Probabilistic Analysis of Strength in Retrofitted X-Joints under Tensile Loading and Fire Conditions
Abstract
1. Introduction
2. Generation of the Databases
2.1. Finite Element (FE) Modeling
2.1.1. Weld Modeling
2.1.2. Material Properties
2.1.3. Meshing in ANSYS
2.1.4. Contact Modeling
2.1.5. Analysis Method

2.2. Resistance Definition
2.3. FEM Validation
2.4. Database Organization
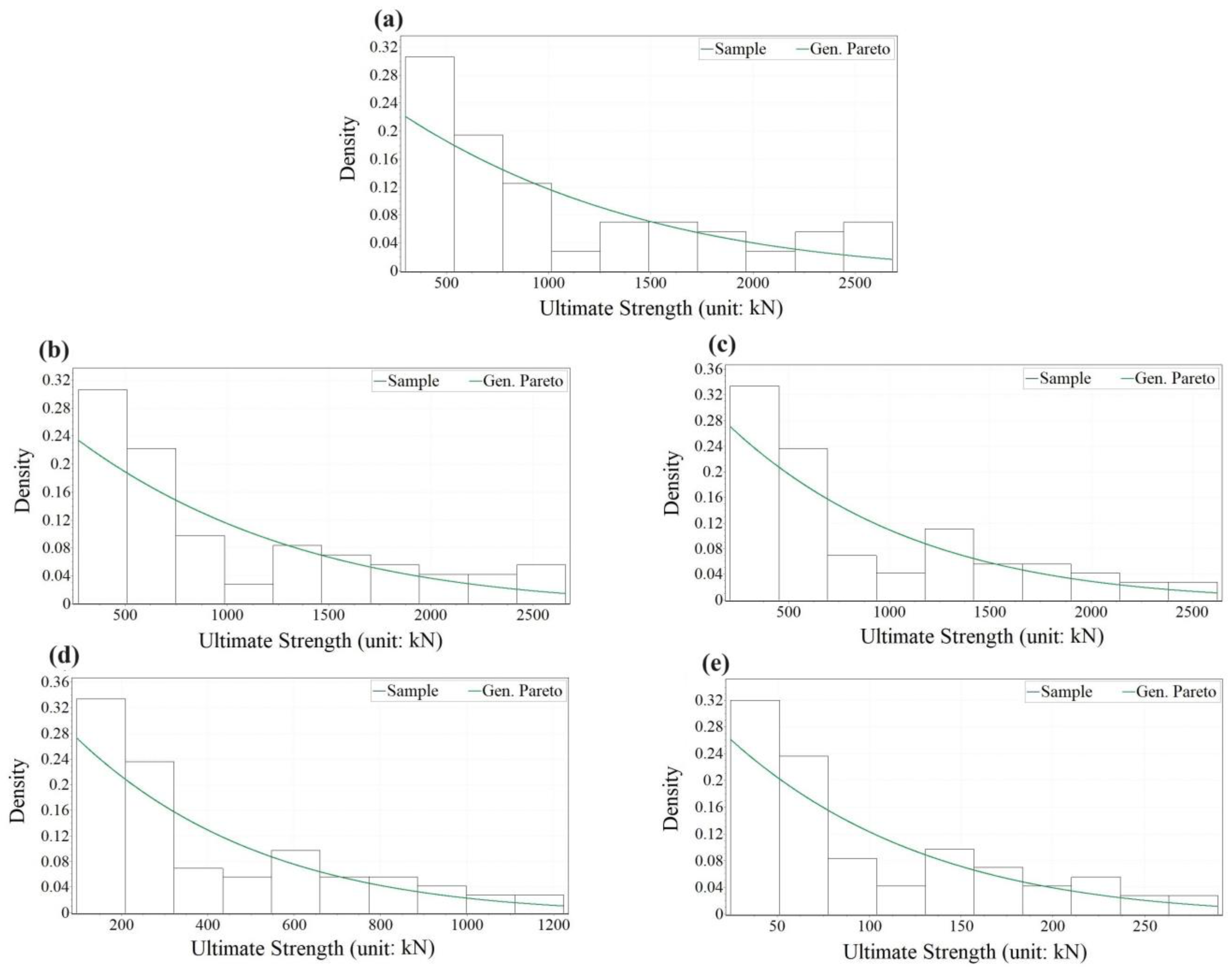
2.5. Density Histogram Generation


3. PDF Fitting
4. Investigating the PDFs
4.1. Kolmogorov–Smirnov (K-S) Assessment
4.2. Anderson–Darling (A-D) Assessment
4.3. Chi-Squared (C-S) Assessment
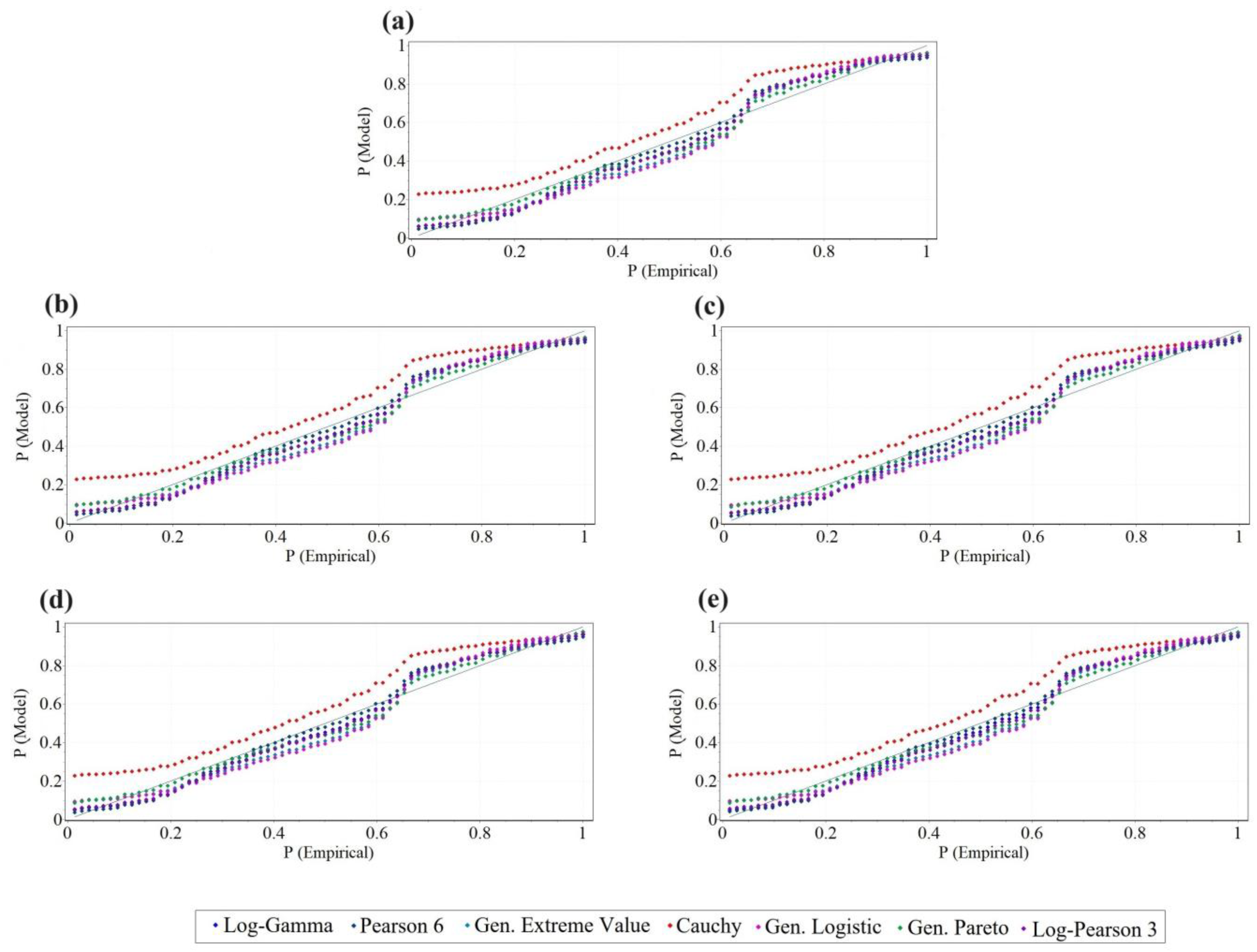
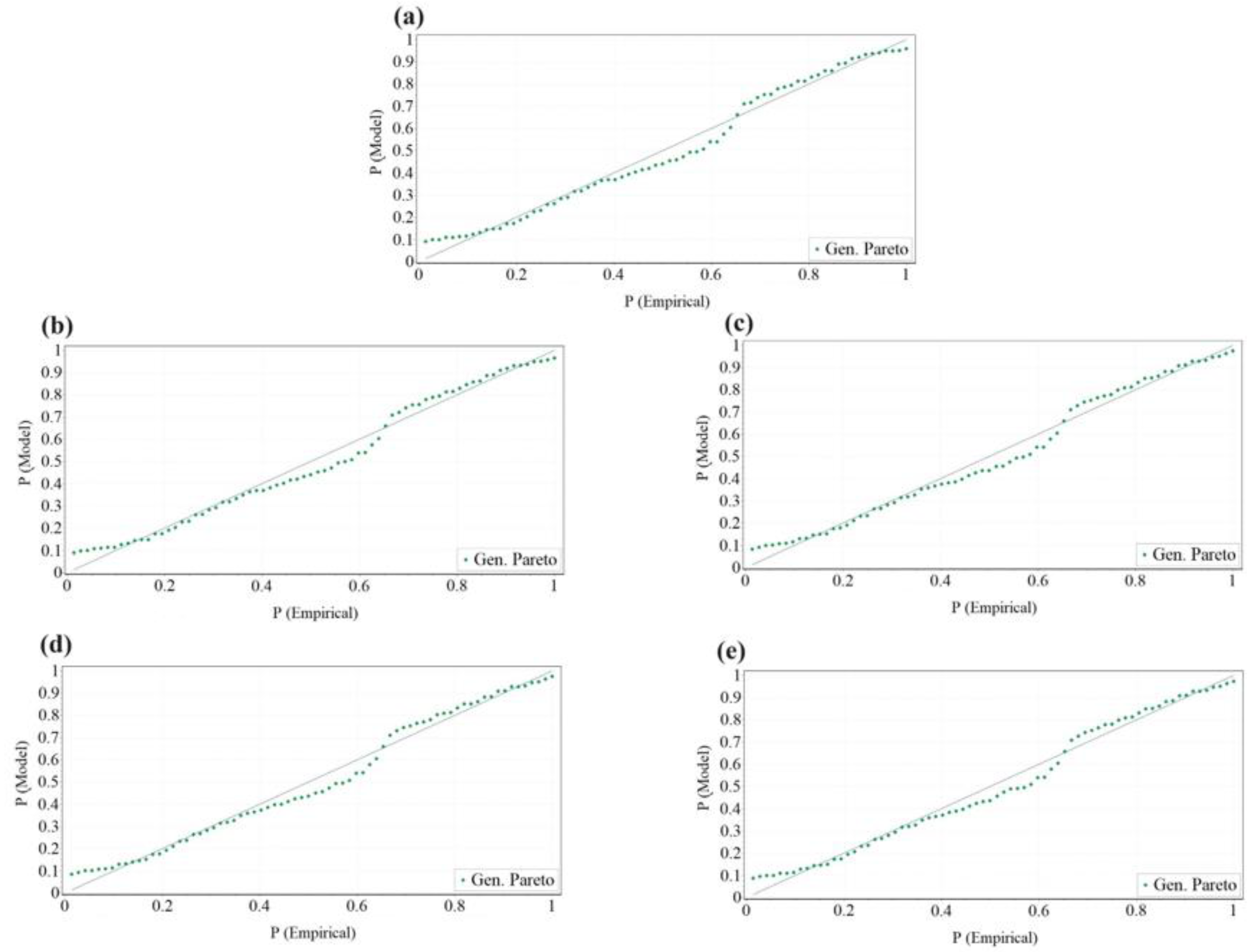
5. Proposing Probability Models
5.1. X-Joints with Retrofitting Plates under Ambient Conditions
Under Laboratory Testing Conditions (20 °C)
5.2. X-Joints with Retrofitting Plates under Tensile Loading and Fire Conditions
5.2.1. At 200 °C
5.2.2. At 400 °C
5.2.3. At 600 °C
5.2.4. At 800 °C
6. Conclusions
- Utilizing the Kolmogorov–Smirnov, Anderson–Darling, and Chi-squared analyses on five different datasets underscored the superiority of the Generalized Petro distribution in gauging the strength of X-joints fortified with retrofitting plates under tension, maintaining this distinction across a range of temperature scenarios.
- The introduction of five theoretical PDFs and CDFs offers a nuanced understanding of the ultimate resistance behaviors of X-joints under the specified conditions, facilitating precise engineering and design strategies.
