Abstract
To fill the gap in empirical research on the relationship between sexist gender ideologies and sports participation, I examined how sports participation affects the endorsement of sexist gender ideologies by men and women and how country-level gender inequalities moderate this relationship. For the analysis, I used cross-national survey data from the World Values Survey and the European Values Study, including observations collected between 2005 and 2016 on 57,817 men and 61,080 women from 74 countries that vary in terms of gender equality, religiosity, modernization, and economic development. My findings show that when controlling for sociodemographic factors and between-country differences in sexist gender ideologies, men who are sports club members endorse sexist gender ideologies to a significantly greater degree than men who are not sports club members. This finding is independent of the prevalence of gender inequalities in a country. Furthermore, in very gender-inegalitarian countries, women who are active sports club members tend to hold less sexist gender ideologies than women who are not sports club members or are not active members, while they do not differ substantially in the endorsement of sexist gender ideologies in relatively egalitarian countries.
1. Introduction
Even today, well into the twenty-first century, organized sports are still characterized by a high level of gender separation and segregation. In most team sports, including football, basketball, rugby, and hockey, groups as well as competitions are often completely separated by gender. The same holds true for individual sports. For instance, even at the Summer Olympics in Tokyo 2020 (which took place in 2021 due to the COVID-19 pandemic), 321 of 339 medal events were strictly separated by gender despite the IOC’s efforts to promote mixed sports (International Olympic Committee 2021).1 The separation by gender in sports is due in part to rules that determine how competitions are organized, but it may also be due to selection effects. Men are generally more likely to participate in traditionally male-dominated sports, and women are more likely to participate in traditionally female-dominated sports (Mateo-Orcajada et al. 2021; White and Brackenridge 1985). Men more often play ball sports such as football, rugby, and basketball and less often participate in riding, gymnastics, and ballet (DOSB 2021; White and Brackenridge 1985, p. 98). The selection of men into different sports than women leads to a segregation effect that makes it more likely for men to participate in male-dominated sports and for women to participate in female-dominated sports, even if the respective sports associations do not have rules to this effect.
From a theoretical perspective, many authors have argued that sport is a male-dominated social sphere in which beliefs about male superiority, support for patriarchy, and sexist beliefs prevail (Fink 2016; Hall 1985; Messner 1988, 1990). Criticizing the gender separation in sports, Messner pointed out that sport functions as a “homosocial cultural sphere that provide[s] men with psychological separation from the perceived feminization of society while also providing dramatic symbolic proof of the ‘natural superiority’ of men over women” (Messner 1988, p. 200). Messner noted that boys develop sexist attitudes through their socialization in this gender-separated sphere. He stated that “if one is interested in giving boys experiences that will counter the kinds of sexist attitudes and assumptions that they commonly develop in male-only sports, then one would likely favor coed sports” (Messner 2011, p. 167). In line with this statement, Ogilvie and McCormack (2021) observed that mixed training groups can help to stop the reproduction of sexist beliefs in the sports context.2 Whereas male sports groups are more conducive to the reproduction of beliefs and attitudes that legitimize patriarchal structures, female sports groups are a context in which women and girls are empowered (Messner 2011; Theberge 1987).
Despite the ongoing theoretical discourse on the link between sports participation and gender-related attitudes and beliefs, empirical research on the topic remains scarce. Accordingly, Elling postulated the need for quantitative and mixed-methods studies in this field (Elling 2015, p. 430). My aim in this work was to address the need for such research by analyzing the relationship between sports participation and gender-related attitudes (more precisely, sexist gender ideologies) empirically. In the first step, I analyzed whether male or female sports club members differ systematically from male or female non-members with respect to the degree of sexist gender ideologies they hold.3 I conducted the analysis using a combined cross-national data set from the World Values Survey (WVS) (Inglehart et al. 2020) and the European Values Study (EVS) (Gedeshi et al. 2015). This data set makes it possible to analyze the relationship between sports participation and sexist gender ideologies in a comparative manner, which has not been performed in the research to date. While the data enable research on the effects of sports participation in very different contextual settings, the cross-sectional nature of the data limits causal inferences.
Since the gendered distribution of social power might be a factor moderating the relationship between sports club participation and sexist gender ideologies held by both men and women, in a second step, I analyzed the potential moderating effect of power relations between men and women in a country on the link between men’s and women’s sports participation and sexist gender ideologies. In my analysis, I chose to select the country level as the regional unit for studying such potential moderating effects on the link between sports participation and sexist gender ideologies, as gender inequalities and sexist gender ideologies vary greatly at the country level (e.g., see Figures 1–3 in Section 3).
2. Theory
The key concepts in this work are sexist gender ideologies and sports participation. The concept of gender ideology is frequently used to describe the system of beliefs an individual holds about gender relations (Duerst-Lahti 2008, p. 159). In this work, I based my understanding of sexist gender ideologies on Philips’ definition of the concept of gender ideology (Philips 2001). According to Philips, a gender ideology is characterized by two properties: (a) by the fact that “women are conceptualised as inferior to men to justify and sustain social and cultural systems dominated by men”, and (b) by “the culturally constructed (as opposed to ‘natural’) nature of gender”(Philips 2001). Based on property (a) of this definition, a gender ideology can be classified as a political ideology, which is in line with Duerst-Lahti’s understanding of what is meant by the term gender ideology (Duerst-Lahti 2008, p. 159). This follows from the fact that Philip’s definition of a gender ideology is constructed around a preference for a particular social order (one in which men hold social power) and associated beliefs (in male superiority/female inferiority). I considered these two subdimensions of the concept of gender ideology—a preference for a male-dominated social order and a belief in the superiority of men over women—in the operationalization of this concept (for details, see Section 3.2). To better delineate my understanding of the concept of a gender ideology from divergent definitions and to highlight that the beliefs and attitudes that are incorporated into this concept are a collection of negative prejudices and discriminatory beliefs against women, I use the term “sexist gender ideology” in the following instead of simply using the term “gender ideology.” The term “sexist” is added since “sexism usually refers to prejudice or discrimination based on sex or gender, especially against women and girls”(O’Brien 2009).
In line with (Borgers 2015; Scheerder et al. 2011; Scheerder et al. 2005), sports participation can be defined as “purposeful active participation in sports-related physical activities performed during leisure time” (Deelen et al. 2018). Following Deelen et al. (2018), this paper differentiates between three types of settings for sports participation: sports club settings (e.g., sports clubs and associations), non-club settings (e.g., gyms, health clubs, swimming pools), and informal settings (e.g., self-organized groups). It is important to note that this paper focuses only on participation in club-organized settings. On the one hand, this is due to data limitations, but on the other hand, there are also substantive reasons for focusing the analysis on precise the relationship between participation in sports clubs and sexist gender ideologies. One primary reason is that individuals participating in sports clubs tend on average to practice their sport more frequently than individuals who practice in non-club settings (Borgers et al. 2016; Deelen et al. 2018). An increased frequency of participation may result in an increased effect of sports participation on attitude development. Furthermore, Deelen et al. (2018) found that individuals practicing their sport in a club setting more frequently tend to state that they practice with the motive of socializing with other people, and that sports club members are more likely to play team sports than individuals who practice in non-club settings. Training for team sports takes place primarily in gender-separated groups, and these sports are known for their “locker room” culture. The locker room is often regarded as a place where hegemonic masculinities dominate and where sexism, misogyny, and homophobic beliefs are reproduced (Rene Gregory 2011). This “locker room” culture and the separation by gender in team sports might attract men who tend to agree with such beliefs, while men who do not share such beliefs might tend to avoid team sports in such contexts.
Despite the scarcity of research on the link between sports participation and sexist gender ideologies (or closely related concepts such as attitudes toward women, gender role beliefs, etc.), some studies exist in this field. Two studies conducted in USA comparing female athletes to female non-athletes on their attitudes toward women found no significant differences between the two groups (Andre and Holland 1995; Colker and Widom 1980). In line with these findings, an interview study with 24 female U.S. Olympic athletes found that the group as a whole did not hold particularly feminist views (Balazs et al. 1976). Looking at research focusing on men, a study in USA observed significantly less egalitarian attitudes toward women in male team athletes than in male individual athletes or non-athletes (Caron et al. 1985). Another study conducted in USA found a positive association between sports ideology and support for sexism and patriarchy among male college students but no such association among female college students (Harry 1995). A number of studies have investigated whether male sports participation fosters violent sexual aggression toward women and an acceptance of rape myths (Forbes et al. 2006; Blumstein and Benedict 1999; Koss and Gaines 1993; Frintner and Rubinson 1993; Boeringer 1999; Sawyer et al. 2002; Crosset 2002; Messner and Stevens 2002). Their results suggest overall that young men who participate in physical sports show a higher likelihood of sexual aggression and acceptance of rape myths. It should be noted, however, that—as with the studies on the link between sports participation and attitudes toward women—most of the existing studies were based on data from Western countries (mostly from U.S. high schools, colleges, and universities), and most had small sample sizes. Looking at research focusing on women, Guillet et al. (2000, 2006) found that adolescent girls who participate in sports show higher values in masculinity orientation, but that this might be due to higher values for competitiveness. Richman and Shaffer (2000) found based on a sample of 220 college females that sport participation predicted higher values in self-esteem. Brady (2005) argued that women’s sport teams can empower women in developing countries by providing a safe space which could foster identifying as being female and which could provide a feeling of belonging.
My work is based on the observation that sports participation is gender segregated to a large extent. As stated above, this separation has the effect that men and boys participate mainly in male-dominated sports and women and girls mainly in female-dominated sports. The social identity approach—which builds up on self-categorization theory and social identity theory (Turner 1999; Haslam [2001] 2004)—suggests that sports club members are more likely to have a strong gender identity, which in turn could impact the development of gender-related attitudes and beliefs. According to the social identity approach, individuals assign a value to each of the groups to which they belong compared to relevant outgroups (groups to which they do not belong). Individuals strive for the best possible self-assessment, which implies that they aim to evaluate their own groups as better than relevant outgroups. The endeavor to evaluate the ingroup as better than outgroups is called in-group bias (Turner and Tajfel 1986). It can cause an individual to develop positive attitudes and beliefs toward ingroup members as well as negative attitudes and beliefs toward outgroup members (Turner and Tajfel 1986). Bonding with other people of the same gender in the sphere of sports may lead male and female sports club members to have a stronger gender identification than people who are not in sports clubs. The separation by gender in sports makes it likely that gender is the social category that sports club members use to distinguish ingroup members from outgroup members. Coupled with ingroup bias, the stronger gender identification can lead sports club members to develop more positive beliefs and attitudes about their own gender as well as discriminatory beliefs and attitudes toward people of another gender. Following this argument from the social identity approach, men who are active members of sports clubs can be expected to hold more sexist gender ideologies than men who are not active in sports clubs. Accordingly, Hypothesis 1 is as follows:
Hypothesis 1 (H1).
Controlling for other factors, men who are active in sports clubs show, on average, more sexist gender ideologies than men who are not active in sports clubs.
Women who are active in sports clubs can be expected to hold less sexist gender ideologies, due to their stronger identification with their own gender, than women who are not active in sports clubs. This is formulated in Hypothesis 2:
Hypothesis 2 (H2).
Controlling for other factors, women who are active in sports clubs hold, on average, less sexist gender ideologies than women who are not active in sports clubs.
One might also argue that women who participate in sports—especially male-dominated sports—could be expected to develop more sexist gender ideologies than women who do not due to their increased contact with men and adoption of men’s beliefs and attitudes. However, sports are still largely gender segregated, and mixed-gender sports are the exception rather than the rule. I would therefore argue that most women who are active in sports clubs are playing or practicing in groups of women. In line with the social identity approach, bonding with other women can lead to stronger female gender identification. Women who are active members of women-only sports groups might therefore show stronger support for emancipative values and reject sexist gender ideologies more than women who are not active in women-only groups. A further possible argument against Hypothesis 2 is that women who are active in sports might be more similar to men in terms of personality traits that are often labelled as “masculine”, such as aggressiveness and assertiveness, than they are to women who do not participate in sports. I would argue that an increased level of assertiveness and aggressiveness may foster support for sexist gender ideologies among men, but is relatively unlikely to do so among women, as support for sexist gender ideologies runs counter to their own self-interest and presumable desire for social power.
The estimated partial effects of sports club participation on sexist gender ideologies might vary between countries that are strongly dominated by men and countries in which social power is more equally distributed. Inspired by Messner’s critique of the domain of sports as a retreat from the perceived feminization in society for men with sexist beliefs, a selection effect of men with sexist attitudes into sports might be present especially in countries that can be described as more gender-egalitarian. In such countries, other areas of the public sphere might already be more gender-egalitarian and less separated by gender than the sphere of sports.4 This leads to Hypothesis 3:
Hypothesis 3 (H3).
In countries where social power is more equally distributed between men and women (more gender-egalitarian countries), differences in gender ideologies between male sports club members and male non-members are larger than in countries where social power is concentrated in the hands of men (more patriarchal countries).
Social and symbolic boundaries are another relevant concept in explaining differences between female members and non-members of sports clubs in the endorsement of sexist gender ideologies (Lamont and Molnár 2002, p. 168). Lamont and Molnár define boundaries as socially constructed borders that create social differences. They distinguish between symbolic and social boundaries (Lamont and Molnár 2002). Symbolic boundaries are instruments that social actors use to categorize objects, people, groups, practices, space, and time (Barker-Ruchti et al. 2016). Social boundaries are “more fixed (…) objectified forms of social differences manifested in unequal access to and unequal distribution of resources (material and nonmaterial) and social opportunities” (Lamont and Molnár 2002, p. 168). Social boundaries refer to social inequalities (e.g., in access to participation in sports clubs) that result from existing symbolic boundaries (e.g., the norm that excludes women from participating in sports). Especially in very gender-inegalitarian countries, women’s participation in sports might still be viewed as crossing a symbolic (or even a social) boundary, since it is still uncommon in such countries for women to participate in organized sports (Barker-Ruchti et al. 2016, p. 5). Women with strong emancipatory values might be more likely to overcome this boundary and choose to participate in sports, whereas women with high conformity values might be more likely to subordinate themselves to the male-dominated social order and choose not to participate in sports. The self-selection of women with pronounced emancipatory values into sports should lead to a more pronounced rejection of sexist gender ideologies by women who are members of sports clubs compared to non-members, since strong emancipatory values should be negatively associated with sexist gender ideologies in women. Consequently, Hypothesis 4 is as follows:
Hypothesis 4 (H4).
In countries where social power is more unequally distributed between men and women (more gender-inegalitarian countries), differences in gender ideologies between female sports club members and female non-members are larger than in more gender-egalitarian countries.
