Abstract
To improve the engineering properties of red clay, sodium polyacrylate (PAAS) and locust bean gum (LBG) were used as modifiers, either singly or in combination. The modified soils were subjected to variable head permeability tests, triaxial compression tests, and scanning electron microscopy (SEM) tests to analyze the effects of different modifiers on the permeability and shear strength of the red clay and systematically explore the modification mechanism. The results showed that both PAAS and LBG significantly reduced the permeability of the red clay, with PAAS having a more pronounced effect. This mechanism is attributed to PAAS swelling upon water absorption, forming a hydrogel network that fills micropores and forms ionic bonds with clay particles. LBG, on the other hand, encapsulates the particles in a highly viscous colloid, enhancing their aggregation. Regarding shear strength, both PAAS and LBG improved soil cohesion, with PAAS exhibiting a superior combined improvement in cohesion and internal friction angle compared to LBG. The PAAS-LBG composite modification exhibits a significant synergistic effect: PAAS forms a continuous hydrogel network as the primary skeletal structure of the soil, while LBG supplements the pores and increases bonding, resulting in a denser soil structure. Microscopic analysis further confirms that the PAAS-LBG composite modification significantly reduces porosity and enhances interparticle interlocking, thereby simultaneously improving both the impermeability and shear strength of the red clay. This research can provide a reference for sustainable development and red clay modification in red clay regions.
1. Introduction
Red clay is widely distributed in southwest China and is a regional soil [1,2]. It is formed by lateritization of parent rocks such as carbonate rock series, basalt, and granite. It exhibits high water content, high plasticity, and high porosity [3,4,5]. Red clay exhibits complex engineering properties and can cause engineering hazards such as foundation settlement and slope instability in engineering applications [6,7,8]. Therefore, a series of modification treatments is required to ensure that red clay meets practical engineering requirements.
At present, there are three main methods for modifying red clay: physical modification, microbial modification, and chemical modification [9]. Physical modification is to add materials such as fibers to the soil to improve the soil structure. For example, Jiang et al. [10] conducted a consolidated undrained (CU) triaxial compression test to study the effect of randomly distributed coconut shell fibers with different fiber contents on the deviatoric stress of red clay. They found that coconut shell fibers with random radial distribution can significantly increase the deviatoric stress of red clay, so they can be effectively utilized when the soil is mixed with fibers. Chen et al. [11] and Song et al. [12] found through laboratory experiments that lignin can significantly increase the cohesion and internal friction angle of red clay through physical reinforcement, but higher dosages can lead to particle separation and reduced strength. In addition, the addition of lignin fibers enhances the ductility of the soil matrix. The fibers interweave within the soil matrix, preventing the soil from shrinking and cracking under external forces and inhibiting the expansion of small cracks into larger cracks, which can lead to plastic deformation. Liu et al. [13] analyzed the effects of fiber content and fiber length on the shear strength of red clay and found that its shear strength increased with the increase in fiber content and fiber length. Microbial modification can be divided into microbial-induced calcium carbonate precipitation (MICP) and enzyme-induced calcium carbonate precipitation (EICP) [14]. For example, Alqaissi et al. [15] studied enzyme-induced calcite precipitation (EICP) as a method to improve the compressibility, plasticity, and strength of soft clay, which showed better performance in improving the geotechnical properties of soft clay. Zhang et al. [16] used volume shrinkage and suction tests under dry and wet loads to study the effect of cementing solution concentration on soil water holding capacity. The results showed that after EICP treatment, the drying shrinkage rate of the soil and its sensitivity to dry and wet conditions were significantly reduced, and the volume shrinkage curve showed a three-stage evolution trend. Xiao et al. [17] placed MICP-treated soft clay samples in a humidity-controlled environment for 28 days and then conducted unconfined compressive strength tests. They found that it is feasible to use MICP to improve the strength of soft clay. Chemical modification involves adding organic compounds, inorganic compounds, etc., to the soil for modification. Compared to the first two methods, chemical modification is simpler to operate and less susceptible to environmental impacts. Sodium polyacrylate (PAAS) and locust bean gum (LBG) are inorganic and organic compounds, respectively. Their environmentally friendly and pollution-free properties make their use as modifiers highly significant for sustainable development in practical projects. Similarly, recycled aggregate concrete (RAC), as a green building material, has also been proven to have significant sustainable value in the engineering field due to its resource recycling and environmental friendliness [18].
In recent years, research on the water retention behavior of fine-grained soils [19], the environmental response mechanisms of clay pore structure [20], and the fractal relationship between compressibility and pore size distribution [21] has continued to deepen, providing important insights into hydrogel network formation, colloidal interactions, and synergistic effects during soil modification. However, these cutting-edge findings have not been fully applied in red clay modification research, especially the lack of systematic discussion on the combined modification of PAAS and LBG. Some studies have shown that both PAAS and LBG have demonstrated promising results in soil improvement. For example, Salemi et al. [22] found that PAAS can improve the hydraulic conductivity and self-repairing ability of the clay anti-seepage layer during the dry–wet cycle and significantly increase and maintain the water retention capacity of the soil. Özbakan et al. [23,24] found that when PAAS is used to modify sand, it can significantly enhance the sand’s impermeability, shear strength, and other properties. Jeldres et al. [25] studied the stabilization effect of PAAS on synthetic clay-rich tailings in seawater by measuring yield stress, viscoelastic modulus, zeta potential, and particle chord length distribution. Zhang et al. [26] tried to apply LBG in loess consolidation and found that the uniaxial compressive strength and tensile strength of loess were improved, but with the increase in LBG content, the magnitude of strength improvement gradually decreased. Shen et al. [27] found that LBG can increase the liquid limit and plastic limit of organic soil, improve compressive strength and shear strength, and the effect of locust bean gum content on improving soil cohesion is more significant than the effect of improving the internal friction angle. In summary, PAAS and LBG showed good performance when modifying soil, but there is a lack of research on their use in modifying the engineering properties of red clay.