- The characteristics of the recommended theoretical PDF and CDF are precisely defined by the location parameter (μ = 205.87), scale parameter (δ = 996.03), and shape parameter (k = −0.16423) capturing the essence of the structural performance under laboratory testing conditions (20 °C).
- Within the suggested PDF and CDF for joints strengthened to withstand the ambient conditions, the parameters are meticulously defined as follows: the scale parameter (δ) is set at 996.03, the continuous location parameter (μ) is set at 205.87, and the shape parameter (k) is set at −0.16423.
- For the proposed theoretical PDF and CDF tailored to joints at 200 °C, the parameters μ, δ, and k are set as 183.72, 941.78, and −0.14797, sequentially. At 400 °C, these parameters are adjusted to 139.06, 825.93, and −0.11475, in that order.
- At 600 °C, the μ, δ, and k are 62.824, 381.54, and −0.11179, sequentially. At 800 °C, the μ, δ, and k are 16.143, 93.746, and −0.12502, sequentially.
- Ultimately, the alignment of the proposed theoretical values with observed data indicates a strong correlation between the suggested theoretical PDFs and CDFs and the FE Model data.
Funding
Data Availability Statement
Acknowledgments
Conflicts of Interest
References
- Xu, J.; Yang, L.; Han, J.; Han, Z.; Tu, J.; Li, Z. Fire resistance behavior of earthquake-damaged tubular T-joints at elevated temperatures. J. Constr. Steel Res. 2019, 159, 176–188. [Google Scholar] [CrossRef]
- Ahmadi, H. Probabilistic analysis of the DoB in axially-loaded tubular KT-joints of offshore structures. Appl. Ocean Res. 2019, 87, 64–80. [Google Scholar] [CrossRef]
- Nassiraei, H.; Zhu, L.; Lotfollahi-Yaghin, M.A.; Ahmadi, H. Static capacity of tubular X-joints reinforced with collar plate subjected to brace compression. Thin-Walled Struct. 2017, 119, 256–265. [Google Scholar] [CrossRef]
- Shao, Y.-B. Static strength of collar-plate reinforced tubular T-joints under axial loading. Steel Compos. Struct. 2016, 21, 323–342. [Google Scholar] [CrossRef]
- Choo, Y.S.; Liang, J.X.; Van der Vegte, G.J.; Liew, J.Y.R. Static strength of collar plate reinforced CHS X-joints loaded by in-plane bending. J. Constr. Steel Res. 2004, 60, 1745–1760. [Google Scholar] [CrossRef]
- Choo, Y.S.; Liang, J.X.; Van der Vegte, G.J.; Zettlemoyer, N.; Li, B.H.; Liew, J.Y.R. Static strength of T-joints reinforced with doubler or collar plates. I: Experimental investigations. J. Struct. Eng. 2005, 31, 119–128. [Google Scholar] [CrossRef]
- Van der Vegte, G.J.; Choo, Y.S.; Liang, J.X.; Zettlemoyer, N.; Liew, G.J.R. Static strength of T-joints reinforced with doubler or collar plates, II: Numerical simulations. J. Struct. Eng. 2005, 131, 129–138. [Google Scholar] [CrossRef]
- Gao, F.; Guan, X.Q.; Zhu, H.P.; Liu, X.N. Fire resistance behaviour of tubular T-joints reinforced with collar plates. J. Constr. Steel Res. 2015, 115, 106–120. [Google Scholar] [CrossRef]
- Tan, K.H.; Fung, T.C.; Nguyen, M.P. Structural behavior of CHS T-Joints subjected to brace axial compression in fire conditions. J. Struct. Eng. 2013, 139, 73–84. [Google Scholar] [CrossRef]
- Ozyurt, E.; Wang, Y.C.; Tan, K.H. Elevated temperature resistance of welded tubular joints under axial load in the brace member. Eng. Struct. 2013, 59, 574–586. [Google Scholar] [CrossRef]
- Ozyurt, E.; Wang, Y.C. A numerical investigation of static resistance of welded planar steel tubular joints under in-plane and out-of-plane bending at elevated temperatures. Eng. Struct. 2019, 199, 109622. [Google Scholar] [CrossRef]
- Azari-Dodaran, N.; Ahmadi, H. Structural behavior of right-angle two-planar tubular TT-joints subjected to axial loadings at fire-induced elevated temperatures. Fire Saf. J. 2019, 108, 102849. [Google Scholar] [CrossRef]
- Pandey, M.; Young, B. Cold-formed high strength steel CHS-to-RHS T- and X-joints: Performance and design after fire exposures. Thin-Walled Struct. 2023, 189, 110793. [Google Scholar] [CrossRef]
- Nassiraei, H. Probability distribution models for the ultimate strength of tubular T/Y-joints reinforced with collar plates at room and different fire conditions. Ocean Eng. 2023, 270, 113557. [Google Scholar] [CrossRef]
- Zhao, Z.; Liu, H.; Liang, B. Probability distribution of the compression capacity of welded hollow spherical joints with randomly located corrosion. Thin-Walled Struct. 2019, 137, 167–176. [Google Scholar] [CrossRef]
- Chen, M.T.; Chen, Y.; Young, B. Experimental investigation on cold-formed steel elliptical hollow section T-joints. Eng. Struct. 2023, 283, 115593. [Google Scholar] [CrossRef]
- Chen, M.T.; Pandey, M.; Young, B. Mechanical properties of cold-formed steel semi-oval hollow sections after exposure to ISO-834 fire. Thin-Walled Struct. 2021, 167, 108202. [Google Scholar] [CrossRef]
- Chen, M.T.; Chen, Y.; Young, B. Static strengths of cold-formed steel elliptical hollow section X-joints. Thin-Walled Struct. 2023, 191, 110997. [Google Scholar] [CrossRef]
- Pandey, M.; Young, B. Design of cold-formed high strength steel rectangular hollow section T-joints under post-fire conditions. J. Constr. Steel Res. 2023, 208, 107941. [Google Scholar] [CrossRef]
- Ozyurt, E.; Wang, Y.C. Resistance of axially loaded T-and X-joints of elliptical hollow sections at elevated temperatures–A finite element study. Structures 2018, 14, 15–31. [Google Scholar] [CrossRef]
- Xu, Y.; Zhang, M.; Zheng, B. Design of cold-formed stainless steel circular hollow section columns using machine learning methods. Structures 2021, 33, 2755–2770. [Google Scholar] [CrossRef]
- Oeng, P.; Chen, M.T.; Young, B. Cold-formed steel T-joints with semi-oval hollow section chord: Experimental insight and finite element modelling. ce/papers 2023, 6, 1562–1567. [Google Scholar] [CrossRef]
- Huang, S.; Deng, X.; Wang, Y. Experimental investigations of optimized 3D Printing Planar X-joints manufactured by stainless steel and high-strength steel. Eng. Struct. 2023, 285, 116054. [Google Scholar] [CrossRef]
- Huang, S.; Deng, X.; Lam, L.K. Integrated design framework of 3D printed planar stainless tubular joint: Modelling, optimization, manufacturing, and experiment. Thin-Walled Struct. 2021, 169, 108463. [Google Scholar] [CrossRef]
- Zuo, W.; Chen, M.T.; Chen, Y.; Zhao, O.; Cheng, B.; Zhao, J. Additive manufacturing oriented parametric topology optimization design and numerical analysis of steel joints in gridshell structures. Thin-Walled Struct. 2023, 188, 110817. [Google Scholar] [CrossRef]
- Meng, X.; Zhi, J.; Xu, F.; Gardner, L. Novel hybrid sleeve connections between 3D printed and conventional tubular steel elements. Eng. Struct. 2024, 302, 117269. [Google Scholar] [CrossRef]
- Fung, T.; Soh, C.; Gho, W.; Qin, F. Ultimate capacity of completely overlapped tubular joints. J. Constr. Steel Res. 2001, 57, 855–880. [Google Scholar] [CrossRef]
- Nassiraei, H. Local joint flexibility of CHS X-joints reinforced with collar plates in jacket structures subjected to axial load. Appl. Ocean Res. 2019, 93, 101961. [Google Scholar] [CrossRef]
- American Welding Society (AWS). Structural Welding Code: AWS D 1.1.; American Welding Society (AWS): Miami, FL, USA, 2015. [Google Scholar]
- EN 1993-1-2; CEN, Design of Steel Structures. Part: EN 1993-1-2-Structural FIre Design. British Standard Institute: London, UK, 2005.
