Abstract
Karst geology creates a complex environment with diverse landforms, blurred boundaries, and multi-factor interactions. This paper presents a new drilling pile installation method: drill to a set depth, clean the hole, insert prefabricated piles, and drive or vibrate them to the target elevation. It suits tough geological conditions well. Pile foundations bear both axial and lateral eccentric loads. To explore prestressed high-strength concrete (PHC) pile foundations under eccentric vertical loads in karst areas, on-site bearing capacity tests were conducted. The results show that as load eccentricity increases, PHC pile foundation-bearing capacity drops notably. A finite element model was developed to analyze the stress and strain behavior of PHC pile foundations under eccentric loading in complex geological conditions, aiming to assess their bearing capacity and stability. Key findings include: (1) Under constant external load, the maximum displacement of the PHC pile foundation increases with greater load eccentricity. (2) Enhanced concrete strength reduces the maximum displacement of the pile foundation, while the peak stress remains stable. (3) The height of karst caves has a minimal impact on the bearing capacity and deformation of PHC pile foundations. These results highlight the importance of considering load eccentricity, concrete strength, and cave height in optimizing the design of PHC pile foundations for safety in complex geological settings.
1. Introduction
China is a global leader in karst landscapes, characterized by extensive distribution and diverse types. Reinforced concrete pile foundations offer advantages such as high strength, corrosion resistance, large load capacity, and adaptability to various soil layers, making them ideal for karst regions [1,2]. With China’s Western Development strategy, numerous highway projects in mountainous areas will encounter complex karst terrains, posing challenges for bridge pile foundation construction. Studying the bearing characteristics of pile foundations, especially those traversing multi-layer karst, holds significant practical and engineering importance.
Many scholars have systematically studied the vertical bearing characteristics of pile foundations in karst development areas. Wang et al. [3] calculated the influence of the height and length of pile side holes on the vertical bearing capacity of pile foundations via numerical analysis. Chen et al. [4] studied the bearing characteristics and load transfer mechanisms of pile foundations crossing karst caves with different scales and layers via a centrifugal model test, and attributed the sensitivity of the vertical bearing capacity of pile foundations to three factors. Liu et al. [5] established a regression model of the load settlement relationship of pile foundations by using field static load test data. Compared with the numerical simulation results, they showed that the model can effectively predict the settlement of pile foundations. Su et al. [6] studied the influence of cave radius, cave vertical spacing, and cave height on the vertical bearing characteristics of pile foundations under the conditions of double-layer caves via a numerical simulation method. The results show that cave span affects the side friction of the whole upper, middle, and lower sections of pile foundations, and the vertical spacing of a cave has a great influence on the side friction of the middle section of a pile foundation. Ai et al. [7] used the finite element method to simulate the influence of rock thickness on the stress characteristics of bridge pile foundations in karst areas. From the simulation results, it can be seen that when rock thickness is thin, the upper load is borne by the pile end resistance. When the thickness of a rock layer is thick, the pile end resistance and the pile side friction bear the load together. Feng et al. [8] used a theoretical model to predict the bearing capacity of pile foundations under the influence of underlying karst caves. The results show that the theoretical model can predict the bearing capacity of pile foundations well. Jiang et al. [9] analyzed the calculation method of the bearing capacity of pile foundations under the action of underlying karst caves and put forward a new calculation method for roof thickness. Huang et al. [10] used the numerical modeling of pile foundations in karst areas of the Chongqing–Guizhou railway to analyze the vertical bearing characteristics of pile foundations crossing multi-layer karst caves and put forward two different shear failure modes of karst cave roofs. The thicknesses of rock strata and the span ratios of karst caves are different, and the failure modes of rock strata are different. The lateral friction resistances of pile foundations in karst caves are greatly attenuated. On the basis of the measured data, Horvath et al. [11] established a relationship between the pile side resistance and the saturated uniaxial compressive strength of rock. Carrubba et al. [12] carried out field tests to obtain the relationship between the pile side resistance and the uniaxial compressive strength of bedrock. Based on the modified Hoek–Brown strength criterion, Serrano et al. [13,14] proposed a calculation method for the ultimate bearing capacity of rock-socketed piles in soft and hard rocks and analyzed its bearing mechanism. Khan et al. [15] used a finite element model to simulate the pile–rock interface and analyzed the influence of the roughness of the pile–rock interface on the bearing capacity of pile foundations. Singh et al. [16] studied the bearing characteristics of rock-socketed piles under an inclined load via numerical simulation and analyzed the influence of rock-socketed depth and other factors on the bearing capacity of pile foundations. To sum up, although a large number of scholars have studied the influence of karst caves on bridge pile foundations, most of them consider the influence of a single karst cave [17,18]. In practical engineering, pile foundations need to cross multi-layer karst caves, and the design and calculation method of the bearing capacity of pile foundations crossing multi-layer karst caves is not given in the current code [19,20,21]. Table 1 lists a comparison of the research methods and results from previous literature. Although many scholars have conducted studies on the vertical bearing characteristics of pile foundations in karst areas, there has not been enough research on pile foundations under double-layer karst geology and multi-layer karst geology. In particular, the effects of external load, rock height, oblique load, and pile material on the vertical bearing characteristics of pile foundations under double-layer karst geology and multi-layer karst geology are still unclear, so further research is needed.
Table 1.
Comparison of the research method and results in the previous literature.
To investigate factors affecting the vertical bearing capacity of pile foundations in multi-layer karst conditions, field tests and finite element modeling built using Ansys Workbench 2021 R1 software were conducted. The model analyzed the impact of rock height, eccentricity, and elastic modulus on concrete pile foundations under increasing loads. This study combines experimental and numerical approaches to optimize design and construction parameters for multi-layer karst pile foundations in complex geological settings.
