Abstract
The depletion of natural resources and the increasing interest in reducing CO2 emissions have heightened the demand for alternative materials in concrete production. A viable approach is to lower the clinker-to-cementitious materials ratio by partially replacing clinker with supplementary cementitious materials (SCMs) and/or alternative materials such as aggregate mineral fillers (AMFs). As the availability of SCMs is expected to decline, AMFs have been increasingly explored, including those derived from aggregate processing and susceptible to alkali-aggregate reaction (AAR). However, the behaviour of AAR-reactive AMFs in concrete remains poorly understood. This paper summarizes the current state of the art and identifies knowledge gaps concerning the use of AAR-reactive AMFs, focusing on the roles of mineralogy, particle size, replacement content, and the test methods used to assess AAR-induced development and associated microscopic and mechanical deterioration. A consistent terminology is also proposed to support future research. Finally, a theoretical foundation to understand the role of AAR-reactive AMFs in mortar and concrete is provided, and the key knowledge gaps are discussed.
1. Introduction
The pursuit to reduce the carbon footprint of concrete construction to achieve Net Zero by 2050 [1] has stimulated studies focusing on reducing the use of cement (i.e., clinker) [2]. Reducing the clinker-to-cementitious material ratio by partially replacing cement with supplementary cementitious materials (SCMs) or mineral fillers is a viable alternative for reducing CO2 emissions in the short term [2,3,4,5,6,7,8,9,10,11,12,13]. However, conventional SCMs (e.g., blast furnace slag, silica fume, fly ash, etc.) are byproducts of some industries, which have shown significant activity reduction in recent years, prompting investigations into alternative materials [5].
In this context, fillers have gained attention as an alternative material to reduce clicker demand [5]. A filler is defined as a particulate product that is inert or almost chemically inert when mixed with Portland cement [14,15]. The American Concrete Institute defines aggregate mineral fillers (AMFs) as a finely divided inorganic material produced in crushing operations of rocks [14]. The use of AMFs normally enhances concrete properties by means of a physical filling effect [16] and extra specific surface area (SSA) that acts as nucleation sites for the precipitation of clinker hydration products [4,17,18,19]. Considering this potential, AMFs from different sources, including quartzite [20,21,22,23], alumina [21], basalt [24,25,26,27,28], diabase [28], tuff [28], dolomite [25], marble [29,30], and granite [31,32,33], have been studied. However, limited information is available regarding the durability aspect of concrete produced with AMFs.
Among the rocks used to produce AMFs, some may be susceptible to alkali-aggregate reaction (AAR). AAR refers to a chemical reaction between certain mineral phases in the aggregates and alkalis present in the concrete pore solution [34,35,36]. AAR is commonly divided into two main types with different mechanisms: alkali-silica reaction (ASR) and alkali-carbonate reaction (ACR) [36]. ASR involves the interaction between metastable siliceous phases in aggregates and hydroxyl ions in the pore solution. This reaction forms a hydrophilic expansive reaction product (i.e., ASR product/gel) with an opposite surface charge to that of the aggregate and generates repulsive forces at the interface of the aggregate and the gel, leading to the progressive expansion and deterioration of the affected concrete [35]. ASR has been reported to affect critical concrete infrastructure worldwide [37]. In contrast, despite being associated with certain dolomitic carbonate rocks, the mechanism of ACR remains under debate and has only been identified in a limited number of countries [38,39,40,41,42,43,44].
AAR poses a significant challenge to the long-term durability of concrete infrastructure and is among the most harmful deterioration mechanisms affecting concrete infrastructure around the globe, compromising both their durability and serviceability. As the rehabilitation of AAR-affected structures is complex and costly, preventive approaches are generally more effective and economical.
Therefore, considering the importance of alternative materials to reduce the clinker-to-cement ratio as a strategy to reduce CO2 emissions, the use of AMFs becomes a viable option; however, the use of AAR-reactive AMFs, which are available worldwide, raises concerns as their long-term behaviour in concrete remains insufficiently understood. This paper reviews the current knowledge on using AAR-reactive AMFs in concrete, presenting important questions related to the reaction mechanisms, such as kinetics, ultimate expansion, deterioration, and mitigation potential. A theoretical foundation for understanding the role of AAR-reactive AMFs in mortar and concrete is provided, and the key knowledge gaps are discussed.
2. Evaluation of Systems Containing Reactive AMFs
2.1. Test Methods for Assessing AAR-Induced Expansion
The most widely used test procedures for appraising the potential reactivity of aggregates are the accelerated mortar bar test (AMBT) [45,46] and concrete prism test (CPT) [47,48,49]. From these tests, ASR kinetics (i.e., expansion rate over time [50]) and ultimate expansion (i.e., maximum expansion resulting from ASR) can be obtained. These parameters can help assess the effects of AAR-reactive AMFs in systems with reactive or non-reactive aggregates. In reactive systems, the type of reactive aggregates, whether coarse or fine, must also be analyzed separately. In general, most studies focused on the use of AMFs with reactive coarse aggregates.
The AMBT is commonly adopted given its short duration (i.e., 16 days—ASTM C1260 [45] and CSA A23.2-25A [48]; 30 days—Brazilian standard NBR 15577-4 [46]; 56 days—Norwegian standard). However, the test is conducted in mortar, and the conditions are harsh (i.e., samples immersed in a 1N NaOH solution, 80 °C), leading to the misclassification of some aggregates [51,52,53,54,55,56]. The CPT (ASTM C1260 [47], CSA A23.2-14A [48], and NBR 15577-6 [49]) is considered more reliable compared to the AMBT owing to its more realistic storage conditions (i.e., 38 °C, high relative humidity (RH)). However, the duration of the test is one year, and some challenges remain to be addressed, such as alkali leaching [57,58]. Other tests have been developed to address some shortcomings of these tests, such as the accelerated CPT (ACPT; RILEM AAR 4.1 [34] and NBR 15577:7 [59]). This test has a reduced duration (i.e., 180 days) compared to the CPT, increased particle size distribution (PSD) compared to that used in the AMBT [38,60,61], and intermediate conditions (i.e., 60 °C, 100% RH).
The following sections present literature data on the use of AMBT, CPT, and ACPT to evaluate reactive and non-reactive systems containing AAR-reactive AMFs incorporating (i) reactive coarse, (ii) reactive fine, and (iii) non-reactive aggregates.
2.1.1. Accelerated Mortar Bar Test (AMBT)
Figure 1 depicts the AMBT expansion curves available in the literature for systems containing reactive coarse aggregates and reactive AMFs. The solid lines represent the results of control mixtures, and dashed lines represent the results of mixtures containing ASR-reactive AMFs. Each colour represents a family of results for the same coarse aggregate used.
Figure 1.
Expansion results of systems with reactive coarse aggregates and reactive fillers (SF: sandstone filler; DF: dacite filler; GF: greywacke filler; BF: basalt filler; OF: orthogneiss filler). Greywacke data from [62]; Sandstone data from [63]; Orthogneiss data from [64]; Basalt data from [65].
As observed, the ultimate expansion was reduced for all the reactive AMFs used. The expansions were reduced by up to 74% for greywacke fillers (GFs); 56% for dacite fillers (DFs, greywacke coarse aggregate); 72% and 91% for sandstone fillers (SFs) Capanda and Formosa, respectively; 61% for basalt fillers (BFs); and 74% for orthogneiss fillers (OFs). Differences in the effects on the ultimate expansion were observed for different parameters evaluated, such as the reactivity degree of the aggregate and percentage of AMFs, which will be further discussed in the coming sections.
In a robust study by Pedersen [66], several parameters were appraised using both the AMBT and CPT following Norwegian standards. The AMBT results are shown in Figure 2.
Figure 2.
AMBT expansion results using reactive AMFs (Norwegian standard) [66].
As observed, the AMBT results obtained with the Norwegian standard were similar to those obtained using the ASTM standard (Figure 1), that is, lower expansions with the use of AMFs. The parameters evaluated were the type of AMFs (i.e., mylonite (MF), granite (GrF), cataclasite (CF), rhyolite (RF)), PSD (i.e., 0–20 µm, 10–30 µm, 10–40 µm, 20–125 µm, 0–125 µm), and percentages (i.e., 10% and 20%). The mixtures with reactive AMFs (dashed lines) resulted in reduced ultimate expansion compared to the control curves (solid lines). The exception was the mixture with mylonite as aggregate and 20% GrF, with higher expansions than the control mixture.
Few studies evaluated systems with fine reactive aggregates [62,67]. In this regard, the AMBT was used to assess a combination with reactive Waikato natural river sand and reactive AMFs produced from a greywacke (GF), and replacing 25% of cement (Figure 3). Fine reactive aggregates usually exhibit a faster rate of reaction [50,68], reaching considerable expansion levels at early ages, as observed in the figure by the steep inclination of the control curve. When using GF in Figure 3, the rate of reaction was slowed. Moreover, the maximum expansion was reduced from 0.47 to 0.12, representing a reduction of approximately 74%.
Figure 3.
AMBT results for a system with reactive fine aggregates [62].
Overall, for the AMBT, a lower rate of reaction and maximum expansions were obtained for systems with both reactive coarse and reactive fine aggregates and AAR-reactive AMFs compared to systems without AMFs.
2.1.2. Concrete Prism Test (CPT)
Figure 4 shows the expansion results obtained through the CPT. In general, the kinetics and ultimate expansions of the combinations were similar to those of the control mixture, except for the combination with RF, in which the expansion was considerably reduced. In this case, the type of AMFs may have played a significant role, as RF has been reported to have pozzolanic activity [66].
Figure 4.
CPT expansion results using reactive AMFs (Norwegian version) [66].
In addition to systems with reactive aggregates, the study of non-reactive systems, in which reactive AMFs and non-reactive aggregates are used, is very important but has not been extensively addressed in previous studies. This type of analysis was found in one study in which limestone fillers were used in percentages of 15% and 30% (50% replacing cement and 50% replacing sand) [69]. As observed in Figure 5, the use of the reactive AMFs resulted in increased expansions. Despite the different percentages, the expansions after 1 year for both replacement levels were similar. However, compared to the control curve, the average ultimate expansion was two times higher.
Figure 5.
Expansion of non-reactive systems containing reactive AMFs [69].
These results indicate the potential impact of reactive AMFs in non-reactive systems. Further studies should focus on different lithologies of aggregates to be used as AMFs. Moreover, both cement and sand were replaced by AMFs, hindering the identification of individual effects. The type of replacement, whether by cement or sand, should be tested separately to identify the corresponding influences on the kinetics, ultimate expansion, and concrete deterioration process.
