Abstract
This article investigates the effects of roof opening and closure conditions on the mean and fluctuating wind pressure coefficient of the roof surface through rigid model wind tunnel tests and further explores the non-Gaussian characteristics of wind pressure (skewness, kurtosis, and wind pressure probability density) under the two conditions. Then, based on the non-Gaussian characteristics under two working conditions, this paper constructs a Hermite moment model to solve the peak factor of the roof surface to evaluate the impact of roof opening and closure on the most unfavorable extreme wind pressure. The research results show that under the two working conditions of roof opening and closure, the windward leading edge’s mean and fluctuating wind pressure coefficients change most significantly, leading to an increase in the degree of flow separation at the windward leading edge. This causes the skewness, kurtosis, and probability density function of the wind pressure at the windward leading edge of the roof to deviate significantly from the standard Gaussian distribution, exhibiting strong non-Gaussian characteristics. Meanwhile, based on the Hermite moment model, it is found that the peak factor of most measuring points is concentrated between 3.5 and 5.0 under both roof opening and closure conditions, significantly higher than the recommended value of 2.5 in GB 50009-2012. In addition, under roof opening, the most unfavorable negative pressure coefficient is −4.54, and the absolute value of its most unfavorable negative pressure extreme is 1.3% higher than the roof opening closure condition.
1. Introduction
As important hubs for passenger traffic, airport terminals need to accommodate a large number of personnel, luggage, and cargo and are usually designed as large-span and spacious spaces. However, due to its lightweight, flexible, and low-damping characteristics, the roof’s structure is susceptible to wind loads, posing challenges to wind-resistant design. Wind load has become a key factor in designing the long-span roof (LSR). Due to wind effects, the roof structure is often damaged, especially the enclosure structure [1,2,3,4] (see Figure 1). For example, the roof of Terminal T3 of Capital Airport was torn by strong wind, and the ceiling of Terminal T2 of Changbei Airport fell off due to rainstorms and strong wind. These damages not only cause property damage but also endanger personal safety. Hence, it is particularly important to explore the distribution feature of wind pressure (air pressure) on the terminal building roof. To cope with the impact of wind loads, various structural optimization methods have been adopted in roof design, among which roof opening is an effective solution. Roof openings can reduce the impact of wind loads by adjusting the distribution of wind pressure [4,5,6], especially under strong winds, which can prevent roof materials from tearing or falling off. The reasonable setting of openings can effectively alleviate wind pressure, avoid the formation of local high-pressure areas, reduce the risk of roof damage, and improve the stability of the structure [7,8,9]. In addition, roof openings have advantages such as improving lighting, reducing dependence on artificial lighting, optimizing indoor environmental comfort, enhancing energy efficiency, and reducing energy consumption and emissions [10,11].
Figure 1.
Some domestic airport terminals have suffered wind-induced damage incidents: (a) Capital Airport (China); (b) Changbei Airport (China).
Nonetheless, designing roof openings also needs to be cautious, as roof openings can affect the stiffness and stress state of the roof, and excessive openings may lead to a decrease in roof strength or local instability [12]. Therefore, how to balance the advantages and potential negative impacts of roof openings has become a key issue in design. In this context, the design of roof opening closures is gradually receiving attention. Roof opening closure design reduces the opening area, maintains the overall stiffness and strength of the roof, and prevents local structural failure. Although roof opening closure design helps to improve the load-bearing capacity of roofs and reduce wind pressure concentration effects [13], under strong winds, roof opening closures may not be able to effectively release wind pressure, resulting in excessive internal pressure and causing structural damage. Therefore, the design of roof openings and closures needs to comprehensively consider the distribution characteristics of wind loads and the actual usage environment.
To date, some progress has been made in studying the wind pressure distribution feature of LSRs. Fu et al. [14] investigated the effect of wind speed, orientation, and acceleration response on long-span steel roof structures through full-scale measurements and contrasted the outcomes with wind tunnel tests. Ginger and Holmes [15] analyzed the influence of roof span and aspect ratio on wind load and found that these two factors are the key to changes in wind load. Wu et al. [16] examined the influence of interference effects upon the pressure coefficient of long-span dome roofs and found that the shielding effect of low-rise buildings reduced wind suction, but the cooling tower effect at the end of the roof amplified wind suction, resulting in significant non-Gaussian characteristics. Jia et al. [17] examined the influences of wind direction, aspect ratio, and terrain roughness on the wind pressure distribution through numerical simulation on the CFX12.0 platform. They found that wind pressure is mainly manifested as suction, while airflow separation and vortex shedding are key factors. Sun et al. [18] investigated the influence of direction angle, span, and eaves height on the air pressure on LSRs and discovered that wind direction angle and lift-to-span ratio had a greater impact, while eaves height had a smaller impact. Kim et al. [19] construed the impact of building spacing upon wind pressure on long-span roofs and found that building spacing has a significant impact on the peak factor. Yang et al. [20] analyzed the effect of turbulent integral scale and depth (Lx/D) on wind pressure on complex curved roofs through wind tunnel experiments. They found that the range of non-Gaussian regions remained unchanged when Lx/D was small, but non-Gaussian features were more pronounced. Ye and Dong [21] explored the role of different wind fields in air pressure on LSRs and discovered that pulsating suction was more significant in turbulent flow fields. Therefore, it can be seen from the above research that existing studies mostly focus on the effects of different spans and aspect ratios, wind direction angles, wind fields, surrounding buildings, turbulence fields, and geometric parameters on LSRs, whereas relatively fewer studies exist on the influence of local openings in the long-span roofs of mountainous terminal buildings on the air pressure distribution feature of roofs. To further fill this gap, some scholars have begun to pay attention to the impact of structural openings on roof wind pressure in recent years. Pan et al. [22] carried out wind tunnel experiments to study a residential building with 17 openings on a mountain wall roof. They found that the estimated internal pressure coefficient of the hurricane damage model was close to the minimum internal pressure coefficient, as measured by the experimental values. Singh and Roy [23] studied the effect of wall openings on wind loads on pyramid roofs through CFD simulations and found that the pressure coefficient of roof openings was significantly lower than that of roof opening closures. Xing et al. [24] studied the influence of opening position and wind orientation on the gable roof’s pressure distribution through CFD simulation, verifying the consistency between numerical simulation and experimental data. Wang et al. [25] studied the internal pressure and wind force at the opening of the gable roof of a short-height building in a tornado vortex and found that the angle opening ratio of the roof significantly affected the internal pressure and lift. Park et al. [26] explored the air pressure feature among domes and clarified that the negative pressure controlled the roof’s inner pressure and was not remarkably impacted by variations in the aspect ratio of the roof. Therefore, the effect of roof openings and closures on the air pressure distribution of low-rise building roofs under strong winds and their dependence on opening sizes have not been fully studied.
