Prediction of the Temperature Field in a Tunnel during Construction Based on Airflow–Surrounding Rock Heat Transfer
Abstract
1. Introduction
2. Calculation Method for Construction Ventilation Cooling Parameters
2.1. Heat Source
- (Note: When the fluid is cooled, the above formula changes to .)
2.2. Calculation Method for Required Air Volume
2.3. Calculation Parameters
2.4. Calculation Results for Air Demand
2.5. Analysis of Influencing Parameters of Air Demand
2.5.1. Supply Air Temperature
2.5.2. Length of Cooling Section
2.5.3. Wall Temperature
3. Temperature Field Prediction Method for High Geothermal Tunnels
3.1. Calculation Principle
3.1.1. Convective Heat Transfer Theory
3.1.2. Important Characteristic Numbers of Convective Heat Transfer
- (1)
- Nusselt number ()
- (2)
- Reynolds number ()
- (3)
- Prandtl number ()
3.1.3. The Connection between the Characteristic Numbers
3.2. Calculation Method
3.2.1. Experimental Correlation Formula
3.2.2. Computational Hypothesis
- (1)
- The prediction method only considers the heat source of surrounding rock;
- (2)
- The heat transfer form of air and the rock wall in the tunnel is a single-phase forced convection heat transfer process;
- (3)
- The ventilation time is sufficient, and the convective heat transfer process in the tunnel has been fully carried out;
- (4)
- After the fresh air reaches the tunnel face and forms the return air, it develops into a stable airflow. The starting point of the prediction formula is the tunnel face.
3.2.3. Calculation Process and Preparation
4. Study on Temperature Field Distribution Law of High Geothermal Tunnels
4.1. Design of Work Conditions
4.2. Analysis and Verification of Prediction Results
5. Temperature Distribution in Tunnels under Different Calculation Conditions
5.1. Supply Air Temperature
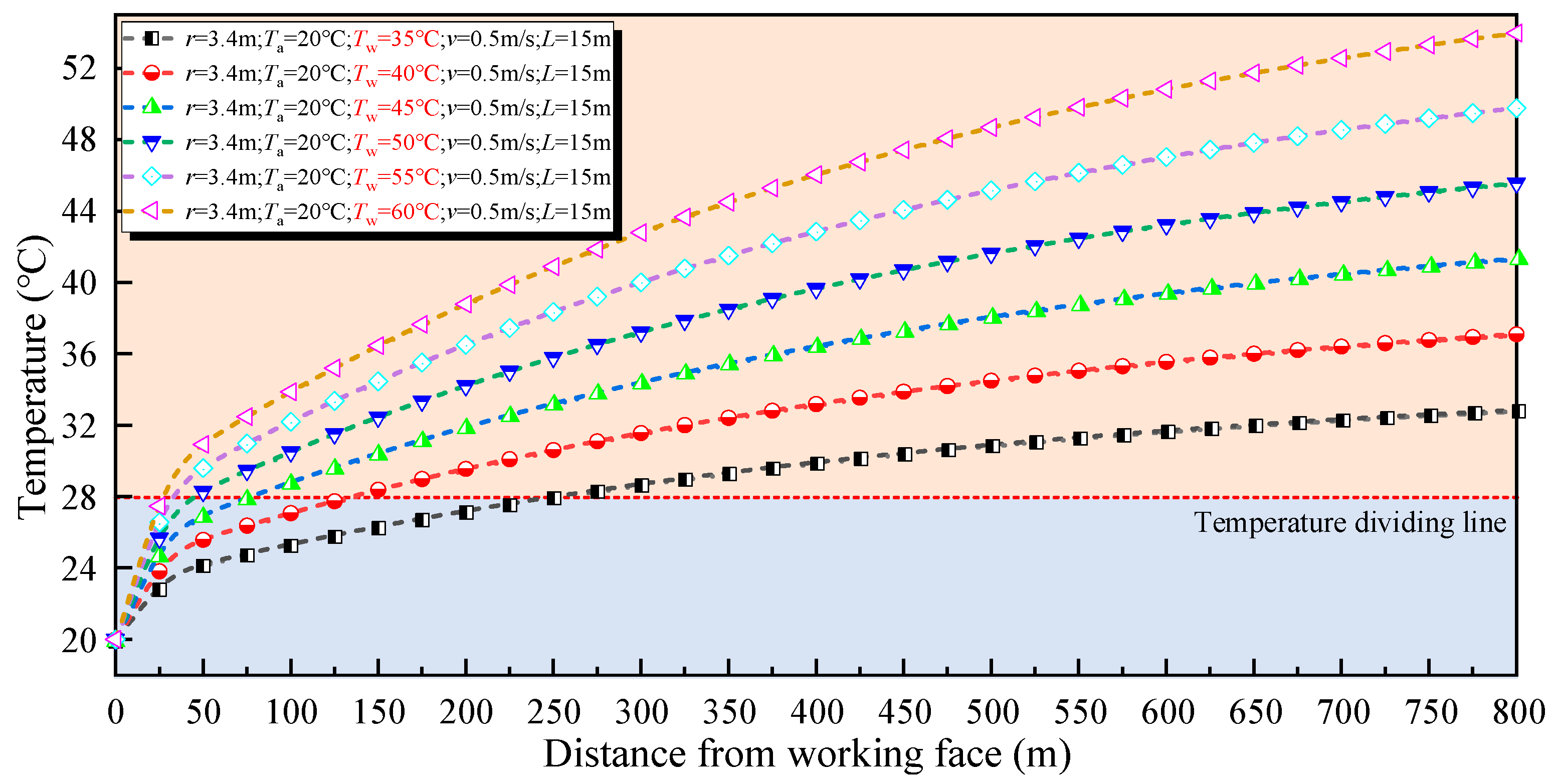
5.2. Rock Wall Temperature
5.3. Tunnel Diameter
5.4. Distance between Air Duct and Tunnel Face
6. Conclusions
- (1)
