Next Article in Journal
Online Inspection Method and System Design for Screw Threads of Rebar Head Based on Machine Vision
Previous Article in Journal
Study on the Bending Performance of Prefabricated H-Shaped Steel Beams with Different Bolt Hole Types
Previous Article in Special Issue
Web-Crippling Capacity of High Performance Cold-Formed Lipped Steel Sections Subjected to Elevated Temperature
 
 
Font Type:
Arial Georgia Verdana
Font Size:
Aa Aa Aa
Line Spacing:
Column Width:
Background:
Article

Efficacy of IS Code Provisions for Design of Eccentrically Loaded Single Angle Compression Members

by
Sai Kota Vivek
1,*,
Mohammad Adil Dar
2 and
Subramanian Narayanan
3
1
Department of Civil Engineering, Vasireddy Venkatadri Institute of Technology, Guntur 522508, AP, India
2
Department of Civil and Structural Engineering, University of Sheffield, Sheffield S14 DT, UK
3
Independent Researcher, Gaithersburg, MD 20878, USA
*
Author to whom correspondence should be addressed.
Buildings 2024, 14(9), 2990; https://doi.org/10.3390/buildings14092990
Submission received: 18 August 2024 / Revised: 17 September 2024 / Accepted: 18 September 2024 / Published: 20 September 2024
(This article belongs to the Special Issue High-Performance Steel Structures)

Abstract

In practical applications, steel single angles are often subjected to eccentric loading when connected to a gusset plate through one leg only, resulting in complex compression behaviour. This behaviour has not been as extensively studied as that of concentrically loaded members. Various international codes of practice offer differed approaches for designing these elements. The literature indicates that the Indian Standard Code IS 800–2007 accurately predicts the axial capacity of eccentrically loaded single angle columns. However, a recent amendment to IS 800 in 2024 introduced modified design provisions. This study is the first to explore the implications of these latest design provisions by comparing them with earlier provisions and experimental strengths reported in the literature. Initially, the design strengths as per the previous and latest design provisions for various Indian Standard Angles (ISA) were presented and compared accounting for varying slenderness ratio, plate slenderness ratio (b/t), and different types of end connections and restraints. The findings reveal that the latest design provisions generally result in much higher design strengths compared to the earlier provisions, with a maximum increase of 104.84%. Upon noticing the significant variation, this study is further extended to compare with the reported data available in the literature. The nominal strengths calculated using the latest provisions were often higher than the strengths reported in the literature considered in this study, indicating potential unsafe design.

1. Introduction

Single angle sections, often provided as web members in roof trusses, bracings in buildings and transmission line towers and cross frame members in plate girder bridges, are connected at the ends through one leg only and hence are subjected to eccentric loading [1,2]. In general, they are designed to resist axial force alone i.e., either tension or compression. Under compression, the members are prone to buckling failure at a load capacity well below their material yield strength and hence stability criteria often govern the design of such members. Though the angle sections look simple, their buckling behaviour under compression is complex as they can be singly/mono-symmetric or un-symmetric, in which the centroidal (x-x, y-y) and principal axes (u-u, v-v) do not coincide (Figure 1). Also, the shear centre ‘SC’ does not coincide with centroid ‘C’. Equal leg angles are symmetric about the principal axis ‘u-u’, which is also the axis of symmetry. It is well known that the radius of gyration is minimum about the ‘v-v’ axis and hence is termed as the ‘minor—principal axis’, whereas the axis ‘u-u’ is termed as the ‘major-principal axis’, about which the radius of gyration is maximum.
In general, equal leg angle sections, when subjected to pure axial compression or when concentrically loaded, may undergo torsional-flexural buckling, TFB (also called flexural-torsional buckling, FTB). This will happen when the compressive load acts through the centroid—as in the case of angles, where both legs are connected and loaded simultaneously through gusset plates or directly connected to adjoining members. In such cases, the buckling will be by twisting about the shear centre (SC) coupled with bending about the major-principal axis ‘u-u’. It is also possible for buckling to be about the minor-principal axis ‘v-v’ alone, which is termed as minor-axis flexural buckling, FB. The incidence of FB depends upon their length and boundary conditions (fixed/hinged) [3,4,5,6]. Latest research by Sofiani et al. [6] reported that interactive FTB and FB occurs in fixed-end angles of intermediate length. Warping fixity at the ends also influences the behaviour and strength of such members. A failure termed as ‘local buckling’ may also occur in the case of large plate slenderness ratio i.e., the ratio of width of leg ‘b’ to thickness ‘t’—(b/t).
The behaviour of eccentrically loaded single angles, i.e., loaded through one leg only (i.e., when one leg only is connected to the gusset or directly to the adjoining member), is much more complex. This is because of the eccentricity ‘e’ of the load i.e., the point of application of the load does not coincide with the centroid of the angle section (Figure 2a,b) resulting in higher stress of the connected leg. The literature available on eccentrically loaded angles is also relatively limited, compared to that of concentrically loaded angles. The structural response of eccentrically loaded single angles connected at the ends to a restraining member (gusset or adjoining member) is similar to that of a ‘restrained column’. The analytical solution accounting for inelasticity, rotational restraint at ends, and bi-axial bending due to the eccentricity of the load (beam-column behaviour) was first proposed by Usami and Galambos [7]. The end connection of the angle struts to the gusset (or directly to the adjoining member) at either end, offer rotational restraint to both in-plane and out-of-plane buckling (about the y-y axis and z-z axis, respectively). This has to be duly accounted for by providing rotational springs (Ry and Rz) as shown in Figure 3 [7]. However, in reality, the degree of rotational restraint/fixity of the restraining member (gusset or adjoining member), as shown in Figure 4, also plays a crucial role. As per the experimental research conducted at Washington University in the year 1969, it was observed that the eccentrically loaded angle has potential to predominantly undergo flexural buckling about the centroidal axis parallel to the connected leg—that is, buckling out-of-plane of the restraining member (gusset or web of adjoining member) coupled with very little twisting. Based on this fact, a design procedure for single angle web struts in trusses was proposed by Woolcock and Kitipornchai [8]. Elgaaly et al. [9] stated that failure by flexural buckling about the minor-principal axis and/or twisting was also observed from the tests conducted on three-dimensional trusses comprising single angles provided with single or double bolted end connections. Further, they found that the ratio of the failure load to the yield load capacity may not necessarily increase when the overall slenderness of angle sections is reduced [9,10]. This was revealed by the tests conducted on specimens with slenderness ranging from 65 to 210. Accordingly, design considerations, simplified procedures, and design tables were reported by various researchers [11,12,13,14,15,16]. A numerical study [17] indicated that eccentrically loaded single angles with hinged ends experienced buckling along both the major and minor principal axes. Elastic and in-elastic second-order analyses were found to result in the reliable prediction of the capacity of eccentrically loaded single angles in a truss system [18,19].
Chen and Wang [20] proposed modified design equations based on the equivalent slenderness concept to accurately predict the capacity of high-strength steel angles also accounting for compression, bi-axial bending, and torsion under eccentric loading. It was also stated that the failure axis (axis of bending) was neither the geometrical (centroidal) axis parallel to the connected leg of the angle section (or restraining member) nor the minor-principal axis. In fact, the bending of the angle section at its mid-height was about an axis (Q-Q) oriented at an angle with respect to the geometrical axis parallel to the connected leg as shown in Figure 5. The thickness of the end gusset (or restraining member) and the width-to-thickness ratio of the connected leg of the angle section also influenced the capacity of the angle section significantly and were accounted for in the proposed design equations for accurately predicting their axial capacity.
While recent studies [21,22] have assessed the structural response of eccentrically loaded single angles with bolted end connections, limited findings have been reported on welded end connections [23,24]. Based on the experimental and numerical studies carried out by Temple and Sakla [23,24] reported in 1998, it was observed that the axis of bending was oriented at an angle with respect to the geometrical axis parallel to the connected leg at mid-height. It was also noted that the weld length, thickness of the gusset, initial imperfection, and material properties of the angle sections significantly influence the capacity of the eccentrically loaded single angles. Hence, it may be concluded that the capacity of eccentrically loaded angles in general is influenced by the type of end connection, degree of rotational restraint offered by both end connection and restraining member, width–thickness ratio of the connected leg of the angle, thickness of the restraining member (end gusset or adjoining member element), axis of bending, overall slenderness, initial imperfection and material strength of the angle section.
Different international codes of practice adopt differed approaches for designing eccentrically loaded single angles. Recently, Bashar and Amanat [25] carried out a numerical investigation on the behaviour of eccentrically loaded single angle struts of a truss system, which was originally tested experimentally by Elgaaly [9]. They compared the numerical strengths with the design strengths predicted using the provisions of various national codes of practice. It must to be noted that though the offset of web angles with respect to the top and bottom chord angle sections was accounted, the end connection was not modelled explicitly in the numerical investigation, and also the load was applied concentrically onto the considered web angle. The design provisions of IS 800–2007 [26] resulted in a correlation coefficient of 0.94, conservatively predicting the axial capacity in the order of 88% of the test strength. These results were the best among all the various codes of practice considered and hence was recommended for safe and reliable design. An amendment to the IS 800–2007 [27] was released recently (in 2024), in which modified design provisions for eccentrically loaded single angles were incorporated.
Hence, through this study, an effort has been made to assess the implications of the latest modifications [27] on the design adequacy of eccentrically loaded single angle compression members as compared with previous provisions [26]. Initially, the design strengths were obtained for equal leg Indian Standard Angle (ISA) 50 × 50 × 6 [28] both as per the latest and previous design provisions. Later, the reported data available in literature [21,22] was compared with both the previous and latest provisions. Based on this holistic comparison, salient findings and recommendations have been brought out, which will be greatly helpful to both practicing engineers and researchers. The scope of this study is limited to non-slender angle sections with no local buckling failures.