In terms of the conventional wind-resistant design of LSRs, it is usually hypothesized that the varying air pressure on the roof surface complies with a normal distribution, and the peak factor with unified specifications is employed to quantify extreme air pressure on the surface of the roof [27,28,29]. Nevertheless, such a hypothesis might overlook the non-Gaussian characteristic regions present on the roof surface, posing potential risks to the wind resistance safety of the roof. With the continuous in-depth research of domestic and foreign scholars in this field, some progress has been made in the study of non-Gaussian features of wind pressure on building roof surfaces, especially in the research of non-Gaussian characteristics, peak factors, and extreme wind pressure of small low-rise buildings and large high-rise buildings. Ma and Xu [30] conducted wind tunnel tests to study the non-Gaussian peak factor and extreme wind pressure on the surface of high-rise buildings and proposed an advanced extreme value estimation method. Wang et al. [31] conducted a series of wind tunnel tests to study the peak response factor of super high-rise buildings under wind loads. The results indicate that the peak factor of crosswind response of high-rise structures exhibits significant fluctuations with changes in wind speed. Lou et al. [32] proposed a new approach based on the time-domain dynamic analysis method to simulate multi-objective equivalent static wind loads of high-rise buildings and studied the possible non-Gaussian characteristics of the wind-induced response process. Chen et al. [33] conducted wind tunnel tests on long-span roofs under different turbulent conditions and analyzed in detail the wind pressure characteristics, non-Gaussian characteristics, and formation mechanisms of the roof surface. The results showed that the wind pressure characteristics of long-span roofs exhibited significant non-Gaussian characteristics, mainly influenced by turbulence. Acosta et al. [34] studied the horseshoe vortex and translational framework around buildings, and the results showed that under high turbulence intensity conditions, especially for low-rise buildings, the range of non-Gaussian peak factors may be about 1.5 times that of Gaussian peaks. Yuan et al. [35] studied the non-Gaussian characteristics of wind pressure on high-rise buildings through wind tunnel experiments. The results indicated that the non-Gaussian wind pressure on the sidewall is closely related to the distance from the leading edge. In addition, after the attachment occurs in the area, the wind pressure also exhibits significant non-Gaussian characteristics. Sadek and Simiu [36] proposed an automated program primarily for studying non-Gaussian peaks in low-rise buildings. Research has found that the results obtained using this method are more stable than traditional estimates based on observed peak values. These studies reveal the causes of non-Gaussian characteristics of wind pressure on building surfaces and their impact on peak factors and extreme wind pressures, and they statistically analyze the non-Gaussian characteristics of fluctuating wind pressure at typical locations of certain small low-rise and high-rise buildings. However, there is currently a lack of systematic research on the non-Gaussian characteristics of roof openings and closure structures.
Therefore, this article selects the LSR of airport terminals in mountainous areas as the research object and studies the influence of roof opening and closing on the overall wind pressure distribution of the roof. The remainder of this paper is organized as follows: Section 2 introduces the process and method of conducting wind tunnel tests on a rigid roof model under roof opening and closing conditions. The third section analyses the influence of roof opening and closing on the average wind pressure coefficient and fluctuating wind pressure coefficient. The fourth section studies the non-Gaussian characteristics of fluctuating wind pressure on the roof under open and closed conditions and discusses in detail the wind pressure skewness, kurtosis, and probability density function under the two working conditions. In the fifth section, a Hermite moment model [37,38,39] is constructed to solve and explore the non-Gaussian peak factors and extreme wind pressures under roof openings and closures; Finally, Section 6 summarizes the main research findings of this article.
2. Wind Tunnel Testing
2.1. Experimental Model and Setup
This article takes the long-span curved roof of an airport terminal building within a mountainous area as the research object. The actual dimensions of the roof are 102 m (length, L) × 53 m (width, W) × 30 m (height, H), and the diameter of the roof opening is 8.5 m (as shown in Figure 2). To conduct wind pressure testing, a rigid pressure measurement model was made showing a scale proportion of 1:200. The model was made of a 2-mm-thick ABS rubber plate and 3D-printed sensitive resin material, and the size design met the requirement of a 5% blockage rate. To investigate the influence of roof opening(RO) and roof opening closure(ROC) on the overall wind pressure distribution of airport terminal roofs, this study performed wind tunnel assays on rigid models of roof opening and closure. The photos of the test models are shown in Figure 3.
Figure 2.
The diagram and experimental model of the long-span roof. (a) Overall Structure View; (b) Detailed dimensions of the roof.
Figure 3.
Wind tunnel test model photos (roof opening and roof opening closure).
The wind tunnel assay of the LSR’s rigid model in the airport terminal was implemented at the XNJD-1 Wind Tunnel Laboratory of Southwest Jiaotong University. The section size for the wind tunnel assay was 8.0 m (L) × 3.6 m (W) × 3.0 m (H). The sampling frequency of the experiment was 256 Hz, and the sampling duration was 60 s. A total of 128 pressure measuring points were symmetrically arranged on the surface of the roof, and a Scanivalve electronic scanning valve was used for real-time wind pressure measurement. Meanwhile, the length of the pressure measuring tube was controlled within 20 cm to ensure that the experimental requirements were met. Figure 4 displays the distribution of measured points and the setting of wind orientation angles for the model.
Figure 4.
Model measurement points and settings of wind orientation angle.
