Epiphytic Fungi Can Drive a Trade-Off Between Pathogen and Herbivore Resistance in Invasive Ipomoea cairica
Abstract
1. Introduction
2. Materials and Methods
2.1. Plant Materials
2.2. Insect Materials
2.3. Fungal Materials
2.4. Preparation of Conidial Suspensions of Epiphytic and Pathogenic Fungi
2.5. Preparation of Sterile Plant Materials
2.6. Preparation of Epiphyte-Inoculated and Epiphyte-Free Plant Materials
2.7. Assessing Pathogen Resistance of E+ and E− Cuttings After C. gloeosporioides Infection
2.8. Assessing Herbivore Resistance of E+ and E− Cuttings After T. circumdata Introduction
2.9. Assessing Defense Responses of E+ and E− Cuttings Before Pathogen Inoculation and Herbivore Introduction
2.10. Parameter Determination
2.11. Statistical Analysis
3. Results
3.1. Disease Symptoms of E+ and E− I. cairica After C. gloeosporioides Infection
3.2. Degrees of Herbivorous Damage of E+ and E− I. cairica After T. circumdata Introduction
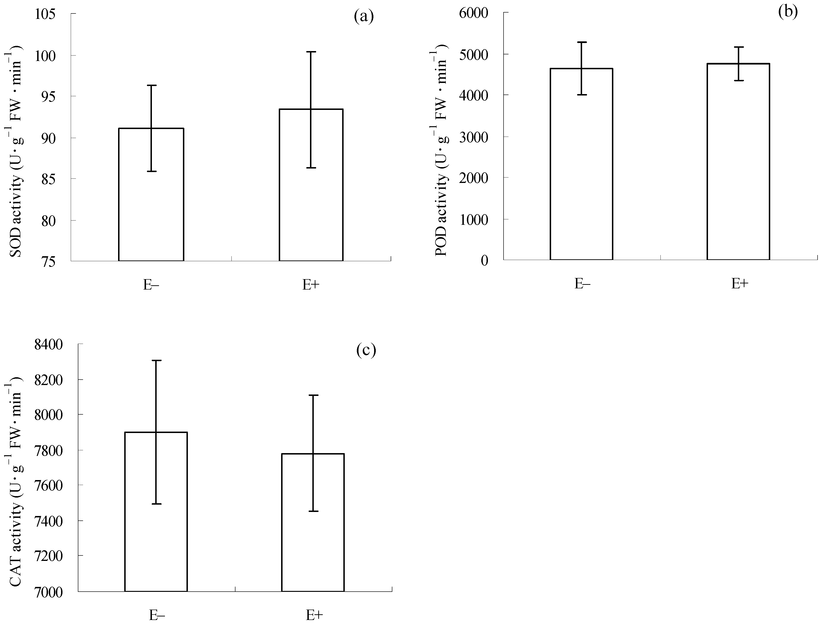
3.3. Enzyme Activities Associated with Pathogen Defense in E+ and E− Cuttings Before Natural Enemy Introduction
3.4. Enzyme Activities and Compound Content Associated with Herbivore Defense in E+ and E− Cuttings Before Natural Enemy Introduction
3.5. Enzyme Activities Associated with Generalized Defense in E+ and E− Cuttings Before Natural Enemy Introduction
3.6. Signaling Molecule Levels Associated with Pathogen and Herbivore Defense in I. cairica Cuttings Before Natural Enemy Introduction
4. Discussion
4.1. Roles of Epiphytes in Driving Trade-Offs Between Defense Traits in I. cairica
4.2. Mechanisms by Which Epiphytes Drive Trade-Offs Between Defense Traits in I. cairica
4.3. Application of the Theory of Plant Trait Trade-offs in Biological Control of I. cairica
5. Conclusions
Author Contributions
Funding
Institutional Review Board Statement
Data Availability Statement
Acknowledgments
Conflicts of Interest
References
- Zhu, Y.; Hogan, J.A.; Cai, H.; Xun, Y.; Jiang, F.; Jin, G. Biotic and abiotic drivers of the tree growth and mortality trade-off in an old-growth temperate forest. Forest Ecol. Manag. 2017, 404, 354–360. [Google Scholar] [CrossRef]
- Zaret, M.; Kinkel, L.; Borer, E.T.; Seabloom, E.W. Plant growth-defense trade-offs are general across interactions with fungal, insect, and mammalian consumers. Ecology 2024, 105, e4290. [Google Scholar] [CrossRef] [PubMed]
- Yu, X.; Cui, X.; Wu, C.; Shi, S.; Yan, S. Salicylic acid inhibits gibberellin signaling through receptor interactions. Mol. Plant 2022, 15, 1759–1771. [Google Scholar] [CrossRef] [PubMed]
- Comont, D.; Lowe, C.; Hull, R.; Crook, L.; Hicks, H.L.; Onkokesung, N.; Beffa, R.; Childs, D.Z.; Edwards, R.; Freckleton, R.P.; et al. Evolution of generalist resistance to herbicide mixtures reveals a trade-off in resistance management. Nat. Commun. 2020, 11, 3086. [Google Scholar] [CrossRef] [PubMed]
- Rivera-Vega, L.J.; Grunseich, J.M.; Aguirre, N.M.; Valencia, C.U.; Sword, G.A.; Helms, A.M. A beneficial plant-associated fungus shifts the balance toward plant growth over resistance, increasing cucumber tolerance to root herbivory. Plants 2022, 11, 282. [Google Scholar] [CrossRef]