2. Design Provisions of IS 800–2007 [26]

As per clause 7.5.1.2, the flexural-torsional buckling (FTB) strength of a single angle loaded eccentrically (through one leg) is to be evaluated considering equivalent slenderness ratio, ‘λe. The stated provisions were based on the numerical work carried out by Sambasiva Rao et al. [29] at IIT Madras, India, considering both bolted and welded end connections.
λ e = k 1 + k 2 λ v v 2 + k 3 λ φ 2 .
λ v v = ( l r v v ) ε π 2 E 250 .
λ φ = ( b 1 + b 2 2 t ) ε π 2 E 250 .
where
l = centre–centre length of the supporting member
rvv = radius of gyration about minor-principal axis
b1, b2 = width of the connected and outstanding legs, respectively
t = thickness of the leg of angle section
ε = yield stress ratio = 250 f y
fy = yield stress or strength
E = modulus of elasticity = 200 GPa = 2.0 × 105 MPa
ϕ = 0.5   [ 1 + α   ( λ 0.2 ) + λ e 2   ]
The imperfection factor α is to be taken as 0.49, as buckling class ‘c’ has to be considered for angle sections (as per clause 7.1.2.2.)
Stress   reduction   factor ,   χ = 1 ϕ + ϕ 2 λ e 2
Design compressive stress, fcd = χ fym0
Design compressive strength, Pd = A × fcd
As per code [26], the b/t and (b1 + b2)/t ratios of the angle sections should not exceed 15.7 ε and 25 ε in order to avoid local buckling. The constants k1, k2, and k3 account for different end connection fixities (as mentioned in Table 1), which were obtained by carrying out a multivariate regression analysis of the obtained data from the reported numerical investigation and available test results in the literature [29]. Bolted connection was classified into two or more bolts and single bolt cases (Figure 6a and Figure 6b, respectively). In general, providing two or more bolts offers greater rotational restraint over the single bolt connection, whether in-plane of the gusset or out-of-plane. Though welded connection (Figure 6c) was not mentioned separately, it was usually considered equivalent to that of two bolt case.

3. Design Provisions of IS 800–2007 Amendment 2 [27]

As per Amendment 2 to IS 800–2007, for the single angles loaded eccentrically, the combined effect of both flexural torsional buckling and bending has to be accounted for in the design. The design compressive strength in such cases can be determined using the following method, instead of adopting a more precise second order analysis and design for combined bending and compression.
f c d e = K f χ a a f y / γ m 0
Kf = modification factor to account for eccentric end connection = k1 + k2 λaa + k3 λϕ
λ aa   =   ( l a a r a a ) ε π 2 E 250
where λϕ is same as expressed in Equation (3)
laa = centre-to-centre length of lateral support preventing translation of member perpendicular to a-a axis
raa = radius of gyration of the angle member about the a-a axis
k1, k2 and k3 = refer to Table 2
ϕ = 0.5   [ 1 + α   ( λ aa   0.2 ) + λ a a 2 ]
The imperfection factor α is to be taken as 0.34, as buckling class ‘b’ has to considered for angle sections.
Stress   reduction   factor   χ a a = 1 ϕ + ϕ 2 λ a a 2
Upon substituting the obtained χ a a in Equation (8) and thereafter substituting f c d e in place of fcd in Equation (7), the design strength Pd of the angle section is obtained.

