Dynamic Monitoring of Steel Beam Stress Based on PMN-PT Sensor
Abstract
1. Introduction
2. Sensing Mechanism of Piezoelectric Materials
3. Sensor Preparation and Performance Characterization
3.1. Characterization Test Component Preparation
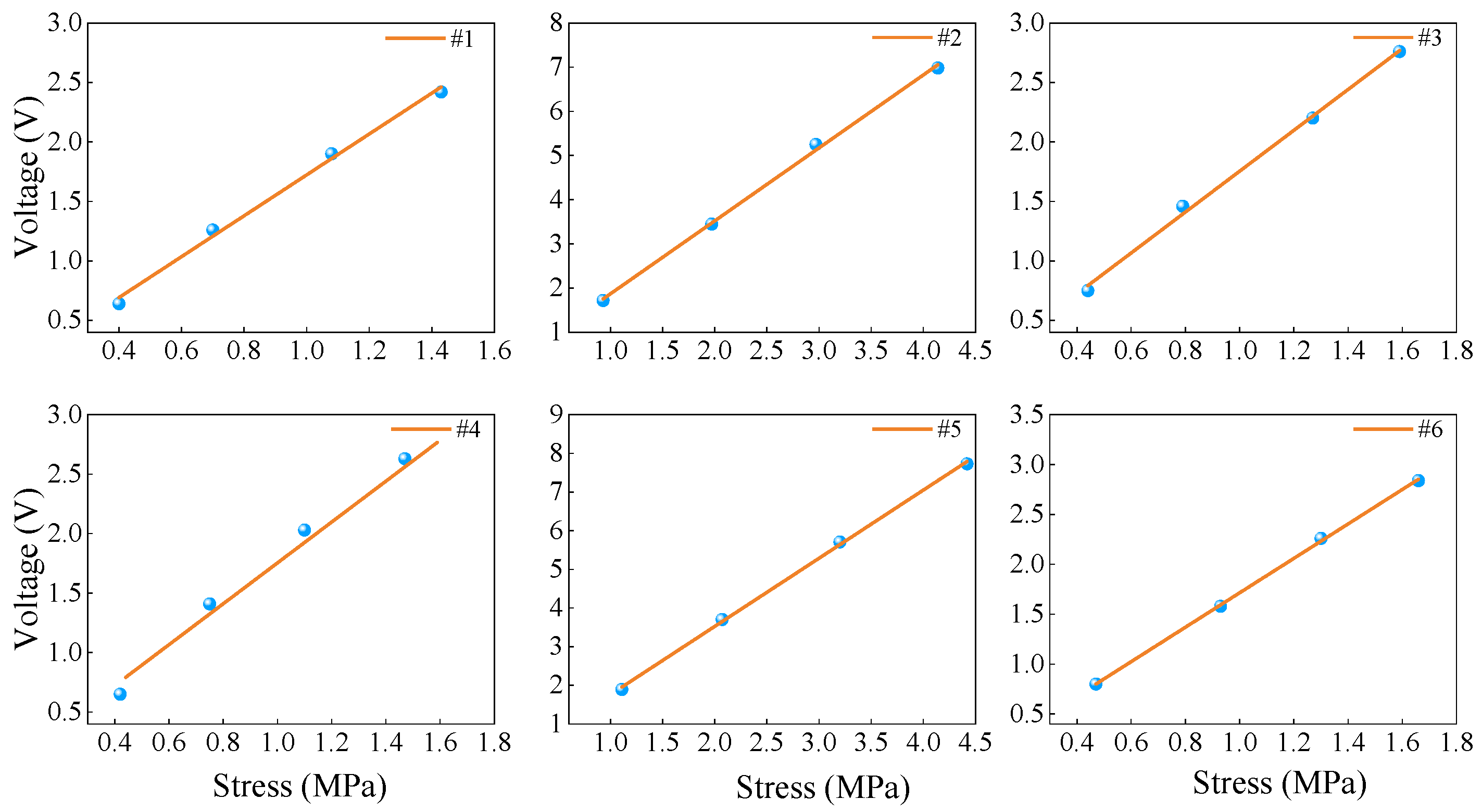
3.2. Sensitivity Test
3.3. Frequency Response Range Calibration
4. Stress Monitoring of Steel Beam under Low-Frequency Vibration Load
4.1. Random Vibration Loading Test
4.1.1. Specimen Design and Loading System
4.1.2. Sensor Voltage Analysis
4.2. Drop Hammer Impact Loading Test
4.2.1. Test Device and Loading Scheme
4.2.2. Sensor Voltage Analysis
4.2.3. Calculation of Peak Stress of Steel Beam
4.2.4. Sensor Sensitivity Analysis
4.3. Model Establishment
4.4. Comparative Analysis of Simulation and Experimental Results
4.4.1. Random Vibration
4.4.2. Drop Hammer Impact
5. Conclusions
- (1)
- A new PMN-PT sensor is designed, and calibration tests of the sensitivity and frequency response range are carried out. Compared with the PVDF sensor, the sensor has higher sensitivity and smaller fluctuations in the frequency range of 0–1000 Hz, indicating that the sensor has a wider applicable frequency range and stronger stability.