2. Engineering Geological Survey and Field Test Results
2.1. Engineering Geological Survey
The project is located on the east side of the intersection of the entrance and exit of the Dunan Expressway in Mashan County, Nanning City, Guangxi Province, and the provincial highway 20324 line. The site landform is a karst basin. The geological materials are shown in Figure 1. The numbers on the left in Figure 1 represent the height of the sections themselves, and the numbers on the right represent the height of the bottom of the sections from the ground. The first layer is backfill soil with a height of 3.8 m. The density of backfill soil is 1580 kg/m3, the cohesion is 1.78 × 104 Pa, and the internal friction angle is 30.2°. The second layer is broken limestone with a height of 0.6 m. The third layer is a karst cave with a height of 4.5 m. The fourth layer is broken limestone with a height of 2.4 m. The broken limestone has a density of 2700 kg/m3 and an elastic modulus of 3.2 × 109 Pa. The fifth layer is a karst cave with a height of 3.2 m. The sixth layer is relatively complete limestone. The height of the pile is 15 m, and the most complete limestone is 0.5 m. The complete limestone has a density of 2700 kg/m3 and an elastic modulus of 5 × 109 Pa.
Figure 1.
Geological materials and geometric parameters around pile foundation.
Pile foundations in karst geology are easily affected by various factors. This paper will mainly analyze the influence of different eccentricities, different diameters, and different elastic moduli on the bearing capacity of pile foundations. According to Section 5.3.5 of the “Technical code for building pile foundation”(JGJ94-2008) [20]:
where is the standard value of the ultimate lateral resistance of the first layer of soil on the pile side, and is the standard value of the ultimate end resistance.
The standard value, , of the vertical ultimate bearing capacity of a single pile with a pile diameter of 1.0 m is estimated. When a ZK05 drilling hole is selected, and the pile end enters the broken limestone layer of 2.00 m, the standard value, , of the vertical ultimate bearing capacity of a single pile can reach 8842.87 kN (the pile length is about 22.72 m). When a ZK19 borehole is selected, when the pile end enters the more complete limestone layer of 1.00 m, the standard value of the vertical ultimate bearing capacity of a single pile, , can reach 9132.47 kN (the pile length is about 16.10 m), of which the more broken limestone layer, , is 21.6 Mpa, and the more complete limestone layer, , is 51.9 Mpa.
2.2. Field Test Results
Figure 2a shows a picture of the process of pile foundation implantation, and Figure 2b shows a picture of the process of testing the bearing capacity of the pile foundation. In order to ensure the safety and stability of the test, the static load test of the implanted pile adopts the slow maintenance static load method, and the pressure platform is used as the reaction device. In the test, the load is applied in stages, and the load of each stage is 1/10 of the estimated maximum test load, allowing for a step-by-step evaluation of the bearing capacity of the reinforcement. After each load is applied, the settlement of the pile top is continuously monitored until the two consecutive readings are less than 0.1 mm within one hour, which is considered a stable state. The unloading process follows the principle of gradual equivalence, and the unloading amount of each stage is twice that of the graded load at the time of loading.
Figure 2.
Pictures of the test site. (a) Process of implanting pile, (b) static loading process of pile foundation.
In the static load test of the vertical reinforcement of the foundation pile, the maximum load value of the test is 3600 kN, which is close to the maximum strength of the pile body. The selected four test piles of 1#, 2#, 3#, and 4# all show good bearing performance, which is in line with the bearing capacity characteristics of the pile foundation in continuous and complete soil layers. Among them, 1#, 2#, 3#, and 4# represent the eccentricity of the external load of 0, 0.002, 0.01, and 0.015, respectively. As shown in Figure 3a, the Q-s curve shows a slow-varying characteristic, and no obvious starting point of a steep drop is observed. In the unloading stage, the rebound of the pile top under the last load is significant, which is 5.62 mm, 4.06 mm, 3.73 mm, and 4.09 mm, respectively, which shows the large elastic deformation ability of the reinforcement during the loading process. After analysis, the ultimate bearing capacity of the reinforced body was determined to be 3600 kN, which did not reach its failure state, indicating that the pile has a high safety reserve. Figure 3b shows the variation trend of the maximum settlement of the pile foundation with the eccentricity of the external load. It can be seen from the diagram that when the eccentricity of the external load is 0, 0.002, 0.01, and 0.015, the maximum settlement values of the pile foundation are 7.05 mm, 7.44 mm, 8.53 mm, and 9.30 mm, respectively. Correspondingly, compared with the vertical loading, when the eccentricity of the external load becomes 0.002, 0.01, and 0.015, the maximum settlement of the pile foundation increases by 5.5%, 20.9%, and 31.9%, respectively. It can be found that as the eccentricity of the external load increases, the maximum displacement of the pile foundation increases significantly. In order to further explore the influence of external load eccentricity on the bearing capacity of pile foundations. When the settlement of the pile foundation is 6 mm, the corresponding external load is analyzed. As shown in Figure 3c, when the settlement of the pile foundation is 4.5 mm, the external loads corresponding to the 1#, 2#, 3#, and 4# pile foundations are 2880 kN, 2696 kN, 1980 kN, and 1780 kN, respectively. In other words, when the eccentricity of the external load is 0.002, 0.01, and 0.015, the bearing capacity of the pile foundation is reduced by 6.39%, 31.25%, and 38.19%, respectively, under the same settlement.
Figure 3.
(a) Static load Q-s curve, (b) maximum settlement and increasing rate vs. eccentricity ratio, and (c) bearing capacity and decreasing rate vs. eccentricity ratio of PHC500AB125 (the eccentricity ratio is defined as the ratio of the eccentricity distance of the external load to the length of the pile foundation).
3. Working Condition Setting
In this paper, the design bearing capacity of the AB-type pile with an outer diameter of 500 mm and a wall thickness of 125 mm is 3701 kN. Therefore, three different working conditions are established for these three factors:
Condition 1: The AB (a kind of prestressed concrete hollow pipe pile) type punched cast-in-place pile with an outer diameter of 500 mm and a wall thickness of 125 mm is used to design the loading steps. The initial loading value is 2000 kN, the loading step is 500 kN, and the ultimate loading value is 5000 kN. The maximum displacement of the pile and the change in the maximum stress are studied under different eccentricity conditions. (1) The stress and strain of the same eccentricity and the same force are loaded. (2) Under the same force, the stress and strain change under different eccentricity conditions.
Condition 2: Using a 500 mm AB-type punching pile, under the loading condition of working condition 1, the Young’s modulus of the pile foundation material is changed, and the displacement and stress changes in concrete with different strengths under eccentricities of 0.005 and 0.01 are studied.