- Increasing the air temperature greatly increases the required air volume. The closer the supply air temperature is to 28 °C, the more the air volume needs to be increased. The difference between the supply air temperature and the wall temperature in the construction ventilation cooling should not be less than 8 °C; otherwise, the ventilation cost and energy consumption will be greatly increased, and the ideal cooling effect cannot be achieved at the same time. Both the curve of air demand–cooling section length and the curve of air demand–wall temperature show a linear growth relationship.
- (2)
- The change in supply air temperature has little effect on the temperature far away from the tunnel face. When the supply air temperature increases from 15 °C to 25 °C, the tunnel temperature at 800 m distance increases from 36.3 °C to 37.8 °C.
- (3)
- The wall temperature has a great influence on the tunnel temperature, and changing the wall temperature significantly increases the growth rate of the temperature; within 50 m away from the tunnel face, the temperature increases at rates of 0.0842 °C·m−1, 0.112 °C·m−1, 0.139 °C·m−1, 0.166 °C·m−1, 0.192 °C·m−1, and 0.219 °C·m−1, respectively.
- (4)
- The increase in the tunnel cross-section increases the convective heat transfer area, but at the same time, it reduces the surface heat transfer coefficient and increases the total air mass, which has a greater influence on the air temperature. With the increase in the tunnel cross-sectional area, the final temperatures on the temperature curve are 37.11 °C, 36.53 °C, 35.99 °C, 35.49 °C, 35.03 °C, and 34.60 °C, respectively; that is, the temperature at a distance of 800 m from the tunnel face drops by about 0.5 °C for every 10 m increase in the tunnel diameter.
- (5)
- Changing the distance between the air duct and the tunnel face has little influence on the temperature distribution law, and the general trend is that the farther the outlet of the air duct is from the tunnel face, the higher the temperature is. From the tunnel face to a distance of 800 m, the temperature difference under different working conditions first increases and then decreases, especially in the range from 50 m to 250 m from the tunnel face, but there is almost no difference in the temperature under different working conditions at 800 m.