3. Materials and Methods
3.1. Data
For my empirical analysis, I used data from the World Values Survey (WVS) (Inglehart et al. 2020) and the European Values Study (EVS) (Gedeshi et al. 2015). Both data sets are repeated cross-sections containing a set of similar standardized measurements across both surveys (including measurements of the concepts of sports participation and sexist gender ideology), which made it possible to run my analyses on a data set that contains the observations from both data sets. I restricted the sample to individuals aged 18 years and older. After deleting observations for which the relevant variables were not collected, the sample consisted of 118,897 observations (57,817 men and 61,080 women) from 74 countries (Appendix A contains a list of the countries for which observations are included in the analysis; Figure 3 also gives an overview of which countries are included in the analysis). The observations cover the period 2005 to 2016. In addition to the existing variables in the WVS-EVS data set, the Women Political Empowerment Index (WPE) and the Exclusion by Gender Index (EG) of the Varieties of Democracy Project (V-Dem; Coppedge et al. 2021), both of which are country-level variables, were merged with the WVS-EVS data set. These two indices have been added to operationalize the distribution of social power between men and women in a country. Figure 1 and Figure 2 offer examples for the year 2018 showing how the country-specific values of these two indices differ across countries. Figure 1 shows that WPI scores are highest in countries of the Global North, whereas WPI scores are low especially in the Middle East and Northeast Africa, showing that women there have less political power than in other countries. A similar picture emerges when looking at the country-specific values of the EG Index (compare Figure 1 and Figure 2). One can see that countries where women have more political power tend to be those where women are less marginalized. This also means that countries where women have less political power tend to be those where women are more marginalized.
Figure 1.
Women’s Political Empowerment Index by country. Dark blue indicates more gender-inegalitarian countries, and light green indicates more gender-egalitarian countries.5 Source: V-DEM data of the year 2018.
Figure 1.
Women’s Political Empowerment Index by country. Dark blue indicates more gender-inegalitarian countries, and light green indicates more gender-egalitarian countries.5 Source: V-DEM data of the year 2018.

Figure 2.
Exclusion by Gender Index by country. Dark blue indicates more gender-inegalitarian countries, and light green indicates more gender-egalitarian countries. Source: V-DEM data for the year 2018.
Figure 2.
Exclusion by Gender Index by country. Dark blue indicates more gender-inegalitarian countries, and light green indicates more gender-egalitarian countries. Source: V-DEM data for the year 2018.

3.2. Measuring Sexist Gender Ideology
To measure the latent concept of sexist gender ideology, I used a four-item scale. The items used were:
- On the whole, men make better political leaders than women do (1—“Strongly disagree”, 2—“Disagree”, 3—“Agree”, and 4—“Strongly agree”).
- On the whole, men make better business executives than women do (1—“Strongly disagree”, 2—“Disagree”, 3—“Agree”, and 4—“Strongly agree”).
- A university degree is more important for a boy than for a girl (1—“Strongly disagree”, 2—“Disagree”, 3—“Agree”, and 4—“Strongly agree”).
- When jobs are scarce, men should have more right to do a job than women (1—“Disagree”, 2—“Neither agree nor disagree”, and 3—“Agree”).
This four-item scale exceeds sufficient levels of reliability (Cronbach’s Alpha 0.767). Using the set of standardized items, I calculated factor scores from the results of a confirmatory factor analysis (CFA). It was still necessary to investigate to the extent of measurement invariance across countries, however, since individuals from different countries might have a different understanding of what the four items mean.6 Analyses of scale invariance show that the model with fixed loadings across countries (metric invariance model) had a value for the CFI of 0.964, indicating an acceptable model fit (CFI > 0.95). The model with free loadings across countries did not converge, meaning that the change in CFI values could not be compared. Since the model with fixed loadings showed an acceptable model fit, there was still support for metric invariance. The model with fixed intercepts and fixed loadings (strong invariance model) had a CFI of 0.771. Since the CFI values showed a large decrease, there was no support for strong invariance (equal intercepts and loadings).7 I therefore continued the analysis with the model in which the condition of metric invariance across countries was implemented in the model design. Based on the “metric invariance” model, I calculated factor scores. For better interpretability, I rescaled the calculated factor scores to a 0 to 10 scale in which 10 stands for the most sexist gender ideologies and 0 for the least sexist gender ideologies in the WVS-EVS data set. These recalculated factor scores served as the dependent variable in the subsequent multilevel regression models. Figure 1 shows the country-specific average scores on the “Sexist Gender Ideologies” scale for the 74 countries that are included in the pooled data set. The country-specific mean scores for sexist gender ideologies vary considerable across countries. Again, in line with the maps of the EG Index and the WPE Index, countries from the Global North show on average the highest rejection of sexist gender ideologies, whereas especially countries from the Middle East and North Africa show on average the most sexist gender ideologies (also compare Figure 3 with Figure 1 and Figure 2). For the calculated scores of sexist gender ideologies, I also calculated the country-level intraclass correlation coefficient (ICC) to see how much of the variance in sexist gender ideologies can be explained on the country level. The ICC value was 0.389 for men and 0.347 for women. These ICC values clearly show that sexist gender ideologies vary considerably at the country level.
Figure 3.
Average levels of the factor scores of the “Sexist Gender Ideologies” scale for the 74 countries included in the analysis. Dark blue indicates holding sexist gender ideologies, and light green indicates a rejection of sexist gender ideologies. Author’s calculations. Source: WVS-EVS data.
Figure 3.
Average levels of the factor scores of the “Sexist Gender Ideologies” scale for the 74 countries included in the analysis. Dark blue indicates holding sexist gender ideologies, and light green indicates a rejection of sexist gender ideologies. Author’s calculations. Source: WVS-EVS data.

3.3. Measuring Sports Participation
To categorize individual participation in sports, the WVS-EVS data include a variable stating whether the individual is an active member, passive member, or not a member of a sports or recreational club.8 I used this variable to measure individual participation in sports.
3.4. Analysis
The first aim of my analysis was to investigate whether participation in sports clubs explains differences in gender ideologies within the groups of men and women. To analyze this, I calculated multilevel regression models separately for the two groups. I used multilevel models to account for the between-country variation in holding sexist gender ideologies. I used robust standard errors to account for the country-clustered data structure in the estimated standard errors. To investigate whether sports club members differed significantly from non-members in the strength of their gender ideologies (Hypotheses 1 and 2), I calculated three models for the male group and two models for the female group. For each of these groups, one model contained only a set of the control variables at the individual level and a random intercept accounting for general between-country differences in the dependent variable, gender ideologies. This served as the baseline model. The set of control variables consisted of the following:
- Participation in other leisure clubs or organizations (0—“not a member of any other recreational clubs or organizations”, 1—“inactive member of at least one other recreational club or organization, but not an active member of any”, and 2—“active member of at least one other recreational club or organization”);
- Age (in years, divided by 10 for a better interpretability);
- Education level (ordinal eight-point scale with the categories 1—“Incomplete primary school”, 2—“Complete primary school, 3—“Incomplete secondary school: technical/vocational type”, 4—“Complete secondary school: technical/vocational type”, 5—“Incomplete secondary school: university-preparatory type”, 6—“Incomplete secondary school: university-preparatory type”, 7—“Some university-level education, without degree”, and 8—“University—level education, with degree”);
- Self-perceived position on the income distribution (in deciles; interpreted as a metric variable);
- Being unemployed (dummy, reference group: Not unemployed);
- Being married (dummy, reference group: Not married);
- Having a child (dummy, reference group: No child);
- Religiosity (dummy, reference group: Not religious);
- Dummy variables for the years 2006–2016 (reference category is the year 2005).
The second model had the same structure as the baseline model but also included effects for the variable sports participation (one dummy variable for active membership in sports clubs and one for inactive membership in sports clubs). In the third model, the variable sports participation was modelled as random. This means that besides the two average effects for active and inactive membership in sports clubs, random slopes for these two variables were added. Thus, Model 3 is a type of the random intercept random slope model which has been described, for instance in Schmidt-Catran et al. (2019). The random slopes as well as the random intercepts were modelled as normal-distributed around an expected value of zero. The integration of random slopes for the variable sports participation helps explicitly in modeling the between-country heterogeneity in the estimated partial effects of sports participation on the dependent variable, gender ideology.
In the following, the mathematical notation of the models I have calculated will be explained in more detail. First, the baseline model (random intercept model) is introduced.9
Model 1:
refers to the value of individual from country on the sexist gender ideology scale. is the intercept for the total sample, is the country-level random intercept.
is a row vector including the observations of individual from country on the control variables mentioned above. is the corresponding column vector including the partial effects of these control variables on the dependent variable sexist gender ideologies.10 The individual-specific error terms are independently identically distributed following a normal distribution, so that ~ N (0, ) holds. The same holds for the country-level random intercepts , which are also independently and identically normal-distributed. So, ~ N (0, ) holds as well.
The model equations for Model 2 and Model 3 are given by the following two model equations. In Model 2, the dummy variables , for active and inactive membership and their corresponding average effects and in sports clubs are introduced. In Model 3, random effects for active and inactive membership in sports clubs are also added, so that the estimated partial effects of being an (in)active member of sports clubs can vary across countries.
Model 2:
Model 3:
The random effects and of being an active (or inactive) member are also independently and identically normal-distributed, meaning that ~ N (0, and ~ N (0, ) holds. Furthermore, it should be noted that all random effects are modelled as independent from each other which helped to reduce the computational burden of these models. After calculating Model 3—the one that includes the average effect and the random effect for active and inactive membership in sports clubs—I estimated the country-specific effects of active and inactive membership in sports clubs on gender ideologies by calculating the sum of the average effect and the country-specific posterior means of the random effects. After calculating the country-specific effects, I analyzed the between-country variation in the effect sizes of active and inactive membership in sports clubs by inspecting the distribution of the country-specific effects.
To analyze whether power relations between men and women in a country moderate the relationship between sports participation and sexist gender ideologies, I calculated four further models (two for men and two for women). For both groups, I calculated one model, denoted as Model 4, of the potential interaction between sports participation and the WPE Index. I decided to include dummy variables for the deciles of the WPE Index (except for the first decile, which was chosen as the reference category) and interact them with the dummy variables for being an (in)active member of a sports club since the WPE Index suffered from being heavily left skewed.11 Therefore, in comparison to Model 3, nine dummy variables and 18 interaction terms have been added in Model 4. To check whether the findings from Model 4 were reliable, I estimated an analogous model (Model 5) based on the deciles of the EG Index instead of using deciles of the WPE Index. In Models 4 and 5, the model equation for Model 3 is added by the term , which contains direct effects of the WPE Index (or the EG Index), and interaction terms between sports club membership and the WPE Index (or the EG Index). The following models follow the suggestion by Heisig and Schaeffer (2019) that random slopes should always be included for the variable at the lower level when modelling a cross-level interaction.
Model 4 and Model 5:
In Model 4, is defined as follows:
The term for in Model 5 is given analogously to Model 4. The only difference is that is constructed based on the EG Index instead of being based on the WPE Index. In Model 5, therefore, is given by:
Table 1 provides an overview of the descriptive statistics for the variables that were considered in the final regression models for men, and Table 2 does the same for women. The two potential moderating variables, WPE Index and the EG Index, have a metric scale. Both indices could take values between 0 and 1. A value close to 0 on the EG Index scale signifies that an individual is less likely to be excluded based on gender (indicating relatively gender-egalitarian countries), whereas a value close to 1 signifies that an individual is more likely to be excluded based on gender (indicating relatively gender-inegalitarian countries). For the WPE Index, the scale is arranged in reverse order. Here, a value close to zero signifies that women are less likely to be politically empowered (indicating relatively gender-inegalitarian countries), whereas a value close to 1 signifies that women tend to be politically empowered (indicating relatively gender-egalitarian countries). As mentioned before, for the final analysis, the EG Index and the WPE Index were categorized to deciles since they were heavily left skewed and right skewed, respectively (see Appendix B for the frequency distribution of the two indices and for a detailed discussion of why the indices were categorized in this way). When using the metric indices, it was impossible to compare the partial effects of sports participation on gender ideologies between gender-egalitarian and gender-inegalitarian countries since the estimated interaction terms in the regression models were mainly determined by differences between gender-egalitarian and relatively gender-egalitarian countries. Since the “boundary-crossing” effect might be most salient for women in very gender-inegalitarian countries, I decided to model power relations between men and women in a country by categorizing the indices to deciles to get a more granular view of how gender power relations moderate the partial effects of sports participation on sexist gender ideologies.
Table 1.
Summary statistics for men.
Table 2.
Summary statistics for women.
4. Results
Section 4.1 presents results on the partial effect of the variable sports participation on the dependent variable, gender ideology, for men, and Section 4.2 presents the results for women.12
4.1. Results for Men
Table 3 provides an overview of the estimated coefficients from the first three models that were calculated for the male group. These are the baseline model, the model that also includes the average effects for active and inactive membership in sports clubs, and the model that also contains the random effects for active and inactive membership in sports clubs. The robust standard errors are displayed in parentheses.
Table 3.
The partial effects of sports participation and the other covariates on sexist gender ideologies. Random coefficient models based on male observations from 74 countries. Source: WVS-EVS-data.
For the male group, the estimated average effects for sports participation had an effect size of 0.087 for active membership and 0.083 for inactive membership in sports clubs (see Model 2 in Table 3). Both coefficients were significant at a level of α = 5%. Even when adding random coefficients to the model, the effect size of these average effects changed only marginally and remained significant (see Model 3 in Table 3). The positive effect size implies that (controlling for the other factors) being a member of a sports club (whether active or inactive) predicts more sexist gender ideologies than not being a member.13 The estimated random coefficients in Model 3 for being an active sports club member as well as those for being an inactive member were both highly significant. This suggests that the estimated partial effects of active and inactive membership in sports clubs on the dependent variable, gender ideologies, vary significantly across countries. The histograms in Figure 4 show the distribution of the country-level estimated effects of active membership in sports clubs (left graph) and inactive membership in sports clubs (right graph). For each country, the estimated effect of sports participation was included in the histogram once. In both graphs, we see that most estimated coefficients had an effect size above a value of zero. From all 74 countries in the analysis, 61 showed positive predicted country-specific effects for active membership (compare to Table A2 in Appendix C). From the country-specific effects of being an inactive member of sports clubs, 55 of the 74 country-specific coefficients were positive (compare to Table A3 in Appendix C). This implies that the partial effect of being a sports club member compared to not being a member predicts more sexist gender ideologies in most countries. Accordingly, for most countries, we find some support for Hypothesis 1.