- López-Goldar, X.; Zas, R.; Sampedro, L. Resource availability drives microevolutionary patterns of plant defences. Funct. Ecol. 2020, 34, 1640–1652. [Google Scholar] [CrossRef]
- Leisner, C.P.; Potnis, N.; Sanz-Saez, A. Crosstalk and trade-offs: Plant responses to climate change-associated abiotic and biotic stresses. Plant Cell Environ. 2023, 46, 2946–2963. [Google Scholar] [CrossRef]
- Gu, X.; Si, F.; Feng, Z.; Li, S.; Liang, D.; Yang, P.; Yang, C.; Yan, B.; Tang, J.; Yang, Y.; et al. The OsSGS3-tasiRNA-OsARF3 module orchestrates abiotic-biotic stress response trade-off in rice. Nat. Commun. 2023, 14, 4441. [Google Scholar] [CrossRef]
- Xu, G.; Yuan, M.; Ai, C.; Liu, L.; Zhuang, E.; Karapetyan, S.; Wang, S.; Dong, X. uORF-mediated translation allows engineered plant disease resistance without fitness costs. Nature 2017, 545, 491–494. [Google Scholar] [CrossRef]
- Atala, C.; Acuña-Rodríguez, I.S.; Torres-Díaz, C.; Molina-Montenegro, M.A. Fungal endophytes improve the performance of host plants but do not eliminate the growth/defence trade-off. New Phytol. 2022, 235, 384–387. [Google Scholar] [CrossRef]
- Hou, S.; Thiergart, T.; Vannier, N.; Mesny, F.; Ziegler, J.; Pickel, B.; Hacquard, S. A microbiota–root–shoot circuit favours Arabidopsis growth over defence under suboptimal light. Nat. Plants 2021, 7, 1078–1092. [Google Scholar] [CrossRef] [PubMed]
- Felton, G.W.; Korth, K.L. Trade-offs between pathogen and herbivore resistance. Curr. Opin. Plant Biol. 2000, 3, 309–314. [Google Scholar] [CrossRef] [PubMed]
- Sun, K.; Xie, X.G.; Lu, F.; Zhang, F.M.; Zhang, W.; He, W.; Dai, C.C. Peanut preinoculation with a root endophyte induces plant resistance to soil-borne pathogen Fusarium oxysporum via activation of salicylic acid-dependent signaling. Plant Soil 2021, 460, 297–312. [Google Scholar] [CrossRef]
- Bi, G.; Hu, M.; Fu, L.; Zhang, X.; Zuo, J.; Li, J.; Yang, J.; Zhou, J.M. The cytosolic thiol peroxidase PRXIIB is an intracellular sensor for H2O2 that regulates plant immunity through a redox relay. Nat. Plants 2022, 8, 1160–1175. [Google Scholar] [CrossRef]
- Spoel, S.H.; Johnson, J.S.; Dong, X. Regulation of tradeoffs between plant defenses against pathogens with different lifestyles. Proc. Natl. Acad. Sci. USA 2007, 104, 18842–18847. [Google Scholar] [CrossRef]
- Yuan, M.; Huang, Y.; Ge, W.; Jia, Z.; Song, S.; Zhang, L.; Huang, Y. Involvement of jasmonic acid, ethylene and salicylic acid signaling pathways behind the systemic resistance induced by Trichoderma longibrachiatum H9 in cucumber. BMC Genom. 2019, 20, 144. [Google Scholar] [CrossRef]
- Wang, J.; Zhou, L.; Shi, H.; Chern, M.; Yu, H.; Yi, H.; He, M.; Yin, J.; Zhu, X.; Li, Y.; et al. A single transcription factor promotes both yield and immunity in rice. Science 2018, 361, 1026–1028. [Google Scholar] [CrossRef]
- Li, Y.; Nan, Z.; Matthew, C.; Wang, Y.; Duan, T. Arbuscular mycorrhizal fungus changes alfalfa (Medicago sativa) metabolites in response to leaf spot (Phoma medicaginis) infection, with subsequent effects on pea aphid (Acyrthosiphon pisum) behavior. New Phytol. 2023, 239, 286–300. [Google Scholar] [CrossRef]