- (2)
- In the random vibration steel beam stress monitoring test, the waveform of the sensor output voltage in the time-frequency domain is consistent with the waveform of the low-frequency vibration load, and there is no phase difference. It has excellent performance in both high- and low-frequency environments and can provide real-time feedback on the stress change state of the steel beam. In the steel beam stress monitoring test under impact load, the delay of the sensor signal mutation relative to the drop hammer contacting the structural surface is only 0.001 s, which has good perception ability for 0~5 Mpa impact loads. At the same time, the linear sensitivity R2 of each sensor is above 0.9, indicating that PMN-PT is more sensitive to minor damage.
- (3)
- Comparing the finite element model with the steel beam stress monitoring test results, the maximum stress error is 5.38% under random vibration and 3.94% under impact vibration, both of which are within the allowable error range, indicating that the sensor can achieve accurate steel beam stress monitoring and has broad development prospects.
- (4)
- In future engineering applications, the sensor’s packaging form and wire connection method need to be further optimized to avoid wire breakage and PMN-PT sheet debonding during use, thereby improving the durability of the sensor. In addition, it is necessary to conduct on-site long-term monitoring tests on the vibration environment of large steel beams in the project to study the feasibility of using PMN-PT materials in actual projects.
Author Contributions
Funding
Data Availability Statement
Conflicts of Interest
References
- Sam, V.S.; Nammalvar, A.; Andrushia, D.; Gurupatham, B.G.A.; Roy, K. Flexural Behavior of Galvanized Iron Based Cold-Formed Steel Back-to-Back Built-Up Beams at Elevated Temperatures. Buildings 2024, 14, 2456. [Google Scholar] [CrossRef]
- Samuel, J.; Nair, S.R.; Joanna, P.S.; Gurupatham, B.G.A.; Roy, K.; Lim, J.B.P. Composite cold-formed steel beams with diagonal rebars for earthquake-resistant buildings. Materials 2023, 16, 3002. [Google Scholar] [CrossRef] [PubMed]
- Fan, W.; Qiao, P. Vibration-based damage identification methods: A review and comparative study. Struct. Health Monit. 2011, 10, 83–111. [Google Scholar] [CrossRef]
- Ben Seghier, M.E.A.; Knudsen, O.Ø.; Skilbred, A.W.B.; Höche, D. An intelligent framework for forecasting and investigating corrosion in marine conditions using time sensor data. npj Mater. Degrad. 2023, 7, 91. [Google Scholar] [CrossRef]
- Roy, K.; Ananthi, G.B.G. Sustainable Composite Construction Materials; MDPI-Multidisciplinary Digital Publishing Institute: Basel, Switzerland, 2023. [Google Scholar]
- Abbas, M.; Shafiee, M. Structural health monitoring (SHM) and determination of surface defects in large metallic structures using ultrasonic guided waves. Sensors 2018, 18, 3958. [Google Scholar] [CrossRef]
- Garrido, I.; Lagüela, S.; Arias, P. Infrared thermography’s application to infrastructure inspections. Infrastructures 2018, 3, 35. [Google Scholar] [CrossRef]
- Doshvarpassand, S.; Wu, C.; Wang, X. An overview of corrosion defect characterization using active infrared thermography. Infrared Phys. Technol. 2019, 96, 366–389. [Google Scholar] [CrossRef]
- Glisic, B. Concise historic overview of strain sensors used in the monitoring of civil structures: The first one hundred years. Sensors 2022, 22, 2397. [Google Scholar] [CrossRef]
- Arango, M.A.P.; Mendez, H.F.G.; Pardo, I.E.D. Crack Detection Using An Electromagnetic Sensor-Antenna For Structures. In Proceedings of the Congreso Internacional de Innovación y Tendencias en Ingenieria (CONIITI), Bogota, Colombia, 2–4 October 2019; IEEE: Piscataway, NJ, USA, 2019; pp. 1–6. [Google Scholar]
- García, I.; Zubia, J.; Durana, G. Optical fiber sensors for aircraft structural health monitoring. Sensors 2015, 15, 15494–15519. [Google Scholar] [CrossRef]