Figure 4.
Estimated country-specific effects for active membership in sports clubs (a) and inactive membership in sports clubs (b) for the group of men. Source: WVS-EVS data.
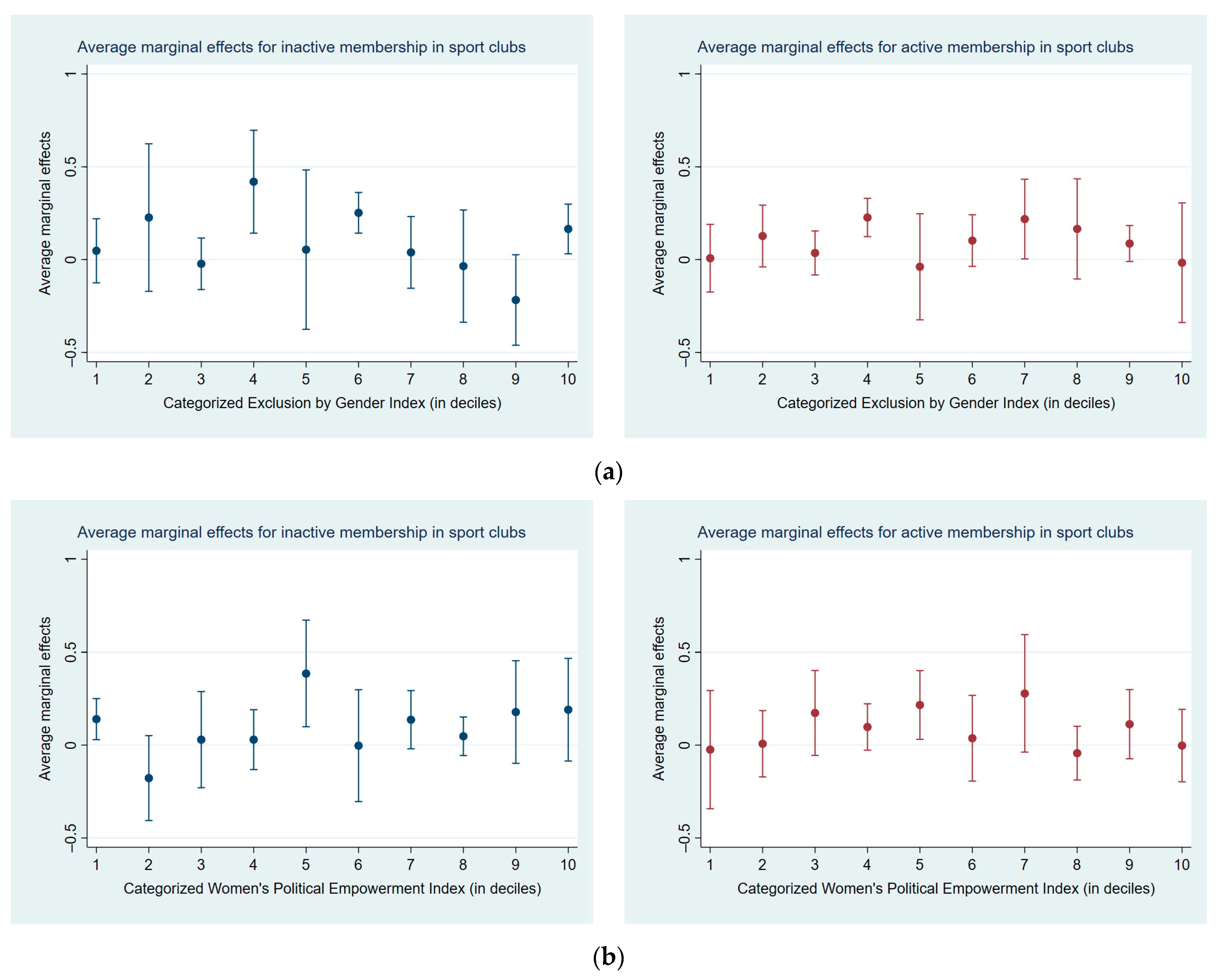
Concerning the potential moderating role of a country’s gender power relations in the link between sports participation and sexist gender ideologies, it should be noted that the interaction terms of both chosen operationalizations (using the deciles of the WPE Index or of the EG Index) showed almost no significant effects at a significance level of = 5% (compare to Table A1). Only 2 of 36 estimated interaction terms were significant. This indicates that the partial effects of sports participation on the dependent variable, sexist gender ideology, are not moderated by power relations between men and women in a country. In addition to the table with the estimated regression models, I also plotted the average marginal effects (AMEs) conditioned on the deciles of the EG Index and of the WPE Index to see whether a systematic pattern became more visible (see Figure 5). Figure 5a shows the AMEs conditioned on the deciles of the EG Index, whereas Figure 5b shows the AMEs conditioned on the decile of the WPE Index. As a reminder: For the EG Index, high values indicate a high degree of exclusion by gender, whereas for the WPE Index, high values indicate that women are politically empowered. This means that countries that are relatively gender-egalitarian are included in the lower deciles of the EG Index but in the upper deciles of the WPE Index. In both graphs, it is evident that the estimated AMEs for active and inactive membership in sports clubs vary almost randomly around a value slightly above zero, which shows that for the male population, the partial effect of sports participation on gender ideologies is independent of the power relations between men and women in a country.14
Figure 5.
Average marginal effects for active and inactive membership in sports clubs (a) conditioned on the deciles of the Exclusion by Gender Index and (b) conditioned on the deciles of the Women’s Political Empowerment Index for the group of men. We included 95% confidence intervals using robust standard errors. Source: WVS-EVS data and V-Dem data.
4.2. Results for Women
Table 4 shows the estimated coefficients from the first three models that were calculated based on the female group.15
Table 4.
The partial effects of sports participation and the other covariates on sexist gender ideologies. Random coefficient models based on female observations from 74 countries. Source: WVS-EVS-data.
For women, the estimated average effect for the variable active membership in sports clubs in Model 2 was 0.027 and thus close to zero and not significant (compare to Table 4). The effect size of this variable also remained close to zero when adding random coefficients for sports participation to the model (see Model 3). For inactive membership in sports clubs, the effect size in Model 2 was 0.121 and almost significant (the p-value was 0.052). The positive effect size predicted more sexist gender ideologies for inactive members than for non-members, which is contrary to expectations. However, when adding random slopes to the model, the effect size fell to 0.072, making the average effect for inactive membership not significant (see Model 3). This suggests that the observed positive effect size for inactive membership in Model 2 might be explained (at least partly) by an outlier, as the effect size decreased when explicitly modelling the between-country variation in the effect. Furthermore, it became apparent that the effect size of the average effect for inactive membership in both models was heavily influenced by observations from South Africa.16 When excluding these observations, the effect size fell to a value of around 0.06 and was no longer significant.17 This suggests that for most countries, the partial effects of being an active member and also of being an inactive member of sports clubs on gender ideologies are close to zero for women.
This result is also reflected in Figure 6, which shows the between-country variation in the effect size of sports participation for women: In both graphs, the distribution of the country-specific effects varied around a value close to zero (although, in the case of inactive membership, the distribution shifted slightly to the right). For the variable active membership, 34 coefficients were negative and 40 were positive. For the variable inactive membership, 29 coefficients were negative and 45 were positive. Consequently, since the effect size was close to zero (and even slightly positive for the group of inactive members), Hypothesis 3, stating that female sports club members hold less sexist gender ideologies on average, must be rejected.
Figure 6.
Estimated country-specific effects for active membership in sports clubs (a) and inactive membership in sports clubs (b) for the group of women. Source: WVS-EVS data.
With regard to the question of the potential moderating role of gender power relations in a country on the link between sports participation and sexist gender ideologies, it should be noted that only two of the 36 interaction terms in Models 4 and 5 were significant (see also Table A6 in Appendix D). This indicates that, as was the case in the model for men, adding the interaction terms did not improve the model fit. When looking at the conditional AMEs of active and inactive membership in sports clubs, however, a pattern emerged that provides some support for the “boundary-crossing” hypothesis for the group of active sports club members if we compare the AMEs for active membership in sports clubs from relatively gender-egalitarian countries with those from very gender-inegalitarian countries (see Figure 7). Figure 7a shows the AME conditioned on the deciles of the EG Index, while Figure 7b shows the AMEs conditioned on the deciles of the WPE Index. Looking at the AMEs conditioned on the first decile of the WPE Index (which contains observations from Egypt, Ethiopia, Haiti, Iran, Kuwait, Lebanon, Libya, Qatar, Uzbekistan, and Yemen) we see that being an active member predicts less sexist gender ideologies. Looking at the AMEs from the tenth decile of the EG Index (which contains observations from Egypt, Ethiopia, Iran, Iraq, Libya, Mali, Nigeria, Qatar, and Yemen), we see a similar negative effect. Furthermore, when looking at the AMEs conditioned on the deciles of the WPE Index in Figure 7b, we see a surprising positive peak in the AMEs of active and inactive membership in the seventh decile. It should be noted that this peak was mainly caused by observations from South Africa. When excluding the observations from South Africa, the spike in the seventh decile diminished.18

Figure 7.
Average marginal effects for active and inactive membership in sports clubs (a) conditioned on the deciles of the Exclusion by Gender Index or (b) conditioned on the deciles of the Women’s Political Empowerment Index for the group of women. We included 95% confidence intervals using robust standard errors. Source: WVS-EVS data and V-Dem data.
5. Discussion
This work contributes to scholarly discourse on the role of sports in the reproduction of sexist beliefs. The findings show that in most countries, when sociodemographic factors are taken into account, men who are active members of sports clubs hold sexist gender ideologies to a significantly greater extent than men who are not active in sports clubs. This finding is in line with expectations: The sphere of sports has been repeatedly described as a sphere in which hegemonic masculinities exist (see, e.g., Anderson 2002; Lavelle 2021; MacDonald 2014). According to Connell (1995), these forms of masculinities are characterized by being exclusively heterosexual, by valuing physical strength, and by maintaining dominance by oppressing others. Following Connell, we would therefore expect that men who show stronger support for sexist beliefs might also be more likely to reject more inclusive forms of masculinities.
Despite my finding that the average effect of being an (in)active member of sports clubs was significant and predicted on average more sexist gender ideologies for the group of men, it should be noted that the observed effect sizes were quite small. This observation also holds for the estimated country-specific average marginal effects of being an (in)active member of sports clubs on sexist gender ideologies, which also were quite small for most countries. Other factors, such as educational levels and country of origin, were far more important in predicting whether men (and women) held more sexist or more gender-egalitarian beliefs. The extent to which sexist beliefs are shared within the sphere of sports can be understood as a reflection of the prevalence of sexist beliefs in a country in general. Accordingly, my results do not contradict Anderson’s hypothesis on the incorporation of inclusive masculinities into the sphere of sports in egalitarian countries. Furthermore, the analyses across the different age groups show that the estimated partial effect for active membership in the younger age group of 18–24-year-old men is smaller and thus not significant, while in the group of 25+ year old men the effect size remains stable compared to the effect observed for the group of all men and also remains significant (see Tables S4 and S5 in the Supplementary Material). This supports the statement that for the group of younger men there is a higher share of inclusive masculinities in the sphere of sports than in the group of older men.
With regard to women, my results show that only in very gender-inegalitarian countries do women who are active members of sports clubs reject sexist gender ideologies significantly more than women who are not members of sports clubs. In addition, the results predict that women who are inactive members of sports clubs will show an increased (although not significant) endorsement of sexist gender ideologies compared women who are not members (see Model 2 in Table 4). The effect size of being an inactive member observed in Model 2 was, on the one hand, not entirely robust across models (it was only half as large in Model 3; compare Models 2 and 3 in Table 4) and was strongly driven by the observations from South Africa, leaving doubts about the general validity of this result. On the other hand, there may also be substantive reasons that lead to an increased prevalence of sexist gender ideologies in this group. For example, women who are not active sports club members may be more conformist or traditionalist in orientation, and after starting a family, they may devote themselves entirely to the family and withdraw from sports clubs. In addition, there may be women who are involved in sports clubs without participating in sports (e.g., mothers of children who are active, or as players’ wives). This group of individuals may also be included in the group of inactive members and might share conformist values, which increase the likelihood of agreeing with sexist gender ideologies.
The “retreat” hypothesis—which posited that in more gender-egalitarian countries, men who are members of sports clubs hold more sexist gender ideologies than men who are not members—could not be confirmed. It turned out instead that the partial effects of sports club membership on gender ideologies were quite independent of how social power is distributed between men and women. Looking at the results for women, only in very gender-inegalitarian countries did the estimated partial effects of sports participation lead to a significant reduction in the dependent variable of holding sexist gender ideologies. In these gender-inegalitarian countries, differences between membership and non-membership appeared to be greatest among younger women. These findings show that in male-dominated countries, female sports groups (especially those with younger members) might function as a safe space in which emancipatory beliefs that run counter to the patriarchal structure of the rest of society can be shared.
My findings should be interpreted with caution for several reasons. The first addresses the potential direction of causality. Men who hold more sexist beliefs might be more likely to select into sports than men who hold less sexist beliefs. This means that instead of a peer effect from participating in sports clubs, a selection effect of certain people into sports could explain the results. For the group of women, it is also not possible to break down whether the increased rejection of sexist attitudes by women who are active members of sports clubs in inegalitarian countries is due to a peer effect or a selection effect. Since the analysis was conducted based on cross-sectional data, no statements can be made about the direction of the causal relationship between participation in sports clubs and endorsement of sexist gender ideologies.
In addition to the limitation that comes with using cross-sectional data, my work also has the limitation that it depends on two assumptions. The first is that the sports and recreational club members in my data set were mainly from sports clubs. The second is that sports club participation is highly segregated by gender. In both cases, I provided arguments to show why these assumptions were realistic, and why it was hence justifiable to use them. However, if more precise measurements had been available on the concepts of sports participation and the gender distribution on sports teams, there would have been no need to rely on these assumptions. Furthermore, this analysis would certainly have been optimized by including instruments that measure the attitudes toward women’s participation in sports clubs at a country level. This would have made it possible to verify whether women really need to cross a social boundary—by acting contrary to social norms of what is considered gender-appropriate—when they decide to participate in sports clubs. It would also be desirable to have data that systematically measure institutionalized restrictions and prohibitions on women’s participation in sports clubs, which might be imposed by clubs, but also by associations, by the state, or by religious institutions. Unfortunately, in both cases, no standardized indices are currently available in this regard in cross-national research.