4. Major Changes Incorporated in Amendment 2

Upon careful examination of the design provisions of both IS 800–2007 [26] and Amendment 2 to IS 800–2007 [27], the following major changes were observed:
(1)
It was stated that both flexural-torsional buckling FTB and bending effects were considered in the latest design provisions, contrary to FTB alone considered earlier.
(2)
In the design calculations, the radius of gyration of the minor-principal axis is no longer required, and the emphasis is on the centroidal axis parallel to the connected leg or the plane of end gusset (designated as the a-a axis)—that is, considering out-of-plane buckling (buckling in the direction perpendicular to the plane of the gusset or structural system). Thus, it presumes much greater rotational restraint offered by the restraining member against in-plane buckling i.e., buckling of the angle about axis perpendicular to the plane of gusset [8,29,30]. But, the latest tests [22] reported that in-plane buckling and combined in-plane and out-of-plane buckling were also possible. Based on these experiments and numerical analysis, a new set of equations were proposed to determine the rotational stiffness for both in-plane and out-of-plane buckling [31,32,33,34].
(3)
The buckling class has been upgraded from curve ‘c’ to ‘b’, thereby resulting in a lower imperfection factor of 0.34 (to that of 0.49 adopted previously, corresponding to buckling class ‘c’), as adopted in EN 1993-1-1: EC3 [35].
(4)
A set of new values were presented for constants k1, k2, and k3.
(5)
A new modification factor Kf has been introduced, which accounts for the influence of end connection fixity on the slenderness ratios λaa and λϕ.

5. Design Strength Comparison: IS 800–2007 [26] vs. IS 800–2007 (Amendment 2) [27]

The design strengths of eccentrically loaded non-slender single angle ISA 50 × 50 × 6 [28] as per the IS 800–2007 [26] and its latest amendment [27] were presented in Table 3, Table 4, Table 5 and Table 6 for column lengths varying from 0.5 m to 3.0 m and different end connections. The yield stress, fy was assumed as 250 MPa. The ratio fcd/fy and design strength ‘Pd’ were also presented. Subscripts 1 and 2 represent the design strengths obtained as per [26] and [27], respectively. The plots for fcd/fy vs. λ for different end connection fixities were shown in Figure 7, Figure 8, Figure 9 and Figure 10. The design strengths [26,27] for various other angle sections (for L = 1.5 m) were also presented in Table 7 and Table 8 corresponding to two bolt—fixed and one bolt—hinged cases, respectively. Figure 11 depicts the graphical representation for the case of 2 bolts—fixed case.

6. Nominal Predicted Strengths vs. Test Strengths

Since a major change in design strength as per [26,27] was noted (Section 5), it is imperative to compare the nominal strength ‘P’ (i.e., substituting γ m 0 = 1.0) in Equations (6) and (8) with the available test strengths.

6.1. Comparison with Test Strengths Reported by Bhilawe [21]

Bhilawe [21] carried out tests on single angle eccentrically loaded columns provided with bolted connection and hinged boundary condition. Both single and two bolt cases were considered, though no bolt detailing information was available. This study considers only non-slender sections, to which the design provisions of IS 800 [26,27] are applicable. The test strengths and the nominal strengths as per [26] and [27] were presented in Table 9 and Table 10 for single bolt and two bolt cases, respectively. The actual yield strength (fy) of the angle specimens (Table 9 and Table 10) was 351.08 MPa. It is worth mentioning that though the measured eccentricity of the load was stated, it does not influence the design provisions [26,27] and hence was not presented here.
Figure 12 and Figure 13 depict the plots fcn/fy vs. λv corresponding to single and two bolt cases, where ‘fcn’ is the nominal compressive stress and ‘λv is the non-dimensional slenderness ratio with respect to the minor-principal axis. The minor principal axis slenderness parameter ‘λv was considered along the x-axis because the radius of gyration is the smallest (and hence, the least slenderness is L/rmin, where rmin = rvv) and is also more convenient for comparison, as ‘λe’ and ‘λaa’ result in different coordinates.

6.2. Comparison with Test Strengths Reported by Kettler et al. [22]

Kettler et al. [22] reported an experimental investigation on the behaviour of eccentrically loaded single angles with bolted end connections. The test strengths were validated with the numerical strengths obtained by performing a numerical buckling analysis. The nominal strengths ‘P’ ( γ m 0 = 1.0) obtained for the considered specimens as per [26,27] were presented in Table 11, Table 12, Table 13 and Table 14, which include both non-preloaded and preloaded bolts. The yield strengths ‘fy of specimens designated with starting letters A, B, C, D, and E were 289.9 MPa, 326.8 MPa, 333.9 MPa, 322.4 MPa, and 299.3 MPa, respectively. Similarly, the modulus of elasticity’s ‘E’ were 212 GPa, 199 GPa, 209 GPa, 195 GPa and 192 GPa, in the same order. The plots fcn/fy vs. λv for a few selected cases were shown in Figure 13, Figure 14 and Figure 15.