- He, Y.; Chen, T.; Zhang, H.; White, J.F.; Li, C. Fungal endophytes help grasses to tolerate sap-sucking herbivores through a hormone-signaling system. J. Plant Growth Regul. 2022, 41, 2122–2137. [Google Scholar] [CrossRef]
- Erb, M.; Balmer, D.; De Lange, E.S.; Von Merey, G.; Planchamp, C.; Robert, C.A.M.; Röder, G.; Sobhy, I.; Zwahlen, C.; Mauch-Mani, B.; et al. Synergies and trade-offs between insect and pathogen resistance in maize leaves and roots. Plant Cell Environ. 2011, 34, 1088–1103. [Google Scholar] [CrossRef]
- Huang, Q.Q.; Wu, J.M.; Bai, Y.Y.; Zhou, L.; Wang, G.X. Identifying the most noxious invasive plants in China: Role of geographical origin, life form and means of introduction. Biodivers. Conserv. 2009, 18, 305–316. [Google Scholar] [CrossRef]
- Xu, H.; Zhu, M.; Chen, X. Fungal epiphytes differentially regulate salt tolerance of invasive Ipomoea cairica according to salt stress levels. Environ. Sci. Pollut. Res. 2024, 31, 4797–4807. [Google Scholar] [CrossRef]
- Xu, H.; Chang, P.; Li, S.; Lu, J.; Lin, X.; Xie, C. Dominant fungal epiphytes promote growth of the invasive plant Ipomoea cairica through hormone interactions. J. Plant Growth Regul. 2022, 41, 1207–1218. [Google Scholar] [CrossRef]
- Xu, H.; Zhu, M.; Ruan, W.; Xie, C. Epiphytic fungi induced pathogen resistance of invasive plant Ipomoea cairica against Colletotrichum gloeosporioides. PeerJ 2020, 8, e8889. [Google Scholar] [CrossRef]
- Sun, Z.Y.; Zhang, T.J.; Su, J.Q.; Chow, W.S.; Liu, J.Q.; Liu, J.Q.; Chen, L.L.; Li, W.H.; Peng, S.L.; Peng, C.L. A novel role of ethephon in controlling the noxious weed Ipomoea cairica (Linn.) Sweet. Sci. Rep. 2015, 5, 11372. [Google Scholar] [CrossRef]
- Magnin-Robert, M.; Trotel-Aziz, P.; Quantinet, D.; Biagianti, S.; Aziz, A. Biological control of Botrytis cinerea by selected grapevine-associated bacteria and stimulation of chitinase and β-1,3 glucanase activities under field conditions. Eur. J. Plant Pathol. 2007, 118, 43–57. [Google Scholar] [CrossRef]
- De la Cruz, J.; Pintor-Toro, J.A.; Benitez, T.; Llobell, A.; Romero, L.C. A novel endo-beta-1, 3-glucanase, BGN13. 1, involved in the mycoparasitism of Trichoderma harzianum. J. Bacteriol. 1995, 177, 6937–6945. [Google Scholar] [CrossRef] [PubMed]
- Chen, J.P.; Lee, M.S. Simultaneous production and partition of chitinase during growth of Serratia marcescens in an aqueous two-phase system. Biotechnol. Tech. 1994, 8, 783–788. [Google Scholar] [CrossRef]
- Dhindsa, R.S.; Plumb-Dhindsa, P.; Thorpe, T.A. Leaf senescence: Correlated with increased levels of membrane permeability and lipid peroxidation, and decreased levels of superoxide dismutase and catalase. J. Exp. Bot. 1981, 32, 93–101. [Google Scholar] [CrossRef]
- Ge, Y.; Bi, Y.; Guest, D.I. Defence responses in leaves of resistant and susceptible melon (Cucumis melo L.) cultivars infected with Colletotrichum lagenarium. Physiol. Mol. Plant Pathol. 2013, 81, 13–21. [Google Scholar] [CrossRef]
- Zhang, J.H.; Huang, W.D.; Liu, Y.P.; Pan, Q.H. Effects of temperature acclimation pretreatment on the ultrastructure of mesophyll cells in young grape plants (Vitis vinifera L. cv. Jingxiu) under cross-temperature stresses. J. Integr. Plant Biol. 2005, 47, 959–970. [Google Scholar] [CrossRef]