An important goal for future research in this area would therefore be to provide (longitudinal) data that contain not only general measures of gender-related attitudes but also more precise measures of sports participation. Ideally, such data would also include measures of relevant contextual information such as public opinion on women’s participation in certain sports as well as detailed information on the structure of groups in which individuals participate (e.g., gender or educational levels of group members).
Supplementary Materials
The following supporting information can be downloaded at: https://www.mdpi.com/article/10.3390/socsci12040207/s1. The supplementary material also contains the results for the subpopulations of men aged 18–24 (see Table S4 and Figure S3), men aged 25+ (see Table S5 and Figure S4), women aged 18–24 (see Table S6 and Figure S5), and women aged 25+ (see Table S7 and Figure S6), as well as the results of the other robustness checks (see Tables S1–S3 and Figures S1 and S2) that were performed.
Funding
This research received no external funding.
Informed Consent Statement
Not necessary since secondary data from the World Values Survey and the European Values Study were used in this work.
Data Availability Statement
Publicly available data sets were analyzed in this study. The data sets can be found at the following links. The WVS data can be downloaded from: https://www.worldvaluessurvey.org/WVSDocumentationWVL.jsp, the EVS data from https://dbk.gesis.org/dbksearch/SDesc2.asp?no=4804&db=E, and the V-Dem data from https://www.v-dem.net/dsarchive.html (all three links accessed on 27 May 2022). The exact data files used in this analysis are “WVS_TimeSeries_stata_v1_6”, “EVS Longitudinal 1981—2008_ZA4804_v3-0-0”, and “V-Dem-CY-Core-v11.1”. The WVS and EVS data sets were aggregated following the procedure on the website of the World Value Survey (see https://europeanvaluesstudy.eu/methodology-data-documentation/integrated-values-surveys-ivs-1981-2021/; accessed on 27 May 2022), but can be also replicated with the Do-files that are attached to this work and which are made publicly available in the Supplementary Material.
Acknowledgments
I would like to thank my colleagues Marvin Bürmann (Bielefeld University), Stephan Schütze (Bielefeld University), and Ib Keune (formerly Humboldt University, Berlin) for proofreading this paper. Furthermore, I would like to thank my supervisor, Martin Kroh (Bielefeld University), as well as the entire research class organized by Martin Kroh and Andreas Zick (Institute for Interdisciplinary Research on Conflict and Violence, Bielefeld) for giving me valuable feedback on my work.
Conflicts of Interest
The author declares no conflict of interest.
Appendix A. Coverage
The following list provides an overview of the countries included in the final analysis. The list is sorted by continent or region.
- Africa (N = 14): Algeria, Burkina Faso, Egypt, Ethiopia, Ghana, Libya, Mali, Morocco, Nigeria, Rwanda, South Africa, Tunisia, Zambia, Zimbabwe
- Asia including the Middle East (N = 24): Armenia, Azerbaijan, China, Hong Kong, India, Indonesia, Iran, Iraq, Japan, Jordan, Kazakhstan, Kuwait, Kyrgyz Republic, Lebanon, Malaysia, Pakistan, Palestine, Philippines, Qatar, Singapore, Republic of Korea, Taiwan, Thailand, Uzbekistan, Vietnam, Yemen
- Australia & Oceania (N = 2): Australia, New Zealand
- Europe (N = 23): Andorra, Belarus, Bulgaria, Cyprus, Estonia, Finland, France, Germany, Georgia, Hungary, Italy, Moldova, The Netherlands, Norway, Poland, Romania, Russia, Slovenia, Spain, Turkey, Sweden, Switzerland, Ukraine, UK
- North America, Central America & the Caribbean (N = 5): Canada, Haiti, Mexico, Trinidad and Tobago, USA
- South America (N = 6): Brazil, Chile, Colombia, Ecuador, Peru, Uruguay
Appendix B. Constructing Categorical Variables Based on the Women’s Political Empowerment Index and the Exclusion by Gender Index
The following two histograms show the frequency distribution of the EG Index (Figure A1) and the WPE Index (Figure A2) for all countries that were included in my analysis. One data point was included per country in the distribution of the histogram. One can see that the distribution of the EG Index was heavily right skewed, whereas that of the WPE Index was heavily left skewed. This led to the problem that the estimated coefficients from the interaction between sports participation and the metric EG Index (or the WPE Index) were largely determined by observations from relatively egalitarian countries. Furthermore, as already mentioned in the main section, it was expected that the moderating effect of the EG Index (or the WPE Index) on the relationship between sports participation and gender ideologies might be non-linear. Such a non-linear relationship was expected, especially with respect to the “boundary-crossing” hypothesis, since women’s participation in sports might only be viewed as crossing a symbolic or social boundary in very gender-inegalitarian countries. Accordingly, the selection of women with high emancipatory values into sports might occur primarily in very gender-inegalitarian countries, where such boundaries are present.
Figure A1.
Distribution of the Exclusion by Gender (EG) Index (a) and the Women’s Political Empowerment (WPE) Index (b). One observation per country is included. Source: WVS-EVS data set.
Figure A1.
Distribution of the Exclusion by Gender (EG) Index (a) and the Women’s Political Empowerment (WPE) Index (b). One observation per country is included. Source: WVS-EVS data set.

The next question was how to model the interaction between the EG Index (or the WPE Index) and sports participation on the dependent variable, gender ideologies, in a way that made it possible to capture the relationship in the form of a statistical model. The first option, which I used here, was to categorize the indices to quantiles and then include the interaction terms of the quantiles and active/inactive membership in sports clubs. I chose deciles as even when choosing quintiles, the highest quintile of the EG Index consisted mainly of observations that were positioned very far to the left on the EG Index scale (for the WPE Index, it was the opposite for the lowest quintile). I integrated the categorized indices into the model by adding interaction terms between the dummy variables (the first decile was the reference category) and the dummy variables for (in)active membership in sports clubs to the model. This model design is presented in the main section. The following two lists show which countries were in the ten deciles of the WPE Index and which in those of the EG Index:
Appendix B.1. WPE Index
- 1st decile: Egypt, Ethiopia, Haiti, Iran, Kuwait, Lebanon, Libya, Qatar, Uzbekistan, Yemen
- 2nd decile: Azerbaijan, China, Iraq, Jordan, Malaysia, Nigeria, Pakistan, Turkey
- 3rd decile: India, Indonesia, Mali, Mexico, Morocco, Russia, Zambia, Zimbabwe
- 4th decile: Armenia, Burkina Faso, Colombia, Georgia, Mexico, Morocco, Singapore, Thai land, Vietnam
- 5th decile: Algeria, Brazil, Cyprus, Georgia, Japan, Kazakhstan, Kyrgyz Republic, Peru, Rwanda, Thailand
- 6th decile: Brazil, Cyprus, Ecuador, Ghana, Philippines, Romania, Rwanda, Tunisia
- 7th decile: Belarus, Chile, Moldova, Slovenia, South Africa, Taiwan, Ukraine, Uruguay
- 8th decile: Hungary, Italy, South Africa, Republic of Korea, Taiwan, Trinidad and Tobago, Ukraine, UK, USA, Uruguay
- 9th decile: Australia, Bulgaria, Canada, Estonia, France, The Netherlands, Poland, Switzerland
- 10th decile: Finland, Germany, New Zealand, Norway, Slovenia, Spain, Sweden
Appendix B.2. EG Index
- 1st decile: Australia, Germany, Hungary, The Netherlands, Norway, Slovenia, Sweden
- 2nd decile: Brazil, Canada, Estonia, Poland, Singapore, Spain, Uruguay
- 3rd decile: Bulgaria, Finland, France, Ghana, Italy, New Zealand, Spain, Switzerland, Taiwan, USA
- 4th decile: Belarus, Cyprus, Georgia, Ghana, Moldova, Trinidad and Tobago, Ukraine
- 5th decile: Japan, Romania, Rwanda, Republic of Korea, Thailand, Tunisia, UK
- 6th decile: Burkina Faso, Chile, China, Ecuador, Kazakhstan, Kyrgyz Republic, Pakistan, Philippines, Russia
- 7th decile: Algeria, Armenia, Azerbaijan, China, India, Jordan, Morocco, Vietnam, Zimbabwe
- 8th decile: Colombia, Indonesia, Morocco, Peru, South Africa, Uzbekistan, Zambia
- 9th decile: Haiti, Kuwait, Lebanon, Malaysia, Mexico, Peru, Turkey
- 10th decile: Egypt, Ethiopia, Iran, Iraq, Libya, Mali, Nigeria, Qatar, Yemen
Besides these models, I also calculated models in which a further modelling option was implemented. To eliminate the right skewedness in the data from the EG Index, this time the data were transformed with the function log(.), which is a recommended transformation to make the data more equally distributed according to the ladder of powers (Velleman and Hoaglin 1981, p. 49). Then, the transformed EG Index was interacted with the variable sports participation. Due to the expected nonlinear moderating effect of the EG Index on the partial effects of active and inactive membership in sports clubs, linear terms, quadratic terms, and cubic terms of the EG Index were used to model the interaction between sports participation and the EG Index. The cubic term was added since the estimated average marginal effects were dramatically overestimated in very gender-inegalitarian countries when using only a linear and a quadratic term. For the model with the interaction between the WPE Index and sports participation, the WPE Index was transformed by squaring the data, which is also a recommended transformation according to Velleman and Hoaglin (1981, p. 49). The function (.)2 was therefore used to eliminate the left skewedness in the data. Then, as in the model with the EG Index, linear, quadratic, and cubic terms of the WPE Index were used to model the moderating effect of the WPE Index on the partial effects of sports participation on gender ideologies. The figures for the estimated AMEs for the variables active/inactive membership in sports clubs resulting from these models for the male group can be found in Appendix C for the male population (see Figure A2) and in Appendix D for the female population (Figure A3).
Appendix C. Additional Results for the Group of Men
Table A1.
Partial effects of sports participation on sexist gender ideologies moderated by the deciles of the WPE Index (Model 4) and the deciles of EG Index (Model 5). Random coefficient models based on male observations from 74 countries. Source: WVS-EVS-data and V-Dem data.
Table A1.
Partial effects of sports participation on sexist gender ideologies moderated by the deciles of the WPE Index (Model 4) and the deciles of EG Index (Model 5). Random coefficient models based on male observations from 74 countries. Source: WVS-EVS-data and V-Dem data.
| Model 4 | Model 5 | |
|---|---|---|
| Membership in other leisure clubs or organizations (ref. category: “Not a member”) | ||
| Inactive member | −0.029 | −0.034 |
| (0.030) | (0.024) | |
| Active member | −0.090 * | −0.097 *** |
| (0.036) | (0.022) | |
| Age/10 | 0.021 | 0.021 *** |
| (0.013) | (0.006) | |
| Educational level (ref. category: “Incomplete primary school”) | ||
| Complete primary school | −0.109 | −0.110 ** |
| (0.066) | (0.039) | |
| Incomplete secondary school: technical/vocational type | −0.259 *** | −0.255 *** |
| (0.072) | (0.043) | |
| Complete secondary school: technical/vocational type | −0.422 *** | −0.420 *** |
| (0.072) | (0.038) | |
| Incomplete secondary school: university-preparatory type | −0.378 *** | −0.378 *** |
| (0.079) | (0.044) | |
| Complete secondary school: university-preparatory type | −0.479 *** | −0.479 *** |
| (0.070) | (0.039) | |
| Some university-level education, without degree | −0.616 *** | −0.614 *** |
| (0.082) | (0.044) | |
| University-level education, with degree | −0.778 *** | −0.781 *** |
| (0.079) | (0.040) | |
| Income decile (self-perceived) | −0.005 | −0.003 |
| (0.008) | (0.004) | |
| Unemployed | 0.064 | 0.068 * |
| (0.040) | (0.027) | |
| Married | −0.074 ** | −0.075 *** |
| (0.025) | (0.022) | |
| Child | 0.029 | 0.030 |
| (0.030) | (0.024) | |
| Religious | 0.114 ** | 0.116 *** |
| (0.044) | (0.019) | |
| Sports participation (ref. category: “Not a member”) | ||
| Inactive member | 0.140 * | 0.047 |
| (0.056) | (0.120) | |
| Active member | −0.024 | 0.007 |
| (0.162) | (0.090) | |
| Deciles of WPE Index (ref. category = 1st decile) | ||
| 2nd decile | 0.013 | |
| (0.533) | ||
| 3rd decile | −1.568 ** | |
| (0.525) | ||
| 4th decile | −1.460 ** | |
| (0.520) | ||
| 5th decile | −0.903 | |
| (0.514) | ||
| 6th decile | −0.742 | |
| (0.526) | ||
| 7th decile | −2.696 *** | |
| (0.514) | ||
| 8th decile | −2.758 *** | |
| (0.542) | ||
| 9th decile | −3.062 *** | |
| (0.535) | ||
| 10th decile | −2.380 *** | |
| (0.533) | ||
| Sports participation × deciles of WPE Index | ||
| Inactive member × 2nd decile of WPE Index | −0.318 * | |
| (0.127) | ||
| Inactive member × 3rd decile of WPE Index | −0.111 | |
| (0.146) | ||
| Inactive member × 4th decile of WPE Index | −0.111 | |
| (0.099) | ||
| Inactive member × 5th decile of WPE Index | 0.245 | |
| (0.157) | ||
| Inactive member × 6th decile of WPE Index | −0.143 | |
| (0.166) | ||
| Inactive member × 7th decile of WPE Index | −0.003 | |
| (0.096) | ||
| Inactive member × 8th decile of WPE Index | −0.092 | |
| (0.076) | ||
| Inactive member × 9th decile of WPE Index | 0.038 | |
| (0.152) | ||
| Inactive member × 10th decile of WPE Index | 0.051 | |
| (0.154) | ||
| Active member × 2nd decile of WPE Index | 0.032 | |
| (0.184) | ||
| Active member × 3rd decile of WPE Index | 0.198 | |
| (0.200) | ||
| Active member × 4th decile of WPE Index | 0.122 | |
| (0.173) | ||
| Active member × 5th decile of WPE Index | 0.241 | |
| (0.185) | ||
| Active member × 6th decile of WPE Index | 0.061 | |
| (0.199) | ||
| Active member × 7th decile of WPE Index | 0.302 | |
| (0.231) | ||
| Active member × 8th decile of WPE Index | −0.019 | |
| (0.176) | ||
| Active member × 9th decile of WPE Index | 0.137 | |
| (0.185) | ||
| Active member × 10th decile of WPE Index | 0.022 | |
| (0.191) | ||
| Deciles of EG Index (ref. category= 1st decile) | ||
| 2nd decile | 1.105 * | |
| (0.486) | ||
| 3rd decile | 1.034 * | |
| (0.476) | ||
| 4th decile | 0.889 | |
| (0.484) | ||
| 5th decile | 1.910 ** | |
| (0.583) | ||
| 6th decile | 2.441 *** | |
| (0.473) | ||
| 7th decile | 2.459 *** | |
| (0.470) | ||
| 8th decile | 2.300 *** | |
| (0.474) | ||
| 9th decile | 2.467 *** | |
| (0.481) | ||
| 10th decile | 3.611 *** | |
| (0.565) | ||
| Sports participation × decile of EG Index | ||
| Inactive member × 2nd decile of EG Index | 0.179 | |
| (0.175) | ||
| Inactive member × 3rd decile of EG Index | −0.070 | |
| (0.161) | ||
| Inactive member × 4th decile of EG Index | 0.372 * | |
| (0.173) | ||
| Inactive member × 5th decile of EG Index | 0.006 | |
| (0.172) | ||
| Inactive member × 6th decile of EG Index | 0.205 | |
| (0.163) | ||
| Inactive member × 7th decile of EG Index | −0.009 | |
| (0.171) | ||
| Inactive member × 8th decile of EG Index | −0.083 | |
| (0.173) | ||
| Inactive member × 9th decile of EG Index | −0.265 | |
| (0.177) | ||
| Inactive member × 10th decile of EG Index | 0.118 | |
| (0.164) | ||
| Active member × 2nd decile of EG Index | 0.120 | |
| (0.137) | ||
| Active member × 3rd decile of EG Index | 0.028 | |
| (0.123) | ||
| Active member × 4th decile of EG Index | 0.220 | |
| (0.142) | ||
| Active member × 5th decile of EG Index | −0.046 | |
| (0.135) | ||
| Active member × 6th decile of EG Index | 0.095 | |
| (0.135) | ||
| Active member × 7th decile of EG Index | 0.211 | |
| (0.143) | ||
| Active member × 8th decile of EG Index | 0.158 | |
| (0.134) | ||
| Active member × 9th decile of EG Index | 0.079 | |
| (0.140) | ||
| Active member × 10th decile of EG Index | −0.024 | |
| (0.135) | ||
| Intercept | 6.863 *** | 3.451 *** |
| (0.492) | (0.418) | |
| Random coefficients: | ||
| Log. standard deviation of random intercept: | 0.084 | 0.082 |
| (0.083) | (0.085) | |
| Log. standard deviation of residuals: | 0.621 *** | 0.621 *** |
| (0.022) | (0.003) | |
| Log. standard deviation of inactive member: | −1.407 *** | −1.482 *** |
| (0.185) | (0.162) | |
| Log. standard deviation of active member: | −1.682 *** | −1.763 *** |
| (0.223) | (0.201) | |
| N | 57,817 | 57,817 |
| AIC | 236,478.9 | 236,526.6 |
| BIC | 236,989.9 | 237,037.7 |
Robust standard errors in parentheses; * p < 0.05, ** p < 0.01, and *** p < 0.001; the coefficients of the dummy variables for the years 2006–2016 have been omitted from the table due to limited space.