7. Discussion

Based on the results presented in Section 5, the following inferences are drawn:
(a)
The design strengths obtained as per the latest provisions [27] were in general much higher in comparison to the corresponding strengths as per earlier provisions [26], except for very few cases of lower column slenderness (Table 4, Table 5 and Table 6). This could be due to the fact that the imperfection factor reduced from 0.49 to 0.34 as the buckling class was changed from ‘c’ to ‘b’ as per Amendment 2 [27] and for cases where Kf > 1.
(b)
A maximum rise in axial capacity of 104.84% was noted for the case of two bolts or equivalent weld—hinged connection case, corresponding to a 3.0 m long angle.
(c)
The design strengths Pd2 do not match with the buckling curve ‘b’ (Figure 7, Figure 8, Figure 9 and Figure 10) [27], as compared to the earlier provisions [26] whereas the design strengths Pd1 match with the buckling curve ‘c’.
(d)
A single curve cannot be adopted for eccentrically loaded angles. This was also verified based on the experimental and numerical work reported by Kettler et al. [34]. This may be due to the applied load being eccentric to the centroid and only one leg being loaded. The design strength of the end connection and its type, upon which the degree of rotational restraint or fixity depends, also influence the design strength of the angle [32,33].
(e)
The equivalent slenderness ratio λe [26] and slenderness ratio about the axis parallel to the connected leg λaa [27] were significantly different for angles with lengths varying from 0.5 m to 1.5 m. However, as the length increased beyond 1.5 m, the difference between the two slenderness ratios narrowed.
(f)
An understanding of the implication of updated values for constants k1, k2, and k3 pertaining to end connection fixity and the introduction of new parameter Kf on the design strength is not clear in view of the decreased imperfection factor (refer to (a)).
(g)
For a given slenderness ratio, b/t of the connected leg also significantly influences the axial capacity (Table 7 and Table 8).
Based on the comparison of nominal strengths obtained as per the code provisions and the available test strengths, as presented in Section 6, the following inferences are drawn:
(a)
The nominal strengths obtained as per the latest provisions [27] did not correlate well with the available test strengths (also validated through numerical analysis) [21,22] considered in this study (Table 9, Table 10, Table 11, Table 12, Table 13 and Table 14), though a good agreement was noticed for few cases (for specimens A1, A2, and A3—see Table 11 and Figure 14a).
(b)
For the test data set considered, it is observed that the earlier design provisions [26] agreed very well with the test strengths reported in the literature.
(c)
Although with a limited test data set, the nominal strengths as per earlier provisions [26] were lower than the test strengths for the majority of cases resulting in a safe and conservative design, whereas it was otherwise in the case of nominal strengths obtained as per the latest provisions [27] (see Figure 12, Figure 13, Figure 14, Figure 15 and Figure 16).

8. Conclusions

Eccentrically loaded single angle columns behave complicatedly and require specific design attention. Different international codes of practice construct such members differently. The literature shows that IS 800:2007 design provisions accurately anticipate axial capacity. Recently, IS 800:2007 was amended to include new design provisions for eccentrically loaded single angle compression members. This study presented a brief theoretical backdrop to the behaviour and evaluated the newest design provisions. From the present study, it is concluded the following:
(1)
The latest design provisions resulted in higher axial capacities, which may lead to smaller cross-sectional sizes.
(2)
From the reported results, the latest IS design provisions result in the increase of the design capacity by a maximum of 104.84% (as seen in Table 4) in comparison to the earlier design provisions.
(3)
But on comparison with the considered data available (Table 11, Table 12 and Table 13) in the literature, it was observed that, in general, the latest design provisions over predict the nominal strength greatly, potentially indicating unsafe design.
(4)
However, the latest IS design provisions resulted in very conservative nominal strengths for the one bolt-hinged case (Table 14).
(5)
Hence, it is evident that more extensive experimental, numerical, and theoretical investigations have to be carried out considering all the influencing parameters for the accurate and reliable prediction of the axial capacity of eccentrically loaded single angle columns.

Author Contributions

All the authors contributed in the conceptualization, methodology, investigation and preparation of this manuscript. All authors have read and agreed to the published version of the manuscript.

Funding

This research received no external funding.

Data Availability Statement

Data are contained within the article.

Conflicts of Interest

The authors declare no conflicts of interest.