Author Contributions
Funding
Data Availability Statement
Acknowledgments
Conflicts of Interest
References
- Huang, L.H.; Huang, S.; Lai, Z.S. On the Optimization of Site Investigation Programs Using Centroidal Voronoi Tessellation and Random Field Theory. Comput. Geotech. 2020, 118, 103331. [Google Scholar] [CrossRef]
- Tao, Y.C.; Hu, H.; Zhang, H.; Zhang, G.; Hao, Z.H.; Wang, L. A new ventilation system for extra-long railway tunnel construction by using the air cabin relay: A case study on optimization of air cabin parameters length. J. Build. Eng. 2022, 45, 103480. [Google Scholar] [CrossRef]
- Xu, D.L.; Zhang, X.H.; Chen, W.; Jiang, X.; Liu, Z.; Bai, Y. Utilisation of the Deep Underground Space in Shanghai. Proc. Inst. Civ. Eng. Munic. Eng. 2019, 172, 218–223. [Google Scholar] [CrossRef]
- Chen, X.; Zhou, X.H.; Zhong, Z.X.; Liang, N.H.; Wang, Y.; Zhang, X.Y. Study on Temperature Field and Influencing Factors of the High Geothermal Tunnel with Extra-Long One-End Construction Ventilation. Int. J. Therm. Sci. 2023, 191, 108322. [Google Scholar] [CrossRef]
- Li, C.; Jiang, Z.A.; Zhang, G.L.; Feng, X.; Zeng, F.B. Dust Pollution during Shotcrete Process in High-Altitude Tunnel Based on Numerical Simulation. Particuology 2023, 75, 82–95. [Google Scholar] [CrossRef]
- Zhang, H.; Zhao, Y.Q.; Zhang, G.; Tao, Y.C.; Ge, Z.H. The Dust Pollution Characteristic after Tunnel Blasting and Related Influence Parameters by Using Experimental Method. Tunn. Undergr. Space Technol. 2024, 148, 105752. [Google Scholar] [CrossRef]
- Zhang, H.; Sun, J.C.; Xiang, F.; Wang, L.; Tu, P. Assessment method to deal with the wall face roughness in the tunnel construction and its application. J. Saf. Environ. 2019, 19, 217–225. [Google Scholar]
- Zhang, H.; Hao, Z.H.; Zhang, G.; Tao, Y.C.; Wang, L. The Cooling Effect of High Geothermal Tunnel Construction Environment: A Case of Ice and Spray Method in an Extra-Long Tunnel. Int. J. Therm. Sci. 2022, 178, 107606. [Google Scholar] [CrossRef]
- Zhang, Z.Q.; Tan, Y.J.; Zhang, H.; Zhao, Y.; Zhu, X.Y. Experimental and numerical study on the influence of wall roughness on the ventilation resistance coefficient in a tunnel under construction. Tunn. Undergr. Space Technol. 2021, 119, 104198. [Google Scholar] [CrossRef]
- Guo, W.Q.; Tang, J.H.; Wang, F.J.; Jiang, J.Y.; Xu, W.X. Freezing Deformation of Saturation-Dependent Porous Media Considering Interface Energy and Microstructure Effects: From Thermodynamics-Based Macroscopic Constitutive Relation to Micromechanical Upscaling Model. Int. J. Rock Mech. Min. Sci. 2024, 177, 105733. [Google Scholar] [CrossRef]
- Liu, D.K.; Chen, H.N.; Su, R.K.L. Effects of Heat-Treatment on Physical and Mechanical Properties of Limestone. Constr. Build. Mater. 2024, 411, 134183. [Google Scholar] [CrossRef]
- He, T.; Cao, Y.X. Regularity of Permeability Evolution of Rock after High Temperature. J. Yangtze River Sci. Res. Inst. 2018, 35, 107–111+116. [Google Scholar]
- Jiang, S.; Jiang, T.; Wang, S.G.; Luo, Z.F.; Wang, Z.; Yin, L.; Zhai, K.B. Analytical Solution of Surrounding Rock Temperature and Influence of Thermal Insulation Layer on Lining Temperature: A Case Study on Gaoligongshan Tunnel on Dali-Ruili Railway. Tunn. Constr. 2020, 40, 195–201. [Google Scholar]