In this paper, Guilin red clay was taken as the research object. PAAS and LBG were added to the red clay in the form of single and combined additions, respectively. The effects of the modifiers on the permeability characteristics and shear strength of the red clay were analyzed through variable head permeability tests and triaxial compression tests. Combined with SEM tests, the modification mechanism was systematically explored in order to provide theoretical guidance and technical support for the sustainable development of engineering construction in red clay areas.
2. Experimental Materials and Methods
2.1. Experimental Materials
The red clay selected for this experiment was taken from a place in Yanshan District, Guilin City. It is reddish-brown in its natural state and belongs to secondary red clay, as shown in Figure 1a. According to the Standard for Geotechnical Test Methods (GB/T 50123-2019) [28], its basic physical properties were determined as follows: specific gravity of 2.76, maximum dry density of 1.62 g/cm3, optimum moisture content of 23.5%, liquid limit of 61.24%, and plastic limit of 33.21%, indicating that it is a high-liquid-limit red clay. The PAAS used in the experiment is industrial-grade PAAS, which is a colorless and odorless white powder with a pH of 7.6, a particle size of 250–400 mesh, and a structural formula of [-CH2-CH(COONa)-]n, as shown in Figure 1b. The LBG used in the experiment is industrial-grade LBG processed from Robinia pseudoacacia seeds. It is a white powder with a pH of 6.8, as shown in Figure 1c.
Figure 1.
Experimental materials: (a) red clay; (b) PAAS; (c) LBG.
2.2. Sample Preparation
According to the preliminary experimental results, the PAAS content (percentage of red clay mass) and FBG content (percentage of red clay mass) were set to 0%, 1%, 3%, and 5%; the sample moisture content was the optimal moisture content of 23.5%; and the dry density was 90% of the maximum dry density, i.e., 1.46 g/cm3. After red clay, PAAS, and LBG are mixed evenly, water is sprayed on them several times and stirred thoroughly until the soil sample is moistened to the target moisture content. The required specimens were tested using the static pressure method. The triaxial compression test used cylindrical specimens with a diameter of d = 39.1 mm and h = 80 mm, and the variable head penetration test used cylindrical specimens with a diameter of d = 61.8 mm and h = 40 mm. The prepared specimens were placed in a curing box and cured for 7 days (humidity = 95%, temperature = 25 °C). The experimental groups are shown in Table 1, where S represents red clay, P represents PAAS, and L represents LBG.
Table 1.
Fundamental physical properties of red clay.
2.3. Experimental Methods
2.3.1. Triaxial Compression Test
The TST-2 fully automatic triaxial (produced by Nanjing Soil Instrument Factory Co., Ltd., Nanjing, China) apparatus was used in this test, and its strain control rate accuracy was ≤±1%. After curing, the specimens were vacuum saturated for 48 h. The specimens were then placed in a fully TST-55 variable-head permeameter (produced by Nanjing Nantu Instrument Equipment Co., Ltd., Nanjing, China) and subjected to consolidated undrained (CU) triaxial compression tests at confining pressures of 100 kPa, 200 kPa, and 300 kPa, respectively, at a shear rate of 0.08 mm/min. The peak deviatoric stress of the stress–strain curve was defined as the failure point. If the curve lacked a peak, the deviatoric stress at an axial strain of 15% was used as the peak failure point. Testing was terminated when the axial strain reached 20%.
2.3.2. Variable Head Penetration Test
This test used a TST-55 variable-head permeameter (produced by Nanjing Nantu Instrument Equipment Co., Ltd., Nanjing, China). After curing, the specimen was vacuum-saturated for 48 h, then placed in the instrument’s sleeve and placed on the base. The water inlet was opened to allow for ventilation and drainage, and the specimen was allowed to stand for a while. The test began when water began to flow from the upper outlet. During the test, the starting head and start time were recorded, and the changes in head and time were measured at predetermined intervals. The water temperature at the beginning and end of the test was also recorded. Each test was set to run for 2 h, and the permeability coefficient was calculated according to Darcy’s law. Each group was performed five times, and the average value was calculated.
2.3.3. SEM Test
In this test, a tungsten filament scanning electron (produced by Beijing Zhongke Instrument Co., Ltd., Beijing, China) microscope was used for microstructural observation. The modified soil samples after triaxial compression testing were freeze-dried and then gently crushed with a small mallet, selecting representative fragments. These selected specimens were then gold-sprayed and placed under a SEM for observation and image acquisition. The magnification used for this scan was 1000×, and representative SEM images were selected for analysis.