References

  1. Subramanian, N. Design of Steel Structures—Limit States Method, 2nd ed.; Oxford University Press: Noida, India, 2016. [Google Scholar]
  2. Sai Ram, K.S. Design of Steel Structures, 3rd ed.; Pearson Education: Noida, India, 2020. [Google Scholar]
  3. Timoshenko, S.P.; Gere, J.M. Theory of Elastic Stability, 2nd ed.; McGraw-Hill: New York, NY, USA, 2009. [Google Scholar]
  4. Trahair, N.S. Flexural-Torsional Buckling of Structures, 1st ed.; CRC Press Inc.: Boca Raton, FL, USA, 1993. [Google Scholar]
  5. Yoo, C.H.; Lee, S.C. Stability of Structures—Principles and Applications, 1st ed.; Butterworth-Heinemann: Oxford, UK; Elsevier: New York, NY, USA, 2011. [Google Scholar]
  6. Sofiani, B.B.; Gardner, L.; Wadee, M.A.; Dinis, P.B.; Camotim, D. Behaviour and design of fixed-ended steel equal–leg angle section columns. J. Constr. Steel Res. 2021, 182, 106649. [Google Scholar] [CrossRef]
  7. Usami, T.; Galambos, T.V. Eccentrically loaded single angle columns. IABSE Publ. 1971, 31, 153–184. [Google Scholar]
  8. Woolcock, S.T.; Kitipornchai, S. Design of single angle web struts in trusses. J. Struct. Eng. ASCE 1987, 112, 1327–1345. [Google Scholar] [CrossRef]
  9. Elgaaly, M.; Dagher, H. Behavior of single-angle-compression members. J. Struct. Eng. ASCE 1992, 117, 3720–3741. [Google Scholar] [CrossRef]
  10. Bathon, L.; Mueller, W. Ultimate load capacity of single steel angles. J. Struct. Eng. ASCE 1993, 119, 279–300. [Google Scholar] [CrossRef]
  11. Temple, M.C.; Sakla, S.S.S. Considerations for the design of single-angle compression members attached by one leg. Can. J. Civ. Eng. 1996, 23, 287–294. [Google Scholar] [CrossRef]
  12. Sakla, S.S.S. Tables for the design strength of eccentrically-loaded single angle struts. Eng. J. AISC 2001, 38, 127–136. [Google Scholar] [CrossRef]
  13. Sakla, S.S.S. Performance of the AISC LRFD specification in predicting the capacity of eccentrically loaded single-angle struts. Eng. J. AISC 2005, 42, 239–246. [Google Scholar] [CrossRef]
  14. Earls, E.J.; Keelor, D.C. Toward the simplified design of single-angle beam-columns. Eng. J. AISC 2007, 44, 55–64. [Google Scholar] [CrossRef]
  15. Yost, J.R.; Dinehart, D.W.; Gross, S.P.; Pote, J.J.; Deeny, J. Buckling strength of single-angle compression members in K-series joists. Eng. J. AISC 2006, 43, 141–152. [Google Scholar] [CrossRef]
  16. Lutz, L.A. Evaluating single-angle compression struts using an effective slenderness approach. Eng. J. AISC 2006, 43, 241–246. [Google Scholar] [CrossRef]
  17. Liu, Y.; Hui, L. Behaviour of steel single angles subjected to eccentric axial loads. Can. J. Civ. Eng. 2010, 37, 887–896. [Google Scholar] [CrossRef]
  18. Chan, S.L.; Cho, S.H. Second-order analysis and design of angle trusses Part I: Elastic analysis and design. Eng. Struct. 2008, 30, 616–625. [Google Scholar] [CrossRef]
  19. Cho, S.H.; Chan, S.L. Second-order analysis and design of angle trusses Part II: Plastic analysis and design. Eng. Struct. 2008, 30, 626–631. [Google Scholar] [CrossRef]
  20. Chen, S.; Wang, X. Buckling strength of single angle struts Part 2: Angles connected by one leg at both ends. Adv. Struct. Eng. 2013, 16, 1139–1148. [Google Scholar] [CrossRef]
  21. Bhilawe, J. Study of equal angle subjected to compression for bolted end connection. J. Inst. Eng. India Ser. A 2017, 99, 123–132. [Google Scholar] [CrossRef]
  22. Kettler, M.; Lichtl, G.; Unterweger, H. Experimental tests on bolted steel angles in compression with varying end supports. J. Constr. Steel Res. 2019, 155, 301–315. [Google Scholar] [CrossRef]
  23. Temple, M.C.; Sakla, S.S.S. Single-angle compression members welded by one leg to a gusset plate. I. Experimental study. Can. J. Civ. Eng. 1998, 25, 569–584. [Google Scholar] [CrossRef]
  24. Temple, M.C.; Sakla, S.S.S. Single-angle compression members welded by one leg to a gusset plate. II. A Parametric study and design equation. Can. J. Civ. Eng. 1998, 25, 585–594. [Google Scholar] [CrossRef]
  25. Bashar, I.; Amanat, K.M. Comparison of codes for axial compression capacity of eccentrically loaded single angles. J. Constr. Steel Res. 2021, 185, 106829. [Google Scholar] [CrossRef]
  26. IS 800; Indian Standard General Construction in Steel—Code of Practice. 3rd Revision; BIS: New Delhi, India, 2007.
  27. IS 800 (Amendment No. 2); Indian Standard General Construction in Steel—Code of Practice. 3rd Revision; BIS: New Delhi, India, 2024.
  28. IS 808; Hot Rolled Steel Beam, Column, Channel, and Angle Sections—Dimensions and Properties. 4th Revision; BIS: New Delhi, India, 2021.