- Duan, L.M.; Zhang, Y.H.; Lai, J.X. Influence of Ground Temperature on Shotcrete-to-Rock Adhesion in Tunnels. Adv. Mater. Sci. Eng. 2019, 2019, 8709087. [Google Scholar] [CrossRef]
- Yuan, Q.; Peng, M.Q.; Yao, H.; Zhang, S.H.; Li, Y.L. The Internal Temperature Field of Shotcrete in High Geothermal Tunnel and Its Effect on Microstructures and Mechanical Properties. Constr. Build. Mater. 2022, 335, 127507. [Google Scholar] [CrossRef]
- Jiang, N.; Zhou, C.B. Blasting Vibration Safety Criterion for a Tunnel Liner Structure. Tunn. Undergr. Space Technol. 2012, 32, 52–57. [Google Scholar] [CrossRef]
- Zhu, X.R.; Miao, T.W.; Chen, Z.L.; Li, C.S.; Cao, Z.X.; Liu, A. Blasting safety technology of high ground temperature tunnel construction. Eng. Blasting 2020, 26, 63–67+74. [Google Scholar]
- Zhang, X.H.; Chen, J.; Bai, Y.; Chen, A.; Huang, D.Z. Ground surface deformation induced by quasi-rectangle EPB shield tunneling. J. ZheJiang Univ. (Eng. Sci.) 2018, 52, 317–324. [Google Scholar] [CrossRef]
- Wang, X.; Wang, M.N.; Chen, J.; Yan, T.; Bao, Y.F.; Chen, J.Y.; Qin, P.C.; Li, K.J.; Deng, T.; Yan, G.F. Analysis of Calculation of Fresh-Air Demand for Road Tunnel Ventilation Design in China. Tunn. Undergr. Space Technol. 2020, 103, 103469. [Google Scholar] [CrossRef]
- Luo, M.R.; Tao, Y.C.; Yuan, Z.B.; Tao, L.L.; He, C.; Yuan, Y.P.; Tian, X.Y.; Zeng, Y.H. Effect of Tunnel Ventilation on Surrounding Rock Temperature Field and Heat Regulating Circle during Construction Phase. Tunn. Undergr. Space Technol. 2024, 150, 105835. [Google Scholar] [CrossRef]
- Wang, L.J.; Lu, J.Q.; Lin, H.C.; Wei, J.F.; Liu, W. Calculation of tunnel ventilation considering infuence ofrandom wind. China Build. Mater. Sci. Technol. 2024, 33, 53–56. [Google Scholar]
- Dong, Z.; Luo, S.J.; Xu, S.Y.; Yang, Y.; Zhang, Y.A. Prediction of air demand for a highway tunnel in Yunnan and study on its jet fan setting. China Plant Eng. 2024, 3, 190–192. [Google Scholar]
- Technical Specification for Railway Tunnel Construction; China Railway Publishing House: Beijing, China, 1959.
- JTGT 3660-2020; Technical Specification for Highway Tunnel Construction. China Communications Press: Beijing, China, 2020.
- Tang, X.H.; Wang, M.N.; Tong, J.J.; Dong, C.Y.; Zhang, C. Study on Stress Field and Security of Primary Support in High Rock Temperature Tunnel. J. Southwest Jiaotong Univ. 2019, 54, 32–38. [Google Scholar]
- Luo, M.R.; Zhang, X.Y.; Yuan, Z.B.; Wu, X.J.; Zeng, Y.H.; Ye, Y.Z. Thermal Performance Comparison and New Layout Scheme Study of High Geothermal Tunnel Insulation Layer. Case Stud. Therm. Eng. 2023, 52, 103780. [Google Scholar] [CrossRef]
- Wang, Y.; Zhou, X.H.; Liu, X.R.; Chen, X.; Xu, Q.; Wang, Q.L. Ambient Temperature Prediction Model and Cooling Requirement Analyze in the High-Altitude Construction Tunnel Passing through the Abnormally High Geothermal Region. Tunn. Undergr. Space Technol. 2023, 141, 105360. [Google Scholar] [CrossRef]
- Lin, Z.L.; Xia, C.C.; Du, S.G.; Zhou, S.W. Numerical Investigation of the Temperature Field and Frost Damages of a Frost-Penetration Tunnel Considering Turbulent Convection Heat Transfer. Tunn. Undergr. Space Technol. 2023, 131, 104777. [Google Scholar] [CrossRef]
- Lu, Y.; Zhang, X.N.; Guan, H.H.; Jiang, X.P. Study on influence of thermal potential difference on propagation characteristics of hot air at tunnel face. J. Saf. Sci. Technol. 2024, 20, 111–117. [Google Scholar]