3. Analysis of Experimental Results
3.1. Permeability Characteristics
The variation of the permeability coefficient of red clay with modifier content is shown in Figure 2. Specifically, the addition of both PAAS and LBG significantly reduced permeability, exhibiting a typical logarithmic decline: the permeability coefficient decreased significantly at low PAAS dosage levels, then gradually decreased with increasing PAAS dosage levels. For example, when the PAAS dosage increased from 1% to 5%, the permeability coefficient decreased by 85.67%, 96.91%, and 99.41%, respectively, demonstrating a pattern of initially sharp decline followed by a slow stabilization. Similarly, the permeability coefficient of LBG-modified soil also exhibited a logarithmic decline. When the LBG dosage increased from 1% to 5%, the permeability coefficient decreased by 68.78%, 83.59%, and 94.29%, respectively. This trend is consistent with similar studies on red clay modification [29]. This indicates that the modifier plays a significant role in the initial adjustment of the pore structure of red clay, while at high dosages, the pore filling tends to be saturated, and the rate of permeability decline slows down. PAAS can reduce the permeability of red clay more than LBG. When PAAS molecules come into contact with water in the soil, they swell [30], filling the pores in the soil and blocking the seepage channels. The -COO− groups of PAAS adsorb cations (such as Al3+) on the surface of clay particles, compressing the thickness of the double electric layer and reducing the micropores between particles. At the same time, it also forms a dense hydrophilic film covering the surface particles, reducing the pore connectivity. When LBG comes into contact with water in the soil, it dissolves into a high-viscosity colloid, increasing the water flow resistance, partially filling the pores, and slowing down the permeability. Therefore, its effect in reducing permeability is not as good as that of PAAS. PAAS combined with LBG is better than a single material in reducing the permeability of red clay. The permeability coefficient of 5% PAAS + 5% LBG-modified soil is 2.14 × 10−9 cm s−1, which is three orders of magnitude lower than that of plain red clay. PAAS combined with LBG has a synergistic effect in reducing the permeability of red clay. PAAS focuses on sealing micropores, while LBG assists PAAS in filling macropores in the soil and increasing viscous resistance. At the same time, the -COO− of PAAS and the -OH of LBG form hydrogen bonds to crosslink, which enhances the gel skeleton density, reduces the pore size, and further reduces the permeability.
Figure 2.
Permeability coefficient changes with modifier dosage.
3.2. Mechanical Properties
3.2.1. Failure Morphology
To investigate the effect of modifiers on the failure morphology of red clay, some specimens were taken after triaxial compression testing for observation. The failure morphology of the modified red clay is shown in Figure 3. Both the plain red clay specimen and all modified soil specimens exhibited swelling failure. The swelling region of specimen S was located in the middle of the specimen, while that of specimens L5 and P1L5 was located in the upper midsection. The swelling regions of specimens P5 and P5L1 were located at both ends, while that of specimen P5L5 was located at the upper end.
Figure 3.
Failure morphology of modified red clay.
3.2.2. Stress–Strain Curve
Figure 4 shows the stress–strain curves of red clay at different modifier dosages. The stress–strain curves of the different modified soils all exhibit the same trend and can be divided into three stages: compaction, elastic deformation, and plastic deformation. When the axial strain is between 0% and 0.5%, the curve increases slowly, indicating the compaction stage, where the sample gradually densifies under the external load. Subsequently, the deviatoric stress increases nearly linearly with increasing axial strain, marking the elastic deformation stage. An inflection point appears when the axial strain reaches 2% to 4%, marking the stress–strain curve’s entry into the plastic deformation stage. The rate of deviatoric stress growth slowly decreases with increasing axial strain, and the curve gradually flattens. The stress–strain curves of the different modified soils all exhibit strain hardening. Compared to the shear behavior models of organic soils or fine-grained soils, the modified soils in this study exhibit a more pronounced elastoplastic transition, with a relatively large proportion of the elastic phase, indicating that the modifier enhances the initial stiffness of the soil structure. The plastic phase exhibits strain hardening rather than significant strain softening, which differs from the early localized failure and strain softening common in highly viscous organic soils during shear [31]. This suggests that the modifier not only increases the soil’s bearing capacity but also alters its shear behavior, bringing it closer to the strain hardening characteristics of uniform elastoplastic materials.
Figure 4.
Stress–strain curves of red clay under different modifier addition amounts: (a) 100 kPa; (b) 200 kPa; (c) 300 kPa.
With the addition of PAAS, P3 exhibits the highest peak stress, while with the addition of LBG, L5 exhibits the highest peak stress. At all confining pressures, PAAS improves the stress–strain curve of red clay more effectively than LBG, with its peak stress significantly exceeding that of LBG. PAAS combined with LBG improved the stress–strain curve of red clay better than LBG alone. At 3% and 5% PAAS, the effect of LBG combined with PAAS at any dosage improved red clay better than PAAS alone. Among them, P5L5 had the highest peak stress.