- Sallam, N.M.A.; Ali, E.F.; Abo-Elyousr, K.A.M.; Bereika, M.F.F.; Seleim, M.A.A. Thyme oil treatment controls bacterial wilt disease symptoms by inducing antioxidant enzyme activity in Solanum tuberosum. J. Plant Pathol. 2021, 103, 563–572. [Google Scholar] [CrossRef]
- Marzorati, S.; Martinelli, G.; Sugni, M.; Verotta, L. Green extraction strategies for sea urchin waste valorization. Front. Nutr. 2021, 8, 730747. [Google Scholar] [CrossRef]
- Ferguson, I.B.; Watkins, C.B.; Harman, J.E. Inhibition by calcium of senescence of detached cucumber cotyledons: Effect on ethylene and hydroperoxide production. Plant Physiol. 1983, 71, 182–186. [Google Scholar] [CrossRef]
- Brennan, T.; Frenkel, C. Involvement of hydrogen peroxide in the regulation of senescence in pear. Plant Physiol. 1977, 59, 411–416. [Google Scholar] [CrossRef]
- Yin, W.; Zhou, L.; Yang, K.; Fang, J.; Biere, A.; Callaway, R.M.; Wu, M.; Yu, H.; Shi, Y.; Ding, J. Rapid evolutionary trade-offs between resistance to herbivory and tolerance to abiotic stress in an invasive plant. Ecol. Lett. 2023, 26, 942–954. [Google Scholar] [CrossRef]
- Li, Y.; Yang, Y.; Hu, Y.; Liu, H.; He, M.; Yang, Z.; Kong, F.; Liu, X.; Hou, X. DELLA and EDS1 form a feedback regulatory module to fine-tune plant growth–defense tradeoff in Arabidopsis. Mol. Plant 2019, 12, 1485–1498. [Google Scholar] [CrossRef] [PubMed]
- Ballhorn, D.J.; Pietrowski, A.; Lieberei, R. Direct trade-off between cyanogenesis and resistance to a fungal pathogen in lima bean (Phaseolus lunatus L.). J. Ecol. 2010, 98, 226–236. [Google Scholar] [CrossRef]
- Ballhorn, D.J. Constraints of simultaneous resistance to a fungal pathogen and an insect herbivore in lima bean (Phaseolus lunatus L.). J. Chem. Ecol. 2011, 37, 141–144. [Google Scholar] [CrossRef]
- Thaler, J.S.; Fidantsef, A.L.; Duffey, S.S.; Bostock, R.M. Trade-offs in plant defense against pathogens and herbivores: A field demonstration of chemical elicitors of induced resistance. J. Chem. Ecol. 1999, 25, 1597–1609. [Google Scholar] [CrossRef]
- Lin, C.; Liu, G.K. Main disease and insect pests of I. cairica in Fuzhou region. Subtrop. Agric. Res. 2010, 6, 98–101. [Google Scholar]
- Azaizeh, H.A.; Marschner, H.; Römheld, V.; Wittenmayer, L. Effects of a vesicular-arbuscular mycorrhizal fungus and other soil microorganisms on growth, mineral nutrient acquisition and root exudation of soil-grown maize plants. Mycorrhiza 1995, 5, 321–327. [Google Scholar] [CrossRef]
- Thapa, S.; Prasanna, R. Prospecting the characteristics and significance of the phyllosphere microbiome. Ann. Microbiol. 2018, 68, 229–245. [Google Scholar] [CrossRef]
- Estrada, B.; Aroca, R.; Azcón-Aguilar, C.; Barea, J.M.; Ruiz-Lozano, J.M. Importance of native arbuscular mycorrhizal inoculation in the halophyte Asteriscus maritimus for successful establishment and growth under saline conditions. Plant Soil 2013, 370, 175–185. [Google Scholar] [CrossRef]
- Bacon, C.W.; White, J.F. Functions, mechanisms and regulation of endophytic and epiphytic microbial communities of plants. Symbiosis 2016, 68, 87–98. [Google Scholar] [CrossRef]