  29. Sambasiva Rao, S.; Satish Kumar, S.R.; Kalyanaraman, V. Numerical study on eccentrically loaded hot rolled steel single angle struts. In Proceedings of the Ninth International Conference on Civil and Structural Engineering Computing, Egmond-aan-Zee, The Netherlands, 2–4 September 2003; Topping, B.H.V., Ed.; Civil-Comp Press: Edinburgh, UK, 2003. [Google Scholar] [CrossRef]
  30. ANSI/AISC 360; Specification for Structural Steel Buildings. AISC: Chicago, IL, USA, 2016.
  31. Kettler, M.; Unterweger, H.; Zauchner, P. Design model for the compressive strength of angle members including welded end-joints. Thin-Walled Struct. 2022, 175, 109250. [Google Scholar] [CrossRef]
  32. Kettler, M.; Unterweger, H.; Harringer, T. Appropriate spring stiffness models for the end supports of bolted angle compression members. Steel Constr. 2019, 12, 291–298. [Google Scholar] [CrossRef]
  33. Kettler, M.; Taras, A.; Unterweger, H. Member capacity of bolted steel angles in compression—Influence of realistic end supports. J. Constr. Steel Res. 2017, 130, 22–35. [Google Scholar] [CrossRef]
  34. Kettler, M.; Unterweger, H.; Zauchner, P. Design model for bolted angle members in compression including joint stiffness. J. Constr. Steel Res. 2021, 184, 106778. [Google Scholar] [CrossRef]
  35. EN 1993-1-1: EC3; Design of Steel Structures—Part 1-1: General Rules and Rules for Buildings. European Committee for Standardization: Brussels, Belgium, 2005.
Figure 1. Angle section.
Figure 1. Angle section.
Buildings 14 02990 g001
Figure 2. Loading point in eccentrically loaded angle sections: (a) bolted connection. (b) welded connection (equal weld on either side).
Figure 2. Loading point in eccentrically loaded angle sections: (a) bolted connection. (b) welded connection (equal weld on either side).
Buildings 14 02990 g002
Figure 3. Single angle column idealized as beam column.
Figure 3. Single angle column idealized as beam column.
Buildings 14 02990 g003
Figure 4. Rotational restraint of gusset plate: (a) gusset—fixed condition; (b) gusset—hinged condition.
Figure 4. Rotational restraint of gusset plate: (a) gusset—fixed condition; (b) gusset—hinged condition.
Buildings 14 02990 g004
Figure 5. Axis of bending at mid-height of column.
Figure 5. Axis of bending at mid-height of column.
Buildings 14 02990 g005
Figure 6. Classification of end connection: (a) single bolt; (b) two or more bolts; (c) welded.
Figure 6. Classification of end connection: (a) single bolt; (b) two or more bolts; (c) welded.
Buildings 14 02990 g006
Figure 7. fcd/fy vs. λ plot for two bolt/welded—fixed case.
Figure 7. fcd/fy vs. λ plot for two bolt/welded—fixed case.
Buildings 14 02990 g007
Figure 8. fcd/fy vs. λ plot for two bolt/welded—hinged case.
Figure 8. fcd/fy vs. λ plot for two bolt/welded—hinged case.
Buildings 14 02990 g008
Figure 9. fcd/fy vs. λ plot for one bolt-fixed case.
Figure 9. fcd/fy vs. λ plot for one bolt-fixed case.
Buildings 14 02990 g009
Figure 10. fcd/fy vs. λ plot for one bolt-hinged case.
Figure 10. fcd/fy vs. λ plot for one bolt-hinged case.
Buildings 14 02990 g010
Figure 11. Axial capacity of various angle sections (two bolts—fixed case).
Figure 11. Axial capacity of various angle sections (two bolts—fixed case).
Buildings 14 02990 g011
Figure 12. fcn/fy vs. λvv plot for single bolt case [21].
Figure 12. fcn/fy vs. λvv plot for single bolt case [21].
Buildings 14 02990 g012
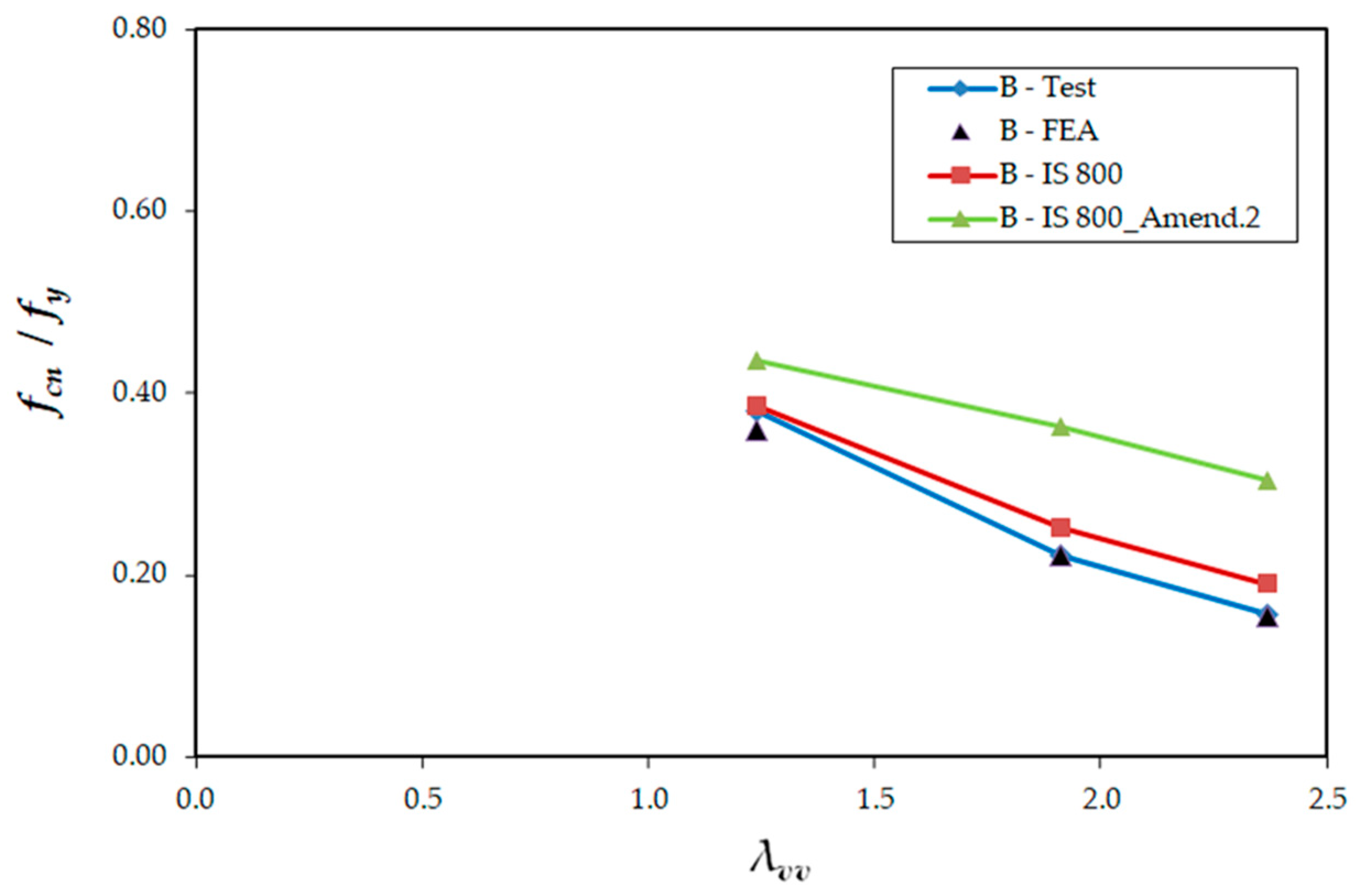
Figure 13. fcn/fy vs. λvv plot for two bolt case [21].
Figure 13. fcn/fy vs. λvv plot for two bolt case [21].
Buildings 14 02990 g013
Figure 14. fcn/fy vs. λvv plot for two bolts—fixed case [22]: (a) series—A; (b) series—E.
Figure 14. fcn/fy vs. λvv plot for two bolts—fixed case [22]: (a) series—A; (b) series—E.
Buildings 14 02990 g014
Figure 15. fcn/fy vs. λvv plot for two bolts—hinged case [22].
Figure 15. fcn/fy vs. λvv plot for two bolts—hinged case [22].
Buildings 14 02990 g015
Figure 16. fcn/fy vs. λvv plot for single bolt—hinged case [22].
Figure 16. fcn/fy vs. λvv plot for single bolt—hinged case [22].
Buildings 14 02990 g016
Table 1. Constants k1, k2, and k3 as per IS 800–2007 [26].
Table 1. Constants k1, k2, and k3 as per IS 800–2007 [26].
No. of Bolts at Each end ConnectionGusset/Connecting Member Fixityk1k2k3
≥2Fixed0.200.3520
Hinged0.700.605
1Fixed0.750.3520
Hinged1.250.5060
Table 2. Constants k1, k2, and k3 as per IS 800–2007 Amendment 2.
Table 2. Constants k1, k2, and k3 as per IS 800–2007 Amendment 2.
End ConnectionGusset/Connecting Member Fixityk1k2k3
