the strengthening strips, as detailed in Figure 10. These diagonal cracks were initiated at loads of 143 kN, 120 kN, and 178 kN (about 69, 61%, and 66% of Pu) for beams P-E-H, P-E-V, and P-E-I, respectively. At higher load values, randomly separated tightened shear cracks appeared with an abundant number and a small width extending from the initial one. Just before collapse, the main shear crack enlarges, accompanied by a detachment of the strengthening strips. This can be manifested by either the de-bonding of vertical strips because of the small bonding length or deterioration of the NC core from shear cracks at horizontal and inclined strips. All beams collapsed by shear cracks as the mode of failure. The recorded ultimate load was about 207 kN, 196 kN, and 255 kN for beams P-E-H, P-E-V, and P-E-I, respectively. When examining the width of the crack for three configurations, it is observed that the beam strengthened using an inclined configuration, and it experiences the crack with the smallest width. The beam strengthened with horizontal configuration experienced the largest crack width out of the three specimens in this group.
Table 3 shows that the NSM strengthening process using ECC in conjunction with PFs could upgrade the cracking stage, with load levels found to be increased with respect to the strengthening configuration. Test results revealed that horizontal, vertical, and inclined strips of NSM PFs covered by ECC resulted in upgrading shear cracking resistance by about 74%, 46%, and 107%, respectively.
For group G2, the crack patterns and failure modes for beams strengthened with the EBR technique using post-tensioned bars are presented in Figure 11. Similar to that detected in the first group, all beams of the second group cracked diagonally at the mid-zone of the shear span at Pcr of 102 kN, 125 kN, and 150 kN for beams Pr-H, Pr-V, and Pr-I, respectively. However, the measured crack width was found to be wider than that of the first group, as was expected due to the absence of ECC, as shown in Table 3. A few extended shear cracks identical to the first major one started to appear at higher loads. Interestingly, when comparing the crack pattern with the ones tested in group G1, an opposite trend was observed for group G2 where the beam strengthened using an inclined configuration experienced the crack with the largest width, while the beam strengthened with a horizontal configuration experienced the smallest crack width out of the three specimens in this group. Just before collapse, these cracks formed the bulged strut connected between the edge of the loading plate and support, as manifested in Figure 11. Then, a sudden concrete crushing was observed, leading to beam failure at a load level that seemed to be close to the ultimate one as an indication of brittle shear mode. It should be noted that unlike the ductile failure mode of the beams in the first group, beams in the second group exhibited brittle-type failure. This may be attributed to the absence of the ECC effect. However, in terms of configuration, a similar trend of the beams in group G1 was observed for the beams in group G2, where inclined configurations resulted in the most improvement in the cracking and ultimate load. The beams with vertical strengthening (Pr-V) showed an enhancement of 4% in the ultimate load compared to P-E-V, belonging to the first group. On the other hand, the beams with horizontal and inclined strengthening show a 9% and 13% smaller ultimate load compared to beams tested in a similar configuration in group G1. The results also showed that the post-tensioning system significantly increased the Pcr by about 24%, 52%, and 82% for horizontal, vertical, and inclined configurations, respectively, compared to the unstrengthened control beam.
3.2. The Peak Load
Table 3 compares the ultimate loads for all the experimented beams. For group G1, the ECC strengthening layer reinforced with PFs enhanced the ultimate load of the NC beam by about 11% and 37% when using horizontal and inclined strips, respectively. However, an insignificant increase in ultimate load (only 5%) was detected for the vertical configuration, possibly due to the poor bonding length. The results showed that the inclined configuration contributed considerably to the ultimate capacity compared to their vertical and horizontal counterparts. This was expected because the inclined PFs were almost normal to the diagonal crack path.
For group G2, the EBR strengthening technique using post-tensioned steel bars improved the ultimate amplitude by about 12% and 51% for beams Pr-V and Pr-I, respectively. Therefore, the comparison between the two groups showed that the inclined strengthening technique could be qualified to be the best configuration. However, the EBR post-tensioned steel bars contributed more to the ultimate capacity than NSM ECC reinforced with PFs by about 9%.
3.3. Load-Deflection Relationship
Load-deflection relationships observed experimentally for all examined beams are illustrated in Figure 12a,b for groups G1 and G2, respectively. The deflection values associated with the first cracking and ultimate load values, (∆cr) and (∆u), are given in Table 3. Generally, all tested beams introduced semi-stiff linear behavior reaching the first cracking stage. Thereafter, all specimens behaved nonlinearly with a hardening impression at the zone just before the ultimate stage due to strengthening contribution. However, it is worth mentioning that the beams strengthened with ECC in conjunction with PFs presented a considerable softening performance up to failure, as shown in Figure 12a. Unlike the strengthened beams in group G1, control beam B0 exhibited a brittle failure upon reaching the ultimate load. For beams in group G2, strengthened beams had higher deflections than the control beam B0, but they did not show the softening performance as seen for the beams in group G1. Such a softening appearance may contribute to the ductile shear failure in the first group. This may reveal that applying ECC reinforced with PFs’ strengthening technique could control deformable features in the nonlinear zone. The brittle shear failure mode characterized by concrete crushing for post-tensioned group G2 can be manifested by the absence of a softening feature beyond the ultimate stage, as shown in Figure 12b.
 