2.1.3. Accelerated Concrete Prism Test (ACPT)
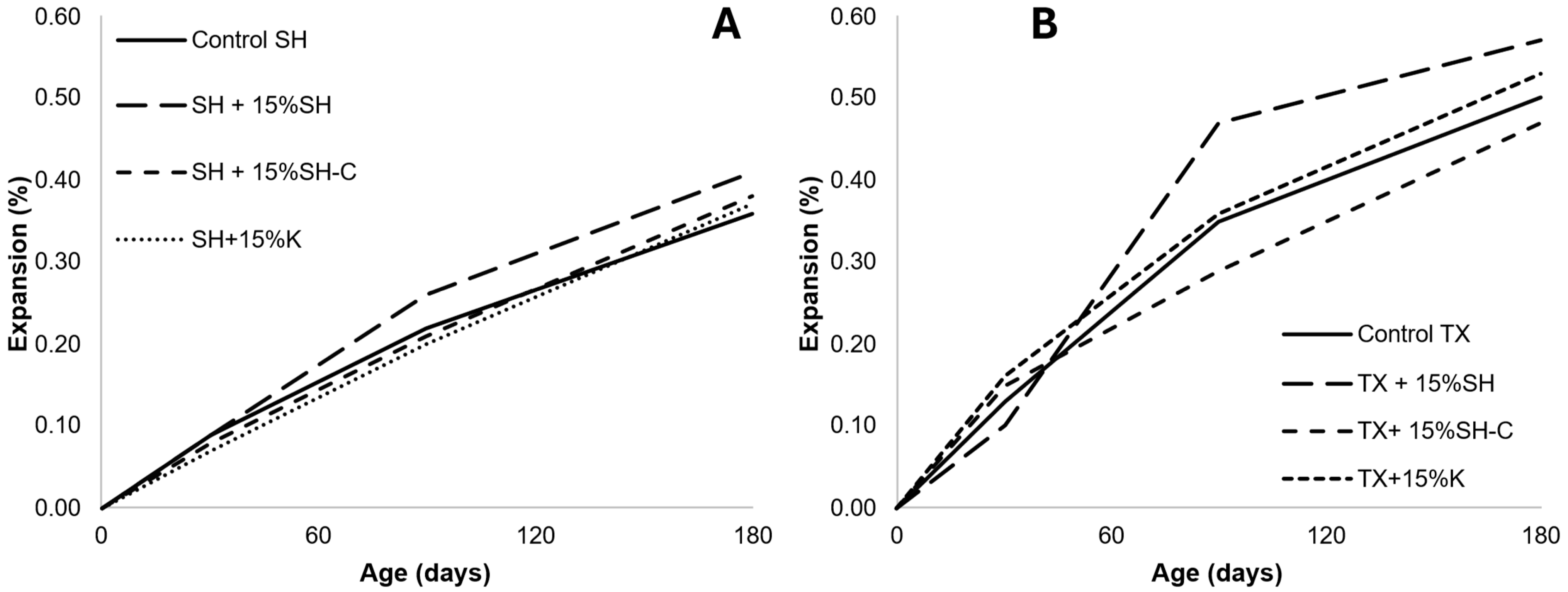
Figure 6A shows the expansion results of mixtures with AAR-reactive AMFs using the ACPT.
Figure 6.
(A) ACPT results for combinations with AAR-reactive AMFs and reactive coarse aggregates. (B) ACPT results for systems with reactive fine aggregates (TX). SH: Springhill, reactive greywacke aggregate; K: Kingston, limestone associated with ACR occurrences [67].
As observed, combinations with reactive coarse aggregates (greywacke—SH), two AMFs (greywacke—SH and dolomitic argillaceous limestone—K, which are ASR- and ACR-reactive, respectively), and replacement by sand (15% SH) and cement (15% SH-C) resulted in similar or slightly higher ultimate expansions. For the combination with SH fillers replaced by sand, the kinetics were also accelerated. The above outcomes contradict the AMBT results, in which the use of AAR-reactive AMFs led to reduced expansions, but are in agreement with the CPT results (Figure 4).
Moreover, the ACPT was utilized to evaluate a system incorporating a highly reactive sand (i.e., Texas sand—TX) and AMFs from greywacke (SH) and limestone (K), which are ASR- and ACR-reactive, respectively, replacing 15% of cement and sand (Figure 6B).
Combinations with reactive fine aggregates or reactive coarse aggregates incorporating AAR-reactive AMFs exhibited similar or slightly higher ultimate expansions and similar or accelerated kinetics compared to combinations without AAR-reactive AMFs (Figure 6A). The type of test and the aggregate features (i.e., reactivity degree, PSD) may have influenced the results. To better understand the effects of AAR-reactive AMFs in systems with fine reactive aggregates, a long-term evaluation coupled with a continuous assessment of deterioration, that is, evaluating samples at different ages to understand how deterioration is progressing, is essential.
2.2. Test Methods for Assessing AAR-Induced Deterioration
The methods used to evaluate the deterioration progress of systems with AAR-reactive AMFs were surface cracking [70] along with the damage rating index (DRI) and stiffness damage test (SDT) [67]. For the surface cracking evaluation, prisms of 7 × 7 × 28 cm stored at 60 °C with 20% AMFs replacing sand were stored for 34 weeks. As observed in Figure 7, for all the faces of the prisms (Faces 1–3 and 2–4 are opposed and rectangular and Faces 5–6 are square-shaped and located at the extremities), a drastic reduction in surface cracking was observed for samples with a reactive aggregate and 20% of sand replaced by AMFs derived from the same aggregate (i.e., metaquartzite (o): 100% reduction; siliceous limestone (t): approximately 90% reduction; opaline aggregate (b): 100% reduction; crushed waste glass (g): 100% reduction).
Figure 7.
Effect of AAR-reactive AMFs on the specific length of surface cracking of concrete prisms after 34 weeks at 60 °C. O, T, B, and G refer to the aggregates and O-o, T-t, B-b, and G-g to the samples with the use of the corresponding reactive fillers (Adapted from [70]).
The DRI is a petrographic analysis to evaluate the deterioration progress of a concrete sample. Samples are cut, polished, and analyzed using a stereomicroscope (15–16× magnification) [71]. Deterioration features (i.e., open cracks in aggregate, closed cracks in aggregate, cracks in the cement paste) are counted in a 1 cm2 grid drawn on the surface of a polished concrete section [72]. Each petrographic feature has a weight. The DRI is calculated by averaging the features found multiplied by the corresponding weights (Figure 8) and normalized for an area of 100 cm2. The SDT provides a correlation between loading cycles and crack density. The test consists of applying five cyclic loads in compression (i.e., 40% of the compressive strength at 28 days) to concrete specimens. Some of the outcomes of the test are the stiffness damage index (SDI), which is the ratio of the dissipated energy to the total energy, and the modulus of elasticity reduction [50].
Figure 8.
(A) Important features used to determine the DRI of a sample (CCP: crack in cement paste; OCA: open crack in aggregate; CCA: closed crack in aggregate) [67]. (B) Sample with limestone filler replacing 15% of cement. Yellow arrows indicate cracks in aggregate particles and red arrows indicate cracks in the cement paste (Courtesy of the author of [73]).
The DRI and SDT were adopted to evaluate systems containing 15% greywacke or dolomitic argillaceous limestone fillers (i.e., ASR- and ACR-reactive, respectively) with reactive coarse and reactive fine aggregates. When the greywacke fillers replaced cement, the DRI values were lower [67], but a replacement by sand led to similar to or higher DRI values compared to the DRI for a system with no AMFs. Replacing 15% of dolomitic argillaceous limestone fillers by sand resulted in a similar DRI for systems with reactive coarse aggregates and a lower DRI for systems with reactive fine aggregates. The main difference that caused this variation in the DRI was the number of cracks in the cement paste with and without a reaction product, which is directly influenced by the use of AMFs. The DRI number also exhibited a very good correlation with the expansion level of the samples.
For the SDT, replacing cement by AMFs led to slightly higher SDI values. In contrast, replacement by sand led to similar or lower SDI values compared to systems without AMFs. The modulus of elasticity reduction exhibited different behaviours depending on the type of reactive aggregate used. For reactive coarse aggregates, the reduction was lower than that observed for systems with no AMFs for both types of replacement. For reactive fine aggregates, the values were higher for the greywacke fillers, being more prominent when cement was replaced. For the dolomitic argillaceous limestone fillers, the value was considerably lower.
In the studies discussed, AAR-induced deterioration was evaluated at the end of the expansion measurement period (i.e., 34 weeks for the surface cracking and 180 days for the multilevel assessment). Therefore, assessing the deterioration progress at different ages or expansion levels could provide insights into the process when using AAR-reactive AMFs.
2.3. Summary of Current Knowledge
Based on the results presented in the previous sections, the type of test may influence the behaviour of mixtures containing AMFs. AMBT results indicated a more pronounced expansion reduction, whereas the CPT and ACPT provided smaller reductions or slight increases, particularly when AMFs were used replacing sand (Table A1—Appendix A). Some aspects may have led to such discrepancies, influencing test performance and the interpretation of the results. First, AMFs derived from rocks containing siliceous minerals may exhibit pozzolanic activity at high temperatures such as 80 °C [66]. Therefore, the use of the AMBT [62,63,64,74,75] or tests at elevated temperatures (i.e., 60 °C) [64,67,69,70] may provide biassed results. Second, the tests performed were developed to evaluate aggregates, and their efficiency in appraising AMFs is mostly unknown. Third, inconsistent test parameters were used in distinct studies, with varying durations, sample sizes, alkali contents, immersion conditions, and replacement strategies, which hinders comparison across them. Finally, the impact of some physiochemical properties of AMFs, such as mineralogy and PSD, as well as the replacement strategy, on the behaviour against ASR should be better studied.
In the next section, these parameters are discussed in detail.
3. Discussion
3.1. Role of AMF Mineralogy in AAR
Several reactive aggregates with different lithologies and, consequently, different degrees of reactivity have been used to evaluate the influence of reactive AMFs on AAR expansion. The type of rock used (i.e., texture, mineralogy, and microcracks [76]), as well as the crushing process, directly influences the morphology of the particles produced [77,78], which also influences the action of AMFs produced from these rocks. These aspects impact the dispersion of mineral phases that compose the rocks, as the propagation of microcracks is different depending on the minerals and their structure [79,80]. This was observed when using AMFs from the same rock but crushed by different types of crushers, in which the SSAs were different and resulted in distinct effects on AAR-induced expansions [81]. Moreover, aggregates from different types of rocks also result in distinct expansion tendencies when produced using the same crushing methods, highlighting the influence of the rock characteristics on expansion results [81,82]. However, the crushing procedure used to produce AMFs is frequently not disclosed in studies on the topic. Moreover, studies on the morphology of AMFs, directly related to the source rock characteristics, are still limited and should be further conducted.