Fully welded or connected with two or more boltsFixed0.7980.563−2.072
Hinged0.4010.420−1.040
Single boltFixed0.4180.547−1.400
Hinged0.3740.415−2.072
Table 3. Two bolt/welded—fixed case.
Table 3. Two bolt/welded—fixed case.
L
(m)
IS 800:2007 [26]IS 800:2007 Amendment 2 [27]Pd2/Pd1
L/rvvλefcd/fyPd1
(kN)
L/raaλaafcd/fyPd2
(kN)
0.5052.080.700.6693.2033.110.370.6998.371.06
0.7578.130.800.6085.1549.670.560.72101.621.19
1.00104.170.930.5375.4166.230.750.70100.071.33
1.25130.211.060.4665.1882.780.930.6693.331.43
1.50156.251.210.3955.5399.341.120.5983.501.50
1.75182.291.360.3347.06115.891.300.5273.381.56
2.00208.331.520.2839.92132.451.490.4564.391.61
2.50260.421.840.2129.21165.561.860.3650.641.73
2.75286.462.000.1825.25182.122.050.3245.491.80
3.00312.502.170.1522.00198.682.240.2941.211.87
Table 4. Two bolt/welded—hinged case.
Table 4. Two bolt/welded—hinged case.
L
(m)
IS 800:2007 [26]IS 800:2007 Amendment 2 [27]Pd2/Pd1
L/rvvλefcd/fyPd1
(kN)
L/raaλaafcd/fyPd2
(kN)
0.5052.080.970.5071.6133.110.370.3955.630.78
0.7578.131.100.4462.5849.670.560.4259.550.95
1.00104.171.250.3752.8766.230.750.4260.291.14
1.25130.211.430.3143.8882.780.930.4057.471.31
1.50156.251.610.2636.2599.341.120.3752.351.44
1.75182.291.810.2130.05115.891.300.3346.481.55
2.00208.332.010.1825.10132.451.490.2941.481.65
2.50260.422.430.1318.01165.561.860.2333.281.85
2.75286.462.640.1115.48182.122.050.2130.141.95
3.00312.502.860.0913.42198.682.240.1927.492.05
Table 5. One bolt—fixed case.
Table 5. One bolt—fixed case.
L
(m)
IS 800:2007 [26]IS 800:2007 Amendment 2 [27]Pd2/Pd1
L/rvvλefcd/fyPd1
(kN)
L/raaλaafcd/fyPd2
(kN)
0.5052.081.020.4868.0133.110.370.4259.320.87
0.7578.131.090.4462.9449.670.560.4665.551.04
1.00104.171.190.4056.8666.230.750.4867.901.19
1.25130.211.300.3650.4682.780.930.4665.871.31
1.50156.251.420.3144.2799.341.120.4360.831.37
1.75182.291.550.2738.63115.891.300.3954.851.42
2.00208.331.690.2433.65132.451.420.3549.181.46
2.50260.421.980.1825.70165.561.860.2840.011.56
2.75286.462.140.1622.59182.122.050.2636.441.61
3.00312.502.290.1419.96198.682.240.2433.401.67
Table 6. One bolt—hinged case.
Table 6. One bolt—hinged case.
L
(m)
IS 800:2007 [26]IS 800:2007 Amendment 2 [27]Pd2/Pd1
L/rvvλefcd/fyPd1
(kN)
L/raaλaafcd/fyPd2
(kN)
0.5052.081.400.3245.2633.110.370.2840.430.89
0.7578.131.470.2941.4849.670.560.3245.551.10
1.00104.171.570.2737.8166.230.750.3447.821.26
1.25130.211.690.2433.6482.780.930.3346.851.39
1.50156.251.820.2129.6399.341.120.3143.591.47
1.75182.291.970.1825.98115.891.300.2839.541.52
2.00208.332.130.1622.76132.451.490.2535.631.57
2.50260.422.460.1217.55165.561.860.2129.201.66
2.75286.462.640.1115.49182.122.050.1926.671.72
3.00312.502.820.1013.73198.682.240.1724.511.79
Table 7. Design strength of various angles—two bolts and fixed case.
Table 7. Design strength of various angles—two bolts and fixed case.
Angleb/tL/rvvL/raaλeλaaPd1 [26]Pd2 [27]Pd2/Pd1
45 × 45 × 67.50172.41111.111.291.2545.3769.051.52
55 × 55 × 69.17141.5190.361.141.0265.9096.501.46
55 × 55 × 86.88141.5191.461.101.0390.14130.911.45
60 × 60 × 610.00130.4382.421.100.9375.37108.731.44
60 × 60 × 87.50130.4383.331.050.94104.47149.281.43
65 × 65 × 610.83119.0575.761.060.8585.47119.901.40
65 × 65 × 88.13120.0076.531.000.86119.41166.381.39
70 × 70 × 611.67110.2970.091.040.7994.60129.551.37
70 × 70 × 88.75111.1170.750.970.80134.29182.481.36
75 × 75 × 6 12.50102.7465.221.030.73102.73138.341.35
75 × 75 × 89.38103.4565.790.950.74148.00196.271.33
75 × 75 × 107.50103.4566.370.900.75190.11251.231.32
80 × 80 × 810.0096.7761.480.930.69160.92208.591.30
80 × 80 × 1010.00103.4566.370.880.75188.01248.421.32
80 × 80 × 126.6797.4062.760.860.71253.62328.291.29
90 × 90 × 811.2585.7154.550.920.61184.30229.421.24
90 × 90 × 109.0086.2154.950.860.62242.02299.431.24
90 × 90 × 128.3386.2155.350.820.62298.31369.011.24
Table 8. Design strength of various angles—one bolt and hinged case.
Table 8. Design strength of various angles—one bolt and hinged case.
Angleb/tL/rvvL/raaλeλaaPd1Pd2Pd1/Pd2
45 × 45 × 67.50172.41111.111.891.2524.9737.361.50
55 × 55 × 69.17141.5190.361.781.0234.148.571.42
55 × 55 × 86.88141.5191.461.701.0348.0968.931.43
60 × 60 × 610.00130.4382.421.760.9337.9552.591.39
60 × 60 × 87.50130.4383.331.660.9454.5776.291.40
65 × 65 × 610.83119.0575.761.740.8541.8155.561.33
65 × 65 × 88.1312076.531.630.8661.0882.471.35
70 × 70 × 611.67110.2970.091.750.7945.1157.511.27
70 × 70 × 88.75111.1170.751.620.8067.3587.611.30
75 × 75 × 6 12.50102.7465.221.760.7347.8158.221.22
75 × 75 × 89.38103.4565.791.610.7472.8391.151.25
75 × 75 × 107.50103.4566.371.530.7596.59122.551.27