      
    
    Figure 12.
      Jacking load–vertical deflection relationship: (a) group G1 and (b) group G2.
  
3.4. Elastic Stiffness and Energy Absorption
As an indication for the elastic and plastic performance of the beams up to the peak load, respectively, elastic stiffness (K) and energy absorption (E) were calculated for all the exploited beams, as shown in Table 3. The elastic stiffness (K) value was computed as the slope of linear response up to the crack load, while the energy absorption (E) value was estimated as the total area under the load-deflection response up to the peak load. Figure 13 and Figure 14 compare the elastic stiffness and energy absorption of the beams in groups G1 and G2.
 
      
    
    Figure 13.
      Elastic stiffness of beams in (a) group G1 and (b) group G2.
  
 
      
    
    Figure 14.
      Energy absorption capacity of beams in (a) group G1 and (b) group G2.
  
Generally, using ECC characterized by tightened cracks and superior strain-hardening abilities with economic PFs showed a higher elastic stiffness and energy absorption compared to the control beam. This is consistent with the previous studies carried out on NSM strengthening techniques covered with ECC []. The strengthening methods proposed in this study significantly tighten the shear cracks leading to delaying the appearance of the shear cracks, which results in the improvement of the elastic stiffness and energy absorption compared to the control beam. Group G1 reported that ECC with horizontal and vertical strips of PFs increased the K values by about 62% and 43%, respectively, as observed by P-E-H and P-E-V and is presented in Table 3. Moreover, inclined strips of PFs augmented the K value of the NC beam by about 134%, as shown in Table 3. Similarly, strengthening methods using the EBR technique used for beams in group G2 exhibited a higher elastic stiffness and energy absorption compared to the control beam. Similar conclusions were drawn by previous researchers []. Other than the earlier discussion on enhancing the cracking stage, Table 3 confirmed that the NSM ECC with PFs strengthening regime appeared to have a contributable effect on the elastic stiffness. The post-tensioning steel bars implemented in the second group, G2, increased the elastic stiffness of the NC beam within the range of 31% to 75%, as shown in Table 3. The energy consumed to reach the ultimate stage increased by about 88% to 145% and 134% to 206% for groups G1 and G2, respectively. When comparing the effects of strengthening methods on the elastic stiffness and energy absorption of the beams, it is observed that, generally, beams in group G1 have a higher elastic stiffness capacity than the beams in group G2.
4. Numerical Analysis
This study conducted numerical simulations to analyze the behavior of strengthened specimens with ECC and PFs, which were experimented upon within the first group. To achieve this, a nonlinear three-dimensional finite element analysis was developed using the ABAQUS program, which was then validated against the experimental results. Following the validation process, a comprehensive parametric study was carried out to investigate the impacts of various parameters on the specimens’ performance.
4.1. Development of the Numerical Models
The numerical simulation for FEM was constructed to be identical to those examined experimentally. To accurately represent the concrete elements along with the loading and supporting plates, eight-node linear reduced integration solid elements (C3D8R) were used. Also, the strips of ECC and PFs were modeled as solid elements (C3D8R). The steel bars were modeled as two-node linear 3D truss elements (T3D2), as illustrated in Figure 13. In the constructed model, a single increasing load was applied at the third-span length, imitating the experimental one, as presented in Figure 15.
 