In addition to physical aspects, chemical aspects related to the composition of the rock also influence the effect of corresponding AMFs. Reactive AMFs were shown to exhibit pozzolanic activity [62,63,66,74], with differences observed in terms of the amount of reaction products formed, Si/Ca ratio, and dissolved silica [62]. As the results were different depending on the type of AMFs used, their effect may not be limited to cement dilution and can also be influenced by the lithotype and chemical composition of the rock used to produce the filler, which should be further examined. This can also be influenced by the temperature of the test adopted, as AMFs derived from rocks containing siliceous minerals may exhibit pozzolanic activity at high temperatures (i.e., 80 °C) [66]. The efficacy of the filler was also shown to be directly related to the alkali content, with a lower alkali level requiring lower replacement levels to reduce expansions [74,83]. However, the contribution of alkalis from the AMFs should also be considered.
The alkali release by the aggregate may have a role when considering the effects of reactive AMFs [84], and it varies depending on the type of rock [85]. Feldspars are one of the major sources of alkalis from aggregates [86,87,88]. The size of particles and the alkali solution interfere in the release of alkalis by the aggregate, with smaller sizes resulting in greater release [86]. Moreover, K+ release is more intense in 1 N NaOH solutions [86]. Thus, considering the importance of the lithology of the rock on the AMF produced, a petrographic analysis of the rock could provide interesting insights into the effects of the AMF in concrete.
3.2. Role of AMF Particle Size in AAR
The similarity between ASR and pozzolanic reaction has been acknowledged [89,90]. Taylor [91] affirmed that the chemical mechanisms of these reactions are the same, with different effects owing to the different particle sizes of siliceous materials. These reactions also differ in their timescale and occurrence of expansion. This effect is considerably affected by the size of reactive particles of the aggregate. For small particles, the dissolution of ASR gel is rapid, and dissolved silicate groups can react with calcium ions to produce C-S-H, contributing to strength development [92,93]. In contrast, large aggregates lead to the accumulation of the gel [93]. This can be exemplified considering the use of silica fume, which is the most effective SCM for counteracting ASR; yet, when agglomerated, it can have the opposite effect, triggering ASR [94,95,96,97], which can also be related to the silica content [94].
Stanton [98] studied a siliceous magnesium limestone containing opal and chalcedony and determined that if this aggregate is sufficiently fine (<180 µm), no expansion occurs. In his work, he also indicated that when the aggregate has a reduced size, the gel dissipates in the cementitious matrix such that no tension is generated, and the reaction terminates before the final setting of concrete. In contrast, Vivian [99] found that expansions increase with the reduction of particle size until it reaches 50 µm, from which no expansion is observed, as shown in Figure 9.
Figure 9.
Expansions of mortars with different contents of reactive component vs. mean size of reactive particles [99].
The amount of reactive particles is considered to affect the number and width of the cracks formed, which influences expansion [99]. The volume of a particle would determine its capacity to generate cracks. If the diameter of the particle is below a certain threshold, the corresponding increase in volume after the reaction can be accommodated by the pores in the surrounding area. Moreover, larger particles would be expected to generate wider cracks and a more pronounced local expansion compared to small particles. However, the core of the particle may react slowly, which limits this behaviour, indicating that not all the reactive portion of a particle may contribute to expansions [99]. By increasing the number of reactive particles in cementitious materials, the number of cracks also increases, followed by an increase in expansion. Nevertheless, there is a limit for the number of reactive particles of a certain size, above which no additional cracks are generated. This limit number of cracks tends to increase as the particle size is reduced. In addition, by increasing the number of particles, their distribution becomes more uniform, leading to uniformity of crack width. The increase in the number of reactive particles may not result in increased expansions because the amount of alkalis acts as a limiting factor. Therefore, the expansion in cementitious materials with reactive AMFs can be a result of the effects of volume, SSA, and the number and distribution of reactive particles [99].
The size effect may also be related to the reaction on the surface of the aggregate, which acts to produce ASR gel, and the dissolution of silica, which acts to reduce ASR gel [92]. Therefore, the ASR rate is defined by the rate of these two processes. In small particles, the reactive portion is completely converted to gel, meaning that posterior dilution will contribute to reducing expansions. For big particles, the smaller SSA and volume mean that only a part of the reactive components will react, as illustrated in Figure 10.
Figure 10.
Effect of a relatively fast rate of ASR gel formation and a slow rate of gel dissolution over a period t1. Large particles (a) produce relatively large volumes of gel as they react. Smaller particles (b) become entirely converted to gel, which then gradually dissolves. Very small particles (c) are dissolved entirely in a relatively short period of time [92].
Considering the size effect, different size ranges of marble and siliceous limestone sands were used to evaluate ASR, and higher expansions were obtained for coarse particles (630–1250 μm) and no expansion for fine particles (0–160 μm) [29]. In contrast, the use of opal in ranges from 125 μm to 20 μm led to increased expansions for all ranges, with maximum expansions in the range from 30 μm to 20 μm [100]. A similar study using opal also obtained higher expansions for the finer fraction (150 to 300 µm) [101]. The effect of the size of particles, considering the fractions of the AMBT, has also been analyzed by using a non-reactive aggregate and replacing each fraction with a reactive aggregate. Although the results indicate lower expansions for the coarser and finer fractions (2.0 to 4.0 mm and 0.125 to 0.250 mm, respectively), the percentages of these fractions are also lower than those of intermediate fractions, which may have influenced the results [102].
These conflicting results may be related to the pessimum effect, which is the intensification of the reaction in a certain size range, whereas above and below this size range, expansions are reduced [103]. Some explanations have been proposed for this behaviour. For instance, the pessimum silica content is considered to be directly related to the pessimum content [100,103,104,105]. The pessimum SiO2/Na2O ratio varies with the size and nature of the aggregate and the amount of accessible SiO2 [106]. In another model, the gel formed is divided into two types: the gel deposited into the interface pores and the gel that permeates into the surrounding pores in the cement paste. The first type does not cause expansion and is governed by dilution, whereas the second type generates interface pressure and causes expansion. In this case, the aggregate size and porosity of the paste influence the amount of the first type of gel, and the permeation rate influences the amount of the second type [107]. Given a fixed volume of aggregate, small particles lead to higher expansions because of the higher surface area, which is the dilution process. If the particles are sufficiently small such that the volume of gel formed is comparable to the volume of pores in the surrounding paste, the pressure is released, and expansions are reduced, which is the permeation process. For a particle sufficiently small such that the gel can be completely held in the interfacial pore space, no expansion occurs. According to this model, the pessimum size is that at which these diffusion processes are balanced [107].
Fracture mechanics was also used to explain this behaviour [93]. In this case, particles below a certain size will not cause cracks even if the expansion caused by the aggregate is higher than the strain capacity of the paste [108,109]. This is because the energy released from a crack propagating from a particle with radius R is proportional to R3, whereas the necessary fracture energy is proportional to R2 [108]. Cracks propagate when the energy released is higher than the fracture energy required to propagate the crack. Therefore, for a given system, there is a critical particle size below which no crack propagation occurs [108].
Certain aggregates may also exhibit a pessimum content, which is a range in which the expansions are pronounced [110]. Despite the variable methods and aggregates used, the nature and composition of aggregates considerably influence the results, particularly considering rapid and slow reactive aggregates [29,92]. Moreover, the pessimum effect is still not fully understood. However, the observations related to the reduced or nonexistent expansions from a certain size of particle motivated studies on the use of reactive fillers, either replacing fine aggregates or cement.
In this regard, several parameters were used to indicate the particle size of the AMFs, such as the maximum dimension, range, D10, D50, D90, and also parameters related to SSA, such as Blaine fineness and the Brunauer–Emmett–Teller (BET) method, as summarized in Table A2 (Appendix A).
When examining the influence of the fineness of reactive AMFs on the expansion results, a fineness of 800 m2/kg for andesite powder was determined to be the minimum value required to effectively reduce expansions [83]. As for powders from three natural aggregates and glass with different SSAs, measured by means of Blaine fineness and used to replace sand in mortars, an increase in SSA resulted in reduced expansions for all percentages analyzed [70].
In contrast, samples using reactive fillers with different Blaine fineness values (210 m2/kg, 400 m2/kg, 610 m2/kg, 860 m2/kg) exhibited very similar expansions even for different replacement levels [75]. The concentration of soluble alkalis varied with the SSA of the filler particles. For sandstone fillers, the Na+ concentration increased until reaching a certain value of SSA where the K+ concentration surpassed that of Na+. As higher K+/Na+ ratios have been related to higher expansions [111], this is a factor that should be considered when evaluating reactive fillers. The alkali bonding ability also followed the same tendency, decreasing until reaching a specific SSA value and then increasing again. The alkali binding behaviour may be explained by the pozzolanic activity and nucleation effects. Considering that C-S-H is the only phase that can bind alkalis and taking CH content as an indicator of the hydration degree, when the activity effect is dominant, CH is consumed, whereas when the nucleation effect is dominant, the CH content increases. Therefore, the SSA influences the alkali bonding and liberation ability [75].
The influence of the particle size on the AAR results was also evaluated [66], and some of the results are shown in Figure 11.
Figure 11.
Influence of particle size on AAR expansion results considering (A) AMBT and (B) CPT (ranges in µm) [66].
As observed, different PSDs resulted in differences in expansion for the same coarse aggregates, AMF, and replacement percentage used. In the AMBT, the finer the AMF, the lower the expansion. The combination with fraction 0–20 µm resulted in the lowest expansion, followed by the combination with fraction 0–30 µm. The combination with fraction 0–125 µm exhibited a slightly higher expansion than that with fraction 20–125 µm, which indicates that the finer part removed in the latter fraction played an influential role in the result. In contrast, for the CPT, the expansions for combinations with reactive AMFs were higher than those of the control sample and very similar.
Based on the exposed, in which different tendencies were observed when varying the PSD, other aspects might affect the results, such as the pessimum content previously described. Therefore, more studies are necessary to better understand the influence of the PSD on AAR expansions, also considering the deterioration process, which has not been studied so far, taking into account this parameter.
3.3. Role of Replacement Content
The replacement content has a direct influence on AAR-induced expansion when cement is replaced considering the reduction in alkali content. Replacing cement by SCMs and AMFs has been an important strategy as a means to reduce CO2 emissions to achieve the Net Zero target [5]. Considering this scenario, recent studies examining the use of reactive AMFs have focused on replacing cement by such AMFs. However, former studies also adopted the replacement of sand. Figure 12 shows a summary of the impact of the replacement content on AAR expansions.
Figure 12.