2.2. Configuring Test Conditions
In terms of experimental conditions, two types of conditions were set up—roof opening and the closure of the airport terminal roof—and 12 small conditions were set within the wind orientation angle from 0° to 180° (symmetrical on two sides of the roof) at intervals of 15° for each condition. The specific test condition data are shown in Table 1.
Table 1.
Test conditions.
2.3. Experimental Wind Field Simulation
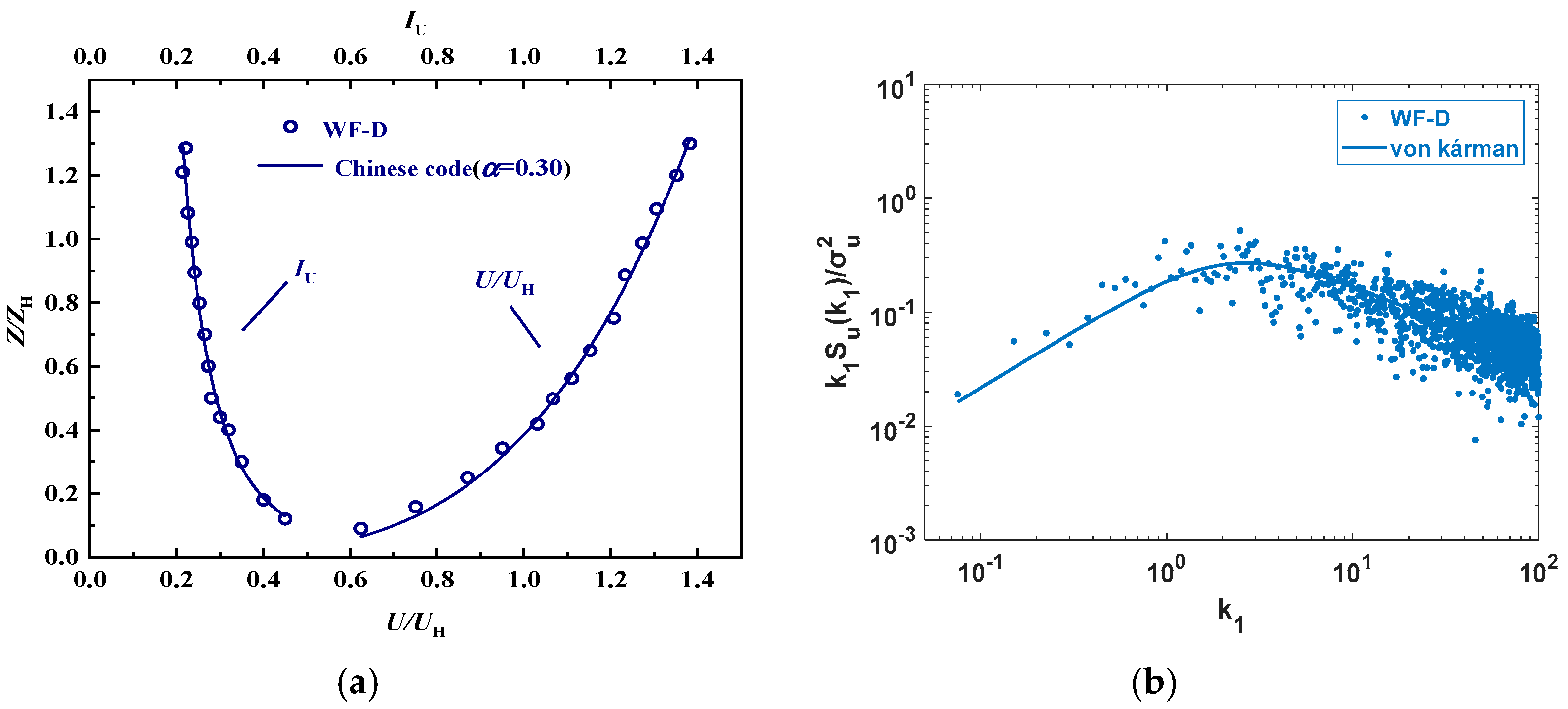
According to the provisions of GB 50009-2012 “Code for Load of Building Structures” [16,40,41,42], a Class D wind field was simulated with a scale of 1:200 (with a ground roughness index of α = 0.3). To accurately mimic the wind field (WF) setting undergone by the terrain, sharp edges and rough elements were utilized for WF simulation in wind tunnel assays. The average wind velocity and turbulence intensity profiles of the simulated D-class atmospheric boundary WF are shown in Figure 5a. Among them, is the wind velocity, Z expresses the height, signifies the turbulence intensity, stands for the model reference point wind speed, and is the height of the model reference point. The simulated pulsating wind power spectrum is shown in Figure 5b, where k1 indicates the reduced frequency. The findings in Figure 4 reveal that the experimental values of the average wind velocity profile and turbulence intensity profile correspond to the standard values, and the experimental values of the varying wind velocity power spectrum conform with the von kárman spectrum, suggesting that the simulated WF meets the experimental requirements [23,43,44].
Figure 5.
Experimental simulation of wind field: (a) average velocity and intensity; (b) wind spectrum.
3. Average and Fluctuating Wind Pressure Coefficient
The average and fluctuating wind pressure become important basic parameters in wind engineering, and their symbols can be used to determine whether the region of interest is in a separation zone, which usually exhibits non-Gaussian characteristics. Moreover, the values of average and fluctuating wind pressure are essential to accurately calculate extreme wind loads and are indispensable basic data for wind load analysis. In wind tunnel tests, experimental data are commonly offered in the form of wind pressure coefficients. Nonetheless, to precisely describe the wind pressure distribution on the surface of the roof, these wind pressure coefficients need to be dimensionless to ensure that real and effective wind pressure coefficients are obtained. Specifically, the wind pressure at each measuring point is represented by a pressure coefficient [23,45], defined below:
where is the wind pressure coefficient of measured point i at time on the model; indicates the reference point mean static pressure; indicates the wind pressure value as determined via the pressure scanning valve; is air density; and denotes the wind velocity at the model’s highest point.