      
    
    Figure 15.
      FEM model details.
  
The interaction between steel bars and concrete was modeled using the embedded region constraint available in ABAQUS. The concrete acted as the host region, encapsulating the steel bars as embedded elements. The beam’s body was linked to ECC and PFs using a surface-to-surface contact approach with a sliding resistance factor. Abundant trials were attempted with several friction coefficient values varying from 0.40 to 0.65. The satisfied results were observed with friction coefficient values of about 0.63 and 0.49 assigned in the tangential direction for PFs-NC and ECC-PFs interactions, respectively. A hard contact assumption was assumed to prevent penetration in the normal direction. Furthermore, a complete bond assumption was adopted for the beam and steel plate interaction. This ensured a robust connection between these components, enabling the simulation of their cohesive behavior.
4.2. Material Modeling and Sensitivity Analysis
The Concrete Damage Plasticity (CDP) model available in ABAQUS was considered for modeling both the NC and ECC used herein. This model was selected for its high precision in defining compressive and tensile characteristics. The NC stress–strain relationship used for modeling is depicted in Figure 5a, aligning with the performance proposed by Carreira and Chu [] considering the experimental tests.
The compressive and tensile stress–strain relationships were described through Equations (1) and (2), respectively, which were then utilized in the CDP model. This comprehensive modeling approach ensures a robust assessment of the plastic response for all concrete types considered in the modeling.
        
      
        
      
      
      
      
    
      
        
      
      
      
      
    
      
        
      
      
      
      
    
        where fc and εc represent the stress and strain of concrete, respectively, while  and  refer to the peaked stress and the corresponding strain of concrete, respectively. Furthermore, the β parameter is estimated through Equation (3).
Figure 5b displays the constitutive behavior of ECC for the compressive stress–strain relationship calculated using Equation (4), as proposed by Zhou et al. []. The compression behavior exhibits a bilinear stage of stress–strain development.
        
      
        
      
      
      
      
    
        where E0 and εcp represent the ECC’s modulus of elasticity and the strain at the ultimate stage, respectively. Figure 5c shows the actual uniaxial tensile performance, which was then idealized into linear stages for modeling.
Defining the steel bars’ assumed linear elastic–plastic behavior was idealized based on experimental observation, as shown in Figure 5d. This approach reasonably captures the reinforcing steel’s mechanical response keeping computational costs more economical. According to uniaxial tensile tests carried out experimentally and similar to most vegetable fibers, the Palm Fronds behaved in semi-linear responses up to sudden failure leading to the idealized linear stress–strain response, as shown in Figure 5e.
The numerical sensitive parameters defining the CDP model were calibrated through a parametric analysis executed numerically. For the NC concrete and ECC, the dilation angles (ψ) of 25 and 30 degrees were considered, which were very close to those reported previously []. Several models were executed with various values of the viscosity relaxation factor (μ). However, acceptable results were observed with 0.001. The other CDP model variables were chosen based on ABAQUS 14 software recommendations. The eccentricity flow potential (e), the biaxial to uniaxial compressive strength ratio (fb0/fc0), and the ratio of the second stress invariant on the tensile to the compressive meridian (Kc) ratio were selected to be 0.1, 1.16, and 0.667, respectively. An examination of different mesh sizes was attempted alongside the calibration of sensitive factors. Remarkably, the analysis revealed that a mesh size of 10 mm generated sound results at a lower cost. Consequently, the sensitivity evaluation not only facilitated the selection of appropriate parameter values for the CDP model besides ensuring an accurate representation of material behavior, but it also led to identifying an optimal FEM, which provided reasonable outcomes with an economic computational timeframe.
4.3. FEM Verification
The developed FEM was compared and verified with four experimented beams, B0, P-E-H, P-E-V, and P-E-I, to examine the accuracy of the numerical analysis. The validation was conducted by comparing the load-deflection relationship, crack pattern, failure mode, and ultimate load values. Figure 16 compares the load-deflection response estimated numerically together with that observed experimentally. Generally, all models performed linearly up to the level close to the cracking stage, followed by a nonlinear performance presenting a semi-hardening response up to the peak load. Then, similar to the earlier discussion about softening behavior contributed by ECC, the developed FEMs perfectly predicted the same softening behavior beyond the ultimate stage until collapse. The predicted initial stiffness of the tested beams closely matched the test observation, as can be seen from Figure 16.
 