- Silva, K.K.S.; Silva, F.A.N.; Mahfoud, T. On the Use of Embedded Fiber Optic Sensors for Measuring Early-Age Strains in Concrete. Sensors 2021, 21, 4171. [Google Scholar] [CrossRef]
- Wang, B.; Zhong, S.; Lee, T. Non-destructive testing and evaluation of composite materials/structures: A state-of-the-art review. Adv. Mech. Eng. 2020, 12, 1687814020913761. [Google Scholar] [CrossRef]
- Khedmatgozar Dolati, S.S.; Caluk, N.; Mehrabi, A. Non-destructive testing applications for steel bridges. Appl. Sci. 2021, 11, 9757. [Google Scholar] [CrossRef]
- Tuschl, C.; Oswald-Tranta, B.; Eck, S. Inductive thermography as non-destructive testing for railway rails. Appl. Sci. 2021, 11, 1003. [Google Scholar] [CrossRef]
- Kylili, A.; Fokaides, P.A.; Christou, P. Infrared thermography (IRT) applications for building diagnostics: A review. Appl. Energy 2014, 134, 531–549. [Google Scholar] [CrossRef]
- Yao, Y.; Glisic, B. Detection of steel fatigue cracks with strain sensing sheets based on large area electronics. Sensors 2015, 15, 8088–8108. [Google Scholar] [CrossRef] [PubMed]
- Imai, M.; Nakano, R.; Kono, T. Crack detection application for fiber reinforced concrete using BOCDA-based optical fiber strain sensor. J. Struct. Eng. 2010, 136, 1001–1008. [Google Scholar] [CrossRef]
- Kang, I.; Schulz, M.J.; Kim, J.H. A carbon nanotube strain sensor for structural health monitoring. Smart Mater. Struct. 2006, 15, 737. [Google Scholar] [CrossRef]
- Micro-Measurements, V. Strain gage installations for concrete structures. Appl. Note TT 2007, 611, 217–220. [Google Scholar]
- Gkantou, M.; Muradov, M.; Kamaris, G.S. Novel electromagnetic sensors embedded in reinforced concrete beams for crack detection. Sensors 2019, 19, 5175. [Google Scholar] [CrossRef]
- López-Higuera, J.M.; Cobo, L.R.; Incera, A.Q. Fiber optic sensors in structural health monitoring. J. Light. Technol. 2011, 29, 587–608. [Google Scholar] [CrossRef]
- Fang, Z.; Chin, K.; Qu, R. Fundamentals of Optical Fiber Sensors; John Wiley & Sons: Hoboken, NJ, USA, 2012. [Google Scholar]
- Barrias, A.R.; Casas, J.; Villalba, S. Embedded distributed optical fiber sensors in reinforced concrete structures—A case study. Sensors 2018, 18, 980. [Google Scholar] [CrossRef]
- Fischer, O.; Thoma, S.; Crepaz, S. Distributed fiber optic sensing for crack detection in concrete structures. Civ. Eng. Des. 2019, 1, 97–105. [Google Scholar] [CrossRef]
- Wang, D.; Li, Q.; Zhu, H. Experimental and Numerical Study on Damage Detection in I-type Steel Beam Based on PZT Admittance Signals. In Earth and Space 2010: Engineering, Science, Construction, and Operations in Challenging Environments; American Society of Civil Engineers: Reston, VA, USA, 2010; pp. 2369–2375. [Google Scholar]
- Qiao, H.Y.; Li, J.C.; Lin, L. Quantitatively characterizing damages on steel beams by using PZT impedance method. In Materials Science Forum; Trans Tech Publications Ltd.: Wollerau, Switzerland, 2011; Volume 675, pp. 1135–1138. [Google Scholar]
- Du, G.; Zhang, J.; Zhang, J. Experimental study on stress monitoring of sand-filled steel tube during impact using piezoceramic smart aggregates. Sensors 2017, 17, 1930. [Google Scholar] [CrossRef]
- Aabid, A.; Parveez, B.; Raheman, M.A. A review of piezoelectric material-based structural control and health monitoring techniques for engineering structures: Challenges and opportunities. Actuators 2021, 10, 101. [Google Scholar] [CrossRef]
- Mrlík, M.; Osička, J.; Cvek, M. Comparative study of PVDF sheets and their sensitivity to mechanical vibrations: The role of dimensions, molecular weight, stretching and poling. Nanomaterials 2021, 11, 1637. [Google Scholar] [CrossRef] [PubMed]
- Fotouhi, S.; Akrami, R.; Ferreira-Green, K. Piezoelectric PVDF sensor as a reliable device for strain/load monitoring of engineering structures. In IOP Conference Series: Materials Science and Engineering; IOP Publishing: Bristol, UK, 2019; Volume 659, p. 012085. [Google Scholar]