- Lesani, M.; Bahaari, M.R.; Shokrieh, M.M. Detail investigation on un-stiffened T/Y tubular joints behavior under axial compressive loads. J. Constr. Steel Res. 2012, 80, 91–99. [Google Scholar] [CrossRef]
- Ding, Y.; Zhu, L.; Zhang, K.; Bai, Y.; Sun, H. CHS X-joints strengthened by external stiffeners under brace axial tension. Eng. Struct. 2018, 171, 445–452. [Google Scholar] [CrossRef]
- Kottegoda, N.T.; Rosso, R. Applied Statistics for Civil and Environmental Engineers, 2nd ed.; Blackwell Publishing Ltd.: Oxford, UK, 2008. [Google Scholar]
- Stephens, M.A. EDF Statistics for Goodness of Fit and Some Comparisons. J. Am. Stat. Assoc. 1974, 69, 730–737. [Google Scholar] [CrossRef]
- Hu, S.; Wang, W.; Lin, X. Two-stage machine learning framework for developing probabilistic strength prediction models of structural components: An application for RHS-CHS T-joint. Eng. Struct. 2022, 266, 114548. [Google Scholar] [CrossRef]










| Specimen | Researchers | D (m) | d (m) | T (m) | t (m) | tc (m) | δc (m) | Load Type | Temperature |
|---|---|---|---|---|---|---|---|---|---|
| S1 | Ding et al. [32] | 300 | 76 | 7.75 | 5.87 | - | - | Tension | 20 °C |
| S2 | 300 | 151 | 8.11 | 8.75 | - | - | |||
| S3 | 300 | 219 | 7.95 | 8.45 | - | - | |||
| S4 | Shao [4] | 0.203 | 0.5 | 0.006 | 0.006 | 0.006 | 0.0125 | Axial | 20 °C |
| S5 | Nassiraei et al. [3] | 297.66 | 160.02 | 8.63 | 7.98 | 8.46 | 91 | Compression | 20 °C |
| S6 | 297.66 | 160.02 | 8.63 | 7.98 | 8.46 | 91 | |||
| S7 | 299.95 | 220.03 | 8.68 | 8.19 | 8.18 | 77 | |||
| S8 | Tan et al. [9] | 0.2445 | 0.1683 | 0.0063 | 0.0063 | - | - | Compression | 20 °C |
| S9 | 0.2445 | 0.1683 | 0.0063 | 0.0063 | - | - | 550 °C | ||
| S10 | 0.2445 | 0.1683 | 0.0063 | 0.0063 | - | - | 700 °C | ||
| S11 | 0.2445 | 0.1956 | 0.0063 | 0.0063 | - | - | 550 °C | ||
| S12 | Choo et al. [6] | 0.4095 | 0.2219 | 0.0081 | 0.0068 | 0.0064 | 0.4415 | Compression | 20 °C |
| S13 | 0.4095 | 0.2214 | 0.0128 | 0.0084 | 0.0083 | 0.0418 | |||
| S14 | 0.4095 | 0.2219 | 0.0085 | 0.0068 | 0.0064 | 0.4415 | Tension | ||
| S15 | 0.4095 | 0.2214 | 0.0128 | 0.0084 | 0.0083 | 0.0418 | |||
| S16–S23 | Ozyurt et al. [10] | 0.3239 | 193.7 | 0.01 | 0.01 | - | - | Tension | 20, 200, 300, 400, 500, 600, 700, 800 °C |
| S24–S31 * | 0.3239 | 193.7 | 0.01 | 0.01 | - | - | Tension | 20, 200, 300, 400, 500, 600, 700, 800 °C |
| Specimen | E0 (GPa) | E1 (GPa) | Ec (GPa) | fyo (MPa) | fy1 (MPa) | fyc (MPa) | fuo (MPa) | fu1 (MPa) | fuc (MPa) | ||
|---|---|---|---|---|---|---|---|---|---|---|---|
| S1 | 200.3 | 222.3 | - | 267.7 | 313.3 | - | - | - | - | ||
| S2 | 200.3 | 240 | - | 267.7 | 295 | - | - | - | - | ||
| S3 | 200.3 | 244.3 | - | 267.7 | 317.7 | - | - | - | - | ||
| S4 | 200 | 200 | 200 | 321 | 389 | 348 | 480 | 576 | 516 | ||
| S5 | 206 | 218 | 213.3 | 270 | 358 | 285 | 460 | 470 | 474 | ||
| S6 | 206 | 209 | 213.3 | 270 | 280 | 285 | 460 | 457 | 474 | ||
| S7 | 206 | 203 | 213.3 | 270 | 298 | 285 | 460 | 469 | 474 | ||
| S8 | 201 | 201 | - | 380.3 | 380.3 | - | 519.1 | 519.1 | - | ||
| S9 | The specifications for the material properties under high-temperature conditions are delineated following Equations (2)–(9) as outlined in EN 1993-1-2 [30]. | ||||||||||
| S10 | |||||||||||
| S11 | |||||||||||
| S12 | 205 | 205 | 205 | 285 | 300 | 461 | - | - | - | ||
| S13 | 205 | 205 | 205 | 276 | 275 | 464 | - | - | - | ||
| S14 | 205 | 205 | 205 | 276 | 300 | 461 | - | - | - | ||
| S15 | 205 | 205 | 205 | 276 | 275 | 464 | - | - | - | ||
| S16 | 210 | 210 | - | 355 | 355 | - | - | - | - | ||
| S17–S23 | The specifications for the material properties under high-temperature conditions are delineated following Equations (2)–(9) as outlined in EN 1993-1-2 [30]. | ||||||||||
| S24 | 210 | 210 | - | 355 | 355 | - | - | - | - | ||
| S25–S31 | The specifications for the material properties under high-temperature conditions are delineated following Equations (2)–(9) as outlined in EN 1993-1-2 [30]. | ||||||||||