      
    
    Figure 16.
      Comparisons of the load-deflection relationships obtained from the FEM and experiment.
  
Furthermore, Figure 17 visually demonstrates the efficiency of the FEM model in predicting cracking propagation and failure mode, emulating the experimental findings. The numerical visualization shown in Figure 17a captured the major shear crack where the failure occurred. Also, Figure 17 explains the contribution of the strengthening technique to the structural behavior through shear strut partitioning induced by vertical, horizontal, and inclined strips. Also, partitioning the significant shear strut may confirm the transformation phenomena occurring at the strengthened beam and attributed to the increasing load values. Table 4 compares both cracking and ultimate loads obtained numerically versus those observed experimentally for beams B0, P-E-H, P-E-V, and P-E-I. The numerical simulations estimated well the experimented ultimate load values within a difference of only 2%, and a Coefficient of Variation (CV) of 0.03, suggesting an acceptable level of consistency and accuracy in the results.

 
      
    
    Figure 17.
      Comparisons of the failure modes of the tested beams with the numerical predictions (a) beam B0, (b) P-E-H, (c) P-E-V, and (d) P-E-I.
  
 
       
    
    Table 4.
    Comparisons of the experimental and numerical results.
  
5. Conclusions
In this paper, experimental and numerical investigations were conducted to study the shear resistance of NC beams strengthening with EBR post-tensioned steel bars and NSM ECC with PFs. Seven full-scale RC beams were tested from shear to collapse. The main parameters studied were strengthening material, configurations, and techniques. The experimental observations were then employed to verify the developed FEMs. Based on the experimental and numerical analyses’ findings, the following conclusions are drawn:
- All strengthened NC beams presented shear cracking failure. However, beams strengthened with NSM PFs and ECC presented ductile shear cracks accompanied by tighter random hairline cracks formed with larger numbers as a result of ECC. The use of ECC characterized by tightened cracks and higher strain hardening, augmented with PFs, can be qualified as an economical regime for shear strengthening when compared to unstrengthened NC beams.
- The strain-hardening ECC with PFs, applied in group G1, could control the deformable feature at the nonlinear loading stage, providing a remarkable softening performance up to failure. Conversely, the brittle shear failure mode was associated with the crushing of concrete strut for post-tensioned group G2, as evidenced by the absence of softening features beyond peak load.
- The EBR post-tensioning system significantly increased the first cracking load within the 24% to 83% range, while this increase ranged between 46% and 107% for NSM PFs with the ECC system.
- The NSM PFs and ECC strengthening system could upgrade the ultimate load of the NC beam up to 37%, while the more significant increase in the ultimate load was recorded by the EBR post-tensioned steel bar system up to 51%.
- A comparison between the two tested groups confirmed that the inclined strengthening technique could be qualified to be the best strengthening configuration. However, the EBR post-tensioned steel bar system contributed more to the ultimate capacity than NSM FSs and ECC systems by about 9%.
- The developed FEMs predicted the structural response of the tested beams with only a 2% difference compared to the experimental ultimate loads. Therefore, they can be used for further parametric studies.