Impact of replacement content of cement by reactive AMFs on AAR expansions. Greywacke GF/DF and Waikato data from [62]; Greywacke GF-S/GF-C/K-S and Texas sand data from [67]; Basalt data from [65]; Orthogneiss data from [64]; Mylonite data from [66].
As observed, most of the results indicate a reduction in expansions with the increase in the replacement percentage. Some of the curves show the opposite tendency, with increased expansions with the increase in the replacement percentage, all of which were tested by means of longer tests compared to the AMBT, such as the ACPT and CPT. Moreover, for some of these curves, sand was replaced, which indicates that the replacement content has different roles depending on the material the AMF replaces. Figure 13 shows the expansion results evaluating the influence of the percentage replacing cement coupled with different parameters.
Figure 13.
Influence of replacement percentage of cement by reactive AMFs (MF: mylonite filler; CF: cataclasite filler; RF: rhyolite filler) [66].
As observed, when varying the replacement percentage while maintaining other parameters fixed such as coarse reactive aggregates, the type of AMFs, and the PSD of the AMFs, the expansions are reduced by increasing the content.
3.4. Current Gaps and Research Perspectives
Several studies have addressed the effects of reactive aggregate AMFs on AAR, whose parameters adopted are summarized in Table 1. However, some limitations hinder a comprehensive evaluation of this material and comparative analysis.
Table 1.
Summary of studies using AAR-reactive AMFs.
The use of reactive AMFs with reactive coarse aggregates [62,63,64,65,66,67], reactive fine aggregates [62,67], and non-reactive aggregates [69] has been analyzed. However, there is no comprehensive evaluation of the effects of the same AMFs in these three different systems, which would be beneficial for a better understanding of the AMF action. The evaluation of the deterioration progress when using reactive AMFs would also provide interesting insights, mainly when considering different ages and expansion levels.
Another aspect that has been neglected is the influence of the type of source rock and corresponding lithotype on the AMF action. Reactive AMFs from several types of rocks, such as sandstone, greywacke, and mylonite, have been used. However, this aspect has not been emphasized, with a lack of a more detailed petrographic analysis for a comprehensive assessment of the AMFs. The type of crusher used may also influence the morphology and, consequently, the AMF action [77,81,112]. Nonetheless, few studies described the crushing method adopted, as seen in Table 1.
Alkali release is also dependent on the type of rock and should be considered when analyzing the use of AAR-reactive AMFs [84,85]. The alkali contents and Na2Oeq of the aggregates used in studies varied considerably, with Na2Oeq values as high as 6.30 (Table A3). The contribution of feldspars as a source of alkalis has been acknowledged [86,87,88]. However, the contribution of alkalis from aggregates remains unclear. Moreover, the size of particles can also interfere in alkali release [86], which is particularly important considering the use of AMFs. However, when considering the use of AAR-reactive AMFs coupled with kinetics and deterioration assessment, this aspect has not been evaluated.
As for the particle size, some results indicated that finer fractions would not cause expansions, whereas intermediate fractions would result in higher expansions [29,102,105]. In a few studies, finer particles resulted in higher expansions [100,101], but the aggregates used contained opal, which is a highly reactive amorphous material that reacts rapidly [38]. This indicates that the reactivity degree may play a role in the influence of fine particles in concrete. Pozzolanic activity was also identified in reactive AMFs [113,114].
Based on Table 1, the replacement percentages used considerably varied. Moreover, when considering the PSD, different parameters were used to indicate the fineness of the material, such as particle size, Blaine fineness, and D50, which also hinders comparison.
Furthermore, among the characteristics evaluated in the mortars and concretes studied are compressive strength [62,70,83], surface cracking [70,101,110], and pozzolanic reactivity [62,70,74,114]. Other important aspects of the ASR deterioration process have been mostly neglected, such as the development of internal cracks and the impact on the modulus of elasticity and tensile strength, which are more susceptible to AAR progress [115].
Many of these studies were also conducted using test methods and conditions that are not applied anymore, with different sample sizes, temperatures, and durations [69,70,101,106,116,117]. Furthermore, several studies applied only tests in mortar [83,102], such as the AMBT [74,102,114,118,119]. Temperature is an aspect that can affect the results of tests when using AMFs [66]. Therefore, a comprehensive study using a long-term test at a low temperature, such as the CPT, and considering varying parameters, such as the ones previously discussed, could provide a better understanding of the action of reactive AMFs in concrete.
In addition to the diverse parameters and conditions adopted in the studies analyzed, an important aspect that should be discussed is the nomenclature. Several terms have been used to describe the AMFs produced by using an AAR-reactive rock, as observed in Table 1 (e.g., aggregate powder, alkali-reactive fillers, reactive aggregate powder). This makes it difficult for researchers to find studies addressing the topic in current databases and may be an explanation for the variability in the parameters adopted that were found in the literature. An established terminology would be beneficial because it would allow researchers to easily find studies on the topic and adopt similar parameters, enabling comparative analysis that would contribute to actually building knowledge, contrary to what has been observed thus far with non-comparable and disconnected results. Considering the exposed and for clarity, the term AAR-reactive AMFs (which could be ASR- or ACR-reactive AMFs) is suggested.
Among the theories proposed for the action of AAR-reactive AMFs, it can be cited the reduction of alkalis by the replacement of cement, the dilution of the total alkali concentration in the mortar, a change in the alkali distribution in the mortar, the reaction of AMFs with alkalis because of broken bonds resulting from grinding, and also the nucleation effect owing to the reduced size [74,83]. Moreover, the influence of temperature, alkalinity, particle size, and structure of silica on the solubility of silica and, consequently, on the AAR and pozzolanic reactions should be considered [66]. The relation between a high availability of calcium and pozzolanic reactions because of the AMFs is also highlighted, resulting in lower expansions. However, higher expansions were also observed for a slow-reactive aggregate (mylonite), which was also observed by Diamond and Thaulow [100] for opal, a highly reactive aggregate. These discrepancies prompt more studies to better understand the reaction mechanism in systems with AMFs.
Considering the exposed, despite the promising results obtained, the variability in conditions and parameters applied hinders the understanding of the action of AAR-reactive AMFs in concrete and their practical application. Several tests have been used that differ in many aspects such as sample size, duration, temperature, and immersion conditions. Moreover, many parameters have been evaluated, such as the reactivity degree of the aggregate, type of replacement, percentage, and PSD. When combined, all these differences among studies hinder the comparison of the results, which also hinders the building of strong knowledge regarding this topic, making the results isolated and disconnected.
There is considerable room for improvement, considering the advances in techniques and methodologies developed throughout the years that can be applied. Advanced techniques such as DRI and SDT can be employed to evaluate the progression of ASR in concrete with AAR-reactive AMFs and corresponding effects in mechanical aspects such as the modulus of elasticity. Moreover, a better characterization when it comes to the fineness of the material, as well as the consideration of the mineralogy and replacement strategy, may enable comparative analyses.
4. Conclusions
Currently, focus has been directed towards the reduction in CO2 emissions to meet the Net Zero target. In the construction industry, studies have evaluated the use of alternative materials to replace cement. In this regard, AMFs seem to be an interesting option. However, among AMFs, the current knowledge of the influence of AAR-reactive AMFs in concrete is still insipient, despite the positive impact it could generate as reactive aggregates are available worldwide. Considering the previous results, the following conclusions can be drawn:
- The kinetics and ultimate expansion of systems containing AAR-reactive AMFs vary depending on the test used and the mortar/concrete system (e.g., containing reactive coarse aggregates, reactive fine aggregates, or non-reactive aggregates). Therefore, the evaluation of the same AMF in different types of systems and using a long-term test would be beneficial to better understand the influence of AMFs;
- The progress of deterioration has barely been addressed in previous studies, and it has been evaluated only at the ultimate expansion. Therefore, evaluating this at different ages would be beneficial to understand the deterioration progress over time;
- Several aspects related to the mineralogy of the source rock need to be considered when evaluating the use of AAR-reactive AMFs, such as the crushing process, which influences the dispersion of mineral grains and morphology of particles, as well as alkali release;
- The effects of the size of particles have not been completely understood, as the results are conflicting. One hypothesis to explain such behaviour is the pessimum effect, which has also been studied, with some models proposed to explain it. When considering the studies in which AAR-reactive AMFs were used, different parameters were adopted as a measure of particle size, which hinders comparison;
- Considering the percentage of cement replaced, in general, the expansions are reduced when the percentage increases, whereas the opposite occurs when sand is replaced;
- Several tests were used to assess the effects of AAR-reactive AMFs in mortar and concrete. In general, accelerated results indicated a reduction in expansion with the use of AMFs, whereas longer tests indicated the same or slightly increased expansions. Moreover, the test methods and parameters tended to vary owing to the different standards applied. Therefore, even when using the same test, the results are not comparable, as the standards and the specifications are different. Thus, a comprehensive evaluation of several aspects previously analyzed while maintaining the same tests and parameters would be essential to better understand the effects of AAR-reactive AMFs.
- An important aspect that may have hindered the development of knowledge on this topic is the nomenclature, as the term used to refer to reactive AMFs varies across studies. Therefore, this study proposes the term AAR-reactive AMFs (which could be ASR- or ACR-reactive AMFs) for clarity.
Considering the exposed, future studies should thoroughly assess the use of AAR-reactive AMFs considering aspects such as lithotype, PSD, percentage, and pessimum effect, and long-term and field evaluation tests should be used.
Author Contributions
Conceptualization, Y.C., R.M., L.S. and A.C.; data curation, Y.C.; writing—original draft preparation, Y.C.; writing—review and editing, Y.C., R.M., L.S. and A.C.; supervision, L.S. and A.C. All authors have read and agreed to the published version of the manuscript.
Funding
This work was supported by the National Council for the Improvement of Higher Education (CAPES), Brazil (Grant Nos. 88887.814410/2023-00 and 88887.900098/2023-00).
Data Availability Statement
The data presented in this study are available in the corresponding studies cited.
Conflicts of Interest
The authors declare no conflicts of interest.
Abbreviations
The following abbreviations are used in this manuscript:
| AAR | Alkali–aggregate reaction |
| BF | Basalt filler |
| ACPT | Accelerated concrete prism test |
| ACR | Alkali–carbonate reaction |
| AMBT | Accelerated mortar bar test |
| AMF | Aggregate mineral filler |
| ASR | Alkali–silica reaction |
| BET | Brunauer–Emmett–Teller |
| CCA | Closed crack in the aggregate |
| CCP | Crack in cement paste |
| CF | Cataclasite filler |
| CPT | Concrete prism test |
| DF | Dacite filler |
| DRI | Damage rating index |
| GF | Greywacke filler |
| GrF | Granite filler |
| K | Kingston |
| MF | Mylonite filler |
| OCA | Open crack in aggregate |
| OF | Orthogneiss filler |
| PSD | Particle size distribution |
| RF | Rhyolite filler |
| RH | Relative humidity |
| SCM | Supplementary cementitious material |
| SDI | Stiffness damage index |
| SDT | Stiffness damage test |
| SF | Sandstone filler |
| SH | Springhill |
| SSA | Specific surface area |
| TX | Texas sand |
Appendix A
In this appendix, some tables that summarize the data collected in this study are provided as additional support.
