Abstract
The life strategies of bacterial communities determine their structure and function and are an important driver of biogeochemical cycling. However, the variations in these strategies under different soil resource conditions remain largely unknown. We explored the bacterial life strategies and changes in structure and functions between Antarctic soils and forest (temperate, subtropical, and tropical) soils. The results showed that the weighted mean rRNA operon copy number in temperate soils was 19.5% lower than that in Antarctic soils, whereas no significant differences were observed among Antarctic, subtropical, and tropical soils. An unexpected result was that bacterial communities in Antarctic soils tended to be copiotrophs, such as Actinobacteriota and Bacteroidota, whereas those in temperate soils tended to be oligotrophs, such as Acidobacteriota and Chloroflexi. Functional predictions showed that in comparison to copiotrophs in Antarctic soils, temperate-inhabiting oligotrophic bacteria exhibited an 84.2–91.1% lower abundance of labile C decomposition genes (hemicellulose, cellulose, monosaccharides, and disaccharides), whereas a 74.4% higher abundance of stable C decomposition (lignin). Genes involved in N cycling (nitrogen fixation, assimilatory nitrate reduction, and denitrification) were 24.3–64.4% lower in temperate soils than in Antarctic soils. Collectively, our study provides a framework for describing the life strategies of soil bacteria, which are crucial to global biogeochemical cycles.
1. Introduction
The selection of life strategies in bacterial communities plays an important role in defining soil structure and regulating biogeochemical cycles [1]. However, the mechanisms by which bacterial life strategies interact with soil resource conditions remain controversial. Previous studies have found increases in copiotrophs (r-strategists) but decreases in oligotrophs (K-strategists) with increasing resource availability [2,3,4]. However, Peng et al. [5] and Yang et al. [6] reported contrasting findings. These inconsistent results demonstrate that bacteria vary in their life strategy selections owing to highly complex and heterogeneous soil conditions. Further understanding of the generalizable patterns of bacterial life strategies under different soil conditions can help mechanistically link microbial processes with biogeochemical cycles.
The weighted mean rRNA operon copy number (rrn) has been used to identify bacteria life strategies [4,7,8]. Copiotrophs with higher rrn copies tended to have higher maximal growth rates and respond more quickly to resources (compared to oligotrophs) [9,10]. Based on 16S rRNA gene amplicon sequencing, Bacteroidetes and Acidobacteriota are often characterized as representative copiotrophic and oligotrophic bacteria, respectively [11,12]. Nevertheless, bacterial taxa belonging to a phylum may vary in resource preferences or functions, and it is unlikely for an entire phylum to display collective life strategies [13,14,15]. For example, in the phylum Proteobacteria, the classes γ-proteobacteria are often characterized as oligotrophs [12], while β-proteobacteria are classified as copiotrophs [16]. Therefore, the weighted mean rRNA operon copy number provided a community-level microbial trait [9,17]. However, there is limited information on the combination of community-level traits and finer phylogenetic and taxonomic resolutions to understand the response of bacterial life strategies under natural soil conditions, particularly harsh soil conditions.
Copiotrophic and oligotrophic bacteria differ in their functional genes associated with C cycling and N cycling [14,18]. These functions provide critical insights into the relationship between life strategies and biogeochemical cycling from the perspective of microbial genes. For instance, copiotrophs have a higher abundance of labile C decomposition genes, whereas oligotrophs have a higher abundance of stable C decomposition genes [14,19]. However, studies on the impact of life strategies on bacterial functional potential, especially N cycling functional potential, are still scarce. Exploring the differences in the datasets of functional genes is crucial for the comprehensive evaluation of oligotrophic and copiotrophic bacteria.
To fill this knowledge gap, we chose Antarctic soils with lower resource conditions and forest (temperate, subtropical, and tropical) soils with higher resource conditions. Soil nutrients (SOC, NH4+-N, NO3-N, and MBC) and the bacterial characteristics (weighted mean rRNA operon copy number, structure, and functional potential) were measured. We hypothesized that rrn copies in forest soils would be higher than those in Antarctic soils. In other words, the bacterial life strategies of Antarctic soils tend to favor oligotrophic taxa, whereas those of forest soils are dominated by copiotrophic taxa. Because soil nutrients were significantly lower in Antarctic soils than in forest soils [20,21] (Table 1). Therefore, the objectives of this study were to (i) determine rrn copies of bacteria and their life strategies in Antarctic and forest (temperate, subtropical, and tropical) soils and (ii) investigate bacterial community structure and functional potentials in different soils.
Table 1.
Soil nutrients among four ecosystems (mean ± SE).
2. Materials and Methods
2.1. Study Area
This study was conducted in forest and Antarctic ecosystems (Figure S1). Ten forests within 3425 km of China were selected, covering temperate, subtropical, and tropical forest ecosystems (Figure S1; Table S1), which are well-protected national nature reserves. Temperate forest ecosystems include Maoer Mountain (ME), Dongling Mountain (DL), Fuxian (FX), and Huoditang (HDT). Subtropical forest ecosystems include Maoxian (MX), Gongga Mountain (GG), Mulun Station (ML), and Ailao Mountain (AL). Tropical forest ecosystems include Xishuangbanna (XSBN) and Jianfengling (JFL). Mean annual precipitation (MAP) and mean annual temperature (MAT) of these forests ranged from 486 to 2266 mm and 3.1 to 23.2 °C, respectively.
Antarctic soil samples were collected from Inexpressible Island (approximately 50 km2), North Victoria Land, in the Ross Sea region (Figure S1). The interannual variation of temperature is significant in Inexpressible Island, with monthly average temperature below 0 °C and MAT ranging from −18.7 to −15.3 °C [22]. In addition, the island experiences low precipitation and a dry climate [23]. Detailed information on the forest and Antarctic soils is provided in Table S1.