Condition 3: Change the height of the fourth layer of broken limestone and use the AB-type punched cast-in-place pile with an outer diameter of 500 mm. The design value of the vertical bearing capacity of the pile body is 3701 kN, and the influence of the height of the karst cave on the bearing capacity of the pile foundation is studied.
4. Numerical Simulation
4.1. Finite Element Model
ANSYS has many advantages in simulating the bearing capacity of pile foundations in multi-layer karst caves. These advantages make ANSYS the preferred software in the engineering community when simulating complex geological conditions and pile foundation structures. Due to the special conditions of karst geology and most of the broken limestone around pile foundations, the stress mode of the pile used in this model is mainly the end force. The pile established by the finite element method has a 50 mm interval with the surrounding soil. The contact interaction between the pile body and surrounding limestone, soil layer, pile bottom, and underlying limestone is modeled as frictional contact, and the friction coefficient is 0 [7,8]. Using the method of surface contact in ANSYS Workbench 2021 R1 software, in general, the surface of the rigid part is used as the target surface, and the surface of the flexible part is used as the contact surface. The contact between the first layer of backfill soil and the second layer of broken limestone is set to bonded. Fixed constraints are set on the surfaces of soil and limestone and the bottom of the lowest limestone. Because the stiffness of the pile is much larger than that of the surrounding rock and soil, the pile is modeled as a linear elastic material, and the surrounding soil is set to be the ideal elastic–plastic model, and the Drucker–Prager model is used to reflect its elastic–plastic characteristics. Due to the small influence on the soil outside a certain range, soil with a diameter of 10 times the pile body is taken from a depth of 2.5 m under the pile body to establish the finite element model. The finite element model is shown in Figure 4, and the required material parameters are shown in Table 2. These material parameters are obtained through tests in the field of experimental testing.
Figure 4.
Finite element model.
Table 2.
Material parameters used in numerical simulation.
4.2. Numerical Simulation Results Analysis
According to the above three specific conditions, three different numerical simulations of parameter analysis are established. The influence of these three factors on the displacement and stress of pile foundations is reflected by changing the eccentric distance, Young’s modulus, and pile diameter. This paper mainly discusses several kinds of eccentricity, as shown in the following Table 3.
Table 3.
Eccentricity and eccentricity distance.
4.2.1. Effect of Eccentricity on Pile Deformation and Bearing Capacity
In order to verify the accuracy of ANSYS finite element calculation results, the results obtained by experimental tests and numerical simulations of pile foundations are compared. Figure 5 shows the settlement results of the experimental test and numerical simulation. It can be seen from the figure that the calculation results of the experimental test and numerical simulation are basically consistent, thus verifying the accuracy of the finite element model used in this paper.
Figure 5.
The settlement of pile foundation with eccentricity of 0.015: experimental test and finite element simulation.
Figure 6 and Figure 7 show the maximum displacement and the displacement contours of pile foundations under different eccentricities and different loadings, respectively. It can be seen from the figure that when the eccentricity is determined, the maximum displacement of pile foundations increases with an increase in loading. Taking an eccentricity of 0.001 as an example, when the external load is divided into 2000 kN, 2500 kN, 3000 kN, 3500 kN, 4000 kN, 4500 kN, and 5000 kN, the maximum displacement of the pile foundation is 4.30 mm, 5.29 mm, 6.27 mm, 7.26 mm, 8.24 mm, 9.21 mm, and 10.17 mm, respectively. Taking the eccentricity of 0.02 as an example, when the external load is divided into 2000 kN, 2500 kN, 3000 kN, 3500 kN, 4000 kN, 4500 kN, and 5000 kN, the maximum displacement of the pile foundation is 5.94 mm, 7.32 mm, 8.70 mm, 10.07 mm, 11.42 mm, 12.76 mm, and 14.10 mm, respectively. From the above data, it can be seen that the increase in the rate of the maximum displacement of the pile foundation increases with an increase in the eccentricity. The above variation law is consistent with the variation law of the field-measured data in Section 2. When the external load is determined, the maximum displacement of the pile foundation increases with an increase in the eccentricity. Taking an external load of 2000 kN as an example, when the eccentricity is 0.001, 0.002, 0.005, 0.01, 0.015, and 0.02, the maximum displacement of the pile foundation is 4.30 mm, 4.33 mm, 4.41 mm, 4.99 mm, 5.45 mm, and 5.94 mm, respectively. Taking an external load of 5000 kN as an example, when the eccentricity is 0.001, 0.002, 0.005, 0.01, 0.015, and 0.02, the maximum displacement of the pile foundation is 10.17 mm, 10.24 mm, 10.47 mm, 11.77 mm, 12.91 mm, and 14.10 mm, respectively. When the eccentricity is determined, the maximum displacement of the pile foundation increases with the increase in the external load. The reason for the above phenomenon is that when the eccentricity increases, the bending moment generated by the load on the pile foundation will also increase. The bending moment is the couple moment that causes the structure to bend and deform, which will cause the pile foundation to bend and deform more significantly under the action of load. Secondly, a pile foundation usually consists of the pile body and the pile end, which jointly bear the load of the superstructure. When the eccentricity increases, the bending moment of the pile body increases, and the bending deformation of the pile body increases accordingly. This bending deformation causes greater deflection of the pile body, i.e., the displacement of the top of the pile relative to the bottom of the pile increases.
Figure 6.
The maximum displacement of pile foundations under different eccentricities and different loading forces.
Figure 7.
The displacement contour of pile foundation under different eccentricities and different loading forces. (a) Eccentricity of 0.001, external load of 2000 kN; (b) eccentricity of 0.001, external load of 5000 kN; (c) eccentricity of 0.02, external load of 2000 kN; (d) eccentricity of 0.02, external load of 5000 kN.