Table A2.
List of country-specific effects for active membership in sports clubs on sexist gender ideologies for the group of men. Source: WVS-EVS data.
Table A2.
List of country-specific effects for active membership in sports clubs on sexist gender ideologies for the group of men. Source: WVS-EVS data.
| Effect Size of Active Membership in Sports Clubs | Country | Total Sample Size | Sample Size of Active Members |
|---|---|---|---|
| −0.376 | Ethiopia | 1104 | 198 |
| −0.238 | Rwanda | 2089 | 334 |
| −0.221 | Germany | 3372 | 866 |
| −0.221 | Zambia | 938 | 216 |
| −0.146 | Republic of Korea | 2199 | 301 |
| −0.124 | France | 837 | 197 |
| −0.113 | Nigeria | 1599 | 286 |
| −0.075 | Finland | 853 | 192 |
| −0.060 | Poland | 1437 | 77 |
| −0.058 | Kyrgyz Republic | 1443 | 168 |
| −0.022 | Tunisia | 798 | 22 |
| −0.003 | Iraq | 949 | 39 |
| −0.002 | Sweden | 1936 | 522 |
| 0.000 | Lebanon | 996 | 94 |
| 0.001 | Norway | 921 | 257 |
| 0.001 | Taiwan | 2193 | 397 |
| 0.002 | Uruguay | 1572 | 134 |
| 0.008 | Egypt | 2148 | 47 |
| 0.009 | Slovenia | 1623 | 314 |
| 0.011 | Burkina Faso | 550 | 56 |
| 0.018 | Georgia | 2363 | 8 |
| 0.029 | Vietnam | 1352 | 124 |
| 0.033 | Morocco | 824 | 132 |
| 0.035 | Azerbaijan | 993 | 5 |
| 0.035 | Haiti | 1566 | 29 |
| 0.038 | UK | 642 | 195 |
| 0.053 | Kuwait | 279 | 41 |
| 0.066 | Iran | 2275 | 393 |
| 0.068 | Pakistan | 883 | 34 |
| 0.071 | Ecuador | 1179 | 90 |
| 0.072 | Brazil | 2691 | 286 |
| 0.074 | Chile | 1628 | 273 |
| 0.076 | Armenia | 1008 | 9 |
| 0.077 | Turkey | 2490 | 47 |
| 0.085 | Peru | 2236 | 333 |
| 0.085 | Switzerland | 989 | 354 |
| 0.087 | Hungary | 859 | 24 |
| 0.090 | New Zealand | 524 | 192 |
| 0.091 | Kazakhstan | 1497 | 58 |
| 0.095 | Canada | 1641 | 413 |
| 0.098 | China | 2460 | 127 |
| 0.101 | Yemen | 522 | 8 |
| 0.102 | Zimbabwe | 1492 | 227 |
| 0.102 | Ukraine | 2167 | 80 |
| 0.107 | Italy | 578 | 95 |
| 0.109 | Spain | 1896 | 173 |
| 0.110 | Mexico | 3093 | 602 |
| 0.118 | USA | 3203 | 495 |
| 0.131 | Cyprus | 1923 | 245 |
| 0.142 | Bulgaria | 707 | 9 |
| 0.142 | Japan | 1311 | 229 |
| 0.144 | Indonesia | 1491 | 161 |
| 0.145 | Romania | 2462 | 63 |
| 0.149 | The Netherlands | 1928 | 738 |
| 0.157 | Malaysia | 2278 | 227 |
| 0.161 | Russia | 3039 | 97 |
| 0.165 | Jordan | 1113 | 34 |
| 0.180 | Trinidad and Tobago | 1707 | 271 |
| 0.180 | Belarus | 1399 | 65 |
| 0.182 | Qatar | 305 | 66 |
| 0.197 | Estonia | 1329 | 134 |
| 0.199 | Ghana | 2503 | 462 |
| 0.207 | Libya | 1678 | 141 |
| 0.211 | Colombia | 1363 | 233 |
| 0.216 | Philippines | 1170 | 166 |
| 0.219 | Moldova | 939 | 61 |
| 0.224 | Singapore | 1619 | 196 |
| 0.230 | Australia | 2125 | 733 |
| 0.231 | Uzbekistan | 1303 | 26 |
| 0.256 | Thailand | 2418 | 283 |
| 0.304 | Algeria | 813 | 46 |
| 0.337 | Mali | 422 | 124 |
| 0.338 | India | 3335 | 456 |
| 0.372 | South Africa | 5330 | 815 |
Table A3.
List of country-specific effects for inactive membership in sports clubs on sexist gender ideologies for the group of men. Source: WVS-EVS data.
Table A3.
List of country-specific effects for inactive membership in sports clubs on sexist gender ideologies for the group of men. Source: WVS-EVS data.
| Effect Size of Inactive Membership in Sports Clubs | Country | Total Sample Size | Sample Size of Inactive Members |
|---|---|---|---|
| −0.374 | Malaysia | 2278 | 258 |
| −0.334 | Zambia | 938 | 268 |
| −0.299 | Rwanda | 2089 | 546 |
| −0.237 | Turkey | 2490 | 59 |
| −0.154 | Tunisia | 798 | 34 |
| −0.150 | Germany | 3372 | 295 |
| −0.147 | Morocco | 824 | 47 |
| −0.138 | Poland | 1437 | 118 |
| −0.134 | Vietnam | 1352 | 79 |
| −0.099 | Ghana | 2503 | 498 |
| −0.090 | Italy | 578 | 69 |
| −0.067 | USA | 3203 | 376 |
| −0.065 | Colombia | 1363 | 169 |
| −0.040 | Azerbaijan | 993 | 19 |
| −0.038 | Brazil | 2691 | 119 |
| −0.034 | France | 837 | 70 |
| −0.027 | Armenia | 1008 | 17 |
| −0.023 | UK | 642 | 76 |
| −0.012 | Nigeria | 1599 | 395 |
| 0.002 | Jordan | 1113 | 59 |
| 0.009 | Egypt | 2148 | 91 |
| 0.026 | Singapore | 1619 | 265 |
| 0.026 | Kazakhstan | 1497 | 114 |
| 0.029 | Uruguay | 1572 | 91 |
| 0.032 | Norway | 921 | 141 |
| 0.038 | Hungary | 859 | 8 |
| 0.039 | Republic of Korea | 2199 | 456 |
| 0.042 | Haiti | 1566 | 16 |
| 0.047 | Slovenia | 1623 | 181 |
| 0.052 | Kuwait | 279 | 70 |
| 0.057 | Mexico | 3093 | 426 |
| 0.058 | Taiwan | 2193 | 385 |
| 0.060 | Switzerland | 989 | 147 |
| 0.066 | South Africa | 5330 | 1542 |
| 0.066 | Georgia | 2363 | 11 |
| 0.066 | Iran | 2275 | 307 |
| 0.068 | New Zealand | 524 | 108 |
| 0.079 | Lebanon | 996 | 146 |
| 0.081 | China | 2460 | 260 |
| 0.083 | The Netherlands | 1928 | 178 |
| 0.086 | Japan | 1311 | 98 |
| 0.101 | Canada | 1641 | 239 |
| 0.108 | Pakistan | 883 | 56 |
| 0.111 | Uzbekistan | 1303 | 17 |
| 0.119 | Kyrgyz Republic | 1443 | 195 |
| 0.122 | Trinidad and Tobago | 1707 | 312 |
| 0.147 | Moldova | 939 | 71 |
| 0.150 | Peru | 2236 | 122 |
| 0.161 | Iraq | 949 | 29 |
| 0.172 | Yemen | 522 | 17 |
| 0.172 | India | 3335 | 852 |
| 0.185 | Sweden | 1936 | 261 |
| 0.188 | Libya | 1678 | 163 |
| 0.193 | Burkina Faso | 550 | 53 |
| 0.195 | Romania | 2462 | 59 |
| 0.197 | Qatar | 305 | 97 |
| 0.197 | Ecuador | 1179 | 97 |
| 0.200 | Algeria | 813 | 55 |
| 0.206 | Zimbabwe | 1492 | 323 |
| 0.211 | Mali | 422 | 121 |
| 0.213 | Ukraine | 2167 | 109 |
| 0.213 | Philippines | 1170 | 197 |
| 0.213 | Bulgaria | 707 | 11 |
| 0.220 | Russia | 3039 | 162 |
| 0.238 | Australia | 2125 | 362 |
| 0.277 | Indonesia | 1491 | 204 |
| 0.279 | Finland | 853 | 127 |
| 0.323 | Ethiopia | 1104 | 372 |
| 0.327 | Belarus | 1399 | 67 |
| 0.356 | Chile | 1628 | 200 |
| 0.501 | Spain | 1896 | 98 |
| 0.542 | Estonia | 1329 | 96 |
| 0.682 | Thailand | 2418 | 303 |
| 0.762 | Cyprus | 1923 | 208 |
Table A4.
Average marginal effects (AMEs) from inactive and active membership in sports clubs on sexist gender ideologies conditioned on the WPE Index. Results for the males. We included 95% confidence intervals using robust standard errors. Source: WVS-EVS-data and V-Dem data.
Table A4.
Average marginal effects (AMEs) from inactive and active membership in sports clubs on sexist gender ideologies conditioned on the WPE Index. Results for the males. We included 95% confidence intervals using robust standard errors. Source: WVS-EVS-data and V-Dem data.
| AME Conditioned on … | AMEs of Inactive Membership in Sports Clubs | AMEs of Active Membership in Sports Clubs |
|---|---|---|
| 1st decile of WPE Index | 0.140 * | −0.024 |
| (2.49) | (−0.15) | |
| 2nd decile of WPE Index | −0.178 | 0.007 |
| (−1.52) | (0.08) | |
| 3rd decile of WPE Index | 0.030 | 0.173 |
| (0.22) | (1.49) | |
| 4th decile of WPE Index | 0.030 | 0.098 |
| (0.36) | (1.53) | |
| 5th decile of WPE Index | 0.386 ** | 0.216 * |
| (2.64) | (2.29) | |
| 6th decile of WPE Index | −0.003 | 0.037 |
| (−0.02) | (0.32) | |
| 7th decile of WPE Index | 0.137 | 0.278 |
| (1.71) | (1.73) | |
| 8th decile of WPE Index | 0.048 | −0.043 |
| (0.90) | (−0.59) | |
| 9th decile of WPE Index | 0.178 | 0.113 |
| (1.26) | (1.19) | |
| 10th decile of WPE Index | 0.191 | −0.002 |
| (1.35) | (−0.02) | |
| N | 57,817 | 57,817 |
t statistics in parentheses; * p < 0.05 and ** p < 0.01.
Table A5.
Average marginal effects (AMEs) from inactive and active membership in sports clubs on sexist gender ideologies conditioned on the EG Index. Results for the group of men. We included 95% confidence intervals using robust standard errors. Source: WVS-EVS-data and V-Dem data.
Table A5.
Average marginal effects (AMEs) from inactive and active membership in sports clubs on sexist gender ideologies conditioned on the EG Index. Results for the group of men. We included 95% confidence intervals using robust standard errors. Source: WVS-EVS-data and V-Dem data.
| AME Conditioned on … | AMEs of Inactive Membership in Sports Clubs | AMEs of Active Membership in Sports Clubs |
|---|---|---|
| 1st decile of EG Index | 0.048 | 0.007 |
| (0.54) | (0.08) | |
| 2nd decile of EG Index | 0.227 | 0.127 |
| (1.12) | (1.50) | |
| 3rd decile of EG Index | −0.023 | 0.0357 |
| (−0.32) | (0.59) | |
| 4th decile of EG Index | 0.420 ** | 0.227 *** |
| (2.97) | (4.31) | |
| 5th decile of EG Index | 0.054 | −0.039 |
| (0.25) | (−0.26) | |
| 6th decile of EG Index | 0.252 *** | 0.103 |
| (4.51) | (1.45) | |
| 7th decile of EG Index | 0.039 | 0.218 * |
| (0.39) | (1.99) | |
| 8th decile of EG Index | −0.035 | 0.165 |
| (−0.23) | (1.20) | |
| 9th decile of EG Index | −0.218 | 0.087 |
| (−1.75) | (1.75) | |
| 10th decile of EG Index | 0.165 * | −0.017 |
| (2.42) | (−0.10) | |
| N | 57,817 | 57,817 |
t statistics in parentheses; * p < 0.05, ** p < 0.01, and *** p < 0.001.