2.2. Soil Sampling
Forest soil samples were collected from July to August 2019. At each selected forest, six plots (50 m × 50 m) were used with similar geographical characteristics as six independent replicates. Nine topsoil samples (0–10 cm) of each plot were collected using a 5 cm diameter soil auger along an “S” shape and combined into a composite sample. In total, 60 soil samples were collected from 10 sites.
The Antarctic soil samples were collected between December 2018 and February 2019. On the twelve selected plots (50 m × 50 m), nine topsoil samples (0–10 cm) of each plot were collected using a 5 cm diameter soil auger along an “S” shape and combined into a composite sample. Then, to ensure that the Antarctic soil samples are representative, the four samples were combined into a replicate based on the geographical characteristics. Finally, three independent Antarctic soil samples were obtained.
Fresh soil from the forest and Antarctica was sieved through a 2 mm mesh, and visible roots and residues were removed. After sieving, the soil (2–3 kg) was divided into two subsamples. One portion (approximately 60 g) was used for analyzing soil nutrient contents, and another portion was stored at −20 °C for DNA extraction.
2.3. Soil Physicochemical Properties Analyses
Soil pH (soil: water = 1:2.5) was measured using a pH meter (PHS-3C, Shanghai, China) [24]. Soil organic carbon (SOC) was measured using the K2Cr2O7 oxidation method. Soil NH4+-N and NO3−-N were estimated using KCl digestion. The soil microbial biomass C (MBC) of fresh soil samples was determined using the chloroform fumigation-extraction techniques described by Wang et al. [25].
The results indicated that soil nutrients were significantly lower in Antarctic soils than in forest soils (Table 1). Specifically, SOC, NH4+-N, and NO3−-N in forest soils were 1827–824%, 650–523%, and 868–509% significantly higher than in Antarctic soils, respectively (p < 0.05). The MBC of temperate soils was significantly higher than that of Antarctic soils by 434% (p < 0.05). In addition, MBC increased by 179% and 160% in subtropical and tropical soils, respectively, compared to Antarctic soils (p > 0.05).
2.4. DNA Extraction, PCR Amplification and Data Processing
Six replicates were conducted for each forest soil sample and three replicates were conducted for each Antarctic soil sample. Soil DNA was extracted from fresh forest and Antarctic soil samples using the E.Z.N.A.® soil DNA kit (Omega Bio-tek, Norcross, GA, USA), following the manufacturer’s instructions. Bacterial characteristics were determined using the 16S rRNA gene to amplify the V3–V4 region sequences and PICRUSt-estimated metagenomes. Taxonomy was assigned to Operational Taxonomic Units (OTUs) using the classify-sklearn naïve Bayes taxonomy classifier in the feature-classifier plugin with a 97% sequence similarity level. Further descriptions of DNA extraction, DNA quality and concentration, PCR amplification, and data processing by PICRUSt2 methods are provided in the Supplementary Materials. All the sequencing data have been deposited on the National Center for Biotechnology Information website (SRP504188).
According to the closest relatives with known rRNA operon copy numbers for each OTU, the rRNA operon copy numbers were estimated through the rrnDB database [26]. The mean operon copy numbers of the immediate child taxa were assigned to each OTU. If the mean copy number was unavailable, the mean copy number of its parent was used. For each sample, the weighted mean rRNA operon copy number was computed by multiplying the estimated operon copy number by the relative abundance of each OTU, which was then summed across all OTUs in the sample.
This study predicted the profiles of bacterial functional potentials related to C cycling and N cycling. Generally, the functional potential of C-decomposition genes includes labile C composition (monosaccharides, disaccharides, polysaccharides, hemicellulose, cellulose, and aminosugar) and stable C composition (lipids, chitin, and lignin) [27,28]. The functional potential of N cycling includes assimilatory nitrate reduction, dissimilatory nitrate reduction, denitrification, nitrogen fixation, and nitrification [29]. Microbial functions of C cycling and N cycling were predicted by PICRUSt2 upon KEGG databases.
2.5. Statistical Analysis
All analyses were performed using R v4.2.2 (RCoreTeam, Vienna, Austria). Alpha diversity index (Shannon index and the observed richness index) were calculated with the ‘picante’ package. The beta diversity was calculated by the ‘vegan’ package. Spearman correlations between soil nutrients and bacterial community at the phylum level and between rrn copies and environmental conditions (pH, MAP, and MAT), soil nutrients, and bacterial functional potential were performed using the “Hmisc” package. Linear discriminant analysis effect size (LEfSe) was used to detect differentially abundant taxa among four ecosystems by the ‘microeco’ package (LDA score > 3, p < 0.05). One-way analysis of variance (ANOVA) was performed to assess the effects of differences among four ecosystems on soil nutrients (SOC, NH4+-N, NO3−-N, MBC, and C/N), alpha diversity index, beta diversity, the weighted mean rRNA operon copy number, and potential function (C cycling and N cycling). All graphs were conducted using the R package “ggplot2” and further composed with Adobe Illustrator 2020 (Adobe Systems Incorporated, San Jose, CA, USA).
3. Results
3.1. Life Strategies in Antarctic and Forest Soils
We calculated the weighted mean rRNA operon (rrn) copy number to shed light on the bacterial community-level traits. Our results showed that rrn copies were 8.0% lower in forest soils than in Antarctic soils (p > 0.05; Figure 1a). Specifically, rrn copies in temperate soils were the lowest among the four ecosystems and were significantly lower than those in Antarctic soils by 19.54% (p < 0.05; Figure 1b). Furthermore, rrn copy numbers in subtropical and tropical soils were not significantly different from those in Antarctic soils (p > 0.05). Specifically, rrn copy numbers in subtropical soils were 1.91% higher than those in Antarctic soils, whereas they were 4.74% lower in tropical soils than in Antarctic soils (Figure 1b). The results indicated that the bacterial communities in Antarctic, subtropical, and tropical soils were dominated by copiotrophs (r-strategists), whereas those in temperate soils were dominated by oligotrophs (K-strategists).