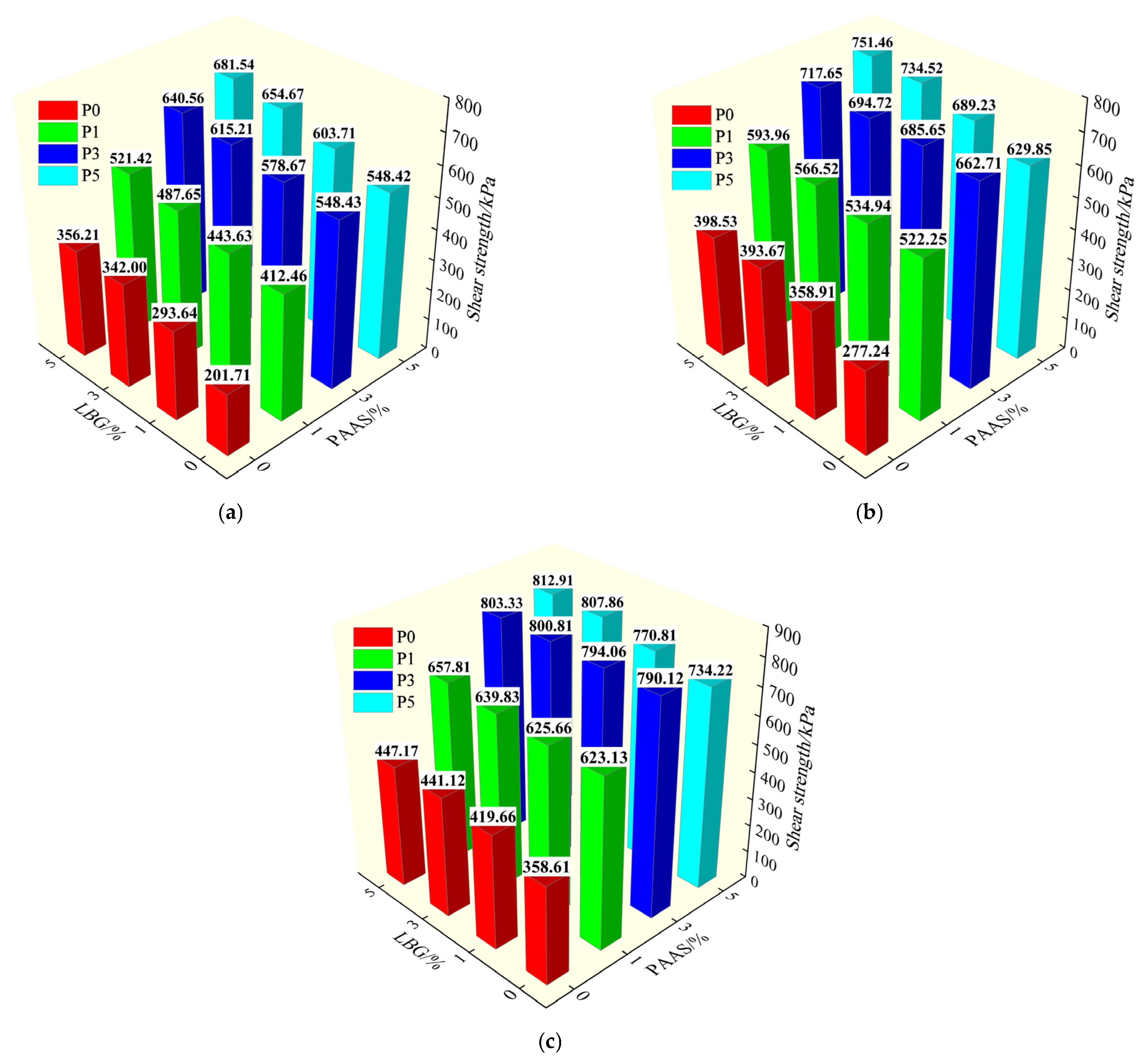
3.2.3. Shear Strength
In this paper, the peak deviatoric stress of the stress–strain curve is used as the shear strength of red clay. Figure 5 shows the variation of the shear strength of red clay with modifier content under various confining pressures. The shear strength of the modified soil gradually increases with increasing PAAS and LBG content. For example, at a confining pressure of 100 kPa, the shear strength of S is 201.71 kPa, while that of P5 is 548.42 kPa, an increase of 171.89%. The shear strength of L5 is 356.21%, an increase of 71.49%. This indicates that, at the same content, PAAS improves the shear strength of red clay more effectively. When PAAS is combined with LBG to improve red clay, the effect is even better than that of a single modifier. For example, at a confining pressure of 100 kPa, the shear strength of P3L1 is 578.67 kPa, an increase of 187.03% compared to S, making it more effective than P5 in improving the shear strength of red clay. However, the shear strength of P1L3 is 487.65 kPa, an increase of 141.76% compared to S. This is inferior to the P5-modified red clay in terms of strength but better than L5. This shows that PAAS- and LBG-modified red clay have a better synergistic effect in shear strength, with PAAS playing a leading role and LBG playing a supporting role.
Figure 5.
Variation of shear strength with modifier content under various confining pressures: (a) 100 kPa; (b) 200 kPa; (c) 300 kPa.