| Specimen | Fu,test (kN) | Fu,num (kN) | Fu,num/Fu,test |
|---|---|---|---|
| S1 | 188.2 | 183.8 | 0.98 |
| S2 | 265.3 | 287.1 | 1.08 |
| S3 | 418 | 436.4 | 1.04 |
| S4 | 147.46 | 166.3 | 1.13 |
| S5 | 272.2 | 258 | 0.95 |
| S6 | 366.2 | 404 | 1.10 |
| S7 | 529.1 | 572 | 1.08 |
| S8 | 338 | 339 | 1.0 |
| S9 | 175.2 | 171.7 | 0.98 |
| S10 | 55 | 55.6 | 1.01 |
| S11 | 216 | 218 | 1.0 |
| S12 | 425.6 | 441.3 | 1.04 |
| S13 | 780 | 812.2 | 1.04 |
| S14 | 609.2 | 684.5 | 1.12 |
| S15 | 1065.3 | 1111.3 | 1.04 |
| Specimen | Ozyurt et al. [10] | Present Study | Present Study/Ozyurt et al. [10] |
|---|---|---|---|
| S16 | 1 | 1 | 1 |
| S17 | 0.97 | 0.98 | 1.01 |
| S18 | 0.93 | 0.95 | 1.02 |
| S19 | 0.91 | 0.95 | 1.04 |
| S20 | 0.72 | 0.74 | 1.03 |
| S21 | 0.43 | 0.45 | 1.05 |
| S22 | 0.20 | 0.22 | 1.10 |
| S23 | 0.10 | 0.10 | 1.0 |
| S24 | 1.0 | 1.0 | 1.0 |
| S25 | 1.0 | 1.0 | 1.0 |
| S26 | 1.0 | 1.0 | 1.0 |
| S27 | 1.0 | 1.0 | 1.0 |
| S28 | 0.80 | 0.82 | 1.03 |
| S29 | 0.48 | 0.51 | 1.06 |
| S30 | 0.21 | 0.22 | 1.05 |
| S31 | 0.11 | 0.12 | 1.09 |
| Parameter | Expression | Value(s) |
|---|---|---|
| η | δc/d | 0.25, 0.50, 0.75, 1.00 |
| τc | tc/T | 1.00, 1.25, 1.50, 1.75 |
| β | d/D | 0.2, 0.4, 0.5, 0.6, 0.8 |
| γ | D/2T | 10, 18, 20, 26 |
| τ | t/T | 0.7, 1.0 |
| D | Chord diameter | 0.3 m |
| T | Temperature | 20 °C, 200 °C, 400 °C, 600 °C, 800 °C |
| Statistical Measure | Symbol | Unit | Database 1 | Database 2 | Database 3 | Database 4 | Database 5 | |
|---|---|---|---|---|---|---|---|---|
| Sample size | - | n | - | 72 | 72 | 72 | 72 | 72 |
| Measures of central tendency | Mean | μ | kN | 1061.4 | 1004.1 | 879.96 | 406.0 | 99.471 |
| Median | - | - | 767.98 | 715.9 | 609.9 | 279.3 | 69.5 | |
| Interquartile range | iqr | kN | 1115.63 | 1072.95 | 971.63 | 452.42 | 108.6 | |
| Std. Deviation | σ | kN | 719.25 | 696.58 | 643.47 | 298.69 | 71.861 | |
| Coef. of Variation | ν | - | 0.67764 | 0.69374 | 0.73124 | 0.73569 | 0.72243 |
| # | Distribution | Continuous Variables | Estimated Values | ||||
|---|---|---|---|---|---|---|---|
| Database 1 | Database 2 | Database 3 | Database 4 | Database 5 | |||
| 1 | Cauchy | μ | 683.27 | 635.32 | 536.59 | 246.47 | 61.44 |
| σ | 332.22 | 316.56 | 282.45 | 130.43 | 32.119 | ||
| 2 | Frechet | α | 1.701 | 1.6637 | 1.5813 | 1.5704 | 1.597 |
| β | 600.66 | 557.52 | 466.87 | 214.11 | 53.282 | ||
| 3 | Generalized Extreme Value | μ | 698.45 | 651.47 | 552.87 | 254.14 | 62.986 |
| σ | 491.45 | 469.48 | 420.47 | 194.6 | 47.416 | ||
| k | 0.14147 | 0.15091 | 0.17037 | 0.17212 | 0.16434 | ||
| 4 | Generalized Logistic | μ | 895.47 | 840.1 | 722.58 | 332.71 | 82.097 |
| σ | 351.47 | 337.55 | 305.62 | 141.59 | 34.348 | ||
| k | 0.26413 | 0.27066 | 0.28421 | 0.28543 | 0.27999 | ||
| 5 | Generalized Pareto | μ | 205.87 | 183.72 | 139.06 | 62.824 | 16.143 |
| σ | 996.03 | 941.78 | 825.93 | 381.54 | 93.746 | ||
| k | −0.16423 | −0.14797 | −0.11475 | −0.11179 | −0.12502 | ||
| 6 | Gumbel Max | μ | 737.7 | 690.6 | 590.37 | 271.57 | 67.13 |
| σ | 560.8 | 543.13 | 501.71 | 232.89 | 56.03 | ||
| 7 | Inv. Gaussian | μ | 1061.4 | 1004.1 | 879.96 | 406.0 | 99.471 |
| λ | 2311.4 | 2086.3 | 1645.7 | 750.13 | 190.59 | ||
| 8 | Log-Gamma | α | 97.239 | 90.818 | 77.628 | 59.407 | 35.213 |
| β | 0.06932 | 0.07349 | 0.08394 | 0.09661 | 0.1233 | ||
| 9 | Log-Logistic | α | 2.4135 | 2.3612 | 2.2487 | 2.2332 | 2.2704 |
| β | 832.39 | 778.29 | 663.16 | 304.88 | 75.425 | ||
| 10 | Log-Pearson 3 | α | 186.22 | 192.3 | 230.62 | 237.83 | 246.75 |
| β | 0.05009 | 0.0505 | 0.0487 | 0.04828 | 0.04658 | ||
| γ | −2.5874 | −3.0377 | −4.7152 | −5.7441 | −7.1517 | ||
| 11 | Pearson 6 | α1 | 166.55 | 114.75 | 112.32 | 351.6 | 54.099 |
| α2 | 2.5167 | 2.4283 | 2.187 | 2.1397 | 2.2693 | ||
| β | 10.387 | 13.482 | 10.36 | 1.4734 | 2.5637 | ||