Figure 1.
Life strategies of bacterial communities for studied sites. (a) Difference in the weighted mean rRNA operon copy numbers between Antarctica and forest soils; (b) difference in the weighted mean rRNA operon copy numbers among four ecosystems (mean ± SE). Different lowercase letters represent significant differences at 0.05 level.
3.2. Bacterial Community Diversity and Composition in Antarctic and Forest Soils
Our results showed that the bacterial Shannon index and richness index were significantly lower in Antarctic soils than in temperate, subtropical, and tropical forest soils (p < 0.05; Figure S2a,b). The Shannon index and richness index in forest soils were 10.05–23.29% and 85.07–146.87% higher than those in Antarctic soils, respectively (Figure S2a and b). Moreover, using non-metric multidimensional scaling analysis (NMDS), we found that the bacterial communities were significantly different among the four ecosystems (Figure S2c). Further analysis using the LEfSe method showed that the bacteria enriched in Antarctic soils mainly belonged to Actinobacteriota, Bacteroidota, and Gemmatimonadota (Figure 2). The bacteria enriched in temperate soils mainly belonged to Proteobacteria (especially Gammaproteobacteria), Chloroflexi, Planctomycetota, and Patescibacteria (Figure 2). The bacteria that were mainly distributed in subtropical soils belonged to Desulfobacterota, Chloroflexi, and Actinobacteriota (Figure 2). The bacteria mainly distributed in tropical soils were GAL15, WPS-2, Armatimonadota, Verrucomicrobiota, Myxococcota, and Acidobacteriota (Figure 2).
Figure 2.
Linear discriminant analysis effect size (LEfSe) showed the significantly different taxa of bacterial communities for studied sites. The taxa with significantly different abundances among four ecosystems are represented by colored dots. The cladogram consists of six rings, representing the domain (innermost), phylum, class, order, family, and genus (outermost), respectively. The taxa with the LDA > 3.0 and p < 0.05 are shown.
3.3. Bacterial Functional Potential of C and N Cycling in Antarctic and Forest Soils
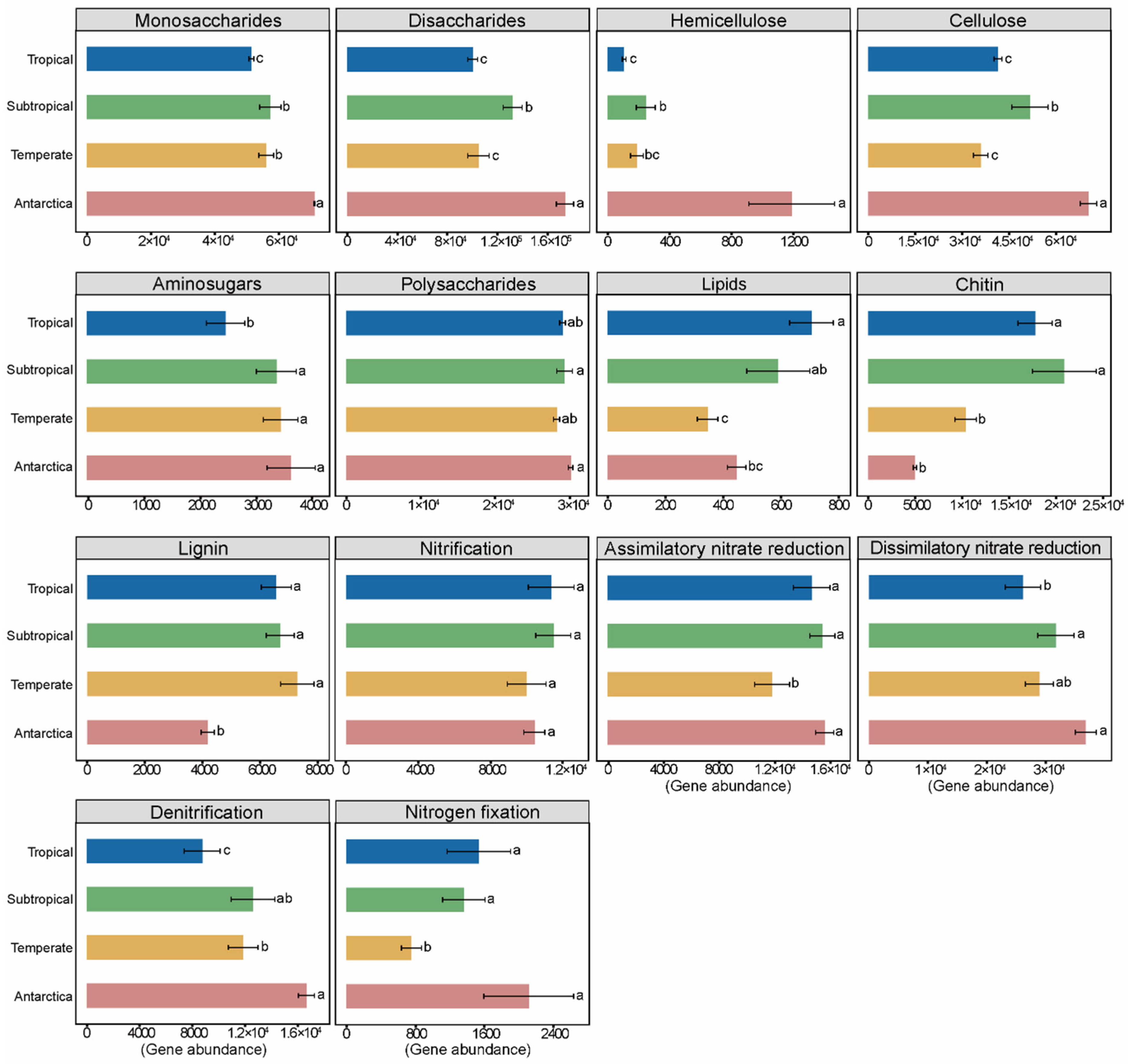
Our results showed that genes involved in labile C decomposition and N cycling were more abundant in copiotroph-dominated Antarctic bacteria, and genes involved in stable C decomposition were more abundant in oligotroph-dominated temperate bacteria. In detail, compared to Antarctic soils, forest-inhabiting bacteria exhibited a 2.72–91.13% lower abundance of labile C decomposition genes (hemicellulose, cellulose, monosaccharides, and disaccharides) (Figure 3). Conversely, the abundance of stable C decomposition genes (lipids, chitin, and lignin) was more enriched in the forest soils (Figure 3). For example, the gene abundances of chitin and lignin in temperate, subtropical, and tropical forest soils were 107.67–318.06%, and 56.99–74.35% higher than in Antarctic soils, respectively (Figure 3). In addition, the gene abundances of assimilatory nitrate reduction, dissimilatory nitrate reduction, denitrification, and nitrogen fixation were 1.04–24.27%, 13.73–29.02%, 24.39–47.48%, and 27.35–64.43% lower in temperate, subtropical, and tropical forest soils than in Antarctic soils, respectively (Figure 3). However, the gene abundance of nitrification in temperate soils was 4.15% lower than that in Antarctic soils, while in subtropical and tropical soils it was 10.09% and 8.95 % higher than that in Antarctic soils, respectively (Figure 3).
Figure 3.