In order to further explore the mechanism of the modifier’s improvement of the shear strength of red clay, the Mohr stress circle was drawn based on the stress–strain curve, and the cohesion and internal friction angle of the modified red clay were calculated, as shown in Figure 6. The cohesion of S is 45.76 kPa, and the internal friction angle is 14.32°. When PAAS is used as a single modifier, as the PAAS dosage increases, the cohesion of the red clay gradually increases, and the internal friction angle first increases and then decreases. Among them, P5 has the largest cohesion, which is 158.40 kPa, and P3 has the largest internal friction angle, which is 16.82°. When the PAAS dosage increases, the -COO− groups on its molecular chain will undergo ionic bonding with the Al3+ and Fe3+ on the surface of the clay particles, forming a dense cementing network [9]. At the same time, when PAAS encounters water in the soil, it will expand and fill the pores [30]. The hydrogel formed will increase the bite force between the particles, thereby increasing the cohesion and internal friction angle of the soil. However, excessive PAAS will form a film to wrap the soil particles, thereby reducing the surface roughness of the particles and reducing the internal friction angle. When LBG is used as a single modifier, as the LBG content increases, the cohesion of the red clay gradually increases, while the internal friction angle gradually decreases. Among them, L5 has the largest cohesion and the smallest internal friction angle, which are 128.42 kPa and 10.77°, respectively. After adding LBG to the red clay, the hydroxyl groups (-OH) of LBG will wrap the clay particles through hydrogen bonding to form a cementing network. As the LBG content increases, the cementing network of the soil gradually becomes denser, the agglomeration effect is enhanced, and the bonding force between the particles increases. However, due to the hydrophilicity of LBG [32], the bound water model of the particles becomes thicker, the roughness between the particles is reduced, and the internal friction angle decreases. Comparing PAAS and LBG, the hydrogen bond strength of LBG is smaller than the ionic bond strength of PAAS. At the same time, PAAS can simultaneously improve the cohesion and internal friction angle of red clay at a certain content, while LBG can only improve the cohesion of red clay. Therefore, the effect of PAAS in improving the shear strength of red clay is better than that of LBG.
Figure 6.
Shear strength index changes with modifier dosage: (a) cohesion; (b) internal friction angle.
When PAAS is combined with LBG to improve red clay, PAAS plays a dominant role, while LBG plays a supporting role. At the same PAAS content, increasing LBG content leads to a gradual increase in cohesion and a decrease in the internal friction angle. At the same LBG content, increasing PAAS content also leads to a gradual increase in cohesion and a decrease in the internal friction angle. P5L5 exhibits the highest cohesion, reaching 239.71 kPa. This phenomenon is primarily due to the cementation products produced during the PAAS modification process, which strengthen the chemical bonds between soil particles, resulting in a tighter bond between particles and a significant increase in cohesion. Simultaneously, this strong cementation reduces the shear resistance provided by friction and interlocking between particles, leading to a downward trend in the internal friction angle. Therefore, the strength characteristics of the composite-modified soil are more controlled by chemical bonding rather than the dominant effect of pore structure redistribution.
A comparison of P3L1, P1L3, P5, and L3 reveals that the order of cohesion and internal friction is P3L1 > P5 > P1L3 > L5. When the PAAS content exceeds the LBG content, PAAS, due to its excellent water-swelling and bonding properties, dominates the formation of a continuous hydrogel network within the soil, effectively stabilizing the soil particle skeleton. LBG, on the other hand, primarily enhances overall compactness by filling pores and assisting bonding. Cohesion significantly increases with increasing PAAS content. However, the large amount of cement filling the pores weakens the frictional resistance between particles, resulting in a decrease in the internal friction angle. Overall, however, the negative impact of the internal friction angle is mitigated by the significant improvement in the cohesion of red clay caused by the PAAS-LBG combination. When the PAAS content is less than the LBG content, the LBG-dominated cementing network structure is less strong than the PAAS hydrogel network, limiting the increase in cohesion. Furthermore, the lubricating effect of LBG reduces the internal friction angle. Therefore, when compounding and modifying red clay, maintaining a higher PAAS content than LBG facilitates its dominant strengthening effect and achieves synergistic benefits between the modified materials.
3.3. Microstructural Characteristics
Figure 7 shows SEM images of soil modified with different materials. The microstructure of plain red clay is primarily composed of stacked, flaky particles. The particles are scattered and overlap, and intergranular pores are prominent, as shown in Figure 7a. After mixing with red clay, PAAS adheres to the soil particles. When exposed to water, the PAAS absorbs water and swells to form a hydrogel. The hydrogel fills the pores and connects the soil particles, forming a hydrogel network structure that connects the dispersed soil particles into a single entity, enhancing cohesion and making the soil structure denser [9], as shown in Figure 7b. When LBG is added to red clay, it encapsulates the soil particles, forming LBG-soil particle aggregates, improving the soil’s integrity. Within the aggregates, the negative charges of the clay minerals adsorb the cations of the LBG, increasing their cohesion. Simultaneously, locust bean gum effectively fills the pores between soil particles, increasing soil density, as shown in Figure 7c. When PAAS is combined with LBG to modify red clay, the PAAS hydrogel network serves as the main structure, connecting the soil particles, while the LBG and the LBG soil particle aggregates formed by LBG encapsulating the soil particles are responsible for filling the intergranular pores. The synergistic effect of PAAS and LBG densifies the soil structure, improves shear strength, and enhances impermeability.