Table A1 summarizes the ultimate expansion results and important conditions of the studies evaluated.
Table A1.
Summary of ultimate expansions in studies assessed.
Table A1.
Summary of ultimate expansions in studies assessed.
| Ultimate Expansion | Reduction | Test | Condition | |
|---|---|---|---|---|
| Greywacke [62] | 0.11 (coarse) | 77% | AMBT | 25% replacing cement Systems with coarse and fine reactive aggregates |
| 0.12 (fine) | 74% | |||
| Dacite [62] | 0.21 | 56% | AMBT | 25% replacing cement |
| Sandstone Capanda [63] | 0.17 (20%) | 7% | NBRI method modified | Replacement of cement |
| 0.11 (40%) | 39% | |||
| 0.05 (60%) | 72% | |||
| Sandstone Formosa [63] | 0.40 (20%) | 19% | NBRI method modified | Replacement of cement |
| 0.28 (40%) | 43% | |||
| 0.11 (60%) | 77% | |||
| 0.04 (80%) | 91% | |||
| Orthogneiss [64] | 0.12 (10%) | 65% | AMBT | Replacement of cement |
| 0.09 (20%) | 74% | |||
| Basalt [65] | 0.35 (10%) | 24% | NBRI method | Replacement of cement |
| 0.28 (20%) | 39% | |||
| 0.18 (30%) | 61% | |||
| Greywacke [67] | 0.41 (15% sand—coarse) | −14% (increment) | Accelerated CPT | Replacement of sand and cement. Systems with coarse and fine reactive aggregates |
| 0.38 (15% cement—coarse) | −6% (increment) | |||
| 0.57 (15% sand—fine) | −14% (increment) | |||
| 0.47 (15% sand—fine) | 6% | |||
| Dolomitic argillaceous limestone [67] | 0.37 (coarse) | −3% (increment) | Accelerated CPT | 15% replacing sand. Systems with coarse and fine reactive aggregates |
| 0.53 (fine) | −6% (increment) | |||
| Siliceous limestone [69] | 0.03 (15%) | 49% | CPT (French standard) | 50% replacing cement and 50% replacing sand |
| 0.03 (30% | 55% | |||
| Metaquartzite [70] | 0.03 | 89% | CPT (French standard) | 20% replacing sand Blaine fineness: 400 m2/kg |
| Siliceous limestone [70] | 0.128 | 36% | CPT (French standard) | 20% replacing sand Blaine fineness: 600 m2/kg |
| Opaline aggregate [70] | 0.01 | 96% | CPT (French standard) | 20% replacing sand Blaine fineness: 650 m2/kg Only 36% of the aggregate used was opal, the remainder was non-reactive aggregate |
| Mylonite [66] | 0.311 (10% 0–20) | 46% | AMBT (Norwegian standard) | When not mentioned, the coarse aggregate is mylonite |
| 0.158 (20% 0–20) | 72% | |||
| 0.212 (20% 10–30) | 63% | |||
| 0.109 (Gran. Agg. 20% 0–125) | 51% | |||
| 0.286 (20% 20–125) | 50% | |||
| 0.166 (Cat. Agg. 20% 0–20) | 68% | |||
| 0.427 (10% 0–125) | 26% | |||
| 0.263 (20% 0–125) | 54% | |||
| Cataclasite [66] | 0.314 (10% 0–20) | 45% | AMBT (Norwegian standard) | Replacement of sand The coarse aggregate is mylonite |
| 0.141 (20% 0–20) | 75% | |||
| 0.265 (20% 10–40) | 54% | |||
| Icelandic Rhyolite [66] | 0.264 (10% 0–125) | 54% | AMBT (Norwegian standard) | Replacement of sand The coarse aggregate is mylonite |
| 0.041 (20% 0–20) | 93% | |||
| 0.088 (20% 10–40) | 85% | |||
| 0.126 (20% 0–125) | 78% | |||
| Mylonite [66] | 0.210 (5% 0–20) | −17% (increment) | CPT (Norwegian standard) | Replacement of sand The coarse aggregate is mylonite |
| 0.193 (5% 10–30) | −8% (increment) | |||
| 0.202 (5% 0–125) | −13% (increment) | |||
| 0.200 (10% 0–125) | −12% (increment) | |||
| Cataclasite [66] | 0.191 (5% 0–125) | −7% (increment) | CPT (Norwegian standard) | Replacement of sand The coarse aggregate is mylonite |
| Icelandic Rhyolite [66] | 0.041 (5% 0–125) | 77% | CPT (Norwegian standard) | Replacement of sand The coarse aggregate is mylonite |
Table A2 lists PSD values according to the different parameters provided.
Table A2.
Parameters used in studies as measures of particle size.
Table A2.
Parameters used in studies as measures of particle size.
| Maximum Dimension/ Range | D10 (µm) | D50 (µm) | D90 (µm) | Blaine Fineness (m2/kg) | BET (m2/kg) | |
|---|---|---|---|---|---|---|
| Greywacke filler [62] | - | 2.44 | 30.50 | 99.21 | - | - |
| Dacite filler [62] | - | 2.14 | 41.19 | 96.22 | - | - |
| Orthogneiss [31,64] | <150 µm | 41.84 | 105.36 | 200.01 | 173.79 | 1892.4 |
| Greywacke [67] | - | - | 30.00 | - | - | - |
| Dolomitic argillaceous limestone [67] | - | - | 19.00 | - | - | - |
| Siliceous limestone [69] | <100 µm | - | ~16 µm | - | 450 | - |
| Metaquartzite [70] | 80 µm | - | - | - | 100, 200, and 400 | - |
| Siliceous limestone [70] | 80 µm | - | - | - | 200, 400, and 600 | - |
| Opaline aggregate [70] | 80 µm | - | - | - | 200, 400, and 650 | - |
| Sandstone [75] | - | - | - | - | 210, 400, 610, and 860 | - |
| Andesite [83] | - | - | - | - | 780 m2/kg | - |
| Basalt [74] | <75 µm | - | - | - | 170–200 | - |
| Mylonite [66] | 0–20, 10–30, 20–125, 0–125 µm | - | - | - | - | - |
| Cataclasite [66] | 0–20, 10–40, 0–125 µm | - | - | - | - | - |
| Icelandic Rhyolite [66] | 0–20, 10–40, 0–125 µm | - | - | - | - | - |
Table A3 presents the chemical composition of the AMFs used in studies.
Table A3.
Chemical composition of AAR-reactive AMFs used in studies.
Table A3.
Chemical composition of AAR-reactive AMFs used in studies.
| Oxide | Dolomitic Argillaceous Limestone [67] | Siliceous Limestone [69] | Siliceous Limestone [70] | Andesite [83] | Greywacke [62] | Greywacke [67] | Dacite [62] | Orthogneiss [64] | Sandstone [75] | Metaquartzite [70] | Opaline Aggregate [70] |
|---|---|---|---|---|---|---|---|---|---|---|---|
| SiO2 | 9.47 | 16.15 | 15.7 | 66.2 | 66.85 | 60.45 | 68.4 | 58.15 | 63.04 | 87.7 | 92.7 |
| Al2O3 | 2.66 | 1.71 | 1.7 | 16.1 | 14.24 | 12.17 | 13.3 | 15.89 | 10.65 | 4.0 | 0.0 |
| Fe2O3 | 0.90 | 0.76 | 1.1 | 3.4 | 3.8 | 5.21 | 3.3 | 7.44 | 3.23 | 1.0 | 0.3 |
| CaO | 41.51 | 43.12 | 43.6 | 3.3 | 1.94 | 5.21 | 2.4 | 5.19 | 8.78 | 0.4 | 0.2 |
| K2O | 0.82 | 0.58 | 0.5 | 2.6 | 3.11 | 2.67 | 3.8 | 4.26 | 1.97 | 0.9 | 0.1 |
| Na2O | 0.17 | 0.05 | 0.5 | 3.5 | 4.25 | 1.41 | 2.4 | 3.16 | 1.54 | 0.1 | 0.2 |
| MgO | 5.48 | 1.29 | 1.5 | 2.0 | 1.58 | 3.50 | 1.3 | 2.47 | 2.56 | 0.2 | 0.1 |
| Traces | 0.41 | 1.18 | 0.2 | 1.00 | 1.94 | 1.13 | 1.00 | 2.72 | 7.33 | 0.1 | 1.1 |
| Na2Oeq | 0.71 | 0.43 | 0.83 | 5.21 | 6.30 | 3.17 | 4.9 | 5.96 | 2.84 | 0.69 | 0.23 |
| L.O.I. | 38.58 | 35.16 | 34.9 | 1.9 | 2.29 | 8.25 | 4.1 | 0.70 | - | 1.1 | 6.0 |
References
- IEA. Net Zero by 2050—A Roadmap for the Global Energy Sector; IEA: Paris, France, 2021. [Google Scholar]
- IEA. Energy Technology Perspectives 2020; IEA: Paris, France, 2020. [Google Scholar]
- European Cement Research Academy. CSI/ECRA—Technology Papers 2017 Development of State of the Art Techniques in Cement Manufacturing: Trying to Look Ahead; European Cement Research Academy: Geneva, Switzerland, 2017. [Google Scholar]
- Lothenbach, B.; Scrivener, K.; Hooton, R.D. Supplementary Cementitious Materials. Cem. Concr. Res. 2011, 41, 1244–1256. [Google Scholar] [CrossRef]
- Scrivener, K.; John, V.; Gartner, E. Eco-Efficient Cements: Potential Economically Viable Solutions for a Low-CO2 Cement-Based Materials Industry. Cem. Concr. Res. 2018, 114, 2–26. [Google Scholar] [CrossRef]
- Gartner, E.; Hirao, H. A Review of Alternative Approaches to the Reduction of CO2 Emissions Associated with the Manufacture of the Binder Phase in Concrete. Cem. Concr. Res. 2015, 78, 126–142. [Google Scholar] [CrossRef]
- Ludwig, H.M.; Zhang, W. Research Review of Cement Clinker Chemistry. Cem. Concr. Res. 2015, 78, 24–37. [Google Scholar] [CrossRef]
- Damtoft, J.S.; Lukasik, J.; Herfort, D.; Sorrentino, D.; Gartner, E.M. Sustainable Development and Climate Change Initiatives. Cem. Concr. Res. 2008, 38, 115–127. [Google Scholar] [CrossRef]
- Ballan, J.; Paone, P. Supplementary Cementitious Materials: Concepts for the Treatment of Raw Materials. IEEE Ind. Appl. Mag. 2014, 20, 61–65. [Google Scholar] [CrossRef]
- Scrivener, K.; Martirena, F.; Bishnoi, S.; Maity, S. Calcined Clay Limestone Cements (LC3). Cem. Concr. Res. 2018, 114, 49–56. [Google Scholar] [CrossRef]