Function potentials of bacterial communities for studied sites. Functional potential differences related to labile C composition (monosaccharides, disaccharides, polysaccharides, hemicellulose, cellulose, and aminosugar), stable C composition (lipids, chitin, and lignin), and N cycling (assimilatory nitrate reduction, dissimilatory nitrate reduction, denitrification, nitrogen fixation, and nitrification) (mean ± SE). Different lowercase letters represent significant differences at 0.05 level.
4. Discussion
4.1. The Selection of Bacterial Life Strategies under Different Soil Conditions
Inconsistent with our hypothesis, we found that rrn copies in temperate soils were significantly lower than those in Antarctic, subtropical, and tropical soils (p < 0.05; Figure 1 and Figure 4). The results indicated that bacterial communities in temperate soils tended to be oligotrophs, whereas those in subtropical, tropical, and Antarctic soils tended to be copiotrophs [10,30]. Such a phenomenon also contradicted the “distance decay theory”, in which bacteria in temperate forest ecosystems are likely to exhibit higher similarities with bacteria in Antarctic ecosystems compared to subtropical and tropical forest ecosystems [31,32,33].
Figure 4.
The concept graphic showing bacterial life strategies, community composition, and functional potential among four ecosystems. The graph consists of four rings, representing the ecosystem types (intermost), bacterial life strategies, bacterial community composition, and bacterial functional potential (outermost), respectively. The enrichment (+) and depletion (−) of rrn copies and functional potentials among four ecosystems are shown.
The underlying mechanism that results in the inconsistency between temperate and Antarctic bacteria may involve two aspects. On the one hand, this phenomenon can mainly be attributed to soil C availability, since copiotrophic bacteria typically flourish in soil conditions rich in labile C with high C availability, while oligotrophic bacteria are more efficient with stable C with lower C availability [34,35]. Cui et al. [36] reported that copiotrophs proliferate following labile C inputs. Yang et al. [6] and Hu et al. [1] showed that increased soil C stability promoted a bacterial shift from copiotrophs to oligotrophs. Our results showed that soil C/N was significantly lower in Antarctic, subtropical, and tropical soils than in temperate soils and had a negative correlation with rrn copies (Table 1 and Table S2), indicating that higher C availability in Antarctic, subtropical, and tropical soils provided a more suitable site for the growth of copiotrophic bacteria. In contrast, higher soil C/N (lower C availability) in temperate soils suggests that substrate availability in temperate soil is more conducive to the proliferation of oligotrophs [37,38].
On the other hand, soil N availability may contribute to variations in bacterial life strategies [39]. Previous studies have reported that oligotrophic bacteria are more favorable under conditions of low N availability because oligotrophs can acquire N by decomposing soil organic matter (SOM) [14,40]. Temperate soils contain more SOM than Antarctic soils [37]; hence, the prevalence of oligotrophs was the underlying mechanism in temperate soils. Unlike bacteria in temperate soils, bacteria in Antarctic soil were dominated by copiotrophs, which may be associated with anoxic soil conditions, as well as large amounts of cellular exudates and dead microbial material from the labile C fraction in Antarctic soils [38,41]. Anoxic soil conditions can greatly limit SOM mineralization [36]. On another aspect, substances related to microbial turnover (e.g., dead microbial material) are an important component of microbial necromass [42]. Bacteria in Antarctic soils can utilize microbial necromass as an important N resource [43], which is a more efficient strategy for acquiring N than utilizing SOM [44].