This study is limited to the performance of shear strengthening of RC beams using EBR post-tensioned steel bars and NSM ECC with PFs. Considering the proposed strengthening technique as novel and environmentally friendly, future studies should focus on the flexural strengthening of RC beams using EBR post-tensioned steel bars and NSM ECC with PFs by performing experiments and developing numerical models to understand their structural performance. Furthermore, the accuracy of the existing design models in predicting the flexural strength of RC beams strengthened with EBR post-tensioned steel bars and NSM ECC with PFs should be examined.
Author Contributions
Conceptualization, A.H.; Methodology, A.H.; Software, A.H.; Validation, A.H. and M.E.; Formal analysis, A.H.; Investigation, A.H., and M.E.; Data curation, A.H., M.E., K.S. and A.A.A.; Writing—original draft, A.H., K.S. and M.A.; Writing—review & editing, M.E., A.A.A. and X.Z., Visualization, A.H., M.A., M.E., A.A.A., K.S. and X.Z.; Project administration, A.H., and A.A.A. All authors have read and agreed to the published version of the manuscript.
Funding
This research has been completed with support from the Researchers Supporting Project (number RSP2024R343) supported by King Saud University, Riyadh, Saudi Arabia.
Data Availability Statement
The original contributions presented in the study are included in the article, further inquiries can be directed to the corresponding author.
Acknowledgments
The help from technicians at Kafrelsheikh University in performing the tests is acknowledged.
Conflicts of Interest
The authors declare no conflict of interest.
References
- Del Zoppo, M.; Di Ludovico, M.; Prota, A. Analysis of FRCM and CRM parameters for the in-plane shear strengthening of different URM types. Compos. Part B Eng. 2019, 171, 20–33. [Google Scholar] [CrossRef]
- Zhang, Y.; Deng, M.; Dong, Z. Seismic response and shear mechanism of engineered cementitious composite (ECC) short columns. Eng. Struct. 2019, 192, 296–304. [Google Scholar] [CrossRef]
- Awad, F.; Husain, M.; Fawzy, K. Flexural behaviour of reinforced concrete beams strengthened by NSM technique using ECC. Frat. Ed Integrità Strutt. 2022, 16, 291–309. [Google Scholar] [CrossRef]
- Piątek, B.; Siwowski, T. Experimental study on flexural behaviour of reinforced concrete beams strengthened with passive and active CFRP strips using a novel anchorage system. Arch. Civ. Mech. Eng. 2022, 22, 45. [Google Scholar] [CrossRef]
- Deng, M.; Zhang, Y.; Li, Q. Shear strengthening of RC short columns with ECC jacket: Cyclic behavior tests. Eng. Struct. 2018, 160, 535–545. [Google Scholar] [CrossRef]
- Tran, C.T.N.; Nguyen, X.H.; Nguyen, H.C.; Le, D.D. Shear performance of short-span FRP-reinforced concrete beams strengthened with CFRP and TRC. Eng. Struct. 2021, 242, 112548. [Google Scholar] [CrossRef]
- Parvin, A.; Alhusban, M. Finite-element analysis of textile-reinforced mortar strengthening of shear-deficient reinforced concrete beams. J. Compos. Constr. 2022, 26, 04022037. [Google Scholar] [CrossRef]
- Wang, G.; Xian, B.; Ma, F.; Fang, S. Shear Performance of Prefabricated Steel Ultra-High-Performance Concrete (UHPC) Composite Beams under Combined Tensile and Shear Loads: Single Embedded Nut Bolts vs. Studs. Buildings 2024, 14, 2425. [Google Scholar] [CrossRef]
- Ge, W.-J.; Ashour, A.F.; Ji, X.; Cai, C.; Cao, D.-F. Flexural behavior of ECC-concrete composite beams reinforced with steel bars. Constr. Build. Mater. 2018, 159, 175–188. [Google Scholar] [CrossRef]
- Yu, K.; Li, L.; Yu, J.; Xiao, J.; Ye, J.; Wang, Y. Feasibility of using ultra-high ductility cementitious composites for concrete structures without steel rebar. Eng. Struct. 2018, 170, 11–20. [Google Scholar] [CrossRef]