For all number of sample points of M measurement points at discrete time intervals (where j = 1, 2, 3, …, M), statistical analysis can be performed on these data to calculate their mean pressure coefficient and fluctuating wind pressure coefficient [29,39]. Their calculation methods are as follows:
Figure 6 displays the cloud map of the average wind pressure coefficient for roof opening and closure at typical wind direction angles ( = 0°, 90°, 180°). In the figure, it can be seen that the overall surface of the roof shows the most significant change in the average wind pressure coefficient in the windward front, and a large wind suction force emerges [39]. Specifically, in the case of roof opening, the most unfavorable mean negative pressure value reached −1.70, while in the case of roof opening closure, the most disadvantageous average negative pressure value was −2.71. This indicates that significant flow separation occurs in the windward front of the roof in opening and closure conditions [46]. This phenomenon is crucial for structural safety and stability in engineering design. In response to this, we suggest that engineers consider optimizing the geometric shape of the roof’s leading edge (such as increasing the curvature or changing the slope of the leading edge) when designing the roof to reduce the occurrence of flow field separation and minimize the impact of wind pressure loads on the roof. Moreover, for roof openings, special attention should be paid to the negative pressure changes in the flow separation area, and consideration should be given to strengthening the structural strength of the roof to withstand larger suction forces. Meanwhile, it can be observed from the cloud map that under three typical wind direction angles, the roof opening closure exerts a particularly remarkable influence on the average wind pressure coefficient of the windward leading edge. Among them, the absolute value of the average wind pressure coefficient of the roof opening closure was 71.5% higher than that of the roof opening. Regarding the research results, we suggest that when designing roofs, especially for the design of roof openings, it is possible to consider adding shading structures to the roof (such as installing windbreaks or side shields) to reduce the impact of roof openings on wind pressure changes. Under the condition of roof openings, small-scale high negative pressure zones and vortex structures appearing on the roof surface may affect the stability of the roof [47,48]. Engineers can consider enhancing the flatness of the roof surface or introducing aerodynamic optimization design in the design based on this discovery to reduce the generation of vortices. Moreover, under roof opening closure conditions, multiple small-scale separation bubbles appear inside the roof, forming multiple small-scale high negative pressure zones.
Figure 6.
Cloud map of mean wind pressure coefficient for roof opening and closure under typical wind direction angles: (a–c): at = 0°, 90° and 180° (Roof Opening); (d–f): at = 0°, 90° and 180° (Roof Opening Closure).
Figure 7 shows the cloud map of the roof’s varying wind pressure coefficient under typical wind orientation angles for roof opening and closure. The figure unveils that the changing wind pressure distribution of the roof opening and closure conditions shows a similar trend to the average wind pressure distribution, yet the changing wind pressure coefficient is significantly higher under roof opening conditions than under roof opening closure conditions. Specifically, compared to a closed tunnel, the roof opening’s changing wind pressure coefficient increases by 10.3%, 1.5%, and 8.7%, respectively. This indicates that the roof opening exerts a more remarkable influence upon the changing wind pressure, leading to prominent flow separation on the roof surface and the formation of discrete vortex structures [49]. This result indicates that the presence of roof openings increases the fluctuation of wind pressure, especially in the windward area, which may lead to an increase in structural risk. We suggest considering setting adjustable roof openings in the roof design or adding structural reinforcement design near the roof openings to cope with possible severe wind pressure changes and ensure the safety of the structure.
Figure 7.
Cloud map of varying wind pressure coefficient for roof opening and closure under common wind orientation angles: (a–c): at = 0°, 90° and 180° (Roof Opening); (d–f): at = 0°, 90° and 180° (Roof Opening Closure).
4. Non-Gaussian Features of Fluctuating Wind Pressure
As key parameters that distinguish between Gaussian and non-Gaussian areas, skewness and kurtosis are usually quantitatively analyzed through third-order statistics (skewness, ) and fourth-order statistics (kurtosis, ) to determine the degree of divergence from normal distribution, thereby revealing the asymmetry and tail characteristics of the data distribution. These statistics can help us expand a further understanding of non-Gaussian distribution features of wind pressure, load, and other practical engineering factors, thereby providing more accurate parameters for extreme wind load calculations. The calculation formulas are shown in Equations (4) and (5) [50,51].
where and stand for the measurement point’s skewness and kurtosis of the varying wind pressure, separately.
The following figure shows the scatter plots under two working conditions of roof opening and closure at = 0°, 90°, and 180° (Figure 8). Among them, the horizontal and vertical axes respectively represent the Ski and Kui of the measured point. From the resulting graph, it can be seen that there is a certain deviation in the Ski and Kui of the pulsating wind pressure at each measuring point on the roof surface under both roof open and closure conditions. Overall, a nonlinear correlation occurred between Ski and Kui. Meanwhile, at = 0°, 90°, and 180°, the skewness and kurtosis distribution of most measuring points on the roof surface were concentrated when −1.65 < < 0 and 3.5 < <8.0, and the skewness and kurtosis values remarkably diverged from Gaussian distribution. Moreover, the skewness of most measured points on the roof surface was negative and exhibited a negative long tail characteristic.
Figure 8.
Scatter plots of skewness and kurtosis of roof openings and closures on the roof surface under discrepant wind orientation angles: (a) = 0°; (b) = 90°; (c) = 180°.
Figure 9 displays the cloud maps of wind pressure skewness and kurtosis for roof opening and closure at common wind orientation angles (α = 0°, 90°, 180°). The figure reveals that under two working conditions of roof opening and closure, the roof surface exhibits the most prominent variations in wind pressure skewness and kurtosis at the windward leading edge. Regarding the roof opening, the maximal skewness absolute value and kurtosis of the roof are 2.10 and 9.65, respectively, while in the case of the roof opening closure, their values are 1.61 and 9.60, respectively. This indicates that the roof exhibits significant non-Gaussian features in the windward front under both roof opening and closure conditions. Meanwhile, it can be observed from the cloud map that under the roof opening closure condition, multiple separation bubbles appear in the wind pressure skewness and kurtosis inside the roof, forming multiple local non-Gaussian regions. For this changing trend, we suggest introducing vortex control measures in roof design, such as adding small turbulence devices around the roof opening or optimizing the shape of the roof opening edge, to reduce the formation of local negative pressure zones and minimize the impact on the roof structure. Moreover, under multiple wind direction angles (α = 90° and 180°), the roof opening has the most significant impact on the wind pressure skewness and kurtosis in the windward front. The absolute values of wind pressure skewness and kurtosis of roof openings were 30.4% and 4.2% higher than those of the roof closure, respectively. For this, we suggest considering strengthening the structural design to cope with non-Gaussian wind pressure fluctuations.