- Miller, S.A.; Habert, G.; Myers, R.J.; Harvey, J.T. Achieving Net Zero Greenhouse Gas Emissions in the Cement Industry via Value Chain Mitigation Strategies. One Earth 2021, 4, 1398–1411. [Google Scholar] [CrossRef]
- Amran, M.; Makul, N.; Fediuk, R.; Lee, Y.H.; Vatin, N.I.; Lee, Y.Y.; Mohammed, K. Global Carbon Recoverability Experiences from the Cement Industry. Case Stud. Constr. Mater. 2022, 17, e01439. [Google Scholar] [CrossRef]
- von Greve-Dierfeld, S.; Lothenbach, B.; Vollpracht, A.; Wu, B.; Huet, B.; Andrade, C.; Medina, C.; Thiel, C.; Gruyaert, E.; Vanoutrive, H.; et al. Understanding the Carbonation of Concrete with Supplementary Cementitious Materials: A Critical Review by RILEM TC 281-CCC. Mater. Struct./Mater. Constr. 2020, 53, 136. [Google Scholar] [CrossRef]
- ACI. Guide for Proportioning Concrete Mixtures with Ground Calcium Carbonate and Other Mineral Fillers; ACI: Farmington Hills, MI, USA, 2020; ISBN 9781641951227. [Google Scholar]
- John, V.M.; Damineli, B.L.; Quattrone, M.; Pileggi, R.G. Fillers in Cementitious Materials—Experience, Recent Advances and Future Potential. Cem. Concr. Res. 2018, 114, 65–78. [Google Scholar] [CrossRef]
- Korpa, A.; Kowald, T.; Trettin, R. Hydration Behaviour, Structure and Morphology of Hydration Phases in Advanced Cement-Based Systems Containing Micro and Nanoscale Pozzolanic Additives. Cem. Concr. Res. 2008, 38, 955–962. [Google Scholar] [CrossRef]
- Moosberg-Bustnes, H.; Lagerblad, B.; Forssberg, E. The Function of Fillers in Concrete. Mater. Struct. 2004, 37, 74–81. [Google Scholar] [CrossRef]
- Aqel, M.; Panesar, D.K. Hydration Kinetics and Compressive Strength of Steam-Cured Cement Pastes and Mortars Containing Limestone Filler. Constr. Build. Mater. 2016, 113, 359–368. [Google Scholar] [CrossRef]
- Li, C.; Jiang, L.; Xu, N.; Jiang, S. Pore Structure and Permeability of Concrete with High Volume of Limestone Powder Addition. Powder Technol. 2018, 338, 416–424. [Google Scholar] [CrossRef]
- Craeye, B.; De Schutter, G.; Desmet, B.; Vantomme, J.; Heirman, G.; Vandewalle, L.; Cizer, Ö.; Aggoun, S.; Kadri, E.H. Effect of Mineral Filler Type on Autogenous Shrinkage of Self-Compacting Concrete. Cem. Concr. Res. 2010, 40, 908–913. [Google Scholar] [CrossRef]
- Poppe, A.M.; De Schutter, G. Cement Hydration in the Presence of High Filler Contents. Cem. Concr. Res. 2005, 35, 2290–2299. [Google Scholar] [CrossRef]
- Kadri, E.H.; Aggoun, S.; De Schutter, G.; Ezziane, K. Combined Effect of Chemical Nature and Fineness of Mineral Powders on Portland Cement Hydration. Mater. Struct./Mater. Constr. 2010, 43, 665–673. [Google Scholar] [CrossRef]
- Rahhal, V.; Talero, R. Early Hydration of Portland Cement with Crystalline Mineral Additions. Cem. Concr. Res. 2005, 35, 1285–1291. [Google Scholar] [CrossRef]
- Xie, D.; Liu, Q.; Zhou, Z.; Gao, J.; Liu, C. Rheology and Hardened Properties of Eco-Friendly Ultra-High Performance Concrete Paste: Role of Waste Stone Powder Fillers. Constr. Build. Mater. 2024, 447, 138163. [Google Scholar] [CrossRef]
- Soroka, I.; Setter, N. The Effect of Fillers on Strength of Cement Mortars. Cem. Concr. Res. 1977, 7, 449–456. [Google Scholar] [CrossRef]
- Dobiszewska, M.; Schindler, A.K.; Pichór, W. Mechanical Properties and Interfacial Transition Zone Microstructure of Concrete with Waste Basalt Powder Addition. Constr. Build. Mater. 2018, 177, 222–229. [Google Scholar] [CrossRef]
- Li, Y.; Zeng, X.; Zhou, J.; Shi, Y.; Umar, H.A.; Long, G.; Xie, Y. Development of an Eco-Friendly Ultra-High Performance Concrete Based on Waste Basalt Powder for Sichuan-Tibet Railway. J. Clean. Prod. 2021, 312, 127775. [Google Scholar] [CrossRef]
- Zhu, Y.; Wang, P.; Guo, H.; Lou, R.; Ye, W.; Liu, Y.; Liu, K. Effect of Dry Process Manufactured Sands Dust on the Mechanical Property and Durability of Recycled Concrete. J. Build. Eng. 2024, 87, 108942. [Google Scholar] [CrossRef]
- Multon, S.; Cyr, M.; Sellier, A.; Diederich, P.; Petit, L. Effects of Aggregate Size and Alkali Content on ASR Expansion. Cem. Concr. Res. 2010, 40, 508–516. [Google Scholar] [CrossRef]
- Vardhan, K.; Goyal, S.; Siddique, R.; Singh, M. Mechanical Properties and Microstructural Analysis of Cement Mortar Incorporating Marble Powder as Partial Replacement of Cement. Constr. Build. Mater. 2015, 96, 615–621. [Google Scholar] [CrossRef]
- Coutinho, Y. Influence of the Grinding Process of Aggregates on AAR Expansions. Master’s Thesis, Universidade Federal de Pernambuco, Recife, Brazil, 2019. (In Portuguese). [Google Scholar]
- Ramos, T.; Matos, A.M.; Schmidt, B.; Rio, J.; Sousa-Coutinho, J. Granitic Quarry Sludge Waste in Mortar: Effect on Strength and Durability. Constr. Build. Mater. 2013, 47, 1001–1009. [Google Scholar] [CrossRef]
- Mármol, I.; Ballester, P.; Cerro, S.; Monrós, G.; Morales, J.; Sánchez, L. Use of Granite Sludge Wastes for the Production of Coloured Cement-Based Mortars. Cem. Concr. Compos. 2010, 32, 617–622. [Google Scholar] [CrossRef]
- Nixon, P.J.; Sims, I. RILEM Recommendations for the Prevention of Damage by Alkali-Aggregate Reactions in New Concrete Structures; State-of-the-Art-Report of the RILEM Technical Committee 219 ACS; Springer: Dordrecht, The Netherlands, 2016. [Google Scholar]
- Leemann, A.; Góra, M.; Lothenbach, B.; Heuberger, M. Alkali Silica Reaction in Concrete—Revealing the Expansion Mechanism by Surface Force Measurements. Cem. Concr. Res. 2024, 176, 107392. [Google Scholar] [CrossRef]
- Fournier, B.; Berubé, M.A. Alkali-Aggregate Reaction in Concrete: A Review of Basic Concepts and Engineering Implications. Can. J. Civil. Eng. 2000, 27, 167–191. [Google Scholar] [CrossRef]
- Sims, I.; Poole, A. Alkali-Aggregate Reaction in Concrete—A World Review; CRC Press: London, UK, 2017; ISBN 9781138027565. [Google Scholar]
- Thomas, M.D.A.; Fournier, B.; Folliard, K.J. Alkali-Aggregate Reactivity (AAR) Facts Book; U.S. Department of Transportation, Federal Highway Administration: Washington, DC, USA, 2013; ISBN FHWA-HIF-13-019.
- Grattan-Bellew, P.E.; Mitchell, L.D.; Margeson, J.; Min, D. Is Alkali-Carbonate Reaction Just a Variant of Alkali–Silica Reaction ACR = ASR? Cem. Concr. Res. 2010, 40, 556–562. [Google Scholar] [CrossRef]
- Katayama, T. The So-Called Alkali-Carbonate Reaction (ACR)—Its Mineralogical and Geochemical Details, with Special Reference to ASR. Cem. Concr. Res. 2010, 40, 643–675. [Google Scholar] [CrossRef]
- Katayama, T. A Critical Review of Carbonate Rock Reactions—Is Their Reactivity Useful or Harmful? In Proceedings of the 9th International Conference on Alkali-Aggregate Reaction, London, UK, 27–31 July 1992; pp. 508–517. [Google Scholar]
- Medeiros, R.; Sanchez, L.; dos Santos, A.C. Assessing Alkali-Carbonate Reaction-Induced Damage in Critical Concrete Infrastructure: The First ACR-Affected Field Structure Reported in Brazil. In Proceedings of the 17th International Conference on Alkali-Aggregate Reaction in Concrete (ICAAR 2024), Ottawa, ON, Canada, 18–24 May 2024; RILEM Bookseries. Sanchez, L.F., Trottier, C., Eds.; Springer: Cham, Switzerland, 2024; Volume 50, pp. 445–452. [Google Scholar] [CrossRef]
- Leemann, A.; Münch, B.; Trottier, C.; Sanchez, L. Microstructural Consequences of Alkali-Carbonate Reaction. In Proceedings of the 17th International Conference on Alkali-Aggregate Reaction in Concrete (ICAAR 2024), Ottawa, ON, Canada, 18–24 May 2024; RILEM Bookseries. Sanchez, L.F., Trottier, C., Eds.; Springer: Cham, Switzerland, 2024; Volume 49, pp. 87–94. [Google Scholar] [CrossRef]
- Katayama, T.; Grattan-Bellew, P.E. Petrography of the Kingston Experimental Sidewalk at Age 22 Years—ASR as the Cause of Deleteriously Expansive, So-Called Alkali-Carbonate Reaction. In Proceedings of the 14th International Conference on Alkali-Aggregate Reaction in Concrete, Austin, TX, USA, 20–25 May 2012. [Google Scholar]
- ASTM C1260; Test Method for Potential Alkali Reactivity of Aggregates (Mortar-Bar Method). ASTM International: West Conshohocken, PA, USA, 2023.