Figure 8 and Figure 9 show the maximum stress and the stress contour of pile foundations under different eccentricities and different loadings, respectively. It can be seen from the figure that when the eccentricity is determined, the maximum stress of pile foundations increases with an increase in the loading. Taking an eccentricity of 0.001 as an example, when the external load is divided into 2000 kN, 2500 kN, 3000 kN, 3500 kN, 4000 kN, 4500 kN, and 5000 kN, the maximum displacement of the pile foundation is 15.10 MPa, 18.84 MPa, 22.59 MPa, 26.34 MPa, 30.09 MPa, 33.84 MPa, and 37.60 MPa. Taking an eccentricity of 0.02 as an example, when the external load is divided into 2000 kN, 2500 kN, 3000 kN, 3500 kN, 4000 kN, 4500 kN, and 5000 kN, the maximum stress of the pile foundation is 17.37 MPa, 21.69 MPa, 26.05 MPa, 30.44 MPa, 34.85 MPa, 39.27 Mpa, and 43.70 MPa, respectively. From the above data, it can be seen that the rate of the increase in the maximum stress of the pile foundation increases with an increase in the eccentricity. When the external load is determined, the maximum stress of the pile foundation increases with an increase in the eccentricity. Taking an external load of 2000 kN as an example, when the eccentricity is 0.001, 0.002, 0.005, 0.01, 0.015, and 0.02, the maximum stress of the pile foundation is 15.10 MPa, 15.11 MPa, 15.29 MPa, 15.79 MPa, 16.65 MPa, and 17.37 MPa, respectively. Taking an external load of 5000 kN as an example, when the eccentricity is 0.001, 0.002, 0.005, 0.01, 0.015, and 0.02, the maximum stress of the pile foundation is 37.61 MPa, 37.58 MPa, 38.02 MPa, 39.83 MPa, 42.03 MPa, and 43.699 MPa, respectively. When the eccentricity is determined, the maximum stress of pile foundations increases with an increase in the external load. The reason for the above phenomenon is that when the external load acts on the structure, the structure will produce corresponding deformation. As a bearing structure of a pile foundation, there is a direct relationship between its displacement and load. When the eccentricity of the load is fixed, the bending moment and shear force of the pile foundation will increase correspondingly with the increase in the external load, which leads to the increase in the deformation of the pile foundation, i.e., the maximum displacement.
Figure 8.
The maximum stress of pile foundations under different eccentricities and different loading forces.
Figure 9.
The stress contour of pile foundation under different eccentricities and different loading forces. (a) Eccentricity of 0.001, external load of 2000 kN. (b) Eccentricity of 0.001, external load of 5000 kN. (c) Eccentricity of 0.02, external load of 2000 kN. (d) Eccentricity of 0.02, external load of 5000 kN.
In order to study the performance of pile foundation under the design value of its vertical bearing capacity, the AB-type prestressed concrete pipe pile with an outer diameter of 500 mm and a wall thickness of 125 mm is taken as an example, and the displacement and stress under the design bearing capacity are calculated. The variation law of eccentricity is shown in Figure 10 and Figure 11. From the diagrams, it can be seen that the maximum displacement of pile foundations increases with an increase in the eccentricity, and the slope of the change curve also increases; i.e., the rate of the increase in maximum displacement also increases with the increase in the eccentricity. When the eccentricity is 0.001, 0.002, 0.005, 0.01, 0.15, and 0.02, the maximum displacements at the design load are 7.64 mm, 7.70 mm, 7.83 mm, 8.78 mm, 9.62 mm, and 10.51 mm, respectively. At the same time, the stress of the pile foundation also increases with the increase in the eccentricity, and the slope of the change curve also increases; that is, the increase rate of the stress also increases with the increase in the eccentricity. When the eccentricity is 0.001, 0.002, 0.005, 0.01, 0.15, and 0.02, the stress at the design load is 27.83 MPa, 27.84 MPa, 28.15 MPa, 29.26 MPa, 30.95 MPa, and 32.21 MPa, respectively. The variation in displacement and stress with eccentricity is consistent with the law observed in Figure 6 and Figure 8. The reason for the above phenomenon is that there is a 50 mm interval between the pile body and the soil boundary. The reason for the above phenomenon is that when the eccentricity is small, the bottom rock embedded in the pile foundation resists the external force, and its deformation does not contact the surrounding soil. When the eccentricity is large, the pile foundation bears a large lateral load, which will contact the surrounding soil, resulting in the above change law.
Figure 10.
The variation law of pile foundation displacement with eccentricity under design load.
Figure 11.
The variation law of pile foundation stress with eccentricity under design load.
4.2.2. Effect of Elastic Modulus on Pile Deformation and Bearing Capacity
In order to study the influence of the elastic modulus of pile foundations’ own material on the deformation and bearing capacity of pile foundations, this section keeps the geometric size of pile foundations unchanged, the external loading method unchanged, and the eccentricity unchanged, and only modifies the elastic modulus of pile foundations’ own material. The elastic modulus parameters of the pile foundation materials considered in this paper are shown in Table 4.
Table 4.
Concrete strength grade table for pile foundations.
According to previous research, the displacement and bearing capacity of pile foundations increase with an increase in eccentricity. In order to better explore the influence of the elastic modulus of pile foundation materials, two cases of eccentricity of 0.005 and 0.01 are selected for analysis.
Figure 12 shows the variation in the maximum displacement of pile foundations with the material properties of pile foundations themselves under different loading conditions when the eccentricity is 0.005. It can be seen from the figure that when the pile foundation material is determined, the maximum displacement of the pile foundation increases with an increase in loading. Taking pile foundation material C30 as an example, when the external load is divided into 2000 kN, 2500 kN, 3000 kN, 3500 kN, 4000 kN, 4500 kN, and 5000 kN. The maximum displacement of the pile foundation is 4.42 mm, 5.44 mm, 6.45 mm, 7.47 mm, 8.47 mm, 9.47 mm, and 10.47 mm, respectively. Taking pile foundation material C55 as an example, when the external load is divided into 2000 kN, 2500 kN, 3000 kN, 3500 kN, 4000 kN, 4500 kN, and 5000 kN, the maximum displacements of the pile foundation are 3.96 mm, 4.83 mm, 5.74 mm, 6.63 mm, 7.53 mm, 8.41 mm, and 9.30 mm, respectively. Through the above data, it can be seen that the rate of the increase in the maximum displacement of pile foundations decreases with an increase in the elastic modulus of the pile foundation material. When the external load is determined, the maximum displacement of pile foundations decreases with an increase in the elastic modulus of the pile foundation material. Taking an external load of 2000 kN as an example, when the pile foundation materials are C30, C35, C40, C45, C50, and C55, the maximum displacements of the pile foundation are 4.42 mm, 4.27 mm, 4.17 mm, 4.09 mm, 4.01 mm, and 3.96 mm, respectively. Taking an external load of 5000 kN as an example, when the pile foundation materials are C30, C35, C40, C45, C50, and C55, the maximum displacements of the pile foundation are 10.47 mm, 10.10 mm, 9.88 mm, 9.68 mm, 9.48 mm, and 9.30 mm, respectively. When the pile foundation material is determined, the maximum displacement of pile foundations decreases with the increase in the elastic modulus of the pile foundation material.