Figure 9.
Wind pressure skewness and kurtosis cloud maps of roof opening and closure under typical wind direction angles: (a–f): at = 0°, 90° and 180° (roof opening and roof opening closure); (g–l): at = 0°, 90° and 180° (roof opening and roof opening closure).
To further explore non-Gaussian features of wind pressure on roof opening and closure, Figure 9 exhibits the probability distribution functions of fluctuating wind pressure at common measured points (with measured point sites and quantity displayed in Figure 4) for roof opening and closure at = 0°, 90°, and 180°, and contrasts them with the Gaussian distribution curve. The vertical axis represents the probability density PDF of varying wind pressure, and the horizontal axis represents the normalized wind pressure coefficient of the data. In Figure 10a–i, it can be seen that under the two working conditions of roof opening and closure, the typical measuring points around the roof’s windward front edge and circular hole diverge remarkably from the Gaussian distribution curve, exhibiting significant non-Gaussian characteristics. Meanwhile, as shown in the figure, compared to the roof opening closure condition, the probability density of wind pressure at most measured points under the roof opening condition deviates more from the standard Gaussian distribution, with maximum deviations of 23.1%, 23.5%, and 20.8% (A3, A7, A9), respectively. This indicates that the impact of roof openings on non-Gaussian features of wind pressure was more significant. For this phenomenon, we suggest considering using aerodynamic optimization structures when designing roof openings, such as improving the smoothness of the windward leading edge or adopting curved roof designs, to reduce the instability and extreme fluctuations of wind pressure.
Figure 10.
Probability density distribution curve of varying wind pressure on the roof surface under roof opening and closure: (a–c): point B10, C12, E11 (PDF at = 0°); (d–f): point A3, A7, A9 (PDF at = 90°); (g–i): point C1, D11, F1 (PDF at = 180°).
5. Non-Gaussian Peak Factor and Extreme Wind Pressure
Because of the intricacy of wind pressure distribution and the influence of high-order statistics, a Hermite moment model was constructed to accurately solve the peak element of the roof surface based on non-Gaussian features of wind pressure on the roof surface mentioned above. The corresponding peak factor () expression [50,51] is as follows:
where , , are the Hermite method’s parameters; indicates the Euler constant equal to 0.5772; T is the time interval; stands for the zero crossing velocity; M is the unilateral power spectral density; is the spectral moment for the i-th order; and expresses the frequency. To further clarify the sources and purposes of formulas (6) to (12), the following detailed explanation is provided: Formula (6) calculates the peak factor g of wind pressure, taking into account the volatility, non-Gaussian characteristics, and other correction factors of wind pressure, to help evaluate the extreme wind pressure that roofs may encounter at different wind speeds. Formula (7) calculates the correction factor, combines the Hermite series parameters ( and ), adjusts the fluctuation characteristics of the wind pressure signal, and better reflects high-order statistical characteristics. Formula (8) is used to calculate the parameters of the first Hermite series based on the skewness and kurtosis of wind pressure data to capture the asymmetry and heavy-tailed characteristics of the signal. Formula (9) calculates the second Hermite series parameter to further correct the kurtosis effect of the wind pressure signal, especially under extreme wind pressure conditions. Formula (10) calculates the parameter of the wind pressure signal, which is related to the zero-crossing rate () and time T. Formula (11) calculates the zero-crossing rate () to measure the fluctuation intensity of the signal. Formula (12) calculates the i-th spectral distance of the wind pressure signal and describes the spectral characteristics of the signal [44,50,51].
The common measured points in the non-Gaussian area under roof opening and closure are selected as the research objects. The Hermite moment model was utilized to figure out the non-Gaussian peak factor of wind pressure, as shown in Table 2. The table also provides the wind pressure Ski and Kui values of each measured point under both roof opening and closure conditions. The calculation results show that the non-Gaussian peak factor on the roof surface is larger among multiple wind direction angles under the roof opening condition than under the roof opening closure condition, indicating that the peak factor is most significantly affected by the roof opening condition. Meanwhile, it can be found from the table that the peak factor of most measuring points under the two conditions exceeds the recommended value of 2.5 given in GB 50009-2012. It can be seen that if a unified Gaussian peak factor is used to devise the wind resistance of enclosure constructions, the results will be biased toward insecurity. For this research result, we suggest a more refined design based on specific roof opening conditions and wind direction angles to address the significant fluctuations caused by non-Gaussian characteristics on the roof surface. Especially for roof openings, higher peak factors should be considered in the design to ensure the safety of the structure under extreme wind pressure conditions.
Table 2.
Non-Gaussian peak factor of roof surface under roof opening and closure conditions.
Extreme wind pressure is of great significance as a reference for designing the wind resistance of enclosure constructions. Therefore, this section investigates the influence of roof openings and closures on the extreme wind pressure (WP) coefficient of the roof surface. The accuracy of extreme WP estimation is directly related to the security of the enclosure structure. This article uses the Hermite moment model mentioned above to evaluate extreme WP. The specific formula is expressed below:
This study obtained the most disadvantageous extreme WP coefficients for both roof opening and closure conditions at all wind angles and obtained the extreme WP coefficients for the entire wind angles. Figure 11 shows the envelope cloud map of the minimal WP coefficient for the full wind direction angle under two conditions. The findings suggest that the distribution of the most unfavorable negative pressure extreme values under two conditions shows a clear pattern, with smaller negative pressures usually occurring in the flow separation area on the windward side at various wind direction angles. Moreover, by comparing the worst-case negative pressure extreme values of the two working conditions, it can be found that the influence range of the roof closure on the extreme WP on the roof surface is wider, while the impact of the roof opening in the worst-case negative pressure is more significant. Specifically, the worst-case extreme negative pressure coefficient under the condition of roof opening is −4.54, which is 1.3% lower than the worst-case extreme negative pressure under the condition of roof opening closure. Therefore, roof openings will lead to a decrease in the minimum negative pressure under the most unfavorable working conditions. The overall deviation of the most unfavorable extreme wind pressure is not significant. For these results, we suggest that when designing roofs, especially for roof openings, the impact of airflow separation and wind pressure fluctuations on the stability of the roof structure should be fully considered. It is possible to consider optimizing the geometric shape of the roof and using aerodynamic design measures (such as adding turbulence devices near openings) to reduce negative pressure fluctuations and improve the wind resistance performance of the roof.