4.2. Distinct Soil Conditions Shape Different Bacterial Structure and Functions: Based on Copiotrophs and Oligotrophs
Antarctic soil was inhabited by a large number of copiotrophs, such as Actinobacteriota and Bacteroidota (Figure 2, Figure 4 and Figure S3). Conversely, bacteria in temperate soils were mainly enriched in oligotrophs, such as Gammaproteobacteria, Acidobacteriota, and Chloroflexi (Figure 2, Figure 4 and Figure S3). Actinobacteriota are regarded as copiotrophs, which can use different C sources [45]. Bacteroidetes are also typical copiotrophs, inhabiting Antarctic soil conditions with high C availability (low soil C/N ratio) and can preferentially decompose labile carbon [4,16]. In contrast to copiotrophic bacteria, Acidobacteriota and Chloroflexi thrive in temperate soils with low resource availability and are thus considered oligotrophs [14,16]. Our results showed a significant positive correlation between NH4+-N and the relative abundance of Acidobacteriota and Chloroflexi (Table S3), further demonstrating that the dominant life strategy is largely influenced by resource availability [46].
In addition, our results revealed that oligotrophic and copiotrophic bacteria exhibited varying functional potentials for C/N cycling in temperate and Antarctic soils (Figure 3). Firstly, different capacities for soil C utilization by oligotrophs and copiotrophs could contribute to variations in labile C and stable C decomposition gene abundance [14,19]. Previous studies have reported that, compared to oligotrophic bacteria, copiotrophic bacteria are more adept at using labile C and have a higher abundance of labile C genes [14,34]. This is in line with our finding that genes involved in labile C (hemicellulose, cellulose, monosaccharides, and disaccharides) decomposition were more abundant in Antarctic soils, whereas genes involved in stable C (lignin) decomposition were more abundant in temperate soils (Figure 3 and Figure 4). Secondly, the lower N cycling (nitrogen fixation, assimilatory nitrate reduction, and denitrification) gene abundance of oligotrophs in temperate soils may be related to SOM utilization (Figure 3 and Figure 4). Liang et al. [18] found that the relative abundance of N cycling genes was lower in oligotrophs than in copiotrophs. This is because oligotrophs have the ability to acquire N by decomposing soil organic matter (SOM) [39]. Meanwhile, dominant copiotrophs in Antarctic soils chose to enhance their N fixation functional potential to acquire nitrogen [18,39,47]. Our results revealed that the abundance of nitrogen fixation and assimilatory nitrate reduction was positively correlated with rrn copies (Table S2), which further indicated that bacterial communities with contrasting life strategies had different N cycling potentials.
5. Conclusions
In the present study, we built a framework linking soil resource conditions, life strategies, bacterial community composition, and functional potential. We found that the bacterial communities in Antarctic, subtropical, and tropical soils were dominated by copiotrophs, whereas those in temperate soils were dominated by oligotrophs. Further analysis revealed that the bacterial community structure and functional potential showed different patterns between oligotrophic and copiotrophic bacteria. Overall, variations in soil conditions (e.g., soil substrate and climate) can affect bacterial life strategies through bacterial structure and functional potential. Our study systematically revealed differences in bacterial life strategies between Antarctic and forest ecosystems. We highlight that the differences in C and N cycling capabilities between copiotrophic and oligotrophic bacteria drive the carbon and nitrogen cycles in ecosystems, especially in the Antarctic ecosystem, where microbial processes are more sensitive than in other ecosystems. And future studies should focus on Antarctica, which is essential for better understanding of global biogeochemical processes.
Supplementary Materials
The following supporting information can be downloaded at: https://www.mdpi.com/article/10.3390/microorganisms12081689/s1, Figure S1: Distribution of sampling sites along forest ecosystems in China and Antarctic ecosystem.; Figure S2: Diversity of bacterial communites among four ecosystems. (a) Shannon’s diversity index; (b) observed species richness; (c) Non-metric multidimensional scaling (NMDS) plot based on Bray-Curtis dissimilarities among four ecosystems; Figure S3: Relative abundance of soil bacterial communities at the phylum level among four ecosystems; Figure S4: LEfSe analysis of bacterial abundance among four ecosystems. Indicator bacteria with LDA scores of 3 or greater in bacterial communities among four ecosystems; Table S1: Backgroud information at study sites; Table S2: Spearman analysis between rrn copies and (a) environmental conditions, (b) soil nutrient, (c) bacterial functional potential. *, p < 0.05; **, p < 0.01; Table S3: Spearman analysis betweem soil nutrient and bactetial community at the phylum level. *, p < 0.05; **, p < 0.01. References [48,49,50,51,52] are listed in the Supplementary Material.
Author Contributions
F.Z., Y.G. and N.W. conceived the project; L.Z. and J.W. (Jieying Wang) performed the data compilation and analysis; C.R. and J.W. (Jun Wang) interpreted the results; L.Z., X.Z. and L.H. wrote the manuscript with the assistance of all other coauthors. All authors have read and agreed to the published version of the manuscript.
Funding
This work was financially supported by the National Natural Science Foundation of China (Grant No. 41971088), the National Natural Science Foundation of China (Grant No. 42277284), the Youth Science and Technology Rising Star Project of Shaanxi Province, China (2023KJXX-038), and the Shaanxi Province 2024 Key R&D Plan (2024SF-YBXM-543).
Data Availability Statement
All the sequencing data have been deposited on the National Center for Biotechnology Information website (SRP504188). The data and scripts used are saved in GitHub https://github.com/zhanglujie1234/data-and-code.git (accessed on 15 August 2024).
Conflicts of Interest
The authors declare no conflicts of interest.