Figure 7.
SEM images of soil modified with different materials: (a) S; (b) P5; (c) L5; (d) P3L1.
4. Discussion
Figure 8 illustrates the mechanism of soil modification using different materials. Plain red clay particles are relatively dispersed. When PAAS is added alone to red clay, it absorbs water and swells to form a hydrogel. The hydrogel fills the pores between soil particles, reducing the number of pores within the soil, diminishing the permeable structure, and lowering the permeability of the soil. Simultaneously, the hydrogel forms a hydrogel network that binds the dispersed soil particles together, enhancing the intergranular bite and improving cohesion. This creates a denser embedding between soil particles, resulting in a stable soil structure. Furthermore, because PAAS forms ionic bonds with the surface of clay particles, it also forms a dense hydrophilic film covering the surface particles, thereby hindering the passage of water molecules, reducing interparticle friction, and the internal friction angle. This effect is consistent with recent findings from microstructural studies [33]. Furthermore, the highly cohesive hydrogel network structure formed by PAAS significantly enhances the shear strength of the soil. Furthermore, when LBG is added alone to red clay, it coats the soil particles and promotes the formation of LBG-soil particle aggregates, thereby improving the integrity of the soil.
Figure 8.
Mechanism diagram of soil modified by different materials.
LBG also transforms into a highly viscous colloid that fills pores and binds soil particles together, thereby enhancing soil cohesion and reducing permeability. Furthermore, hydrogen bonds form between the surfaces of red clay particles and the hydroxyl groups in LBG, further enhancing the stability of LBG-soil particle aggregates. However, LBG’s hydrophilic nature means that when it adheres to soil particles, it thickens the bound water film and reduces interparticle roughness.
When PAAS and LBG are combined and incorporated into red clay, PAAS forms a stable and continuous hydrogel network structure due to water absorption and expansion, becoming the primary skeletal support system for the soil. Simultaneously, LBG, through its viscosity, wraps and binds fine soil particles, forming LBG-soil aggregates that effectively fill the inter-particle pores and voids. The PAAS hydrogel network provides high structural stability and overall cohesion, while the LBG aggregates further increase the packing density and inter-particle contact area. This dual mechanism significantly reduces the porosity of the red clay, tightens its internal structure, and strengthens the adhesion and inter-particle interlocking, significantly improving the soil’s shear strength. Furthermore, the dense structure and reduced seepage channels effectively enhance the soil’s impermeability, giving the modified red clay superior engineering properties in terms of load-bearing and durability.
5. Conclusions
In this study, PAAS and LBG were used for single and combined modification of red clay. The improvement effect of the modifiers on the impermeability and shear strength of red clay was analyzed by combining the variable head permeability test, triaxial compression test, and SEM electron microscopy test, and the modification mechanism was deeply explored. The following conclusions were drawn:
- (1)
- The addition of either PAAS or LBG alone effectively improved the impermeability of red clay, with PAAS having a more pronounced effect. The combined addition of PAAS and LBG to red clay exhibited a significant synergistic effect, significantly reducing the permeability of the soil structure by filling multi-scale pores and blocking seepage channels. This effect was superior to the addition of a single modifier;
- (2)
- After adding different modifiers, the failure mode of red clay is swelling failure, and the stress–strain curve shows a strain hardening type. The addition of modifiers significantly improved the shear strength of the red clay. Compared with single modifiers, PAAS improved shear strength more effectively than LBG. The combined modification of PAAS and LBG further enhanced the shear strength improvement, demonstrating even better mechanical properties;
- (3)
- PAAS relies primarily on its hydrogel network formed by water swelling and ionic bonding between -COO− groups and clay particle cations to enhance inter-particle cohesion and overall structural stability. LBG, on the other hand, primarily enhances adhesion through hydrogen bonding and the formation of LBG-soil particle aggregates with clay particles. However, its hydrophilicity reduces particle surface roughness, thereby decreasing the internal friction angle;
- (4)
- Under the combined modification conditions of PAAS and LBG, PAAS leads the formation of a continuous hydrogel network, providing high structural stability and cohesion. LBG helps improve density and integrity by filling pores and enhancing interparticle contact area. The synergistic effect of the two significantly optimizes the microstructure of the red clay, comprehensively enhancing its shear strength and impermeability.
Author Contributions
Conceptualization, B.Y. and Y.C.; methodology, Y.C. and K.H.; software, Z.X.; validation, Y.C. and B.Y.; formal analysis, H.Z. and Y.C.; investigation, Z.X.; resources, Y.C. and K.H.; data curation, Y.C. and Z.X.; writing—original draft preparation, K.H.; writing—review and editing, Y.C. and H.Z.; visualization, B.Y.; supervision, Y.C.; project administration, Y.C. and B.Y.; funding acquisition, B.Y. All authors have read and agreed to the published version of the manuscript.
Funding
This research was funded by the Guangxi Natural Science Foundation (grant number 2024GXNSFBA010011) and the National Natural Science Foundation of China (grant number 42067044).
Institutional Review Board Statement
Not applicable.