Figure 11.
Cloud map of the envelope diagram of the minimum wind pressure coefficient on the roof surface under all wind direction angles: (a): roof opening; (b): roof opening closure.
6. Conclusions and Outlook
This study implemented wind tunnel assays on the roof opening and closure conditions and compared and analyzed the effects of the two conditions on the average WP coefficient, fluctuating WP coefficient, non-Gaussian characteristics of WP (skewness and kurtosis), probability density of wind pressure, peak factor, and extreme WP on the roof surface. According to the experimental results, the following conclusions can be drawn:
- (1)
- The wind pressure values are higher for both the roof opening and closure occur at the roof’s windward front, which is significantly affected by flow separation. Compared with the roof opening, the absolute value of the average WP coefficient on the windward front of the roof opening closure is more elevated. Under the roof opening condition, the varying WP value is significantly higher than that under the roof opening closure condition.
- (2)
- Under both roof open and closure conditions, the windward leading edge of the roof exhibits powerful non-Gaussian wind pressure characteristics. The skewness, kurtosis, and probability density distribution of the varying WP deviate markedly from the standard Gaussian distribution and show obvious protrusions. However, the impact of roof openings on non-Gaussian characteristics of WP is more significant.
- (3)
- The peak factor of most measured points exceeds the recommended value of 2.5 in GB 50009-2012 in two conditions, but the impact of the roof opening condition on the peak factor of the roof is the most significant. Therefore, if a uniform peak factor is used in the wind-resistant design of enclosure constructions, it may lead to design results that are biased toward safety.
- (4)
- Under two conditions, the most disadvantageous extreme negative pressure values usually occur in the flow separation region on the windward side at various wind direction angles. The most disadvantageous negative pressure coefficient under the condition of roof opening is −4.54, and the absolute value of its most disadvantageous negative pressure extreme reaches 1.3% higher than that under the condition of roof opening closure. The overall deviation of the most unfavorable extreme wind pressure is not significant.
Outlook:
The conclusions of this study can be widely applied to the design of building wind engineering, especially in the optimization of roof opening and closing design to resist the influence of wind structures, to improve building safety. In addition, the non-Gaussian wind pressure characteristic analysis provided in the study provides an accurate reference for extreme wind pressure prediction, which helps to enhance the safety margin of wind-resistant design. In the future, based on these results, roof opening and closing designs can be further optimized to better cope with different wind environments and improve wind resistance performance. However, this study also has some limitations, as follows:
- (1)
- Wind tunnel tests are conducted under limited experimental conditions, taking into account the opening and closing of the roof. Future research can expand the range of test parameters, including different wind speeds, directions, and combinations of different roof shapes, to further verify and improve current research results.
- (2)
- The design of the roof cladding system has not been fully considered. Although we have obtained high peak negative pressure, these values are based on aerodynamic models and assumptions. In actual design, factors such as material strength and slope need to be considered. Future research can further explore the design of roof cladding systems, combined with factors such as actual building material strength and slope, to improve aerodynamic models and provide more accurate wind pressure prediction and roof design solutions.
- (3)
- As this study mainly focuses on the analysis of the overall wind pressure distribution characteristics of the roof under the conditions of opening and closing holes, specific calculation examples or detailed methods for converting the wind pressure coefficient into actual pressure are not provided. Future research can further explore this issue, clarify the conversion relationship between wind pressure coefficient and actual pressure, and provide specific calculation steps and examples to apply experimental results to practical engineering design more accurately.
Author Contributions
Conceptualization, M.L. and X.Z.; methodology, X.Z. and M.L.; software, X.Z. and Y.B.; validation, J.L. and C.P.; formal analysis, X.Z. and C.P.; resources, X.C. and C.M.; data curation, M.L. and C.P.; writing—original draft preparation, X.Z.; writing—review and editing, M.L., X.Z. and C.P.; visualization, X.C. and C.M. All authors have read and agreed to the published version of the manuscript.
Funding
This research work was financially supported by the Fundamental Research Funds for the Central Universities (Grant No. 24CAFUC03037), the Natural Science Foundation of China (Grant No. 52078438), the National Key Research and Development Program of China (Grant No. 2022YFC3005301), and Sichuan Provincial Engineering Research Center of Smart Operation and Maintenance of Civil Aviation Airports (JCZX2023ZZ03).
Data Availability Statement
The data used to support the findings of this study can be obtained from the corresponding author upon request.
Conflicts of Interest
The authors declare no conflicts of interest.