| 12 | Weibull | α | 1.6667 | 1.6307 | 1.5553 | 1.5446 | 1.5702 |
| β | 1161.3 | 1093.8 | 947.53 | 436.69 | 107.4 | ||
| # | Distribution | Statistic | α = 0.05 | α = 0.01 | Rank | ||
|---|---|---|---|---|---|---|---|
| Critical Value | Finding | Critical Value | Finding | ||||
| 1 | Cauchy | 0.22733 | 0.15755 | Fail | 0.18903 | Fail | 12 |
| 2 | Frechet | 0.11633 | OK | OK | 9 | ||
| 3 | Generalized Extreme Value | 0.09585 | OK | OK | 4 | ||
| 4 | Generalized Logistic | 0.1087 | OK | OK | 8 | ||
| 5 | Generalized Pareto | 0.09085 | OK | OK | 1 | ||
| 6 | Gumbel Max | 0.12942 | OK | OK | 11 | ||
| 7 | Inv. Gaussian | 0.09703 | OK | OK | 5 | ||
| 8 | Log-Gamma | 0.09548 | OK | OK | 3 | ||
| 9 | Log-Logistic | 0.09937 | OK | OK | 6 | ||
| 10 | Log-Pearson 3 | 0.09369 | OK | OK | 2 | ||
| 11 | Pearson 6 | 0.10851 | OK | OK | 7 | ||
| 12 | Weibull | 0.12238 | OK | OK | 10 | ||
| # | Statistic | α = 0.05 | α = 0.01 | Rank | ||
|---|---|---|---|---|---|---|
| Critical Value | Finding | Critical Value | Finding | |||
| 1 | 0.22814 | 0.15755 | Fail | 0.18903 | Fail | 12 |
| 2 | 0.11606 | OK | OK | 9 | ||
| 3 | 0.09562 | OK | OK | 3 | ||
| 4 | 0.10839 | OK | OK | 7 | ||
| 5 | 0.09008 | OK | OK | 1 | ||
| 6 | 0.13215 | OK | OK | 11 | ||
| 7 | 0.09833 | OK | OK | 5 | ||
| 8 | 0.09588 | OK | OK | 4 | ||
| 9 | 0.10028 | OK | OK | 6 | ||
| 10 | 0.09432 | OK | OK | 2 | ||
| 11 | 0.1092 | OK | OK | 8 | ||
| 12 | 0.12215 | OK | OK | 10 | ||
| # | Statistic | α = 0.05 | α = 0.01 | Rank | ||
|---|---|---|---|---|---|---|
| Critical Value | Finding | Critical Value | Finding | |||
| 1 | 0.22745 | 0.15755 | Fail | 0.18903 | Fail | 12 |
| 2 | 0.1168 | OK | OK | 9 | ||
| 3 | 0.09798 | OK | OK | 3 | ||
| 4 | 0.11068 | OK | OK | 8 | ||
| 5 | 0.08382 | OK | OK | 1 | ||
| 6 | 0.13453 | OK | OK | 11 | ||
| 7 | 0.09955 | OK | OK | 4 | ||
| 8 | 0.09957 | OK | OK | 5 | ||
| 9 | 0.10522 | OK | OK | 6 | ||
| 10 | 0.0974 | OK | OK | 2 | ||
| 11 | 0.10906 | OK | OK | 7 | ||
| 12 | 0.12021 | OK | OK | 10 | ||
| # | Statistic | α = 0.05 | α = 0.01 | Rank | ||
|---|---|---|---|---|---|---|
| Critical Value | Finding | Critical Value | Finding | |||
| 1 | 0.22796 | 0.15755 | Fail | 0.18903 | Fail | 12 |
| 2 | 0.11813 | OK | OK | 9 | ||
| 3 | 0.09893 | OK | OK | 3 | ||
| 4 | 0.11165 | OK | OK | 7 | ||
| 5 | 0.08512 | OK | OK | 1 | ||
| 6 | 0.13555 | OK | OK | 11 | ||
| 7 | 0.10123 | OK | OK | 4 | ||
| 8 | 0.10179 | OK | OK | 5 | ||
| 9 | 0.10652 | OK | OK | 6 | ||
| 10 | 0.09834 | OK | OK | 2 | ||
| 11 | 0.11212 | OK | OK | 8 | ||
| 12 | 0.12058 | OK | OK | 10 | ||
| # | Statistic | α = 0.05 | α = 0.01 | Rank | ||
|---|---|---|---|---|---|---|
| Critical Value | Finding | Critical Value | Finding | |||
| 1 | 0.22824 | 0.15755 | Fail | 0.18903 | Fail | 12 |
| 2 | 0.11578 | OK | OK | 9 | ||
| 3 | 0.09362 | OK | OK | 2 | ||
| 4 | 0.1073 | OK | OK | 7 | ||
| 5 | 0.08673 | OK | OK | 1 | ||
| 6 | 0.13288 | OK | OK | 11 | ||
| 7 | 0.10166 | OK | OK | 5 | ||
| 8 | 0.1011 | OK | OK | 4 | ||
| 9 | 0.1038 | OK | OK | 6 | ||
| 10 | 0.09618 | OK | OK | 3 | ||
| 11 | 0.10866 | OK | OK | 8 | ||
| 12 | 0.11777 | OK | OK | 10 | ||
| # | Distribution | Statistic | α = 0.05 | α = 0.01 | Rank | ||
|---|---|---|---|---|---|---|---|
| Critical Value | Finding | Critical Value | Finding | ||||
| 1 | Cauchy | 5.9451 | 2.5018 | Fail | 3.9074 | Fail | 12 |
| 2 | Frechet | 1.1578 | OK | OK | 5 | ||
| 3 | Generalized Extreme Value | 1.5063 | OK | OK | 7 | ||
| 4 | Generalized Logistic | 1.9315 | OK | OK | 8 | ||
| 5 | Generalized Pareto | 0.8553 | OK | OK | 1 | ||
| 6 | Gumbel Max | 1.9739 | OK | OK | 10 | ||
| 7 | Inv. Gaussian | 1.9358 | OK | OK | 9 | ||
| 8 | Log-Gamma | 1.1054 | OK | OK | 3 | ||
| 9 | Log-Logistic | 1.2212 | OK | OK | 6 | ||
| 10 | Log-Pearson 3 | 1.1215 | OK | OK | 4 | ||
| 11 | Pearson 6 | 1.1052 | OK | OK | 2 | ||
| 12 | Weibull | 2.0589 | OK | OK | 11 | ||
| # | Statistic | α = 0.05 | α = 0.01 | Rank | ||