Informed Consent Statement
Not applicable.
Data Availability Statement
Data are contained within this paper.
Conflicts of Interest
The authors declare no conflicts of interest.
References
- Wesley, L.D. Cluster Hypothesis and the Shear Strength of a Tropical Red Clay. Geotechnique 1973, 23, 109–113. [Google Scholar] [CrossRef]
- Lyu, H.; Gu, J.; Li, W.; Liu, F.B. Analysis of Compressibility and Mechanical Behavior of Red Clay Considering Structural Strength. Arab. J. Geosci. 2020, 13, 411. [Google Scholar] [CrossRef]
- Gu, J.; Lyu, H.; Fan, L. Influence of Structural Strength on Geotechnical Properties of Intact Red Clay. Arab. J. Geosci. 2021, 14, 1921. [Google Scholar] [CrossRef]
- Zeng, L.; Yu, H.C.; Gao, Q.F.; Liu, J.; Liu, Z.H. Evolution of Tensile Properties of Compacted Red Clay under Wet and Dry Cycles. KSCE J. Civ. Eng. 2022, 26, 606–618. [Google Scholar] [CrossRef]
- Zhang, Y.Z.; Pu, S.Y.; Li, R.Y.M.; Zhang, J. Microscopic and Mechanical Properties of Undisturbed and Remoulded Red Clay from Guiyang, China. Sci. Rep. 2020, 10, 18003. [Google Scholar] [CrossRef] [PubMed]
- Wang, Y.W.; Li, K.Y.; Li, J.M.; Tang, S.B. Influence of soil particle size on the engineering properties and microstructure of a red clay. Appl. Sci. 2021, 11, 10887. [Google Scholar] [CrossRef]
- Qi, Y.L.; Bai, M.Z.; Zhou, H.; Shi, H.; Li, P.X.; He, B.H. Study on the Mechanical Properties of Red Clay under Drying-Wetting Cycles. Adv. Mater. Sci. Eng. 2021, 2021, 8665167. [Google Scholar] [CrossRef]
- Fu, J. Research on Improvement of Red Clay in a Highway Engineering. In Proceedings of the IOP Conference Series: Materials Science and Engineering, Chengdu, China, 13–15 December 2019; IOP Publishing: Bristol, UK, 2020; Volume 780, p. 042039. [Google Scholar]
- Wang, J.Q.; Liu, H.Z.; Lin, Z.N.; Tang, Y. Experimental study on engineering properties of red clay modified by sodium polyacrylate. Hydrogeol. Eng. Geol. 2024, 51, 110–117. [Google Scholar]
- Jiang, X.L.; Guo, J.H.; Yang, H.; Bao, S.F.; Wen, C.P.; Chen, J.Y. Study on Stress–Strain Relationship of Coir Fiber-Reinforced Red Clay Based on Duncan–Chang Model. Appl. Sci. 2022, 13, 556. [Google Scholar] [CrossRef]
- Chen, W.W.; Xie, Z.G.; Chen, J.G.; Hong, M.Y.; Wang, X.B.; Zhou, H.F.; Yang, B. Experimental Study on the Strength Characteristics of Modified Guilin Red Clay. Buildings 2025, 15, 2533. [Google Scholar] [CrossRef]
- Song, Y.; Chen, Y.L.; Cheng, J.C.; Liu, W.; Li, J.Q.; Zhang, J.W.; Zheng, J.J. Study on the physical properties of red clay cured by different external admixtures combined with enzyme induced carbonate precipitation technology. Carbonates Evaporites 2024, 39, 98. [Google Scholar] [CrossRef]
- Liu, J.; Li, X.; Li, G.; Zhang, J.L. Investigation of the mechanical behavior of polypropylene fiber-reinforced red clay. Appl. Sci. 2021, 11, 10521. [Google Scholar] [CrossRef]
- Li, J.; Zhu, F.Q.; Wu, F.S.; Chen, Y.X.; Richards, J.; Li, T.X.; Li, P.; Shang, D.J.; Yu, J.; Viles, H.; et al. Impact of soil density on biomineralization using EICP and MICP techniques for earthen sites consolidation. J. Environ. Manag. 2024, 363, 121410. [Google Scholar] [CrossRef] [PubMed]
- Alqaissi, Z.H.; Fattah, M.Y.; Ibrahim, M.A. Enhancement of Properties of Soft Clay via Enzymatically Induced Calcite Precipitation. Prog. Eng. Sci. 2025, 2, 100110. [Google Scholar] [CrossRef]
- Zhang, J.W.; Wang, P.K.; Dong, Y.; Zheng, J.J.; Song, Y.; Liu, H.L.; Zhang, M. Investigation of desiccation cracking of earthen site soils treated by enzyme-induced calcium carbonate precipitation (EICP). Biogeotechnics 2025, in press. [Google Scholar] [CrossRef]
- Xiao, J.Z.; Wei, Y.Q.; Cai, H.; Wang, Z.W.; Yang, T.; Wang, Q.H.; Wu, S.F. Microbial-Induced Carbonate Precipitation for Strengthening Soft Clay. Adv. Mater. Sci. Eng. 2020, 2020, 8140724. [Google Scholar] [CrossRef]
- Deng, Z.H.; Huang, H.Q.; Ye, B.L.; Xiang, P.; Li, C.Q. Mechanical performance of RAC under true-triaxial compression after high temperatures. J. Mater. Civ. Eng. 2020, 32, 04020194. [Google Scholar] [CrossRef]