- Berthelot, C.; Leyval, C.; Foulon, J.; Chalot, M.; Blaudez, D. Plant growth promotion, metabolite production and metal tolerance of dark septate endophytes isolated from metal-polluted poplar phytomanagement sites. FEMS Microbiol. Ecol. 2016, 92, fiw144. [Google Scholar] [CrossRef]
- Hossain, M.M.; Sultana, F.; Islam, S. Plant growth-promoting fungi (PGPF): Phytostimulation and induced systemic resistance. In Plant-Microbe Interactions in Agro-Ecological Perspectives; Singh, D., Singh, H., Prabha, R., Eds.; Springer: Singapore, 2017; pp. 135–191. [Google Scholar]
- Nandhini, M.; Rajini, S.B.; Udayashankar, A.C.; Niranjana, S.R.; Lund, O.S.; Shetty, H.S.; Prakash, H.S. Diversity, plant growth promoting and downy mildew disease suppression potential of cultivable endophytic fungal communities associated with pearl millet. Biol. Control 2018, 127, 127–138. [Google Scholar] [CrossRef]
- Berdeni, D.; Cotton, T.E.A.; Daniell, T.J.; Bidartondo, M.I.; Cameron, D.D.; Evans, K.L. The effects of arbuscular mycorrhizal fungal colonisation on nutrient status, growth, productivity, and canker resistance of apple (Malus pumila). Front. Microbiol. 2018, 9, 1461. [Google Scholar] [CrossRef]
- Sa, G.; Yao, J.; Deng, C.; Liu, J.; Zhang, Y.; Zhu, Z.; Zhang, Y.; Ma, X.; Zhao, R.; Lin, S.; et al. Amelioration of nitrate uptake under salt stress by ectomycorrhiza with and without a Hartig net. New Phytol. 2019, 222, 1951–1964. [Google Scholar] [CrossRef]
- Chaibub, A.A.; de Sousa, T.P.; de Araújo, L.G.; de Filippi, M.C. Molecular and morphological characterization of rice phylloplane fungi and determination of the antagonistic activity against rice pathogens. Microbiol. Res. 2020, 231, 126353. [Google Scholar] [CrossRef]
- Chu, J.; Ding, Y.; Zhuang, Q. Invasion and control of water hyacinth (Eichhornia crassipes) in China. J. Zhejiang Univ.-Sci. B 2006, 7, 623–626. [Google Scholar] [CrossRef] [PubMed]
- Aerts, N.; Pereira, M.M.; Wees, S.C.M.V. Multiple levels of crosstalk in hormone networks regulating plant defense. Plant J. 2021, 105, 489–504. [Google Scholar] [CrossRef]
- Khan, N.; Bano, A.; Ali, S.; Babar, M.A. Crosstalk amongst phytohormones from planta and PGPR under biotic and abiotic stresses. Plant Growth Regul. 2020, 90, 189–203. [Google Scholar] [CrossRef]
- Wari, D.; Aboshi, T.; Shinya, T.; Galis, I. Integrated view of plant metabolic defense with particular focus on chewing herbivores. J. Integr. Plant Biol. 2021, 64, 449–475. [Google Scholar] [CrossRef] [PubMed]
- Balasubramanian, V.; Vashisht, D.; Cletus, J.; Sakthivel, N. 2012. Plant β-1,3-glucanases: Their biological functions and transgenic expression against phytopathogenic fungi. Biotechnol. Lett. 2012, 34, 1983–1990. [Google Scholar] [CrossRef]
- Vieira, F.A.; Carvalho, A.O.; Vitória, Â.P.; Retamal, C.A.; Gomes, V.M. Differential expression of defence-related proteins in Vigna unguiculata (L. Walp.) seedlings after infection with Fusarium oxysporum. Crop Prot. 2010, 29, 440–447. [Google Scholar] [CrossRef]
- War, A.R.; Paulraj, M.G.; Ignacimuthu, S.; Sharma, H.C. Induced resistance to Helicoverpa armigera through exogenous application of jasmonic acid and salicylic acid in groundnut, Arachis hypogaea. Pest Manag. Sci. 2015, 71, 72–82. [Google Scholar] [CrossRef]