- Zhang, Z.; Hu, Y.F. Temperature Prediction of Excavation Face in Long Tunnel with Thick Overburden. Mod. Tunn. Technol. 1998, 6, 33–36. [Google Scholar]
- Xu, Z.S.; Liu, Y.; Liu, Q.L.; Chen, Y.Y.; Chen, J.W.; Xie, B.C. Study of smoke spread length in single-side exhaust mode tunnel. J. Saf. Environ. 2024, 24, 1–11. [Google Scholar]
- Gao, Y.J.; Luo, Y.Y.; Li, Z.S.; Zhang, Y.C.; Yu, Y.Y.; Li, T. Experimental study on smoke back-layering length and temperature distribution in bifurcation tunnels. China Saf. Sci. J. 2022, 32, 109–115. [Google Scholar]
- Jiang, T. Temperature Field of the Surrounding Rock and Air Temperature Distribution in Tunnels with High Geothermal Temperature. Ph.D. Thesis, Dalian University of Technology, Dalian, China, 2021. [Google Scholar]
- Wu, C. Mine Ventilation and Air Conditioning; Central South University Press: Changsha, China, 2008. [Google Scholar]
- Yan, J.; He, C.; Zeng, Y.H.; Wang, B.; Zhang, J.B. Cooling Technology and Effect Analysis for High Geothermal Tunnel on Sichuan-Tibet Railway. China Railw. Sci. 2019, 5, 53–62. [Google Scholar]
- Sathya, P.; Naveen, P. Comparative Study of Nonlinear Thermal Convection on Magnetized Dissipative Flow along a Shrinking Riga Sheet with Entropy Generation. Case Stud. Therm. Eng. 2024, 58, 104375. [Google Scholar] [CrossRef]
- Chen, Q.; Zhang, H.; Zhu, Y.M.; Chen, S.G.; Ran, G.Y. Study on distributions of airflow velocity and convective heat transfer coefficient characterizing duct ventilation in a construction tunnel. Build. Environ. 2021, 188, 107464. [Google Scholar] [CrossRef]
- Brambati, G.; Guilizzoni, M.; Foletti, S. Convective Heat Transfer Correlations for Triply Periodic Minimal Surfaces Based Heat Exchangers. Appl. Therm. Eng. 2024, 242, 122492. [Google Scholar] [CrossRef]
- Chen, Q.; Chen, S.G.; Zhang, H.; Ran, G.Y.; Zhang, F.; Yang, H.P. Augmentation of Tunnel-Air Convective Heat Transfer Forced by Duct Ventilation in a Geothermal Construction Tunnel. Build. Environ. 2021, 205, 108219. [Google Scholar] [CrossRef]
- Qin, B.; Li, H.; Wang, Z.; Jiang, Y.; Lu, D.; Du, X.; Qian, Q. New Framework of Low-Carbon City Development of China: Underground Space Based Integrated Energy Systems. Undergr. Space 2024, 14, 300–318. [Google Scholar] [CrossRef]
















| Heat Dissipation Time | ||||||
|---|---|---|---|---|---|---|
| Construction Stage | ||||||
| Ventilation and smoke extraction stage | 1 | 1 | 0 | 1 | 0 | |
| Slag discharge and support stage | 1 | 1 | 1 | 0 | 1 | |
| Drilling construction stage | 1 | 1 | 1 | 0 | 1 | |
| Mechanical Vehicle | The First Stage | The Second Stage | The Third Stage | ||||
|---|---|---|---|---|---|---|---|
| - | (kW) | (kW) | |||||
| Excavator | - | 0.2 | 1 | 223 | - | - | - |
| Mechanical loader | - | 0.3 | 1 | 412 | - | - | - |
| Dump truck | - | 0.4 | 2 | 316 | 0.2 | 1 | 316 |
| Process And Labor | The First Stage | The Second Stage | The Third Stage | ||||
|---|---|---|---|---|---|---|---|
| - | (kW) | (kW) | |||||
| Excavation | - | - | - | - | 1 | 5 | 0.47 |
| Slagging | - | 0.4 | 7 | 0.28 | - | - | - |
| Supporting | - | 0.5 | 3 | 0.47 | - | - | - |
| Bottom floor construction | - | 0.7 | 9 | 0.47 | - | - | - |
| Management and others | - | 1 | 5 | 0.28 | 1 | 5 | 0.28 |
| Stage | Unstable Convection Heat Transfer Coefficient (W·m−2·K−1) | (kW) | (kW) | (kW) | (kW) | (kW) | Required Air Volume (m3·s−1) |