- Zhao, Y.; Zhang, L.; Wang, W.; Liu, Q.; Tang, L.; Cheng, G. Experimental study on shear behavior and a revised shear strength model for infilled rock joints. Int. J. Geomech. 2020, 20, 04020141. [Google Scholar] [CrossRef]
- Zhang, Z.; Zhang, Q.; Qian, S.; Li, V.C. Low E modulus early strength engineered cementitious composites material: Development for ultrathin whitetopping overlay. Transp. Res. Rec. 2015, 2481, 41–47. [Google Scholar] [CrossRef]
- Yu, K.; Wang, Y.; Yu, J.; Xu, S. A strain-hardening cementitious composites with the tensile capacity up to 8%. Constr. Build. Mater. 2017, 137, 410–419. [Google Scholar] [CrossRef]
- Zhang, Z.; Zhang, Q. Self-healing ability of engineered cementitious composites (ECC) under different exposure environments. Constr. Build. Mater. 2017, 156, 142–151. [Google Scholar] [CrossRef]
- Yu, K.-Q.; Yu, J.-T.; Dai, J.-G.; Lu, Z.-D.; Shah, S.P. Development of ultra-high performance engineered cementitious composites using polyethylene (PE) fibers. Constr. Build. Mater. 2018, 158, 217–227. [Google Scholar] [CrossRef]
- Adesina, A.; Das, S. Performance of engineered cementitious composites incorporating crumb rubber as aggregate. Constr. Build. Mater. 2021, 274, 122033. [Google Scholar] [CrossRef]
- Oller, E.; Pujol, M.; Marí, A. Contribution of externally bonded FRP shear reinforcement to the shear strength of RC beams. Compos. Part B Eng. 2019, 164, 235–248. [Google Scholar] [CrossRef]
- Ibrahim, M.; Wakjira, T.; Ebead, U. Shear strengthening of reinforced concrete deep beams using near-surface mounted hybrid carbon/glass fibre reinforced polymer strips. Eng. Struct. 2020, 210, 110412. [Google Scholar] [CrossRef]
- Rasheed, H.A.; Harrison, R.R.; Peterman, R.J.; Alkhrdaji, T. Ductile strengthening using externally bonded and near surface mounted composite systems. Compos. Struct. 2010, 92, 2379–2390. [Google Scholar] [CrossRef]
- Hosen, M.A.; Shammas, M.I.; Kaaf, K.A.A.; Jumaat, M.Z.; Alengaram, U.J.; Sulong, N.H.R.; Hashim, H.B. Carbon Fiber Reinforced Polymer (CFRP) for Structural Capacity Enhancement of RC Beams Incorporating Innovative Side Hybrid (SH) Technique. Buildings 2024, 14, 1919. [Google Scholar] [CrossRef]
- El-Emam, H.M.; Ata, B.; Ahmad, S.S.; Salim, H.A.; Reda, R.M. Enhancing Flexural Resistance in Pre-Damaged RC Beams with Near-Surface Mounted GFRP Bar and Bolt Anchoring System. Buildings 2024, 14, 723. [Google Scholar] [CrossRef]
- Nilimaa, J.; Bagge, N.; Blanksvärd, T.; Täljsten, B. NSM CFRP strengthening and failure loading of a posttensioned concrete bridge. J. Compos. Constr. 2016, 20, 04015076. [Google Scholar] [CrossRef]
- Bukhari, I.; Vollum, R.; Ahmad, S.; Sagaseta, J. Shear strengthening of reinforced concrete beams with CFRP. Mag. Concr. Res. 2010, 62, 65–77. [Google Scholar] [CrossRef]
- Yapa, H.D.; Lees, J.M. Rectangular reinforced concrete beams strengthened with CFRP straps. J. Compos. Constr. 2014, 18, 04013032. [Google Scholar] [CrossRef]
- Grace, N.F.; Sayed, G.; Soliman, A.; Saleh, K. Strengthening reinforced concrete beams using fiber reinforced polymer (FRP) laminates. ACI Struct. J.-Am. Concr. Inst. 1999, 96, 865–874. [Google Scholar]
- Hamoda, A.; Ghalla, M.; Yehia, S.A.; Ahmed, M.; Abadel, A.A.; Baktheer, A.; Shahin, R. Experimental and numerical investigations of the shear performance of reinforced concrete deep beams strengthened with hybrid SHCC-mesh. Case Stud. Constr. Mater. 2024, 21, e03495. [Google Scholar] [CrossRef]
- Kesse, G.; Lees, J.M. Experimental behavior of reinforced concrete beams strengthened with prestressed CFRP shear straps. J. Compos. Constr. 2007, 11, 375–383. [Google Scholar] [CrossRef]