Figure 12.
The maximum displacement of pile foundations under different elastic moduli and different loading forces (the eccentricity is 0.005).
Figure 13 shows the variation in the maximum stress of pile foundations with the material properties of pile foundations themselves under different loading conditions when the eccentricity is 0.005. It can be seen from the figure that when the pile foundation material is determined, the maximum stress of pile foundations increases with the increase in loading. Taking the pile foundation material C30 as an example, when the external load is divided into 2000 kN, 2500 kN, 3000 kN, 3500 kN, 4000 kN, 4500 kN, and 5000 kN, the maximum stress of the pile foundation is 15.30 MPa, 19.10 MPa, 22.85 MPa, 26.64 MPa, 30.43 MPa, 34.23 MPa, and 38.03 MPa, respectively. Different from the change law of the maximum stress of pile foundations, when the external load is determined, the maximum stress of pile foundations remains basically unchanged with the increase in the elastic modulus of pile foundation material. Taking an external load of 2000 kN as an example, when the pile foundation materials are C30, C35, C40, C45, C50, and C55, the maximum stresses of the pile foundation are 15.30 MPa, 15.18 MPa, 15.17 MPa, 15.16 MPa, 15.15 MPa, and 15.14 MPa, respectively. Taking an external load of 5000 kN as an example, when the pile foundation materials are C30, C35, C40, C45, C50, and C55, the maximum stress of the pile foundation is 38.03 MPa, 37.75 MPa, 37.72 MPa, 37.70 MPa, 37.68 MPa, and 37.66 MPa, respectively. When the external load is determined, the maximum stress of pile foundations has little to do with the strength grade of the concrete and does not belong to the main influencing factor. The phenomenon described above occurs because when the geometric dimensions of the pile foundation remain constant, the primary factor influencing the stress it experiences is the external load applied to it. During the elastic deformation phase, the elastic modulus of the pile foundation material has a minimal impact on stress levels. It is important to note that deformation, which is a measure of how much an object changes in shape or size, is dependent on both the strain and the length of the material. Specifically, deformation is equal to the product of these two factors. Furthermore, when the stress remains constant, an increase in the material’s strength can lead to a reduction in its strain, which in turn decreases its deformation.
Figure 13.
The maximum stress of pile foundations under different elastic moduli and different loading forces (the eccentricity is 0.005).
Figure 14 and Figure 15 show the variation in the maximum displacement and the maximum stress of the pile foundation, respectively, with the material properties of pile foundations themselves under different loading conditions when the eccentricity is 0.01. Figure 16 and Figure 17 show the displacement contour and the stress contour of the pile foundation with the material properties of the pile foundation itself under different loading conditions when the eccentricity is 0.01, respectively. It is consistent with the change law of the maximum displacement and maximum stress of the pile foundation under step loading when the eccentricity is 0.005. When the eccentricity is 0.01, when the pile foundation material is determined, the maximum displacement of the pile foundation increases with an increase in loading. When the external load is determined, the maximum displacement of the pile foundation decreases with the increase in the elastic modulus of the pile foundation material. Different from the change law of the maximum stress of pile foundation, when the external load is determined, the maximum stress of pile foundation remains basically unchanged with an increase in the elastic modulus of pile foundation material. When the external load is determined, the maximum stress of the pile foundation is not related to the strength grade of the concrete, and it is not the main influencing factor.
Figure 14.
The maximum displacement of pile foundations under different elastic moduli and different loading forces (the eccentricity is 0.01).
Figure 15.
The maximum stress of pile foundations under different elastic moduli and different loading forces (the eccentricity is 0.01).
Figure 16.
The displacement contour of pile foundations under different elastic moduli and different loading forces (the eccentricity is 0.01). (a) C30, external load of 2000 kN. (b) C30, external load of 5000 kN. (c) C55, external load of 2000 kN. (d) C55, external load of 5000 kN.
Figure 17.
The stress contour of pile foundations under different elastic moduli and different loading forces (the eccentricity is 0.01). (a) C30, external load of 2000 kN. (b) C30, external load of 5000 kN. (c) C55, external load of 2000 kN. (d) C55, external load of 5000 kN.
In order to further understand the maximum displacement and maximum stress of a pile foundation under its design bearing capacity, the variation in the maximum displacement and the maximum stress with the elastic modulus of the pile foundation material is calculated under an eccentricity of 0.005 and 0.01, as shown in Figure 18 and Figure 19. It can be seen from Figure 14 that the maximum displacement of pile foundations under the design load decreases with an increase in the strength of the concrete material of the pile foundation, and when the eccentricity is 0.005 and 0.01, the decreasing trend in the maximum displacement is roughly the same as the decreasing speed. When the eccentricity is 0.005 and the pile foundation materials are C30, C35, C40, C45, C50, and C55, the maximum displacement of pile foundations is 7.87 mm, 7.60 mm, 7.43 mm, 7.28 mm, 7.13 mm, and 7.00 mm, respectively. When the eccentricity is 0.01 and the pile foundation materials are C30, C35, C40, C45, C50, and C55, the maximum displacement of the pile foundation is 8.65 mm, 8.39 mm, 8.22 mm, 8.07 mm, 7.92 mm, and 7.78 mm, respectively. It can be seen from Figure 15 that the maximum stress of pile foundations under the design load basically remains unchanged with the increase in the strength of the concrete material of the pile foundation, When the eccentricity is 0.005 and the pile foundation materials are C30, C35, C40, C45, C50, and C55, the maximum stress of pile foundations is 28.16 MPa, 27.94 MPa, 27.92 MPa, 27.91 MPa, 27.90 MPa, and 27.89 MPa, respectively. When the eccentricity is 0.01 and the pile foundation materials are C30, C35, C40, C45, C50, and C55, the maximum stress of the pile foundation is 28.70 MPa, 28.67 MPa, 28.65 MPa, 28.67 MPa, 28.69 MPa, and 28.70 MPa, respectively. The aforementioned phenomenon can be attributed to the fact that the strain within the pile foundation remains largely invariant when both the geometric size of the pile foundation and the external load are held constant. Specifically, under constant stress conditions, the strain exhibits a decreasing trend as the elastic modulus of the pile foundation material increases. Given that deformation is mathematically equivalent to the product of strain and pile length, the variation in deformation follows the same pattern as that of strain. Consequently, as the elastic modulus of the pile foundation material increases, the deformation of the pile foundation decreases accordingly.