References
- Hu, P.; Zhang, W.; Kuzyakov, Y.; Xiao, L.; Xiao, D.; Xu, L.; Chen, H.; Zhao, J.; Wang, K. Linking bacterial life strategies with soil organic matter accrual by karst vegetation restoration. Soil Biol. Biochem. 2023, 177, 108925. [Google Scholar] [CrossRef]
- Heuck, C.; Weig, A.; Spohn, M. Soil microbial biomass C:N:P stoichiometry and microbial use of organic phosphorus. Soil Biol. Biochem. 2015, 85, 119–129. [Google Scholar] [CrossRef]
- Zhong, Z.; Li, W.; Lu, X.; Gu, Y.; Wu, S.; Shen, Z.; Han, X.; Yang, G.; Ren, C. Adaptive pathways of soil microorganisms to stoichiometric imbalances regulate microbial respiration following afforestation in the Loess Plateau, China. Soil Biol. Biochem. 2020, 151, 108048. [Google Scholar] [CrossRef]
- Ling, N.; Wang, T.; Kuzyakov, Y. Rhizosphere bacteriome structure and functions. Nat. Commun. 2022, 13, 836. [Google Scholar] [CrossRef] [PubMed]
- Peng, J.; Liu, H.; Hu, Y.; Sun, Y.; Liu, Q.; Li, J.; Dong, Y. Shift in soil bacterial communities from K- to r-strategists facilitates adaptation to grassland degradation. Land Degrad. Dev. 2022, 33, 2076–2091. [Google Scholar] [CrossRef]
- Yang, T.; Zhang, H.; Zheng, C.; Wu, X.; Zhao, Y.; Li, X.; Liu, H.; Dong, L.; Lu, Z.; Zhou, J.; et al. Bacteria life-history strategies and the linkage of soil C-N-P stoichiometry to microbial resource limitation differed in karst and non-karst plantation forests in southwest China. Catena 2023, 231, 107341. [Google Scholar] [CrossRef]
- Kearns, P.J.; Shade, A. Trait-based patterns of microbial dynamics in dormancy potential and heterotrophic strategy: Case studies of resource-based and post-press succession. ISME J. 2018, 12, 2575–2581. [Google Scholar] [CrossRef]
- Chen, Y.; Neilson, J.W.; Kushwaha, P.; Maier, R.M.; Barberan, A. Life-history strategies of soil microbial communities in an arid ecosystem. ISME J. 2021, 15, 649–657. [Google Scholar] [CrossRef] [PubMed]
- Roller, B.R.K.; Stoddard, S.F.; Schmidt, T.M. Exploiting rRNA operon copy number to investigate bacterial reproductive strategies. Nat. Microbiol. 2016, 1, 1–7. [Google Scholar] [CrossRef] [PubMed]
- Klappenbach, J.A.; Dunbar, J.M.; Schmidt, T.M. rRNA operon copy number reflects ecological strategies of bacteria. Appl. Microbiol. 2000, 66, 1328–1333. [Google Scholar] [CrossRef]
- Leff, J.W.; Jones, S.E.; Prober, S.M.; Barberán, A.; Borer, E.T.; Firn, J.L.; Harpole, W.S.; Hobbie, S.E.; Hofmockel, K.S.; Knops, J.M.H.; et al. Consistent responses of soil microbial communities to elevated nutrient inputs in grasslands across the globe. Proc. Natl. Acad. Sci. USA 2015, 112, 10967–10972. [Google Scholar] [CrossRef] [PubMed]
- Wang, Z.; Wang, Z.; Li, T.; Wang, C.; Dang, N.; Wang, R.; Jiang, Y.; Wang, H.; Li, H. N and P fertilization enhanced carbon decomposition function by shifting microbes towards an r-selected community in meadow grassland soils. Ecol. Indic. 2021, 132, 108306. [Google Scholar] [CrossRef]
- He, Q.; Wu, Y.; Wang, J.; Bing, H. Community rRNA operon copy number of soil bacteria decreases with soil depth and ecosystem succession in postglacial ecosystems. Appl. Soil Ecol. 2023, 186, 104817. [Google Scholar] [CrossRef]
- Li, H.; Yang, S.; Semenov, M.V.; Yao, F.; Ye, J.; Bu, R.; Ma, R.; Lin, J.; Kurganova, I.; Wang, X.; et al. Temperature sensitivity of SOM decomposition is linked with a K-selected microbial community. Global Change Biol. 2021, 27, 2763–2779. [Google Scholar] [CrossRef] [PubMed]
- Wu, X.; Liu, P.; Wegner, C.-E.; Luo, Y.; Xiao, K.-Q.; Cui, Z.; Zhang, F.; Liesack, W.; Peng, J. Deciphering microbial mechanisms underlying soil organic carbon storage in a wheat-maize rotation system. Sci. Total Environ. 2021, 788, 147798. [Google Scholar] [CrossRef]
- Fierer, N.; Bradford, M.A.; Jackson, R.B. Toward an ecological classification of soil bacteria. Ecology 2007, 88, 1354–1364. [Google Scholar] [CrossRef] [PubMed]
- Nemergut, D.R.; Knelman, J.E.; Ferrenberg, S.; Bilinski, T.; Melbourne, B.; Jiang, L.; Violle, C.; Darcy, J.L.; Prest, T.; Schmidt, S.K.; et al. Decreases in average bacterial community rRNA operon copy number during succession. ISME J. 2016, 10, 1147–1156. [Google Scholar] [CrossRef] [PubMed]
- Liang, S.; Zhang, W.; Grossart, H.-P.; Gadd, G.M.; Liu, W.; Yang, Y. The unique climate shapes distinct life-history traits of abundant bacteria in Tibetan Plateau grassland soil. Sci. Total Environ. 2024, 908, 168353. [Google Scholar] [CrossRef]