- Yang, Y.; Chen, X.; Xue, Y.; Yu, Y. Experimental investigation on shear performance of reinforced concrete beams retrofitted by pre-stressed steel strips. Structures 2022, 43, 767–778. [Google Scholar] [CrossRef]
- Momoh, E.O.; Osofero, A.I. Behaviour of oil palm broom fibres (OPBF) reinforced concrete. Constr. Build. Mater. 2019, 221, 745–761. [Google Scholar] [CrossRef]
- Yousefi, M.; Khandestani, R.; Gharaei-Moghaddam, N. Flexural behavior of reinforced concrete beams made of normal and polypropylene fiber-reinforced concrete containing date palm leaf ash. Structures 2022, 37, 1053–1068. [Google Scholar] [CrossRef]
- Betené, A.D.O.; Martoïa, F.; Dumont, P.J.; Betené, F.E.; Ateba, A. Gypsum plaster composites reinforced with tropical fibre bundles extracted from Rhecktophyllum camerunense and Ananas comosus plants: Microstructure and mechanical performance. Constr. Build. Mater. 2023, 392, 131815. [Google Scholar] [CrossRef]
- Momoh, E.O.; Osofero, A.I.; Menshykov, O. Behaviour of clamp-enhanced palm tendons reinforced concrete. Constr. Build. Mater. 2022, 341, 127824. [Google Scholar] [CrossRef]
- Fiore, V.; Di Bella, G.; Valenza, A. The effect of alkaline treatment on mechanical properties of kenaf fibers and their epoxy composites. Compos. Part B Eng. 2015, 68, 14–21. [Google Scholar] [CrossRef]
- Fayed, S.; Basha, A.; Hamoda, A. Shear strengthening of RC beams using aluminum plates: An experimental work. Constr. Build. Mater. 2019, 221, 122–138. [Google Scholar] [CrossRef]
- Hamoda, A.; Emara, M.; Abadel, A.A.; Sennah, K. Influence of shear strengthening of reinforced normal concrete beams incorporating sustainable materials. Struct. Concr. 2024, 25, 2714–2731. [Google Scholar] [CrossRef]
- Delzendehrooy, F.; Ayatollahi, M.; Akhavan-Safar, A.; Da Silva, L. Strength improvement of adhesively bonded single lap joints with date palm fibers: Effect of type, size, treatment method and density of fibers. Compos. Part B Eng. 2020, 188, 107874. [Google Scholar] [CrossRef]
- Carreira, D.J.; Chu, K.-H. Stress-strain relationship for plain concrete in compression. ACI Struct. J. 1985, 82, 797–804. [Google Scholar]
- Zhou, J.; Pan, J.; Leung, C.K. Mechanical behavior of fiber-reinforced engineered cementitious composites in uniaxial compression. J. Mater. Civ. Eng. 2015, 27, 04014111. [Google Scholar] [CrossRef]
- Hamoda, A.; Emara, M.; Abdelazeem, F.; Ahmed, M. Experimental and numerical analysis of RC beams strengthened with ECC and stainless steel strips. Mag. Concr. Res. 2023, 75, 251–270. [Google Scholar] [CrossRef]
- Ghalla, M.; Badawi, M.; Elsamak, G.; Ahmed, M.; Liang, Q.Q.; El Zareef, M.A. Strengthening of reinforced concrete beams with insufficient lapped splice length of reinforcing bars. Eng. Struct. 2024, 321, 118922. [Google Scholar] [CrossRef]
- Hamoda, A.; Elsamak, G.; Emara, M.; Ahmed, M.; Liang, Q.Q. Experimental and numerical studies of reinforced concrete beam-to-steel column composite joints subjected to torsional moment. Eng. Struct. 2023, 275, 115219. [Google Scholar] [CrossRef]
| Disclaimer/Publisher’s Note: The statements, opinions and data contained in all publications are solely those of the individual author(s) and contributor(s) and not of MDPI and/or the editor(s). MDPI and/or the editor(s) disclaim responsibility for any injury to people or property resulting from any ideas, methods, instructions or products referred to in the content. | 
© 2024 by the authors. Licensee MDPI, Basel, Switzerland. This article is an open access article distributed under the terms and conditions of the Creative Commons Attribution (CC BY) license (https://creativecommons.org/licenses/by/4.0/).