Figure 18.
The variation law of pile foundation displacement with concrete grade under design load.
Figure 19.
The variation law of pile foundation stresses with concrete grade under design load.
4.2.3. Effect of Rock Height on Pile Deformation and Bearing Capacity
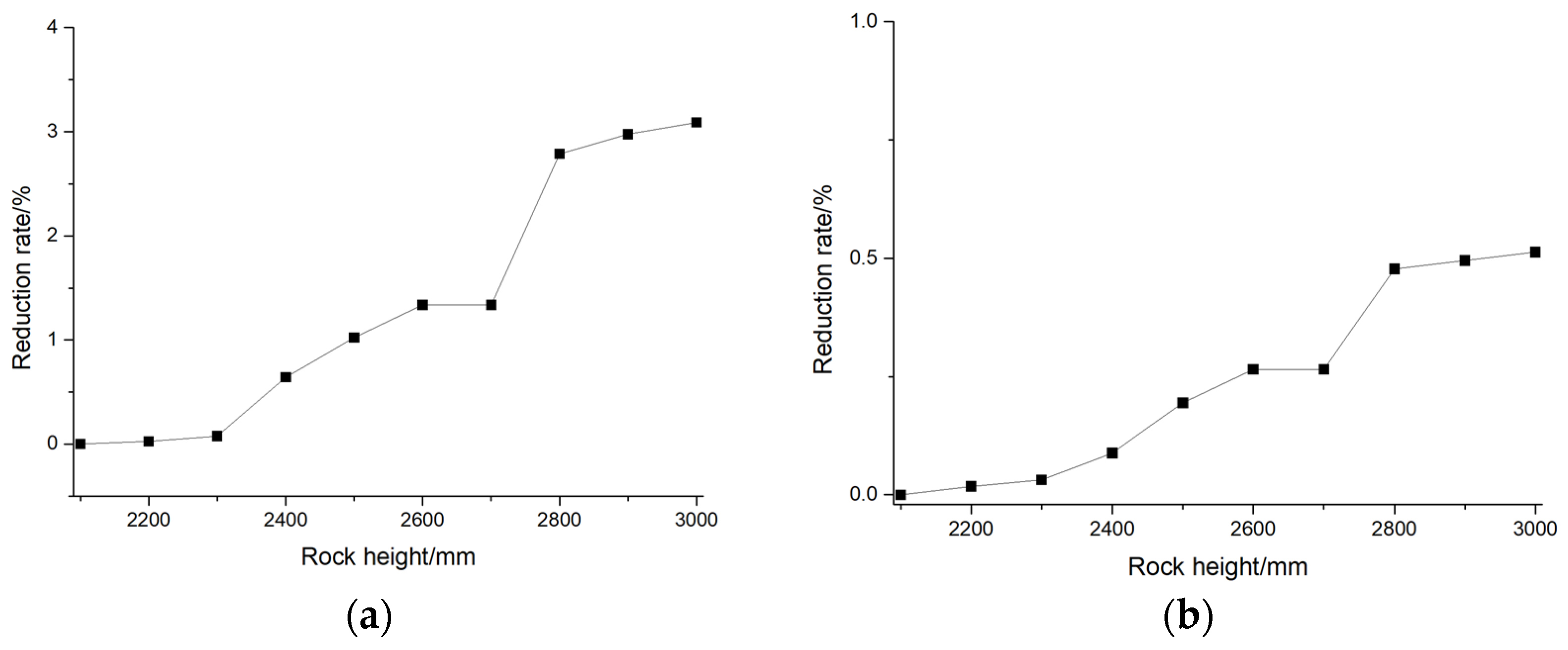
We aimed to study the influence of rock height on the deformation and bearing capacity of pile foundations. Under the condition of keeping the eccentricity constant and the pile foundation material unchanged, i.e., the load unchanged, only the height of the rock stratum was changed. Figure 20 shows the variation in the maximum displacement of pile foundations with the height of the rock stratum. It can be seen from the figure that the maximum displacement of pile foundations decreases with the increase in the height of the rock stratum. When the rock height increases from 2100 mm to 3000 mm, the maximum displacement decreases from 7.931 mm to 7.686 mm, and the reduction rate is 3.1%. Figure 21 shows the variation in the maximum stress of pile foundations with the height of the rock stratum. It can be seen from the figure that the maximum stress of the pile foundation decreases with the increase in the height of the rock stratum. When the rock height increases from 2100 mm to 3000 mm, the maximum stress decreases from 28.25 MPa to 28.11 MPa, and the reduction rate is 0.5%. The reason for the observed phenomenon is that as the rock height increases, the pile foundation becomes subjected to a greater number of external constraints. These constraints can arise from various geological features and formations surrounding the pile, such as rock layers, soil types, and other geological structures. As a result, the pile foundation experiences a reduction in both its maximum displacement and maximum stress. This is because the additional external constraints act as restraining forces that limit the pile’s ability to move or deform under load, thereby reducing the maximum displacement. Similarly, these constraints also help to distribute the applied load more evenly across the pile foundation, leading to a decrease in the maximum stress levels.