- Hong, Y.K.; Park, H.K.; Lee, S.Q. Design and performance of a self-sensing, self-actuating piezoelectric monomorph with interdigitated electrodes. In Optomechatronic Sensors, Actuators, and Control; SPIE: San Francisco, CA, USA, 2004; Volume 5602, pp. 210–217. [Google Scholar]
- Wang, W.; Zhang, H.; Lynch, J.P. Numerical and experimental simulation of linear shear piezoelectric phased arrays for structural health monitoring. In Nondestructive Characterization and Monitoring of Advanced Materials, Aerospace, and Civil Infrastructure; SPIE: San Francisco, CA, USA, 2017; Volume 10169, pp. 233–242. [Google Scholar]
- Lv, P.; Qian, J.; Yang, C. Flexible all-inorganic Sm-doped PMN-PT film with ultrahigh piezoelectric coefficient for mechanical energy harvesting, motion sensing, and human-machine interaction. Nano Energy 2022, 97, 107182. [Google Scholar] [CrossRef]
- Sun, C.; Qin, L.; Li, F. Piezoelectric energy harvesting using single crystal Pb (Mg1/3Nb2/3) O 3-xPbTiO3 (PMN-PT) device. J. Intell. Mater. Syst. Struct. 2009, 20, 559–568. [Google Scholar]
- Zhao, X.; Li, H. Health monitoring of reinforced concrete frame-shear wall using piezoceramic transducer. J. Vib. Shock 2006, 25, 82–84. [Google Scholar]
- Zhang, L.S.; Liu, Y.B.; Pan, C.L. Leakage current characterization and compensation for piezoelectric actuator with charge drive. Sens. Actuators A Phys. 2013, 199, 116–122. [Google Scholar] [CrossRef]

























| Sensor Number | #1 | #2 | #3 | #4 | #5 | #6 |
|---|---|---|---|---|---|---|
| Voltage (V) | 1.57 | 4.46 | 1.88 | 1.71 | 4.81 | 1.97 |
| Stress (N/mm2) | 1.01 | 2.86 | 1.21 | 1.10 | 3.08 | 1.26 |
| Falling Weight Height | The Initial Velocity of the Structure Surface (m/s) | Impact Energy (J) | Impact Force (N) |
|---|---|---|---|
| 20 cm | 1.96 | 19.2 | 500 |
| 40 cm | 3.92 | 76.8 | 1000 |
| 60 cm | 5.88 | 172.9 | 1500 |
| 80 cm | 7.84 | 307.3 | 2000 |
| Material | Young s’ Modulus (Gpa) | Poisson’s Ratio | Density/(kg × m−1) |
|---|---|---|---|
| Protective layer | 0.02 | 0.38 | 1200 |
| Electrode layer | 70 | 0.33 | 7800 |
| Bonding layer | 0.02 | 0.38 | 1200 |
| Material Properties | Parameter Value | Unit | Dimension |
|---|---|---|---|
| Density | 8100 | kg/m3 | 1 × 1 |
| Relative dielectric constant | {S11, S12, S13} = [1.65 × 10−11, −4.78 × 10−12, −8.45 × 10−12] | - | 1 × 3 |
| Elastic matrix | {ε11, ε22, ε33} = [5500, 5500, 6000] | 1/Pa | 6 × 6 |
| Coupling matrix | {d31, d32, d33, d15} = [−8 × 10−10, −8 × 10−10, 1.435 × 10−9, 6 × 10−10] | C/N | 3 × 6 |
Disclaimer/Publisher’s Note: The statements, opinions and data contained in all publications are solely those of the individual author(s) and contributor(s) and not of MDPI and/or the editor(s). MDPI and/or the editor(s) disclaim responsibility for any injury to people or property resulting from any ideas, methods, instructions or products referred to in the content. |
© 2024 by the authors. Licensee MDPI, Basel, Switzerland. This article is an open access article distributed under the terms and conditions of the Creative Commons Attribution (CC BY) license (https://creativecommons.org/licenses/by/4.0/).
Share and Cite
Tan, L.; Zhou, Y.; Kong, H.; Yue, Z.; Wang, Q.; Zhou, L. Dynamic Monitoring of Steel Beam Stress Based on PMN-PT Sensor. Buildings 2024, 14, 2831. https://doi.org/10.3390/buildings14092831
Tan L, Zhou Y, Kong H, Yue Z, Wang Q, Zhou L. Dynamic Monitoring of Steel Beam Stress Based on PMN-PT Sensor. Buildings. 2024; 14(9):2831. https://doi.org/10.3390/buildings14092831
Chicago/Turabian StyleTan, Lihua, Yingjie Zhou, Hu Kong, Zhiliang Yue, Qilong Wang, and Lei Zhou. 2024. "Dynamic Monitoring of Steel Beam Stress Based on PMN-PT Sensor" Buildings 14, no. 9: 2831. https://doi.org/10.3390/buildings14092831
APA StyleTan, L., Zhou, Y., Kong, H., Yue, Z., Wang, Q., & Zhou, L. (2024). Dynamic Monitoring of Steel Beam Stress Based on PMN-PT Sensor. Buildings, 14(9), 2831. https://doi.org/10.3390/buildings14092831