References
- Huang, G.; Ji, X.; Luo, Y.; Gurley, R. Damage estimation of roof panels considering wind loading correlation. J. Wind Eng. Ind. Aerodyn. 2016, 155, 141–148. [Google Scholar] [CrossRef]
- Sarma, H.D.; Zisis, I.; Matus, M. Effect of roof shape on wind vulnerability of roof sheathing panels. Struct. Saf. 2023, 100, 102283. [Google Scholar] [CrossRef]
- Xu, Y.L. Wind-induced fatigue loading and damage to hip and gable roof claddings. J. Struct. Eng. 1996, 122, 1475–1483. [Google Scholar] [CrossRef]
- Chowdhury, A.G.; Canino, I.; Mirmiran, A.; Suksawang, N.; Baheru, T. Wind-loading effects on roof-to-wall connections of timber residential buildings. J. Eng. Mech. 2013, 139, 386–395. [Google Scholar] [CrossRef]
- Jagbir, S.; Kumar, R.A. Wind loads on roof of low-rise buildings. Disaster Adv. 2021, 14, 83–98. [Google Scholar]
- Ji, X.; Huang, G.; Wu, F.; Lu, Z. Wind-induced hazard assessment for low-rise building envelope considering potential openings. J. Struct. Eng. 2020, 146, 04020039. [Google Scholar] [CrossRef]
- Wang, X.; Li, Q.; Li, J. Field monitoring and wind tunnel study of wind effects on roof overhang of a low-rise building. Struct. Control Health Monit. 2020, 27, e2484. [Google Scholar] [CrossRef]
- Khan, N.; Su, Y.; Riffat, S.B. A review on wind driven ventilation techniques. Energy Build. 2008, 40, 1586–1604. [Google Scholar] [CrossRef]
- Su, N.; Peng, S.; Hong, N.; Hu, T. Wind tunnel investigation on the wind load of large-span coal sheds with porous gables: Influence of gable ventilation. J. Wind Eng. Ind. Aerodyn. 2020, 204, 104242. [Google Scholar] [CrossRef]
- Turrin, M.; Von Buelow, P.; Kilian, A.; Stouffs, R. Performative skins for passive climatic comfort: A parametric design process. Autom. Constr. 2012, 22, 36–50. [Google Scholar] [CrossRef]
- Yang, X.; Ma, Y. Design and Thermal-Optical Environment Simulation of Double-Slope Greenhouse Roof Structure Based on Ecotect. Agriculture 2024, 14, 1410. [Google Scholar] [CrossRef]
- Coggan, J.; Gao, F.; Stead, D.; Elmo, D. Numerical modelling of the effects of weak immediate roof lithology on coal mine roadway stability. Int. J. Coal Geol. 2012, 90, 100–109. [Google Scholar] [CrossRef]
- Han, C.; Zhang, N.; Li, B.; Si, G.; Zheng, X. Pressure relief and structure stability mechanism of hard roof for gob-side entry retaining. J. Cent. South Univ. 2015, 22, 4445–4455. [Google Scholar] [CrossRef]
- Fu, J.; Zheng, Q.; Wu, J.; Xu, A. Full-scale tests of wind effects on a long span roof structure. Earthq. Eng. Eng. Vib. 2015, 14, 361–372. [Google Scholar] [CrossRef]
- Ginger, J.D.; Holmes, J.D. Effect of building length on wind loads on low-rise buildings with a steep roof pitch. J. Wind Eng. Ind. Aerodyn. 2003, 91, 1377–1400. [Google Scholar] [CrossRef]
- Wu, Y.; Zhang, W.; Miao, P.; Liu, Y.; Xing, G. Wind-induced interference effect of complex building clusters on long-span roof structures. J. Fluids Struct. 2024, 129, 104157. [Google Scholar] [CrossRef]
- Jia, Y.; Meng, X.; Zhang, H.J. Numerical simulation of wind pressure on different types of large-span roofs. Appl. Mech. Mater. 2012, 170, 3371–3374. [Google Scholar] [CrossRef]
- Sun, X.; Yu, R.; Wu, Y. Investigation on wind tunnel experiments of ridge-valley tensile membrane structures. Eng. Struct. 2019, 187, 280–298. [Google Scholar] [CrossRef]
- Kim, Y.C.; Tamura, Y.; Yoon, S. Proximity effect on low-rise building surrounded by similar-sized buildings. J. Wind Eng. Ind. Aerodyn. 2015, 146, 150–162. [Google Scholar] [CrossRef]
- Yang, X.; Zhou, Q.; Lei, Y.; Yang, Y.; Li, M. Non-Gaussian features of dynamic wind loads on a long-span roof in boundary layer turbulences with different integral-scales. Wind Struct. 2022, 34, 421–435. [Google Scholar] [CrossRef]
- Ye, J.; Dong, X. Wind pressure features of large-span flat roof in different wind fields induced by conical vortex. J. Chin. Inst. Eng. 2015, 38, 975–990. [Google Scholar] [CrossRef]
- Pan, F.; Cai, C.S.; Zhang, W. Wind-induced internal pressures of buildings with multiple openings. J. Eng. Mech. 2013, 139, 376–385. [Google Scholar] [CrossRef]
- Singh, J.; Roy, A.K. Effects of roof slope and wind direction on wind pressure distribution on the roof of a square plan pyramidal low-rise building using CFD simulation. Int. J. Adv. Struct. Eng. 2019, 11, 231–254. [Google Scholar] [CrossRef]
- Xing, F.; Mohotti, D.; Chauhan, K. Experimental and numerical study on mean pressure distributions around an isolated gable roof building with and without openings. Build. Environ. 2018, 132, 30–44. [Google Scholar] [CrossRef]
- Wang, M.; Cao, S.; Cao, J. Tornado-like-vortex-induced wind pressure on a low-rise building with opening in roof corner. J. Wind Eng. Ind. Aerodyn. 2020, 205, 104308. [Google Scholar] [CrossRef]
- Park, M.J.; Yoon, S.W.; Kim, Y.; Cheon, D. Wind pressure characteristics based on the rise–span ratio of spherical domes with openings on the roof. Buildings 2022, 12, 576. [Google Scholar] [CrossRef]
- Wu, Y.; Wen, Z.; Wu, X.; Lv, H.; Sun, Q. Peak factor estimation method of non-Gaussian wind pressures on long-span tri-centered cylindrical roof structures. Struct. Des. Tall Spec. Build. 2023, 32, e1994. [Google Scholar] [CrossRef]
- Lan, Y.; Xu, J.; Zhong, J.; Li, Y. Seismic fragility and resilience assessment of large-span cable-stayed bridges under multi-support ground motions with non-Gaussian characteristics. Earthq. Eng. Struct. Dyn. 2024, 53, 4310–4333. [Google Scholar] [CrossRef]