Figure 20.
The variation curve of the maximum displacement of pile foundation with the height of rock.
Figure 21.
The variation curve of the maximum stress of pile foundation with the height of rock.
5. Discussion
5.1. Effect of Eccentricity on Pile Deformation and Bearing Capacity
The study has clearly demonstrated that the eccentricity of the applied load significantly influences the deformation and bearing capacity of pile foundations. As shown in Figure 6 and Figure 7, the maximum displacement and stress of the pile foundation increase with the increase in eccentricity under both varying and constant external loads. This is attributed to the increased bending moment generated by the eccentric load, which causes the pile to bend and deform more prominently. The bending deformation of the pile body results in greater deflection, leading to increased displacement at the top of the pile relative to its base.
Furthermore, as shown in Figure 10 and Figure 11, under design load conditions, the maximum displacement and stress of the pile foundation continue to increase with the increase in eccentricity, with the rate of increase also accelerating. As shown in Figure 22a, when eccentricity is determined, the growth rate of maximum displacement remains unchanged with the increase in external load. When the external load is determined, the growth rate of the maximum displacement increases with the increase in eccentricity, and its increasing speed is small when the eccentricity is 0.005, and its increasing speed becomes larger when the eccentricity is greater than 0.005. Eccentricity of 0.005 is a cut-off point. For the maximum stress, as shown in Figure 22b, when the eccentricity is determined, the growth rate of the maximum stress increases slightly with the increase in the external load. When the external load is determined, the growth rate of the maximum stress increases with the increase in eccentricity, and the increase rate is small when the eccentricity is 0.005, and the increase rate becomes large when the eccentricity is greater than 0.005. Consistent with the changing trend of the maximum displacement, the cut-off point is when the eccentricity is 0.005. Therefore, in practical engineering applications, the pile foundation should be kept in the vertical state to ensure that the eccentricity of the external load is small. This observation suggests that the performance of pile foundations under eccentric loading should be carefully evaluated to ensure adequate bearing capacity and stability.
Figure 22.
The augmentation rate of (a) maximum displacement and (b) maximum stress of pile foundations under different eccentricities and different loading forces.
5.2. Effect of Elastic Modulus on Pile Deformation and Bearing Capacity
The elastic modulus of the pile foundation material plays a crucial role in its deformation and bearing capacity, as illustrated in Figure 12, Figure 13, Figure 14 and Figure 15. An increase in the elastic modulus of the pile material results in a decrease in the maximum displacement of the pile foundation under both varying and constant external loads. As shown in Figure 23a, with the increase in the concrete strength grade of the pile foundation, the decreasing speed of the maximum displacement of the pile foundation also increases slowly, and it can be found that the decreasing speed of the maximum displacement of the pile foundation is less affected by the load. This is because the elastic modulus is a measure of the stiffness of the material, and a stiffer material is less prone to deformation under load.
Figure 23.
The reduction rate of (a) maximum displacement and (b) maximum stress of pile foundations under different concrete grades and different loading forces.
However, the maximum stress of the pile foundation remains relatively unchanged with the increase in the elastic modulus of the pile material, as shown in Figure 13 and Figure 15. As shown in Figure 23b, with the increase in concrete strength grade of the pile foundation, the decrease rate of maximum stress of the pile foundation is less than 0.5%. That is, within the research scope of this paper, the influence of the strength grade of concrete on the maximum stress of pile foundations can be ignored. This is because the stress in the pile foundation is primarily determined by the external load and the geometric dimensions of the pile rather than the material properties. Therefore, while increasing the elastic modulus can improve the deformation resistance of the pile foundation, it has a limited effect on its bearing capacity.
5.3. Effect of Rock Height on Pile Deformation and Bearing Capacity
The height of the rock stratum surrounding the pile foundation also has a significant influence on its deformation and bearing capacity, as shown in Figure 20 and Figure 21. An increase in rock height results in a decrease in both the maximum displacement and stress of the pile foundation. As shown in Figure 24, with the increase in rock height, the maximum displacement of the pile foundation and the decreasing speed of maximum stress of the pile foundation both increase. This is because the rock stratum provides additional external constraints that limit the movement and deformation of the pile under load.
Figure 24.
The reduction rate of (a) maximum displacement and (b) maximum stress of pile foundations under different rock heights.
The observed reduction in maximum displacement and stress with increasing rock height suggests that the presence of a stable rock stratum can enhance the performance of pile foundations. Therefore, during the design and construction of pile foundations, the geological conditions surrounding the site should be carefully considered to optimize the performance of the pile foundation.
These findings have important implications for engineering practice. In complex geological conditions, such as karst areas, the design of pile foundations should fully consider the above factors to ensure the stability and safety of the structure. Based on the research results, engineers can optimize the selection of pile materials, adjust the pile diameter and pile length, and rationally plan the construction route to avoid adverse geological conditions, thereby increasing the load-bearing capacity of the pile foundation and reducing the risk of deformation. Therefore, this paper not only enriches the theoretical research of pile foundations but also provides scientific guidance and reference for practical engineering.
6. Conclusions
This study investigates the bearing capacity of pile foundations in double-layer karst areas through field tests and finite element modeling using ANSYS Workbench 2021 R1 software. The model analyzed the effects of rock height, eccentricity, and elastic modulus on displacement and bearing capacity under incremental loading. The results reveal that eccentricity, elastic modulus, and rock height significantly influence pile foundation behavior. Eccentricity should be controlled below 0.5%, and adjustments such as modifying pile caps, column sections, or increasing pile numbers are recommended. Enhancing concrete strength reduces displacement but has minimal impact on stress, emphasizing the importance of displacement-focused design. A detailed exploration of karst cave distribution and the avoidance of high cave areas are critical for ensuring vertical bearing capacity. These findings provide a theoretical basis for designing pile foundations in complex geological conditions, ensuring structural safety and stability. Limitations include the simplified model, regular cave assumptions, and the exclusion of groundwater effects. Future research will incorporate more realistic models, irregular cave forms, and groundwater influences to refine the analysis. This study offers valuable insights into the design and construction of pile foundations in karst regions.