80 × 80 × 810.0096.7761.481.610.6977.7793.531.20
80 × 80 × 1010.00103.4566.371.530.7594.74119.741.26
80 × 80 × 126.6797.4062.761.480.71130.00161.481.24
90 × 90 × 811.2585.7154.551.640.6186.0195.391.11
90 × 90 × 109.0086.2154.951.530.62118.03134.561.14
90 × 90 × 128.3386.2155.351.470.62149.63173.411.16
Table 9. Single bolt case.
Table 9. Single bolt case.
SpecimenL/rvvL/raa P T e s t (kN) [21] P F E A (kN) [21] P I S 800 (kN) P I S 800 _ A m e n d . 2 (kN)PTest/PIS800PTest/PIS800_Amend.2
S2A62.1739.5392.5106.3260.9563.031.521.47
S2B114.5672.8356.2361.1247.7767.101.180.84
S2C156.2599.3441.6243.8237.8057.411.100.72
Mean1.271.01
Std Dev0.220.40
COV0.180.40
Table 10. Two bolts case.
Table 10. Two bolts case.
SpecimenL/rvvL/raa P T e s t (kN) [21] P F E A (kN) [21] P I S 800 (kN) P I S 800 _ A m e n d . 2 (kN)PTest/PIS800PTest/PIS800_Amend.2
S6A62.1739.5397.50106.3298.3288.130.991.11
S6B114.5672.8362.2361.1264.6785.080.960.73
S6C156.2599.3450.2355.1845.2869.691.110.72
Mean1.020.85
Std Dev0.080.22
COV0.080.26
Table 11. Two bolts—fixed case.
Table 11. Two bolts—fixed case.
SpecimenL/rvvL/raaBolt Type P T e s t
(kN) [22]
P F E A
(kN) [22]
PIS800
(kN)
PIS800_Amend.2
(kN)
PTest/PIS800PTest/PIS800_Amend.2
A175.2343.07Preloaded
M20 (10.9)
261.1261.2225.36271.031.160.96
A2118.6976.54238.8235.8179.09253.081.330.94
A3170.35109.88215.4202.2131.89202.411.631.06
D176.1248.56Non-preloaded
M20 (10.9)
260.2273.5220.38277.331.180.94
D2172.65109.88177.5204.9120.16191.491.480.93
E180.4251.78Preloaded
M27 (10.9)
488.4512.1479.4607.21.020.80
E2136.6987.95357.2409.7341.15509.711.050.70
E3180.26116.60267.1326.8254.26401.191.050.67
Mean1.240.88
Std Dev0.220.14
COV0.180.16
Table 12. Two bolts—hinged case.
Table 12. Two bolts—hinged case.
SpecimenL/rvvL/raaBolt Type P T e s t
(kN) [22]
P F E A
(kN) [22]
PIS800
(kN)
PIS800_Amend.2
(kN)
PTest/PIS800PTest/PIS800_Amend.2
B196.1161.32Preloaded
M20 (10.9)
148.0140.0150.04169.340.990.87
B2148.1094.6586.485.097.84141.090.880.61
B3183.97117.2861.061.674.33119.320.820.51
Mean0.900.67
Std Dev0.080.19
COV0.090.28
Table 13. Single bolt—fixed case.
Table 13. Single bolt—fixed case.
SpecimenL/rvvL/raaBolt Type P T e s t
(kN) [22]
P F E A
(kN) [22]
PIS800
(kN)
PIS800_Amend.2
(kN)
PTest/PIS800PTest/PIS800_Amend.2
B476.1248.56Preloaded
M20 (10.9)
162.9165.9169.29184.740.960.88
B5120.2776.54132.1140.6138.09183.660.960.72
C1207.06132.198.4106.187.04130.221.130.76
D375.9848.56Non-preloaded
M20 (10.9)
154.8150.9166.68182.110.930.85
D4207.20132.1073.189.982.93124.760.880.59
Mean0.970.76
Std. Dev.0.090.12
COV0.100.15
Table 14. Single bolt—hinged case.
Table 14. Single bolt—hinged case.
SpecimenL/rvvL/raaBolt Type P T e s t
(kN) [22]
P F E A
(kN) [22]
PIS800
(kN)
PIS800_Amend.2
(kN)
PTest/PIS800PTest/PIS800_Amend.2
C495.5461.32Preloaded
M20 (10.9)
131.0139.399.34125.781.321.04
C5183.65117.2862.665.064.91100.291.000.65
D525.8316.46145.5145.7115.8971.861.262.03
D635.4822.60151.0151.1114.9782.681.311.83
D745.3128.81148.8153.4112.5192.031.321.62
D854.8339.48145.0151.1109.70100.381.321.44
Mean1.261.43
Std. Dev.0.130.51
COV0.100.36
Disclaimer/Publisher’s Note: The statements, opinions and data contained in all publications are solely those of the individual author(s) and contributor(s) and not of MDPI and/or the editor(s). MDPI and/or the editor(s) disclaim responsibility for any injury to people or property resulting from any ideas, methods, instructions or products referred to in the content.

Share and Cite

MDPI and ACS Style

Vivek, S.K.; Dar, M.A.; Narayanan, S. Efficacy of IS Code Provisions for Design of Eccentrically Loaded Single Angle Compression Members. Buildings 2024, 14, 2990. https://doi.org/10.3390/buildings14092990

AMA Style

Vivek SK, Dar MA, Narayanan S. Efficacy of IS Code Provisions for Design of Eccentrically Loaded Single Angle Compression Members. Buildings. 2024; 14(9):2990. https://doi.org/10.3390/buildings14092990

Chicago/Turabian Style

Vivek, Sai Kota, Mohammad Adil Dar, and Subramanian Narayanan. 2024. "Efficacy of IS Code Provisions for Design of Eccentrically Loaded Single Angle Compression Members" Buildings 14, no. 9: 2990. https://doi.org/10.3390/buildings14092990

APA Style

Vivek, S. K., Dar, M. A., & Narayanan, S. (2024). Efficacy of IS Code Provisions for Design of Eccentrically Loaded Single Angle Compression Members. Buildings, 14(9), 2990. https://doi.org/10.3390/buildings14092990

Note that from the first issue of 2016, this journal uses article numbers instead of page numbers. See further details here.

Article Metrics

Back to TopTop