Figure A2.
Average marginal effects for active and inactive membership in sports clubs on sexist gender ideologies conditioned on the log-transformed EG Index (a), respectively, conditioned on the squared WPE Index (b). Results for the group of men. We included 95% confidence intervals using robust standard errors. Source: WVS-EVS-data and V-Dem data.
Figure A2.
Average marginal effects for active and inactive membership in sports clubs on sexist gender ideologies conditioned on the log-transformed EG Index (a), respectively, conditioned on the squared WPE Index (b). Results for the group of men. We included 95% confidence intervals using robust standard errors. Source: WVS-EVS-data and V-Dem data.

Appendix D. Additional Results for The group of Women
Table A6.
Partial effects of sports participation on sexist gender ideologies moderated by the deciles of the WPE Index (Model 4), respectively, on the deciles of the EG Index (Model 5). Random coefficient models based on female observations from 74 countries. Source: WVS-EVS-data and V-Dem data.
Table A6.
Partial effects of sports participation on sexist gender ideologies moderated by the deciles of the WPE Index (Model 4), respectively, on the deciles of the EG Index (Model 5). Random coefficient models based on female observations from 74 countries. Source: WVS-EVS-data and V-Dem data.
| Model 4 | Model 5 | |
|---|---|---|
| Membership in other leisure clubs or organizations (ref. category: “Not a member”) | ||
| Inactive member | −0.062 | −0.067 ** |
| (0.035) | (0.024) | |
| Active member | −0.115 *** | −0.125 *** |
| (0.034) | (0.022) | |
| Age/10 | 0.087 *** | 0.087 *** |
| (0.012) | (0.006) | |
| Educational level (ref. category: “Incomplete primary school”) | ||
| Complete primary school | −0.130 * | −0.137 *** |
| (0.052) | (0.035) | |
| Incomplete secondary school: technical/vocational type | −0.320 *** | −0.321 *** |
| (0.057) | (0.040) | |
| Complete secondary school: technical/vocational type | −0.542 *** | −0.545 *** |
| (0.057) | (0.034) | |
| Incomplete secondary school: university-preparatory type | −0.386 *** | −0.395 *** |
| (0.058) | (0.041) | |
| Complete secondary school: university-preparatory type | −0.583 *** | −0.587 *** |
| (0.068) | (0.035) | |
| Some university-level education, without degree | −0.832 *** | −0.833 *** |
| (0.070) | (0.042) | |
| University-level education, with degree | −0.946 *** | −0.950 *** |
| (0.069) | (0.037) | |
| Income decile (self-perceived) | −0.010 | −0.009 * |
| (0.008) | (0.004) | |
| Unemployed | 0.001 | 0.006 |
| (0.041) | (0.027) | |
| Married | 0.131 *** | 0.130 *** |
| (0.023) | (0.018) | |
| Child | 0.015 | 0.014 |
| (0.030) | (0.022) | |
| Religious | 0.145 *** | 0.143 *** |
| (0.032) | (0.019) | |
| Sports participation (ref. category: “Not a member”) | ||
| Inactive member | 0.059 | −0.026 |
| (0.062) | (0.124) | |
| Active member | −0.330 | −0.062 |
| (0.186) | (0.125) | |
| Deciles of WPE Index (ref. category= 1st decile) | ||
| 2nd decile | 0.124 | |
| (0.478) | ||
| 3rd decile | −1.223 ** | |
| (0.461) | ||
| 4th decile | −1.227 ** | |
| (0.473) | ||
| 5th decile | −0.791 | |
| (0.456) | ||
| 6th decile | −0.662 | |
| (0.498) | ||
| 7th decile | −2.271 *** | |
| (0.436) | ||
| 8th decile | −2.433 *** | |
| (0.470) | ||
| 9th decile | −2.713 *** | |
| (0.461) | ||
| 10th decile | −2.349 *** | |
| (0.456) | ||
| Sports participation × decile of WPE Index | ||
| Inactive member × 2nd decile of WPE Index | −0.049 | |
| (0.113) | ||
| Inactive member × 3rd decile of WPE Index | 0.139 | |
| (0.116) | ||
| Inactive member × 4th decile of WPE Index | 0.062 | |
| (0.128) | ||
| Inactive member × 5th decile of WPE Index | 0.010 | |
| (0.179) | ||
| Inactive member × 6th decile of WPE Index | −0.173 | |
| (0.156) | ||
| Inactive member × 7th decile of WPE Index | 0.359 | |
| (0.205) | ||
| Inactive member × 8th decile of WPE Index | −0.146 | |
| (0.128) | ||
| Inactive member × 9th decile of WPE Index | −0.050 | |
| (0.094) | ||
| Inactive member × 10th decile of WPE Index | 0.076 | |
| (0.114) | ||
| Active member × 2nd decile of WPE Index | 0.306 | |
| (0.236) | ||
| Active member × 3rd decile of WPE Index | 0.432 | |
| (0.257) | ||
| Active member × 4th decile of WPE Index | 0.248 | |
| (0.254) | ||
| Active member × 5th decile of WPE Index | 0.596 ** | |
| (0.217) | ||
| Active member × 6th decile of WPE Index | 0.277 | |
| (0.220) | ||
| Active member × 7th decile of WPE Index | 0.905 * | |
| (0.352) | ||
| Active member × 8th decile of WPE Index | 0.215 | |
| (0.215) | ||
| Active member × 9th decile of WPE Index | 0.321 | |
| (0.188) | ||
| Active member × 10th decile of WPE Index | 0.284 | |
| (0.193) | ||
| Deciles of EG Index (ref. category= 1st decile) | ||
| 2nd decile | 1.073 * | |
| (0.444) | ||
| 3rd decile | 0.749 | |
| (0.433) | ||
| 4th decile | 1.110 * | |
| (0.443) | ||
| 5th decile | 1.558 ** | |
| (0.531) | ||
| 6th decile | 2.772 *** | |
| (0.433) | ||
| 7th decile | 2.103 *** | |
| (0.429) | ||
| 8th decile | 1.853 *** | |
| (0.433) | ||
| 9th decile | 1.975 *** | |
| (0.441) | ||
| 10th decile | 3.164 *** | |
| (0.515) | ||
| Sports participation × decile of EG Index | ||
| Inactive member × 2nd decile of EG Index | 0.033 | |
| (0.179) | ||
| Inactive member × 3rd decile of EG Index | 0.039 | |
| (0.166) | ||
| Inactive member × 4th decile of EG Index | −0.012 | |
| (0.180) | ||
| Inactive member × 5th decile of EG Index | 0.052 | |
| (0.178) | ||
| Inactive member × 6th decile of EG Index | 0.200 | |
| (0.170) | ||
| Inactive member × 7th decile of EG Index | 0.165 | |
| (0.180) | ||
| Inactive member × 8th decile of EG Index | 0.288 | |
| (0.181) | ||
| Inactive member × 9th decile of EG Index | 0.218 | |
| (0.193) | ||
| Inactive member × 10th decile of EG Index | 0.023 | |
| (0.175) | ||
| Active member × 2nd decile of EG Index | 0.244 | |
| (0.185) | ||
| Active member × 3rd decile of EG Index | −0.004 | |
| (0.171) | ||
| Active member × 4th decile of EG Index | 0.074 | |
| (0.200) | ||
| Active member × 5th decile of EG Index | 0.090 | |
| (0.190) | ||
| Active member × 6th decile of EG Index | 0.250 | |
| (0.189) | ||
| Active member × 7th decile of EG Index | 0.336 | |
| (0.205) | ||
| Active member × 8th decile of EG Index | 0.135 | |
| (0.190) | ||
| Active member × 9th decile of EG Index | 0.034 | |
| (0.198) | ||
| Active member × 10th decile of EG Index | −0.296 | |
| (0.194) | ||
| Intercept | 5.330 *** | 2.398 *** |
| (0.421) | (0.381) | |
| Random coefficients: | ||
| Log. standard deviation of random intercept: | −0.090 | −0.012 |
| (0.099) | (0.084) | |
| Log. standard deviation of residuals: | 0.606 *** | 0.606 *** |
| (0.021) | (0.003) | |
| Log. standard deviation of inactive member: | −1.438 *** | −1.455 *** |
| (0.199) | (0.170) | |
| Log. standard deviation of active member: | −1.281 *** | −1.290 *** |
| (0.255) | (0.164) | |
| N | 61,080 | 61,080 |
| AIC | 247,913.2 | 247,973.4 |
| BIC | 248,427.4 | 248,487.5 |
Robust standard errors in parentheses; * p < 0.05, ** p < 0.01, and *** p < 0.001; the coefficients of the dummy variables for the years 2006–2016 have been omitted from the table due to limited space.
Table A7.
List of country-specific effects for active membership in sports clubs on sexist gender ideologies for the group of women. Source: WVS-EVS data.
Table A7.
List of country-specific effects for active membership in sports clubs on sexist gender ideologies for the group of women. Source: WVS-EVS data.
| Effect Size of Active Membership in Sports Clubs | Country | Total Sample Size | Sample Size of Active Members |
|---|---|---|---|
| −0.774 | Morocco | 824 | 132 |
| −0.677 | Ethiopia | 1104 | 198 |
| −0.491 | Vietnam | 1352 | 124 |
| −0.411 | Iran | 2275 | 393 |
| −0.398 | Rwanda | 2089 | 334 |
| −0.267 | Uzbekistan | 1303 | 26 |
| −0.233 | Turkey | 2490 | 47 |
| −0.232 | Nigeria | 1599 | 286 |
| −0.202 | Germany | 3372 | 866 |
| −0.173 | Egypt | 2148 | 47 |
| −0.164 | Libya | 1678 | 141 |
| −0.148 | Belarus | 1399 | 65 |
| −0.147 | Spain | 1896 | 173 |
| −0.105 | New Zealand | 524 | 192 |
| −0.104 | Cyprus | 1923 | 245 |
| −0.104 | Indonesia | 1491 | 161 |
| −0.095 | Switzerland | 989 | 354 |
| −0.088 | Armenia | 1008 | 9 |
| −0.076 | Mexico | 3093 | 602 |
| −0.072 | Ecuador | 1179 | 90 |
| −0.069 | Australia | 2125 | 733 |
| −0.065 | Italy | 578 | 95 |
| −0.064 | Jordan | 1113 | 34 |
| −0.062 | Moldova | 939 | 61 |
| −0.056 | Bulgaria | 707 | 9 |
| −0.052 | Zambia | 938 | 216 |
| −0.038 | France | 837 | 197 |
| −0.031 | Slovenia | 1623 | 314 |
| −0.022 | Georgia | 2363 | 8 |
| −0.019 | Romania | 2462 | 63 |
| −0.013 | Finland | 853 | 192 |
| −0.010 | Norway | 921 | 257 |
| −0.010 | Trinidad and Tobago | 1707 | 271 |
| −0.009 | Sweden | 1936 | 522 |
| 0.003 | Mali | 422 | 124 |
| 0.012 | Philippines | 1170 | 166 |
| 0.016 | Hungary | 859 | 24 |
| 0.021 | The Netherlands | 1928 | 738 |
| 0.023 | UK | 642 | 195 |
| 0.025 | Yemen | 522 | 8 |
| 0.026 | Ghana | 2503 | 462 |
| 0.030 | Brazil | 2691 | 286 |
| 0.031 | Peru | 2236 | 333 |
| 0.037 | Iraq | 949 | 39 |
| 0.048 | Taiwan | 2193 | 397 |
| 0.054 | Lebanon | 996 | 94 |
| 0.058 | Canada | 1641 | 413 |
| 0.061 | Haiti | 1566 | 29 |
| 0.061 | Colombia | 1363 | 233 |
| 0.068 | Kuwait | 279 | 41 |
| 0.078 | Estonia | 1329 | 134 |
| 0.099 | Poland | 1437 | 77 |
| 0.099 | Azerbaijan | 993 | 5 |
| 0.105 | Republic of Korea | 2199 | 301 |
| 0.110 | China | 2460 | 127 |
| 0.117 | Tunisia | 798 | 22 |
| 0.118 | USA | 3203 | 495 |
| 0.120 | Pakistan | 883 | 34 |
| 0.130 | Chile | 1628 | 273 |
| 0.169 | Burkina Faso | 550 | 56 |
| 0.173 | Japan | 1311 | 229 |
| 0.182 | Kazakhstan | 1497 | 58 |
| 0.195 | Malaysia | 2278 | 227 |
| 0.200 | Thailand | 2418 | 283 |
| 0.247 | Russia | 3039 | 97 |
| 0.261 | Uruguay | 1572 | 134 |
| 0.269 | Ukraine | 2167 | 80 |
| 0.335 | Zimbabwe | 1492 | 227 |
| 0.337 | Qatar | 305 | 66 |
| 0.368 | Kyrgyz Republic | 1443 | 168 |
| 0.465 | Singapore | 1619 | 196 |
| 0.536 | Algeria | 813 | 46 |
| 0.575 | India | 3335 | 456 |
| 0.802 | South Africa | 5330 | 815 |
Table A8.
List of country-specific effects for inactive membership in sports clubs on sexist gender ideologies for the group of women. Source: WVS-EVS data.
Table A8.