Author Contributions
Methodology, Y.W., G.L., E.Z., C.Z. and W.W.; Investigation, Y.W., G.L., E.Z., C.Z., W.W. and F.D.; Writing—original draft, Y.W.; Writing—review and editing, Y.W., G.L., E.Z., C.Z., W.W. and F.D.; Funding acquisition, F.D. All authors have read and agreed to the published version of the manuscript.
Funding
The authors wish to express their sincere to the Natural Science Foundation of Jiangsu Province (Grant No. BK20200793).
Data Availability Statement
The data used to support the findings of this study are available from the corresponding author upon request.
Conflicts of Interest
The authors declare no conflicts of interest.
References
- Huang, L.; Gao, R.; Chi, J.; Yan, X. Study on load-bearing behaviors of prestressed post-grouting tubular piles in the karst region of northern Fujian Province, China. Front. Earth Sci. 2024, 12, 1387028. [Google Scholar] [CrossRef]
- Sheng, M.; Lu, F.; Jiang, N.; Guo, P.; Li, X.; An, R.; Wang, Y. Bearing behavior of pile foundation in karst region: Physical model test and finite element analysis. Appl. Rheol. 2024, 34, 0115. [Google Scholar] [CrossRef]
- Wang, P.; Ding, H.; Zhang, P. Influence of karst caves at pile side on the bearing capacity of super-long pile foundation. Math. Probl. Eng. 2020, 2020, 4895735. [Google Scholar] [CrossRef]
- Chen, H.Y.; Feng, Z.J.; Li, T.; Bai, S.F.; Zhang, C. Study on the vertical bearing performance of pile across cave and sensitivity of three parameters. Sci. Rep. 2021, 2021, 17342. [Google Scholar] [CrossRef] [PubMed]
- Liu, J.K.; Wang, J.P.; Zhu, M.; Hou, X.J. The settlement prediction of pile foundation based on grey linear regression model. Appl. Mech. Mater. 2012, 204–208, 320–325. [Google Scholar] [CrossRef]
- Su, G.; He, G.; Yi, J. Experimental study on the vertical bearing capacity of bridge pile in multi-layer cave. Highw. Eng. 2017, 42, 80–84. [Google Scholar]
- Ai, K.; Wang, J. Study of piles foundation in karst area. Rock Soil Mech. 2003, 24 (Suppl. S1), 124–126. [Google Scholar]
- Feng, Z.; Hu, H.; Dong, Y.; Wang, F.; Jia, M.; Zhao, Y.; He, J. Effect steel casing on vertical bearing characteristics steel tube-reinforced concrete piles in loess area. Appl. Sci. 2019, 9, 2827. [Google Scholar] [CrossRef]
- Jiang, C.; Liu, L.; Wu, J. A new method determining safe thickness of karst cave roof under pile tip. J. Cent. South Univ. 2014, 21, 1190–1196. [Google Scholar] [CrossRef]
- Huang, M.; Zhang, B.; Chen, F.; Huang, Z.; Zhang, X. Numerical calculation on load transfer progress of pile foundation in beaded karst cave stratum. J. Eng. Geol. 2017, 25, 1574–1582. [Google Scholar]
- Horvath, R.G.; Kenney, T.C.; Kozicki, P. Methods of improving the performance of drilled piers in weak rock. Can. Geotech. J. 1983, 20, 758–772. [Google Scholar] [CrossRef]
- Carrubba, P. Skin fiction on large-diameter piles socketed into rock. Can. Geotech. J. 1997, 34, 230–240. [Google Scholar] [CrossRef]
- Serrano, A.; Olalla, C. Shaft resistance of a pile embedded in rock. Int. J. Rock Mech. Min. Sci. 2004, 41, 21–35. [Google Scholar] [CrossRef]
- Serrano, A.; Olalla, C.; Galindo, R.A. Ultimate bearing capacity at the tip of a pile in rock based on the modified Hoek-Brown criterion. Int. J. Rock Mech. Min. Sci. 2014, 71, 83–90. [Google Scholar] [CrossRef]
- Khan, A. Numerical modelling of shear socketed piers. Int. J. Numer. Anal. Methods Geomech. 2000, 24, 853–867. [Google Scholar] [CrossRef]
- Singh, A.P.; Bhandari, T.; Ayothiraman, R.; Rao, K.S. Numerical analysis of rock socketed piles under combined vertical-lateral loading. Procedia Eng. 2017, 191, 776–784. [Google Scholar] [CrossRef]
- Nie, Q.; Li, X.; Yuan, W.; Wang, A.; Wang, W.; Jia, X.; Shang, W. Calculation method for the critical thickness of a karst cave roof at the bottom of a socketed pile. Adv. Mater. Sci. Eng. 2021, 14, 1669410. [Google Scholar]
- Yuan, W.; Li, X.; Li, Z.; Wang, W.; Sun, X. A strength reduction method based on the generalized Hoek-Brown (GHB)criterion for rock slope stability analysis. Comput. Geotech. 2020, 117, 103240. [Google Scholar]
- GB55003-2021; Ministry of Housing and Urban-Rural Development of the People’s Republic of China. General Specification for Building and Municipalfoundation. China Architecture and Building Press: Beijing, China, 2021.
- JGJ94-2008; Ministry of Housing and Urban-Rural Development of the People’s Republie of China. Technical Code for Building Pile Foundation. China Architecture and Building Press: Beijing, China, 2008.
- GB 50021-2001; Ministry of Housing and Urban-Rural Development of the People’s Republic of China. Code for Investigation of Geotechnical Engineering. China Architecture and Building Press: Beijing, China, 2009.
Disclaimer/Publisher’s Note: The statements, opinions and data contained in all publications are solely those of the individual author(s) and contributor(s) and not of MDPI and/or the editor(s). MDPI and/or the editor(s) disclaim responsibility for any injury to people or property resulting from any ideas, methods, instructions or products referred to in the content. |
© 2025 by the authors. Licensee MDPI, Basel, Switzerland. This article is an open access article distributed under the terms and conditions of the Creative Commons Attribution (CC BY) license (https://creativecommons.org/licenses/by/4.0/).