- Pei, C.; Zhang, X.; Cheng, X.; Yang, X.; Ma, C. Impact of different terrains on the distribution of wind pressure on airport terminal roofs in mountainous areas. Structures 2024, 69, 107265. [Google Scholar] [CrossRef]
- Ma, X.; Xu, F. Peak factor estimation of non-Gaussian wind pressure on high-rise buildings. Struct. Des. Tall Spec. Build. 2017, 26, e1386. [Google Scholar] [CrossRef]
- Wang, J.B.; Wang, Y.; Wang, L.; Liang, S. Study on the Peak Factor of the Wind-Induced Response of Super-High-Rise Buildings. Atmosphere 2023, 14, 379. [Google Scholar] [CrossRef]
- Lou, W.; Zhang, L.; Huang, M.; Li, Q. Multiobjective equivalent static wind loads on complex tall buildings using non-gaussian peak factors. J. Struct. Eng. 2015, 141, 04015033. [Google Scholar] [CrossRef]
- Chen, F.B.; Zhang, T.; Yi, J.; Shu, Z.; Li, Y. Non-Gaussian characteristics and extreme wind pressure of long-span roof under various approaching flow turbulences. J. Build. Eng. 2023, 76, 107266. [Google Scholar] [CrossRef]
- Acosta, T.J.; Wang, J.; Kopp, G.A. Non-Gaussian peak factor model for windward walls of rigid buildings of different aspect ratios. J. Wind Eng. Ind. Aerodyn. 2024, 245, 105654. [Google Scholar] [CrossRef]
- Yuan, J.; Chen, S.; Liu, Y. Non-Gaussian feature of fluctuating wind pressures on rectangular high-rise buildings with different side ratios. Wind Struct. 2023, 37, 211–227. [Google Scholar]
- Sadek, F.; Simiu, E. Peak non-Gaussian wind effects for database-assisted low-rise building design. J. Eng. Mech. 2002, 128, 530–539. [Google Scholar] [CrossRef]
- Kwon, D.K.; Kareem, A. Peak factors for non-Gaussian load effects revisited. J. Struct. Eng. 2011, 137, 1611–1619. [Google Scholar] [CrossRef]
- Zhang, X.Y.; Zhao, Y.G.; Lu, Z.H. Unified Hermite polynomial model and its application in estimating non-Gaussian processes. J. Eng. Mech. 2019, 145, 04019001. [Google Scholar] [CrossRef]
- Yang, X.W.; Zhou, Q.; Li, M.; Wang, P. Non-Gaussian features and peak factors of fluctuating wind pressures on a complex curved roof. J. Vib. Shock 2021, 40, 315–322. [Google Scholar]
- Li, C.; Han, Y.; Zhang, J.; Liu, S.; Cai, S. Wind tunnel tests on wind pressure characteristics of sawtooth roofs. J. Aerosp. Eng. 2018, 31, 04018107. [Google Scholar] [CrossRef]
- Tian, Y.; Guan, H.; Shao, S.; Yang, Q. Provisions and comparison of Chinese wind load standard for roof components and cladding. Structures 2021, 33, 2587–2598. [Google Scholar] [CrossRef]
- GB 50009-2012; Associate Committee on the National Building Code. National Standards Committee: Beijing, China, 2012.
- Yang, X.; Su, Y.; Li, M.; Jiang, Z.; Du, S. Effect of turbulent integral scale on non-Gaussian characteristics of surface wind pressure on square cylinder. Phys. Fluids 2024, 36. [Google Scholar] [CrossRef]
- Lin, J.X.; Surry, D.; Tieleman, H.W. The distribution of pressure near roof corners of flat roof low buildings. J. Wind Eng. Ind. Aerodyn. 1995, 56, 235–265. [Google Scholar] [CrossRef]
- Aldoum, M.; Stathopoulos, T. Wind loads on low-slope roofs of buildings with large plan dimensions. Eng. Struct. 2020, 225, 111298. [Google Scholar] [CrossRef]
- Perén, J.I.; Van Hooff, T.; Leite, B.; Blocken, B. CFD simulation of wind-driven upward cross ventilation and its enhancement in long buildings: Impact of single-span versus double-span leeward sawtooth roof and opening ratio. Build. Environ. 2016, 96, 142–156. [Google Scholar] [CrossRef]
- Wu, Y.; Ma, C.; Miao, P.; Han, X.; Liu, Y. Influence of opening rate and opening position on wind load and aerodynamic stability of long-span truss roof structure. J. Fluids Struct. 2025, 133, 104268. [Google Scholar] [CrossRef]
- Yang, Q.; Chen, F.; Yan, B.; Li, T.; Yan, J.; Hu, X. Effects of free-stream turbulence on motion-induced aerodynamic forces of a long-span flexible flat roof using LES simulations. J. Wind Eng. Ind. Aerodyn. 2022, 231, 105236. [Google Scholar] [CrossRef]
- Yuan, Z.; Wang, X.; Jia, Y.; Cao, W.; Yang, J.; An, J. Study on wind load characteristics of gable roof under tornado. Sci. Rep. 2024, 14, 25203. [Google Scholar] [CrossRef] [PubMed]
- Song, J.; Xu, W.; Hu, G.; Liang, S.; Tan, J. Non-Gaussian properties and their effects on extreme values of wind pressure on the roof of long-span structures. J. Wind Eng. Ind. Aerodyn. 2019, 184, 106–115. [Google Scholar] [CrossRef]
- Zhang, X.; Pei, C.; Liu, M.; Yang, X.; Cheng, X. The prediction on non-Gaussian characteristics of wind pressure for the long-span roof in the mountainous area using proper orthogonal decomposition–deep learning framework. Phys. Fluids 2024, 36, 085125. [Google Scholar] [CrossRef]
Disclaimer/Publisher’s Note: The statements, opinions and data contained in all publications are solely those of the individual author(s) and contributor(s) and not of MDPI and/or the editor(s). MDPI and/or the editor(s) disclaim responsibility for any injury to people or property resulting from any ideas, methods, instructions or products referred to in the content. |
© 2025 by the authors. Licensee MDPI, Basel, Switzerland. This article is an open access article distributed under the terms and conditions of the Creative Commons Attribution (CC BY) license (https://creativecommons.org/licenses/by/4.0/).