|---|---|---|---|---|---|---|
| Critical Value | Finding | Critical Value | Finding | |||
| 1 | 6.0555 | 2.5018 | Fail | 3.9074 | Fail | 12 |
| 2 | 1.1457 | OK | OK | 5 | ||
| 3 | 1.4833 | OK | OK | 7 | ||
| 4 | 1.905 | OK | OK | 8 | ||
| 5 | 0.82676 | OK | OK | 1 | ||
| 6 | 1.97 | OK | OK | 19 | ||
| 7 | 1.9464 | OK | OK | 9 | ||
| 8 | 1.0665 | OK | OK | 2 | ||
| 9 | 1.197 | OK | OK | 6 | ||
| 10 | 1.084 | OK | OK | 4 | ||
| 11 | 1.0829 | OK | OK | 3 | ||
| 12 | 2.0118 | OK | OK | 11 | ||
| # | Statistic | α = 0.05 | α = 0.01 | Rank | ||
|---|---|---|---|---|---|---|
| Critical Value | Finding | Critical Value | Finding | |||
| 1 | 6.2353 | 2.5018 | Fail | 3.9074 | Fail | 12 |
| 2 | 1.1133 | OK | OK | 5 | ||
| 3 | 1.4145 | OK | OK | 7 | ||
| 4 | 1.8219 | OK | OK | 8 | ||
| 5 | 0.75897 | OK | OK | 1 | ||
| 6 | 1.9492 | OK | OK | 10 | ||
| 7 | 1.9521 | OK | OK | 11 | ||
| 8 | 0.95889 | OK | OK | 2 | ||
| 9 | 1.1182 | OK | OK | 6 | ||
| 10 | 0.9794 | OK | OK | 3 | ||
| 11 | 0.98753 | OK | OK | 4 | ||
| 12 | 1.9005 | OK | OK | 9 | ||
| # | Statistic | α = 0.05 | α = 0.01 | Rank | ||
|---|---|---|---|---|---|---|
| Critical Value | Finding | Critical Value | Finding | |||
| 1 | 6.2595 | 2.5018 | Fail | 3.9074 | Fail | 12 |
| 2 | 1.1364 | OK | OK | 6 | ||
| 3 | 1.4229 | OK | OK | 7 | ||
| 4 | 1.8292 | OK | OK | 8 | ||
| 5 | 0.77009 | OK | OK | 1 | ||
| 6 | 1.9613 | OK | OK | 10 | ||
| 7 | 1.9884 | OK | OK | 11 | ||
| 8 | 0.96404 | OK | OK | 2 | ||
| 9 | 1.1215 | OK | OK | 5 | ||
| 10 | 0.98715 | OK | OK | 3 | ||
| 11 | 1.0092 | OK | OK | 4 | ||
| 12 | 1.8943 | OK | OK | 9 | ||
| # | Statistic | α = 0.05 | α = 0.01 | Rank | ||
|---|---|---|---|---|---|---|
| Critical Value | Finding | Critical Value | Finding | |||
| 1 | 6.0958 | 2.5018 | Fail | 3.9074 | Fail | 12 |
| 2 | 1.1436 | OK | OK | 6 | ||
| 3 | 1.4038 | OK | OK | 7 | ||
| 4 | 1.8102 | OK | OK | 8 | ||
| 5 | 0.75742 | OK | OK | 1 | ||
| 6 | 1.9126 | OK | OK | 10 | ||
| 7 | 1.9581 | OK | OK | 11 | ||
| 8 | 0.96931 | OK | OK | 2 | ||
| 9 | 1.1199 | OK | OK | 5 | ||
| 10 | 0.9923 | OK | OK | 3 | ||
| 11 | 1.0106 | OK | OK | 4 | ||
| 12 | 1.878 | OK | OK | 9 | ||
| # | Distribution | Statistic | α = 0.05 | α = 0.01 | Rank | ||
|---|---|---|---|---|---|---|---|
| Critical Value | Finding | Critical Value | Finding | ||||
| 1 | Cauchy | 5.8114 | 11.07 | OK | 15.086 | OK | 2 |
| 2 | Frechet | 8.1841 | OK | OK | 7 | ||
| 3 | Generalized Extreme Value | 7.6429 | OK | OK | 5 | ||
| 4 | Generalized Logistic | 9.192 | OK | OK | 10 | ||
| 5 | Generalized Pareto | 3.9917 | OK | OK | 1 | ||
| 6 | Gumbel Max | 9.348 | OK | OK | 11 | ||
| 7 | Inv. Gaussian | 9.1666 | OK | OK | 9 | ||
| 8 | Log-Gamma | 5.9697 | OK | OK | 3 | ||
| 9 | Log-Logistic | 9.003 | OK | OK | 8 | ||
| 10 | Log-Pearson 3 | 7.0805 | OK | OK | 4 | ||
| 11 | Pearson 6 | 8.1147 | OK | OK | 6 | ||
| 12 | Weibull | 10.974 | OK | OK | 12 | ||
| # | Statistic | α = 0.05 | α = 0.01 | Rank | ||
|---|---|---|---|---|---|---|
| Critical Value | Finding | Critical Value | Finding | |||
| 1 | 6.0562 | 11.07 | OK | 15.086 | OK | 4 |
| 2 | 6.8167 | OK | OK | 6 | ||
| 3 | 6.2811 | OK | OK | 5 | ||
| 4 | 9.4801 | OK | OK | 9 | ||
| 5 | 4.136 | OK | OK | 1 | ||
| 6 | 10.363 | OK | OK | 12 | ||
| 7 | 9.61 | OK | OK | 10 | ||
| 8 | 4.9555 | OK | OK | 2 | ||
| 9 | 9.3863 | OK | OK | 8 | ||
| 10 | 5.7531 | OK | OK | 3 | ||
| 11 | 8.4904 | OK | OK | 7 | ||
| 12 | 10.281 | OK | OK | 11 | ||
| # | Statistic | α = 0.05 | α = 0.01 | Rank | ||
|---|---|---|---|---|---|---|
| Critical Value | Finding | Critical Value | Finding | |||
| 1 | 8.0775 | 11.07 | OK | 15.086 | OK | 8 |
| 2 | 6.7643 | OK | OK | 6 | ||
| 3 | 5.3979 | OK | OK | 3 | ||
| 4 | 12.016 | Fail | OK | 11 | ||
| 5 | 4.5525 | OK | OK | 1 | ||
| 6 | 12.139 | Fail | OK | 12 | ||
| 7 | 9.1876 | OK | OK | 9 | ||
| 8 | 5.041 | OK | OK | 2 | ||
| 9 | 7.6378 | OK | OK | 7 | ||