- Yang, Y.; Dou, Y.; Wang, B.; Xue, Z.; Wang, Y.; An, S.; Chang, S.X. Deciphering factors driving soil microbial life-history strategies in restored grasslands. iMeta 2022, 2, e66. [Google Scholar] [CrossRef]
- Aislabie, J.M.; Chhour, K.-L.; Saul, D.J.; Miyauchi, S.; Ayton, J.; Paetzold, R.F.; Balks, M.R. Dominant bacteria in soils of Marble Point and Wright Valley, Victoria Land, Antarctica. Soil Boil. Biochem. 2006, 38, 3041–3056. [Google Scholar] [CrossRef]
- Martinez Alvarez, L.; Bolhuis, H.; Mau, G.K.; Kok-Gan, C.; Sing, C.C.; Mac Cormack, W.; Ruberto, L. Identification of key bacterial players during successful full-scale soil field bioremediation in Antarctica. Int. Biodeter. Biodegr. 2022, 168, 105354. [Google Scholar] [CrossRef]
- Jin, J.; Chen, X.; Xu, L.; Nie, Y.; Wang, X.; Huang, H.; Emslie, S.D.; Liu, X. Chronology and paleoclimatic implications of lacustrine sediments at Inexpressible Island, Ross Sea, Antarctica. Palaeogeogr. Palaeocl. 2021, 576, 110497. [Google Scholar] [CrossRef]
- Ding, M.; Bian, L.; Zhang, L.; Wang, Z.; Lu, C.; Sun, W.; Yuan, N.; Fu, L.; Xie, Z. Meteorological characteristics of Inexperssible island, Antarctica. Chin. J. Polar Res. 2015, 27, 344–350. [Google Scholar]
- Zhang, C.; Xue, S.; Liu, G.-B.; Song, Z.-L. A comparison of soil qualities of different revegetation types in the Loess Plateau, China. Plant and Soil 2011, 347, 163–178. [Google Scholar] [CrossRef]
- Wang, J.Y.; Ren, C.J.; Feng, X.X.; Zhang, L.; Doughty, R.; Zhao, F.Z. Temperature sensitivity of soil carbon decomposition due to shifts in soil extracellular enzymes after afforestation. Geoderma 2020, 374, 114426. [Google Scholar] [CrossRef]
- Stoddard, S.F.; Smith, B.J.; Hein, R.; Roller, B.R.K.; Schmidt, T.M. rrnDB: Improved tools for interpreting rRNA gene abundance in bacteria and archaea and a new foundation for future development. Nucleic Acids Res. 2015, 43, D593–D598. [Google Scholar] [CrossRef]
- Ren, C.; Wang, J.; Bastida, F.; Delgado-Baquerizo, M.; Yang, Y.; Wang, J.; Zhong, Z.; Zhou, Z.; Zhang, S.; Guo, Y.; et al. Microbial traits determine soil C emission in response to fresh carbon inputs in forests across biomes. Global Change Bio. 2022, 28, 1516–1528. [Google Scholar] [CrossRef]
- Zhao, F.; Wang, J.; Li, Y.; Xu, X.; He, L.; Wang, J.; Ren, C.; Guo, Y. Microbial functional genes driving the positive priming effect in forest soils along an elevation gradient. Soil Biol. Biochem. 2022, 165, 108498. [Google Scholar] [CrossRef]
- Lian, W.H.; Mohamad, O.A.A.; Dong, L.; Zhang, L.Y.; Wang, D.; Liu, L.; Han, M.X.; Li, S.; Wang, S.; Antunes, A.; et al. Culturomics- and metagenomics-based insights into the microbial community and function of rhizosphere soils in Sinai desert farming systems. Environ. Microbiome 2023, 18, 4. [Google Scholar] [CrossRef]
- Wu, L.; Yang, Y.; Chen, S.; Jason Shi, Z.; Zhao, M.; Zhu, Z.; Yang, S.; Qu, Y.; Ma, Q.; He, Z.; et al. Microbial functional trait of rRNA operon copy numbers increases with organic levels in anaerobic digesters. ISME J. 2017, 11, 2874–2878. [Google Scholar] [CrossRef]
- Kleinteich, J.; Hildebrand, F.; Bahram, M.; Voigt, A.Y.; Wood, S.A.; Jungblut, A.D.; Küpper, F.C.; Quesada, A.; Camacho, A.; Pearce, D.A.; et al. Pole-to-Pole Connections: Similarities between Arctic and Antarctic Microbiomes and Their Vulnerability to Environmental Change. Front. Ecol. Evol. 2017, 5, 00137. [Google Scholar] [CrossRef]
- Cox, F.; Newsham, K.K.; Bol, R.; Dungait, J.A.J.; Robinson, C.H.; Casper, B. Not poles apart: Antarctic soil fungal communities show similarities to those of the distant Arctic. Ecol. Lett. 2016, 19, 528–536. [Google Scholar] [CrossRef]
- Leo, C.; Nardi, F.; Cucini, C.; Frati, F.; Convey, P.; Weedon, J.T.; Roelofs, D.; Carapelli, A. Evidence for strong environmental control on bacterial microbiomes of Antarctic springtails. Sci. Rep. 2021, 11, 2973. [Google Scholar] [CrossRef]
- Goldfarb, K.C.; Karaoz, U.; Hanson, C.A.; Santee, C.A.; Bradford, M.A.; Treseder, K.K.; Wallenstein, M.D.; Brodie, E.L. Differential Growth Responses of Soil Bacterial Taxa to Carbon Substrates of Varying Chemical Recalcitrance. Front. Microbiol. 2011, 2, 94. [Google Scholar] [CrossRef]
- Yang, S.; Wu, H.; Wang, Z.; Semenov, M.V.; Ye, J.; Yin, L.; Wang, X.; Kravchenko, I.; Semenov, V.; Kuzyakov, Y.; et al. Linkages between the temperature sensitivity of soil respiration and microbial life strategy are dependent on sampling season. Soil Biol. Biochem. 2022, 172, 108758. [Google Scholar] [CrossRef]