- ABNT NBR 15577-4; Aggregates–Alkali-Aggregate Reactivity. Part 4: Determination of Expansion on Mortar Bars by Accelerated Mortar Bar Method. ABNT: Rio de Janeiro, Brazil, 2018.
- ASTM C1293; Test Method for Determination of Length Change of Concrete Due to Alkali-Silica Reaction. ASTM International: West Conshohocken, PA, USA, 2023.
- CSA A23.1:24/CSA A23.2:24; Concrete Materials and Methods of Concrete Construction/Test Methods and Standard Practices for Concrete. CSA Group: Toronto, ON, Canada, 2024.
- ABNT NBR 15577-6; Aggregates–Alkali-Aggregate Reactivity. Part 6: Determination of Mitigation of Expansion on Concrete Prisms. ABNT: Rio de Janeiro, Brazil, 2018.
- Sanchez, L.F.M.; Drimalas, T.; Fournier, B.; Mitchell, D.; Bastien, J. Comprehensive Damage Assessment in Concrete Affected by Different Internal Swelling Reaction (ISR) Mechanisms. Cem. Concr. Res. 2018, 107, 284–303. [Google Scholar] [CrossRef]
- Bérubé, M.; Founier, B. Canadian Experience with Testing for Alkali-Aggregate Reactivity in Concrete. Cem. Concr. Compos. 2003, 15, 27–47. [Google Scholar] [CrossRef]
- Demerchant, D.P.; Fournier, B.; Strang, F. Alkali-Aggregate Research in New Brunswick. Can. J. Civ. Eng. 2000, 27, 212–225. [Google Scholar] [CrossRef]
- Golmakani, F.; Hooton, R.D. Comparison of Laboratory Performance Tests Used to Assess Alkali-Silica Reactivity. In Proceedings of the Annual Conference—Canadian Society for Civil Engineering, London, ON, Canada, 1–4 June 2016; Volume 2, pp. 1–7. [Google Scholar]
- Grattan-Bellew, P.E. A Critical Review of Ultra-Accelerated Alkali-Silica Reactivity. Cem. Concr. Compos. 1997, 19, 403–414. [Google Scholar] [CrossRef]
- Ideker, J.H.; Bentivegna, A.F.; Folliard, K.J.; Juenger, M.C.G. Do Current Laboratory Test Methods Accurately Predict Alkali-Silica Reactivity? ACI Mater. J. 2012, 109, 395–402. [Google Scholar] [CrossRef]
- Thomas, M.; Fournier, B.; Folliard, K.; Ideker, J.; Shehata, M. Test Methods for Evaluating Preventive Measures for Controlling Expansion Due to Alkali-Silica Reaction in Concrete. Cem. Concr. Res. 2006, 36, 1842–1856. [Google Scholar] [CrossRef]
- Lindgård, J.; Andiç-Çakır, Ö.; Fernandes, I.; Rønning, T.F.; Thomas, M.D.A. Alkali–Silica Reactions (ASR): Literature Review on Parameters Influencing Laboratory Performance Testing. Cem. Concr. Res. 2012, 42, 223–243. [Google Scholar] [CrossRef]
- Ideker, J.H.; East, B.L.; Folliard, K.J.; Thomas, M.D.A.; Fournier, B. The Current State of the Accelerated Concrete Prism Test. Cem. Concr. Res. 2010, 40, 550–555. [Google Scholar] [CrossRef]
- ABNT NBR 15577-7; Aggregates–Alkali-Aggregate Reactivity. Part 7: Determination of Concrete Prism by Accelerated Method. ABNT: Rio de Janeiro, Brazil, 2018.
- AASHTO T 380-22; Standard Method of Test for Potential Alkali Reactivity of Aggregates and Effectiveness of ASR Mitigation Measures (Miniature Concrete Prism Test, MCPT). AASHTO: Washington, DC, USA, 2022.
- Lindgård, J.; Andiç-Çakır, Ö.; Borchers, I.; Broekmans, M.; Brouard, E.; Fernandes, I.; Giebson, C.; Pedersen, B.; Pierre, C.; Rønning, T.F.; et al. RILEM TC 219-ACS-P: Literature Survey on Performance Testing; Lindgård, J., Ed.; SINTEF Building and Infrastructure: Trondheim, Norway, 2011. [Google Scholar]
- Tapas, M.J.; Thomas, P.; Vessalas, K.; Nsiah-Baafi, E.; Martin, L.; Sirivivatnanon, V. Comparative Study of the Efficacy of Fly Ash and Reactive Aggregate Powders in Mitigating Alkali-Silica Reaction. J. Build. Eng. 2023, 63, 105571. [Google Scholar] [CrossRef]
- Castro, C.H.; Santos, M.C.; Traboulsi, M.A.; Bittencourt, R.M. Influence of Pulverized Aggregate on Alkali-Aggregate Reaction. In Proceedings of the Simpósio Sobre Reatividade Álcali-Agregado em estruturas de Concreto, Goiânia, Brazil, 1997. (In Portuguese). [Google Scholar]
- Coutinho, Y.; Montefalco, L.; Carneiro, A. Evaluation of ASR-Reactive Aggregate Powder on ASR Expansions of Mortars and Concretes Using AMBT and MCPT. In Proceedings of the 17th International Conference on Alkali-Aggregate Reaction in Concrete (ICAAR 2024), Ottawa, ON, Canada, 18–24 May 2024; RILEM Bookseries. Sanchez, L.F., Trottier, C., Eds.; Springer: Cham, Switzerland, 2024; Volume 50, pp. 604–611. [Google Scholar] [CrossRef]
- Oliveira, P.J.; Salles, F.M.; Andriolo, F.R. Crushed Powder Filler—The Use on RCC and the Reduction of Expansion Due to the Alkali-Aggregate Reaction. In Proceedings of the International Symposium of Roller Compacted Concrete Dams, Santander, Spain, 2–4 October 1995. [Google Scholar]
- Pedersen, B. Alkali-Reactive and Inert Fillers in Concrete. Rheology of Fresh Mixtures and Expansive Reactions. Ph.D. Thesis, Norwegian University of Science and Technology, Trondheim, Norway, 2004. [Google Scholar]
- Antunes, L.R. The Influence of Alternative Materials on Alkali Aggregate Reaction (AAR) Induced Development in Concrete. Master’s Thesis, University of Ottawa, Ottawa, ON, USA, 2021. [Google Scholar]
- Sanchez, L.F.M.; Fournier, B.; Jolin, M.; Bastien, J.; Mitchell, D. Tools for assessing damage in concrete affected by AAR coming from fine and coarse aggregates. Rev. IBRACON Estrut. Mater. 2017, 10. [Google Scholar] [CrossRef]
- Guédon-Dubied, J.-S.; Cadoret, G.; Durieux, V.; Martineau, F.; Fasseu, P.; Van Overbeke, V. Etude Du Calcaire Tournaisien de La Carrière Cimescaut À (Belgique) Analyse Pétrographique et Chimique et réactivité Aux Alcalins. Bull. Lab. Ponts Chaussées 2000, 226, 57–66. [Google Scholar]
- Carles-Gibergues, A.; Cyr, M.; Moisson, M.; Ringot, E. A Simple Way to Mitigate Alkali-Silica Reaction. Mater. Struct./Mater. Constr. 2008, 41, 73–83. [Google Scholar] [CrossRef]
- Sanchez, L.; Fournier, B.; Jolin, M.; Bedoya, M.A.B.; Bastien, J.; Duchesne, J. Use of Damage Rating Index to Quantify Alkali-Silica Reaction Damage in Concrete: Fine versus Coarse Aggregate. ACI Mater. J. 2016, 113, 395. [Google Scholar] [CrossRef]
- Sanchez, L.F.M. Contribution to the Assessment of Damage in Aging Concrete Infrastructures Affected by Alkali-Aggregate Reaction. Ph.D. Thesis, Universite Laval, Québec, QC, Canada, 2014. [Google Scholar]
- De Souza, D.J.; Antunes, L.R.; Bezerra, A.C.; Sanchez, L.F.M. Influence of Mineral Fillers (MF) on ASR-Induced Expansion and Deterioration. In RILEM Bookseries; Springer: Cham, Switzerland; Volume 50, pp. 612–619. [CrossRef]
- Salles, F.M.; Oliveira, P.J.R.; Andriolo, F.R. Use of Crushing Fines to Reduce AAR-Expansions. In Proceedings of the Simpósio Sobre Reatividade Álcali-Agregado em Estruturas de Concreto, Goiânia, Brazil, 1997. (In Portuguese). [Google Scholar]
- Li, Y.; He, Z.; Hu, S. Mechanism of Suppressing ASR Using Ground Reactive Sandstone Powders Instead of Cement. J. Wuhan Univ. Technol. Mater. Sci. Ed. 2015, 30, 344–351. [Google Scholar] [CrossRef]
- Räisänen, M.; Mertamo, M. An Evaluation of the Procedure and Results of Laboratory Crushing in Quality Assessment of Rock Aggregate Raw Materials. Bull. Eng. Geol. Environ. 2004, 63, 33–39. [Google Scholar] [CrossRef]
- Diógenes, L.; Maia, R.; Bessa, I.; Castelo Branco, V.; Nogueira Neto, J.; Silva, F. The Influence of Crushing Processes and Mineralogy of Aggregates on Their Shape Properties and Susceptibility to Degradation. Constr. Build. Mater. 2021, 284, 122745. [Google Scholar] [CrossRef]
- Bouquety, M.N.; Descantes, Y. Experimental Study of Crushed Aggregate Shape. Constr. Build. Mater. 2007, 21, 865–872. [Google Scholar] [CrossRef]
- Åkesson, U.; Stigh, J.; Lindqvist, J.E.; Göransson, M. The Influence of Foliation on the Fragility of Granitic Rocks, Image Analysis and Quantitative Microscopy. Eng. Geol. 2003, 68, 275–288. [Google Scholar] [CrossRef]
- Pang, L.; Wu, S.; Zhu, J.; Wan, L. Relationship between Petrographical and Physical Properties of Aggregates. J. Wuhan Univ. Technol.-Mater. Sci. 2010, 25, 678–681. [Google Scholar] [CrossRef]
- Coutinho, Y.; Montefalco, L.; Carneiro, A. Influence of Aggregate Crushing on the Results of Accelerated Alkali-Silica Reactivity Tests. Constr. Build. Mater. 2022, 325, 126737. [Google Scholar] [CrossRef]
- Valduga, L. Influence of Procedure Conditions of ASTM C 1260 in the Verification of Alkali-Aggregate Reation. Ph.D. Thesis, Universidade Federal do Rio Grande do Sul, Porto Alegre, Brazil, 2007. (In Portuguese). [Google Scholar]