| 10 | 6.3252 | OK | OK | 5 | ||
| 11 | 5.4001 | OK | OK | 4 | ||
| 12 | 11.728 | Fail | OK | 10 | ||
| # | Statistic | α = 0.05 | α = 0.01 | Rank | ||
|---|---|---|---|---|---|---|
| Critical Value | Finding | Critical Value | Finding | |||
| 1 | 8.1476 | 11.07 | OK | 15.086 | OK | 7 |
| 2 | 8.3311 | OK | OK | 8 | ||
| 3 | 5.4128 | OK | OK | 3 | ||
| 4 | 12.026 | Fail | OK | 10 | ||
| 5 | 4.5739 | OK | OK | 1 | ||
| 6 | 12.141 | Fail | OK | 11 | ||
| 7 | 10.245 | OK | OK | 9 | ||
| 8 | 4.773 | OK | OK | 2 | ||
| 9 | 7.653 | OK | OK | 6 | ||
| 10 | 6.3394 | OK | OK | 5 | ||
| 11 | 5.8302 | OK | OK | 4 | ||
| 12 | 12.495 | Fail | OK | 12 | ||
| # | Statistic | α = 0.05 | α = 0.01 | Rank | ||
|---|---|---|---|---|---|---|
| Critical Value | Finding | Critical Value | Finding | |||
| 1 | 6.6775 | 11.07 | OK | 15.086 | OK | 6 |
| 2 | 7.6284 | OK | OK | 8 | ||
| 4 | 4.6218 | OK | OK | 2 | ||
| 5 | 11.88 | Fail | OK | 11 | ||
| 6 | 3.3767 | OK | OK | 1 | ||
| 7 | 13.367 | Fail | OK | 12 | ||
| 8 | 10.6 | OK | OK | 9 | ||
| 9 | 5.8354 | OK | OK | 3 | ||
| 10 | 7.4444 | OK | OK | 7 | ||
| 11 | 6.1532 | OK | OK | 4 | ||
| 13 | 6.3724 | OK | OK | 5 | ||
| 14 | 10.755 | OK | OK | 10 | ||
| K-S Trial | A-D Trial | C-S Trial | ||||||||
|---|---|---|---|---|---|---|---|---|---|---|
| Distribution | Statistic | Disagreement | Distribution | Statistic | Disagreement | Distribution | Statistic | Disagreement | ||
| Database 1 | Best | Generalized Pareto | 0.09085 | 0.00% | Gen. Pareto | 0.8553 | 0.00% | Gen. Pareto | 3.9917 | 0.00% |
| Suggested | Gen. Pareto | 0.09085 | Gen. Pareto | 0.8553 | Gen. Pareto | 3.9917 | ||||
| Database 2 | Best | Generalized Pareto | 0.09008 | 0.00% | Gen. Pareto | 0.82676 | 0.00% | Gen. Pareto | 4.136 | 0.00% |
| Suggested | Gen. Pareto | 0.09008 | Gen. Pareto | 0.82676 | Gen. Pareto | 4.136 | ||||
| Database 3 | Best | Generalized Pareto | 0.08382 | 0.00% | Gen. Pareto | 0.75897 | 0.00% | Gen. Pareto | 4.5525 | 0.00% |
| Suggested | Gen. Pareto | 0.08382 | Gen. Pareto | 0.75897 | Gen. Pareto | 4.5525 | ||||
| Database 4 | Best | Generalized Pareto | 0.08512 | 0.00% | Gen. Pareto | 0.77009 | 0.00% | Gen. Pareto | 4.5739 | 0.00% |
| Suggested | Generalized Pareto | 0.08512 | Gen. Pareto | 0.77009 | Gen. Pareto | 4.5739 | ||||
| Database 5 | Best | Generalized Pareto | 0.08673 | 0.00% | Gen. Pareto | 0.75742 | 0.00% | Gen. Pareto | 6.3724 | 0.00% |
| Suggested | Gen. Pareto | 0.08673 | Gen. Pareto | 0.75742 | Gen. Pareto | 6.3724 | ||||
Disclaimer/Publisher’s Note: The statements, opinions and data contained in all publications are solely those of the individual author(s) and contributor(s) and not of MDPI and/or the editor(s). MDPI and/or the editor(s) disclaim responsibility for any injury to people or property resulting from any ideas, methods, instructions or products referred to in the content. |
© 2024 by the author. Licensee MDPI, Basel, Switzerland. This article is an open access article distributed under the terms and conditions of the Creative Commons Attribution (CC BY) license (https://creativecommons.org/licenses/by/4.0/).
Share and Cite
Nassiraei, H. Probabilistic Analysis of Strength in Retrofitted X-Joints under Tensile Loading and Fire Conditions. Buildings 2024, 14, 2105. https://doi.org/10.3390/buildings14072105
Nassiraei H. Probabilistic Analysis of Strength in Retrofitted X-Joints under Tensile Loading and Fire Conditions. Buildings. 2024; 14(7):2105. https://doi.org/10.3390/buildings14072105
Chicago/Turabian StyleNassiraei, Hossein. 2024. "Probabilistic Analysis of Strength in Retrofitted X-Joints under Tensile Loading and Fire Conditions" Buildings 14, no. 7: 2105. https://doi.org/10.3390/buildings14072105
APA StyleNassiraei, H. (2024). Probabilistic Analysis of Strength in Retrofitted X-Joints under Tensile Loading and Fire Conditions. Buildings, 14(7), 2105. https://doi.org/10.3390/buildings14072105