- Cui, J.; Zhu, Z.; Xu, X.; Liu, S.; Jones, D.L.; Kuzyakov, Y.; Shibistova, O.; Wu, J.; Ge, T. Carbon and nitrogen recycling from microbial necromass to cope with C:N stoichiometric imbalance by priming. Soil Biol. Biochem. 2020, 142, 107720. [Google Scholar] [CrossRef]
- Hopkins, D.W.; Sparrow, A.D.; Elberling, B.; Gregorich, E.G.; Novis, P.M.; Greenfield, L.G.; Tilston, E.L. Carbon, nitrogen and temperature controls on microbial activity in soils from an Antarctic dry valley. Soil Biol. Biochem. 2006, 38, 3130–3140. [Google Scholar] [CrossRef]
- Barrett, J.E.; Virginia, R.A.; Parsons, A.N.; Wall, D.H. Potential Soil Organic Matter Turnover in Taylor Valley, Antarctica. Arct. Antarct. Alp. Res. 2005, 37, 108–117. [Google Scholar] [CrossRef]
- Chen, R.; Senbayram, M.; Blagodatsky, S.; Myachina, O.; Dittert, K.; Lin, X.; Blagodatskaya, E.; Kuzyakov, Y. Soil C and N availability determine the priming effect: Microbial N mining and stoichiometric decomposition theories. Global Change Biol. 2014, 20, 2356–2367. [Google Scholar] [CrossRef]
- Chen, H.; Jing, Q.; Liu, X.; Zhou, X.; Fang, C.; Li, B.; Zhou, S.; Nie, M. Microbial respiratory thermal adaptation is regulated by r-/K-strategy dominance. Ecol. Lett. 2022, 25, 2489–2499. [Google Scholar] [CrossRef]
- Cary, S.C.; McDonald, I.R.; Barrett, J.E.; Cowan, D.A. On the rocks: The microbiology of Antarctic Dry Valley soils. Nat. Rev. Microbiol. 2010, 8, 129–138. [Google Scholar] [CrossRef] [PubMed]
- Liang, C.; Amelung, W.; Lehmann, J.; Kästner, M. Quantitative assessment of microbial necromass contribution to soil organic matter. Global Change Biol. 2019, 25, 3578–3590. [Google Scholar] [CrossRef] [PubMed]
- Wang, B.; Liang, C.; Yao, H.; Yang, E.; An, S. The accumulation of microbial necromass carbon from litter to mineral soil and its contribution to soil organic carbon sequestration. Catena 2021, 207, 105622. [Google Scholar] [CrossRef]
- Wang, B.; Huang, Y.; Li, N.; Yao, H.; Yang, E.; Soromotin, A.V.; Kuzyakov, Y.; Cheptsov, V.; Yang, Y.; An, S. Initial soil formation by biocrusts: Nitrogen demand and clay protection control microbial necromass accrual and recycling. Soil Biol. Biochem. 2022, 167, 108607. [Google Scholar] [CrossRef]
- van der Bom, F.; Nunes, I.; Raymond, N.S.; Hansen, V.; Bonnichsen, L.; Magid, J.; Nybroe, O.; Jensen, L.S. Long-term fertilisation form, level and duration affect the diversity, structure and functioning of soil microbial communities in the field. Soil Biol. Biochem. 2018, 122, 91–103. [Google Scholar] [CrossRef]
- Cui, J.; Zhu, R.; Wang, X.; Xu, X.; Ai, C.; He, P.; Liang, G.; Zhou, W.; Zhu, P. Effect of high soil C/N ratio and nitrogen limitation caused by the long-term combined organic-inorganic fertilization on the soil microbial community structure and its dominated SOC decomposition. J. Environ. Manag. 2022, 303, 114155. [Google Scholar] [CrossRef]
- Zhang, L.; Yi, M.; Lu, P. Effects of pyrene on the structure and metabolic function of soil microbial communities. Environ. Pollut. 2022, 305, 119301. [Google Scholar] [CrossRef]
- Chen, S.; Zhou, Y.; Chen, Y.; Gu, J. fastp: An ultra-fast all-in-one FASTQ preprocessor. Bioinformatics 2018, 34, i884–i890. [Google Scholar] [CrossRef]
- Magoč, T.; Salzberg, S.L. FLASH: Fast length adjustment of short reads to improve genome assemblies. Bioinformatics 2011, 27, 2957–2963. [Google Scholar] [CrossRef]
- Edgar, R.C. UPARSE: Highly accurate OTU sequences from microbial amplicon reads. Nature Methods 2013, 10, 996–998. [Google Scholar] [CrossRef]
- Stackebrandt, E.; Goebel, B.M. Taxonomic Note: A Place for DNA-DNA Reassociation and 16S rRNA Sequence Analysis in the Present Species Definition in Bacteriology. Int. J. Syst. Bacteriol. 1994, 44, 846–849. [Google Scholar] [CrossRef]
- Wang, Q.; Garrity, G.M.; Tiedje, J.M.; Cole, J.R. Naïve Bayesian Classifier for Rapid Assignment of rRNA Sequences into the New Bacterial Taxonomy. Appl. Environ. Microbiol. 2007, 73, 5261–5267. [Google Scholar] [CrossRef] [PubMed]
Disclaimer/Publisher’s Note: The statements, opinions and data contained in all publications are solely those of the individual author(s) and contributor(s) and not of MDPI and/or the editor(s). MDPI and/or the editor(s) disclaim responsibility for any injury to people or property resulting from any ideas, methods, instructions or products referred to in the content. |
© 2024 by the authors. Licensee MDPI, Basel, Switzerland. This article is an open access article distributed under the terms and conditions of the Creative Commons Attribution (CC BY) license (https://creativecommons.org/licenses/by/4.0/).