|---|---|---|---|---|---|---|---|
| Ventilation and smoke extraction stage | 6.58 | 372.080 | 7.047 | - | 222.848 | - | 57.58 |
| Slag discharge support stage | 6.58 | 372.080 | 7.047 | 4.210 | - | 0.00375 | 36.32 |
| Drilling construction stage | 6.58 | 372.080 | 7.047 | 0.632 | - | 0.00375 | 36.32 |
| −50 | 1.584 | 1.013 | 2.04 | 12.7 | 14.6 | 0.728 |
| −40 | 1.515 | 1.013 | 2.12 | 13.8 | 15.2 | 0.728 |
| −30 | 1.453 | 1.013 | 2.20 | 14.9 | 15.7 | 0.723 |
| −20 | 1.395 | 1.009 | 2.28 | 16.2 | 16.2 | 0.716 |
| −10 | 1.342 | 1.009 | 2.36 | 17.4 | 16.7 | 0.712 |
| 0 | 1.293 | 1.005 | 2.44 | 18.8 | 17.2 | 0.707 |
| 10 | 1.247 | 1.005 | 2.51 | 20.0 | 17.6 | 0.705 |
| 20 | 1.205 | 1.005 | 2.59 | 21.4 | 18.1 | 0.703 |
| 30 | 1.165 | 1.005 | 2.67 | 22.9 | 18.6 | 0.701 |
| 40 | 1.128 | 1.005 | 2.76 | 24.3 | 19.1 | 0.699 |
| 50 | 1.093 | 1.005 | 2.83 | 25.7 | 19.6 | 0.698 |
| 60 | 1.060 | 1.005 | 2.90 | 27.2 | 20.1 | 0.696 |
| 70 | 1.029 | 1.009 | 2.96 | 28.6 | 20.6 | 0.694 |
| 80 | 1.000 | 1.009 | 3.05 | 30.2 | 21.1 | 0.692 |
| 90 | 0.972 | 1.009 | 3.13 | 31.9 | 21.5 | 0.690 |
| 100 | 0.946 | 1.009 | 3.21 | 33.6 | 21.9 | 0.688 |
| Tunnel Design Parameters | Shape | Radius | Wind Temperature | Surrounding Rock Temperature | Return Air Velocity | Distance between Air Duct and Tunnel Face |
|---|---|---|---|---|---|---|
| Design situation | Circular | 3.4 m | 25 °C | 40 °C | 0.5 m/s | 15 m |
| Air Temperature (°C) | Convective Heat Transfer Temperature Difference (°C) | Airflow Density (kg·m−3) | Convective Heat Transfer Coefficient (W·m−2·°C−1) |
|---|---|---|---|
| 25 | 15 | 1.183797 | 7.385728 |
Disclaimer/Publisher’s Note: The statements, opinions and data contained in all publications are solely those of the individual author(s) and contributor(s) and not of MDPI and/or the editor(s). MDPI and/or the editor(s) disclaim responsibility for any injury to people or property resulting from any ideas, methods, instructions or products referred to in the content. |
© 2024 by the authors. Licensee MDPI, Basel, Switzerland. This article is an open access article distributed under the terms and conditions of the Creative Commons Attribution (CC BY) license (https://creativecommons.org/licenses/by/4.0/).
Share and Cite
Wang, G.; Fang, Y.; Ren, K.; Deng, F.; Wang, B.; Zhang, H. Prediction of the Temperature Field in a Tunnel during Construction Based on Airflow–Surrounding Rock Heat Transfer. Buildings 2024, 14, 2908. https://doi.org/10.3390/buildings14092908
Wang G, Fang Y, Ren K, Deng F, Wang B, Zhang H. Prediction of the Temperature Field in a Tunnel during Construction Based on Airflow–Surrounding Rock Heat Transfer. Buildings. 2024; 14(9):2908. https://doi.org/10.3390/buildings14092908
Chicago/Turabian StyleWang, Guofeng, Yongqiao Fang, Kaifu Ren, Fayi Deng, Bo Wang, and Heng Zhang. 2024. "Prediction of the Temperature Field in a Tunnel during Construction Based on Airflow–Surrounding Rock Heat Transfer" Buildings 14, no. 9: 2908. https://doi.org/10.3390/buildings14092908
APA StyleWang, G., Fang, Y., Ren, K., Deng, F., Wang, B., & Zhang, H. (2024). Prediction of the Temperature Field in a Tunnel during Construction Based on Airflow–Surrounding Rock Heat Transfer. Buildings, 14(9), 2908. https://doi.org/10.3390/buildings14092908