List of country-specific effects for inactive membership in sports clubs on sexist gender ideologies for the group of women. Source: WVS-EVS data.
| Effect Size of Inactive Membership in Sports Clubs | Country | Total Sample Size | Sample Size of Inactive Members |
|---|---|---|---|
| −0.469 | Kazakhstan | 1497 | 114 |
| −0.284 | Rwanda | 2089 | 546 |
| −0.270 | Ghana | 2503 | 498 |
| −0.172 | Belarus | 1399 | 67 |
| −0.147 | Morocco | 824 | 47 |
| −0.121 | Egypt | 2148 | 91 |
| −0.112 | Italy | 578 | 69 |
| −0.087 | Romania | 2462 | 59 |
| −0.083 | Zambia | 938 | 268 |
| −0.075 | Australia | 2125 | 362 |
| −0.073 | Switzerland | 989 | 147 |
| −0.055 | China | 2460 | 260 |
| −0.051 | Pakistan | 883 | 56 |
| −0.048 | Moldova | 939 | 71 |
| −0.045 | Singapore | 1619 | 265 |
| −0.044 | Japan | 1311 | 98 |
| −0.043 | Estonia | 1329 | 96 |
| −0.040 | Uruguay | 1572 | 91 |
| −0.036 | Taiwan | 2193 | 385 |
| −0.036 | Poland | 1437 | 118 |
| −0.033 | Vietnam | 1352 | 79 |
| −0.032 | Ukraine | 2167 | 109 |
| −0.027 | Germany | 3372 | 295 |
| −0.018 | Trinidad and Tobago | 1707 | 312 |
| −0.017 | Algeria | 813 | 55 |
| −0.006 | Tunisia | 798 | 34 |
| −0.005 | Philippines | 1170 | 197 |
| −0.002 | Colombia | 1363 | 169 |
| −0.001 | Hungary | 859 | 8 |
| 0.002 | Mali | 422 | 121 |
| 0.002 | Slovenia | 1623 | 181 |
| 0.012 | Turkey | 2490 | 59 |
| 0.014 | Sweden | 1936 | 261 |
| 0.023 | Malaysia | 2278 | 258 |
| 0.039 | Yemen | 522 | 17 |
| 0.043 | Iraq | 949 | 29 |
| 0.048 | Azerbaijan | 993 | 19 |
| 0.057 | Norway | 921 | 141 |
| 0.071 | Spain | 1896 | 98 |
| 0.072 | Iran | 2275 | 307 |
| 0.079 | Qatar | 305 | 97 |
| 0.086 | Uzbekistan | 1303 | 17 |
| 0.091 | Nigeria | 1599 | 395 |
| 0.093 | Bulgaria | 707 | 11 |
| 0.098 | Haiti | 1566 | 16 |
| 0.113 | Ethiopia | 1104 | 372 |
| 0.121 | Georgia | 2363 | 11 |
| 0.129 | Lebanon | 996 | 146 |
| 0.134 | Kuwait | 279 | 70 |
| 0.137 | Canada | 1641 | 239 |
| 0.141 | Libya | 1678 | 163 |
| 0.147 | Republic of Korea | 2199 | 456 |
| 0.147 | Cyprus | 1923 | 208 |
| 0.150 | Brazil | 2691 | 119 |
| 0.157 | France | 837 | 70 |
| 0.159 | Armenia | 1008 | 17 |
| 0.161 | The Netherlands | 1928 | 178 |
| 0.166 | Burkina Faso | 550 | 53 |
| 0.181 | Chile | 1628 | 200 |
| 0.183 | New Zealand | 524 | 108 |
| 0.212 | Zimbabwe | 1492 | 323 |
| 0.221 | Indonesia | 1491 | 204 |
| 0.238 | Mexico | 3093 | 426 |
| 0.266 | USA | 3203 | 376 |
| 0.285 | Russia | 3039 | 162 |
| 0.300 | Jordan | 1113 | 59 |
| 0.300 | UK | 642 | 76 |
| 0.313 | Thailand | 2418 | 303 |
| 0.326 | Ecuador | 1179 | 97 |
| 0.342 | Peru | 2236 | 122 |
| 0.407 | Finland | 853 | 127 |
| 0.419 | Kyrgyz Republic | 1443 | 195 |
| 0.422 | India | 3335 | 852 |
| 0.660 | South Africa | 5330 | 1542 |
Table A9.
Average marginal effects (AMEs) from inactive and active membership in sports clubs on sexist gender ideologies conditioned on the deciles of the WPE Index. Results for the group of women. We included 95% confidence intervals using robust standard errors. Source: WVS-EVS-data and V-Dem data.
Table A9.
Average marginal effects (AMEs) from inactive and active membership in sports clubs on sexist gender ideologies conditioned on the deciles of the WPE Index. Results for the group of women. We included 95% confidence intervals using robust standard errors. Source: WVS-EVS-data and V-Dem data.
| AME conditioned on … | AMEs of Inactive Membership in Sports Clubs | AME of Active Membership in Sports Clubs |
|---|---|---|
| 1st decile of WPE Index | 0.0586 | −0.330 |
| (0.94) | (−1.77) | |
| 2nd decile of WPE Index | 0.00989 | −0.0240 |
| (0.10) | (−0.17) | |
| 3rd decile of WPE Index | 0.198 * | 0.102 |
| (2.05) | (0.58) | |
| 4th decile of WPE Index | 0.120 | −0.0819 |
| (1.08) | (−0.47) | |
| 5th decile of WPE Index | 0.0687 | 0.267 * |
| (0.41) | (2.31) | |
| 6th decile of WPE Index | −0.115 | −0.0527 |
| (−0.80) | (−0.42) | |
| 7th decile of WPE Index | 0.417 * | 0.575 * |
| (2.10) | (1.98) | |
| 8th decile of WPE Index | −0.0879 | −0.115 |
| (−0.77) | (−0.96) | |
| 9th decile of WPE Index | 0.00861 | −0.00880 |
| (0.12) | (−0.25) | |
| 10th decile of WPE Index | 0.134 | −0.0454 |
| (1.38) | (−0.84) | |
| N | 61,080 | 61,080 |
t statistics in parentheses; * p < 0.05.
Table A10.
Average marginal effects (AMEs) from inactive and active membership in sports clubs on sexist gender ideologies conditioned on the deciles of the EG Index. Results for the group of women. We included 95% confidence intervals using robust standard errors. Source: WVS-EVS-data and V-Dem data.
Table A10.
Average marginal effects (AMEs) from inactive and active membership in sports clubs on sexist gender ideologies conditioned on the deciles of the EG Index. Results for the group of women. We included 95% confidence intervals using robust standard errors. Source: WVS-EVS-data and V-Dem data.
| AME Conditioned on … | AMEs of Inactive Membership in Sports Clubs | AMEs Active Membership in Sports Clubs |
|---|---|---|
| 1st decile of EG Index | −0.0255 | −0.0623 |
| (−0.52) | (−1.62) | |
| 2nd decile of EG Index | 0.00728 | 0.182 |
| (0.11) | (1.86) | |
| 3rd decile of EG Index | 0.0139 | −0.0662 |
| (0.09) | (−1.18) | |
| 4th decile of EG Index | −0.0379 | 0.0118 |
| (−0.41) | (0.11) | |
| 5th decile of EG Index | 0.0264 | 0.0280 |
| (0.16) | (0.20) | |
| 6th decile of EG Index | 0.175 | 0.187 |
| (1.04) | (1.55) | |
| 7th decile of EG Index | 0.139 | 0.274 |
| (0.86) | (0.92) | |
| 8th decile of EG Index | 0.263 | 0.0722 |
| (1.59) | (0.31) | |
| 9th decile of EG Index | 0.192 * | −0.0280 |
| (2.45) | (−0.29) | |
| 10th decile of EG Index | −0.00284 | −0.359 * |
| (−0.05) | (−2.13) | |
| N | 61,080 | 61,080 |
t statistics in parentheses; * p < 0.05.
Figure A3.
Average marginal effects for active and inactive membership in sports clubs on sexist gender ideologies conditioned on the log transformed EG Index (a) respectively conditioned on the squared WPE Index (b). Results for the group of women. We included 95% confidence intervals using robust standard errors. Source: WVS-EVS-data and V-Dem data.
Figure A3.
Average marginal effects for active and inactive membership in sports clubs on sexist gender ideologies conditioned on the log transformed EG Index (a) respectively conditioned on the squared WPE Index (b). Results for the group of women. We included 95% confidence intervals using robust standard errors. Source: WVS-EVS-data and V-Dem data.

Notes
| 1 | At the 2022 Winter Olympics in Beijing, 97 out of 109 medal events were separated by gender. A total of 12 of these 109 medal events were organized either in a mixed or open format (International Olympic Committee 2022). |
| 2 | Anderson (2009) made an important contribution to the theoretical discourse with his inclusive masculinity theory (IMT). The central thesis of IMT is that more inclusive, liberal masculinities have increasingly found their way into the sphere of sports in recent years because of a general rise in liberal values in Western countries (Anderson 2009). This thesis has been confirmed by empirical research (e.g., Rollè et al. 2022). Anderson notes, however, that the sphere of sports also includes orthodox masculinities, which are more sexist and homophobic and closely related to hegemonic masculinities (Anderson 2009). This raises the question of whether the sphere of sports—despite having become more liberal in recent decades—may nevertheless be impeding the trend toward liberalization of values in Western countries by reproducing sexist gender ideologies. |
| 3 | It should be noted that due to data limitations, this work draws on a binary gender concept. |
| 4 | Alternatively, referring to Anderson’s IMT, one might argue that there are also more inclusive masculinities in the sphere of sports in more gender-egalitarian societies. One might further argue that practicing a sport in a mixed-gender group might be more common in gender-egalitarian societies, where it is also more common for men and women to attend sports events (Lagaert and Roose 2018). This might increase the likelihood of observing more inclusive attitudes in the sphere of organized sports in gender-egalitarian societies than in gender-inegalitarian societies. I would argue, however, that the shares of men and women participating in mixed-gender sports, especially in sports clubs, are still very low. Furthermore, I would argue that in egalitarian societies, due to the historic reproduction of hegemonic masculinities in sports, sports clubs are a social area in which men holding sexist gender ideologies still tend to be overrepresented. |
| 5 | The operationalization of the distribution of social power between men and women on the country level by the Women’s Political Empowerment Index is characterized by a lower construct validity than the Exclusion by Gender Index, since the Women’s Political Empowerment Index only refers to the political level. However, empirical evidence shows that the two indices are highly correlated (compare the map in Figure 1 with the map in Figure 2). For this reason, I have used both indices to operationalize the distribution of power between men and women in a country. |
| 6 | I assessed measurement invariance by looking at the change in CFI values between a restricted CFA model and a less restricted CFA model which is recommended when sample sizes are large (Cheung and Rensvold 2002). |
| 7 | It should be noted, however, that the predicted factor scores from the “metric invariance” model showed a within-country correlation above a value of 0.98 with the predicted factor scores from the “strong invariance” model for each country in my final data set. This indicates that if one used the “strong invariance” model instead, the bias from using a more restrictive model would be marginal. |
| 8 | It should be noted that individuals who participate in recreational clubs but not in sports clubs might be included as well. This could, of course, bias the results. However, the item “membership in sports and recreational clubs” was included in an extensive list with other items that asked about membership in other types of recreational organizations. The list contained the membership status “in a church or religious organization”, “in an art, music, or educational organization”, “in a labor union”, “in a political party”, “in an environmental organization”, “in a professional association”, “in a humanitarian or charitable organization”, and “in a consumer organization”. Only individuals who did not select any of the aforementioned categories were likely to select “membership in sports and recreational clubs”. This makes it very likely that most of those who stated that they were members of sports and recreational clubs were indeed in sports clubs. For the German context, I was able to confirm this assumption in a student survey. Of the 37 students who stated that they were members of a sports or leisure club, 34 indicated a type of sport when asked about their specific leisure activity, and three did not answer. |
| 9 | The notation is adapted from Pillinger (2011), although it should be mentioned that I use different letters for the indices at level 1 and level 2. |
| 10 | The inner product of these two vectors is equivalent to the additive term |
| 11 | A detailed discussion on why exactly this transformation of the WPE has been used please can be found in Appendix B. |
| 12 | In addition to the results from the models presented here in the main section, the Supplementary Material provides results from similar models on the subpopulations of men aged 18–24, men over 25, women aged 18–24, and women over 25. These models were calculated as the estimated partial effects of sports participation on gender ideologies might be moderated by age. Furthermore, for both groups, models were calculated only using observations from countries that have at least 30 active and 30 inactive sports club members in the data set. This was done to check whether including observations from countries with only a few sports club members led to biased estimates regarding to the partial effects of being an active or inactive member of a sports club. |
| 13 | To check whether the observed estimates of the average effects for active and inactive sports club membership in Model 2 and Model 3 are not biased by (potential) confounding factors on the country level, a fixed-effects model was calculated. The fixed-effects model offers the advantage that the de-meaning procedure eliminates between-country variability (Williams 2015). This avoids the risk of potential omitted bias due to forgetting important country-level factors in the analysis (Williams 2015). In the fixed-effects model, the effect sizes are very similar to those in Models 2 and 3 (the effect size for active membership in sports clubs in the fixed-effects model is 0.088 and 0.083 for inactive membership in sports clubs). Both coefficients are again significant at a level of = 5%. This provides evidence that the estimated average effects of being an (in)active member of sports clubs in Models 2 and 3 are not confounded by factors that vary at the country level. The results from the fixed-effects model can be found in Table S1 in the Supplementary Materials. |
| 14 | For the subpopulation of men aged 18 to 24 and men over 25 years of age, the results were relatively similar to those for the total male population. However, a slight pattern in the AMEs should be noted: In the cohort of men aged 18 to 24, the partial effects of being a sports club member tended to predict more sexist gender ideologies in more gender-egalitarian countries (see Figure S3 in the Supplementary Material). However, this finding was not significant. |
| 15 | As with the results for the male group, the results from the two remaining models of the interaction between sports participation and the EG Index and between sports participation and the WPE Index for women can be found in the Appendix (see Table A6 in Appendix D). |
| 16 | The substantial change in effect sizes of the variables active and inactive membership when including or excluding observations from South Africa became apparent when seeking an explanation for the peak in the conditional average marginal effects in the seventh decile in Figure 4b. |
| 17 | The positive effect size for inactive membership was also present in a fixed-effects model (for the results, see Table S1 in the Supplementary Material). However, as in the other models, when excluding observations from South Africa, the effect size decreased considerably. |
| 18 | The results from the models that were calculated based on those female observations that did not come from South Africa can be provided on request (e-mail: simon.luetkewitte@uni-bielefeld.de). |
References
- Anderson, Eric. 2002. Openly Gay Athletes: Contesting Hegemonic Masculinity in a Homophobic Environment’. Gender & Society 16: 860–77. [Google Scholar]
- Anderson, Eric. 2009. Inclusive Masculinity: The Changing Nature of Masculinities. New York: Routledge. [Google Scholar] [CrossRef]
- Andre, Thomas, and Alyce Holland. 1995. Relationship of Sport Participation to Sex Role Orientation and Attitudes toward Women among High School Males and Females. Journal of Sport Behavior 18: 241–54. [Google Scholar]
- Balazs, Eva, Eileen Nickerson, and Eileen Nickerson. 1976. A Personality Needs Profile of Some Outstanding Female Athletes. Journal of Clinical Psychology 32: 45–49. [Google Scholar] [CrossRef] [PubMed]
- Barker-Ruchti, Natalie, Karin Grahn, and Eva-Carin Lindgren. 2016. Shifting, Crossing and Transforming Gender Boundaries in Physical Cultures. Sport in Society 19: 615–25. [Google Scholar] [CrossRef]
- Blumstein, Alfred, and Jeff Benedict. 1999. Criminal violence of NFL players compared to the general population. Chance 12: 12–15. [Google Scholar] [CrossRef]
- Boeringer, Scott B. 1999. Associations of rape-supportive attitudes with fraternal and athletic participation. Violence against Women 5: 81–90. [Google Scholar] [CrossRef]
- Borgers, Julie. 2015. Sport Light: A Sociological Perspective on Institutional Change in Sports Participation. Leuven: KU Leuven. [Google Scholar]
- Borgers, Julie, Koen Breedveld, Annet Tiessen-Raaphorst, Erik Thibaut, Hanne Vandermeerschen, Steven Vos, and Jeroen Scheerder. 2016. A Study on the Frequency of Participation and Time Spent on Sport in Different Organisational Settings. European Sport Management Quarterly 16: 635–54. [Google Scholar] [CrossRef]
- Brady, Martha. 2005. Creating Safe Spaces and Building Social Assets for Young Women in the Developing World: A New Role for Sports. Women’s Studies Quarterly 33: 35–49. [Google Scholar]
- Caron, Sandra L., D. Bruce Carter, and Lloyd A. Brightman. 1985. Sex-Role Orientation and Attitudes towards Women: Differences among College Athletes and Nonathletes. Perceptual and Motor Skills 61: 803–6. [Google Scholar] [CrossRef]
- Cheung, Gordon W., and Roger B. Rensvold. 2002. Evaluating Goodness-of-Fit Indexes for Testing Measurement Invariance. Structural Equation Modeling 9: 233–55. [Google Scholar] [CrossRef]
- Colker, Ruth, and Cathy Spatz Widom. 1980. Correlates of Female Athletic Participation: Masculinity, Femininity, Self-Esteem, and Attitudes toward Women. Sex Roles 6: 47–58. [Google Scholar] [CrossRef]
- Connell, Robert W. 1995. Masculinities. Berkeley: University of California Press CA. [Google Scholar]
- Coppedge, Michael, John Gerring, Carl Henrik Knutsen, Staffan I. Lindberg, Jan Teorell, Nazifa Alizada, David Altman, Michael Bernhard, Agnes Cornell, M. Steven Fish, and et al. 2021. V-Dem Dataset V11.1. Rochester: Social Science Research Network. Available online: https://papers.ssrn.com/abstract=3831905 (accessed on 31 May 2022).