- Jiang, D.; Tan, M.; Wu, S.; Zheng, L.; Wang, Q.; Yan, S. Defense responses of arbuscular mycorrhizal fungus-colonized poplar seedlings against gypsy moth larvae: A multiomics study. Hortic. Res. 2021, 8, 245. [Google Scholar] [CrossRef]
- Anssour, S.; Baldwin, I.T. Variation in antiherbivore defense responses in synthetic Nicotiana Allopolyploids correlates with changes in uniparental patterns of gene expression. Plant Physiol. 2010, 153, 1907–1918. [Google Scholar] [CrossRef]
- Zhang, Y.; Shi, X.; Li, B.; Zhang, Q.; Liang, W.; Wang, C. Salicylic acid confers enhanced resistance to Glomerella leaf spot in apple. Plant Physiol. Bioch. 2016, 106, 64–72. [Google Scholar] [CrossRef]
- Kumar, K.; Mandal, S.N.; Neelam, K.; de Los Reyes, B.G. MicroRNA-mediated host defense mechanisms against pathogens and herbivores in rice: Balancing gains from genetic resistance with trade-offs to productivity potential. BMC Plant Biol. 2022, 22, 351. [Google Scholar] [CrossRef] [PubMed]
- Antony, E.; Sridhar, K.; Kumar, V. Effect of chemical sprays and management practices on Brachiaria ruziziensis seed production. Field Crop. Res. 2017, 211, 19–26. [Google Scholar] [CrossRef]
- Bai, X.; Huang, Y.; Hu, Y.; Liu, H.; Zhang, B.; Smaczniak, C.; Hu, G.; Han, Z.; Xing, Y. Duplication of an upstream silencer of FZP increases grain yield in rice. Nat. Plants 2017, 3, 885–893. [Google Scholar] [CrossRef]
- Zhao, Y.; Zhang, S.; Lv, Y.; Ning, F.; Cao, Y.; Liao, S.; Wang, P.; Huang, S. Optimizing ear-plant height ratio to improve kernel number and lodging resistance in maize (Zea mays L.). Field Crop. Res. 2022, 276, 108376. [Google Scholar] [CrossRef]






Disclaimer/Publisher’s Note: The statements, opinions and data contained in all publications are solely those of the individual author(s) and contributor(s) and not of MDPI and/or the editor(s). MDPI and/or the editor(s) disclaim responsibility for any injury to people or property resulting from any ideas, methods, instructions or products referred to in the content. |
© 2024 by the authors. Licensee MDPI, Basel, Switzerland. This article is an open access article distributed under the terms and conditions of the Creative Commons Attribution (CC BY) license (https://creativecommons.org/licenses/by/4.0/).
Share and Cite
Xu, H.; Wang, L.; Zhu, M.; Chen, X. Epiphytic Fungi Can Drive a Trade-Off Between Pathogen and Herbivore Resistance in Invasive Ipomoea cairica. Microorganisms 2024, 12, 2130. https://doi.org/10.3390/microorganisms12112130
Xu H, Wang L, Zhu M, Chen X. Epiphytic Fungi Can Drive a Trade-Off Between Pathogen and Herbivore Resistance in Invasive Ipomoea cairica. Microorganisms. 2024; 12(11):2130. https://doi.org/10.3390/microorganisms12112130
Chicago/Turabian StyleXu, Hua, Lixing Wang, Minjie Zhu, and Xuhui Chen. 2024. "Epiphytic Fungi Can Drive a Trade-Off Between Pathogen and Herbivore Resistance in Invasive Ipomoea cairica" Microorganisms 12, no. 11: 2130. https://doi.org/10.3390/microorganisms12112130
APA StyleXu, H., Wang, L., Zhu, M., & Chen, X. (2024). Epiphytic Fungi Can Drive a Trade-Off Between Pathogen and Herbivore Resistance in Invasive Ipomoea cairica. Microorganisms, 12(11), 2130. https://doi.org/10.3390/microorganisms12112130