- Su, Y.; Cui, Y.J.; Dupla, J.C.; Canou, J. Soil-water retention behaviour of fine/coarse soil mixture with varying coarse grain contents and fine soil dry densities. Can. Geotech. J. 2022, 59, 291–299. [Google Scholar] [CrossRef]
- Zheng, Y.H.; Baudet, B.A. Pore structure response of reconstituted kaolin and illite-smectite mixed-layer rich clay to 1D compression. Appl. Clay Sci. 2025, 276, 107892. [Google Scholar] [CrossRef]
- Zheng, Y.H.; Zhu, T.F.; Chen, J.Q.; Shan, K.; Li, J.R. Relationship Between Pore-Size Distribution and 1D Compressibility of Different Reconstituted Clays Based on Fractal Theory. Fractal Fract. 2025, 9, 235. [Google Scholar] [CrossRef]
- Salemi, N.; Abtahi, S.M.; Rowshanzamir, M.A.; Hejazi, S.M. Improving hydraulic performance and durability of sandwich clay liner using super-absorbent polymer. J. Sandw. Struct. Mater. 2019, 21, 1055–1071. [Google Scholar] [CrossRef]
- Özbakan, N.; Evirgen, B. An Effect of Sodium Polyacrylate on Sandy Soil Parameters and Its Use in Soil Improvement. In Proceedings of the 7th World Congress on Civil, Structural, and Environmental Engineering, Lisbon, Portugal, 10–12 April 2022. [Google Scholar]
- Özbakan, N.; Evirgen, B. The effect of sodium polyacrylate gel on the properties of liquefiable sandy soil under seismic condition. J. Eng. Res. 2023, 11, 100006. [Google Scholar] [CrossRef]
- Jeldres, M.; Robles, P.; Toledo, P.G.; Saldaña, M.; Quezada, L.; Jeldres, R.I. Improved dispersion of clay-rich tailings in seawater using sodium polyacrylate. Colloids Surf. A Physicochem. Eng. Asp. 2021, 612, 126015. [Google Scholar] [CrossRef]
- Zhang, J.L.; Hou, Y.W.; Jiang, T.; Yuan, K.K. Evaluation of the effects of Locust Bean Gum application on loess solidification and vegetation growth. Discov. Appl. Sci. 2025, 7, 557. [Google Scholar] [CrossRef]
- Shen, X.F.; Wang, L.N.; Yang, B.J.; Han, J.Y.; Zhang, L.X. Effect of locust bean gum biopolymer on mechanical properties of organic soil. Environ. Earth Sci. 2025, 84, 34. [Google Scholar] [CrossRef]
- GB/T 50123-2019; Geotechnical Test Method Standard. China Planning Publishing House: Beijing, China, 2019.
- Zhang, J.C.; Li, Y.N.; Zhang, C.W. Pounding induced overturning resistance of FPB-isolated structures considering soil-structure-interactions. Soil Dyn. Earthq. Eng. 2024, 177, 108416. [Google Scholar] [CrossRef]
- Sakiewicz, P.; Piotrowski, K.; Rajca, M.; Cieślak, S. Post-recycling sodium polyacrylate with nanostructural halloysite additive as the basic components of the new hybrid soil modifier—The circular economy rules for sap in agriculture. Resources 2024, 13, 75. [Google Scholar] [CrossRef]
- Zhang, L.; Yuan, X.C.; Luo, L.; Tian, Y.; Zeng, S.P. Seepage characteristics of broken carbonaceous shale under cyclic loading and unloading conditions. Energy Fuels 2023, 38, 1192–1203. [Google Scholar] [CrossRef]
- Chen, X.L.; Yang, T.; Cai, X.L.; Liu, Y.; Huang, C.Y.; He, J.S.; Tian, D.; Yang, G.; Shen, F.; Zhang, Y.Z. Eco-friendly hydrogel based on locust bean gum for water retaining in sandy soil. Int. J. Biol. Macromol. 2024, 275, 133490. [Google Scholar] [CrossRef]
- Dong, Z.T.; Tian, S.S.; Xue, H.T.; Lu, S.F.; Liu, S.F.; Liu, B.; Erastova, V.; Wu, M.; Wu, R.Y. Analysis of pore types in lower cretaceous Qingshankou shale influenced by electric heating. Energy Fuels 2024, 38, 20577–20590. [Google Scholar] [CrossRef]
Disclaimer/Publisher’s Note: The statements, opinions and data contained in all publications are solely those of the individual author(s) and contributor(s) and not of MDPI and/or the editor(s). MDPI and/or the editor(s) disclaim responsibility for any injury to people or property resulting from any ideas, methods, instructions or products referred to in the content. |
© 2025 by the authors. Licensee MDPI, Basel, Switzerland. This article is an open access article distributed under the terms and conditions of the Creative Commons Attribution (CC BY) license (https://creativecommons.org/licenses/by/4.0/).