- Crosset, Todd. 2002. Athletic affiliation and violence against women: Toward a structural prevention project. Research on Men and Masculinities Series 13: 147–61. [Google Scholar]
- Deelen, Ineke, Dick Ettema, and Carlijn B. M. Kamphuis. 2018. Sports Participation in Sport Clubs, Gyms or Public Spaces: How Users of Different Sports Settings Differ in Their Motivations, Goals, and Sports Frequency. PLoS ONE 13: e0205198. [Google Scholar] [CrossRef] [PubMed]
- DOSB. 2021. Bestandserhebung 2021. Available online: https://cdn.dosb.de/user_upload/www.dosb.de/uber_uns/Bestandserhebung/BE-Heft_2021.pdf (accessed on 20 February 2023).
- Duerst-Lahti, Georgia. 2008. Gender Ideology: Masculinism and Feminalism. In Politics, Gender, and Concepts: Theory and Methodology. Cambridge: Cambridge University Press, pp. 159–92. [Google Scholar] [CrossRef]
- Elling, Agnes. 2015. Assessing the Sociology of Sport: On Reintegrating Quantitative Methods and Gender Research. International Review for the Sociology of Sport 50: 430–36. [Google Scholar] [CrossRef]
- Fink, Janet S. 2016. Hiding in Plain Sight: The Embedded Nature of Sexism in Sport. Journal of Sport Management 30: 1–7. [Google Scholar] [CrossRef]
- Forbes, Gordon B., Leah E. Adams-Curtis, Alexis H. Pakalka, and Kay B. White. 2006. Dating aggression, sexual coercion, and aggression-supporting attitudes among college men as a function of participation in aggressive high school sports. Violence against Women 12: 441–55. [Google Scholar] [CrossRef]
- Frintner, Mary Pat, and Laurna Rubinson. 1993. Acquaintance rape: The influence of alcohol, fraternity membership, and sports team membership. Journal of Sex Education and Therapy 19: 272–84. [Google Scholar] [CrossRef]
- Gedeshi, Ilir, Paul M. Zulehner, David Rotman, Larissa Titarenko, Jaak Billiet, Karel Dobbelaere, Jan Kerkhofs, Marc Swyngedouw, Liliane Voyé, Georgy Fotev, and et al. 2015. European Values Study Longitudinal Data File 1981–2008 (EVS 1981–2008). GESIS Datenarchiv, Köln. ZA4804 Datenfile Version 3. Mannheim: GESIS Data Archive. [Google Scholar] [CrossRef]
- Guillet, Emma, Philippe Sarrazin, and Paul Fontayne. 2000. “If It Contradicts My Gender Role, I’ll Stop”: Introducing Survival Analysis to Study the Effects of Gender Typing on the Time of Withdrawal from Sport Practice: A 3-Year Study. European Review of Applied Psychology/Revue Européenne de Psychologie Appliquée 50: 417–21. [Google Scholar]
- Guillet, Emma, Philippe Sarrazin, Paul Fontayne, and Robert J. Brustad. 2006. Understanding Female Sport Attrition in a Stereotypical Male Sport within the Framework of Eccles’s Expectancy–Value Model. Psychology of Women Quarterly 30: 358–68. [Google Scholar] [CrossRef]
- Hall, M. Ann. 1985. ‘How Should We Theorize Sport in a Capitalist Patriarchy? International Review for the Sociology of Sport 20: 109–16. [Google Scholar] [CrossRef]
- Harry, Joseph. 1995. Sports Ideology, Attitudes toward Women, and Anti-Homosexual Attitudes. Sex Roles 32: 109–16. [Google Scholar] [CrossRef]
- Haslam, S. Alexander. 2004. Psychology in Organizations. London: Sage. First published 2001. [Google Scholar]
- Heisig, Jan Paul, and Merlin Schaeffer. 2019. Why you should always include a random slope for the lower-level variable involved in a cross-level interaction. European Sociological Review 35: 258–79. [Google Scholar] [CrossRef]
- Inglehart, Ronald, Christian Haerpfer, and Aandro Moreno. 2020. World Values Survey: Round Seven–Country-Pooled Datafile. Madrid and Vienna: JD Systems Institute & WVSA Secretariat. [Google Scholar]
- International Olympic Committee. 2021. Tokyo 2020 Facts and Figures. Available online: https://olympics.com/ioc/tokyo-2020-facts-and-figures (accessed on 9 January 2023).
- International Olympic Committee. 2022. Beijing 2022 Facts and Figures. Available online: https://olympics.com/ioc/beijing-2022-facts-and-figures (accessed on 9 January 2023).
- Koss, Mary P., and John A. Gaines. 1993. The prediction of sexual aggression by alcohol use, athletic participation, and fraternity affiliation. Journal of Interpersonal Violence 8: 94–108. [Google Scholar] [CrossRef]
- Lagaert, Susan, and Henk Roose. 2018. The Gender Gap in Sport Event Attendance in Europe: The Impact of Macro-Level Gender Equality. International Review for the Sociology of Sport 53: 533–49. [Google Scholar] [CrossRef]
- Lamont, Michèle, and Virág Molnár. 2002. The Study of Boundaries in the Social Sciences. Annual Review of Sociology 28: 167–95. [Google Scholar] [CrossRef]
- Lavelle, Katherine L. 2021. The Face of Mental Health: Kevin Love and Hegemonic Masculinity in the NBA. Communication & Sport 9: 954–71. [Google Scholar] [CrossRef]
- MacDonald, Cheryl A. 2014. Masculinity and Sport Revisted: A Review of Literature on Hegemonic Masculinity and Men’s Ice Hockey in Canada. Canadian Graduate Journal of Sociology and Criminology 3: 95–112. [Google Scholar] [CrossRef]
- Mateo-Orcajada, Adrián, Lucía Abenza-Cano, Raquel Vaquero-Cristóbal, Sonia María Martínez-Castro, Alejandro Leiva-Arcas, Ana María Gallardo-Guerrero, and Antonio Sánchez-Pato. 2021. Influence of Gender Stereotypes, Type of Sport Watched and Close Environment on Adolescent Sport Practice According to Gender. Sustainability 13: 11863. [Google Scholar] [CrossRef]
- Messner, Michael. 1988. Sports and Male Domination: The Female Athlete as Contested Ideological Terrain. Sociology of Sport Journal 5: 197–211. [Google Scholar] [CrossRef]
- Messner, Michael. 1990. When Bodies Are Weapons: Masculinity and Violence in Sport. International Review for the Sociology of Sport 25: 203–20. [Google Scholar] [CrossRef]
- Messner, Michael. 2011. Gender Ideologies, Youth Sports, and the Production of Soft Essentialism. Sociology of Sport Journal 28: 151–70. [Google Scholar] [CrossRef]
- Messner, Michael A., and Mark A. Stevens. 2002. Scoring without consent: Confronting male athletes’ violence against women. In Paradoxes of Youth and Sport. Edited by Margaret Gatz, Michael Messner and Sandra. Ball-Rokeach. Albany: State University of New York Press, pp. 225–39. [Google Scholar]
- O’Brien, Jodi. 2009. Sexism. In Encyclopedia of Gender and Society. Thousand Oaks: SAGE Publications, Inc., pp. 749–51. Available online: https://sk.sagepub.com/reference/gender/n378.xml (accessed on 17 February 2023).
- Ogilvie, Mark F., and Mark McCormack. 2021. Gender-Collaborative Training in Elite University Sport: Challenging Gender Essentialism through Integrated Training in Gender-Segregated Sports. International Review for the Sociology of Sport 56: 1172–88. [Google Scholar] [CrossRef]
- Philips, Susan U. 2001. Gender Ideology: Cross-Cultural Aspects. In International Encyclopedia of the Social & Behavioral Sciences. Edited by Neil J. Smelser and Paul B. Baltes. Oxford: Pergamon, pp. 6016–20. Available online: https://www.sciencedirect.com/science/article/pii/B0080430767039620 (accessed on 24 May 2022).
- Pillinger, Rebecca. 2011. Random Intercept Models. Center for Multilevel Modelling, University of Bristol. Available online: http://www.bristol.ac.uk/cmm/learning/videos/random-intercepts.html#exvar (accessed on 24 February 2023).
- Rene Gregory, Michele. 2011. “The Faggot Clause”: The Embodiment of Homophobia in the Corporate Locker Room eds. Fiona Colgan and Aidan McKearney. Equality, Diversity and Inclusion: An International Journal 30: 651–67. [Google Scholar] [CrossRef]
- Richman, Erin L., and David R. Shaffer. 2000. “IF YOU LET ME PLAY SPORTS” How Might Sport Participation Influence the Self-Esteem of Adolescent Females? Psychology of Women Quarterly 24: 189–99. [Google Scholar] [CrossRef]
- Rollè, Luca, Erika Cazzini, Fabrizio Santoniccolo, and Tommaso Trombetta. 2022. Homonegativity and Sport: A Systematic Review of the Literature. Journal of Gay & Lesbian Social Services 34: 86–111. [Google Scholar] [CrossRef]
- Sawyer, Robin G., Estina E. Thompson, and Anne Marie Chicorelli. 2002. Rape myth acceptance among intercollegiate student athletes: A preliminary examination. American Journal of Health Studies 18: 19–25. [Google Scholar]
- Scheerder, Jeroen, Bart Vanreusel, and Marijke Taks. 2005. Leisure-Time Sport among Physical Education Students: A Time Trend Analysis of Sport Participation Styles. European Sport Management Quarterly 5: 415–41. [Google Scholar] [CrossRef]
- Scheerder, Jeroen, Hanne Vandermeerschen, Charlotte Van Tuyckom, Remco Hoekman, Koen Breedveld, and Steven Vos. 2011. Understanding the Game: Sport Participation in Europe: Facts, Reflections and Recommendations. Leuven: Katholieke Universiteit Leuven. [Google Scholar]
- Schmidt-Catran, Alexander W., Malcolm Fairbrother, and Hans-Jürgen Andreß. 2019. Multilevel Models for the Analysis of Comparative Survey Data: Common Problems and Some Solutions. Kölner Zeitschrift für Soziologie & Sozialpsychologie 71: 99–128. [Google Scholar] [CrossRef]
- Theberge, Nancy. 1987. Sport and Women’s Empowerment. Women’s Studies International Forum 10: 387–93. [Google Scholar] [CrossRef]
- Turner, John C. 1999. Some Current Issues in Research on Social Identity and Self-Categorization Theories. Social Identity: Context, Commitment, Content 3: 6–34. [Google Scholar]
- Turner, John C., and Henri Tajfel. 1986. The Social Identity Theory of Intergroup Behavior. Psychology of Intergroup Relations 5: 7–24. [Google Scholar]
- Velleman, Paul F., and David C. Hoaglin. 1981. Applications, Basics, and Computing of Exploratory Data Analysis. North Scituate: Duxbury Press. [Google Scholar]
- White, Anita, and Celia Brackenridge. 1985. Who Rules Sport? Gender Divisions in the Power Structure of British Sports Organisations from 1960. International Review for the Sociology of Sport 20: 95–107. [Google Scholar] [CrossRef]
- Williams, Richard. 2015. Panel Data: Very Brief Overview. Online Course Materials. University of Notre Dame, pp. 1–16. Available online: https://www3.nd.edu/~rwilliam/stats2/panel.pdf (accessed on 9 January 2023).
Disclaimer/Publisher’s Note: The statements, opinions and data contained in all publications are solely those of the individual author(s) and contributor(s) and not of MDPI and/or the editor(s). MDPI and/or the editor(s) disclaim responsibility for any injury to people or property resulting from any ideas, methods, instructions or products referred to in the content. |
© 2023 by the author. Licensee MDPI, Basel, Switzerland. This article is an open access article distributed under the terms and conditions of the Creative Commons Attribution (CC BY) license (https://creativecommons.org/licenses/by/4.0/).