- Qinghan, B.; Xuequan, W.; Mingshu, T.; Nishibayashi, S.; Kuroda, T.; Tiecheng, W. Effect of Reactive Aggregate Powder on Suppressing Expansion Due to Alkali-Silica Reaction. In Proceedings of the 10th International Conference on AAR in Concrete, Melbourne, Australia, 18–23 August 1996; pp. 546–553. [Google Scholar]
- Leemann, A.; Holzer, L. Alkali-Aggregate Reaction-Identifying Reactive Silicates in Complex Aggregates by ESEM Observation of Dissolution Features. Cem. Concr. Compos. 2005, 27, 796–801. [Google Scholar] [CrossRef]
- Wang, Y.; Yu, G.; Deng, M.; Tang, M.; Lu, D. The Use of Thermodynamic Analysis in Assessing Alkali Contribution by Alkaline Minerals in Concrete. Cem. Concr. Compos. 2008, 30, 353–359. [Google Scholar] [CrossRef]
- Soares, D.; Silva, A.S.; Mirão, J.; Fernandes, I.; Menéndez, E. Study on the Factors Affecting Alkalis Release from Aggregates into ASR. In Proceedings of the 15th Conference on Alkali-Aggregate Reaction in Concrete, São Paulo, Brazil, 3–7 July 2016; Hasparyk, N.P., Bernardes, H.M., Eds.; São Paulo, Brazil, 2016. [Google Scholar]
- Ferraz, A.R.; Fernandes, I.; Soares, D.; Silva, A.S.; Quinta-Ferreira, M. Assessment of the Alteration of Granitic Rocks and Its Influence on Alkalis Release. IOP Conf. Ser. Earth Environ. Sci. 2017, 95, 022001. [Google Scholar] [CrossRef]
- Berubé, M.A.; Duchesne, J.; Dorion, J.F.; Rivest, M. Laboratory Assessment of Alkali Contribution by Aggregates to Concrete and Application to Concrete Structures Affected by Alkali—Silica Reactivity. Cem. Concr. Res. 2002, 32, 1215–1227. [Google Scholar] [CrossRef]
- Hou, X.; Struble, L.J.; Kirkpatrick, R.J. Formation of ASR Gel and the Roles of C-S-H and Portlandite. Cem. Concr. Res. 2004, 34, 1683–1696. [Google Scholar] [CrossRef]
- Thomas, M. The Effect of Supplementary Cementing Materials on Alkali-Silica Reaction: A Review. Cem. Concr. Res. 2011, 41, 1224–1231. [Google Scholar] [CrossRef]
- Taylor, H.F.W. Cement Chemistry, 2nd ed; Thomas Telford: London, UK, 1997; ISBN 0727725920. [Google Scholar]
- Dyer, T. Concrete Durability; 1°; CRC Press: Boca Raton, FL, USA, 2014; ISBN 9780203862117. [Google Scholar]
- Pedersen, B.M.; Wigum, B.J.; Lindgård, J. Influence of Aggregate Particle Size on The Alkali-Silica Reaction-A Literature Review. In Proceedings of the 15th International Conference on Alkali-Aggregate Reaction in Concrete, Sao Paulo, Brazil, 3–7 July 2016; Bernardes, H.M., Hasparyk, N., Eds.; São Paulo, Brazil, 2016. [Google Scholar]
- Boddy, A.M.; Hooton, R.D.; Thomas, M.D.A. The Effect of the Silica Content of Silica Fume on Its Ability to Control Alkali–Silica Reaction. Cem. Concr. Res. 2003, 33, 1263–1268. [Google Scholar] [CrossRef]
- Gudmundsson, G.; Olafsson, H. Alkali-Silica Reactions and Silica Fume: 20 Years of Experience in Iceland. Cem. Concr. Res. 1999, 29, 1289–1297. [Google Scholar] [CrossRef]
- Marusin, S.L.; Shotwell, L.B. Alkali-Silica Reaction in Concrete Caused by Densified Silica Fume Lumps: A Case Study. Cem. Concr. Aggreg. 2000, 20, 90–94. [Google Scholar] [CrossRef]
- Diamond, S. Alkali Silica Reactions-Some Paradoxes. Cem. Concr. Compos. 1997, 19, 391–401. [Google Scholar] [CrossRef]
- Stanton, T. Expansion of Concrete through Reaction between Cement and Aggregate. Proc. Am. Soc. Civil. Eng. 1940, 66, 1781–1811. [Google Scholar] [CrossRef]
- Vivian, H.E. Studies in Cement-Aggregate Reaction. XIX: The Effect on Mortar Expansion of the Particle Size of the Reactive Component in the Aggregate. Aust. J. Appl. Sci. 1951, 2, 488–494. [Google Scholar]
- Diamond, S.; Thaulow, N. A Study of Expansion Due to Alkali—Silica Reaction as Conditioned by the Grain Size of the Reactive Aggregate. Cem. Concr. Res. 1974, 4, 591–607. [Google Scholar] [CrossRef]
- Hobbs, D.W.; Gutteridge, W.A. Particle Size of Aggregate and Its Influence upon the Expansion Caused by the Alkali-Silica Reaction. Mag. Concr. Res. 1979, 31, 235–242. [Google Scholar] [CrossRef]
- Ramyar, K.; Topal, A.; Andiç, Ö. Effects of Aggregate Size and Angularity on Alkali–Silica Reaction. Cem. Concr. Res. 2005, 35, 2165–2169. [Google Scholar] [CrossRef]
- Qiu, X.; Chen, J.; Ye, G.; De Schutter, G. Insights in the Chemical Fundamentals of ASR and the Role of Calcium in the Early Stage Based on a 3D Reactive Transport Model. Cem. Concr. Res. 2022, 157, 106778. [Google Scholar] [CrossRef]
- Kuo, W.T.; Shu, C.Y. Effect of Particle Size and Curing Temperature on Expansion Reaction in Electric Arc Furnace Oxidizing Slag Aggregate Concrete. Constr. Build. Mater. 2015, 94, 488–493. [Google Scholar] [CrossRef]
- Sekrane, N.Z.; Asroun, A. Modelling the Effects of Aggregate Size on Alkali Aggregate Reaction Expansion. Technol. Appl. Sci. Res. 2014, 4, 656–661. [Google Scholar] [CrossRef]
- Zhang, X.; Gravest, G.W. The Alkali-Silica Reaction in OPe/Silica Glass Mortar with Particular Reference to Pessimum Effects. Adv. Cem. Res. 1990, 3, 9–13. [Google Scholar] [CrossRef]
- Suwito, A.; Jin, W.; Xi, Y.; Meyer, C. A Mathematical Model for the Pessimum Size Effect of ASR in Concrete. Concr. Sci. Eng. 2002, 4, 23–34. [Google Scholar]
- Goltermann, P. Mechanical Predictions of Concrete Deterioration-Part 2: Classification of Crack Patterns. ACI Mater. J. 1995, 92, 58–62. [Google Scholar]
- Bažant, Z.P.; Zi, G.; Meyer, C. Fracture Mechanics of ASR in Concretes with Waste Glass Particles of Different Sizes. J. Eng. Mech. 2000, 126, 226–232. [Google Scholar] [CrossRef]
- Bektas, F.; Turanli, L.; Topal, T.; Goncuoglu, M.C. Alkali Reactivity of Mortars Containing Chert and Incorporating Moderate-Calcium Fly Ash. Cem. Concr. Res. 2004, 34, 2209–2214. [Google Scholar] [CrossRef]
- Leemann, A.; Lothenbach, B. The Influence of Potassium–Sodium Ratio in Cement on Concrete Expansion Due to Alkali-Aggregate Reaction. Cem. Concr. Res. 2008, 38, 1162–1168. [Google Scholar] [CrossRef]
- Komba, J.; Mgangira, M.B.; Mohale, L. Investigation of the Effects of the Type of Crusher on Coarse Aggregate Shape Properties Using the Three-Dimensional Laser Scanning Technique. In Proceedings of the Geo-China: New Frontiers in Civil Infrastructure, Shandong, China, 25–27 July 2016; pp. 125–132. [Google Scholar]
- Braga, J.A.; Zanella, M.R.; Zaleski, J.M.; Andriolo, F.R. Use of Rolled Concrete-Capanda Project-Angola-Special Tests. In Proceedings of the XIX Seminário Nacional de Grandes Barragens, Aracaju, Brazil, 1991; pp. 353–385. [Google Scholar]
- Alves, E.F.R.; Carmo, J.B.M.; Santos, M.C.; Traboulsi, M.A. Comparative Study on the Expansion of Molded Concrete and Mortar. In Proceedings of the Simpósio Sobre Reatividade Álcali-Agregado em Estruturas de Concreto, Goiânia, Brazil, 1997. [Google Scholar]
- Mohammadi, A.; Ghiasvand, E.; Nili, M. Relation between Mechanical Properties of Concrete and Alkali-Silica Reaction (ASR); A Review. Constr. Build. Mater. 2020, 258, 119567. [Google Scholar] [CrossRef]
- Shao, Y.; Lefort, T.; Moras, S.; Rodriguez, D. Studies on Concrete Containing Ground Waste Glass. Cem. Concr. Res. 2000, 30, 91–100. [Google Scholar] [CrossRef]
- Zhang, C.; Wang, A.; Tang, M.; Wu, B.; Zhang, N. Influence of Aggregate Size and Aggregate Size Grading on ASR Expansion. Cem. Concr. Res. 1999, 29, 1393–1396. [Google Scholar] [CrossRef]
- Shafaatian, S.M.H.; Akhavan, A.; Maraghechi, H.; Rajabipour, F. How Does Fly Ash Mitigate Alkali-Silica Reaction (ASR) in Accelerated Mortar Bar Test (ASTM C1567)? Cem. Concr. Compos. 2013, 37, 143–153. [Google Scholar] [CrossRef]
- Shayan, A. The “Pessimum” Effect in an Accelerated Mortar Bar Test Using 1M NaOH Solution at 80 °C. Cem. Concr. Compos. 1992, 14, 249–255. [Google Scholar] [CrossRef]
Disclaimer/Publisher’s Note: The statements, opinions and data contained in all publications are solely those of the individual author(s) and contributor(s) and not of MDPI and/or the editor(s). MDPI and/or the editor(s) disclaim responsibility for any injury to people or property resulting from any ideas, methods, instructions or products referred to in the content. |
© 2025 by the authors. Licensee MDPI, Basel, Switzerland. This article is an open access article distributed under the terms and conditions of the Creative Commons Attribution (CC BY) license (https://creativecommons.org/licenses/by/4.0/).












